Времяоника. Теория, которой суждено изменить жизнь человечества
ВАДИМ ЕМЕЛЬЯНОВ
ВРЕМЯОНИКА
Теория, которой суждено изменить
жизнь человечества.
“Дверь в лето”
Белгород
2000
ББК 84 37
Е 60
Вадим Емельянов
Е 60 ВРЕМЯОНИКА.
Теория, которой суждено изменить
жизнь человечества. — Белгород: “Дверь в лето”.
2000. — 28с
E-meil: vuemel@meil.ru
http://www.belgorod.ru/lit/em.html
http://www.belgorod.ru/lit/tim.htm
Емельянов В.Ю.
Е 60 ВРЕМЯОНИКА. Теория, которой суждено изменить жизнь человечества. Издание второе, дополненое. — Белгород.: Дверь в лето, 2000. — 28с. (Издание первое Новосибирск “Экор” 1999г.)
В книге рассматриваются вопросы взаимосвязи физической теории времени и человеческого мышления, а также даются основы нового научного направления — Времяоники — теории вневременного информационного обмена.
“Дверь в лето” 2000.
Емельянов В.Ю. 2000.
ИНТУИЦИЯ И ПРЕДВИДЕНИЕ КАК ФАКТОР РАЗВИТИЯ ЧЕЛОВЕЧЕСТВА
История человечества и каждого человека в отдельности изобилует примерами интуитивных предвидений, вещих снов и пророческих предсказаний. Свершившиеся предсказания стали обычным явлением, поэтому все более остро встает проблема научного осмысления возможности предвидения будущего. В ходе дискуссий были сформулированы различные парадоксы, противоречия и запреты указывающие на нарушение причинно–следственных связей. Но незамечать новые факты невозможно.
На основе анализа собственного опыта и многочисленных исторических фактов я пришел к убеждению, что предвидение происходит путем передачи зрительных образов и словесных формулировок увиденных или сформулированных самим ясновидящим. Причем надо отметить, что происходит передача не только "истинных" сведений, но и заблуждений, и недоразумений. То есть, происходит передача информации не обработанной ни каким существом "потустороннего мира". Тем самым я пришел к убеждению, что существует поток (частиц) текущий от будущего к настоящему, способный переносить информацию, который является таким же объективным явлением мира, как электромагнетизм или гравитация.
Жизнь можно представить, как реку с двусторонним течением различных, взаимно проникающих субстанций. Чтобы избавиться от парадоксов нарушения причинно–следственных связей, достаточно взглянуть на мир с точки зрения вневременного наблюдателя. Тогда жизнь или путь человека по жизни предстает в единстве и целостности своих временных проявлений. Поступки людей определяются равнодействующей сил, одна из которых является информацией текущей из будущего.
Явление предвидения проявляется независимо от того осознает его действие человек или нет. Поэтому, выяснение действия этого фактора в процессе мышления, представляется затруднительным, но исторический опыт показывает, что существует возможность отделения информации, полученной путем логического осмысления прошлого опыта, от информации приходящей из будущего.
Возникает вопрос – возможно ли практическое применение данного явления? Предотвращенный несчастный случай чаще всего не вызывает яркого эмоционального возбуждения, которое благоприятно для фиксации зрительного образа – причин несчастного случая. Произошедшая трагедия может предвидеться нами лучше, чем предотвращенная. К тому же очевидец трагедии, зачастую предвидевший ее, все же остается в неведении относительно ее причин и тем самым не может ее предотвратить. Но тем не менее, последствия трагедий все же можно минимизировать.
Если удастся направить развитие человеческого интеллекта в этом направлении, то возможно, в результате эволюционных изменений, произойдет качественный скачек сознания человека. (В данном случае речь идет о выходе в четвертое измерение и об освоении его).
Надо отметить, что перед человеком постоянно встает необходимость предвидения несчастий и неприятностей. В тоже время постоянное ожидание неприятностей может оказать угнетающее действие на психику. (Впрочем, ясновидящие всегда от этого страдали). Как от этого избавиться? – Лучше всего, если предвидящий события человек будет хорошим другом самому себе. Тогда, с высоты прожитых лет и приобретенного опыта, он сможет “отредактировать” свою жизнь, помочь себе найти выходы из сложных ситуаций, поддержать себя в трудные моменты. К тому же, человек непрерывно приобщается к общечеловеческим ценностям, мощным потоком текущим из будущего.
ВНЕВРЕМЕННОЙ ИНФОРМАЦИОННЫЙ ОБМЕН
Какова природа наших мыслей? Поверхностное размышление может убедить, что нет никакого средства для исследования этого вопроса. Мы ощущаем (думаем) свою мысль, вполне отличаем ее от всего, что не является ею, даже отличаем все мысли друг от друга. Но что такое мысль? Чем являются наши мысли, если они могут переноситься из будущего в прошлое? Чем являемся мы?
Для передачи информации по современным представлениям науки требуется материальный носитель. Были попытки объяснения паронормальных явлений с помощью сверхлегких элементарных частиц — микролептонов с маленькой массой. Конечно это предположение носит спекулятивный характер. Чувство неуверенности не покидает нас когда мы вторгаемся в неизведанные области, но если этого не делать, то от науки не будет проку.
Какими же свойствами должны обладать частицы, чтобы они могли переноситься из будущего в прошлое?
Штюкельберг, 1941 и Фейнман, 1948 предложили любопытную интерпретацию состояний с отрицательной энергией.
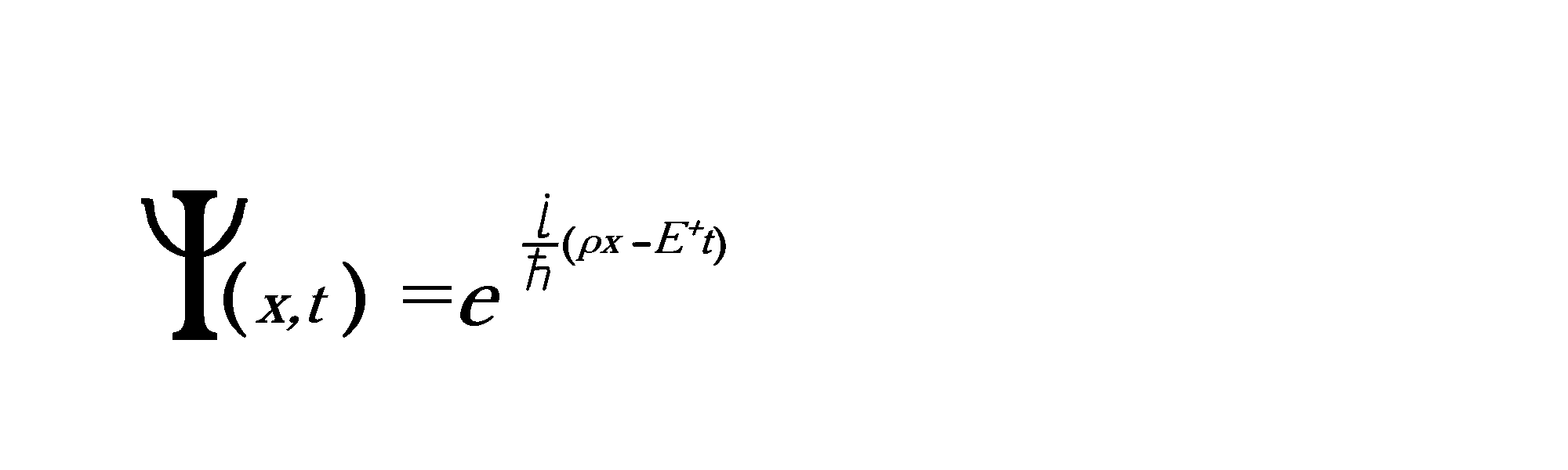
Пусть частица с массой m движется вдоль положительного направления х с положительным импульсом р и положительной энергией Е+= (рс)2+(mс2)2. Ее траектория показана на рис.1. Волновая функция частицы имеет вид


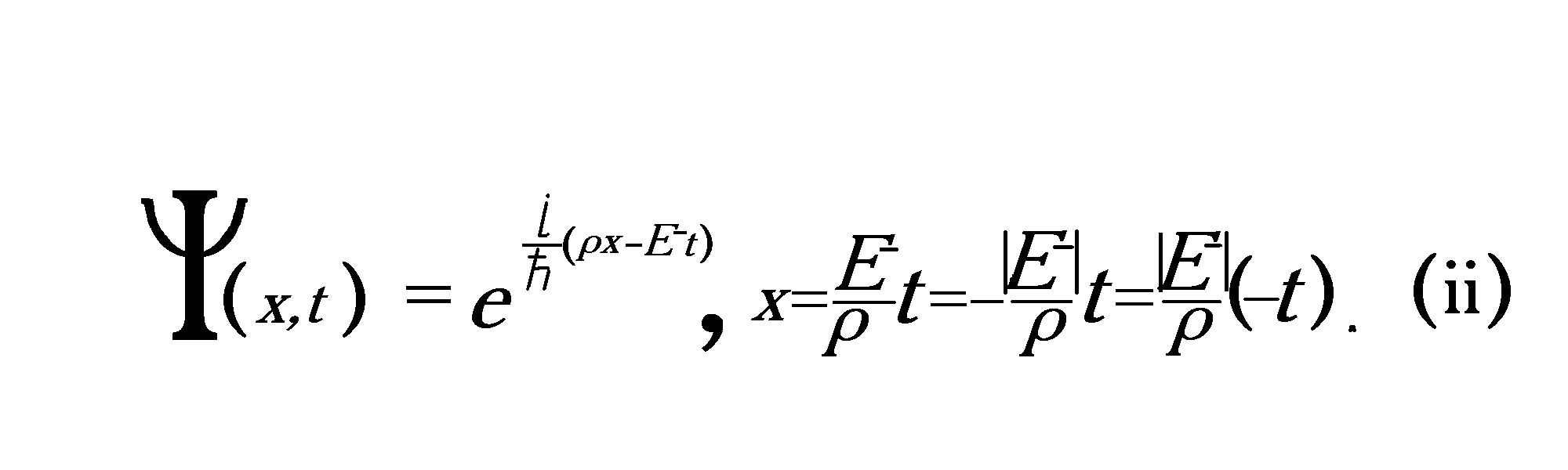
Для состояний с отрицательной энергией
Е-= - (рс)2+(mс2)2 имеем волновую функцию

рис.1.
рис.2.
Последнюю формулу можно интерпретировать как движение частицы назад по времени с положительной энергией Е -. Смысл движения частицы назад по времени можно объяснить, рассмотрев простой случай движения частицы с зарядом -q во внешнем магнитном поле В. Оно описывается уравнением

(iii)
из которого видно, что частица с зарядом q , движущаяся назад по времени, описывается тем же уравнением, что и частица с зарядом -q , движущаяся вперед по времени. Из совместного анализа формул (ii) и (iii) следует, что частица с зарядом q и отрицательной энергией ведет себя как частица с зарядом -q и положительной энергией. Частица с зарядом -q является античастицей частицы с зарядом q. Поэтому поведение частицы в состояниях с отрицательной энергией такое, как и античастицы.
Рассмотрим случай, когда в момент времени t=t>1> в точке x=x>1> в поле какого-то атомного ядра родилась пара частица — античастица; в точке x=x>2> при t=t>2> античастица уничтожилась, встретившись с другой частицей, а родившиеся в результате аннигиляции два -кванта стали распространяться вперед по времени (рис.2). В соответствии с изложенным этот процесс можно рассматривать как движение одной частицы, которая в точке (t>2>,x>2>), испустив два фотона, повернула назад по времени и дошла до точки (t>1>,x>1>). Там она рассеялась на фотоне и стала двигаться вперед по времени. Такое описание одинаково применимо как для фермионов, так и для бозонов. Из него следует, что частица и античастица должны иметь одинаковую массу m и одинаковый спин J (речь идет об одной частице, “петляющей” по времени).
Не знаю, насколько можно с помощью приведенной гипотезы объяснить перенос информации в прошлое, но данный пример показывает, что наука не останавливается перед такими трудностями.
Насколько природа времени влияет на физическую картину мира? Вот еще одна гипотеза — редкость антивещества в нашем мире может быть следствием асимметрии временной направленности нашего мира. Мы состоим из вещества и движемся вместе с ним по временной оси.
Предстоит выяснить не противоречит ли вневременной перенос информации специальной теории относительности? Пока на этот вопрос нельзя ответить однозначно. СТО касается не совершения событий а их существования и потому не говорит ничего о различии между прошлым и будущим.
Конечно, сразу возникает вопрос, возможно ли сделать машину времени? Для путешествия туда и обратно нет. Но можно заставить некий объект двигаться назад во времени. Возможно, часть НЛО и являются зондами (фантомами) запущенными будущими поколениями назад по времени. (Яркие светящиеся объекты движущиеся с большой скоростью). Отсюда объяснимо их внимание к нашим историческим событиям о которых современники порой и не догадывались. О чем может рассказать человеку прошлого яркий движущийся шар в небе? Натолкнуть на мысль о божьем промысле. Благотворность для человечества мысли о боге уже почти не подвергается сомнению. Также они могут пробуждать творческую мысль человека или предупреждать о грядущих бедствиях. Пока трудно говорить о том какую роль они сыграли в истории (это тема специального исследования).
Итак у нас есть носитель информации — антилептоны (мне больше нравится название “времяоны”) и приемо-передающее устройство — мозг человека или более обще — живой организм (один и тот же, но разделенный во времени). Можно предположить, что живой организм оставляет след во времени, некую нить Ариадны, следуя по которой античастицы передают информацию из будущего в прошлое. Более простым кажется предположение о волновой природе передаваемой информации. Тогда приемником может быть любой организм попадающий в резонанс с передатчиком. Для большинства пророков период их предвидения не превышал срока их жизни. Лишь некоторые вступали в контакт с будущими поколениями.
ПРИЧИННО СЛЕДСТВЕННЫЕ СВЯЗИ
Что касается времени то пожалуй можно согласиться с Гегелем: ”Время не есть как бы ящик, в котором все помещено, как в потоке, увлекающем с собою в своем течении и поглощающем все, попадающее в него... Процесс самых действительных вещей составляет... время”. Впрочем, было об этом и у Лукреция Кара:
Также и времени нет самого по себе, но предметы
Сами ведут к ощущению того, что в веках совершилось,
Что происходит теперь и что воспоследует позже.
И неизбежно признать, что никем ощущаться не может
Время само по себе вне движения тел и покоя.
Классическая физика основана на представлении о детерминизме, то есть принципиальной возможности абсолютно точно описать поведение системы. Но в связи с этим возникает вопрос о свободе воли: коль скоро человек — часть природы, то его поступки предопределены, и он не может за них отвечать...
Но можно признать, что человек свободен в своих поступках и в ответе за них, если он в какой-то мере имеет власть над прошлым, если прошлое и будущее так же реальны, как и настоящее. То есть если все события существуют в пространстве-времени как единые части вселенского целого.
Развитие современной науки, отвергая абсолютизацию ранее известных форм причинно-следственных связей, раскрывая их многообразный характер, подтверждает, углубляет и обобщает диалектико-материалистическое понимание причины. Диалектический материализм признает сложность причинно следственных связей, их изменчивость, многозначность, “оборачиваемость”.
Нужно ли отказываться от традиционных представлений о причинно следственных связях? О том как они выглядят с учетом ВИО рассказывает рис.3. Установление полной причины явления оказывается возможным лишь в сравнительно простых случаях, и обычно научное исследование направлено на раскрытие лишь специфических причин.

Все недоумения происходят из-за неправильного деления целостного явления на причину и следствие. Предположу, что отчасти это происходит от того, что наблюдатель движется во времени.
О ЧЕМ МОЛЧАЛИ ДРЕВНИЕ ПИСЬМЕНА?
Почему мы не умеем предвидеть будущее? Почему предвидение будущего было более свойственно людям прошлого?
Конечно раньше люди были более доверчивыми, но причина как мне кажется не в этом. В данном случае имеет значение появление у человека логического мышления. Развитие интеллекта на какое-то время вытеснило древнюю приспособительную способность.
Древние предания сохранили свидетельства, что в жизни человечества произошла какая-то духовная катастрофа. Разные народы переживали потерю способности предвидеть будущее по разному. Но отчетливо эта трагедия была зафиксирована пожалуй только в Библии и в мифе о Прометее.
В первой книге Моисеевой, в “Бытие” говорится, что “обольщенные змеем, муж и жена едят запретный плод”, после чего Бог умножил скорби женщины, проклял землю за Адама и изгнал человека из рая. Правда, Господь Бог сделал Адаму и жене его одежды кожаные, и одел их.
Что же произошло? Из текста мы узнаем, что запретный плод дает знание. Вот нам и предстоит понять какого рода это знание.
А знание это таково, что, люди увидели, что они наги (по всей видимости у них зародилось мышление). Знание помешало вступить в общение с Богом. (А такое общение было, о нем позднее скажет Иоанн: ”И слово было от Бога, и слово было к Богу”.) Люди испугались сделав логическое заключение, что стыдно быть нагими. Так может быть всему виной развитие мышления, притом именно логического?
Конечно все это только предположения, но посмотрим, что говорится об этой трагедии в эпосе других народов.
Вот что говорит Эсхилл в своей трагедии “Прометей прикованный”. (Сам Эсхилл жил в 6 в.д.н.э. а миф возник гораздо раньше). На вопрос предводительницы хора в чем он виноват Прометей признается, что он у смертных отнял дар предвидения, наделив их “слепыми надеждами”. И это повлекло со стороны Бога аналогичное библейскому наказание. Человека чуть не уничтожили, а Прометея прокляли. В данной версии мифа не главный Бог, а Прометей сделал людям одежды.
Впредь для общения с Богом требовалось обладать определенного рода благодатью о наличии которой говорится в сказании о Ное. Впрочем, вполне возможно, что сказание о потопе более раннее чем о сотворении мира. Это возможно описание реальных событий, в то время как миф о сотворении мира носит отпечаток теоретизирования.
Бог обращается к Ною, рассказывая ему о будущем. Первоначальной функцией Бога было предсказание будущего. Основоположником нравственных законов Бог становится позднее. По началу даваемые им законы еще противоречивы, иначе и быть не могло. Неизменным остается предсказание будущего.
Человек предчувствуя будущее не мог не искать объяснения своим пророческим снам. Неизбежно он приходил к пониманию, что эти сведения идут от потусторонних сил, от Бога. Здесь источник религиозного мировосприятия древнего человека. В то время человек и помыслить не мог, что инициатором предвидения будущего является он сам. Слишком он был слаб. Сейчас мы можем сделать такое предположение основываясь на научной методологии.
Абстрактное мышление и, в частности, обращение с числами и символами свойственно только человеку, т.е. приобретено на поздней стадии эволюционного развития. Это не сопровождалось какими-либо существенными изменениями в устройстве нервных клеток и организации нейронной сети. Абстрактное мышление вторично, надстроечно, по отношению к фундаментальным механизмам работы мозга. Накапливаемый сейчас фактический материал из области сравнительной физиологии говорит о не предпологавшемся раньше разнообразии материальных субстратов регуляционных кодов и самих форм и принципов кодирования, в котором осозноваемые и вербализованные психические коды человеческого мозга занимают место лишь одной из частных, хотя и наиболее высокоразвитых форм.
Когда происходили эти процессы? Мы можем определить такие вехи становления самосознания человека: 3400 лет д.н.э. возникновение письменности в шумерской цивилизации. В 9 веке д.н.э. в Греции возник первый алфавит. Создание алфавита явилось новой ступенью развития логического мышления. Через некоторое время после этого возникли рассматриваемые здесь мифы.
Для древних предвидение будущего было явлением обычным. Они даже догадывались о возможных проблемах связанных с предвидением будущего, вроде прогностического эффекта Эдипа, когда предсказание события само моделирует будущую ситуацию. Софокл в своей трагедии “Эдип-царь” быть может впервые усомнился, что предвидение будущего идет от потусторонних сил.
Индийская религиозная традиция тоже искала пути преодоления разлада с будущим. Это преодоление намечается в учении о карме. И хотя причины кармического влияния религиозная философия видит в прошлых прегрешениях, мы можем увидеть, что предлагаемые религиозными практиками советы помогают человеку лучше предчувствовать будущее, так как по их представлениям притекание кармы происходит в силу “омрачения” психики: гнева, хитрости и алчности, страсти, страха и отвращения. Всего того, что приводит к появлению “слепых надежд”.
Мы знаем, что человек предвидя будущее общается с самим собой находящимся в будущем. Древний человек думал, что он общается с Богом и это общение, по мере развития логического мышления, становилось все затруднительнее. Будущее могли предвидеть лишь некоторые (отсюда идеи избранничества, угодности Богу). Потребовались различные способы “расширения” сознания (блокирование логического мышления): наркотические средства (пифии Греции), шаманские пляски, различные способы гадания. Кстати, вот почему среди пророков были юродивые.
На современном этапе развития человек может попытаться вернуть себе утраченную способность. Больших успехов ждать не приходится, так как никто не собирается отказываться от логического мышления. Человек может улучшить “слышимость” будущего за счет более качественного наполнения межвременного информационного потока, за счет использования законов информатики и новой науки — Времяоники.
Теорию вневременного информационного обмена (Времяоники) можно изложить в виде постулатов.
1) Все живое чувствует будущее (ветер времени, несущий информацию).
2) Человек находится в разладе с вневременным информационным потоком потому что мешает логическое мышление создающее “слепые надежды”.
3) Человек может формировать информационный поток текущий в прошлое, тем самым создавая связь будущего с прошлым. Существуют разные способы нагнетания потока информации: концентрация внимания, гипноз, медитация. Необходимо долгое и кропотливое осмысление образов, передаваемых в прошлое. Информация о событии может сопровождаться определенным эмоциональным настроем. Каждый человек должен сам определить и выделить для себя такое эмоциональное состояние.
Нельзя не упомянуть и об элементарной честности, о которой сказано в Евангелии: ”Пусть будет ваше да — да, нет — нет. Честности перед самим собой. Без нее не может быть речи ни о какой передаче информации.
ЭКСПЕРИМЕНТ
Можно ли поставить эксперимент который бы подтвердил существование ВИО.
Эксперимент это такое действие, когда мы в состоянии рассказать другим, что нами проделано и что нам стало известно в итоге.
Для постановки экспериментов во Времяонике, не требуются инструменты, исследовательской лабораторией является мозг человека. Можно ли говорить о воспроизводимости результатов которые получаются у одних и не получаются у других? Те у кого ничего не получается словно бы заранее дискридитируются нами, мол лаборатория слабовата. Наверняка отсутствие лабораторий где-нибудь в Африке, переносится африканцами легче, чем отсутствие мозгов переносится европейцами. Вот восточные традиции позволяют подходить к интеллектуальным лабораториям так же как к инструментальным. Но и у нас многое стало меняться.
Эксперимент поставить не сложно. Подошло бы даже какое-нибудь казино. Группе людей предложить прийти в казино, сделать одну ставку на рулетке (на основном поле — цифры от 0 до 36) и вне зависимости от результата покинуть его. После этого испытуемые должны будут нарисовать выпавшую цифру, повесить на стене и раз в день, в течении месяца концентрировать на ней свое внимание. В целях материальной заинтересованности выигрыш оставлять у испытуемых. В эксперименте задействовать людей раньше в рулетку не игравших. Также взять с них слово что в ближайшие пол года они играть не будут.
Некоторые оппоненты ошибочно полагают, что предвидение сказывается на частоте выпадения того или иного числа. Между тем, ничего подобного не происходит. Независимо от наблюдателя, получающего из будущего информацию о выпадении того или иного числа, частота выпаданий подчиняется законам вероятности. В данном случае информация из будущего не является даже косвенной причиной события.
Можно ставить эксперименты на крысах которые, как известно покидают здание, которое скоро обрушится или сгорит, или корабль который затонет.
Ставить эксперименты в этой области не сложно. Сложно обеспечить высокий уровень доверия к ним. Люди сейчас склонны сомневаться во всем.
С явлением ВИО сталкивались многие ученые. Швейцарский психоаналитик Карл Юнг исследовал явление, названное им синхронизмом, то есть когда одновременно, подчас в разных местах, происходят похожие или даже одинаковые события. Например, когда смерть одного человека вызывает тревожный сон у его близкого родственника.
Подобные совпадения, вследствие их многочисленности, требовали какого-то рационального объяснения помимо ссылки на случайность или телепатию. По мысли Юнга, явление синхронизма служит дополнением к причинности — это представление возникло у него, наверное, под влиянием сотрудничества с Вольфгангом Паули, одним из основателей квантовой механики: и физика, и психология не могут быть абсолютно объективными, поскольку и тут, и там наблюдатель неизбежно влияет на наблюдаемый объект.
Юнг приводит пример — случай со Сведенборгом, когда тот пережил видение пожара точно в то же время, когда пожар действительно бушевал в Стокгольме. По мнению Юнга, определенные изменения в состоянии психики Сведенборга дали ему доступ к “абсолютному знанию” — в область, где преодолеваются границы времени и пространства.
ВСЕ ЖИВОЕ ЧУВСТВУЕТ БУДУЩЕЕ
Но только ли психике доступно преодоление границ времени? Противники дарвинизма утверждают, что жизнь на Земле развивалась целенаправленно, потому что, если подсчитать, сколько времени необходимо для эволюции путем случайных мутаций, то получится несуразно большая величина, значительно превышающая возраст Вселенной.
Случайность не объясняет и явной системности в многообразии возникающих форм живого, что проявляется в существовании закона гомологических рядов Н.И.Вавилова, согласно которому генетически близкие виды имеют сходный тип наследственной изменчивости. Это говорит о существовании некоторых общих упорядочивающих законов.
В модели целенаправленной эволюции развитием управляет будущее. Управляет, проецируя на прошлое матрицы видов, которые должны возникнуть! Просто в будущем их числено больше.
Если это так, то придется сделать революционный шаг и пересмотреть существующую концепцию времени. Но это не значит, что нужно отказаться от реальности причинно-следственных связей, а только признать диалектическое единство причины и следствия, прошлого и будущего (в физике это проявляется в существовании так называемых квантовых корреляций и нелокальности).
Это можно интерпретировать и так: события способны создавать во времени причинно-следственные петли.
РЕКУРСИЯ
Сторонники “витализма” постоянно утверждают особенность жизненных процессов их разительное отличие от кибернетических машин.
Так Ганс Дриш остроумными экспериментами показал, как развивающийся зародыш чутко реагирует на вмешательство экспериментатора и все же, вопреки этому вмешательству, развивается в нормальный организм, регулируя деление и перемещение клеток.
Дриш поставил вопрос о существовании присущего только организмам свойства которое назвал фактором Е или “энтилехией”.
В 1933 году в книге “Философские вопросы современности” Дриш писал: ”Энтилехию я ввожу как наличный фактор в эмпирическом смысле, так как, ввиду непосильности решения механическим путем, принцип “причинности” не сохранил бы в будущем достаточного логического основания. Что-то должно быть, но оно пока что “Х”.”
Энтилехию Дриша постигла печальная судьба. Подавляющее большинство биологов ее отвергло. Казалось, что идеи Дриша возвращают биологию к давно почившему старому витализму додарвиновских времен с его рассуждениями о “стремлении к созиданию”, “жизненной силе”, “формирующей силе” и подобных туманных понятиях.
Позднее была создана теория машин, имитирующих некоторые функции организмов, а именно их регуляторный характер (с использованием обратных связей). Так что же фактор “Х”? Может быть он не нужен? Но посмотрим, как же моделирует машина жизненные процессы. В программирование прочно вошло понятие рекурсии — процесс когда алгоритм адресует процессор к уже выполненной части программы. То есть машина имитирует ВИО.
Всю первую половину двадцатого столетия созревала мысль о важнейшем качестве живых систем — целесообразности (или целенаправленности, целеустремленности и т.п. ).
КРАСНОРЕЧИВЫЕ ПОДСКАЗКИ ИСТОРИИ
Современное знание стремится создать не только единую физическую картину мира, но и проникнуть в загадки культурно-созидательных устремлений человечества. История накопила огромный материал о пророках и прорицателях, но до сих пор не было попыток систематизировать и осмыслить эти феномены. Вот несколько хрестоматийных примеров о случаях предвидения (о катренах Нострадамуса или предсказаниях Ванги, о которых сейчас так модно говорить, умолчу):
— жене Юлия Цезаря приснился сон, в котором она видела, как убивают ее мужа, а через три дня Цезарь был действительно заколот;
— английский король Ричард III увидел во сне, что погиб в бою, а на следующий день это свершилось;
— епископ Йозеф Ланий увидел во сне, как застрелили австрийского эрцгерцога Фердинанда, что и произошло на следующий день, в результате чего началась Первая мировая война;
— американский президент Авраам Линкольн неоднократно видел сны и видения (последний раз накануне покушения), которые предсказывали ему гибель от руки наемного убийцы;
— английский премьер Уинстон Черчиль буквально чудом, по какому-то наитию, однажды спас своих слуг, а в другой раз сам избежал неминуемой гибели во время бомбардировок Лондона;
— известный экстрасенс Эдвард Кейс назвал точную дату землетрясения в Калифорнии, разрушившего Сан-Франциско в 1906г.
К сожалению, нет никакой возможности привести все документально зафиксированные факты. Несомненно только одно: следует признать существование феномена вневременного информационного обмена. Для этого следует не сравнивать число удачных и неудачных предсказаний, а определить вероятность каждого верного предсказания и сравнить ее с вероятностью чисто случайного события.
БЕЗУМНЫЕ ПИФИИ И ЗДРАВОМЫСЛЯЩИЕ ГЕНИИ1
Платон в своих “Избранных диалогах” писал: “Прорицательница в Дельфах и жрицы в Додоне в исступлении сделали много хорошего для Эллады и отдельным людям, и целым народам, а в здравом уме — мало или вовсе ничего. И если мы стали бы говорить о Сивилле и других, которые благодаря божественному дару прорицания множеством предсказаний многих направили на верный путь в будущем, то мы бы потратили слова на то, что всякому ясно. Но вот на что стоит сослаться: древние, которые давали имена вещам, не считали исступление безобразным или позорным — иначе бы они не прозвали “маническим” то прекрасное искусство, которое позволяет судить о будущем. Нет, считая его прекрасным, если оно появляется по божественному определению, они и дали ему это имя, а наши современники, по невежеству вставив букву “т”, называют его “мантическим”. Точно так же и тот вид гадания, когда сведущие люди пытают грядущее по птицам и другим знамениям, в которых, словно нарочно, заключен для человеческого ума смысл и даже знание будущих событий, древние назвали ойоноистикой [или гаданием посредством ума], а теперь называют попросту “ойонистикой” [или птицегаданием], с омегой ради пышности. Так вот, насколько прорицание совершеннее и ценнее птицегадания и по имени и по существу — настолько же, по свидетельству древних, исступление, даруемое богом, прекраснее здравомыслия, свойственного людям.
Избавление от болезней, от крайних бедствий, от тяготевшего издревле божьего гнева бывало найдено благодаря исступлению, появившемуся откуда-то в некоторых родах и дававшему прорицание тем, кому это требовалось. Исступление заставляло прибегать к молитвам и служению богам, отчего удостаивалось очищения и посвящения в таинства и тем ограждало от напастей и на нынешнее и на будущее время того, кем овладевало, и приносило избавление от нынешних зол подлинно иступленным и одержимым.
Третий вид одержимости и исступления — от Муз, оно охватывает нежную и непорочную душу, пробуждает ее, заставляет излить вакхический восторг в песнопениях и в иных родах поэзии и, украшая несчетное множество деяний предков, воспитывает потомков. Кто же без ниспосланного Музами исступления подходит к порогу творчества, в уверенности, что благодаря одной сноровке станет изрядным поэтом, тот немощен, и все созданное человеком здравомыслящим затмится творениями исступленных”.
Про пифий, исступленных предсказательниц будущего, мы знаем лишь по легендам. Но существуют и вполне достоверные факты предсказаний, а также установления научной истины.
Например, Данте в своей “Божественной комедии” дал точное описание созвездия Южный Крест, о котором в те годы совершенно точно не могли знать обитатели Северного полушария Земли. А Свифт в “Путешествии в Лапуту” указал почти точные сведения о спутниках Марса, — их расстояниях от этой планеты и периодах обращения, — хотя эти спутники, Фобос и Деймос, были открыты астрономами лишь много лет спустя...
Уже не в столь давнее время, согласно легенде, Кекуле увидел во сне структурную формулу бензола, а Менделеев — периодическую систему элементов. Вряд ли стоит сомневаться в том, что эти открытия были следствием своеобразного научного исступления. По-видимому, современные ученые могли бы пополнить список удивительных творческих озарений.
БЕЗ ВСЯКОЙ МИСТИКИ
Предвидения будущего возможны, если впечатления оставляют яркий, глубокий след в мозгу в настоящем. Для передачи сигнала нужен приемник и передатчик. Проще всего считать ими один и тот же мозг или весь организм, разделенный временным интервалом.
Как может приходить информация из будущего? Например, человек с аномальными способностями при чтении текста в закрытом конверте работает успешнее, если потом ему сообщают содержание этого текста. Или, если экстрасенс указывает место какого-то происшествия, а потом ему говорят о том, где это действительно произошло. Поэтому вполне возможно, что не существует никакой телепатии, ясновидения, диагностики на расстоянии, а есть только считывание информации из будущего.
Итак, никакой мистики, кроме небольшой корректировки наших взглядов на природу времени.
НЕ НАВРЕДИ
Духовный мир человечества чем-то похож на интернет. Вот только мало кто о нем знает, и еще меньше тех кто им пользуется.
Приобщаясь к духовной жизни человечества необходимо обезопасить себя антивирусной программой. Нужно иметь твердую установку — “Не навреди”. Это было важно в прошедшие времена, это важно и теперь, на переходном этапе. Вполне возможно попасть под влияние сил распада, разложения. К тому же то что в одно время благо, в другое может быть злом.
СОВРЕМЕННОЕ ПОЛОЖЕНИЕ ДЕЛ
Предсказателей сейчас развелось много.
Мне кажется что после всего изложенного ясно, что феномен предвидения будущего заложен в самом человеке и поэтому не стоит искать будущее в движении планет, в картах, бобах, кофейной гуще, компьютерах и прочем. Надо изучать собственное сознание.
Шарлатаны предлагают “предвидеть будущее” по почте и по телефону. Меж тем человек берущийся предвидеть должен в будущем обладать исчерпывающей информацией о предмете своего предвидения. Это не возможно при поверхностном общении.
Известны исторические факты.
1. Нострадамус встретив неизвестного монаха предвидел, что тот в будущем станет Папой.
2. Французская гадалка Ленорман, предсказала генералу Буонапарту, что он станет императором Франции.
Следует обратить внимание, что в обоих случаях речь шла о исторических личностях, оставивших след в истории. Ленорман и Нострадамус в будущем располагали информацией об этих людях.
Знание закономерностей ВИО поможет избежать грубого обмана.
Как известно наука это сумма ограничений. Пора ей навести порядок в этой области человеческих знаний.
Люди не желают знать, что будет, они желают знать, что все будет хорошо. В мрачные прогнозы не верят, точнее сознание человека старается их игнорировать. Видно есть какая-то психологическая защита. Кассандре не верили потому, что она предсказывала гибель. И погибла она потому, что раньше люди считали, что предсказание само по себе обладает магической силой. Только теперь, основываясь на данных Времяоники можно сказать, что такой силы у него нет. Более того, если правильно пользоваться вневременным обменом информации, то с негативными явлениями будущего можно бороться.
В современном мире бушует криминальный и экологический кризисы, и без способности предвидеть будущее нашему обществу не выжить.
А угроза из космоса, в виде возможности столкновения с малыми небесными телами! В результате беспечности людей из книги бытия может быть вычеркнуто все человечество.
Как же решить проблему неверия? Мне видятся несколько путей.
1. Повысить качество предсказаний путем освоения основ Времяоники.
2. Освоение способности предвидеть будущее всем населением.
3. Создание центров по обработке предсказаний и сертификации пророков.
Будущее зависит только от нас, от всех тех, кто остро чувствует свою сопричастность и свою ответственность за все происходящее вокруг.
РОЖДЕНИЕ ДУШИ
Есть гипотеза, что предвидение будущего в большей степени свойственно детям. При рождении мозг человека развивается не только подчиняясь законам биологической наследственности, но и воспринимая информацию из будущего. Информацию связанную с будущей деятельностью человека, с его судьбой. Мозг как может приготавливается к предстоящим испытаниям. Незря говорят , что все дети гении. В детстве мозг ярче воспринимает информацию из будущего, как от самого себя в будущем, так и от других людей.
Вот что пишет АПУЛЕЙ в “Апология, или о магии”. “Я помню, что прочитал у философа Варрона, мужа многоумного и многосведущего, среди прочих рассказав такого же рода еще и вот какой. Якобы в Траллах, когда волхвы там совершали гадания об исходе Митридатовой войны, некий отрок, созерцая отраженный в воде кумир Меркурия, вдруг пропел песнь в сто шестьдесят стихов о грядущих событиях. Тот же Варрон рассказывает, как Фабий, потеряв пятьсот денариев, пришел за советом к Нигидию и как зачарованные Нигидием мальчики точно ответили на вопрос его, где зарыта мошна с частью этих денег и куда разошлись остальные — и тогда одна монета нашлась даже у философа Марка Катона, который признался, что взял ее от своего же ближнего раба для взноса в Аполлонову казну. Вот такое и подобное о волхованиях и отроках читал я во многих книгах и все-таки сомневаюсь, что по этому поводу сказать — допустить или отвергнуть, хоть я и верю Платону, что между богами и людьми пребывают некие промежуточные по природе и по местоположению дивные силы, правящие всеми пророчествами и чудодействованиями магов. Поэтому я по размышлении допускаю возможность, что человеческая душа, а наипаче детская и невинная, то ли от запахов услаждающих, то ли от песен утешающих засыпает в дремотном успокоении и в беспамятном ко внешнему отчуждении, так что на краткий миг с позабытым телом она разлучается и к собственному естеству возвращается, а естество сие воистину бессмертно и божественно — и что поэтому словно бы в некоем сонном дурмане провидит душа грядущее. Однако же в любом случае, если вообще можно верить подобному, то для самого существа дела непременно надобно, как я слыхал, чтобы этот — уж не знаю какой! — назначенный для пророчества отрок был бы телом прекрасен и беспорочен, разумом остер и даром речи отличен: все для того, чтобы дивная сила в нем как бы отменное обиталище, коего достойна, ежели и вправду нисходит она в отроческое тело, и чтобы сама душа после скорого своего пробуждения воротилась бы к пророчеству, мигом ею обретенному, и с легкостью воспомнила бы его в целости и сохранности, еще не тронутое забвением.”
Надо внимательнее относиться к тому что говорят дети, порой еще в младенческом возрасте. Дети иногда настолько обременены неразрешимыми проблемами которые встанут перед ними в будущем, что могут даже болеть от этого.
Мы еще только приближаемся к тайнам формирования души-психеи. Мы еще не знаем с какими феноменами нам предстоит столкнутьяся, но как бы вступая в полемику с К.Юнгом можно утверждать, что архитипы, о влиянии которых на развитие души он говорил, находятся не в прошлом народов, а в их будущем. Впрочем, чтобы не вносить путаницы я предлагаю назвать их неотипами.
МЫ И БУДУЩЕЕ
Будущее определяет прошлое, но к чему оно нас склоняет? Несомненно, потомки хотят жить хорошо, счастливо. И, в какой-то мере, их счастье — это наше счастье. Возникни в будущем проблема — и мы ощутим волну боли, страданий, переживаний. Человечество является единым организмом с единым разумом.
Сильных проводников информации мало, и, зачастую, остро передается негативная информация. Можно выделить два стиля жизни, по виду используемых информационных потоков из будущего: канал благотворной и полезной информации, и негативный канал, ведущий к гибели — канал неудачников. Отсутствие связи можно рассматривать также как канал неудачников.
Для амеб, размножающихся делением, вечная жизнь не является проблемой. Но им и не приходится накапливать информацию. Для человека важно установить межиндивидную связь, чтобы продлиться в будущем. Один из видов такой связи и представляет поток мыслей из будущего в прошлое. Он формирует наше сознание, нашу душу. Можно даже надеяться на воскрешение, когда человечество разовьет все свои возможности.
Корни многих общественных явлений следует искать не столько в прошлом, сколько в будущем. В наибольшей степени это касается России.
В древней Руси существовала богатая волхвическая культура, основу которой заложили пророки. Тысячу лет назад культура древней Руси столкнулась с порабощающей, к тому времени извращенной и фетишизированной, культурой христианства. Волхвы были уничтожены. Тысячу лет Русь раздирали противоречия, неисчислимые бедствия обрушивались на народ, и не могли ему помочь пророки. Но душа народная неистребима. Не просто так, предупреждал Иисус, что насилие обречено на поражение, оно видит истоки явлений в прошлом, в то время как они в будущем.
Сегодня созидательные силы нашего общества на исходе, так как нет соприкосновения с их источником — Божественным Духом.
Именно будущее дает нам надежду. Не похоже, чтоб человечество погибло в скором времени. Можно полагать, что у человечества есть в запасе два-три тысячелетия. Слишком много еще не сделано, не освоено. О многом имеются пока только смутные представления.
Я не думаю, что предвидение может избавить человечество от всех бед. Оно по-прежнему будет сходить с ума, мучаться от скуки и одиночества, тщетно стремиться понять мир и свое место в нем. Но при нормализации мыслеобращения между будущим и настоящим, многие процессы могут прийти в гармоничное состояние. Услышав благую весть об универсальной гармонии, каждый почувствует себя связанным, примиренным и слитым со своим ближним.
Если подойти к духовному общению серьезно, то как знать, может быть это путь ведущий к встрече с Богом. Способность жизни к адаптации в этой вселенной и раньше вызывала удивление, теперь нарисованная картина разит наповал. Что представляет собой человечество? Тень божества? Венец творения или Творец?
Емельянов В.Ю.
Е 60 ВРЕМЯОНИКА. Теория, которой суждено изменить жизнь человечества. Издание второе, дополненое. — Белгород.: Дверь в лето, 2000. — 28с. (Издание первое Новосибирск “Экор” 1999г.)
Движение вдоль одной прямой — имя которой время, большинство из нас и называет жизнью. Мы уверены, что не в силах изменить ни скорость, ни направление этого движения и единственное что нам остается делать — это только отсчитывать верстовые столбы стремительно проносящихся мимо годов...
Течение времени нас несёт вперёд, но при этом мы видим только свое прошлое, ибо нам доступны лишь воспоминания, становящиеся все более расплывчатыми и искаженными с каждым вновь наступившим днем.
О том, что будет, мы догадываемся только по смутным контурам выступающим из тумана грядущего и часто, очень часто ошибаемся, принимая большое за малое, далёкое за близкое и наоборот. И как правило — смутные тени впереди принимают облик наших страхов или всё не сбывающихся ожиданий.
Время. Какова его природа? Существует ли будущее и как заглянуть в завтра? Можно ли управлять будущим? На эти вопросы человечество пытается ответить уже давно, но сделано в этом направлении всё ещё очень мало. Эта книга — ещё одна попытка разобраться в таком сложном явлении как время. Кто знает, может быть закладывающиеся сегодня основы нового научного направления — теории вневременного информационного обмена — помогут в будущем обуздать и поставить на службу человечеству самое непокорное из известных — четвертое измерение.
В.В.Афанасьев
Научно-популярное издание
ЕМЕЛЬЯНОВ
Вадим Юрьевич
ВРЕМЯОНИКА
Редакторы В.В.Афанасьев, В.Н. Новиков
Технический редактор Л.В.Назарова
Сдано в набор 22.03.20. Подписано в печать 10.05.20.
Формат 7090 1/32. Печать офсетная. Бумага офсетная.
Тираж 100 экз. Цена свободная. Заказ 43 .
Издательство “Дверь в лето”
1 “Техника молодежи” №8, 1999, — “Петля времени”.