Электронные и микроэлектронные приборы
Г
осударственный
комитет Российской Федерации
по
высшему образованию
Московский государственный
открытый университет
Реферат
Электронные
и микроэлектронные приборы
Студента 2
курса заочного отделения ФАРЭ
1998г.

Задание.
Изложить процессы окисления кремния в порах воды и в сухом кислороде.
Какие существуют типы резисторов полупроводниковых ИС? Дать их сравнительную характеристику.
Нарисовать принципиальную схему элемента КМОП-логики. Пояснить принцип действия и область применения. Опешите принцип действия и устройство тетрода. В чем назначение второй сетки тетрода? Виды тетродов.
1. Процессы окисления кремния в парах воды и в сухом кислороде
Благодаря своим уникальным электрофизическим свойствам двуокись кремния находит широкое применение на различных стадиях изготовления СБИС. Слои SiO>2> используется как:
1. маска для диффузии легирующих примесей
2. для пассивации поверхности полупроводников
3. для изоляции отдельных элементов СБИС друг от друга
4. в качестве подзатворного диэлектрика
5. в качестве одного из многослойных диэлектриков в производстве КМОП элементов памяти
6. в качестве изоляции в схемах с многослойной металлизацией
7. как составная часть шаблона для рентгеновской литографии
Среди преимуществ, обуславливающих использование этого диэлектрика, следует выделить то, что SiO>2> является "родным" материалом для кремния, легко из него получается путем окисления, не растворяется в воде, легко воспроизводится и контролируется.
Термическое окисление кремния
Слой двуокиси кремния формируется обычно на кремниевой пластине за счет химического взаимодействия в приповерхностной области полупроводника атомов кремния и кислорода. Кислород содержится в окислительной среде, с которой контактирует поверхность кремниевой подложки, нагретой в печи до температуры T = 900 - 1200 С. Окислительной средой может быть сухой или влажный кислород. Схематично
вид установки показан на рис. 1.

Ðèñ. 1.
Химическая реакция, идущая на поверхности кремниевой пластины, соответствует одному из следующих уравнений:
окисление в атмосфере сухого кислорода: Siтверд.+ O>2> = SiO>2>
окисление в парах воды: Siтверд.+2H>2>O = SiO>2> + 2H>2>.
Окисление происходит гораздо быстрее в атмосфере влажного кислорода, поэтому его используют для синтеза более толстых защитных слоев двуокиси кремния.
Методом радиоактивного маркера показано, что рост SiO>2> происходит за счет диффузии кислорода к поверхности кремния. Выход SiO>2> за границы начального объема, занимаемого кремнием, обусловлен их разными плотностями. Физика термического окисления может быть объяснена с помощью достаточно простой модели Дила-Гроува, поясняемой с помощью рис. 2.

Ðèñ. 2.
Ïðîöåññ îêèñëåíèÿ ïðîèñõîäèò íà ãðàíèöå Si - SiO>2>, ïîýòîìó ìîëåêóëû îêèñëèòåëÿ äèôôóíäèðóþò ÷åðåç âñå ïðåäâàðèòåëüíî ñôîðìèðîâàííûå
ñëîè îêèñëà è ëèøü çàòåì âñòóïàþò â ðåàêöèþ ñ êðåìíèåì íà åãî ãðàíèöå. Ñîãëàñíî çàêîíó Ãåíðè, ðàâíîâåñíàÿ êîíöåíòðàöèÿ òâåðäîé ôàçû
ïðÿìî ïðîïîðöèîíàëüíà ïàðöèàëüíîìó äàâëåíèþ ãàçà P:
C*=HP, ãäå
C*- ìàêñèìàëüíàÿ êîíöåíòðàöèÿ îêèñëèòåëÿ â ãàçå äëÿ äàííîãî çíà÷åíèÿ äàâëåíèÿ P,
H - ïîñòîÿííûé êîýôôèöèåíò Ãåíðè.
 íåðàâíîâåñíîì ñëó÷àå êîíöåíòðàöèÿ îêèñëèòåëÿ íà ïîâåðõíîñòè òâåðäîãî òåëà ìåíüøå, ÷åì C*.
Ïîòîê F1 îïðåäåëÿåòñÿ ðàçíîñòüþ ìåæäó ìàêñèìàëüíîé è ðåàëüíîé ïîâåðõíîñòíîé êîíöåíòðàöèé îêèñëèòåëÿ:
F1=h(C*-C0), ãäå
C0 - ïîâåðõíîñòíàÿ êîíöåíòðàöèÿ îêèñëèòåëÿ,
h - êîýôôèöèåíò ïåðåíîñà.
Çíà÷åíèå êîíöåíòðàöèè îêèñëèòåëÿ C0 çàâèñèò îò òåìïåðàòóðû, ñêîðîñòè ãàçîâîãî ïîòîêà è ðàñòâîðèìîñòè îêèñëèòåëÿ â SiO>2>.
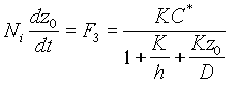
Äëÿ òîãî ÷òîáû îïðåäåëèòü ñêîðîñòü ðîñòà îêèñëà, ðàññìîòðèì ïîòîêè îêèñëèòåëÿ â îáúåìå îêèñëà (F2) è íà åãî ãðàíèöå ñ êðåìíèåì (F3).
Ñîãëàñíî çàêîíó Ôèêà, ïîòîê ÷åðåç îáúåì îêèñëà îïðåäåëÿåòñÿ ãðàäèåíòîì êîíöåíòðàöèè îêèñëèòåëÿ:
F2=-D(dC/dz)=D(C0-Ci)/z0, ( 1 )
ãäå Ci - êîíöåíòðàöèÿ îêèñëèòåëÿ â ìîëåêóëàõ íà êóáè÷åñêèé ñàíòèìåòð ïðè z = z0,
D - êîýôôèöèåíò äèôôóçèè ïðè äàííîé òåìïåðàòóðå,
z0 - òîëùèíà îêèñëà.
Âåëè÷èíà ïîòîêà (F3) íà ãðàíèöå îêèñëà ñ ïîëóïðîâîäíèêîì çàâèñèò îò ïîñòîÿííîé K ñêîðîñòè ïîâåðõíîñòíîé ðåàêöèè è îïðåäåëÿåòñÿ êàê:
F3=kCi ( 2 )
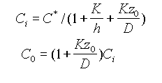
Ïðè ñòàöèîíàðíûõ óñëîâèÿõ ýòè ïîòîêè ðàâíû, òàê ÷òî F3 = F2 = F1 = F. Ñëåäîâàòåëüíî, ïðèðàâíÿâ ñîîòíîøåíèÿ ( 1 ) è ( 2 ), ìîæíî âûðàçèòü
âåëè÷èíû Ci è C0 ÷åðåç C*:
(3)
Для того чтобы определить скорость роста окисла, представим уравнение потока на границе SiO>2> - Si в следующей форме:

(4)
Ñêîðîñòü ðîñòà îêèñëà îïðåäåëÿåòñÿ ïîòîêîì (F3) è êîëè÷åñòâîì ìîëåêóë îêèñëèòåëÿ (Ni), íåîáõîäèìûì äëÿ îáðàçîâàíèÿ îêèñëà â åäèíè÷íîì îáúåìå. Ïîñêîëüêó êîíöåíòðàöèÿ ìîëåêóë SiO>2> â îêèñëå ðàâíà 2,2*1022 ñì-3, òî äëÿ ïîëó÷åíèÿ äâóîêèñè êðåìíèÿ òðåáóåòñÿ êîíöåíòðàöèÿ ìîëåêóë êèñëîðîäà ðàâíàÿ 2,2*1022 ñì-3 èëè êîíöåíòðàöèÿ ìîëåêóë âîäû 4,4*1022 ñì-3.
Ñîîòíîøåíèå ìåæäó âåëè÷èíàìè z>0> è t îïðåäåëÿåòñÿ èíòåãðàëîì

Ñëåäîâàòåëüíî, äëÿ ìàëûõ âðåìåí îêèñëåíèÿ òîëùèíà îêèñëà îïðåäåëÿåòñÿ ïîñòîÿííîé ñêîðîñòè ïîâåðõíîñòíîé ðåàêöèè K è ïðÿìîïðîïîðöèîíàëüíà âðåìåíè îêèñëåíèÿ (8). Äëÿ áîëüøèõ âðåìåí îêèñëåíèÿ ñêîðîñòü ðîñòà çàâèñèò îò ïîñòîÿííîé äèôôóçèè D (9), à òîëùèíà îêèñëà ïðîïîðöèîíàëüíà êîðíþ êâàäðàòíîìó èç âðåìåíè ïðîöåññà. Îòìåòèì, ÷òî íàèáîëåå ÷àñòî èñïîëüçóåòñÿ òîëùèíà îêèñëà, ñîñòàâëÿþùàÿ äåñÿòûå äîëè ìèêðîíà, à âåðõíèé ïðåäåë ïî òîëùèíå äëÿ îáû÷íîãî òåðìè÷åñêîãî îêèñëåíèÿ ñîñòàâëÿåò 1 - 2 ìêì. Çíà÷èòåëüíûì äîñòèæåíèåì ïîñëåäíåãî âðåìåíè ÿâèëîñü äîáàâëåíèå â îêèñëèòåëüíóþ ñðåäó â ïðîöåññå îêèñëåíèÿ õëîðñîäåðæàùèõ êîìïîíåíòîâ. Ýòî ïðèâåëî ê óëó÷øåíèþ ñòàáèëüíîñòè ïîðîãîâîãî íàïðÿæåíèÿ ïîëåâûõ ÌÄÏ - òðàíçèñòîðîâ, óâåëè÷åíèþ íàïðÿæåíèÿ ïðîáîÿ äèýëåêòðèêîâ è ïîâûøåíèþ ñêîðîñòè îêèñëåíèÿ êðåìíèÿ. Ãëàâíàÿ ðîëü õëîðà â ïëåíêàõ äâóîêèñè êðåìíèÿ (îáû÷íî ñ êîíöåíòðàöèåé õëîðà 1016 - 1020 ñì-3) çàêëþ÷àåòñÿ â ïðåâðàùåíèè ñëó÷àéíî ïðîíèêøèõ â SiO>2> ïðèìåñíûõ èîíîâ, íàïðèìåð, íàòðèÿ èëè êàëèÿ â ýëåêòðè÷åñêè íåàêòèâíûå.
Плазмохимическое окисление кремния
Процессы плазменного окисления металлов и полупроводников заключается в формировании на их поверхности оксидных слоев при помещении в кислородную плазму образцов. Образцы могут быть изолированными (плазменное оксидирование) или находиться под положительным относительно плазмы потенциалом (плазменное анодирование).

Существует несколько видов плазмы, отличающиеся способом возбуждения.
Тлеющий разряд на постоянном токе.
При этом в объеме 1 создается пониженное давление кислорода (обычно 0.1--1 Торр) и между электродами 2 и 3 прикладывается постоянное напряжение разряда Ud величиной внесколько сотен вольт.
Дуговой разряд низкого давления.
Катод 3 нагревается за счет пропускания через него тока накаливания. Вследствие чеготермоэмиссии электронов с поверхности катода облегчается ионизация газоразрядного промежутка, что приводит к снижению напряжения Ud до величины менее 100 В
ВЧ разряд (радиочастотный разряд).
Плазма возбуждается за счет поглощения ВЧ мощности генератора, связанного с объемом 1 либо индуктивно, либо емкостным способом ( ВЧ напряжение подается на пластины 2 и 3 ).
ÑÂ× ðàçðÿä (ìèêðîâîëíîâûé ðàçðÿä).
Ïëàçìà âîçáóæäàåòñÿ ïðè ïîãëîùåíèè ÑÂ× ìîùíîñòè ãåíåðàòîðà, ñîãëàñîâàííîãî ñ îáúåìîì 1 ñ ïîìîùüþ âîëíîâîäà.
Àíîäèðóåìûé îáðàçåö 4 íàõîäèòñÿ ïîä ïîëîæèòåëüíûì îòíîñèòåëüíî ïëàçìû ïîòåíöèàëîì fà (ïîòåíöèàëîì ôîðìîâêè), êîòîðûé ïîäàåòñÿ íà îáðàçåö ÷åðåç ñïåöèàëüíûé êîíòàêò. Ïðè ýòîì âåëè÷èíà >à> ìîæåò áûòü îòðèöàòåëüíîé îòíîñèòåëüíî çåìëè, ïîñêîëüêó ðàâíîâåñíûé ïîòåíöèàë ïëàçìû îòðèöàòåëåí. Âíåøíÿÿ ïîâåðõíîñòü îêñèäà â ðåçóëüòàòå âçàèìîäåéñòâèÿ ñ ïëàçìîé ïðèîáðåòàåò "ñòåíî÷íûé" ïîòåíöèàë fb,
êàê ïðàâèëî, îòðèöàòåëüíûé îòíîñèòåëüíî ïîòåíöèàëà íåâîçìóùåííîé ïëàçìû >ï>. Åñëè îáðàçåö èçîëèðîâàí îò âíåøíåé ýëåêòðè÷åñêîé öåïè (ïëàçìåííîå îêñèäèðîâàíèå), òî åãî ïîâåðõíîñòü ïðèîáðåòàåò "ïëàâàþùèé" ïîòåíöèàë >f>. Íàëè÷èå àíîäíîãî ïîòåíöèàëà fà íà îáðàçöå âûçûâàåò ïðîòåêàíèå ÷åðåç íåãî àíîäíîãî òîêà Ia (èëè òîêà ôîðìîâêè), êîòîðûé ñîñòîèò èç èîííîé ñîñòàâëÿþùåé Ii, âûçûâàþùåé ðîñò îêñèäà, è ýëåêòðîííîé ñîñòàâëÿþùåé Ie. ×åì áîëüøå äîëÿ èîííîãî òîêà, òåì ýôôåêòèâíåå ïðîòåêàåò ðîñò ïëàçìåííûõ îêñèäîâ.
Ñâîéñòâà ïëàçìåííûõ îêèñëîâ êðåìíèÿ.
Êðåìíèé ÿâëÿåòñÿ íàèáîëåå õîðîøî èññëåäîâàííûì ìàòåðèàëîì ýëåêòðîííîé òåõíèêè. Îñíîâíûì ïðîöåññîì ïàññèâàöèè ïîâåðõíîñòè êðåìíèåâûõ ïëàñòèí ñëóæèò òåðìè÷åñêîå îêèñëåíèå. Îäíàêî ïî ìåðå ïåðåõîäà ê èçãîòîâëåíèþ ñâåðõáîëüøèõ è ñâåðõáûñòðîäåéñòâóþùèõ èíòåãðàëüíûõ ñõåì (ÑÑÁÈÑ ) âîçíèêàåò íåîáõîäèìîñòü â ñíèæåíèè òåìïåðàòóðû îêèñëèòåëüíûõ îáðàáîòîê ñ 1400 äî 900...1100 Ê, ïðè êîòîðûõ îòñóòñòâóåò íåêîíòðîëèðóåìàÿ òåðìîäèôôóçèÿ ïðèìåñåé è äðóãèå ïîáî÷íûå ýôôåêòû, ñòèìóëèðóåìûå âûñîêîé òåìïåðàòóðîé.  ñâÿçè ñ ýòèì âíèìàíèå èññëåäîâàòåëåé íà÷èíàþò ïðèâëåêàòü ïðîöåññû ïëàçìåííîãî àíîäèðîâàíèÿ è îêèñëåíèÿ êðåìíèÿ.  ðàáîòàõ ÿïîíñêèõ, àìåðèêàíñêèõ, ôðàíöóçñêèõ è äðóãèõ èññëåäîâàòåëåé ïîëó÷åíû ïëåíêè ïëàçìåííîãî äèîêñèäà êðåìíèÿ, ïî ñâîèì ïàðàìåòðàì íå óñòóïàþùèå ëó÷øèì òåðìè÷åñêèì îáðàçöàì, à ïî ýëåêòðè÷åñêîé ïðî÷íîñòè è ïðåâîñõîäÿùèå èõ.
Ïëàçìåííûå îêñèäû êðåìíèÿ íåçàâèñèìî îò ñïîñîáà ïîëó÷åíèÿ ïðåäñòàâëÿþò ñîáîé ñòåõèîìåòðè÷åñêèé äèîêñèä êðåìíèÿ SiO>2>. Èõ ñòðóêòóðà ÿâëÿåòñÿ àìîðôíîé, à ñâîéñòâà ïðèáëèæàþòñÿ ê ïàðàìåòðàì ïëåíîê SiO>2>, ïîëó÷åííûõ ìåòîäîì òåðìè÷åñêîãî îêèñëåíèÿ êðåìíèÿ. Ïëàçìåííûå îêñèäû, áóäó÷è ñôîðìèðîâàííûìè ïðè ñóùåñòâåííî áîëåå íèçêèõ òåìïåðàòóðàõ, íå îáëàäàþò äåôåêòàìè óïàêîâêè, íå ñîçäàþò ìåõàíè÷åñêèõ íàïðÿæåíèé íà ãðàíèöàõ ðàçäåëà îêñèä - ïîäëîæêà è â ðÿäå ñëó÷àåâ èìåþò áîëåå ñîâåðøåííóþ ñòðóêòóðó ãðàíèöû. Òåðìè÷åñêèå ïëåíêè SiO>2>, ñôîðìèðîâàííûå ïðè áîëüøèõ ñêîðîñòÿõ îêèñëåíèÿ, ñîäåðæàò êëàñòåðû êðåìíèÿ ðàçìåðîì 2...3 íì.  òî æå âðåìÿ ïëàçìåííûå îêñèäû, ñôîðìèðîâàííûå äàæå ïðè áîëåå âûñîêèõ ñêîðîñòÿõ, íå èìåþò ïîäîáííûõ äåôåêòîâ íà ãðàíèöå ðàçäåëà Si - SiO>2>, â íèõ íå íàáëþäàåòñÿ òàêæå ýôôåêò ïåðåðàñïðåäåëåíèÿ ïðèìåñè ïðè îêèñëåíèè.
Âîëüò-àìïåðíûå õàðàêòåðèñòèêè îêñèäîâ òóííåëüíûõ òîëùèí õàðàêòåðèçóþòñÿ ìåõàíèçìîì ïðîâîäèìîñòè, ñîîòâåòñòâóþùèì ýìèññèè Ôàóëåðà-Íîðäãåéìà ïðè íàïðÿæåííîñòè ýëåêòðè÷åñêîãî ïîëÿ â îêñèäå ñâûøå 6.5 ÌÂ/ñì. Èçìåðåíèÿ ýëåêòðîôèçè÷åñêèõ ñâîéñòâ îêñèäà, ïîëó÷åííîãî ïëàçìåííûì îêñèäèðîâàíèåì êðåìíèÿ ïðè îäíîâðåìåííîé ïîäñâåòêå ïîâåðõíîñòè ëàçåðîì ñ äëèííîé âîëíû, ñîîòâåòñòâóþùåé âîçáóæäåíèþ ñâÿçè Si-Si ïîêàçàëè, ÷òî îêñèä îáëàäàåò íà äâà ïîðÿäêà ìåíüøåé ïëîòíîñòüþ ïîâåðõíîñòíûõ ñîñòîÿíèé, ÷åì òðàäèöèîííûå àíîäíûå îêñèäû, è îîòâåòñòâóåò ëó÷øèì òåðìè÷åñêèì ïëåíêàì äèîêñèäà êðåìíèÿ.
Пиролитическое осаждение кремния из газовой фазы
 òåõíîëîãèè èíòåãðàëüíûõ ñõåì ïðèìåíÿþòñÿ ìåòàëëè÷åñêèå è äèýëåêòðè÷åñêèå ïëåíêè, èçãîòàâëèâàåìûå ðàçëè÷íûìè ìåòîäàìè. Îäíàêî, â ñâÿçè ñ äàëüíåéøåé ìèíèàòþðèçàöèåé ÑÁÈÑ è èñïîëüçîâàíèåì ðàçëè÷íûõ ïîëóïðîâîäíèêîâ â êà÷åñòâå ïîäëîæåê íåîáõîäèìî ðàçðàáîòàòü íîâûå ìåòîäû èçãîòîâëåíèÿ ïëåíîê ñ åùå ìåíüøåé òîëùèíîé, ïëîòíîñòüþ äåôåêòîâ è áîëüøåé îäíîðîäíîñòüþ. Òðåáóåòñÿ òàêæå ìàêñèìàëüíî óâåëè÷èòü ÷èñëî ïëàñòèí, êîòîðûå ìîãóò áûòü îáðàáîòàíû â åäèíèöó âðåìåíè (äëÿ ñíèæåíèÿ ñòîèìîñòè ïðîäóêöèè), ó÷åñòü âîçìîæíûå îòðèöàòåëüíûå ïîñëåäñòâèÿ õèìè÷åñêèõ ðåàêöèé ìåæäó ïëåíêîé è ïîäëîæêîé, ðàçîãðåâ ïëåíêè â ïðîöåññå ôîðìèðîâàíèÿ, à òàêæå âîçìîæíîñòü ïîâðåæäåíèé ïðè îáëó÷åíèè.
Ðàññìîòðèì ïèðîëèòè÷åñêèé ìåòîä ôîðìèðîâàíèÿ ïëåíîê (ìåòîä õèìè÷åñêîãî îñàæäåíèÿ èç ãàçîâîé ôàçû). Ìåòîä õèìè÷åñêîãî îñàæäåíèÿ èç ãàçîâîé ôàçû îñíîâàí íà èñïîëüçîâàíèè ÿâëåíèÿ ïèðîëèçà èëè õèìè÷åñêèõ ðåàêöèé ïðè ôîðìèðîâàíèè
ïëåíîê ïîëèêðèñòàëëè÷åñêîãî êðåìíèÿ èëè ïëåíîê ðàçëè÷íûõ èçîëèðóþùèõ ìàòåðèàëîâ.
Íà ðèñ. 1 â ðàçðåçå ïîêàçàíà óñòàíîâêà ôîðìèðîâàíèÿ ïëåíîê ìåòîäîì õèìè÷åñêîãî îñàæäåíèÿ èç ãàçîâîé ôàçû ïðè íîðìàëüíîì äàâëåíèè. Íà íàãðåòîì ïüåäåñòàëå (ïîäñòàâêå) ãîðèçîíòàëüíî ðàñïîëàãàþòñÿ ïëàñòèíû. Ñâåðõó ïîñòóïàåò ãàç, â àòìîñôåðå êîòîðîãî ïðîòåêàþò õèìè÷åñêèå ðåàêöèè. Ôîðìèðîâàíèå ïëåíêè ïðîèñõîäèò ïðè èñïîëüçîâàíèè õèìè÷åñêèõ ðåàêöèé íà ïîâåðõíîñòè ïëàñòèíû. Äëÿ îáåñïå÷åíèÿ ðàâíîìåðíîñòè òîëùèíû ïëåíêè, ãàç ðàâíîìåðíî ïîäâîäèòñÿ ê ïîâåðõíîñòè ïëàñòèí.
Òåìïåðàòóðà ïî âñåé ïîâåðõíîñòè ïëàñòèí äîëæíà ïîääåðæèâàòüñÿ îäèíàêîâîé. Ïîýòîìó óñòàíîâêè íåîáõîäèìî ñíàáæàòü óñòðîéñòâàìè äëÿ âðàùåíèÿ ïîäñòàâêè, à òàêæå èñïîëüçîâàòü ñèñòåìû ïîäà÷è ãàçà â ñîîòâåòñòâèè ñ âûáðàííîé ôîðìîé ïüåäåñòàëà.
 êà÷åñòâå õèìè÷åñêè àêòèâíîãî ãàçà èñïîëüçóþò ìîíîñèëàí è êèñëîðîä, à â êà÷åñòâå áóôåðíîãî ãàçà - àçîò (îáû÷íî ïüåäåñòàë è ïëàñòèíû ñîïðèêàñàþòñÿ è ðàçîãðåâàþòñÿ). Âíóòðè ïüåäåñòàëà èìååòñÿ ïîëîñòü, ïðåäíàçíà÷åííàÿ äëÿ ïðåäîòâðàùåíèÿ ðàññåÿíèÿ òåïëà âî âíåøíåå ïðîñòðàíñòâî è îáåñïå÷åíèÿ ðàâíîìåðíîñòè òåìïåðàòóðû íà ïüåäåñòàëå, ÷òî ïðèâîäèò ê óëó÷øåíèþ ðàâíîìåðíîñòè ïî òîëùèíå ïëåíêè. Îäíàêî, ïîñêîëüêó ïëàñòèíû íå ïëîòíî ïðèëåãàþò ê ïüåäåñòàëó, òåìïåðàòóðà èõ ïîâåðõíîñòè íåîäèíàêîâà è âîñïðîèçâîäèìîñòü ðåçóëüòàòîâ óõóäøàåòñÿ. Êðîìå òîãî, ïî ìåðå óâåëè÷åíèÿ äèàìåòðà ïëàñòèí èõ ÷èñëî â ñîñòàâå îäíîé ïàðòèè óìåíüøàåòñÿ, ÷òî ïðåïÿòñòâóåò îðãàíèçàöèè èõ ìàññîâîãî ïðîèçâîäñòâà è ÿâëÿåòñÿ ñóùåñòâåííûì íåäîñòàòêîì äàííîãî ìåòîäà.
Ìåòîä ôîðìèðîâàíèÿ ïëåíîê ïðè íîðìàëüíîì äàâëåíèè îáëàäàåò è ðÿäîì äîñòîèíñòâ, ê ÷èñëó êîòîðûõ îòíîñèòñÿ áîëüøàÿ, ÷åì äëÿ äðóãèõ ìåòîäîâ, ñêîðîñòü ôîðìèðîâàíèÿ ïëåíîê, îòðàáîòêà êîíñòðóêòèâíîé ÷àñòè óñòàíîâêè. Äàííûé ìåòîä ìîæåò áûòü èñïîëüçîâàí äëÿ ôîðìèðîâàíèÿ ïëåíîê ïðè ðàçëè÷íûõ óñëîâèÿõ. Óñòàíîâêè ñðàâíèòåëüíî êîìïàêòíû è îòëè÷àþòñÿ íèçêîé ñòîèìîñòüþ. Âñå ýòî äàåò îñíîâàíèå íàäåÿòüñÿ, ÷òî îïèñàííûé ìåòîä áóäåò ïðèìåíÿòñÿ è â äàëüíåéøåì ïðè âíåñåíèè íåêîòîðûõ óñîâåðøåíñòâîâàíèé.
Êîíñòðóêöèÿ óñòàíîâêè ôîðìèðîâàíèÿ ïëåíîê ìåòîäîì õèìè÷åñêîãî îñàæäåíèÿ èç ãàçîâîé ôàçû ïðè íèçêîì äàâëåíèè ïîêàçàíà íà ðèñ. 2.  ïîñëåäíåå âðåìÿ ãëàâíàÿ ðîëü îòâîäèòñÿ ìåòîäó ôîðìèðîâàíèÿ ïëåíîê ïðè íèçêîì äàâëåíèè. Ïå÷ü, â êîòîðîé ïðîòåêàþò õèìè÷åñêèå ðåàêöèè, àíàëîãè÷íà äèôôóçèîííîé ïå÷è. Ïëàñòèíû â ïå÷è ðàñïîëàãàþòñÿ âåðòèêàëüíî, ðàññòîÿíèå ìåæäó íèìè â ãîðèçîíòàëüíîì íàïðàâëåíèè ìîæåò áûòü âûáðàíî ðàâíûì íåñêîëüêèì ìèëëèìåòðàì. Ðåçóëüòàòû íå çàâèñÿò îò äèàìåòðà ïëàñòèí.
 îäíîé îáðàáàòûâàåìîé ïàðòèè ìîæåò áûòü 200 ïëàñòèí. Äëèíà ñâîáîäíîãî ïðîáåãà ïðè íèçêîì äàâëåíèè (îáû÷íî 65,5 - 13,3 Ïà) äëÿ ìîëåêóë õèìè÷åñêè àêòèâíûõ ãàçîâ â 1000 - 1500 ðàç áîëüøå, ÷åì ïðè íîðìàëüíîì (105 Ïà). Âñëåäñòâèå âûñîêîé ñêîðîñòè äèôôóçèè õèìè÷åñêè àêòèâíûõ ãàçîâ ðàñïðåäåëåíèå êîíöåíòðàöèè ãàçîâ â ïå÷è ðàâíîìåðíî. Êðîìå òîãî, ïðè òàêîì ñïîñîáå ðàçîãðåâà ïëàñòèí, êàê ïîêàçàíî íà ðèñ. 2, òåìïåðàòóðà íà ïîâåðõíîñòè êàæäîé ïëàñòèíû è ìåæäó ïëàñòèíàìè ðàñïðåäåëÿåòñÿ ðàâíîìåðíî, à âîñïðîèçâîäèìîñòü ðåçóëüòàòîâ îáðàáîòêè âåñüìà âûñîêàÿ.
Ñî÷åòàíèå ýòîãî ôàêòîðà ñ ðàâíîìåðíîñòüþ ðàñïðåäåëåíèÿ êîíöåíòðàöèè õèìè÷åñêè àêòèâíûõ ãàçîâ ïðèâîäèò ê òîìó, ÷òî è ïðè óâåëè÷åíèè ÷èñëà ïëàñòèí â ïàðòèè ðàâíîìåðíîñòü òîëùèíû ïëåíêè ñóùåñòâåííî ïîâûøàåòñÿ ïî ñðàâíåíèþ ñ èñïîëüçîâàíèåì ìåòîäà õèìè÷åñêîãî îñàæäåíèÿ èç ãàçîâîé ôàçû ïðè íîðìàëüíîì äàâëåíèè. Áîëüøîå äîñòîèíñòâî äàííîãî ìåòîäà ñîñòîèò òàêæå â òîì, ÷òî ïðè íàëè÷èè íà ïëàñòèíå ñòóïåíåê, ìîëåêóëû õèìè÷åñêè àêòèâíûõ ãàçîâ îáòåêàþò ýòè íåðîâíîñòè è ïëåíêà ïîâòîðÿåò ôîðìó ïëàñòèíû.
Ìåòîä õèìè÷åñêîãî îñàæäåíèÿ èç ãàçîâîé ôàçû ïðè íèçêîì äàâëåíèè øèðîêî ïðèìåíÿåòñÿ ïðåèìóùåñòâåííî äëÿ ïîëó÷åíèÿ ïëåíîê ïîëèêðèñòàëëè÷åñêîãî êðåìíèÿ è íèòðèäîâ êðåìíèÿ. Ïðè ïîïûòêàõ èñïîëüçîâàíèÿ ýòîãî ìåòîäà äëÿ ôîðìèðîâàíèÿ äðóãèõ ïëåíîê âîçíèêàåò ðÿä ïðîáëåì. Òàê, â ñëó÷àå ôîðìèðîâàíèÿ çàùèòíûõ ïëåíîê ôîñôîðñèëèêàòíîãî ñòåêëà (ïðèìåíÿþùèõñÿ äëÿ çàùèòû ïîâåðõíîñòè ÈÑ) ïðèõîäèòñÿ ñ÷èòàòüñÿ ñ çàâèñèìîñòüþ äèàìåòðà ïëàñòèí îò äèàìåòðà êàìåðû, â êîòîðîé ïðîèçâîäèòñÿ îáðàáîòêà. Ïðåäïðèíèìàëèñü ïîïûòêè îïòèìèçàöèè ýòîé çàâèñèìîñòè ñ öåëüþ äîñòèæåíèÿ íàèëó÷øåé ðàâíîìåðíîñòè òîëùèíû ïëåíîê, íî ïîêà íå óäàëîñü ïîëó÷èòü
óäîâëåòâîðèòåëüíûõ ðåçóëüòàòîâ äëÿ ïðàêòè÷åñêèõ ïðèìåíåíèé. Íàïðèìåð, äëÿ ïîëó÷åíèÿ ïëåíîê, ñîäåðæàùèõ ôîñôîð è ìûøüÿê, â êàìåðó íàðÿäó ñ ìîíîñèëàíîì íåîáõîäèìî ââîäèòü â ìàëûõ êîëè÷åñòâàõ òàêèå ãàçû, êàê ôîñôèí è àðñèí, ÷òî ïðèâîäèò ê ñóùåñòâåííîìó ñíèæåíèþ ñêîðîñòè ôîðìèðîâàíèÿ ïëåíîê è óõóäøåíèþ ðàâíîìåðíîñòè ïëåíêè ïî òîëùèíå.
Êîãäà ê ðàâíîìåðíîñòè ðàñïðåäåëåíèÿ êîíöåíòðàöèè õèìè÷åñêè àêòèâíûõ ãàçîâ ïðåäúÿâëÿþòñÿ æåñòêèå òðåáîâàíèÿ, â êîíñòðóêöèè óñòàíîâêè, èçîáðàæåííîé íà ðèñ. 2, íåîáõîäèìî ñóùåñòâåííî óëó÷øèòü ãåîìåòðèþ êàìåðû, ñèñòåìû ðàñïîëîæåíèÿ ïëàñòèí, à òàêæå óñîâåðøåíñòâîâàòü ñèñòåìó ïîäà÷è ãàçà. Ïîñêîëüêó â ëþáîì èç âàðèàíòîâ ìåòîäà îñàæäåíèÿ èç ãàçîâîé ôàçû îñóùåñòâëÿåòñÿ ïèðîëèç õèìè÷åñêè àêòèâíûõ ãàçîâ, ôîðìèðîâàíèå ïëåíêè äîëæíî ïðîâîäèòñÿ ïðè äîâîëüíî âûñîêîé òåìïåðàòóðå ïî ñðàâíåíèþ ñ ìåòîäîì òåðìè÷åñêîãî íàïûëåíèÿ.  ÷àñòíîñòè , ïðè ôîðìèðîâàíèè ïëåíîê ïîëèêðèñòàëëè÷åñêîãî êðåìíèÿ ïëàñòèíà äîëæíà áûòü ðàçîãðåòà äî 600 - 650 Ñ, à ïëåíîê íèòðèäà êðåìíèÿ äî 750 - 800 Ñ. Òàêèì îáðàçîì, åñëè íàãðåâ ïëàñòèí äî óêàçàííûõ òåìïåðàòóð ïî êàêèì-ëèáî ïðè÷èíàì íåæåëàòåëåí, òî âîçíèêàþò îïðåäåëåííûå òðóäíîñòè. Òàê, ìåòîäû îñàæäåíèÿ èç ãàçîâîé ôàçû íå ìîãóò áûòü èñïîëüçîâàíû äëÿ ôîðìèðîâàíèÿ ïëåíêè Si>3>N>4>, îáëàäàþùåé ïðàêòè÷åñêè èäåàëüíûìè ñâîéñòâàìè äëÿ çàùèòû íòåãðàëüíûõ ñõåì, ïîñêîëüêó íå îáåñïå÷èâàþò ñòàáèëüíîñòü è õîðîøóþ âîñïðîèçâîäèìîñòü ïàðàìåòðîâ.
Îñîáåííîñòè ïîëó÷åíèÿ òîíêèõ ïëåíîê
Ïîä ïðîöåññîì îêèñëåíèÿ ïîëóïðîâîäíèêîâ ïîíèìàþò ïðîöåññ èõ âçàèìîäåéñòâèÿ ñ îêèñëÿþùèìè àãåíòàìè: êèñëîðîäîì, âîäîé, îçîíîì è ò.ä.
Ïðè îïðåäåëåííûõ óñëîâèÿõ ñêîðîñòü ïðîöåññà îêèñëåíèÿ ïî ìåðå ðîñòà êîíöåíòðàöèè îêèñëèòåëÿ óìåíüøàåòñÿ. Ýòî ÿâëåíèå ÷àñòî íàçûâàþò ïàññèâíîñòüþ è ñâÿçûâàþò ñ îáðàçîâàíèåì òîíêîé ïëåíêè îêèñëà, ïðåïÿòñòâóþùåé ïåðåíîñó îêèñëèòåëÿ èëè îêèñëÿåìîãî âåùåñòâà ê ðåàêöèîííîé ïîâåðõíîñòè ðàçäåëà.  1958 ã. Âàãíåð ââåë ïîíÿòèå îá àêòèâíîì è ïàññèâíîì îêèñëåíèè, èìåÿ â âèäó â ïåðâîì ñëó÷àå ïðîöåññû, íå ñâÿçàííûå ñ îáðàçîâàíèåì îêñèäíûõ ïëåíîê íà ïîâåðõíîñòè èñõîäíîãî ìàòåðèàëà. Ïàññèâíîå îêèñëåíèå îòñóòñòâóåò, êîãäà âûäåëÿþùèåñÿ ïðîäóêòû ðåàêöèè óäàëÿþòñÿ ñî ñêîðîñòÿìè, áîëüøèìè ñêîðîñòè èõ îáðàçîâàíèÿ.
 íàñòîÿùåå âðåìÿ ïðîöåññû àêòèâíîãî è ïàññèâíîãî îêèñëåíèÿ ïîëóïðîâîäíèêîâ øèðîêî èñïîëüçóþòñÿ â òåõíîëîãèè ïðîèçâîäñòâà ñîâðåìåííûõ ïîëóïðîâîäíèêîâûõ ïðèáîðîâ ïðè ïðîâåäåíèè îïåðàöèé õèìè÷åñêîãî èëè ãàçîâîãî òðàâëåíèÿ, ýïèòàêñèè, òåðìè÷åñêîãî îêèñëåíèÿ è äèôôóçèè. Ïðè ýòîì îñíîâíîå âíèìàíèå òåõíîëîãîâ è ðàçðàáîò÷èêîâ ñîñðåäîòî÷åíî íà ïðîöåññàõ ïàññèâíîãî îêèñëåíèÿ, ÷òî îáúÿñíÿåòñÿ ïåðâîñòåïåííîé ðîëüþ ïëåíîê òåðìè÷åñêè âûðàùåííîé äâóîêèñè êðåìíèÿ â ïëàíàðíîé òåõíîëîãèè.
Ýêñïåðèìåíòàëüíûå çàêîíû ðîñòà îêñèäíûõ ïëåíîê Åñëè êèíåòèêà ïðîöåññà àêòèâíîãî îêèñëåíèÿ õàðàêòåðèçóåòñÿ â ðàâíîâåñèè ëèíåéíûì çàêîíîì, òî â ñëó÷àå ïàññèâíîãî îêèñëåíèÿ ôèçè÷åñêàÿ êàðòèíà ïðîöåññà óñëîæíÿåòñÿ ïðîöåññîì ïåðåíîñà ðåàãåíòà ê ðåàêöèîííîé ïîâåðõíîñòè ðàçäåëà ñêâîçü ðàñòóùóþ ïëåíêó. Ïðè ýòîì êèíåòèêà
îêèñëåíèÿ ìîæåò áûòü àïïðîêñèìèðîâàíà ñëåäóþùèìè çàêîíàìè:
ëèíåéíûì Õ(ò)=Ê1*ò; (1)
ïàðàáîëè÷åñêèì Õ2(ò)=Ê2*ò; (2)
êóáè÷åñêèì Õ3(ò)=Ê3*ò; (3)
ëîãàðèôìè÷åñêèì Õ(ò)=Ê4*lg(Â*ò+1); (5)
îáðàòíî ëîãàðèôìè÷åñêèì K5/X(ò)=À-lg(ò) (6)
Ñóùåñòâîâàíèå êàæäîãî èç ýòèõ çàêîíîâ îïðåäåëÿåòñÿ óñëîâèÿìè ïðîâåäåíèÿ ïðîöåññà îêèñëåíèÿ è ñâîéñòâàìè èñõîäíîãî ìàòåðèàëà. Êîíñòàíòû Ê1-Ê5 çàâèñÿò îò òåìïåðàòóðû, äàâëåíèÿ ðåàãåíòà è ïðèðîäû îêèñëÿåìîãî ìàòåðèàëà.
×àñòî ýêñïåðèìåíòàëüíî íàáëþäàåìàÿ êèíåòè÷åñêàÿ çàâèñèìîñòü ïîä÷èíÿåòñÿ äâóì èëè íåñêîëüêèì ïðèâåäåííûì âûøå çàêîíàì. Òàê, íàïðèìåð, ïðè âûñîêîòåìïåðàòóðíîì òåðìè÷åñêîì îêèñëåíèè êðåìíèÿ â êèñëîðîäå êèíåòèêà ïðîöåññà íà íà÷àëüíîì ýòàïå ñëåäóåò ëèíåéíîé çàâèñèìîñòè, êîòîðàÿ çàòåì ïëàâíî ïåðåõîäèò â ïàðàáîëè÷åñêóþ.
Ïðè èçó÷åíèè ýêñïåðèìåíòàëüíûõ äàííûõ ïî êèíåòèêå ïðîöåññà òåðìè÷åñêîãî îêèñëåíèÿ ìåòàëëîâ è ïîëóïðîâîäíèêîâ â çàâèñèìîñòè îò òåìïåðàòóðû (ñì. òàáëèöó 1), ìîæíî îòìåòèòü ñëåäóþùåå:
ïðè íèçêèõ òåìïåðàòóðàõ, à çíà÷èò, ïðè ìàëûõ ðåçóëüòèðóþùèõ òîëùèíàõ îêèñíûõ ïëåíîê ïðåîáëàäàþùåé ÿâëÿåòñÿ ëîãàðèôìè÷åñêàÿ èëè îáðàòíî ëîãàðèôìè÷åñêàÿ çàâèñèìîñòü;
ïðè ïðîìåæóòî÷íûõ òåìïåðàòóðàõ ê íèì äîáàâëÿåòñÿ êóáè÷åñêàÿ èëè ïàðàáîëè÷åñêàÿ çàêîíîìåðíîñòè;
ïðè âûñîêèõ - êèíåòèêà ïðîöåññà â ïîäàâëÿþùåì áîëüøèíñòâå ñëó÷àåâ ñëåäóåò ïàðàáîëè÷åñêîìó ëèíåéíîìó èëè ñìåøàííûì ëèíåéíî-ïàðàáîëè÷åñêîìó èëè ïàðàëèíåéíîìó çàêîíàì.
Çàâèñèìîñòü ýêñïåðèìåíòàëüíî íàáëþäàåìûõ êèíåòè÷åñêèõ çàêîíîìåðíîñòåé îò òåìïåðàòóðû ïðîöåññà.
Òàáëèöà 1.

Âïåðâûå ëîãàðèôìè÷åñêàÿ èëè ýêñïîíåíöèàëüíàÿ çàâèñèìîñòü êèíåòèêè ïðîöåññà îêèñëåíèÿ áûëà ýêñïåðèìåíòàëüíî ïîëó÷åíà Òàììàíîì, èññëåäîâàâøèì îêèñëåíèå ðàçëè÷íûõ ìåòàëëîâ íà âîçäóõå ïðè ñðàâíèòåëüíî íèçêèõ òåìïåðàòóðàõ. Òàê êàê ìåòîäèêà Òàììàíà áûëà ïðèçíàíà íåâåðíîé, ýòîé çàâèñèìîñòè íå óäåëÿëè ïî÷òè íèêàêîãî âíèìàíèÿ, ïîêà Âåðíîí, Àêåðîéä è Ñòðàóä íå ïîäòâåðäèëè åå ïðèãîäíîñòü ê ïðîöåññó îêèñëåíèÿ öèíêà ïðè òåìïåðàòóðàõ íèæå 350 Ñ.  äàëüíåéøåì ëîãàðèôìè÷åñêèé çàêîí áûë ïðèìåíåí äëÿ öåëîãî ðÿäà ìåòàëëîâ, âêëþ÷àÿ ìàãíèé, öåðèé, æåëåçî, íèêåëü, öèðêîíèé, òàíòàë è òèòàí.
Ãîðàçäî ðåæå íàáëþäàëàñü ýêñïåðèìåíòàëüíî îáðàòíî ëîãàðèôìè÷åñêàÿ çàâèñèìîñòü. Ãàðò, íàïðèìåð, ñ åå ïîìîùüþ îïèñàë êèíåòèêó îêèñëåíèÿ àëþìèíèÿ â êèñëîðîäå ïðè 200 Ñ, à Ðîáåðòñ - êèíåòèêó îêèñëåíèÿ æåëåçà ïðè òåìïåðàòóðàõ îò 0 äî 1200 Ñ. Íóæíî îòìåòèòü, ÷òî ïðè ìàëûõ òîëùèíàõ, à îíè â ðàññìàòðèâàåìûõ ñëó÷àÿõ íå ïðåâûøàëè ñîòåí àíãñòðåì, ýêñïåðèìåíòàëüíûå äàííûå îáÿçàòåëüíî îòëè÷àþòñÿ ðàçáðîñîì, òàê ÷òî òðóäíî îïðåäåëèòü, óêëàäûâàþòñÿ îíè ëó÷øå íà êðèâóþ ëîãàðèôìè÷åñêîé èëè êðèâóþ îáðàòíî ëîãàðèôìè÷åñêîé çàâèñèìîñòè.
Îçíàêîìëåíèå ñ ìåòàëëàìè, ïðîÿâëÿþùèìè ñèëüíóþ òåíäåíöèþ ê ëèíåéíîìó îêèñëåíèþ, ïîêàçûâàåò, ÷òî òàêèå ìåòàëëû îáû÷íî îáðàçóþò îêèñëû, óäåëüíûé îáúåì êîòîðûõ ïî îòíîøåíèþ ê óäåëüíîìó îáüåìó ìåòàëëà ëèáî ìåíüøå åäèíèöû, êàê ó êàëèÿ (0.45), áàðèÿ (0,67) è ìàãíèÿ (0.81), ëèáî â íåñêîëüêî ðàç ïðåâûøàåò åäèíèöó, êàê ó óðàíà (2.27), íèîáèÿ (2.68), òàíòàëà (2.50), ìîëèáäåíà (3.30) è âîëüôðàìà (3.35).  îòíîøåíèè ïåðâîé ãðóïïû ìîæíî ñäåëàòü âûâîä î òîì, ÷òî îêèñåë íå ñïîñîáåí îáðàçîâûâàòü êîãåðåíòíóþ ïëåíêó, áëàãîäàðÿ ÷åìó ïðîöåññ îêèñëåíèÿ ïðîõîäèò ïðè íåïðåðûâíîì îáíàæåíèè ïîâåðõíîñòè ìåòàëëà.  òî æå âðåìÿ ó ìåòàëëîâ ñ áîëüøîé âåëè÷èíîé îîòíîøåíèÿ óäåëüíûõ îáúåìîâ ëèíåéíîå èëè ïàðàëèíåéíîå îêèñëåíèå ìîæåò ñîïðîâîæäàòüñÿ îáðàçîâàíèåì ðàñòðåñêèâàþùåéñÿ èëè ïîðèñòîé ïëåíêè, âîçìîæíî, ïîñëå íà÷àëüíîé ñòàäèè îêèñëåíèÿ, íà ïðîòÿæåíèè êîòîðîé ïëåíêà îñòàåòñÿ êîãåðåíòíîé. Òàêèì îáðàçîì, õîòÿ íà ïóòè îáîáùåíèÿ ëþáîãî ïðàâèëà åñòü ñâîè îãðàíè÷åíèÿ, âñå æå âåëè÷èíà îáúåìíîãî ñîîòíîøåíèÿ îêèñåë-ïîëóïðîâîäíèê ñëóæèò îïðåäåëåííûì êðèòåðèåì çàùèòíîé ñïîñîáíîñòè îêèñëà.
Ïàðàáîëè÷åñêèé çàêîí îêèñëåíèÿ áûë îòêðûò Òàììàíîì è íå çàâèñèîìî îò íåãî Ïèëëèíãîì è Áåäóîðòîì. Ýêñïåðèìåíòàëüíî îí íàáëþäàåòñÿ â ïîäàâëÿþùåì áîëüøèíñòâå ñëó÷àåâ ïðè âûñîêîòåìïåðàòóðíîì îêèñëåíèè ìåòàëëîâ è ïîëóïðîâîäíèêîâ è ÿâëÿåòñÿ ñëåäñòâèåì îáúìíîé äèôôóçèè ðåàãåíòîâ ñêâîçü ðàñòóùóþ îêèñíóþ ïëåíêó. Èíîãäà âûÿñíÿåòñÿ, ÷òî ðåçóëüòàòû îïûòîâ ïî èññëåäîâàíèþ êèíåòèêè îêèñëåíèÿ ìåòàëëîâ ïðè ïðîìåæóòî÷íûõ òåìïåðàòóðàõ ìîæíî ñ óñïåõîì àïïðîêñèìèðîâàòü êóáè÷åñêèì óðàâíåíèåì. Òàê îáñòîèò äåëî ñ íèêåëåì ïðè 400 Ñ, òèòàíîì ïðè 350-600 Ñ è öèðêîíèåì ïðè 350-950 Ñ. Ìîæíî îòìåòèòü, ÷òî äàííàÿ àïïðîêñèìàöèÿ ñîîòâåòñòâóåò ëèøü îïðåäåëåííîìó èíòåðâàëó òåìïåðàòóð è ÿâëÿåòñÿ ïåðåõîäíîé ôîðìîé ìåæäó ëîãàðèôìè÷åñêîé è ïàðàáîëè÷åñêîé çàêîíîìåðíîñòÿìè.
Òåîðåòè÷åñêîå îáîñíîâàíèå ýêñïåðèìåíòàëüíî íàáëþäàåìûõ çàâèñèìîñòåé.
Äëÿ òåîðåòè÷åñêîãî îáîñíîâàíèÿ áûëî ðàçðàáîòàíî ìíîæåñòâî òåîðèé, îñíîâàííûõ íà îáúåìíîé äèôôóçèè çàðÿæåííûõ ÷àñòèö èëè íåéòðàëüíûõ ïàð, à òàêæå ýôôåêòàõ òóííåëèðîâàíèÿ ýëåêòðîíîâ, íóêëåàöèè, êèíåòèêå àäñîðáöèè, îáðàçîâàíèÿ ðîñòðàíñòâåííîãî çàðÿäà, èçìåíåíèè ãðàíè÷íûõ êîíöåíòðàöèé äèôôóíäèðóþùèõ ÷àñòèö â çàâèñèìîñòè îò òîëùèíû ïëåíêè è ìíîãèõ äðóãèõ.
Ê ñîæàëåíèþ, íè îäèí èç óêàçàííûõ ìåõàíèçìîâ íå ñïîñîáåí ïîëíîñòüþ îáúÿñíèòü îáøèðíûé êëàññ èìåþùèõñÿ ê íàñòîÿùåìó âðåìåíè ýêñïåðèìåíòàëüíûõ äàííûõ. Òàêèì îáðàçîì, îñíîâíûì âîïðîñîì, âîçíèêàþùèì ïðè ðàññìîòðåíèè ïðîáëåìû òåîðåòè÷åñêîãî îáîñíîâàíèÿ ýêñïåðèìåíòàëüíûõ êèíåòè÷åñêèõ ìîäåëåé ïðîöåññà ïàññèâíîãî îêèñëåíèÿ, ÿâëÿåòñÿ âîïðîñ î òîì, äåéñòâèòåëüíî ëè êèíåòèêà ðîñòà îêèñëà îïðåäåëÿåòñÿ ñîâîêóïíîñòüþ öåëîãî ðÿäà ôèçè÷åñêèõ ïðîöåññîâ, êàæäûé èç êîòîðûõ ïðèìåíèì ëèøü ïðè âïîëíå îïðåäåëåííûõ óñëîâèÿõ, ëèáî ïîäàâëÿþùåå áîëüøèíñòâî ýêñïåðèìåíòàëüíûõ äàííûõ ìîæåò áûòü îòíåñåíî ê îãðàíè÷åííîìó ÷èñëó ïðåäåëüíûõ ñëó÷àåâ îäíîãî è òîãî æå ïðîöåññà èëè ÿâëåíèÿ.
Íå óãëóáëÿÿñü â ðàññìîòðåíèå ñàìèõ ìîäåëåé, óêàæåì ëèøü, ÷òî áîëüøèíñòâî èç ýòèõ äàííûõ âîçìîæíî îïèñàòü â ðàìêàõ åäèíîé ìîäåëè, îãðàíè÷åííîå ÷èñëî ïðåäåëüíûõ ñëó÷àåâ êîòîðîé îáúÿñíÿëî áû ïîÿâëåíèå âñåõ îòìå÷åííûõ âûøå êèíåòè÷åñêèõ çàêîíîìåðíîñòåé. Îäíîé èç òàêèõ ìîäåëåé ìîæíî ñ÷èòàòü ìîäåëü Ôðîìõîëäà, îñíîâàííóþ íà ðàññìîòðåíèè ïðîöåññîâ îäíîâðåìåííîé ìàêðîñêîïè÷åñêîé äèôôóçèè çàðÿæåííûõ ÷àñòèö (èîíîâ è ýëåêòðîíîâ) ñêâîçü ãîìîãåííóþ îêèñíóþ ïëåíêó â ïðèñóòñòâèè ýëåêòðè÷åñêîãî ïîëÿ, ñîçäàííîãî ýòèìè ÷àñòèöàìè (Fromhold A.T.-"J. Phys. Chem. Solids", 1963, v.24, p. 1081-1089).
Çàâèñèìîñòü ýêñïåðèìåíòàëüíî íàáëþäàåìûõ êèíåòè÷åñêèõ çàêîíîìåðíîñòåé îò òåìïåðàòóðû ïðîöåññà ïðèâåäåíà â òàáëèöå 1.
2. Полупроводниковые резисторы
Полупроводниковые резисторы – это резисторы, изготовленные на основе полупроводникового материала методами полупроводниковой технологии. Различают объемные и диффузионные полупроводниковые резисторы.
Объемные резисторы получают путем создания омических (невыпрямляющих) контактов металла с полупроводником. При идеальных контактах удельное сопротивление такого резистора определяется объемными свойствами полупроводника.
Поскольку на практике используют легированные полупроводники, их удельное сопротивление в случае полной ионизации примеси:
>>=[q>>N>д>+]-1 ïðè N>д>> >>> N>a>
>р>>>=[q>ð>N>а>-]-1 ïðè N>а>> >>> N>ä>
Несмотря на простоту конструктивного и технологического исполнения, объемные резисторы не нашли широкого применения из-за большой занимаемой площади и температурной нестабильности.
Диффузионные резисторы формируют на основе диффузионных слоев, толщина которых намного меньше их ширины и длинны. Диффузионные резисторы изолированы от остального объема полупроводника p-n -переходом. Они могут быть изготовлены одновременно с другими элементами при формировании структуры полупроводниковых ИМС. Поэтому для реализации диффузионных резисторов в полупроводниковых ИМС используют те же диффузионные слои, которые образуют основные структурные области транзистора: базовую, эмиттерную, или коллекторную.
Сопротивление диффузионного резистора R определяется удельным сопротивлением полупроводникового слоя, его глубиной и занимаемой площадью:

( 1 )
где >s> -удельное поверхностное сопротивление слоя

Диффузионные резисторы могут быть реализованы на основе любой из структурных областей транзистора. Для их использования в ИМС на поверхности структурных областей создают омические контакты.
Структура диффузионного резистора на основе структурных областей планарно-эпитаксиального транзистора на рис. 2.

Наиболее распространенны резисторы, сформированные на основе базовых слоев. При этом достигается сочетание высокого сопротивления слоя необходимого для уменьшения площади, занимаемой резистором и приемлемого температурного коэффициента.
Рис. 2
Для получения диффузионных резисторовтребуемого сопротивления, определяемого по формуле (1), диффузионные слои формируют в виде прямоугольника или змейки. В этом случае отношение l/b стремятся сделать по возможности большим. Для диффузионных резисторов характерно наличие паразитных элементов - распределенного конденсатора и распределенного транзистора.
Кроме диффузионных резисторов в полупроводниковых ИМС применяют резисторы на основе МДП-структуры. При этом в качестве резистора используют МДП-транзистор, работающий в режимах, наклонной области ВАХ. Использование МДП-структур в качестве резисторов позволяет реализовать целый ряд цифровых ИМС только на одних МДП-транзисторах.
3. Элемент КМОП - логики.
В цифровых ИМС практическое применение получили полевые транзисторы с оксидным диэлектриком, образующие контакт металл–оксид–полупроводник (КМОП). На рисунке 2 приведена принципиальная схема элемента ИЛИ–НЕ на два входа, содержащая один нагрузочный (VT3) и два логических (VT1 и VT2) транзистора.





































U и.п.
VT3
F (Выход)
VT1
B (Вход 2)




А (Вход 1) VT2
А
1
В F=A+B
Рис. 3
Таблица 11
-
А
В
F
0
0
1
1
0
0
0
1
0
1
1
0
На рисунке 3 приведена схема логического элемента ИЛИ-НЕ. Она состоит из двух логических VT1, VT2 и одного нагрузочного VT3 транзисторов. Принцип работы (таб.1) заключается в следующем:
При подаче на оба логических транзистора (входы А и В) логического 0 они остаются закрытыми (I>ИС>=0). Сопротивление перехода для I>и.п.> велико, поэтому ток источника питания протекает через VT3 на выход схемы (контакт F) формируя уровень логической 1. При подаче хотя бы на один из входов логической 1 транзистор открывается, сопротивление перехода падает I>и.п. >протекает на корпус тем самым на выходе схемы формируется уровень логического 0.
Элементы КМОП-логики нашли широкое применение в микросхемотехнике. На базе этих элементов строятся дешифраторы, триггеры, счетчики, регистры, сумматоры, умножители, элементы ПЗУ и т. д и т.п.
4. Принцип действия и устройство тетрода
Развитие техники радиоприема, связанное с необходимостью усиления напряжений высокой частоты, выявило один из основных недостатков триода. Было замечено, что усилители на триодах, предназначенные для этой цели, работают неустойчиво и не обеспечивают надежного усиления.
Исследования показали, что причиной этого является наличие значительной емкости между электродами лампы. Вопрос этот очень важен, поэтому на нем стоит остановиться подробнее.
Между любыми двумя проводниками, не соприкасающимися друг с другом, существует электрическая емкость.
Две металлические пластины, разделенные промежутком, образуют конденсатор. Конденсатор, включенный в электрическую цепь, создает непреодолимое препятствие для постоянного тока, но для переменного тока представляет лишь некоторое сопротивление. Чем больше емкость конденсатора и чем выше частота переменного тока, тем меньшее сопротивление представляет конденсатор его прохождению. Как мы уже видели, внутри лампы можно различить три такие емкости: между сеткой и катодом, между сеткой и анодом и между анодом и катодом. Анализ работы лампы показывает, что наиболее вредна емкость между анодом и сеткой, обозначаемая обычно С>AC>.
Вредное действие этой емкости можно понять, посмотрев на наши рисунки. Предположим, что лампа должна усиливать напряжение не звуковой, а высокой частоты. На сетку лампы поступают слабые электрические колебания U>вх>. Усиленные колебания этой же частоты, но с напряжением U>вых> выделяются на анодной нагрузке. Если между анодом лампы и ее сеткой есть емкость Оде, то через нее часть усиленного переменного напряжения будет передана из анодной цепи обратно в сеточную. Это напряжение добавится к основному сигналу, действующему в .цепи сетки. Напряжение сигнала на входе как бы возрастает, вследствие чего увеличивается и напряжение, выделяющееся на анодной нагрузке. Это в свою очередь приведет к передаче через емкость анод — сетка в сеточную цепь еще большего напряжения и т. д. В результате работа лампы становится неустойчивой, может возникнуть самовозбуждение и лампа из усилителя колебаний превратится в генератор, т. е. в самостоятельный источник

колебаний. Возникновение в усилителе самовозбуждения проявляется в виде сильных искажений и свиста.
Опасность неустойчивой работы усилителя будет тем больше, чем выше частота переменного тока (тем меньшее сопротивление представляет для него емкость) и чем больше усиление лампы. Это обстоятельство создало весьма серьезные затруднения
приему и усилению слабых сигналов высокой частоты и заставило искать способы борьбы с вредным влиянием емкости сетка — анод трехэлектродной лампы.
Физика знает способы уменьшения емкости между двумя проводниками. Такими способами, например, является уменьшение размеров проводников,. образующих конденсатор, и увеличение расстояния между ними. Эти способы применялись при конструировании триодов, но значительного эффекта они не дали, потому что чрезмерно уменьшать электроды по ряду соображений нельзя (например, уменьшение размеров анода приводит к необходимости снизить анодный токи, следовательно, все параметры лампы), а увеличению расстояний между электродами кладут предел размеры лампы и ряд других причин.
Наиболее удобным и легче всего осуществимым способом уменьшения емкости, оказалось экранирование.
Сущность этого способа можно пояснить 'следующим примером. Пусть имеется цепь из конденсатора, источника переменного напряжения и измерительного прибора. В такой цепи будет течь ток, величину которого отметит измерительный прибор.
Поместим теперь между пластинами конденсатора еще одну пластину и присоединим ее к нашей схеме в точке б. Когда это мы сделаем, то заметим, что стрелка прибора установилась на нуле: тока в цепи прибора не стало.
Объясняется это тем, что ток теперь потечет по другому, более короткому пути — через емкость между левой и средней пластинами и далее *по проводу а—б. Путь переменного тока

в обоих случаях показан стрелками. В правой части схемы, где находится измерительный прибор, тока не будет, она окажется как бы замкнутой накоротко проводом а—б. Это равносильно уничтожению емкости между пластинами конденсатора. Третья пластина явилась экраном, который свел емкость конденсатора к нулю. Важно то, что такой экран не должен быть обязательно сплошным. Его можно выполнить, например, в виде достаточно густой сетки—экранирующее действие при этом не изменится.
Подобный экран можно применить и в электронной лампе. Для этого достаточно ввести в нее вторую сетку—спираль, поместив ее между анодом и основной сеткой. Эту дополнительную сетку называют экранной или экранирующей, а основную— управляющей, так как ее напряжение управляет анодным током.
Введение экранирующей сетки приводит к резкому уменьшению емкости между анодом и управляющей сеткой, вследствие чего исключается опасность проникания усиленного напряжения из цепи анода обратно в цепь сетки и становится возможным получение устойчивого усиления колебаний высокой частоты.
Лампы, имеющие экранирующие сетки, называются экранированными или—по числу электродов—тетродами («тетра» по-гречески—четыре).
Экранирующая сетка должна быть конструктивно выполнена так, чтобы, уменьшая емкость между управляющей сеткой и анодом, она в то же время не создавала препятствий электронам в их движении к аноду. Это вполне осуществимо, так как расстояние между витками экранирующей сетки, конечно, не может идти ни в какое сравнение с размерами электрона.
Но действие экранирующей сетки не ограничивается уменьшением вредной, или, как ее часто называют, паразитной емкости между управляющей сеткой и анодом. Экранирующая сетка одновременно позволяет значительно улучшить параметры лампы и в первую очередь повысить ее коэффициент усиления.
Объясняется это тем, что на пути электронов к аноду появляется еще одна преграда — дополнительная сетка, значит, действие анода на электроны уменьшается, а чем меньше действие анода на электронный поток по сравнению с действием управляющей сетки, тем больше коэффициент усиления.
На это как будто бы можно возразить, что и у триода можно получить очень большой коэффициент усиления. Мы уже говори-

ли, что чем гуще управляющая сетка лампы, тем больше коэффициент усиления. Следовательно, надо делать сетку очень густой, тогда и коэффициент усиления будет очень большим.
На самом деле это не так. В действительности у триода почти невозможно сделать коэффициент усиления больше 100, и вот почему.
Коэффициент усиления показывает, во сколько раз напряжение на сетке действует на анодный ток сильнее, чем напряжение на аноде. Если =10, то это значит, что изменение напряжения на сетке на 1 в действует так же, как изменение на аноде на 106. Подав на анод этой лампы напряжение, например, 1506, мы создадим в ее анодной цепи некоторый ток. Поскольку 1 в на сетке лампы действует также, как 10 в на аноде, то очевидно, что, подав на сетку—15 в, мы совершенно прекратим анодный ток; отталкивающее по отношению к электронам действие сеточного напряжения уравновесит притягивающее действие анода.
Если бы коэффициент усиления лампы был больше, например равнялся 30, то анодный ток прекратился бы при напряжении на сетке—5 в, а при =100 для прекращения анодного тока потребовалось бы подать на сетку всего—1,5 в.
Для работы усилительной лампы используется, как мы видели, участок характеристики между нижним перегибом и точкой, соответствующей нулевому напряжению на сетке. В триоде с большим (и этот участок будет совсем мал: при =100 он окажется в лучшем случае немногим больше, чем 1 в. Значит, к сетке такой лампы нельзя подводить переменные напряжения с амплитудой больше чем 0,5 б, так как в противном случае колебания попадут в область сеточного тока и на перегиб характеристики, что приведет к искажениям. Это обстоятельство очень ограничивает возможности использования триодов с большим .

Введение в лампу экранирующей сетки разрешает эту трудность.
Мы до сих пор говорили только о том, что экранирующая сетка находится между управляющей сеткой и анодом, но не касались вопроса о том, с чем же соединена эта сетка. Для того чтобы она выполняла только функции экрана, ее достаточно было бы соединить с катодом, т. е. с нулевой точкой схемы, относительно которой определяется напряжение всех остальных электродов. Но при этом, как и у триода с большим ц, можно использовать только очень малую часть характеристики лампы, что невыгодно.
Но можно присоединить экранирующую сетку иначе—подать на нее положительное напряжение. Картина при этом резко изменится. Анод, отделенный от катода двумя сетками, сам по себе будет оказывать слабое притягивающее действие на электроны. Но экранирующая сетка будет помогать ему в этом. При положительном напряжении на экранирующей сетке электроны получат дополнительное ускорение и устремятся к экранирующей сетке. Напряжение на ней Uэ можно сделать меньше, чем на аноде Uа. Тогда электроны, приблизившись к экранирующей сетке и приобретя при этом достаточную скорость, испытают сильное притяжение анода и полетят к нему. Небольшое количество электронов окажется при этом притянутым экранирующей сеткой и образует в ее цепи некоторый ток. '
Таким образом, экранирующая сетка способствует увеличению анодного тока. Если осуществление в триодах большого коэффициента усиления приводит к резкому уменьшению возможного для использования участка характеристики, то экранирующая сетка, способствуя, с одной стороны, увеличению коэффициента усиления, увеличивает в то же время анодный ток и этим как бы сдвигает всю характеристику лампы влево, позволяя использовать для усиления ее больший участок.
Благодаря этому тетроды могут иметь очень большой коэффициент усиления, доходящий до 500—600, т. е. во много раз больше, чем у триодов. Поэтому от усилительного каскада с тетродом можно получить значительно большее усиление, чем от каскада с триодом.
На экранирующую сетку обычно подается напряжение, примерно вдвое меньшее анодного. Эта сетка играет вспомогательную роль, и ток в ее цепи не используется.
Тетроды такого типа в основном применялись для усиления высокой частоты. Большой коэффициент усиления и малая величина емкости управляющая сетка—анод позволяют очень эффективно использовать их для этой цели.
Экранированные лампы явились значительным шагом вперед по сравнению с трехэлектродными. У нас раньше выпускались тетроды СО-124. СБ-154 и др. Однако практика использования тетродов выявила крупный недостаток, препятствовавший расширению их применения.
Мы отмечали, что экранирующая сетка, находящаяся под достаточно большим положительным напряжением (обычно порядка 50—70 в), сообщает электронам, образующим анодный ток, дополнительную скорость. Электроны, летящие с очень большой скоростью, с такой силой ударяются о поверхность анода, что выбивают из атомов металла анода другие электроны. Один электрон, имеющий достаточно большую скорость, может выбить из анода несколько электронов. Ударяющийся об анод электрон принято называть первичным, а выбитые им электроны — вторичными.
Каким же образом появление вторичных электронов может отозваться на работе лампы?
Выбитые из анода вторичные электроны имеют неодинаковые скорости. Электроны, получившие небольшую скорость, под влиянием притяжения положительно заряженного анода быстро теряют ее и падают обратно на анод. Такие электроны не удаляются на большое расстояние от анода, и их появление не сказывается на работе лампы.
Но какая-то часть вторичных электронов получает в результате удара большую скорость, дающую им возможность достаточно удалиться от анода и приблизиться к экранирующей сетке настолько, что ее притяжение превысит притяжение анода, В итоге эти электроны будут притянуты экранирующей сеткой.
В результате в лампе образуются два тока: один — нормальный анодный ток, образованный электронами, вылетевшими из катода, и второй—образованный вторичными электронами, выбитыми из анода, и имеющий противоположное направление. Этот ток обратного направления иногда называют динатронным током, поскольку явление выбивания из анода вторичных электронов известно под названием динатронного эффекта.
Динатронный ток, как имеющий обратное направление по отношению к анодному току, вычитается из него. Динатронный эффект приводит к уменьшению анодного тока лампы. Так как каждый первичный электрон может при известных условиях выбить несколько вторичных,' то при некоторых соотношениях напряжений на аноде лампы и ее экранирующей и управляющей сетках динатронный ток может сравняться по величине с «прямым» анодным током и даже превысить его. У лампы, работающей в таком режиме, уменьшение отрицательного напряжения на управляющей сетке будет сопровождаться не увеличением анодного тока, а его уменьшением (из-за возникновения дина-тронного эффекта). В результате возникнут сильные искажения и может начаться самовозбуждение каскада, т. е. превращение усилительного каскада в генераторный.
Способ устранения неприятных последствий динатронного эффекта очевиден: надо не допускать вторичные электроны принижаться к экранирующей сетке. Осуществить это можно введением в лампу еще одной—третьей по счету сетки.
Третья сетка располагается между анодом и экранирующей сеткой и соединяется с катодом. Поскольку отрицательный полюс источника напряжения соединен с катодом, то третья сетка оказывается заряженной отрицательно относительно анода. Поэтому выбитые из анода вторичные электроны будут отталкиваться этой сеткой обратно к аноду. В то же время, будучи достаточно редкой, эта сетка не препятствует лететь к аноду электронам основного анодного тока.
Эта третья сетка защищает лампу от возникновения дина-тронного эффекта и поэтому называется защитной или противодинатронной. Иногда ее называют пентодной сеткой.
1 Логический 0 соответствует 0 вольт, логическая 1 соответствует U>и.п.>