Исследование помехоустойчивого канала передачи данных методом имитационного моделирования на ЭВМ
МИНИСТЕРСТВО ТРАНСПОРТА УКРАИНЫ
Днепропетровский государственный технический универcитет железнодорожного транспорта
курсовая работа
«Исследование помехоустойчивого канала передачи данных методом имитационного моделирования на ЭВМ»
выполнил:
студент 437 группы
Астраханцев Дима
проверил:
Безруков В.В.
Днепропетровск 2000
1. Исследование и выбор модели источника сообщений.
Для исследования информационных систем связи и управления обычно используют т.н. двоичные источники сообщений. Рачет ведется для независимых между собой сообщений. Хотя практически всегда имеет место такая зависимость, избыточность источника стараются устранить, повысив тем самым эффективность и надежность канала передачи данных (например, сжав или закодировав исходные сообщения). Алфавит двоичного источника состоит из двух сообщений (0 и 1) и поэтому его проще всего моделировать. В качестве источника независимых двоичных сообщений можно использовать т.н. квазислучайные последовательность (КСП), т.е. имеющие некоторый период повторений. Реализуемая практически каждой ЭВМ функция random дает КСП с очень большим периодом повторений, однако ее характеристики несколько уступают КСП сгенерированной с помощью т.н. регистра КСП.
Возмем, для сравнения, 9-ти элементный регистр (рисунок 1), длина периода КСП которого
рисунок 1
составляет 29=512 сообщения и стандартную функцию языка высокого уровня random(генератор случайных чисел - ГСЧ) как источники двоичных сообщений. Параметры источников занесем в таблицу 1 и сравним :
Таблица 1
|
Параметр источника |
Регистровый способ |
Способ ГСЧ |
|
Вероятностные характеристики КСП без учета зависимости между символами : |
||
|
вероятность единицы |
0.50000 |
0.50586 |
|
вероятность нуля |
0.50000 |
0.49414 |
|
энтропия источника H, бит/символ |
1.00000 |
0.99990 |
|
Вероятностные характеристики с учетом зависимости между символами : |
||
|
условные вероятности единицы : p(1/1) |
0.50000 |
0.49421 |
|
p(1/0) |
0.50000 |
0.51779 |
|
условные вероятности нуля : p(0/1) |
0.50000 |
0.50579 |
|
p(0/0) |
0.50000 |
0.48221 |
|
финальная вероятность единицы: |
0.50000 |
0.50586 |
|
финальная вероятность нуля: |
0.50000 |
0.49414 |
|
условная энтропия "1" H>1>, бит/символ |
1.00000 |
0.99990 |
|
условная энтропия "0" H>0>, бит/символ |
1.00000 |
0.99909 |
|
энтропия источника H, бит/символ |
1.00000 |
0.99950 |
|
Характеристики корреляционной функции : |
||
|
значение КФ от нуля равно |
0.25000 |
0.24997 |
|
эквивалентный интервал корреляции |
2.00000 |
4.00000 |
|
среди боковых лепестков наибольший с номером |
61 |
2 |
|
его величина составляет % от главного |
4.21286 |
15.28238 |
Как видно из таблицы, для моделирования случайного двоичного источника регистровый метод получения КСП предпочтительней т.к. выходная величина имеет характеристики случайной:
p(0)=p(1)=0.5 ; p(1/0)=p(0/0)=0.5; p(1/1)=p(0/1)=0.5;
,

H = p(0)H>0>+p(1)H>1 >= 1 бит/символ.
О лучших случайных характеристиках можно также судить по графикам АКФ(рисунок 2) : квазислучайная последовательность полученная регистровым способом обладает лучшими корреляционными свойствами (малый размер боковых лепестков, большая удаленность максимального из боковых от нулевого).

рисунок 2
Итак, в роли источника сообщений выбран регистр КСП, показаный на рисунке 1. Длина периода КСП - 512. Квазислучайная последовательность , в сокращенном виде : 00011110111000010....... 101111000001111111110.
2. Исследование линии на имитационной модели.
Характеристики канала очень важно знать для построения качественных систем передачи информации. В данном случае в роли канала выступает линия - симметричная пара кабеля типа ТПП, диаметром 0.4 мм и длиной 5 км. Естественно идеальным решением было бы измерение параметров уже существующей линии, но поскольку это довольно трудоемкая и длительная задача можно провести исследование на имитационной модели. В качестве такой модели можно выбрать аналитические выражения описывающие линию передачи (непрерывная модель линии), а можно использовать ее цифровой эквивалент (т.н. дискретная модель линии).
Передаточная функция аналоговой линии, представленной в виде колебательного звена:
,
где
- постоянная
времени линии
- коэффициент
затухания линии.
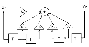
Если представить аналоговую линию в виде цифрового фильтра (рисунок 2), то используя Z-преобразование можно записать:

откуда выражение для выходного сигнала:
y>n> = a>0>x>n> + a>1>x>n-1> + a>2>x>n-1> + b>1>y>n-1> + b>2>y>n-2> ,
где x>n >, y>n> - сигнал на входе и на выходе соответственно,
a>i >, b>i> - параметры, описывающие цифровую модель линии.

рисунок 3
С помощью такой модели можно исследовать различные характеристики системы, варьируя входными сигналами. Например при подачи на вход единичного ступенчатого импульса, на выходе имеем сигнал, соответствующий переходной характеристике линии.
С помощью программы «liniam» исследуем переходную и импульсную характеристики линии, амплитудно-частотную характеристику линии A(w) и частотную характеристику затухания a(w). Задавая удельные значения L = 0.6 мГн/км, С=45 нФ/км, R>л> = 280 Ом/км (для кабеля типа ТПП диаметром 0.4 мм) ,при сопротивлении нагрузки 600 Ом и принимая длину линии 5 км построим графики импульсной и переходной характеристики, АЧХ и ЧХ затухания (рисунок 3,4,5,6), приведя в таблице 2 численные значения этих характеристик.
Таблица 2
|
N |
0 |
1 |
2 |
3 |
4 |
5 |
6 |
|
t, с |
0 |
2.04e-6 |
4.08e-6 |
8.16e-6 |
1.42e-5 |
2.04e-5 |
3.88e-5 |
|
ИХ g(t) |
0.584 |
1.000 |
0.693 |
0.331 |
0.112 |
0.037 |
0.001 |
|
ПХ h(t) |
0.152 |
0.413 |
0.593 |
0.805 |
0.935 |
0.978 |
0.999 |
|
f, Гц |
0,0000 |
24868 |
49736 |
74604 |
99472 |
198944 |
248680 |
|
АЧХ A(f) |
1 |
0,52968 |
0,29273 |
0,19037 |
0,13361 |
0,03469 |
0,0001 |
|
ЧХ a(f) |
0,0000 |
5,51977 |
10,6708 |
14,4081 |
17,4834 |
29,19741 |
49,7160 |

рисунок 4

рисунок 5

рисунок 6

рисунок 7
Из графика переходного процесса в линии (рис. 4) определяется время переходного процесса t>п >=0,000040 сек. (с 5-ти процентным допуском).
Продолжительность переходного процесса в линии определяет номинальную скорость передачи информации В по этому каналу:
В = 1/t>п >= 1/0,000040 = 25000,00 бод.
3. Исследование спектра сигнала.
Существует множество «кодовых» видов сигналов (квазитроичный, биимпульсный, двухполярный). Выбор линейного сигнала позволяет найти сигнал, который согласовывался с параметрами линии по ширине спектра, амплитуде. Также это определяет метод согласования передатчика с линией, который в зависимости от этого может быть оптроном, трансформатором, реле. Реже передатчик и линия связаны гальванически.
Выбирая двухполярный сигнал (вид сигнала показан на рис. 8):

рисунок 8
с помощью программы SPECTRSX определим основные параметры сигнала и построим его спектр (приняв скорость передачи равной 25000 Бод).

рисунок 9
Параметры СПМ сигнала:
Эквивалентная ширина СПМ равна 11740 Гц
Нижняя граничная частота эфф-ой полосы: F1=0 Гц
Верхняя граничная частота эфф-ой полосы: F2=17188 Гц
Ширина эффективной полосы СПМ равна: 17188
Средняя частота эффективной полосы: 8594
Из приведенных данных следует, что параметры сигнала согласуются с частотным диапазоном линии.
Значения спектральной плотности мощности приведены в таблице 3.
Таблица 3
|
f, Гц |
0,0000 |
15625 |
31250 |
46875 |
62500 |
125000 |
187500 |
|
S, Вт |
0,07 |
0,0136 |
0,0021 |
0,0002 |
0,00157 |
0,0002 |
0,0001 |
4. Исследование искажений сигнала в линии.
Для устойчивого приема сигнала необходимо, чтобы интерференционные искажения сигнала в линии не превышали допустимого значения на данной скорости передачи. С помощью программы «Skrivlen» определим величину интерференционных искажений. Для этого приведем на рисунке 10 интерференционную диаграмму сигнала (расчет ведем для длины линии 5 км, диаметра кабеля 0,4 мм, отношение сигнал/шум - 10 Дб и скорости передачи сигнала 17188 Бод - такая эффективная полоса СПМ сигнала):

рисунок 10
Величину краевых значений интерференционных искажений при такой скорости не представляется возможным определить по данному графику (слишком большие интерференционные искажения). Поэтому необходимо понизить скорость передачи и построить интерференционную диаграмму заново. Диаграмма для скорости передачи В=4800 Бод приведена на рисунке 11.

рисунок 11
Величина интервальных искажений:
=12/119=0.1001,
что соответствует заданному значению
для интерференционных искажений (10%).
5. Исследование помехоустойчивого приема.
Существует множество оптимальных и практических методов приема сигналов. Все они основаны на выборе истинного значения сигнала по пришедшему, определяя минимальное к нему расстояние. Выберем наиболее лучший метод, проведя исследование приема с помощью программы «Metodprm». Сравним, например два метода:
- интегральный
- метод стробирования релейного сигнала,
построив графики отношения вероятности ошибочного приема от заданного отношения сигнал/помеха (показаны на рисунке 12). Значения вероятностей приведены в таблице 4.
Таблица 4
|
Отношение сигнал/помеха |
1 |
2 |
3 |
5 |
8 |
10 |
15 |
|
Р>интегральный метод> |
0,01593 |
0,003361 |
0,0009876 |
0,0001451 |
0,0000124 |
0,0000056 |
0,0000002 |
|
Р>метод стробирования> |
0,1478 |
0,07323 |
0,04032 |
0,01431 |
0,003548 |
0,001389 |
0,000151 |

рисунок 12
Выбирая метод приема следует обратить внимание на то, что оба метода приема удовлетворяют заданному требованию (р>ош >= 0.01 при отношении сигнал/помеха h = 10%), но как видно из рисунка, метод интегрального приема предпочтительней, т.к. дает минимальную вероятность ошибочного приема сообщения. Схема устройства, выполняющего роль приемника при интегральном приеме показана на рисунке 13.

рисунок 13
Реле выполняет роль порогового элемента, а устройство синхронизации, выделяя длительность импульса из поступающих сигналов, управляет интегратором (обнуление в конце каждого такта), импульсным элементом (замер выходного значения интегратора в конце каждого такта) и экстраполятором.На выход поступают двухполярные сигналы, практически соответствующие выходным передатчика (при заданном соотношении сигнал/помеха и учете что помеха - гауссовский шум).
6. Исследование и выбор циклического кода.
Зная допустимые параметры k (колическтво информационных элементов k<30) и tau (коэффициент избыточности tau<0.15)выберем циклический код с d=3 и исследуем его помехоустойчивость с помощью программы «Cyclecod». Такой код может быть, например (39,27) кодом, с порождающим многочленом g(x) = x12+x10+x9+x8+x7+x3+x2+x+1. Занесем измеренные данные (зависимость вероятности необнаруженной ошибки от вероятности ошибки в канале) в таблицу 5, по результатам которой построим график этой зависимости, показанный на рисунке 14.
Таблица 5.
|
Р>ош> |
0,001 |
0,002 |
0,005 |
0,01 |
0,015 |
0,02 |
|
Р>ост> |
0,00000062 |
0,00000112 |
0,00000143 |
0,00000341 |
0,00000562 |
0,00000612 |

рисунок 14
Такой код полностью удовлетворяет требованиям помехоустойчивости, т.к. при допустимой вероятности ошибки 10-5, обеспечивает вероятность необнаружения ошибки 3.41*10-6 (при вероятности ошибки в канале 10-2).
Формирователем циклического кода может выступать устройство умножения на порождающим многочлен g(x) = x12+x10+x9+x8+x7+x3+x2+x+1. Такое устройство, реализуемое на триггерах и двоичных сумматорах, приведено на рисунке 15.

рисунок 15
Информационные слова, поступающие на вход имеют длину k=27, выходные же кодовые слова длиной n=39.
Устройство декодирования сигнала, аналогично приведенному выше кодеру, может быть выполнено в виде делителя кодового слова на порождающий многочлен. Такое устройство показано на рисунке 16.

рисунок 16
Понятно, что такое устройство не может выступать в качестве конечного декодера, потому что оно не выделяет остаток, по которому можно было судить об ошибке. Наиболее сложную часть в декодере с регистром сдвига - табулирование зараннее вычисленных синдромных многочленов и соответствующих им многочленов ошибок может воспроизводить т.н. декодер Меггита, показанный на рисунке 17.

рисунок 17
В таком декодере, принятое слово, поступает в буфер, выходными значениями которого управляет блок проверки совпадений ошибок с табличными синдромами. В результате обнаружения ошибки (точнее нахождению в таблице синдрома, соответствующего остатку от деления принятого слова на порождающий полином), кодер исправляет соответствующий разряд, когда тот выталкивается из буфера - n-разрядного регистра сдвига.