Активный фильтр низких частот
ПРАКТИЧЕСКАЯ ЧАСТЬ
Тип фильтра определяется допустимой неравномерностью его АЧХ в полосе пропускания. При >С> =0 выбирается фильтр Баттерворта, а при >С> 0 - фильтр Чебышева Для >С> = 3дБ выбираем фильтр Чебышева.
Необходимый порядок фильтра ( n ) выбирается исходя из: минимального затухания в полосе заграждения >З> и допустимой неравномерности его АЧХ в полосе пропускания >С> .
,
где


Рассмотрим каскадную реализацию фильтра в виде последовательного соединения взаимонезаменяемых звеньев второго порядка (т.к. n=6 - четное), количество звеньев определяется соотношением
(звена
второго порядка)
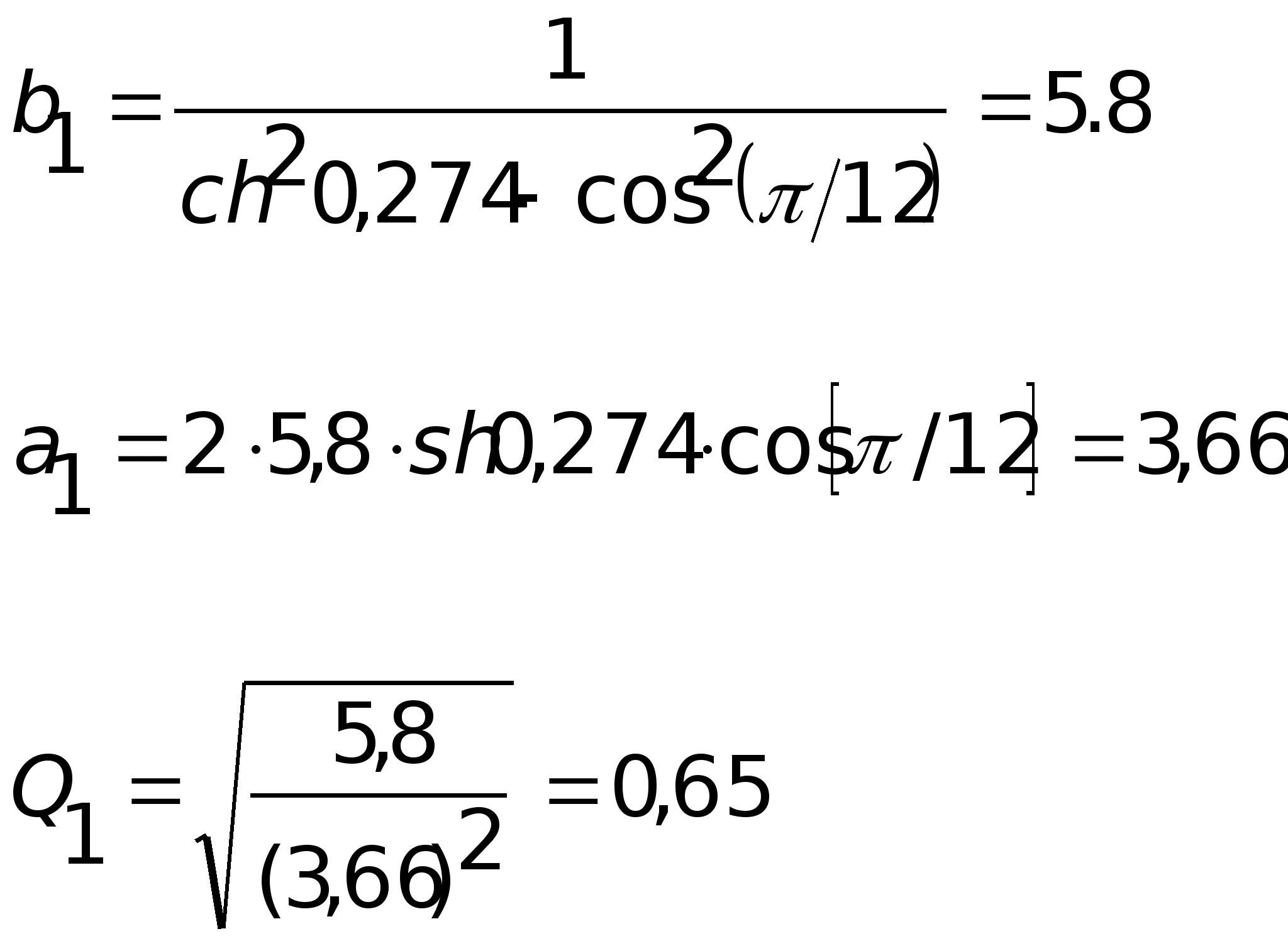
Определим значения коэффициентов a>i >, b>i> полинома, аппроксимирующего передаточную функцию фильтра и добротности полюсов звеньев фильтра:


Для i=1 (первое звено) получим:

Для i=2 (второе звено) получим:

Для i=3 (третье звено) получим:

Расчет звеньев фильтра:
Исходя из добротностей для всех звеньев подходит схема звена второго порядка на повторителе:

Передаточная характеристика имеет вид :



Отсюда при извесных a>i> , b>i> >в> рассчитываются элементы схемы:
Выбираем значение емкости С1 близкое к

и номинальное значение С2, удовлетворяющее условию:

для первого звена

для второго звена

для третьего звена

Рассчитываем величины R>1> и R>2> по соотношениям:

для первого звена

для второго звена

для третьего звена

Исходя из полученных результатов выбираем операционный усилитель : основными параметрами являются входное сопротивление, диапазон частот , минимальное сопротивление нагрузки.
Приемлемым является ОУ - 140УД6
|
140УД6 |
|
|
Коэффициент усиления K, В/мВ |
70 |
|
Напряжение смещения нуля Uсм, мВ |
4 |
|
Входные токи Iвх, нА |
30 |
|
Разность входных токов Iвх, нА |
10 |
|
Частота единичного усиления f>1> ,МГц |
1 |
|
Коэффициент ослабления синфазного сигнала, дБ |
80 |
|
Максимальный выходной ток Iвых max, мА |
25 |
|
Входное сопротивление Rвх, Мом |
2 |
|
Потребляемый ток Iпот, мА |
2.8 |
|
Максимальное выходное напряжение Uвых max, В |
12 |
Теоретическая часть
1.Введение
Простые RC - фильтры нижних или верхних частот обеспечивают пологие характеристики коэффициента передачи с наклоном 6Дб/октава после точки, соответствующей значению коэффициента передачи -3Дб. Для многих целей такие характеристики вполне подходят, особенно в тех случаях, когда сигнал, который должен быть подавлен, далеко сдвинут по частоте относительно полосы пропускания. В качестве примеров можно привести шунтирование радиочастотных сигналов в схемах усиления звуковых частот, «блокирующие» конденсаторы для устранения постоянной составляющей и разделения модулирующей и несущей частот.
Однако часто возникает необходимость в фильтрах с более пологой характеристикой в полосе пропускания и более крутыми склонами. Такая потребность существует всегда, когда надо отфильтровать сигнал от помехи близкой по частоте.
Активные фильтры можно использовать для реализации фильтров нижних (АФНЧ) и верхних (АФВЧ) частот, полосовых и полосно подавляющих фильтров, выбирая тип фильтра в зависимости от наиболее важной характеристики, таких, как максимальная равномерность усиления в полосе пропускания, крутизна переходной области характеристики или независимость времени запаздывания от частоты. Кроме того можно построить как «всепропускающие фильтры» с плоской амплитудно-частотной характеристикой. Но не стандартной фазо-частотной характеристикой (они также известны как «фазовые корректоры»), так и наоборот - фильтры с постоянным фазовым сдвигом, но с произвольной амплитудно-частотной характеристикой
Типы фильтров
Предположим, что требуется фильтр нижних частот с плоской характеристикой в полосе пропускания и резким перходом в полосе подавления. Окончательный же наклон характеристики в полосе задерживания всегда будет 6n дБ/октава, где n-количество «полюсов». На каждый полюс необходим один конденсатор (или катушка индуктивности), поэтому требования к окончательной скорости спада частотной характеристики фильтра, грубо говоря, определяют его сложность.
Теперь предположим, что мы решили использовать 6-полюсный фильтр нижних частот. Нам гарантирован окончательный спад характеристики на высоких частотах 36 дБ/октава. В свою очередь теперь можно оптимизировать схему фильтра в смысле обеспечения максимально плоской характеристики в полосе пропускания за счет уменьшения крутизны перехода от полосы пропускания к полосе задерживания. С другой стороны, допуская некоторую неравномерность характеристики в полосе пропускания, можно добиться более крутого перехода от полосы пропускания к полосе задерживания. Третий критерий, который может оказаться также важным, описывает способность фильтра пропускать сигналы со спектром, лежащим в полосе пропускания, без искажений их формы, вызываемых фазовыми сдвигами. Можно также интересоваться временем нарастания, выбросом и временем установления.
Извесны методы проектирования фильтров, пригодные для оптимизации любой из этих характеристик или их комбинации. Действительно разумный выбор фильтра происходит не так, как описано выше; как правило, сначала задаются требуемая равномерность характеристики в полосе попускания и необходимое затухание на некоторой частоте вне полосы пропускания и некоторые другие параметры. После этого выбирается наиболее подходящая схема с количеством полюсов, достаточным для того, чтобы удовлетворялись все эти требования. Имеется три наиболее популярных схемы фильтров, а именно фильтр Баттерворта (максимально плоская характеристика в полосе пропускания), фильтр Чебышева (наиболее крутой переход от полосы пропускания к полосе подавления) и фильтр Бесселя (максимально плоская характеристика времени запаздывания). Любой из этих типов фильтров можно реализовать с помощью различных схем фильтров. Все они разным образом годятся для построения фильтров верхних и нижних частот, а так же полосовых фильтров.
Фильтры Баттерворта и Чебышева
Фильтр Баттерворта обеспечивает наиболее плоскую характеристику в полосе пропускания, что достигается ценой плавности характерисатики в переходной области, т.е. между полосами пропускания и задерживания. Его амплитудно частотная характеристика задаётся следующей формулой:
,
где n - определяет порядок фильтра (число полюсов). Увеличение числа полюсов дает возможность увеличить крутизну спада от полосы пропускания к полосе подавления.
Выбирая фильтр Баттерворта мы ради плоской характеристики поступаемся всем остальным. Его характеристика идет горизонтально, начиная от нулевой частоты, перегиб ее начинается на частоте среза f>C> - эта частота обычно соответствует точке -3 дБ.
В большинстве применений самым существенным обстоятельством является то, что неравномерновть характеристики в полосе пропускания недолжна превыщать некоторой величины, скажем 1 дБ. Фильтр Чебышева отвечает этому требованию, при этом допускается некоторая неравномерность харкктеристики по всей полосе пропускания, но при этом сильно увеличивается острота её излома. Для фильтра Чебышева задают число полюсов и неравномерность в полосе пропускания. Допуская увеличение неравномерности в полосе пропускания., получаем более острый излом. Амплитудная характеристика этого фильтра описывается уравнением:
,
где Сn - полином Чебышева первого рода степени n, а - константа, определяющая неравномерность характеристики в полосе её пропускания. Фильтр Чебышева, как и фильтр Баттерворта имеет фазо-частотные характеристики далекие от идеальных.
На самом деле фильтр Баттерворта с максимально плоской характеристикой в полосе пропускания не так привлекателен, как это может показаться, поскольку в любом случае приходится мириться с некоторой неравномерностью характеристики в полосе пропускания (для фильтра Баттерворта это будет постепенное понижение характеристики при приближении к частоте fc, а для фильтра Чебышева - пульсации, распределенные по всей полосе пропускания). Кроме того, активные фильтры, построенные из элементов, номиналы которых имеют некоторый допуск, будут обладать характеристикой, отличающейся от рассчетной, а это значит, что в действительности на характеристике фильтра Баттерворта всегда будет иметь место некоторая неравномерность в полосе пропускания.
В свете вышеизложеного весьма рациональной структурой является фильтр Чебышева. Иногда его называют равноволновым фильтром, так как его характеристика в области перехода имеет большую крутизну за счет того, что в полосе пропускания распределено несколько равновеликих пульсаций, число которых возрастает вместе с порядком фильтра. Даже при сравнительно малых пульсациях (порядка 0,1дБ ) фильтр Чебышева обеспечивает намного большую крутизну характеристики в преходной области, чем фильтр Баттерворта. Чтобы выразить эту разницу количественно, предположим, что требуется фильтр с неравномерностью характеристики в полосе пропускания не более 0,1 дБ и затуханием на частоте, отличающецся на 25% от граничной частоты пропускания. Расчет показывает, что в этом случае требуется 19-полюсной фильтр Баттерворта или всего лишь 8-полюсный фильтр Чебышева.
Мысль о том, что можно мириться с пульсациями характеристики в полосе пропускания ради крутизны переходного участка характеристики, доводиться до своего логического завершения в идее так называемого элептического фильтра (или фильтра Кауэра), в котором допускаются пульсации характеристики как в полосе пропускания, так и в полосе задерживания ради обеспечения крутизны переходного участка даже большей, чем у характеристики фильтра Чебышева. С помощью ЭВМ можно сконструировать эллиптические фильтры так же просто, как и классические фильтры Чебышева и Баттерворта.