Радиотехнические цепи и сигналы (работа 2)
Министерство образования РФ
Южно-Уральский Государственный университет
Кафедра "Цифровые и радиотехнические системы"
Пояснительная записка к курсовому проекту
по курсу "Радиотехнические цепи и сигналы"
ЮУрГУ - К 200771.000ПЗ
Нормоконтролер Руководитель
Никифоров Н.Т.___________ Никифоров Н.Т.____________
"___"_______________2000 г. "___"________________2000 г.
Автор проекта
студент группы ПС-366
Квятковский А.Л.___________
Проект защищён с оценкой
__________________________
__________________________
"___"________________2000 г.
Челябинск
2000
Южно-Уральский Государственный Университет
Приборостроительный факультет
Кафедра ЦРТС
Задание
по курсовой работе
студента группы ПС366 Квятковского Александра Леонидовича.
Тема работы: Преобразование частоты. Синхронное и асинхронное детектирование.
Срок сдачи работы: 15 декабря 2000 г.
Исходные данные к работе:
Таблица 1.
|
a>2>, mA/B2 |
>г>, гр. |
Несущее колебание |
Смещен. |
Моделирующее |
Гетеродин |
|||
|
f>0>, кГц |
U>m>>>, B |
U>0>, B |
U>m>>>, B |
F, кГц |
U>m>>г>, В |
F>г>, кГц |
||
|
1.7 |
120 |
90 |
0.8 |
0,-0.5 |
0.6 |
10 |
0.8 |
80 |
|
60 |
80 |
8 |
100 |
|||||
|
0 |
70 |
14 |
70 |
Выполнить подробный расчёт коэффициентов степенного ряда а>0>, а>1>, а>2> по заданной ВАХ нелинейного элемента.
Рассчитать и построить спектрограммы входного напряжения и выходного тока детектора.
Самостоятельно подобрать параметры фильтров, обеспечив при этом выделение сигнала в верхней и нижней полосе частот. Показать влияние добротности фильтра на результаты фильтрации.
Привести аналитические выражения и изобразить фрагменты осциллограмм при детектировании немодулированного несущего колебания в синхронном и асинхронном режимах.
Получить распечатки всех шести вариантов задания.
В выводах дать подробнейший анализ всех расчётных и компьютерных вычислений.
Содержание расчётно-пояснительной записки:
Расчёт коэффициентов степенного ряда.
Расчёт и построение спектрограмм входного напряжения и выходного тока.
Подбор параметров фильтра и выделение сигнала на НЧ и ВЧ.
Получение осциллограмм при детектировании немодулированного несущего колебания.
Перечень графического материала: нет.
Консультанты по работе с указанием относящихся к ним разделов:
Расчёт коэффициентов степенного ряда ______ Никифоров Н.Т.
Построение спектрограмм выходного тока ______ Никифоров Н.Т.
Фильтрация выходного сигнала на НЧ и ВЧ ______ Никифоров Н.Т.
7. Дата выдачи: сентябрь 2000 г.
Руководитель: ______Никифоров Н.Т.
Задание принял к выполнению: сентябрь 2000 г. ____________
Аннотация.
В курсовой работе был произведён расчёт коэффициентов степенного ряда с помощью ВАХ нелинейного элемента. Рассчитываются и строятся спектрограммы выходного тока.
В курсовой работе детектирование производится в синхронном режиме (частота входного сигнала равна частоте гетеродина) и асинхронном режиме (частоты не равны), при этом входной сигнал представляет собой АМ колебание с заданными параметрами.
Для выделения сигнала из спектра выходного тока на НЧ и ВЧ, используются резонансный фильтр и фильтр низких частот, параметры которых выбираются самостоятельно для каждого из шести заданных случаев.
Все необходимые распечатки присутствуют в данной работе.
Расчёты проводились вручную, либо с помощью программы Math-cad 8. С использованием этой программы были получены все графики.
Содержание.
Введение ….………………………………………………………………………..…….………..5
Расчёт коэффициентов степенного ряда………………………………………….…...………...6
Построение спектрограмм……………………………………………………………………….7
3. Подбор параметров фильтра. Фильтрация. Влияние добротности……………………………11
4. Выводы……………………………………………………………………………………………20
5. Список литературы……………………………………………………………………………….21
Введение.
Детектирование АМ колебаний заключается в выделении сигнала, пропорционального закону изменения амплитуды АМ колебания, в которой заключена передаваемая информация. Процесс, обратный процессу модулирования называется детектированием (демодуляцией).
На вход детектора подается модулированное колебание с высокочастотными составляющими (несущее колебание и колебания боковых частот), на выходе получаем НЧ колебание, в котором заключена передаваемая информация. Вследствие трансформации частотного спектра при детектировании, целесообразно применение нелинейных элементов. На нелинейный элемент воздействуют 2 сигнала: гетеродин и сигнал подлежащий преобразованию. Таким образом, осуществляется сдвиг спектра сигнала с сохранением его структуры.
При частоте гетеродина равной частоте сигнала получаем синхронное детектирование (в противном случае асинхронное детектирование).
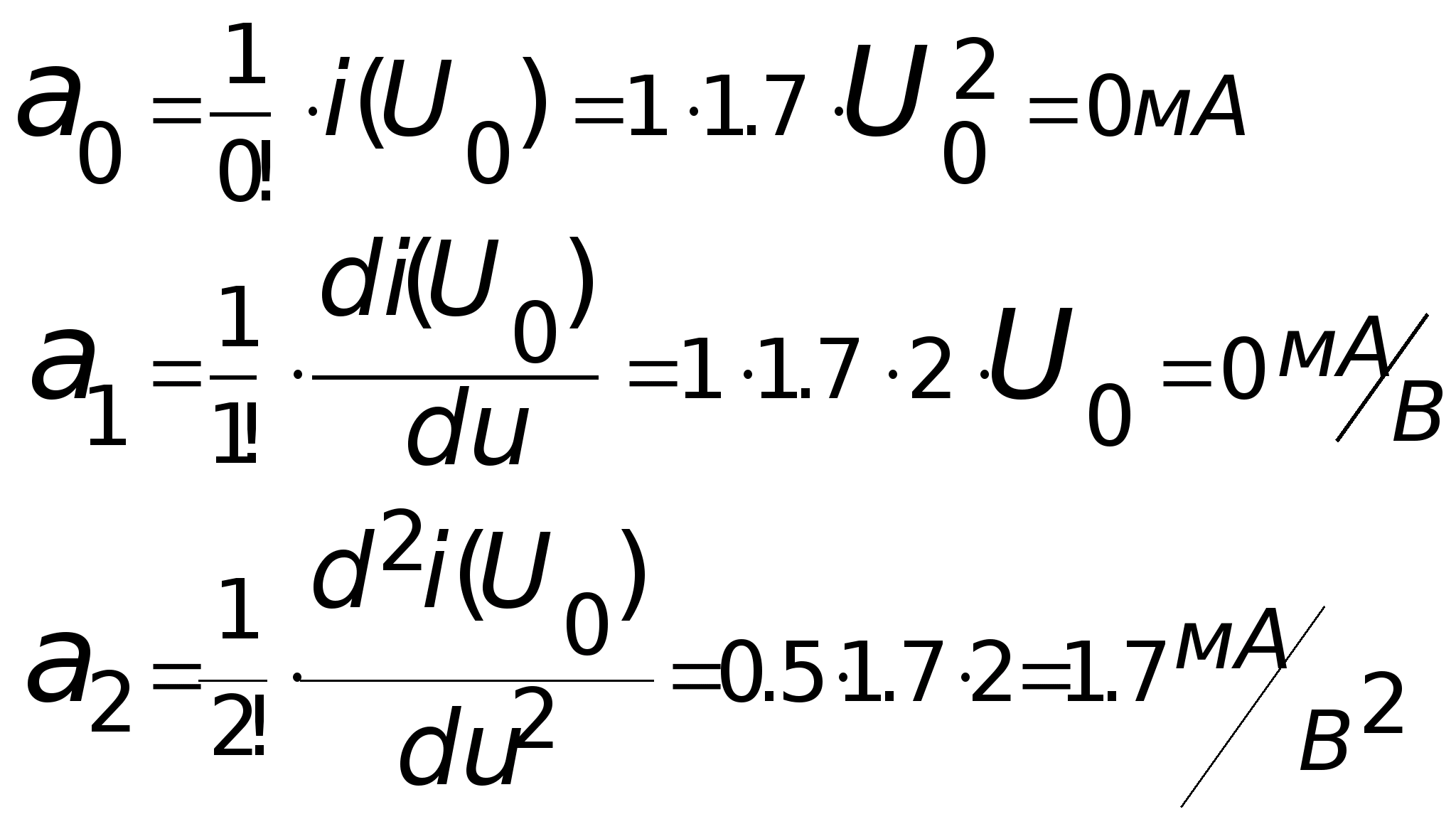
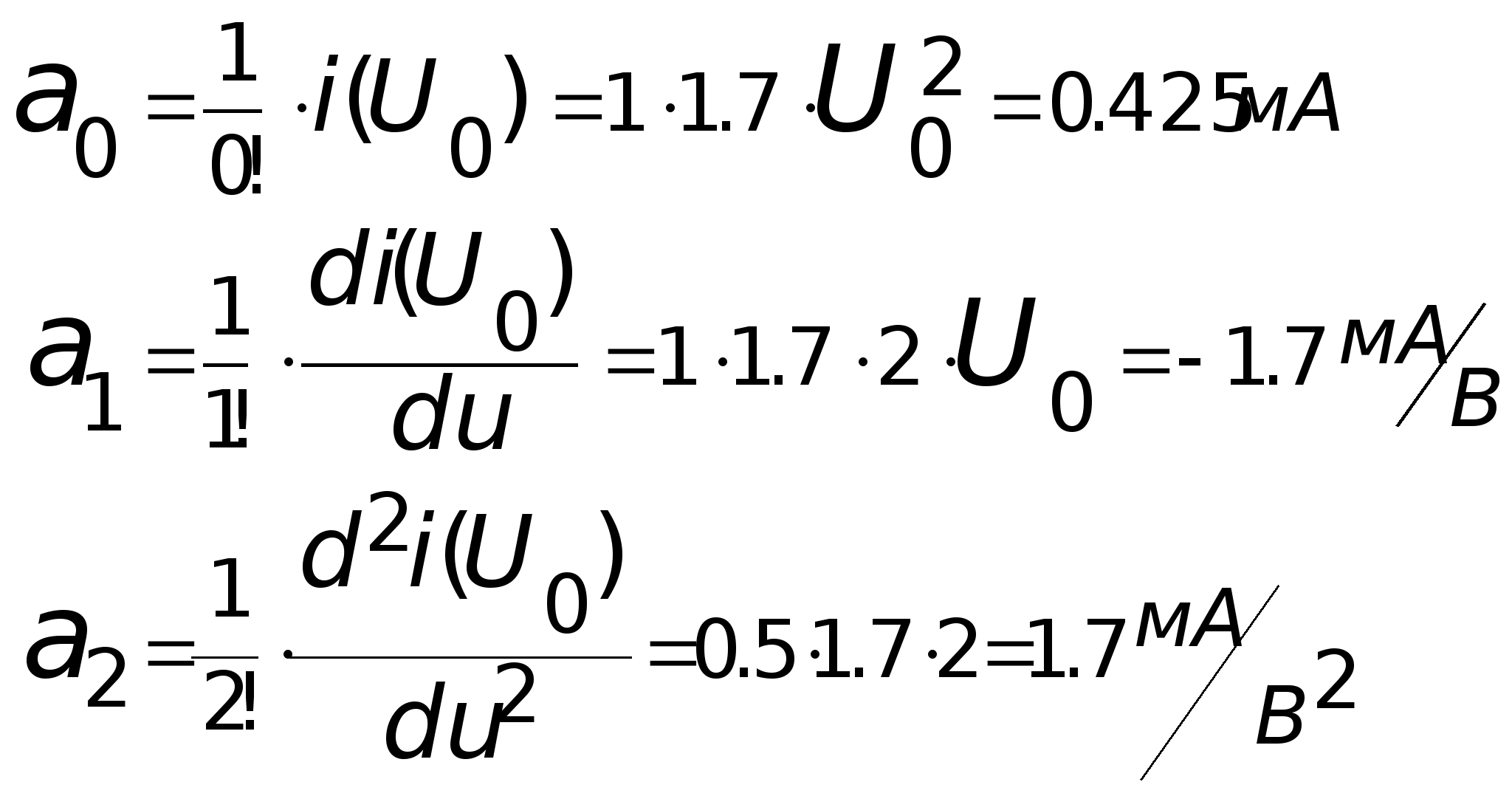
2.Расчет коэффициентов.
Коэффициенты степенного ВАХ нелинейного элемента задаётся уравнением:
Y=1.7x2.

Рис.1.
Формула для нахождения
коэффициентов степенного полинома
следующая:
,
где U>0> –
напряжение полинома второй степени
определим по ВАХ нелинейного элемента.
смещения рабочей точки, а>0>–это
ток в рабочей точке, а>1>
– крутизна ВАХ элемента в рабочей точке.
Рассчитаем а>0> и а>1> для двух заданных напряжений смещения U>0>.
Для U>0>= 0 В:

Для U>0>= -0.5 В:

2. Построение спектрограмм.
На вход нелинейного элемента подаем 2 сигнала: АМ и гетеродин. Формулы для них выглядят соответственно:
,
(2.1)
- циклическая
частота несущего колебания,
- циклическая
частота моделирующего колебания,
-
амплитуда несущего колебания,
-
амплитуда модулирующего колебания,
М – коэффициент модуляции.
,
(2.2)
- амплитуда гетеродина,
- циклическая частота
гетеродина,
θ>г >– фаза гетеродина.
Выражение для выходного тока имеет вид:
(2.3)
причём U(t)=e>s>(t)+e>г>(t).
Подставим в U(t) выражения (2.1) и (2.2), и получившееся выражение подставим в выражение (2.3). После раскрытия всех скобок, перемножив косинусы и понизив их степень, получим выражение(2.4), по которой строится спектрограмма:

(2.4)
Для построения диаграмм улучшим наглядность. За А>n>(х) обозначим амплитуду n-ой гармоники, вместо же х у меня будет стоять частота, на которой находится эта гармоника.


>
>



>
>
>
>
>
>


Подставляя заданные значения всех шести вариантов, получаем шесть спектрограмм. Числовые значения всех спектров приведены в следующих таблицах.
Таблица 2. Несущая частота больше частоты гетеродина(U>0>=0).
|
Частота, кГц |
0 |
10 |
20 |
160 |
170 |
180 |
190 |
200 |
|
Амплитуда, мА |
1,096 |
0,981 |
0,357 |
0,916 |
0,952 |
0,607 |
0,408 |
0,765 |
Таблица 3. Несущая частота меньше частоты гетеродина(U>0>=0).
|
Частота, кГц |
0 |
8 |
12 |
16 |
20 |
28 |
144 |
|
Амплитуда, мА |
1,24 |
0,82 |
0,41 |
0,15 |
1,09 |
0,41 |
0,08 |
Продолжение табл.3.
|
152 |
160 |
168 |
172 |
176 |
180 |
188 |
200 |
|
0,41 |
0,70 |
0,41 |
0,41 |
0,08 |
1,09 |
0,41 |
0,54 |
Таблица 4. Частоты равны [синхронный режим] ( U>0>=0).
|
Частота, кГц |
0 |
14 |
28 |
112 |
126 |
140 |
154 |
168 |
|
Амплитуда, мА |
2,33 |
1,22 |
0,15 |
0,08 |
0,82 |
2,74 |
0,82 |
0,08 |
Таблица 5. Несущая частота больше частоты гетеродина(U>0>=-0,5).
|
Частота, кГц |
0 |
10 |
20 |
80 |
90 |
100 |
160 |
170 |
180 |
190 |
200 |
|
Амплитуда, мА |
1,50 |
0,98 |
0,36 |
1,19 |
-1,36 |
-0,51 |
0,92 |
0,95 |
0,61 |
0,41 |
0,08 |
Таблица 6. Несущая частота меньше частоты гетеродина(U>0>=-0,5).
|
Частота, кГц |
0 |
8 |
12 |
16 |
20 |
28 |
72 |
80 |
88 |
|
Амплитуда, мА |
1,67 |
0,82 |
0,41 |
0,15 |
1,09 |
0,41 |
-0,51 |
-1,36 |
-0,51 |
Продолжение табл.6.
|
100 |
144 |
152 |
160 |
168 |
172 |
176 |
180 |
188 |
200 |
|
-1,36 |
0,08 |
0,41 |
0,70 |
0,41 |
0,41 |
0,08 |
1,09 |
0,41 |
0,54 |
Таблица 7. Частоты равны [синхронный режим] (U>0>=-0.5).
Частота, кГц |
0 |
14 |
28 |
56 |
70 |
84 |
112 |
126 |
140 |
154 |
168 |
|
Амплитуда, мА |
2,75 |
1,63 |
0,15 |
-0,51 |
2,72 |
-0,51 |
0,08 |
0,82 |
2,33 |
0,82 |
0,08 |
Теперь, имея всю необходимую информацию, были построены спектрограммы выходного тока.

рис. 2. Несущая частота больше частоты гетеродина(U>0>=0).

рис. 3. Несущая частота меньше частоты гетеродина(U>0>=0).

рис. 4. Частоты равны [синхронный режим] ( U>0>=0).

рис. 5. Несущая частота больше частоты гетеродина (U>0>=-0,5).

рис. 6. Несущая частота меньше частоты гетеродина(U>0>=-0,5).

рис. 7. Частоты равны [синхронный режим] (U>0>=-0,5).
Из спектров видно, что наибольшие шумы присутствуют при асинхронном режиме, когда несущая частота меньше частоты гетеродина, при U>0 >не равном нулю. Наименьшие же искажения относятся к случаю, когда режим синхронный, и напряжение смещения равно нулю.
Подбор параметров фильтра. Фильтрация.
Влияние добротности.
В данной работе использовался ФНЧ для фильтрации сигнала на НЧ, и резонансный фильтр для выделения сигнала на ВЧ. Их АЧХ описываются формулами соответственно:
(3.1)
> > (3.2)
Резонансный фильтр выделяет АМ колебание, а ФНЧ выделяет его огибающую. Параметры фильтров подбирались самостоятельно. Так как по заданию не задавалось выделять полностью всю группу ВЧ составляющих, то и не ставилась цель это сделать. ВЧ составляющие фильтровались таким образом, чтобы захватывалось как можно меньше шумов. Но и получить “идеальное” АМ колебание так же целью не ставилось.
На рисунке 8 изображёно выделение НЧ сигнала, а на рис.9 изображена фильтрация ВЧ спектральных составляющих (несущая частота меньше частоты гетеродина(U>0>=0)).
Асинхронный режим при U>0>=0.
рис. 8.
рис. 9.
На рисунках показано, как фильтруются гармоники. То, что отфильтровывается, показано жирной линией, а то, что отсекается, показано пунктиром. После фильтрации значения амплитуд
умножаются на коэффициент передачи фильтра в данной точке. Помножив на косинус с данной частотой и фазой, полученное произведение складывается с другими аналогичными произведениями соседних гармоник. Результат - нужная нам осциллограмма.
рис.10.
рис.11.
На рис 10 показана спектрограмма, для случая фильтрации, показанного на рис.8. На рис. 11 показана спектрограмма для случая, указанного на рис. 9. Это асинхронный режим. Входное АМ колебание можно увидеть на рис. 12.
рис. 12.
Период огибающей выходного НЧ колебания как видно из рис. 10 равен 0,125 мс, следовательно, частота равна 8 кГц, и совпадает с частотой входного АМ колебания.
Так как частота огибающей выходного АМ колебания равна 8кГц, следовательно, некая гармоника модулирует наш сигнал с этой частотой. Эта гармоника находится на расстоянии 8 кГц вправо-влево от несущей частоты (рис. 9). На расстоянии 12 кГц влево от несущей находится составляющая, которая отвечает за отсечку. Докажем это: отсечка начинается через каждые 0,08 мс от максимума АМ сигнала, следовательно частота гармоники искажающей АМ сигнал есть частота, находящаяся на расстоянии 12 кГц влево от частоты несущей. Остальные гармоники вносят незначительные искажения из-за их небольших амплитуд.
Аналогично, за искажение НЧ сигнала отвечают гармоника, которая находится на частоте 12 кГц. Период же НЧ колебания равен 0,125 мс,частота равна 8 кГц, что соответствует первой гармонике. Остальные гармоники вносят незначительные искажения из-за их относительно небольших амплитуд.
Входное и выходное АМ колебания схожи, но из рис. 11 видно, что в выходном присутствуют искажения, которые вносятся при преобразовании частоты.
График гетеродина приведён на рис.13 (>г>=600).
рис.13.
Рассмотрим синхронный режим при U>0>=-0,5.
На рис. 14 и 15 приведена фильтрация НЧ и ВЧ спектральных составляющих.
рис.14.
рис. 15.
На рис. 16 и 17 изображены соответственно осциллограммы НЧ и ВЧ колебания.
рис. 16
рис. 17
рис. 18.
На рис.18 изображена осциллограмма входного АМ колебания.
При синхронном режиме работы искажения минимальны. Как видно из рисунков 17 и 18 частоты модулирующих колебаний одинаковы (14кГц по заданию). Проверим это: Период модулирующего выходного АМ колебания равен 0,072мс, следовательно, частота равна 14 кГц. Минимальные искажения видны и из спектрограмм (рис. 14 и 15). Коэффициент модуляции входного АМ колебания (0,6) в 3 раза больше, чем коэффициент модуляции выходного (0,2). При синхронном режиме полученное НЧ колебание содержит в себе гораздо больше полезной информации, чем при асинхронном. Другое дело, на сколько сложно на практике добиться равенства частоты несущей и частоты гетеродина?
Спектрограмма гетеродина (>г>=0).
Синхронный режим при U>0>=0.
рис.19 Выделение НЧ гармоник.
рис.20. Фильтрация ВЧ гармоник.
рис. 21. Выходное АМ колебание.
рис. 22 НЧ колебание
рис.23. Гетеродин (>г>=0)
рис.24 Входное АМ колебание.
Искажения практически отсутствуют, т.к. режим синхронный и U>0>=0.
Рассмотрим асинхронный режим при U>0>=-0,5.
рис.25. Фильтрация НЧ гармоник.
рис.26. Фильтрация ВЧ гармоник.
рис. 27. Выходной АМ сигнал.
рис. 28. Выходной НЧ сигнал.
рис. 29. Входной АМ сигнал.
рис.30. Гетеродин (>г>=120).
Как видно из рис.26. здесь присутствует паразитная угловая модуляция. Это также видно по выходному АМ колебанию (рис.27). Заметно, что хоть режим и асинхронный, но искажений присутствует гораздо меньше, чем в случае, когда частота гетеродина больше частоты несущего колебания.
При фильтрации ВЧ гармоник, неискажённой остаётся только несущая гармоника, остальные искажаются из-за того, что коэффициент передачи фильтра в данной точке не равен единице. Причём, чем дальше от несущей находится гармоника, тем сильнее она отсекается фильтром. Уровень подавления зависит от добротности фильтра.Чем меньше добротность, тем больше отсекается фильтром.
4. Выводы.
В данной работе были рассчитаны коэффициенты степенного ряда для U>0>=0 и U>0=>-0,5. Рассчитан и построен спектр выходного тока для всех шести вариантов. Были получены осциллограммы выходных НЧ и АМ колебаний, гетеродина и АМ колебания подаваемых на вход.
Как видно из рис.25 гармоники, которые лежат ниже оси ОХ рисуются сплошной линией, хотя должны рисоваться пунктиром, т.к. отсекаются фильтром. Всё дело в том, что сплошной линией по программе рисуются те гармоники, которые лежат ниже АЧХ фильтра, а не те которые отсекаются фильтром. Естественно, что те гармоники, которые не попадают в полосу пропускания, но рисуются сплошной линией, на построение нужной спектрограммы влияния не оказывают. В большинстве случаев (кроме пары графиков) гармоники, которые лежат ниже АЧХ фильтра, попадают в полосу пропускания фильтра.
Наибольшие искажения вносятся в случае, когда частота гетеродина больше частоты несущего колебания. Это естественно, так как происходит инверсия спектра. Следовательно, при детектировании АМ колебания если не возможно добиться синхронного режима, то надо хотя бы добиться того, чтобы частота гетеродина была меньше частоты несущего колебания.
Наименьшие искажения присутствуют в случае синхронного режима с нулевым смещением. Этот режим является оптимальным для детектирования АМ колебания, т.к. в этом случае передается максимум полезной информации.
При фильтрации были использованы резонансный и НЧ фильтры. С помощью резонансного фильтра выделяем выходное АМ колебание, а с помощью ФНЧ фильтруем НЧ сигнал. Тип фильтра подбирался так, чтобы фильтрация проходила оптимально.
В ходе работы у меня закрепились знания о детектировании АМ колебаний.
Список литературы.
И. С. Гоноровский. «Радиотехнические цепи и сигналы».
М. «Советское радио». 1994. Изд. 5, перераб. и доп.
С. И. Баскаков. «Радиотехнические цепи и сигналы».
М. «Высшая школа». 2000. Изд. 3, перераб. и доп.
В. С. Андреев. «Теория нелинейных электрических цепей».
М. «Радио и связь». 1988.
Н. Т. Никифоров. Конспект лекций по курсу
«Радиотехнические цепи и сигналы».
Министерство образования РФ
Южно-Уральский Государственный университет
Кафедра "Цифровые и радиотехнические системы"
Пояснительная записка к курсовому проекту
по курсу "Радиотехнические цепи и сигналы"
ЮУрГУ - К 200727.000ПЗ
Нормоконтролер Руководитель
Никифоров Н.Т.___________ Никифоров Н.Т.____________
"___"_______________2000 г. "___"________________2000 г.
Автор проекта
студент группы ПС-366
Ковширко Д.А._____________
Проект защищён с оценкой
__________________________
__________________________
"___"________________2000 г.
Челябинск
2000
Южно-Уральский Государственный университет
Приборостроительный факультет
Кафедра "Цифровые радиотехнические системы"
Задание
по курсовой работе
студента группы ПС-366 Ковширко Дмитрия Александровича
Тема работы: Преобразование частоты. Синхронное и асинхронное детектирование.
Срок сдачи работы: 16 декабря 2000 г.
Исходные данные к работе:
Таблица 1.
|
a>2>, mA/B2 |
>г>, гр. |
Несущее колебание |
Смещен. |
Моделирующее |
Гетеродин |
|||
|
f>0>, кГц |
U>m>>>, B |
U>0>, B |
U>m>>>, B |
F, кГц |
U>m>>г>, В |
F>г>, кГц |
||
|
1.3 |
30 |
180 |
0.4 |
0,0.2 |
0.5 |
18 |
0.4 |
160 |
|
60 |
150 |
15 |
180 |
|||||
|
0 |
160 |
20 |
160 |
Выполнить подробный расчёт коэффициентов степенного ряда а>0>, а>1>, а>2> по заданной ВАХ нелинейного элемента.
Рассчитать и построить спектрограммы входного напряжения и выходного тока детектора.
Самостоятельно подобрать параметры фильтров, обеспечив при этом выделение сигнала в верхней и нижней полосе частот. Показать влияние добротности фильтра на результаты фильтрации.
Привести аналитические выражения и изобразить фрагменты осциллограмм при детектировании немодулированного несущего колебания в синхронном и асинхронном режимах.
Получить распечатки всех шести вариантов задания.
В выводах дать подробнейший анализ всех расчётных и компьютерных вычислений.
Содержание расчётно-пояснительной записки:
Расчёт коэффициентов степенного ряда.
Расчёт и построение спектрограмм входного напряжения и выходного тока.
Подбор параметров фильтра и выделение сигнала на НЧ и ВЧ.
Получение осциллограмм при детектировании немодулированного несущего колебания.
Перечень графического материала: нет.
Консультанты по работе с указанием относящихся к ним разделов:
Расчёт коэффициентов степенного ряда ______ Никифоров Н.Т.
Построение спектрограмм выходного тока ______ Никифоров Н.Т.
Фильтрация выходного сигнала на НЧ и ВЧ ______ Никифоров Н.Т.
7. Дата выдачи: сентябрь 2000 г.
Руководитель: ______Никифоров Н.Т.
Задание принял к выполнению: ноябрь 2000 г. _______________
Аннотация.
Курсовая работа содержит полный расчёт спектрограмм выходных токов нелинейного элемента при детектировании в синхронном и асинхронном режимах (совпадение и несовпадение частот входного сигнала и гетеродина). Входной ток, воздействующий на нелинейный элемент, является АМ - колебанием.
Расчёт коэффициентов степенного ряда производится по вольт-амперной характеристике нелинейного элемента.
Для выделения НЧ и ВЧ сигнала на рассчитанный спектр накладывается фильтр низких частот и резонансный фильтр, параметры которых выбираются самостоятельно для каждого случая.
Для расчёта спектров в работе применяется программа MathCad 8.0, а для оформления работы использовался редактор Microsoft Word 97.
Все полученные в ходе расчёта спектров распечатки сведены в приложения к работе для более лёгкого ознакомления.
Содержание.
Введение……………………………………………………………………………………………….5
Расчёт коэффициентов степенного ряда…………………………………………………………6
Расчёт и построение спектрограмм выходного тока……………………………………………7
Подбор параметров фильтров и фильтрация выходного тока………………………………….9
Выводы……………………………………………………………………………………………10
Список литературы………………………………………………………………………………11
Приложения………………………………………………………………………………………12
Приложение 1. Спектры тока на выходе детектора…………………………………………...12
Приложение 2. Асинхронный режим детектирования при U>0> = 0……………………………14
Приложение 3. Синхронный режим детектирования при U>0> = 0……………………………..16
Приложение 4. Асинхронный режим детектирования при U>0> = 0,2 В……………………….18
Приложение 5. Асинхронный режим детектирования при U>0> = 0,2 В……………………….20
Введение.
При проектировании различных радиотехнических устройств нередко возникает задача переноса спектра сигнала в область более низких частот с сохранением формы и структуры сигнала. Такую задачу можно решить, если преобразуемый сигнал подать на вход нелинейного элемента одновременно с сигналом вспомогательного генератора, называемого гетеродином. В результате, мы получим исходный сигнал с той же структурой, но сдвинутый по оси частот.
Это свойство используется при детектировании АМ - колебания, которое заключается в выделении сигнала, пропорционального закону изменения амплитуды АМ колебания, т.е. выделяется сигнал, несущий полезную информацию. Таким образом, процесс детектирования является обратным процессу модулирования сигналов, и иногда называется демодуляцией.
Итак, при детектировании на вход детектора подаётся модулированный сигнал и сигнал гетеродина, а на выходе после прохождения фильтра низких частот выделяется сигнал соответствующий исходному моделирующему колебанию. Детектор называют синхронным, а детектирование происходит с минимальными искажениями, если частоты гетеродина и модулированного сигнала будут равны, и асинхронным, и, следовательно, детектирование с более сильными искажениями, если частоты неравны.
В предлагаемой курсовой работе рассматриваются оба режима детектирования: синхронный и асинхронный, исследуются факторы, влияющие на качество детектирования, такие как: параметры НЧ фильтров, их добротность.
1. Расчёт коэффициентов степенного ряда.
Для расчёта всех коэффициентов полинома второй степени можно воспользоваться графиком и аналитической формулой для ВАХ нелинейного элемента, которая имеет следующий вид:


Рис 1. ВАХ нелинейного элемента.
На рисунке 1 изображена ВАХ нелинейного элемента при заданном значении a>2>=1,3 мА/В2. Зная математическую зависимость для ВАХ, рассчитаем по формуле:
,
где U>0> - это напряжение смещения рабочей точки,
коэффициенты a>0> и a>1>, являющиеся соответственно током и крутизной ВАХ в рабочей точке. Т.к. задано два значения напряжения смещения U>0>, то получим шесть значений коэффициентов:
при U>0> = 0 В получаем
мА
мА/В
мА/В2
при U>0> = 0,2 В получаем
мА
мА/В
мА/В2
2. Расчёт и построение спектрограмм.
Запишем аналитические выражения для сигналов, которые подаются на вход детектора, а именно формулу для АМ - колебания:
,
(2.1)
где > > - коэффициент модуляции,
> > - циклическая частота несущего колебания,
> > - циклическая частота моделирующего колебания,
> > и > > - амплитуды несущего и моделирующего колебаний,
Уравнение, описывающее колебания гетеродина:
> >, (2.2)
где > > - циклическая частота колебаний гетеродина,
> > - амплитуда колебаний гетеродина.
При степенной аппроксимации полиномом второй степени, выражение, описывающее сигнал на выходе детектора, будет иметь следующий вид:
> > (2.3)
где > > - колебание на входе детектора.
В нашем случае колебание на входе это сумма АМ - колебания и колебания гетеродина. Таким образом, подставив в выражение (2.3) вместо > > сумму выражений (2.1) и (2.2), раскрыв скобки, приведя подобные слагаемые и понизив степени, получим выражение полностью описывающее спектральный состав выходного тока. Выполнив все действия, получили, что:
> > (2.4)
Из выражения (2.4) можно легко получить спектральный состав выходного тока. Значение амплитуд гармоник соответствуют значения, стоящие перед косинусами, а значения частоты, на которой находятся гармоника, соответствует частоте в аргументе косинуса. Запишем формулы для вычисления амплитуд спектральных составляющих и соответствующих им частот:
> > - постоянная составляющая на нулевой частоте,
> > - на частоте > >, > > - на частоте > >, > > - на частоте ,
> > - на частоте 2> >, > > - на частоте 2> >, > > - на частоте 2,
> > - на частоте > >+, > > - на частоте > >-,
> > - на частоте > >+> >>,>> >> > - на частоте > >-> >>,>
> > - на частоте 2> >+, > > - на частоте 2> >-, (2.5)
> > - на частоте 2> >+2, > > - на частоте 2> >-2,
> > - на частоте > >, > > - на частоте > >,
> > - на частоте > >, > > - на частоте > >,
Таким образом, мы получили, что спектр выходного сигнала состоит из девятнадцати спектральных составляющих, значение которых вычисляются по формулам (2.5). Ниже приведены таблицы, содержащие значения спектральных составляющих и значения соответствующих им частот для всех шести вариантов задания.
Таблица 2. U>0> = 0, f>0> = 180кГц, F = 18кГц, f>г> = 160кГц
|
f, кГц |
0 |
18 |
36 |
324 |
342 |
360 |
378 |
396 |
|
А>n>, мА |
0,4808 |
0,5023 |
0,08125 |
0,04063 |
0,2511 |
0,4814 |
0,2511 |
0,04063 |
Таблица 3. U>0> = 0, f>0> = 150кГц, F = 15кГц, f>г> = 180кГц
|
f, кГц |
0 |
15 |
30 |
45 |
270 |
285 |
300 |
315 |
330 |
345 |
360 |
|
А>n>,мА |
0,29 |
0,344 |
0,258 |
0,13 |
0,04 |
0,13 |
0,185 |
0,225 |
0,208 |
0,13 |
0,104 |
Таблица 4. U>0> = 0, f>0> = 160кГц, F = 20кГц, f>г> = 160кГц
|
f, кГц |
0 |
20 |
40 |
280 |
300 |
320 |
340 |
360 |
|
А>n>, мА |
0,4973 |
0,52 |
0,08125 |
0,04063 |
0,26 |
0,4973 |
0,26 |
0,04063 |
Таблица 5. U>0> = 0.2, f>0> = 180кГц, F = 18кГц, f>г> = 160кГц
|
f, кГц |
0 |
2 |
18 |
20 |
36 |
38 |
160 |
162 |
180 |
198 |
|
А>n>,мА |
0,3413 |
0,13 |
0,26 |
0,208 |
0,0812 |
0,13 |
0,208 |
0,13 |
0,208 |
0,13 |
|
f, кГц |
320 |
322 |
324 |
340 |
342 |
358 |
360 |
378 |
396 |
|
|
А>n>,мА |
0,104 |
0,13 |
0,0406 |
0,208 |
0,13 |
0,13 |
0,1853 |
0,13 |
0,0406 |
Таблица 6. U>0> = 0.2, f>0> = 150кГц, F = 15кГц, f>г> = 180кГц
|
f, кГц |
0 |
15 |
30 |
45 |
135 |
150 |
165 |
180 |
|
А>n>,мА |
0,3413 |
0,3439 |
0,2584 |
0,13 |
0,13 |
0,208 |
0,13 |
0,208 |
|
f, кГц |
270 |
285 |
300 |
315 |
330 |
345 |
360 |
|
|
А>n>,мА |
0,0406 |
0,13 |
0,1853 |
0,2252 |
0,231 |
0,13 |
0,104 |
Таблица 7. U>0> = 0.2, f>0> = 160кГц, F = 20кГц, f>г> = 160кГц
|
f, кГц |
0 |
20 |
40 |
140 |
160 |
180 |
280 |
300 |
320 |
340 |
360 |
|
А>n>,мА |
0,549 |
0,52 |
0,081 |
0,13 |
0,416 |
0,13 |
0,041 |
0,26 |
0,497 |
0,26 |
0,041 |
Различное количество гармоник объясняется тем, что некоторые из девятнадцати составляющих находятся на одинаковых частотах, и поэтому складываются в одну составляющую на данной частоте. С помощью вышеприведённых таблиц строятся спектры выходных токов для всех шести вариантов, которые приведены в приложении 1, причём в таблицах 4 и 7 описаны спектры при синхронном детектировании, а в остальных при асинхронном. В приложении 1 номер рисунка, на котором изображён спектр сигнала, соответствует варианту, полученному из таблицы 1 задания к данной курсовой работе. Спектрограммы изображены в том же порядке, что и таблицы 2 - 7.
3. Подбор параметров фильтров и фильтрация выходного тока.
Чтобы исследовать получившийся на выходе детектора сигнал, целесообразно выделить из целого спектра отдельную его часть на частотах > > и > >, т.к. спектр входного колебания смещается по оси частот. Если при этом частота несущего колебания равна частоте гетеродина, то спектр на низких частотах содержит практически копию спектра моделирующего колебания. Поэтому, фильтруя отдельные части спектра, можно оценить качество детектирования. Для того чтобы из спектра выделить низкочастотные составляющие, будем использовать фильтр низких частот, а для выделения более высокочастотной части - резонансный полосовой фильтр. Зададим оба фильтра так, чтобы их АЧХ приблизились по форме и структуре к АЧХ соответствующих фильтров Баттерворта. Из параметров для полосового фильтра определим резонансную частоту ω>р>=> > и добротность Q = ω>р>/Δω, где Δω = 2*Ω - ширина полосы пропускания. Для фильтра НЧ зададим частоту среза f>ср> = Ω. Аналитические выражения, описывающие передаточные функции фильтров, приведены ниже:
> > - для фильтра низких частот, (3.1)
> > - для полосового фильтра (3.2)
Для рассмотрения возьмём четыре различных варианта детектирования: синхронный режим для двух значений начального смещения и асинхронный режим для тех же значений U>0>. Все полученные распечатки и фрагменты осциллограмм представлены в приложениях 2 - 5, соответственно для каждого из вариантов. Изменяя при фильтрации значения добротности фильтров, можно добиться оптимального выделения сигналов из спектра. Так, увеличивая добротность полосового фильтра, можно избавиться от ненужных шумовых спектральных составляющих, однако одновременно существует риск слишком сильно ослабить боковые составляющие АМ колебания, что в свою очередь приведёт к изменению формы колебания, т.е. изменится коэффициент модуляции.
После фильтрации, полученные значения пропущенных фильтром гармоник умножаются на косинус соответствующей им частоты, а затем все они складываются. В результате мы получаем осциллограмму сигнала с выхода фильтра.
Изучив полученные осциллограммы выходных сигналов, можно сделать вывод, что наиболее качественное детектирование АМ сигнала происходит в синхронном режиме при равных частотах гетеродина и несущего колебания. В этом случае спектр переносится в область нулевой частоты без внесения помех, и отфильтрованный НЧ сигнал практически совпадает с огибающей АМ колебания. В асинхронном режиме исходный спектр либо полностью не переносится, при частоте гетеродина меньшей частоты несущей, либо зеркально отображается, если частота гетеродина больше, что в любом случае вносит искажения в НЧ сигнал. Подобный случай можно наблюдать в приложении 4, где в НЧ сигнал вносятся искажения паразитные гармоники. Как видно из рисунка 4.5 в сигнал кроме полезных гармоник на частотах 0 и 20 кГц входят паразитные гармоники на частоте 18 кГц и 2 кГц, последняя и создаёт биения с частотой 2 кГц (см. рисунок). Кроме того, искажается и АМ сигнал на несущей частоте > > (рисунки 4.4 и 4.6). Частота огибающей не изменяется, но в модуляции принимает участие ещё и составляющая, которая находится на расстоянии 2 кГц от центральной составляющей и вносит паразитные колебание с частотой 2 кГц (см. рисунок 4.6).
4. Выводы.
В данной работе выполнен расчет коэффициентов степенного полинома для различных напряжений смещения, а также рассчитан спектр входного напряжения, который включает три составляющие (центральную и 2 боковых), т. к. входной сигнал представляет собой АМ колебание. Также рассчитан и построен спектр выходного тока для различных напряжений смещения, частот и фаз гетеродина. Амплитуды гармоник выходного тока оказались одинаковыми для равных напряжений смещения. Но амплитуда гармоники не всегда совпадает с амплитудой в спектре на той же частоте, происходит как бы «отскок» от оси координат, несколько гармоник оказались на одной частоте и их амплитуды сложились.
Следует заметить о фазе гетеродина. При г = 0 ток достигает максимума, а при г = /2 или 3/2 ток достигает минимума. Выходной ток зависит не только от частот и фазы гетеродина, но и от напряжения смещения. При U0=0 В спектр как бы «сгущается», т.е. амплитуды спектральных составляющих на НЧ и ВЧ увеличиваются (как следствие после фильтрации, НЧ и ВЧ сигналы получают меньше искажений), а при U0=0.4 В спектр «рассредоточивается» (сигналы на выходах фильтра более искажены).
Для выделения сигналов из спектра использовались два фильтра: ФНЧ и полосовой фильтр, для которых были рассчитаны добротности, частоты резонанса и среза. С их помощью были получены выходные характеристики для разных режимов работы детектора.
Список литературы
И. С. Гоноровский. «Радиотехнические цепи и сигналы».
М. «Советское радио». 1994. Изд. 5, перераб. и доп.
С. И. Баскаков. «Радиотехнические цепи и сигналы».
М. «Высшая школа». 2000. Изд. 3, перераб. и доп.
В. С. Андреев. «Теория нелинейных электрических цепей».
М. «Радио и связь». 1988.
Н. Т. Никифоров. Конспект лекций по курсу
«Радиотехнические цепи и сигналы».
Приложение 1.
Спектры тока на выходе детектора.
Рис 1.1. U>0> = 0, f>0> = 180кГц, F = 18кГц, f>г> = 160кГц
Рис 1.2. U>0> = 0, f>0> = 150кГц, F = 15кГц, f>г> = 180кГц
Рис 1.3. U>0> = 0, f>0> = 160кГц, F = 20кГц, f>г> = 160кГц
Рис 1.4. U>0> = 0.2, f>0> = 180кГц, F = 18кГц, f>г> = 160кГц
Рис 1.5. U>0> = 0.2, f>0> = 150кГц, F = 15кГц, f>г> = 180кГц
Рис 1.6. U>0> = 0.2, f>0> = 160кГц, F = 20кГц, f>г> = 160кГц
Приложение 2.
Асинхронный режим детектирования при U>0> = 0.
f>0> = 180кГц, F = 18кГц, f>г> = 160кГц
Рис 2.1. Спектр с НЧ фильтром
Рис 2.2. Спектр с полосовым фильтром.
Рис 2.3. Входной сигнал.
Рис 2.4. ВЧ сигнал на выходе фильтра.
Рис 2.5. НЧ сигнал на выходе фильтра.
Рис 2.6. Колебание гетеродина при >г>=300.
Приложение 3.
Синхронный режим детектирования при U>0> = 0.
f>0> = 160кГц, F = 20кГц, f>г> = 160кГц
Рис 3.1. Спектр с НЧ фильтром
Рис 3.2. Спектр с полосовым фильтром.
Рис 3.3. Входной сигнал.
Рис 3.4. ВЧ сигнал на выходе фильтра.
Рис 3.5. НЧ сигнал на выходе фильтра.
Рис 3.6 Колебание гетеродина при >г>=00.
Приложение 4.
Асинхронный режим детектирования при U>0> = 0,2 В.
f>0> = 180кГц, F = 18кГц, f>г> = 160кГц
Рис 4.1. Спектр с НЧ фильтром.
Рис 4.2. Спектр с полосовым фильтром.
Рис 4.3. Входной сигнал.
Рис 4.4. ВЧ сигнал на выходе фильтра.
Рис 4.5. НЧ сигнал на выходе фильтра.
Рис 4.6. ВЧ сигнал на выходе на длинном интервале времени.
Приложение 5.
Асинхронный режим детектирования при U>0> = 0,2 В.
f>0> = 160кГц, F = 20кГц, f>г> = 160кГц
Рис 5.1. Спектр с НЧ фильтром.
Рис 5.2. Спектр с полосовым фильтром.
Рис 5.3. Входной сигнал.
Рис 5.4 ВЧ сигнал на выходе фильтра.
Рис 5.5. НЧ сигнал на выходе фильтра.