Трехфазный ток, переходной процесс, четырехполюсник
Для симметричной схемы трехфазной цепи согласно заданных параметров выполнить следующее:
рассчитать угловую частоту w и сопротивления реактивных элементов схемы (L, C).
Составить
схему для расчета комплекса действующего
значения тока фазы А, приняв начальную
фазу ЭДС
для вариантов в которых нагрузка
соединена треугольником рекомендуется
заменить на звезду.
Рассчитать
комплекс тока
, записать комплексы токов
и
.
Определить угол между векторами ЭДС и тока j.
Построить векторную диаграмму ЭДС и тока трехфазной цепи.
Определить мощности генератора (P, Q, S), построить треугольник мощностей.


Для
расчета угловой скорости воспользу-емся
форму-лой
, где
отсюда
.
Найдем реактивные сопротивления элементов (L, C) :

2. Cхема для расчета комплекса действующего значения фазы А :

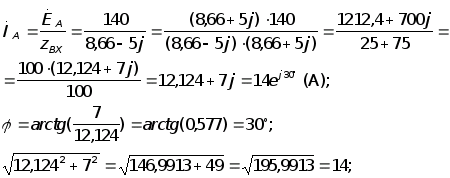
По
данной схеме рассчитаем комплекс тока
,
приняв начальную фазу ЭДС
найдем комплекс полной проводимости
ветви :

Перейдем от амплитудного значения ЭДС к комплексному :
Найдем токи :

Токи
сдвинуты относительно тока
на
:

В
симметричной системе угол между ЭДС и
током во всех фазах будет одинаков, и
будет равен
.
Построим векторную диаграмму ЭДС и тока трехфазной цепи :
Найдем мощность генератора :

Треугольник мощностей :


Для заданной схемы необходимо выполнить следующее :
Рассчитать переходной процесс.
Расчет провести классическим методом.
На основании полученного аналитического выражения построить график переходного процесса в интервале от t = 0 до t = 3t .
Данные :

Найти
ток
.
Определим для после коммутационной схемы, когда ключ К разомкнут комплекс входного сопротивления относительно зажимов источника, заменив jw на P :

Приравняем
к 0 :

Подставим значения :

Корни вещественные разные значить переходный процесс апериодический затухающий. Запишем выражения для заданного тока в переходном режиме через принужденную и свободную составляющую :
.
Найдем
токи протекающие в данной цепи до
коммутации (t
< 0 ) когда ключ К
замкнут.
Сопротивление катушки
индуктивности
L
при постоянном токе
равно 0, а емкости С
равно ¥
значит
.

Напряжение на конденсаторе C равно напряжению на R>4 >:

Принужденные значения после коммутации, когда переходный процесс завершен :
>
>
Найдем значения в момент коммутации (t ³ 0 ) :
по
второму закону коммутации

Определим постоянные интегрирования А>1> и А>2> :

записываем ур-ния для t ³ 0:

Численное
значение производной
= 0 т. к. По второму закону коммутации
напряжение на емкости скачком не
изменяется :

Подставим полученные значения в ур-ния, получим :

решим совместно эти ур-ния :

Запишем
ток
переходного
процесса подставив все численные
значения :

Исходя
из этого постоянные интегрирования для
тока
будут
равны :

На основании полученных данных построим график переходного процесса в интервале от t = 0 до t = 3t :
Найдем
значения постоянной времени

Лабораторная работа № 2.
Четырехполюсник.
Цель
работы : провести опыты ХХ ( холостого
хода ) и КЗ (короткого замыкания ) в
заданной схеме четырехполюсника;
определить из опытов комплексы
;
на основе опытных данных рассчитать
коэффициенты четырехполюсника : A
B C D; проверить
соотношение AD
- BC = 0; для исследованной
схемы четырехполюсника расчитать
и сопоставить с опытными значениями,
основываясь на использованных в работе
значениях



А
форма уравнения четырехполюсника :

Фазометр
- это прибор измеряющий угол j
между напряжением и током :
.


Опыт ХХ четырехполюсника :
Режим ХХ четырехполюсника это когда 2 и 2’ разомкнуты и I>2>=0; z>1X> - комплекс входного сопротивления на зажимах 1 - 1’ .
Данные
измерений
.
Найдем

Опыт КЗ>1> четырехполюсника :
Режим КЗ1 четырехполюсника это когда 2 и 2’ закорочены ; z>1>>К> - комплекс входного сопротивления на зажимах 1 - 1’ .
Данные
измерений
.
Найдем

Опыт КЗ>2> четырехполюсника :
Проведем опыт для «перевернутого» четырехполюсника для чего к контактам 2 и 2’ подключем питание а 1 и 1’ закоротим.
Данные
измерений
.
Найдем

Найдем R-L :
Для этого соберем следующую схему :
Данные
измерений
.

Определим R :
Данные
измерений


Найдем коэффициенты четырехполюсника :
Проверим
соотношение AD-BC
= 1
;

Для
данной схемы четырехполюсника рассчитаем
основываясь на использованных в работе
значениях

Найдем
:

Найдем
:

Найдем
:
