Шпаргалки по статистике (работа 1)
ПРЕДМЕТ И ЗАДАЧИ СТАТИСТИКИ ДЕН. ОБР И КРЕДИТА
Предметом изучения явл. кол-венная хар-ка массовых явлений в сфере ден. обращения и кредитных отношений. Ден. обращение – это движение денег во внутр. обороте в наличной и б/наличной форме в процессе обращения товаров, оказания услуг и совершения различных платежей. Ден.обр. охватывает не только движение товаров и услуг, но и ссудного и фиксированного капитала. Значительная часть оборота в странах с Р.Э. приходится на на фин. операции, т.е. на сделки с различными видами ценных бумаг, ссудные операции, налоговые платежи и проч. Большая часть ден. оборота происходит в б/нал. форме. Это связано с с резким увеличением платежных операций. Денежно-кредитное регулирование – сис-ма мероприятий гос-ва, направленная на стабилизацию ден. обр., валютной сис-мы, улучшение функционирования кредитной сис-мы. Центробанк использует такие приемы, как регулирование учетной ставки, изменение нормы обязательных резервов банка, проведение операций с гос. цен. бумагами.
ЗАДАЧИ:
1. Определение размеров ден. массы и ее структуры.
2. Отображение ден. обр. и оценка факторов, влияющих на обесценивание денег.
3. Хар-ка кредитной политики.
4. Статистическое изучение форм кредита.
5. Изучение ссудного процента.
КАТЕГОРИЯ КЛАССИФИК-И И СИС-МА СТАТ. ПОКАЗАТ. ДЕН. ОБР.
Сис-ма стат. показателей, хар-ющих ден. обр. основывается на категориях связанных с функционированием денег, определением ден. массы и ее структуры. Деньги выполняют функцию меры стоимости, средства обращения, средства платежа, средства накопления и сбережения. Во внешенеэконом. отношениях деньги функционируют как мировые деньги. В связи с указанными функциями, сис-ма показателей ден. обр. вкл. след. показатели: ден. масса и ее структура, обеспеченность ден. знаками национальной экономики, покупная способность ден. единицы, показатели операций на счетах с депозитами и с золотым запасом, показатели операций с валютой в международных эконом. отношениях. Всю ден. массу можно представить, как совокупныый ден. агрегат М3, к-рый при этом будет включать составные части агрегатов М0, М1, М2. М3 – это ден. масса в обороте, измеряемая совокупным объемом покупательных и платежных средств, обеспеч. хоз. оборот и принадлежащих частным лицам, предприятиям, гос-ву. М0 – наличные деньги – нац. наличная валюта. М1 – деньги в узком смысле – М0 и депозиты до востр. М2 – деньги в узком смысле и близкие категории – М1 и срочные накопит. депозиты, депозиты в инвалюте, депозитные сертификаты, перекупаемые ценные бумаги по соглашению. М3 – М2 и дорожные чеки и комерч. бумаги. В РФ применяются 4 показателя. Категория совокупной ден. массы достаточно близка к международным стандартам, хотя имеются и отличия в понимании совокупной ден. массы, особено в трактовке агрегатов М1 и М2. В состав совокупной ден. массы, рассчитываемой ЦБ РФ входят: -наличные деньги в обращении, ср-ва на расчетных и спец. счетах предприятий, населения и местных бюджетов, -депозиты в коммерч. банках, -депозиты населения до востреб. в СБ, ср-ва госстраха, -сроч. депозиты населения в СБ, -сертификаты и облигации гос. займа. Самостоят. компонентом ден. массы явл. показатель ден. базы. Ден. база вкл. ден агрегат М0, ден. средства в кассах банка, обязательные резервы комерч. банков в ЦБ и их средства на корр. счетах в ЦБ. Для контроля динамики ден. массы исп. показатель «ден. мультипликатор» (коэфф., хар-щий увел. ден. массы в обороте в рез. роста банковских резервов). Соответствие кол-ва ден. знаков объему обращения и фактору обесценения денег определяются с пом. след показателей: -кол-во ден. единиц, необх. д/обращения в данный момент; -во сколько раз произв-е кол-ва денег на скорость обращения больше произв-я уровня цен на тов. массу, -показатель инфляции. Опр-е кол-ва денег в данный момент: (цен товаров на данный пер. - цен тов., платежи к-рых вне рамок периода + цен тов. прошлых пер., срок платежей по к-рым наступил - взаимопогашающ. платежей)/скорость оборота ден. единиц. Произв-е кол-ва денег в обращ. на скорость обр. = произв-ю тов. массы на уровень цен. Когда равенство нарушается, происходит обесценение денег. Обесценение денег в форме роста цен на тов. возникает вследствие переполнения каналов ден. обращения, избыточной ден. массы при отсутствии адекватного увел. товарной массы. Инфляция измеряется с пом. двух индексов дефляторов: дефлятора ВВП, дефлятора потребительских цен. Чаще всего д/измерения инфляции применяется индекс потребит. цен. К важнейшим показателям статистики ден. обращения относится показатель хар-щий изменения покупательной способности рубля.
РЯДЫ ДИНАМИКИ. КЛАССИФИКАЦИЯ.
Рядами динамики наз. стат. данные, отображающие развитие изучаемого явления во времени. В каждом ряду динамики имеются два основных эл-та: показатель времени t; соответствующие им уровни развития изучаемого явления у. В кач-ве показаний времени в рядах динамики выступают либо опр. даты времени, либо отдельные периоды.
Уровни рядов динамики отображают колич-ную оценку развития во времени изучаемого явления. Они могут выражаться абсолютными, относительными или средними величинами.
В зависимости от хар-ра изучаемого явления уровни рядов динамики могут относиться или к опр. датам, или к отдельным периодам. В соответствии с этим, ряды динамики делятся на моментные и интервальные.
Моментные ряды динамики отображают состояние изучаемых явлений на определенные даты (моменты) времени.
Интервальные ряды динамики отображают итоги развития изучаемых явлений за отдельные периоды (интервалы) времени.
Ряды динамики могут быть полными и неполными. Полный - в котором одноименные моменты времени или периоды времени строго следуют один за другим в календарном порядке или равноотстоят друг от друга. Неполный - в котором уровни зафиксированы в неравноотстоящие моменты.
Чтобы анализ ряда был объективен, необходимо учитывать события, приводящие к несопоставимости уровней ряда и использовать приемы приведения рядов в сопоставимый вид. Наиболее характерные случаи несопоставимости уровней ряда динамики:
Территориальные изменения объекта исследования, к которому относится изучаемый показатель.
Разновеликие интервалы времени, к которым относится показатель.
Изменение даты учета.
Изменение методологии учета или расчета показателя.
Изменение цен.
Изменение единиц измерения.
1982 1983 1984
22,0 22,3 22,8 - в старых границах района.
1985 1986 1987
34,2 34,3 34,4 - в новых границах района.
Для приведения ряда в сопоставимый вид необходимо для 1984 года знать численность населения в старых и новых границах района для определения коэфф. пересчета: К=34,2/22,8=1,5 Все уровни ряда до 1984 года, умножаются на коэфф. К и ряд принимает вид:
1982 1983 1984 1985 1986 1987
33,0 33,3 34,2 34,2 34,3 34,4
После этого преобразования ряда динамики возможен дальнейший анализ ряда.
В качестве обобщенной характеристики уровней ряда динамики служит средний уровень ряда динамики. В зависимости от типа ряда динамики используются различные расчетные формулы.
Интервальный
ряд абсолютных величин с равными
периодами (интервалами времени):
.
Моментный
ряд с равными интервалами между датами:
.
Моментный ряд с неравными интервалами
между датами:
.
где y>i>
- уровни ряда, сохраняющиеся без
изменения на протяжении интервала
времени
t>i>.
ПОКАЗАТЕЛИ АНАЛИЗА РЯДОВ ДИНАМИКИ
Одним из важнейших направлений анализа рядов динамики явл. изучение особенностей развития явления за отдельные периоды времени.
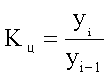
Для динамических рядов рассчитывают ряд показателей: К - темпы роста; y- абсолютные приросты;K- темпы прироста.
Темп
роста
- относительный показатель, получающийся
в результате деления двух уровней
одного ряда друг на друга. Могут
рассчитываться как цепные, когда каждый
уровень ряда сопоставляется с
предшествующим ему уровнем:
,
либо как базисные, когда все уровни
ряда сопоставляются с одним и тем же
уровнем
y>0>,
выбранным за базу сравнения:
. Темпы роста могут быть представлены
в виде коэффициентов либо в виде
процентов.
Абсолютный
прирост
- разность между двумя уровнями ряда
динамики, имеет ту же размерность, что
и уровни самого ряда динамики. Абсолютные
приросты могут быть цепными и базисными,
в зависимости от способа выбора базы
для сравнения:
цепной
абсолютный прирост -
;
базисный абсолютный прирост -
.
Для относительной оценки абсолютных
приростов рассчитываются показатели
темпов прироста.
Темп
прироста
- относительный показатель, показывающий
на сколько процентов один уровень ряда
динамики больше (или меньше) другого,
принимаемого за базу для сравнения.
Базисные и цепные темпы прироста:
.
y>б
>и
y>ц>-
абсолютный базисный или цепной прирост;
y>0>-
уровень ряда динамики, выбранный за
базу для определения базисных абсолютных
приростов; y>i-1>
- уровень ряда динамики, выбранный за
базу для определения i-го цепного
абсолютного прироста.
Существует связь между темпами роста и прироста:
К = К - 1 или К = К - 100 % (если темпы роста определены в процентах).
Если
разделить абсолютный прирост (цепной)
на темп прироста (цепной) за соответствующий
период, получим показатель, называемый
- абсолютное
значение одного процента
прироста:
.
По показателям изменения уровней ряда динамики (абсолютные приросты, темпы роста и прироста), полученным в результате анализа исходного ряда, могут быть рассчитаны обобщающие показатели в виде средних величин - средний абсолютный прирост, средний темп роста, средний темп прироста.
Средний
абсолютный прирост может быть получен
по одной из формул:
или
,где
n - число уровней ряда динамики;y>1>
- первый уровень ряда динамики;
y>n>-
последний уровень ряда динамики;
y>ц>>i>- цепные абсолютные приросты.
Средний темп роста можно определить, пользуясь формулами:
,
,
где
n - число рассчитанных цепных или базисных
темпов роста;
y>0>
- уровень ряда, принятый за базу для
сравнения;
y>n>-
последний уровень ряда;K>i>>ц>
- цепные темпы роста (в коэффициентах);
К>i>>б>
- первый базисный темп роста; К>n>>б>-
последний базисный темп роста. Между
темпами прироста K
и темпами роста К существует соотношение
K=
К - 1, аналогичное соотношение верно и
для средних величин.
ПРЕДМЕТ, МЕТОД, И ОСН. КАТЕГОРИИ
В настоящее время стат. имеет следующее определение.
Стат. - это планомерный и систематический учет массовых общественных явлений, который осуществляется государственными статистическими органами и дает числовое выражение проявляющимся закономерностям.
Вообще статистик очень много, например: стат. промышленности, стат. торговли, экономическая стат., математическая, прикладная и т.д.
Так как стат. имеет дело с массовыми явлениями, то основным понятием является статистическая совокупность.
Стат. совокупность - это множество объектов или явлений, изучаемых стат., которые имеют один или несколько общих признаков и различаются между собой по другим признакам.
Отдельные объекты или явления, образующие статистическую совокупность, называются единицами совокупности.
Явления и процессы в жизни общества изучаются стат. посредством статистических показателей.
Статистический показатель - это количественная оценка свойства изучаемого явления.
Одной из важных категорий статистической науки является понятие признака.
Признак - это характерное свойство изучаемого явления, отличающее его от других явлений.
В разных отраслях стат. изучаются разные признаки. Таким образом, статистических признаков, т.е. свойств, качеств объектов наблюдения очень много. Все их многообразие принято делить на две большие группы: признаки качества и признаки количества.
Качественный признак (атрибутивный) - признак, отдельные значения которого выражаются в виде понятий, наименований.
Количественный признак - признак, определенные значения которого имеют количественные выражения.
Каждый объект изучения может обладать целым рядом статистических признаков, но от объекта к объекту одни признаки меняются, другие остаются неизменными. Меняющиеся признаки от одного объекта к другому принято называть варьирующими. Именно эти признаки изучаются в стат., поскольку неизменяющийся признак изучать неинтересно.
Вариация - это многообразие, изменяемость величины признака у отдельных единиц совокупности наблюдения.
Отдельные значения признака называются вариантами этого признака.
Метод статистики предполагает следующую последовательность действий:
разработка статистической гипотезы,
статистическое наблюдение,
сводка и группировка статистических данных,
анализ данных,
интерпретация данных.
Прохождение каждой стадии связано с использованием специальных методов, объясняемых содержанием выполняемой работы.
Массовый характер общественных законов и своеобразие их действий предопределяет необходимость исследования совокупных данных.
Закон больших чисел порожден особыми свойствами массовых явлений. Последние в силу своей индивидуальности, с одной стороны, отличаются друг от друга, а с другой – имеют нечто общее, обусловленное их принадлежностью к определенному классу, виду. Причем единичные явления в большей степени подвержены воздействию случайных факторов, ежели их совокупность.
Закон больших чисел в наиболее простой форме гласит, что количественные закономерности массовых явлений отчетливо проявляются лишь в достаточно большом их числе.
СТАТИСТИЧЕСКОЕ НАБЛЮДЕНИЕ
разработка статистической гипотезы,
статистическое наблюдение,
сводка и группировка статистических данных,
анализ данных,
интерпретация данных.
Стат. наблюдение — это начальная стадия экономико-стат. набл. Она представляет собой научно организационную работу по собиранию массовых первичных данных о явлениях и процессах общественной жизни.
Любое стат. набл. осуществляется с помощью оценки и регистрации признаков единиц совокупности в соответствующих учетных документах. Таким образом, полученные данные представляют собой факты, которые так или иначе характеризуют явления общественной жизни.
Стат. набл. должно отвечать следующим требованиям.
1. Набл. явления должны иметь научную и практическую ценность, выражать определенные социально-экономические типы явлений.
2. Непосредственный сбор массовых данных должен обеспечить полноту фактов, относящихся к рассматриваемому вопросу, так как явления находятся в постоянном изменении, развитии. В том случае, если отсутствуют полные данные, анализ и выводы могут быть ошибочными.
3. Для обеспечения достоверности стат. данных необходима тщательная всесторонняя проверка качества собираемых фактов.
4. Для того, чтобы создать наилучшие условия для получения объективных материалов, необходима научная организация стат. наблюдения.
Стат. набл. осуществляется в двух формах: путём предоставления отчётности и проведения специально организованных статистических наблюдений.
Отчётностью называют такую организованную форму статистического набл. при которой сведения поступают в виде обязательных отчётов в определённые сроки и по утверждённым формам.
При этом источником сведений, как правило, являются первичные учётные записи в документах бухгалтерского и оперативного учёта.
Специально организованное стат. набл. представляет собой сбор сведений посредством переписей, единовременных учётов и обследований. Примером специально организованного стат. набл. могут быть: перепись населения, всякого рода социологические обследования.
Виды стат. набл. различаются по времени регистрации данных и по степени охвата единиц исследуемой совокупности.
По характеру регистрации данных во времени различают набл. непрерывное и прерывное. Последнее, в свою очередь подразделяется на набл. периодическое и единовременное.
Непрерывным является такое набл. которое ведётся систематически. При этом регистрация фактов производится по мере их свершения, например, регистрация актов гражданского состояния. При текущем набл. нельзя допускать значительного разрыва между моментом возникновения факта и моментом его регистрации.
Прерывным является такое набл. которое повторяется через определённые промежутки времени.
Единовременное набл. проводится по мере надобности, время от времени, без соблюдения строгой периодичности или вообще проводится единожды.
По степени охвата единиц изучаемой совокупности различают сплошные и несплошные стат. набл.
Сплошным называют такое набл. при котором обследованию подвергаются все без исключения единицы изучаемой совокупности. Путем сплошного набл. осуществляется получение отчетности от предприятий и учреждений.
Несплошным называют такое набл. при котором обследованию подвергаются не все единицы изучаемой совокупности, а только заранее установленная их часть, например, изучение торговых оборотов и цен на городских рынках. Основным видом несплошного набл. является выборочное.
Выборочным набл. называется набл. при котором характеристика всей совокупности фактов дается по некоторой их части, отобранной в случайном порядке. В торговле с его помощью изучают эффективность новых, передовых форм торговли, спрос населения и степень его удовлетворения.
ОПРЕДЕЛЕНИЕ ОШИБКИ ВЫБОРКИ
Ошибка выборки — это объективно возникающее расхождение между характеристиками выборки и генеральной совокупности. Она зависит от ряда факторов: степени вариации изучаемого признака, численности выборки, методом отбора единиц в выборочную совокупность, принятого уровня достоверности результата исследования.
Определение ошибки выборочной средней.
При случайном повторном отборе средняя ошибка выборочной средней рассчитывается по формуле:

где
— средняя ошибка выборочной средней;
—
дисперсия
выборочной совокупности;
n — численность выборки.
При бесповторном отборе она рассчитывается по формуле:

где N — численность генеральной совокупности.
Определение ошибки выборочной доли.
При повторном отборе средняя ошибка выборочной доли рассчитывается по формуле:

где
— выборочная доля единиц, обладающих
изучаемым признаком;
— число единиц, обладающих изучаемым
признаком;
— численность выборки.
При бесповторном способе отбора средняя ошибка выборочной доли определяется по формулам:

Предельная
ошибка выборки
связана со средней ошибкой выборки
отношением:

При этом t как коэффициент кратности средней ошибки выборки зависит от значения вероятности Р, с которой гарантируется величина предельной ошибки выборки.
Предельная ошибка выборки при бесповторном отборе определяется по следующим формулам:


Предельная ошибка выборки при повторном отборе определяется по формуле:

СВОДКА И ГРУППИРОВКА СТАТ. ДАННЫХ
В результате первой стадии стат. исследования получают сведения о каждой единице совокупности. Задача второй стадии состоит в том, чтобы упорядочить и обобщить первичный материал, свести его в группы и на этой основе дать обобщающую характеристику совокупности. Этот этап в статистике называется сводкой.
Различают простую сводку (подсчет только общих итогов) и стат. группировку, которая сводится к расчленению совокупности на группы по существенному для единиц совокупности признаку. Группировка позволяет получить такие результаты, по которым можно выявить состав совокупности, хар-ные черты и свойства типичных явлений, обнаружить закономерности и взаимосвязи.
Результаты сводки могут быть представлены в виде стат. рядов распределения.
Статистическим рядом распределения называют упорядоченное распределение единиц совокупности на группы по изучаемому признаку. В зависимости от признака ряды могут быть вариационными (количественными) и атрибутивными (качественными).
Количественные признаки — это признаки, имеющие кол-ное выражение у отдельных единиц совокупности, например, заработная плата рабочих, стоимость продукции промышленных предприятий и т.д.
Атрибутивные признаки — это признаки, не имеющие количественной меры. Например, пол, профессия рабочего и т.д.
Вариационные ряды могут быть дискретными или интервальными.
Дискретный ряд распределения — это ряд, в котором варианты выражены целым числом.
Интервальный ряд распределения — это ряд, в котором значения признака заданы в виде интервала.
Стат. ряды распределения позволяют систематизировать и обобщать стат. материал. Однако они не дают всесторонней характеристики выделенных групп. Чтобы решить ряд конкретных задач, выявить особенности в развитии явления, обнаружить тенденции, установить зависимости, необходимо произвести группировку стат. данных.
Группировка - это процесс образования групп единиц совокупности однородных в каком-либо отношении, а также имеющих одинаковые или близкие значения группировочного признака.
Для этой цели выбирается группировочный признак и разрабатывается система показателей, которыми будут хар-ваться выделенные группы. Определение и обоснование показателей целиком зависят от цели исследования и поставленной задачи. В зависимости от цели и задач исследования различают следующие виды группировок: типологические, структурные, аналитические.
К типологическим группировкам относят все группировки, которые хар-ют качественные особенности и различия между типами явлений. Типологические группировки широко применяются в экономических, социальных и других исследованиях.
Структурная группировка - выявляет состав однородной в кач-ном отношении совокупности по какому-либо признаку. Примером могут служить группировки предприятий по проценту выполнения плана, по числу рабочих и т.д. Значение таких группировок заключается в том, что с их помощью могут быть выделены и изучены группы предприятий передовых, средних, отстающих; выявлены неиспользованные резервы производства, например, в области улучшения использования основных фондов, повышение производительности труда, улучшение качества продукции и т.д.
Аналитическая группировка - применяется для исследования взаимосвязи между явлениями. Используя аналитические группировки, определяют факторные и результативные признаки изучаемых явлений. Факторные - это признаки, оказывающие влияние на другие, связанные с ними признаки. Результативные – это признаки, которые изменяются под влиянием факторных.
Образование групп по двум и более признакам, взятым в определенном сочетании, называется комбинированной группировкой. При этом группировочные признаки принято располагать, начиная с атрибутивного, в определенной последовательности, исходя из логики взаимосвязи показателей.
Применение комбинированных группировок обусловлено многообразием экономических явлений, а также необходимостью их всестороннего изучения. Но увеличение числа группировочных признаков ограничивается уменьшением наглядности, что снижает эффективность использования стат. информации.
Статистические таблицы - это наиболее рациональная форма представления результатов статистической сводки и группировки.
Значение статистических таблиц состоит в том, что они позволяют охватить материалы статистической сводки в целом. Статистическая таблица, по существу, является системой мыслей об исследуемом объекте, излагаемых цифрами на основе определенного порядка в расположении систематизированной информации.
В экономической и управленческой работе, связанной с коммерческой деятельностью, статистические таблицы применяются очень часто. Поэтому необходимо научиться правильно их составлять и анализировать.
По внешнему виду статистическая таблица представляет собой ряд пересекающихся горизонтальных и вертикальных линий, образующих по горизонтали строки, а по вертикали - графы (столбцы, колонки), которые в совокупности составляют как бы скелет таблицы.
Таблица, состоящая из строк и граф, которые еще не заполнены цифрами, называется макетом таблицы. Каждая статистическая таблица имеет подлежащее и сказуемое.
Подлежащее таблицы. - это объект нашего изучения (название района, города, предприятия).
Сказуемое. - это система показателей, которыми характеризуется объект изучения, т.е. подлежащее таблицы.
Обычно подлежащее располагается слева, в виде наименования горизонтальных строк, а сказуемое - справа, в виде наименования вертикальных граф.
В таблице могут быть подведены итоги по графам и строкам.
Обязательная часть таблицы - заголовок, показывающий, о чем идет речь в таблице, к какому месту и времени она относится.
В зависимости от построения подлежащего, таблицы делятся на три вида: простые, групповые и комбинационные.
Простыми таблицами называются такие, в подлежащем которых нет группировок, а дается лишь перечень единиц совокупности (перечневые таблицы), административных районов (территориальные таблицы) или периодов времени (хронологические таблицы).

Групповые статистические таблицы дают более информативный материал для анализа изучаемых явлений, благодаря образованным в их подлежащем группам по существенному признаку или выявлению связи между рядом показателей.
Комбинационными таблицами называются такие, в которых подлежащее содержит группировку единиц совокупности по двум или более признакам, взятым в сочетании. Комбинационная таблица устанавливает взаимное действие на результативные признаки существующую связь между факторами группировки.
ПРАВИЛА ЗАПОЛНЕНИЯ
Если одно из числовых выражений данного признака равно нулю, то пересечение соответствующей графы и строки перечеркивается.
Если числовые значения признака неизвестны, то в пересечении графы и строки ставится многоточие.
Если пересечение графы и строки не имеет смысла, то ставится "Х".
Если в таблице проценты по отношению к какому-либо предыдущему году, то этот год должен быть показан в таблице, несмотря на указание его в заголовке.
СРЕДНИЕ ВЕЛИЧИНЫ
Существуют различные средние:
средняя арифметическая;
средняя геометрическая;
средняя гармоническая;
средняя квадратическая;
средняя хронологическая.
Средняя арифметическая простая (невзвешенная) равна сумме отдельных значений признака, деленной на число этих значений.
Простая средняя арифметическая применяется в случаях, когда имеются отдельные значения признака, т.е. данные не сгруппированы. Если данные представлены в виде рядов распределения или группировок, то средняя исчисляется иначе, как средняя арифметич. взвешенная.
Средняя
гармоническая простая
и
взвешенная

Мода
- это величина признака (варианта),
наиболее часто повторяющаяся в изучаемой
совокупности. Для дискретных рядов
распределения модой будет значение
варианта с наибольшей частотой.

где
- начальное значение интервала,
содержащего моду;
-
величина модального интервала;
-
частота модального интервала;
-
частота интервала, предшествующего
модальному;
-
частота интервала, следующего за
модальным.
Медиана - это варианта, расположенная в середине вариационного ряда. Если ряд распределения дискретный и имеет нечетное число членов, то медианой будет варианта, находящаяся в середине упорядоченного ряда.

где
— начальное значение интервала,
содержащего медиану;
—
величина
медианного интервала;
—
сумма
частот ряда;
—
сумма
накопленных частот, предшествующих
медианному интервалу;
—
частота
медианного интервала.
СТАТИСТИЧЕСКИЕ ГРАФИКИ
График – чертеж, на котором при помощи условных геометр. фигур изображаются стат. данные. В результате этого достигается наглядная хар-ка изучаемой стат. совокупности. Правильно построенный график делает стат. информацию более выразительной, запоминающейся и удобно воспринимаемой.
Графики в статистике имеют не только иллюстративное значение, они позволяют получить доп. знания о предмете исследования, к-рые в цифровом варианте остаются скрытыми. Любое стат. исследование на основе какого-либо метода в конечном итоге дополняется использованием графического метода.

Знак Варзара. Варзар предложил использовать прямоугольные фигуры для графического изображения трех показателей, один из которых является произведением двух других. В каждом таком прямоугольнике основание пропорционально одному из показателей — сомножителей, а высота его соответствует второму показателю. Площадь прямоугольника равна величине третьего показателя, являющегося произведением двух первых. Располагая рядом несколько прямоугольников, относящихся к разным показателям, можно сравнивать не только размеры показателя — произведения, но и значения показателей — сомножителей.
ОСНОВНЫЕ ПРАВИЛА
В общем расположении на поле графических образов они размещаются слева направо. При этом масштабные ориентиры графика по горизонтальной шкале, как правило, размещаются от его нижней части. Для вертикальной шкалы масштабные ориентиры обычно размещаются в левой части графика.
В график по возможности следует включать исходные данные. Если это нецелесообразно, то исходные данные должны в табличной форме сопровождать график.
Все буквенные и цифровые значения должны располагаться на графике так, чтобы их легко можно было отсчитать от начала масштабной шкалы. Ряды цифровых данных, отображающие изменения показателей коммерческой деятельности во времени, размещаются в строгой хронологической последовательности и обязательно по оси абсцисс.
Общим требованием графического метода является то, что факторные признаки размещаются на горизонтальной шкале графика и их изменения читаются слева направо, а результативные признаки — по вертикальной шкале и читаются снизу вверх. При этом важно, чтобы заголовок графика был бы кратким, но достаточно четко пояснял основное его содержание.
ПОНЯТИЕ АБСОЛЮТ. И ОТНОСИТ. ВЕЛИЧИН
Абсолютные стат. величины показывают объем, размеры, уровни различных социально-экономических явлений и процессов. Отражают уровни в физических мерах объема, веса и т.п. В общем абсолютные стат. величины – это именованные числа. Они всегда имеют определенную размерность и единицы измерения. Последние определяют сущность абсолютной величины.
Типы абсолютных величин
Натуральные – такие единицы, которые отражают величину предметов, вещей в физических мерах.
Денежные (стоимостные) – используются для характеристики многих экономических показателей в стоимостном выражении.
Трудовые – используются для определения затрат труда (человеко-час, человеко-день).
Условно-натуральные – единицы, к-рые используются для сведения воедино нескольких разновидностей потребительных стоимостей.
Виды абсолютных величин
Индивидуальные – отражают размеры количественных признаков у отдельных единиц изучаемой совокупности.
Общие – выражают размеры, величину количественных признаков у всей изучаемой совокупности в целом.
Абсолютные величины отражают наличие тех или иных ресурсов, это основа материального учета. Они наиболее объективно отражают развитие экономики и являются основой для расчета разных относительных стат. показателей.
Относительные стат. величины выражают количественные соотношения м/у явлениями общественной жизни, они получаются в результате деления одной абсолютной величины на другую.
Знаменатель (база) – это величина, с к-рой производится сравнение.
Сравниваемая величина – это величина, к-рая сравнивается.
Относительная величина показывает, во сколько раз сравниваемая величина больше или меньше базисной или какую долю первая составляет по отношению ко второй. В ряде случае относительная величина показывает, сколько единиц одной величины приходится на единицу другой.
Важное свойство – относительная величина абстрагирует различия абсолютных величин и позволяет сравнивать такие явления, абсолютные размеры которых непосредственно несопоставимы.
В результате сопоставления одноименных абсолютных величин получают неименованные относительные величины. Они могут выражаться в виде долей, кратных соотношений, процентных соотношений и т.д.
Результатом сопоставления разноименных величин являются именованные относительные величины. Их название образуется сочетанием сравниваемой и базисной абсолютных величин.
Выбор формы зависит от характера аналитической задачи, которая состоит в том, чтобы с наибольшей ясностью выразить соотношение.
В статистике различают 8 видов относительных величин:
1. Относ. величина выполнения плана (ОВВП) показывает во сколько раз или на сколько процентов выполнено данное задание.
ОВВП= фактич. данные отчетного периода / плановые данные отчетного периода
2. Относ. величина планового задания (ОВПЗ) показывает во сколько раз или на сколько процентов плановое задание отчетного периода больше или меньше уровня базисного периода.
ОВПЗ= плановое число отчетного периода / фактич. данные базисного периода
3. Относ. величина динамики (ОВД) показывает во сколько раз или на сколько процентов уровень отчетного периода > или < уровня базисного периода.
ОВД= фактич. данные отчетного периода / фактич. данные базисного периода
4. Относ. величина сравнения (ОВС) показывает во сколько раз или на сколько процентов явление на территории А > или < явления на территории В.
ОВСр.= фактич. уровень явления на тер. А за опр. период времени / фактич. уровень того же явления за тот же период времени на тер. В
5. Относ. величина интенсивности (ОВИ). Коэфф. рождаемости и т.д., число родившихся в определенной местности за определенный период времени.
ОВИ= фактич. уровень явления за опред. период времени / размер среды в которой данное явление развивалось
6. Относ. величина координации (ОВК) рассчитывается только для сгруппированных данных и показывает отношение между частями совокупности.
ОВК= число единиц определенной группы / число единиц группы, принятой за базу сравнения
7. Относительная величина структуры (ОВС).
ОВСт.= часть совокупности / вся совокупность
8. Относ. величина уровня экономического развития (ОВУЭР)
ОВУЭР= годовой объем производства продукции / среднегод численность населения
ПОКАЗАТЕЛИ ВАРИАЦИИ
Для
хар-ки колеблемости признака используется
ряд показателей. Наиболее простой из
них - Размах
вариации
- разность м/у
и
знач-ми
вариантов.

Чтобы дать обобщающую хар-ку распределению отклонений, исчисляют среднее линейное отклонение d, к-рое учитывает различие всех единиц изучаемой совокупности.
Ср.
лин. откл.
опр. как средняя арифмет. из отклонений
индивидуальных значений от средней,
без учета знака этих отклонений: простое
взвешенное
.
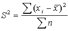
Дисперсия
- это средняя арифметич. квадратов
отклонений каждого значения признака
от общей средней. В зависимости от
исходных данных дисп. может вычисляться
по средней арифметич. простой
или
взвешенной

Среднее квадратическое отклонение - это обобщающая хар-ка абсолютных размеров вариации признака в совокупности.
Чем
меньше ср. квадр. откл., тем лучше средняя
арифметич. отражает собой всю совокупность.
.
Коэфф.
осцилляции
отражает относит. колеблемость крайних
значений признака вокруг средней:
Относит.
лин. откл.
хар-ет долю усредненного значения
абсолютных отклонений от средней
величины.
.
Коэффициент
вариации:

ЗАДАЧИ И СИСТЕМА ПОКАЗАТЕЛЕЙ СТАТ. ЦЕН
Сис-ма показателей статистики цен вкл. показатели уровня структутры и динамики цен. В экономике сущ-ет след. сис-ма цен: розничные цены, тарифы на услуги, оптовые цены, закупочные цены, сметные, цены внеш. долга. Конкуренция ведет к дифференциации цен, поэтому объектом изучения явл. не только цены.
ЗАДАЧИ в статистике цен:
-характеристика состояния рынка, для этого нужно отслеживать появление цен, как ответную реакцию на изменение экономической ситуации.
-изучение цены и ее динамики, как фактора уровня жизни и индикатора инфляционных процессов
-изучение цены с позиции производителя и продавца для выявления рентабельности, определения структур цены и уровня в ней налогов, межрегиональное и международное сопоставление цен.
Важной частью стат. изучения ценообразования является анализ структуры цен определенных товаров. Анализ отдельных элементов цены дает представление об условиях пр-ва и обращения конкретного товара.
ИНДЕКС ПОТРЕБИТЕЛЬСКИХ ЦЕН
Основным назначением явл. оценка динамики цен на потребит. товары. В резолюции МОТ зафиксировано, что целью расчета ИПЦ явл. оценка изменения во времени общего уровня цен на потребит. товары и услуги, приобретаемые населением для непроизводственного потребления.
ИПЦ В РФ ВКЛЮЧАЕТ:
-сводный ИПЦ, хар-ющий изменение стоимости базового полного набора потреб. товаров и услуг в среднем на одну семью.
-сводный ИПЦ покрывающий изменение стоимости фиксированного набора товаров и услуг без товаров необязательного пользования
-ИПЦ для отдельных соц-эконом. групп населения, хар-ющий изменение стоимости фиксированного набора товаров и услуг, приобр. группами населения с различными доходами.
-индекс стоимости прожиточного минимума, к-рый хар-ет изменение стоимости фиксированного набора потребит . товаров и услуг, соотв. минимальному потребительскому бюджету.
-ИПЦ расчитываемый по набору из 19 наименований продуктов, вкл. табачные изделия.
-сводный индекс в целом по группам продовольств. и непродовольств. товаров а также ИПЦ по региону и эконом. району.
Основой для ИПЦ служат индивидуальные индексы розничных цен рассчитываемые на осн. еженедельной и ежемес. регистрации цен и тарифов по набору товаров.
РАСЧЕТ ОСУЩЕСТВЛЯЕТСЯ: к предыдущ. месяцу, к декабрю пред. года или кварталу, к соотв. месяцу пред. года.
Информацией для расчета явл. данные магазинов, рунков, палаток, предприятий сферы услуг.
ПОРЯДОК РАСЧЕТА: расчитывается в несколько этапов. В начале индивидуальные индексы по городу как частное от деления средних цен. В свою очередь сред. цены расчитываются по каждому регистр. товару по ф-ле средней простой. На базе индекса цен по терр-ям, участвующим в наблюдениях опред. агрегатные индексы цен отдельных товаров. В кач-ве терр. весов используют отдельный вес численности населения на начало текущего года исследуем. области в общей численности населения РФ. Исходя из агрегатных индексов по товарам и услугам в целом и доле расходов на их приобр. и потребление опред. сводный индекс цен в целом по группам потребит. товаров а также по регионам и РФ в целом.
Для исчисления индекса стоимости прожиточного минимума необходим нормативный подход к формированию потребит. корзины: -сопоставляется набор и кол-во товаров и услуг, необходимый для обеспечения прож. минимума, к-рый оценивается по ценам отчетного и базисного периода; -для расчета берется набор из 25 видов продуктов пит. и аналогично исчисляется набор из 19 видов.
Стоимость набора из 19 продуктов питания рассчитывается исходя из годовой нормы потребления необходимой для мужчины трудоспособного возраста и применяется для сопоставления уровня цен по разным городам.
ИНДЕКС ЦЕН ПРОИЗВОДИТЕЛЯ
Включает индекс цен на пром., с/х и др. продукцию. Индекс цен произв-ля пром. прод. хар-ет динамику изменения цен производителей пром.прод. Определяется на основе наблюдения за изменением этих цен путем регистрации цен на товары. Наблюдение за изменением цен производится по выборочной сети базовых предприятий. Для расчета сводных индексов по отрасли используют отраслевую структуру пром. производства за предыдущий год. Индекс цен на пром. продукцию состоит из: -отбора базовых предприятий и товаров-представителей; -определения порядка регистрации цен; -выбор весов расчетной ф-лы. В числе предприятий имеются представители различных форм собств., типичных д/данной отрасли. Наряду с крупными предпр. должны быть и мелкие. Сеть базовых предприятий формируют в два этапа: -отбирается min крупных предприятий, имеющих значит. вес в стране; -предприятия, отражающие региональную специфику. Отбор товаров производится: -для наблюдения за уровнем цен на конкретные виды товаров; -для расчета индекса цен по товарным группам; -для расчета сводных индексов цен по отраслям. Из каждой тов. группы, вкл. однородные товары, отбирают 3-5 представительных вида, по к-рым будут регистрировать цены. Регистрации подлежат фактические цены на произв. и отгруженную продукцию в тек. месяце на российский рынок продукцию (без НДС, акцизов, и др. налогов не входящих в оптовую цену). В состав регистрируемой цены не должны включаться затраты предприятий сверх цены пр-ва.
ПРОГ-МНО-МЕТОДИЧЕСКИЕ И ОРГ. ВОПРОСЫ НАБЛЮДЕНИЯ
Каждое наблюдение проводится с конкретной целью. При его проведении необходимо установить, что подлежит обследованию. Надо решить следующие вопросы:
Объект наблюдения – совокупность предметов, явлений, у которых должны быть собраны сведения. При определении объекта указываются его основные отличительные черты (признаки). Всякий объект массовых наблюдений состоит их отдельных единиц, поэтому надо решить вопрос о том, каков тот элемент совокупности, который послужит единицей наблюдения.
Единица наблюдения – это составной элемент объекта, который является носителем признаков, подлежащих регистрации и основой счета.
Ценз – это определенные количественные ограничения для объекта наблюдения.
Признак – это свойство, которое характеризует определенные черты и особенности, присущие единицам изучаемой совокупности.
Программа наблюдения – это перечень признаков, подлежащих регистрации. Программа находит отражение в формуляре наблюдения. Выделяются организационные вопросы: перечень мероприятий, обеспечивающих правильность наблюдения, а также оргплан, где учитываются органы наблюдения, время наблюдения, порядок приема и сдачи материала, порядок получения информации.
Период наблюдения – время, в течение которого должна быть осуществлена регистрация.
Критическая дата наблюдения – дата, по состоянию на которую сообщаются сведения.
Критический момент – момент времени, по состоянию на который производится регистрация наблюденных фактов.
×òî? Ïðèïåðëî? Ðåøèë âçÿòüñÿ çà ýêçàìåí ïî ñòàòèñòèêå :-ð !!! Ýòè øïîðû ïðîñòî ñóïåð. Íóæíî òîëüêî îòïå÷àòàâòü èõ íà õîðîøåì ïðèíòåðå ñ ðàçðåøåíèåì 1200 dpi. Ïîòîì ðàçðåçàò è ÷òî íóæíî ñêëåèòü. Øïîðû ñäåëàíû øðèôòîì Antiqua. Åñëè ó âàñ íåò ýòîãî øðèôòà, åãî ìîæíî íàéòè â ýòîì àðõèâå Íå ïóõà :-)