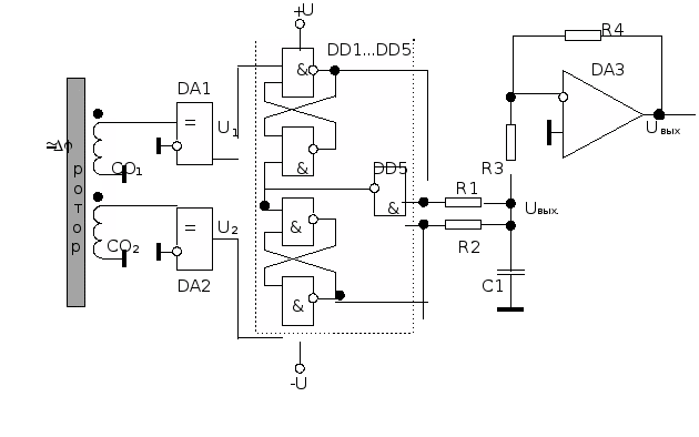
Двухосный индикаторный стабилизатор телекамер на ВО (работа 1)
МГТУ
им. Баумана.
Факультет Информатики и систем управления.
Кафедра ИУ-2.
Расчетно-пояснительная записка
к дипломной работе на тему:
“Двухосный индикаторный гиростабилизатор телекамеры на ВОГ”
Студент (Носов Н.А.)
Руководитель проекта (Фатеев В.В.)
1996 г.
Введение
Телевизионная техника применяется в различных областях человеческой деятельности - экономике, искусстве, военном деле и многих других. Область ее применения постоянно расширяется. Это объясняет активное развитие в настоящее время телевизионного и кинотехнического оборудования и применение новейших достижений техники при разработке и производстве устройств для различных видов теле и киносъемки.
К таким устройствам относят гироскопические стабилизаторы (ГС) углового положения телекамеры, которые применяются при съемках с подвижных объектов: вертолета, судна, автомобиля, а также с кранов.
Из требований, предъявляемых к этим устройствам, наиболее важными являются следующие:
— высокая точность стабилизации, обусловленная применением объективов с большим фокусным расстоянием;
— дистанционное управление стабилизатором и телекамерой, что связано с целесообразностью или даже необходимостью размещения телекамеры в месте, недоступном для оператора, например, на кране;
— защита от вибрационных возмущений как с целью обеспечения виброустойчивости гиростабилизатора, так и для повышения качества отснятого материала, снижающегося при поступательном движении телекамеры;
— удобство и простота в обращении, необходимость “защиты от дурака”;
— минимально возможные габариты и масса;
— удобство доступа к стабилизируемой камере;
— высокие скорости (до 120 град./с.) и ускорения (до 200 рад./с.) управления, для получения “динамичного” отснятого материала;
— большие углы прокачки, по некоторым осям равные 360°;
— минимально возможное энергопотребление, т.к. для работы часто используются автономные источники питания (аккумуляторы и т.д.).
— большой диапазон балансировок, необходимость которого вызывается использованием различных типов теле и кинокамер с сильно различающимися массогабаритными показателями.
Из устройств, в наибольшей степени удовлетворяющих перечисленным требованиям, в настоящее время известны и применяются следующие. Это силовой гироскопический стабилизатор "Wesscam" (Канада) и трехосные гиростабилизаторы 1ГСП (разработка МВТУ и НИКФИ), 2ГСП, 4ГСП (разработка МВТУ {МГТУ}).
Первый представляет собой платформу, помещенную в карданов подвес, на которой установлены три двухстепенных гироскопа. Компенсация внешнего момента осуществляется разгрузочным двигателем и маятниковым устройством. Сам карданов подвес крепится к основанию с помощью упругой связи, необходимой для аммортизации устройства при поступательных вибрациях вертолета, автомашины и т.п. Гиростабилизатор помещен в защитную сферу имеющую вырез напротив объектива киноаппарата.
Гиростабилизаторы 1ГСП, 2ГСП, 4ГСП индикаторного типа. Все они в качестве чувствительного элемента используют трехстепенный гироскоп типа МГТУ-05. Также все эти три гиростабилизатора имеют дистанционное управление киноаппаратом и пространственным положением стабилизированной платформы.
Особенностью гиростабилизатора 1ГСП является использование внутреннего карданова подвеса и двухконтурной системы стабилизации с применением маховиков совместно с двигателями стабилизации. К недостаткам этого стабилизатора относятся низкая скорость управления (10 град/сек) и отсутствие защиты от аэродинамических воздействий.
В гиростабилизаторе 2ГСП применен наружный карданов подвес с подшипником большого диаметра и также используется двухконтурная система стабилизации (маховик и двигатели стабилизации). Скорость управления до 30 град/сек. Для защиты от аэродинамических воздействий введен следящий частично прозрачный обтекатель, внутри которого расположен трехосный аммортизатор для предохранения платформы с киноаппаратом от линейных вибраций.
Гиростабилизатор 4ГСП также выполнен с наружным кардановым подвесом. Он имеет скорость управления до 60 град/сек., ограниченную, в основном, скоростью управления примененного чувствительного элемента. Защита от аэродинамических нагрузок отсутствует.
В данной работе продолжены исследования по возможности построения гироскопического стабилизатора углового положения телекамеры, в котором:
—скорость управления обеспечивается не менее 100 град/сек;
—предусмотрено дистанционное управление телекамерой и самим гироcтабилизатором;
—в качестве чувствительного элемента использован волоконно-оптический гироскоп.
В частности, рассматриваются вопросы:
—обеспечения устойчивости канала стабилизации при существенно нежесткой конструкции ГС, нежестком креплении телекамеры к ГС и расположении чувствительного элемента не на стабилизируемом объекте;
—проведено исследование инерционных возмущающих моментов, в том числе моментов возникающих от несимметричности конструкции рам ГС;
— проводилась доработка усилителя мощности с ШИМ;
— предложена конструкция датчика угла фазового типа;
— разработана конструкция двухосного ГС.
Обоснование выбора подвеса гиростабилизатора.
Одним из основных факторов, определяющих выбор принципиальной схемы гиростабилизатора телекамеры, является тип карданова подвеса. В гиростабилизаторе телекамеры может быть использован как внутренний, так и наружный карданов подвес. Сравнительный анализ и конструктивная проработка схем подвесов [3] показывает, что применение наружного карданова подвеса для стабилизатора телекамеры представляется более целесообразным. Это объясняется следующими причинами.
Использование наружного карданова подвеса при больших углах прокачки позволяет получить более компактную конструкцию стабилизированной платформы. В этом случае момент инерции платформы относительно собственной оси вращения значительно снижается, и тогда величина максимального момента двигателя стабилизации, выбираемая из условия обеспечения необходимого углового ускорения платформы при управлении может быть уменьшена. Это позволяет повысить точность стабилизации за счет использования двигателя стабилизации меньших габаритов, имеющего меньший момент сухого трения вокруг оси вращения и меньший коэффициент демпфирования.
Габаритные размеры гиростабилизатора телекамеры с наружным кардановым подвесом оказываются меньше, чем с внутренним, т.к. в последнем случае для получения достаточных рабочих углов поворота платформы необходимо выполнение подвеса по гантельной схеме, что приводит к значительному увеличению одного габаритного размера гиростабилизатора по сравнению с другим. Применение наружного карданова подвеса позволяет добиться минимального различия между габаритными размерами гиростабилизатора по взаимноперпендикулярным осям, что является желательным.
В то же время схема гиростабилизатора с наружным кардановым подвесом имеет следующие недостатки:
— увеличенный возмущающий инерционный момент, действующий вокруг оси наружной рамы подвеса, который возникает при переносных поворотах основания гиростабилизатора;
— пониженная жесткость рам наружного карданова подвеса по сравнению с внутренним.
Возмущающий инерционный момент, действующий по оси наружной рамы карданова подвеса, вызывает появление ошибок стабилизации, а также создает дополнительные нагрузки на приводы. Однако, как показывают исследования, в реальных условиях эксплуатации гиростабилизатора киноаппарата на кране и на вертолете [8,9], величина инерционного момента при симметричной конструкции рам оказывается незначительной. В связи с этим первый из перечисленных недостатков наружного карданова подвеса оказывается несущественным.
В представленном двухосном гиростабилизаторе телекамеры применен наружный карданов подвес.
Конструкция подвеса гиростабилизатора позволяет получить угол прокачки по оси тангажа +60...-80 град., а по оси курса угол вращения не ограничен.
Описание особенностей конструкции гиростабилизатора.
Особенностью данного ГС является выполнение наружной рамы в виде Г-образной конструкции. Это позволяет уменьшить габариты ГС и упростить доступ к телекамере. Однако такая конструкция является существенно несимметричной, что вызывает появление дополнительных возмущающих моментов из-за значительных по величине центробежных моментов инерции рам. Исследование этих возмущающих моментов проведено в разделе “Анализ инерционных возмущающих моментов”.
Кроме того, требования по минимизации масс, моментов инерции, требования по динамике управления платформой приводят к тому, что наружная рама оказывается существенно нежесткой. А так как при этом необходимо учитывать требования по высокой точности стабилизации при значительных возмущающих моментах, то возникает необходимость в проведении специальных исследований по вопросам обеспечения устойчивости канала стабилизации. В частности, исследований по расположению ЧЭ в конструкции ГС. Исследование устойчивости канала стабилизации приведено в разделе “Исследование влияния нежесткостей элементов гиростабилизатора на его устойчивость”.
Особенностью данной конструкции ГС является то, что стабилизация положения телекамеры по курсу осуществляется косвенным образом, путем стабилизации положения наружной рамы карданова подвеса. Эта особенность также учтена в разделе “Исследование влияния нежесткостей элементов ГС на его устойчивость”.
Из требований по минимизации энергопотребления вытекает необходимость увеличения КПД канала стабилизации. Согласно этому требованию, а также с целью получения значительных по величине моментов привода, в качестве привода используется редукторный привод со встречным включением двигателей стабилизации серии ДПР. Кроме того, использование в качестве ЧЭ волоконно-оптического гироскопа позволяет снизить энергопотребление собственно ЧЭ до 3 Вт, как в режиме измерения, так и при управлении положением стабилизированной платформы.
Наиболее существенное влияние на КПД электронной части канала стабилизации оказывает коэффициент полезного действия УМ. Поэтому УМ выполнен импульсным, с использованием ШИМ модуляции выходного напряжения. Это позволяет примерно в два раза увеличить КПД УМ по сравнению с линейными схемами УМ. Однако все импульсные УМ являются мощными источниками электромагнитных помех, поэтому в данной конструкции ГС УМ располагается на самом ГС, в непосредственной близости от двигателей стабилизации. Кроме того, непосредственно на ГС расположены схемы защиты ВОГа.
Конструкция крепления телекамеры позволяет проводить установку на платформу телекамер отличающихся по массогабаритным параметрам от базовой на ± 30 %. При этом осуществляется независимая регулировка положения телекамеры по трем взаимоперпендикулярным осям.
Применение в качестве ЧЭ ВОГа вместо механических гироскопов позволяет практически снять ограничения по максимальным скоростям измерения и управления, накладываемых на канал стабилизации самим ЧЭ.
АНАЛИЗ ИНЕРЦИОННЫХ ВОЗМУЩАЮЩИХ МОМЕНТОВ.
При несимметричной конструкции рам гиростабилиза-тора и значительных угловых скоростях движения основания и управления платформой необходимо учитывать возмущающие моменты, вызываемые осевыми и центробежными моментами инерции рам.
В данной работе проводится исследование инерционных возмущающих моментов для двухосного гиростабилизатора, с учетом влияния центробежных моментов инерции рам и скоростей управления платформой.
Выражения для инерционных моментов получены путем раскрытия членов, зависящих от параметров движения основания и платформы входящих в динамические уравнения Эйлера. Основные математические преобразования выполнялись с помощью программы “DERIVE”.
Системы координат и обозначения используемые далее.

Рис.1.
X>0>,Y>0>,Z>0> - система координат связанная с основанием.
X>1>,Y>1>,Z>1> - система координат связанная с наружной
рамой.
X>2>,Y>2>,Z>2> - система координат связанная с платформой.
Q>ij> - момент количества движения j-го тела по i-й
оси.
w>ij> - угловая скорость j-го тела по i-й оси.
w>ij>' - угловое ускорение j-го тела по i-й оси.
J>i >- осевые моменты инерции тела относительно i-й
оси.
J>ij> - центробежные моменты инерции.
M>ij> - внешние возмущающие моменты действующие
на j-е тело по i-й оси.
a - угол поворота наружной рамы по оси Y>1>.
a' - угловая скорость вращения наружной рамы по
оси Y>1>.
a'' - угловое ускорение наружной рамы по оси Y>1>.
b - угол поворота платформы по оси Z>2>.
b' - угловая скорость вращ. платформы по оси Z>2>.
b'' - угловое ускорение платформы по оси Z>2>.
Динамические уравнения Эйлера для i-го тела имеют вид:
dQ>xi>/dt - Q>yi>×w>zi> + Q>zi>×w>yi> = M>xi>
dQ>yi>/dt - Q>zi>×w>xi> + Q>xi>×w>zi> = M>yi>
dQ>yi>/dt - Q>zi>×w>xi> + Q>xi>×w>zi> = M>yi>
В случае двухосного гиростабилизатора эти уравнения преобразуются в следующую форму:
а) для наружной рамы:
dQ>y1>/dt - Q>z1>×w>x1> + Q>x1>×w>z1> = M>y1>
б) для платформы:
dQ>x2>/dt - Q>y2>×w>z2> + Q>z2>×w>y2 >= M>x2>
dQ>y2>/dt - Q>z2>×w>x2> + Q>x2>×w>z2 >= M>y2 > (1)
dQ>z2>/dt - Q>x2>×w>y2> + Q>y2>×w>x2 >= M>z2 >
Полный момент количества движения наружной рамы в проекциях на оси X>1>, Y>1>, Z>1> определяется следующими выражениями:
Q>x1> = J>x1>×w>x1> - J>xy1>×w>y1> - J>xz1>×w>z1>
Q>y1> = J>y1>×w>y1> - J>yx1>×w>x1> - J>yz1>×w>z1> (2)
Q>z1 >= J>z1>×w>z1 >- J>zx1>×w>x1 >- J>zy1>×w>y1>
Полный момент количества движения платформы в проекциях на оси X>2>, Y>2>, Z>2> определяется следующими выражениями:
Q>x2 >= J>x2>×w>x2 >- J>xy2>×w>y2> - J>xz2>×w>z2>
Q>y2 >= J>y2>×w>y2 >- J>yx2>×w>x2> - J>yz2>×w>z2 > (3)
Q>z2 >= J>z2>×w>z2 >- J>zx2>×w>x2 >- J>zy2>×w>y2>
Кинематические уравнения двухосного гиростаби-лизатора, для расположения координатных осей приве-денного на рис.1, имеют вид:
а) для наружной рамы:
w>x1 > = w>x0>×cos(a) - w>z0>×sin(a)
w>y1> = w>y0> + a' (4*)
w>z1> = w>x0>×sin(a) + w>z0>×cos(a)
w>x1>' = w>x0>'×cos(a) - w>z0>'×sin(a)
w>y1>' = w>y0>' + a'' (4*')
w>z1>' = w>x0>'×sin(a) + w>z0>'×cos(a)
б) для платформы:
w>x2> = w>x1>×cos(b) + w>y1>×sin(b)
w>y2> = w>y1>×cos(b) - w>x1>×sin(b) (5*)
w>z2> = w>z1> + b'
w>x2>' = w>x1>'×cos(b) + w>y1>'×sin(b)
w>y2>' = w>y1>'×cos(b) - w>x1>'×sin(b) (5*')
w>z2>' = w>z1>' + b''
Из 2-го уравнения в (5*) следует, что:
w>y1>=w>x1>×tg(b)+w>y2>/cos(b)
Из 2-го уравнения в (5*') следует, что:
w>y1>'=w>x1>'×tg(b)+w>y2>'/cos(b)
Тогда, учитывая, что w>y2>, w>z2>, w>y2>', w>z2>' являются параметрами движения стабилизированного объекта, т.е. заданы, кинематические уравнения можно переписать в следующем виде:
w>x1 > = w>x0>×cos(a) - w>z0>×sin(a)
w>y1> = w>x1>×tg(b)+w>y2>/cos(b) (4)
w>z1> = w>x0>×sin(a) + w>z0>×cos(a)
w>x1>' = w>x0>'×cos(a) - w>z0>'×sin(a)
w>y1>' = w>x1>'×tg(b)+w>y2>'/cos(b) (4')
w>z1>' = w>x0>'×sin(a) + w>z0>'×cos(a)
w>x2> = w>x1>×cos(b) + w>y1>×sin(b) (5)
w>x2>' = w>x1>'×cos(b) + w>y1>'×sin(b) (5')
Подставляя выражения для полных моментов количества движения (2), (3) в динамические уравнения Эйлера (1), получаем следующий вид уравнений движения наружной рамы и платформы:
J>y1>×w>y1>' + (J>x1>-J>z1>)×w>x1>×w>z1> + J>zx1>×w>x1>2 - J>xz1>×w>z1>2 +
+ J>zy1>×w>x1>×w>y1> - J>xy1>×w>y1>×w>z1> - J>yx1>×w>x1>' - J>yz1>×w>z1>' = M>y1 >(6.1)
J>x2>×w>x2>' + (J>z2>-J>y2>)×w>y2>×w>z2> - 2×J>zy>×w>y2>2 + J>yz2>×w>z2>2 +
+ J>yx2>×w>x2>×w>z2> - J>zx2>×w>x2>×w>y2> - J>xz2>×w>z2>' - J>xy2>×w>y2>' = M>x2> (6.2)
J>y2>×w>y2>' + (J>x2>-J>z2>)×w>x2>×w>z2> + J>zx2>×w>x2>2 - J>xz2>×w>z2>2 +
+ J>zy2>×w>x2>×w>y2> - J>xy2>×w>y2>×w>z2> - J>yx2>×w>x2>' - J>yz2>×w>z2>' = M>y2> (6.3)
J>z2>×w>z2>' + (J>y2>-J>x2>)×w>x2>×w>y2> + J>xy2>×w>y2>2 - J>yx2>×w>x2>2 +
+ J>xz2>×w>y2>×w>z2> - J>yz2>×w>x2>×w>z2> - J>zx2>×w>x2>' - J>zy2>×w>y2>' = M>z2> (6.4)
При отсутствии моментов внешних сил правые части уравнений (6.2), (6.3), (6.4) обращаются в нуль, а правая часть (6.1) представляет собой момент реакции со стороны платформы на внешнюю раму вокруг оси Y>1>. Обозначив левые части уравнений (6.1), (6.2), (6.3) буквами A, B и C, соответственно, получаем выражение для полного инерционного момента относительно оси внешней рамы:
M>y1ин> = A + B × sin(b) + C × cos(b) (7)
Раскрыв в (7) сокращения A, B и C и преобразовав получаем выражение для полного инерционного момента М>y1ин>.
М>y1ин>=J>xz1>·{w>x1>2-w>z1>2}+
+J>xz2>·cos(b)·w>x2>2-J>yz2>·sin(b)·w>y2>2+
+{J>yz2>·sin(b)-J>xz2>·cos(b)}·w>z2>2+
+{J>yz2>·cos(b)-J>xz2>·sin(b)}·w>x2>·w>y2>+
+{J>xy2>·sin(b)+(J>x2>-J>z2>)·cos(b)}·w>x2>·w>z2>+
+{(J>z2>-J>y2>)·sin(b)-J>xy2>·cos(b)}·w>z2>·w>y2>+> > (8)
+{J>x2>·sin(b)-J>xy2>·cos(b)}·w>x2>' +
+{J>y2>·cos(b)-J>xy2>·sin(b)}·w>y2>'-
-{J>xz2>·sin(b)+J>yz2>·cos(b)}·w>z2>'+
+J>yz1>·w>x1>·w>y1>-
-J>xy1>·w>z1>·w>y1>+
+(J>x1>-J>z1>)·w>x1>·w>z1 >-
-J>xy1>·w>x1>'-
-J>yz1>·w>z1>'+
+J>y1>·w>y1>'
После подстановки в полученные выражения для инерционных моментов М>y1ин>, M>z2ин> кинематических уравнений (4), (4'), (5), (5') и преобразования, получим следующий вид выражений для М>y1ин>, M>z2ин>:
M>Z2>>ИН>={cos(2·b)-2}·cos(a)2·tg(b)2·J>xy2>(·w>x0>2+w>z0>2)+
+{2·tg(b)2·sin(b)2-2·cos(b)2+4}·sin(a)·cos(a)·J>xy2>·w>x0>·w>z0>+
+{(J>y2>-J>x2>)/cos(b)-2·J>xy2>·sin(b)(1+tg(b)2)}·cos(a)·w>x0>·w>y2>+
+J>yz2>·w>z0>·w>z2>·(sin(a)-cos(a))/cos(b)-
-J>xz2>·w>x0>'·cos(a)/cos(b)+
+{2·J>xy2>·(sin(b)·tg(b)2+sin(b))·sin(a)+(J>x2>-J>y2>)·sin(a)/cos(b)}·w>y2>·w>z0>+
+J>xz2>·w>z0>'·sin(a)/cos(b)+
+{J>xz2>-J>yz2>}·w>y2>·w>z2>·tg(b)+
+{(J>y2>-J>x2>)·tg(b)+J>xy2>·(1-tg(b)2)}·w>y2>2-
-{J>xz2>·tg(b)+J>yz2>}·w>y2>'+
+J>z2>·w>z2>'
(9)
M>y1ин>={[J>xz2>·(tg(b)4+2/cos(b)2-1)·cos(b)3+J>yz1>·tg(b)+J>xz1>]·cos(a)2+
+[[(J>x1>-J>z1>)-J>xy1>·tg(b)]·cos(a)-J>xz1>·sin(a)]·sin(a)}·w>x0>2+
+{[[J>xy1>·tg(b)+(J>z1>-J>x1>)]·sin(a)-J>xz1>·cos(a)]·cos(a)+
+[J>xz2>·cos(b)3·[2/cos(b)2+tg(b)4-1]+J>yz1>·tg(b)+J>xz1>]·sin(a)2}·w>z0>2+
+{(J>x1>-J>z1>)·cos(2·a)+[1-tg(b)4-2/cos(b)2]·J>xz2>·cos(b)3·sin(2·a)-
-[J>yz1>·tg(b)+2·J>xz1>]·2·sin(a)·cos(a)-
-J>xy1>·tg(b)·cos(2·a)}·w>x0>·w>z0>+
+{[J>xy2>·sin(b)·cos(b)(tg(b)2+1)+(J>x2>-J>z2>)]·cos(a)}·w>x0>·w>z2>+
+{[J>xz2>·sin(b)·cos(b)+J>xz2>·sin(b)3/cos(b)+J>yz2>]·cos(a)+
+[J>yz1>·cos(a)-J>xy1>·sin(a)]/cos(b)}·w>x0>·w>y2>-
-{[J>xz2>·sin(b)·cos(b)·(1+tg(b)2)+J>yz2>]·sin(a)+
+[J>yz1>·sin(a)+J>xy1>·cos(a)]/cos(b)}·w>z0>·w>y2>+
+{-[tg(b)2+1]·sin(b)·cos(b)·J>xy2>+(J>z2>-J>x2>)]·sin(a)}·w>z0>·w>z2>+
+{[J>x2>·sin(b)·cos(b)·(1+tg(b)2)+J>y1>·tg(b)-(J>xy1>+
+J>xy2>)]·cos(a)-J>yz1>·sin(a)}·w>x0>'+
+{[-J>x2>·sin(b)·cos(b)·(1+tg(b)2)+(J>xy1>+J>xy2>)-
-J>y1>·tg(b)]·sin(a)-J>yz1>·cos(a)}·w>z0>'+
+{J>yz2>·sin(b)-J>xz2>·cos(b)]·w>z2>2-
-{J>xz2>·sin(b)+J>yz2>·cos(b)}·w>z2>'+
+{(J>x2>-J>y2>)·sin(b)+J>xy2>·cos(b)·(tg(b)2-1)}·w>z2>·w>y2>+
+{J>x2>·sin(b)2/cos(b)-2·J>xy2>·sin(b)+J>y2>·cos(b)+J>y1>/cos(b)}·w>y2>'
Анализ инерционных возмущающих моментов для различных режимов работы гиростабилизатора.
Численный анализ инерционных возмущающих моментов (9) провожу для различных режимов работы ГС, типовая конструкция которого приведена на рис 2.

Рис.2.
Пусть ГС имеет следующие инерционные параметры наружной рамы и платформы:
J>x1> = -------//------ J>x2>= 2000 гсмс2 = 0.2 кгм2
J>y1> = 1500 гсмс2 = 0.15 кгм2 J>y2>= 9500 гсмс2 = 0.95 кгм2
J>z1> = -------//------ J>z2 >= 10000 гсмс2 = 1 кгм2
J>xy1> = J>yx1> = 0 J>xy2 >= J>yx2> = 0.0085 кгм2
J>xz1> = J>zx1> = 0 J>xz2> = J>zx2> = 0.023 кгм2
J>zy1> = J>yz1 >=1500 гсмс2 = 0.15 кгм2 J>zy2 >= J>yz2> = 0.04 кгм2
Угловые скорости и ускорения основания и управления платформой принимаю равными их типовым значениям при работе гиростабилизатора на кране.
w>x0> = ±1 рад/с w>y2> = ±2 рад/с
w>y0> = ±1 рад/с w>z2 >= ±2 рад/с
w>z0 >= ±1 рад/с w>y2>' = ±3 рад/с2 (10)
w>x0>'= ±0,2 рад/с2 w>z2>' = ±3 рад/с2
w>y0>'= ±0,2 рад/с2
w>z0>'= ±0,2 рад/с2
Углы прокачки рам изменяются в диапазоне:
a = ± 2 рад. » ± 120 град. (10)
b = ±1 рад. » ± 60 град.
Исследование величины численных значений инерционных возмущающих моментов провожу с помощью программы “MOMIN” листинг которой приведен в “Приложении 1”.
Анализ инерционных возмущающих моментов провожу для следующих случаев работы гиро-стабилизатора:
1) Работа на неподвижном основании при наличии скоростей управления платформой;
2) Работа на подвижном основании при неподвижной платформе;
3) Работа на подвижном основании при управляемой платформе;
1) Работа ГС на неподвижном основании при управляемой платформе,
т.е. при условии:
w>x0> = w>y0> = w>z0> = w>x0>' = w>y0>' = w>z0>' = 0 (11)
a ¹ 0; b ¹ 0; w>y2>¹ 0; w>z2> ¹ 0; w>y2>' ¹ 0; w>z2>' ¹ 0
Тогда подставляя (11) в выражения для инерционных моментов (9), получаем следующий их вид:
M>Z2ИН>=+{J>xz2>-J>yz2>}·w>y2>·w>z2>·tg(b)+
+{(J>y2>-J>x2>)·tg(b)+J>xy2>·(1-tg(b)2)}·w>y2>2-
-{J>xz2>·tg(b)+J>yz2>}·w>y2>'+
+J>z2>·w>z2>'
M>Y1ИН>=+{J>yz2>·sin(b)-J>xz2>·cos(b)}·w>z2>2-
-{J>xz2>·sin(b)+J>yz2>·cos(b)}·w>z2>'+
+{(J>x2>-J>y2>)·sin(b)+J>xy2>·cos(b)·(tg(b)2-1)}·w>z2>·w>y2>+
+{J>x2>·sin(b)2/cos(b)-
-2·J>xy2>·sin(b)+J>y2>·cos(b)+J>y1>/cos(b)}·w>y2>'
Максимальные значения инерционных моментов, полученные при выполнении условий (10), следующие:
а) ось Y>1>: М>y1ин> = М>ин> + М>цб> = 5.68 + 0.14 = 5.82 Н×м.
при a = 0.067 рад.
b = 1 рад.
w>y2> = -2.0 рад/с.
w>y2>' = 3.0 рад/с2.
w>z2> = 2 рад/с.
w>z2>' = -3.0 рад/с2.
где М>ин> - вклад в М>y1ин> возмущающих моментов, связаных с осевыми моментами инерции наружной рамы и платформы;
М>цб> - вклад в М>y1ин> возмущающих моментов, связаных с центробежными моментами инерции наружной рамы и платформы;
Вклад М>цб> в суммарный возмущающий момент составил:
М>цб>
К
= ×
100% = 2.38 %
М>ин> + М>цб>
б) ось Z>2>: М>z2ин> = М>ин> + М>цб> = 7.67 + 0.33 = 8.0 Н×м.
при a = 0.067 рад.
b = 1 рад.
w>y2> = 2.0 рад/с.
w>y2>' = -3.0 рад/с2.
w>z2> = -2 рад/с.
w>z2>' = 3.0 рад/с2.
Вклад М>цб> в суммарный возмущающий момент составил:
М>цб>
К
= ×
100% = 4.2 %
М>ин> + М>цб>
2) Работа ГС на подвижном основании при неподвижной платформе,
т.е. при:
w>y2>= w>y2>'= w>z2> = w>z2>' = 0; a ¹ 0; b ¹ 0; (12)
w>x0> ¹ 0; w>y0> ¹ 0; w>z0> ¹ 0; w>x0>' ¹ 0; w>y0>' ¹ 0; w>z0>' ¹ 0
Тогда подставляя (12) в выражения для инерционных моментов (9) получаем следующий их вид:
M>Z2ИН>={cos(2·b)-2}·cos(a)2·tg(b)2·J>xy2>(·w>x0>2+w>z0>2)+
+{2·tg(b)2·sin(b)2-2·cos(b)2+4}·sin(a)·cos(a)·J>xy2>·w>x0>·w>z0>+
-J>xz2>·w>x0>'·cos(a)/cos(b)+
+J>xz2>·w>z0>'·sin(a)/cos(b)+
M>Y1ИН>={[J>xz2>·(tg(b)4+2/cos(b)2-1)·cos(b)3+J>yz1>·tg(b)+
+J>xz1>]·cos(a)2+
+[[(J>x1>-J>z1>)-J>xy1>·tg(b)]·cos(a)-J>xz1>·sin(a)]·sin(a)}·w>x0>2+
+{[[J>xy1>·tg(b)+(J>z1>-J>x1>)]·sin(a)-J>xz1>·cos(a)]·cos(a)+
+[J>xz2>·cos(b)3·[2/cos(b)2+tg(b)4-1]+J>yz1>·tg(b)+
+J>xz1>]·sin(a)2}·w>z0>2+
+{(J>x1>-J>z1>)·cos(2·a)+[1-tg(b)4-2/cos(b)2]·J>xz2>·cos(b)3·
·sin(2·a)-[J>yz1>·tg(b)+2·J>xz1>]·2·sin(a)·cos(a)-
-J>xy1>·tg(b)·cos(2·a)}·w>x0>·w>z0>+
+{[J>x2>·sin(b)·cos(b)·(1+tg(b)2)+J>y1>·tg(b)-(J>xy1>+J>xy2>)]·cos(a)-
-J>yz1>·sin(a)}·w>x0>'+
+{[-J>x2>·sin(b)·cos(b)·(1+tg(b)2)+(J>xy1>+J>xy2>)-J>y1>·tg(b)]·sin(a)-
-J>yz1>·cos(a)}·w>z0>'+
При этом получены следующие максимальные значения инерционных возмущающих моментов:
а) ось Y>1>:
М>y1ин> = М>ин> + М>цб> = 0.154 + 0.551= 0.705 Н×м.
при a = - 0.82 рад.
b = 1 рад.
w>x0> = w>z0> = 1 рад/с.
w>x0>' = w>z0>' = 0.2 рад/с2.
w>y0 >= 0.167 рад/c.
w>y0>' = 0.167 рад/с2.
Вклад М>цб> в суммарный возмущающий момент составил:
М>цб>
К
= ×
100 % = 78.14 %
М>ин> + М>цб>
б) ось Z>2>:
М>z2ин> = М>ин> + М>цб> = 0 + 0.07= 0.07 Н×м.
при a = - 0.785 рад.
b = 1 рад.
w>x0> = w>z0> = 1 рад/с.
w>x0>' = w>z0>' = 0.2 рад/с2.
w>y0 >= 0.167 рад/с.
w>y0>' = 0.167 рад/c2
Вклад М>цб> в суммарный возмущающий момент составил:
М>цб>
К
= ×
100 % = 100 %
М>ин> + М>цб>
3) Работа ГС на подвижном основании при управляемой платформе.
При подвижном основании и управляемой платформе инерционные возмущающие моменты определяются выражениями (9).
M>Z2ИН>={cos(2·b)-2}·cos(a)2·tg(b)2·J>xy2>(·w>x0>2+w>z0>2)+
+{2·tg(b)2·sin(b)2-2·cos(b)2+4}·sin(a)·cos(a)·J>xy2>·w>x0>·w>z0>+
+{(J>y2>-J>x2>)/cos(b)-2·J>xy2>·sin(b)(1+tg(b)2)}·cos(a)·w>x0>·w>y2>+
+J>yz2>·w>z0>·w>z2>·(sin(a)-cos(a))/cos(b)-
-J>xz2>·w>x0>'·cos(a)/cos(b)+
+{2·J>xy2>·(sin(b)·tg(b)2+sin(b))·sin(a)+(J>x2>-
-J>y2>)·sin(a)/cos(b)}·w>y2>·w>z0>+
+J>xz2>·w>z0>'·sin(a)/cos(b)+
+{J>xz2>-J>yz2>}·w>y2>·w>z2>·tg(b)+
+{(J>y2>-J>x2>)·tg(b)+J>xy2>·(1-tg(b)2)}·w>y2>2-
-{J>xz2>·tg(b)+J>yz2>}·w>y2>'+
+J>z2>·w>z2>'
M>Y1ИН>={[J>xz2>·(tg(b)4+2/cos(b)2-1)·cos(b)3+J>yz1>·tg(b)+
+J>xz1>]·cos(a)2+
+[[(J>x1>-J>z1>)-J>xy1>·tg(b)]·cos(a)-J>xz1>·sin(a)]·sin(a)}·w>x0>2+
+{[[J>xy1>·tg(b)+(J>z1>-J>x1>)]·sin(a)-J>xz1>·cos(a)]·cos(a)+
+[J>xz2>·cos(b)3·[2/cos(b)2+tg(b)4-1]+
+J>yz1>·tg(b)+J>xz1>]·sin(a)2}·w>z0>2+
+{(J>x1>-J>z1>)·cos(2·a)+[1-tg(b)4-2/cos(b)2]·J>xz2>·cos(b)3·
·sin(2·a)-[J>yz1>·tg(b)+2·J>xz1>]·2·sin(a)·cos(a)-
-J>xy1>·tg(b)·cos(2·a)}·w>x0>·w>z0>+
+{[J>xy2>·sin(b)·cos(b)(tg(b)2+1)+(J>x2>-J>z2>)]·cos(a)}·w>x0>·w>z2>+
+{[J>xz2>·sin(b)·cos(b)+J>xz2>·sin(b)3/cos(b)+J>yz2>]·cos(a)+
+[J>yz1>·cos(a)-J>xy1>·sin(a)]/cos(b)}·w>x0>·w>y2>-
-{[J>xz2>·sin(b)·cos(b)·(1+tg(b)2)+J>yz2>]·sin(a)+
+[J>yz1>·sin(a)+J>xy1>·cos(a)]/cos(b)}·w>z0>·w>y2>+
+{-[tg(b)2+1]·sin(b)·cos(b)·J>xy2>+(J>z2>-J>x2>)]·sin(a)}·w>z0>·w>z2>+
+{[J>x2>·sin(b)·cos(b)·(1+tg(b)2)+J>y1>·tg(b)-(J>xy1>+J>xy2>)] ·
·cos(a)-J>yz1>·sin(a)}·w>x0>'+
+{[-J>x2>·sin(b)·cos(b)·(1+tg(b)2)+(J>xy1>+J>xy2>)-J>y1>·tg(b)]·
·sin(a)-J>yz1>·cos(a)}·w>z0>'+
+{J>yz2>·sin(b)-J>xz2>·cos(b)}·w>z2>2-
-{J>xz2>·sin(b)+J>yz2>·cos(b)}·w>z2>'+
+{(J>x2>-J>y2>)·sin(b)+J>xy2>·cos(b)·(tg(b)2-1)}·w>z2>·w>y2>+
+{J>x2>·sin(b)2/cos(b)-2·J>xy2>·sin(b)+J>y2>·cos(b)+
+J>y1>/cos(b)}·w>y2>'
При этом получены следующие максимальные значения инерционных моментов.
а) ось Y>1>:
М>y1ин> = М>ин> + М>цб> = 8.1 + 1.65 = 9.75 Н×м
при a = 0.776 рад.
b = 1.0 рад.
w>y2 >= -2 рад/с.
w>y2>' = 3 рад/с2.
w>z2> = 2 рад/с.
w>z2>' = -3 рад/с2.
w>x0 >= w>z0 > = 1 рад/c.
w>x0>' = 0.2 рад/c2.
w>z0>' = - 0.2 рад/c2.
w>y0 >= 0.167 рад/c.
w>y0>' = 0.167 рад/c2.
Вклад М>цб> в суммарный возмущающий момент составил:
М>цб>
К
= ×
100 % = 16.9 %
М>y1ин>+М>цб>
б) ось Z>2>:
М>z2ин> = М>ин> + М>цб> = 11.6 + 0.361 = 11.96 Н×м
при a = -0.785 рад.
b = 1.0 рад.
w>y2 > = 2 рад/с.
w>y2>' = -3 рад/с2.
w>z2> = -2 рад/с.
w>z2>' = 3 рад/с2.
w>x0 >=> >w>z0> = 1 рад/c.
w>x0>' = w>z0>' = - 0.2 рад/c2.
w>y0> = 0.167 рад/c.
w>y0>' = 0.167 рад/c2.
Вклад М>цб> в суммарный возмущающий момент составил:
М>цб>
К
= ×
100 % = 3.02 %
М>y1ин> + М>цб>
Исследование влияния нежесткостей элементов гиростабилизатора на его устойчивость.
Анализ устойчивости ГС с нежесткими наружной рамой, креплением статора двигателя стабилизации к раме, с нежесткими редуктором и связью платформы с объектом стабилизации, проводим основываясь на следующей физической модели:

Рис. 1.
здесь Ji - момент инерции i-го элемента;
Ci,j - коэффициент упругости;
Di,j - коэфф. демпфирования между i и j
элементами;
K - коэффициент передачи цепи обратной
связи.
Оценку влияния каждого из входящих в модель элементов (Ji,Ci,j,Di,j) выполняем на основе анализа поведения ЛАХ разомкнутой системы, при вариациях Ji,Ci,j,Di,j.
Уравнения движения каждого из элементов модели в общем виде могут быть представлены следующим образом:
Ji×xi''+Di-1,i×(xi'-xi-1')-Di,i+1×(xi+1'-xi')+Ci-1,i× (xi-xi-1)-Ci,i+1×(xi+1 - xi) = Мi (1)
где Мi - внешний момент действующий на i-й элемент;
xi,xi', xi''- перемещение, скорость и ускорение i-го
элемента.
Расписав уравнение (1) для каждого элемента, получим следующюю систему уравнений движения модели:
J1×x1''+D01×(x1'-x0')-D12×(x2'-x1')+C01×(x1-x0)-C12×(x2-x1)= М1
J2×x2''+D12×(x2'-x1')-D23×(x3'-x2')+C12×(x2-x1)-C23×(x3-x2)= М2
J3×x3''+D23×(x3'-x2')-D34×(x4'-x3')+C23×(x3-x2)-C34×(x4-x3)= М3 (2)
J4×x4''+D34×(x4'-x3')-D45×(x5'-x4')+C34×(x4-x3)-C45× (x5-x4)= М4
J5×x5''+D45×(x5'-x4')-D56×(x6'-x5')+C45×(x5-x4)-C56×(x6-x5)= М5
Раскрыв в (2) скобки и преобразовав получаем следующий вид уравнений движения модели.
-D01×x0'-C01×x0+J1×x1''+(D01+D12)×x1'+(C01+C12)×x1-D34×x2'-
-C12×x2= М1
-D12×x1'-C12×x1+J2×x2''+(D23+D12)×x2'+(C12+C23)×x2-D23×x3'-
-C23×x3= М2
-D23×x2'-C23×x2+J3×x3''+(D23+D34)×x3'+(C23+C34)×x3-D34×x4'-
-C34×x4=М3 (3)
-D34×x3'-C34×x3+J4×x4''+(D34+D45)×x4'+(C34+C45)×x4-D45×x5'-
-C45×x5= М4
-D45×x4'-C45×x4+J5×x5''+(D45+D56)×x5'+(C45+C56)×x5-D56×x6'-
-C56×x6= М5
Переписав (3) в операторной форме получаем уравнения движения модели в следующем виде.
-(D01×s+C01)×x0+(J1×s2+(D01+D12)×s+(C01+C12))×x1 -
-(D12×s+C12)×x2= М1
-(D12×s+C12)×x1+(J2×s2+(D12+D23)×s+(C12+C23))×x2-
-(D23×s+C23)×x3= К×x4
-(D23×s+C23)×x2+(J3×s2+(D23+D34)×s+(C23+C34))×x3-
-(D34×s+C34)×x4=-К×x4
-(D34×s+C34)×x3+(J4×s2+(D34+D45)×s+(C34+C45))×x4-
-(D45×s+C45)×x5= М4 (4)
-(D45×s+C45)×x4+(J5×s2+(D45+D56)×s+(C45+C56))×x5-
-(D56×s+C56)×x6= М5
Для нахождения передаточной функции разомкнутой системы по управляющему воздействию Wp(s) составим два определителя: главный - D, и характеризующий входное воздействие D1, с учетом того, что x0=0; D56=0; C56=0; C23=0.


a11 a12 0 0 0
a21 a22 a23 0 0
D= 0 a32 a33 a34 0 (5)
0 0 a43 a44 a45
0 0 0 a54 a55
где a11 = J1×s2+(D01+D12)×s+C01+C12
a12 = -D12×s-C12
a21 = a12
a22 = J2×s2+(D12+D23)×s+C12
a23 = -D23×s
a32 = a23
a33 = J3×s2+(D23+D34)×s+C34
a34 = -D34×s-C34
a43 = a34
a44 = J4×s2+(D34+D45)×s+C34+C45
a45 = -D45×s-C45
a54 = a45
a55 = J5×s2+D45×s+C45

a11 a12 0 0 0
a21 a22 a23 -K×x4 0
D1= 0 a32 a33 K×x4 0 (6)
0 0 a43 0 a45
0 0 0 0 a55
Передаточная функция разомкнутой системы определяется как:
D1 -K×(b7×s7+....+b1×s+b0)×x4

Wp(s)
= = (7)
D×x4
s×(a9×s9+....+a1×s+a0)×x4
Коэффициенты ai, bi полиномов числителя и знаменателя передаточной функции Wp(s) выражаются через параметры элементов модели следующим образом:
(8)
a9=J1J2J3J4J5
a8=D01J2J3J4J5+D12J3J4J5(J1+J2)+J1(D23J4J5(J2+J3)+J2(D34J5(J3+J4)+D45J3(J4+J5)))
a7=C01J2J3J4J5+C12J3J4J5(J1+J2)+C34J1J2(J3J5+J4J5)+C45J1J2J3(J4+J5)+D01(D12J3J4J5+D23J4J5(J2+J3)+J2(D34J5(J3+J4)+D45J3(J4+J5)))+D12(D23J4J5(J1+J2+J3)+(J1+J2)(D34J5(J3+J4)+D45J3(J4+J5)))+J1(D23(D34J5(J2+J3+J4)+D45(J4+J5)(J2+J3))+D34D45J2(J3+J4+J5))
a6=C01(D12J3J4J5+D23J4J5(J2+J3)+J2(D34J5(J3+J4)+D45J3(J4+J5)))+C12(D01J3J4J5+D23J4J5(J1+J2+J3)+(J1+J2)(D34J5(J3+J4)+D45J3(J4+J5)))+C34(D01J2(J3J5+J4J5)+D12J5(J3+J4)(J1+J2)+J1(D23J5(J2+J3+J4)+D45J2(J3+J4+J5)))+C45(D01J2J3(J4+J5)+D12J3(J4+J5)(J1+J2)+J1(D23(J4+J5)(J2+J3)+D34J2(J3+J4+J5)))+D01(D12(D23J4J5+D34(J3J5+J4J5)+D45J3(J4+J5))+D23(D34(J2J5+J3J5+J4J5)+D45(J4+J5)(J2+J3))+D34D45J2(J3+J4+J5))+D12(D23(D34(J1J5+J2J5+J3J5+J4J5)+D45(J4+J5)(J1+J2+J3))+D34D45(J3+J4+J5)(J1+J2))+D23D34D45J1(J2+J3+J4+J5)
a5=C01(C12J3J4J5+C34J2(J3J5+J4J5)+C45J2J3(J4+J5)+D12(D23J4J5+D34(J3J5+J4J5)+D45J3(J4+J5))+D23(D34(J2J5+J3J5+J4J5)+D45(J4+J5)(J2+J3))+D34D45J2(J3+J4+J5))+C12(C34J5(J3+J4)(J1+J2)+C45J3(J4+J5)(J1+J2)+D01(D23J4J5+D34(J3J5+J4J5)+D45J3(J4+J5))+D23(D34(J1J5+J2J5+J3J5+J4J5)+D45(J4+J5)(J1+J2+J3))+D34D45(J3+J4+J5)(J1+J2))+C34(C45J1J2(J3+J4+J5)+D01(D12(J3J5+J4J5)+D23(J2J5+J3J5+J4J5)+D45J2(J3+J4+J5))+D12(D23(J1J5+J2J5+J3J5+J4J5)+D45(J3+J4+J5)(J1+J2))+D23D45J1(J2+J3+J4+J5))+C45(D01(D12J3(J4+J5)+D23(J2(J4+J5)+J3(J4+J5))+D34J2(J3+J4+J5))+D12(D23(J1(J4+J5)+J2(J4+J5)+J3(J4+J5))+D34(J3+J4+J5)(J1+J2))+D23D34J1(J2+J3+J4+J5))+D01(D12(D23(D34J5+D45(J4+J5))+D34D45(J3+J4+J5))+D23D34D45(J2+J3+J4+J5))+D12D23D34D45(J1+J2+J3+J4+J5)
a4=C01(C12(D23J4J5+D34(J3J5+J4J5)+D45J3(J4+J5))+C34(D12(J3J5+J4J5)+D23(J2J5+J3J5+J4J5)+D45J2(J3+J4+J5))+C45(D12J3(J4+J5)+D23(J2(J4+J5)+J3(J4+J5))+D34J2(J3+J4+J5))+D12(D23(D34J5+D45(J4+J5))+D34D45(J3+J4+J5))+D23D34D45(J2+J3+J4+J5))+C12(C34(D01(J3J5+J4J5)+D23(J1J5+J2J5+J3J5+J4J5)+D45(J3+J4+J5)(J1+J2))+C45(D01J3(J4+J5)+D23(J1(J4+J5)+J2(J4+J5)+J3(J4+J5))+D34(J3+J4+J5)(J1+J2))+D01(D23(D34J5+D45(J4+J5))+D34D45(J3+J4+J5))+D23D34D45(J1+J2+J3+J4+J5))+C34(C45(D01J2(J3+J4+J5)+D12(J1(J3+J4+J5)+J2(J3+J4+J5))+D23J1(J2+J3+J4+J5))+D01(D12(D23J5+D45(J3+J4+J5))+D23D45(J2+J3+J4+J5))+D12D23D45(J1+J2+J3+J4+J5))+C45(D01(D12(D23(J4+J5)+D34(J3+J4+J5))+D23D34(J2+J3+J4+J5))+D12D23D34(J1+J2+J3+J4+J5))+D01D12D23D34D45
a3=C01(C12(C34(J3J5+J4J5)+C45J3(J4+J5)+D23(D34J5+D45(J4+J5))+D34D45(J3+J4+J5))+C34(C45J2(J3+J4+J5)+D12(D23J5+D45(J3+J4+J5))+D23D45(J2+J3+J4+J5))+C45(D12(D23(J4+J5)+D34(J3+J4+J5))+D23D34(J2+J3+J4+J5))+D12D23D34D45)+C12(C34(C45(J1(J3+J4+J5)+J2(J3+J4+J5))+D01(D23J5+D45(J3+J4+J5))+D23D45(J1+J2+J3+J4+J5))+C45(D01(D23(J4+J5)+D34(J3+J4+J5))+D23D34(J1+J2+J3+J4+J5))+D01D23D34D45)+C34(C45(D01(D12(J3+J4+J5)+D23(J2+J3+J4+J5))+D12D23(J1+J2+J3+J4+J5))+D01D12D23D45)+C45D01D12D23D34
a2=C01(C12(C34(D23J5+D45(J3+J4+J5))+C45(D23(J4+J5)+D34(J3+J4+J5))+D23D34D45)+C34(C45(D12(J3+J4+J5)+D23(J2+J3+J4+J5))+D12D23D45)+C45D12D23D34)+C12(C34(C45(D01(J3+J4+J5)+D23(J1+J2+J3+J4+J5))+D01D23D45)+C45D01D23D34)+C34C45D01D12D23
a1=C01(C12(C34(C45(J3+J4+J5)+D23D45)+C45D23D34)+C34C45D12D23)+C12C34C45D01D23
a0=C01C12C34C45D23
b7=D34J1J2J5
b6=(C34J1J2J5+D34(D01J2J5+D12J5(J1+J2)+D45J1J2))
b5=(C01D34J2J5+C12D34J5(J1+J2)+C34(D01J2J5+D12J5(J1+J2)+D45J1J2)+C45D34J1J2+D34(D01(D12J5+D45J2)+D12D45(J1+J2)))
b4=(C01(C34J2J5+D12D34J5+D34D45J2)+C12(C34J5(J1+J2)+D01D34J5+D34D45(J1+J2))+C34(C45J1J2+D01(D12J5+D45J2)+D12D45(J1+J2))+C45D34(D01J2+D12(J1+J2))+D01D12D34D45)
b3=(C01(C12D34J5+C34(D12J5+D45J2)+C45D34J2+D12D34D45)+C12(C34(D01J5+D45(J1+J2))+C45D34(J1+J2)+D01D34D45)+C34(C45(D01J2+D12(J1+J2))+D01D12D45)+C45D01D12D34)
b2=(C01(C12(C34J5+D34D45)+C34(C45J2+D12D45)+C45D12D34)+C12(C34(C45(J1+J2)+D01D45)+C45D01D34)+C34C45D01D12)
b1=(C01(C12(C34D45+C45D34)+C34C45D12)+C12C34C45D01)
b0=C01C12C34C45
Представить передаточную функцию Wp(s) в виде произведения полиномов не выше второго порядка в числителе и знаменателе Wp(s) в аналитическом виде не представляется возможным даже теоретически, т.к. вид корней характеристических полиномов ai,bi, а, следовательно, и вид разложения на полиномы не выше второго порядка, зависит от численных значений параметров элементов модели. Поэтому исследование влияния элементов модели на устойчивость ГС проводилось численно, путем нахождения корней характеристических полиномов для каждого частного случая. Далее по полученным корням определялись полиномы не выше второго порядка по которым и строилась ЛАХ разомкнутой системы.
Все математические операции проводилось с использованием пакета “MATHCAD” с помощью которого численно определялись корни полиномов в передаточной функции разомкнутой системы Wp(s), зная которые можно представить Wp(s) в виде последовательного соединения элементарных звеньев. Это выполняется следующим образом. Пусть полиномы числителя и знаменателя Wp(s) имеют корни lai, lbi соответственно. Эти корни могут быть нулевыми, действительными и комплексно сопряженными. Каждый нулевой корень знаменателя lai=0 обеспечивает появление в составе Wp(s) интегрирующего звена Wi(s)= 1/s, соответственно lbi=0 отвечает за появление чисто дифференцирующего звена с Wi(s)= s. Каждый из действительных корней lai, lbi приносит в числитель или знаменатель соответственно выражение вида (Ti×s+1)×(1/Ti), где Ti=1/li , что соответствует появлению апериодических и дифференцирующих звеньев в составе Wp(s). Каждая пара комплексно сопряженных корней li, li* в составе числителя или знаменателя передаточной функции отвечает за появление в числителе или знаменателе соответственно выражений вида (Ti2 × s2 +2×xi×Ti×s +1)×(1/Ti2), где Ti=1 / |li| , xi=Re(li) / |li|. Таким образом, зная корни полиномов числителя и знаменателя передаточной функции можно представить её в виде:
П(si)×П(Tg×s+1)×П( Tn2 × s2 +2×xn×Tn×s +1)
Wp(s) = k ×
kw ×
(9)
П(sj)×П(Tk×s+1)×П( Tm2 × s2 +2×xm×Tm×s +1)
П(1/Ti) × П(1/Ti2)
где kw =
П(1/Ti) × П(1/Ti2)
Для численных расчетов примем базовые параметры модели характерными для ГС данного типа, которые равны следующим значениям:
J1 = 0.25 кг×м2 C01 = 1×103 Н×м/рад. D01=0.001 Н×м×с
J2 = 0.03 кг×м2 C12 = 1×103 Н×м/рад. D12=0.001 Н×м×с
J3 = 0.01 кг×м2 C23 = 0 D23=0.1 Н×м×с
J4 = 0.15 кг×м2 C34 =1×104 Н×м/рад. D34=0.001 Н×м×с
J5 = 1 кг×м2 C45 =1×103 Н×м/рад. D45=0.01 Н×м×с
К = 1000
Рассмотрим следующие варианты модели:
1) ГС с “жесткими” рамами и редуктором.
Начальные параметры модели принимают следующие знечения:
J1 = 0.25 кг×м2 C01 = 1×1020 Н×м/рад. D01= 0.001 Н×м×с
J2 = 0.03 кг×м2 C12 = 1×1020 Н×м/рад. D12= 0.001 Н×м×с
J3 = 0.01 кг×м2 C23 = 0 D23=0.1 Н×м×с
J4 = 0.15 кг×м2 C34 =1×1020 Н×м/рад. D34=0.001 Н×м×с
J5 = 1 кг×м2 C45 =1×1020 Н×м/рад. D45=0.01 Н×м×с
К = 1000
Варьируем D23 = 0.01 ... 1 H×м×с
Передаточная функция при этом имеет вид:
k × kw
Wp(s)= (10)
s × (T×s+1)
Значения постоянной времени Т, w, kw приведены в Табл.1.
Табл.1.
|
D23 |
T |
w=1/T |
kw |
|
0.01 |
116 |
0.0086 |
150 |
|
0.1 |
11.6 |
0.086 |
15 |
|
1 |
1.16 |
0.86 |
1.5 |
|
10 |
0.116 |
8.6 |
0.15 |
Т.о. ЛАХ модели с бесконечно жесткими пружинами соответствует ЛАХ идеализированного индикаторного ГС. Постоянная времени Т апериодического звена апроксимируется формулой:
J3 +J4 +J5
Т= (11)
D23
2) ГС с “нежестким” редуктором.
Начальные параметры модели:
J1 = 0.25 кг×м2 C01 = 1×1020 Н×м/рад. D01= 0.001 Н×м×с
J2 = 0.03 кг×м2 C12 = 1×1020 Н×м/рад. D12= 0.001 Н×м×с
J3 = 0.01 кг×м2 C23 = 0 D23=0.1 Н×м×с
J4 = 0.15 кг×м2 C34 =1×104 Н×м/рад. D34=0.001 Н×м×с
J5 = 1 кг×м2 C45 =1×1020 Н×м/рад. D45=0.01 Н×м×с
К = 1000
Варьируем нежесткость редуктора С34=103 ... 107 H×м/рад.
Передаточная функция при этом имеет вид:
k × kw
Wp(s)= (12)
s × (T1×s+1)×( T22 × s2 +2×x2×T2×s +1)
Значения постоянных времени Т1, Т2, соответствующие им частоты “излома” ЛАХ w1, w1, удельный коэффициент демпфирования x2 и коэффициент передачи модели kw приведены в Табл.2. и Табл.3.
Табл.2.
|
C34 |
T1 |
w1 |
T2 |
w2 |
x2 |
kw |
|
103 |
24.25 |
0.04 |
0.0031 |
323 |
0.016 |
31.36 |
|
104 |
24.25 |
0.04 |
0.001 |
103 |
0.005 |
31.36 |
|
105 |
24.25 |
0.04 |
3.1×10-4 |
3.23 |
0.0016 |
31.36 |
|
106 |
24.25 |
0.04 |
1×10-4 |
104 |
0.0005 |
31.36 |
Как видно из Табл.2. нежесткость редуктора влияет только на расположение колебательного звена на оси частот (Т2, w2) и коэффициент демпфирования в этом звене (x2).
Влияние демпфирования в редукторе на поведение ЛАХ определяем варьируя D34=0.001 ... 0.1 Н×м×с (при С34=104 = const.).
Табл.3.
|
D34 |
T1 |
w1 |
T2 |
w2 |
x2 |
kw |
|
0.0001 |
25.9 |
0.039 |
0.001 |
103 |
0.0049 |
334.8 |
|
0.001 |
24.25 |
0.04 |
0.001 |
103 |
0.005 |
31.36 |
|
0.01 |
14.86 |
0.067 |
0.001 |
103 |
0.0054 |
1.92 |
|
0.1 |
11.6 |
0.086 |
0.001 |
103 |
0.01 |
0.15 |
Как видно из Табл.3., изменение демпфирования в редукторе влияет не только на коэффициент демпфирования в колебательном звене, но и на расположение на оси частот апериодического звена (Т1), и на коэффициент передачи модели.
3) ГС с “нежесткой” связью платформы со стабилизируемым объектом (телекамерой).
Исходные параметры модели:
J1 = 0.25 кг×м2 C01 = 1×1020 Н×м/рад. D01= 0.001 Н×м×с
J2 = 0.03 кг×м2 C12 = 1×1020 Н×м/рад. D12= 0.001 Н×м×с
J3 = 0.01 кг×м2 C23 = 0 D23=0.1 Н×м×с
J4 = 0.15 кг×м2 C34 =1×1020 Н×м/рад. D34=0.001 Н×м×с
J5 = 1 кг×м2 C45 =1×103 Н×м/рад. D45=0.01 Н×м×с
К = 1000
Варьируем С45 = 102 ... 106 H×м/рад.
Передаточная функция при этом имеет вид:
k × kw×( T32 × s2 +2×x3×T3×s +1)
Wp(s)= (13)
s × (T1×s+1)×( T22 × s2 +2×x2×T2×s +1)
Влияние жесткости крепления стабилизируемого объекта к платформе на передаточную функцию Wp(s) приведено в Табл.4.
Табл.4.
|
C45 |
T1 (w1) |
T2 (w2) |
x2 |
T3 (w3) |
x3 |
kw |
|
102 |
11.6 (0.086) |
0.037(27) |
0.011 |
0.1 (10) |
5×10-4 |
15 |
|
103 |
11.6 (0.086) |
0.012(85) |
0.0036 |
0.032(31.3) |
1.6×10-4 |
15 |
|
104 |
11.6 (0.086) |
0.0037(270) |
0.0011 |
0.01(100) |
5×10-5 |
15 |
|
105 |
11.6 (0.086) |
1.2×10-3(850) |
0.00036 |
3.2×10-3(313) |
1.6×10-5 |
15 |
Влияние демпфирования в креплении стабилизируемого объекта к платформе на передаточную функцию Wp(s) приведено в Табл.5. Коэффициент демпфирования изменяется в пределах D45=0.001 ... 0.1 Н×м×с, при постоянной жесткости крепления объекта к платформе равной C45=1000 H×м/рад =const.
Табл.5.
|
D45 |
T1 (w1) |
T2 (w2) |
x2 |
T3 (w3) |
x3 |
kw |
|
0.001 |
11.6 (0.086) |
0.012(85) |
0.0032 |
0.032 (31.3) |
2.7×10-14 |
15 |
|
0.01 |
11.6 (0.086) |
0.012(85) |
0.0036 |
0.032(31.3) |
1.6×10-4 |
15 |
|
0.1 |
11.6 (0.086) |
0.012(85) |
0.0074 |
0.032(31.3) |
1.6×10-3 |
15 |
Как видно из Табл.4. и 5., нежесткость крепления объекта к платформе вызывает появление в составе ЛАХ двух звеньев: колебательного и антиколебательного, причем антиколебательное звено всегда расположено в области более низких частот, чем колебательное. Это влечет появление в ЛАХ участка с наклоном в 0 Дб/дек., который в случае его расположения до частоты среза, увеличивает частоту среза, что вызывает трудности в технической реализации такой системы стабилизации. Демпфирование в креплении объекта к платформе влияет только на удельные коэффициенты демпфирования x2, x3 в колебательном и антиколебательном звеньях, причем особенно сильно изменяется x3.
4) ГС с “нежестким” креплением статора двигателя стабилизации к наружной раме (задняя нежесткость).
Параметры модели:
J1 = 0.25 кг×м2 C01 = 1×1020 Н×м/рад. D01= 0.001 Н×м×с
J2 = 0.03 кг×м2 C12 = 1×103 Н×м/рад. D12= 0.001 Н×м×с
J3 = 0.01 кг×м2 C23 = 0 D23=0.1 Н×м×с
J4 = 0.15 кг×м2 C34 =1×1020 Н×м/рад. D34=0.001 Н×м×с
J5 = 1 кг×м2 C45 =1×1020 Н×м/рад. D45=0.01 Н×м×с
К = 1000
Варьируем С12 = 102 ... 106 H×м/рад.
Передаточная функция при этом имеет вид:
k × kw×( T32 × s2 +2×x3×T3×s +1)
Wp(s)= (14)
s × (T1×s+1)×( T22 × s2 +2×x2×T2×s +1)
Варьируем С12 (при D12=0.001 Н×м×с=const), результаты приведены в Табл.6.
Табл.6.
|
C12 |
T1 |
T2 |
x2 |
T3 |
x3 |
kw |
|
102 |
11.6 |
0.017 |
0.03 |
0.017 |
0.0003 |
15 |
|
103 |
11.6 |
0.0055 |
0.0092 |
0.0055 |
9.1×10-5 |
15 |
|
104 |
11.6 |
0.0017 |
0.003 |
0.0017 |
2.9×10-5 |
15 |
|
105 |
11.6 |
0.00055 |
.00092 |
.00055 |
9.1×10-6 |
15 |
Варьируем D12 (при С12=1000 H×м/рад = const.), результаты приведены в Табл.7.
Табл.7.
|
D12 |
T1/w1 |
T2 / w2 |
x2 |
T3 / w3 |
x3 |
kw |
|
10-4 |
11.6 |
0.0055 |
0.0092 |
0.0055 |
8.3×10-14 |
15 |
|
10-3 |
11.6 |
0.0055 |
0.0092 |
0.0055 |
9.1×10-5 |
15 |
|
10-2 |
11.6 |
0.0055 |
0.01 |
0.0055 |
0.00091 |
15 |
Как видно из Табл.6, нежесткость крепления статора двигателя стабилизации к основанию, приводит к появлению в составе передаточной функции Wp(s) колебательного и антиколебательного звеньев с одинаковыми постоянными времени и различными коэффициентами демпфирования. Т.к. постоянные времени этих звеньев одинаковы, то наличие “задней” нежесткости никак не отражается на виде ЛАХ, однако различия этих звеньев в коэффициентах демпфирования влекут разную скорость “переключения” фазы в каждом звене, что вызывает появление незначительных по амплитуде выбросов на фазо-частотной характеристике.
5) ГС с “нежесткой” наружной рамкой.
Исходные параметры модели:
J1 = 0.25 кг×м2 C01 = 1×103 Н×м/рад. D01= 0.001 Н×м×с
J2 = 0.03 кг×м2 C12 = 1×103 Н×м/рад. D12= 0.001 Н×м×с
J3 = 0.01 кг×м2 C23 = 0 D23=0.1 Н×м×с
J4 = 0.15 кг×м2 C34 =1×1020 Н×м/рад. D34=0.001 Н×м×с
J5 = 1 кг×м2 C45 =1×1020 Н×м/рад. D45=0.01 Н×м×с
К = 1000
Варьируем С01,С12 = 102 ... 106 H×м/рад.
Передаточная функция при этом имеет вид:
k × kw×( T42 × s2 +2×x4×T4×s +1) ×( T52 × s2 +2×x5×T5×s +1)
Wp(s)=
(14)
s × (T1×s+1)×( T22 × s2 +2×x2×T2×s +1) ×( T32 × s2 +2×x3×T3×s +1)
Вначале варьируем С01, при С12=const., результаты приведены в Табл.8.
Табл.8.
|
C01 |
T1 |
T2 |
x2 |
T3 |
x3 |
T4 |
x4 |
T5 |
x5 |
kw |
|
102 |
11.6 |
0.0052 |
0.0078 |
0.053 |
0.0097 |
0.0052 |
0.0001 |
0.053 |
1.8 10-13 |
15 |
|
103 |
11.6 |
0.0051 |
0.0076 |
0.017 |
0.0037 |
0.0051 |
9.7 10-5 |
0.017 |
1.76 10-13 |
15 |
|
104 |
11.6 |
0.0062 |
0.0074 |
0.0044 |
0.0022 |
0.0044 |
5.7 10-5 |
0.0062 |
4.8 10-5 |
15 |
|
105 |
11.6 |
0.0055 |
0.0093 |
0.0016 |
9.4 10-6 |
0.0055 |
8.9 10-5 |
0.0016 |
4.37 10-13 |
15 |
Далее варьируем С12, при С01=const., результаты - в Табл.9.
Табл.9.
|
C12 |
T1 |
T2 |
x2 |
T3 |
x3 |
T4 |
x4 |
T5 |
x5 |
kw |
|
102 |
11.6 |
0.0196 |
0.023 |
0.014 |
0.0069 |
0.0196 |
1.5 10-4 |
0.014 |
1.8 10-4 |
15 |
|
104 |
11.6 |
0.0016 |
0.0025 |
0.017 |
0.0031 |
0.0016 |
3.1 10-5 |
0.017 |
1.8 10-13 |
15 |
|
105 |
11.6 |
.00052 |
.00078 |
0.017 |
0.003 |
.00052 |
0.9 10-5 |
0.017 |
1.8 10-13 |
15 |
Варьируя последовательно D01 и D12 выявляем степень их влияния на Ti, при С01=С12=1000 H×м/рад = const. (Табл.10,11)
Табл.10.
|
D01 |
T1/w1 |
T2 / w2 |
x2 |
T3 / w3 |
x3 |
T4 / w4 |
x4 |
T5 / w5 |
x5 |
kw |
|
10-4 |
11.6 |
0.0051 |
0.0076 |
0.0168 |
0.0037 |
0.0051 |
9.6×10-5 |
0.0168 |
2× 10-14 |
15 |
|
10-3 |
11.6 |
0.0051 |
0.0076 |
0.0168 |
0.0037 |
0.0051 |
9.7×10-5 |
0.0168 |
17× 10-14 |
15 |
|
10-2 |
11.6 |
0.0051 |
0.0076 |
0.0168 |
0.004 |
0.0051 |
11×10-5 |
0.0168 |
.0003 |
15 |
|
10-1 |
11.6 |
0.0051 |
0.0076 |
0.0168 |
0.007 |
0.0051 |
23×10-5 |
0.0168 |
.0003 |
15 |
Табл.11.
|
D12 |
T1/w1 |
T2 / w2 |
x2 |
T3 / w3 |
x3 |
T4 / w4 |
x4 |
T5 / w5 |
x5 |
kw |
|
10-4 |
11.6 |
0.0051 |
0.0075 |
0.0168 |
0.0037 |
0.0051 |
1.1×10-5 |
0.0168 |
9× 10-6 |
15 |
|
10-2 |
11.6 |
0.0051 |
0.0084 |
0.0168 |
0.0037 |
0.0051 |
9.6×10-4 |
0.0168 |
2× 10-13 |
15 |
|
10-1 |
11.6 |
0.0051 |
0.017 |
0.0168 |
0.0037 |
0.0051 |
9.6×10-3 |
0.0168 |
4.2× 10-13 |
15 |
Как видно из таблиц 8 и 9, нежесткая “задняя” рамка (с двумя нежесткостями С01 и С12) приводит к появлению двух пар колебательных и антиколебательных звеньев, имеющих одинаковые постоянные времени, что приводит к их взаимной компенсации и, следовательно, влияние этих звеньев на вид ЛАХ практически отсутствует. Однако на ФЧХ будут присутствовать “выбросы” фазы, причина которых - различия коэффициентов демпфирования в компенсирующих друг друга колебательном и антиколебательном звеньях.
Вид ЛАХ в случае “нежесткой” задней рамки для исходных параметров модели следующий:



Таким образом, ЛАХ модели с базовыми параметрами:
J1 = 0.25 кг×м2 C01 = 1×103 Н×м/рад. D01= 0.001 Н×м×с
J2 = 0.03 кг×м2 C12 = 1×103 Н×м/рад. D12= 0.001 Н×м×с
J3 = 0.01 кг×м2 C23 = 0 D23=0.1 Н×м×с
J4 = 0.15 кг×м2 C34 =1×104 Н×м/рад. D34=0.001 Н×м×с
J5 = 1 кг×м2 C45 =1×103 Н×м/рад. D45=0.01 Н×м×с
К = 1000
имеет следующий вид.






от нежесткости от “задней” от нежесткости
крепления объекта нежесткости редуктора
После предварительного рассмотрения влияния параметров модели на поведение ЛАХ, можно сделать следующие выводы:
1) В практических расчетах каждую нежесткость возможно рассматривать изолировано от других, т.к. при “типовых” параметрах ГС каждая такая нежесткость определяет звенья разнесенные по оси частот на некоторое расстояние и, поэтому, не влияющие друг на друга;
2) Из 1) следует, что влияние нежесткости редуктора на ЛАХ можно проводить основываясь на известных формулах, выведенных для более простой модели ГС, учитывающей только одну нежесткость редуктора;
3) В практических расчетах влиянием “задней” нежесткости можно пренебречь, т.к. она не изменяет вида ЛАХ из-за того, что колебательные и антиколебательные звенья взаимно компенсируют друг друга.
4) Нежесткость крепления объекта стабилизации к платформе вызывает появление на ЛАХ участка на котором характеристика “поднимается” на +40 Дб/дек. из-за появления в передаточной функции колебательного и антиколебательного звеньев, разнесенных по оси частот. Это не влияет на устойчивость системы стабилизации, но затрудняет её техническую реализацию из-за резко возрастающей частоты среза системы.
Таким образом, целесообразно подробнее рассмотреть влияние нежесткости крепления объекта стабилизации к платформе на поведние ЛАХ, при расположении чувствительного элемента на платформе и нежестком редукторе.
Для этого случая базовая модель имеет следующие значения параметров:
J1 = 0.25 кг×м2 C01 = 1×1030 Н×м/рад. D01= 0.001 Н×м×с
J2 = 0.03 кг×м2 C12 = 1×1030 Н×м/рад. D12= 0.001 Н×м×с
J3 = 0.01 кг×м2 C23 = 0 D23=0.1 Н×м×с
J4 = 0.15 кг×м2 C34 =1×104 Н×м/рад. D34=0.001 Н×м×с
J5 = 1 кг×м2 C45 =1×103 Н×м/рад. D45=0.01 Н×м×с
К = 1000
Варьируем следующие переменные: J3, J4, J5, C34, C45, D34, D45, при фиксированых значениях остальных параметров, равных базовым. Все единицы в СИ.
Передаточная функция для данной модели имеет вид:
k × kw×( T42 × s2 +2×x4×T4×s +1)
Wp(s)=
(15)
s × (T1×s+1)×( T22 × s2 +2×x2×T2×s +1) ×( T32 × s2 +2×x3×T3×s +1)
1) Влияние изменений моментов инерции тел.
a) Варьируем J3 (момент инерции ротора двигателя стабилизации):
Табл.12.
|
J3 |
T1 |
T2 |
T3 |
x2 |
x3 |
T4 |
x4 |
kw |
|
0.001 |
11.51 |
0.01145 |
0.000315 |
0.003737 |
0.015813 |
0.031623 |
0.000158 |
1.5 |
|
0.005 |
11.55 |
0.01159 |
0.000700 |
0.003691 |
0.006803 |
0.031623 |
0.000158 |
7.5 |
|
0.01 |
11.60 |
0.01175 |
0.000970 |
0.003634 |
0.004588 |
0.031623 |
0.000158 |
15 |
|
0.05 |
12.00 |
0.01295 |
0.001930 |
0.003206 |
0.001472 |
0.031623 |
0.000158 |
75 |
|
0.1 |
12.50 |
0.01426 |
0.002430 |
0.002766 |
0.000760 |
0.031623 |
0.000158 |
150 |
Характер изменения постоянных времени колебательных звеньев Т2, Т3, Т4 и коэффициента демпфирования в этих звеньях, представлен на графиках (Т3, d3 относятся к редуктору; T2, T4, d2, d4 - к креплению телекамеры):

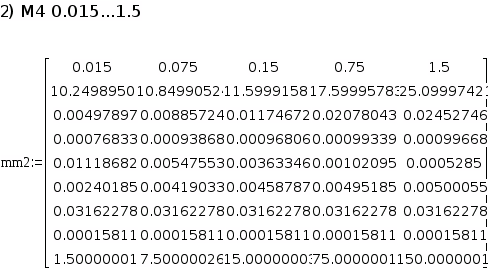
б) Варьируем J4 (момент инерции платформы):
Табл.13.
|
J4 |
T1 |
T2 |
T3 |
x2 |
x3 |
T4 |
x4 |
kw |
|
0.015 |
10.24990 |
0.004979 |
0.000768 |
0.011187 |
0.002402 |
0.031623 |
0.000158 |
1.5 |
|
0.075 |
10.84991 |
0.008857 |
0.000939 |
0.005476 |
0.004190 |
0.031623 |
0.000158 |
7.5 |
|
0.15 |
11.59992 |
0.011747 |
0.000968 |
0.003633 |
0.004588 |
0.031623 |
0.000158 |
15 |
|
0.75 |
17.59996 |
0.020780 |
0.000993 |
0.001021 |
0.004952 |
0.031623 |
0.000158 |
75 |
|
1.5 |
25.09997 |
0.024527 |
0.000997 |
0.000529 |
0.005001 |
0.031623 |
0.000158 |
150 |
Т3, d3 - от “редуктора”; T2, T4, d2, d4 - от крепления телекамеры.

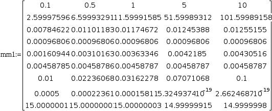
в) Варьируем J5 (момент инерции телекамеры):
Табл.14.
|
J5 |
T1 |
T2 |
T3 |
x2 |
x3 |
T4 |
x4 |
kw |
|
0.1 |
2.599976 |
0.007846 |
0.000968 |
0.001609 |
0.004588 |
0.01 |
0.0005 |
15.00000 |
|
0.5 |
6.599933 |
0.011012 |
0.000968 |
0.003102 |
0.004588 |
0.022361 |
0.000224 |
15.00000 |
|
1 |
11.59992 |
0.011747 |
0.000968 |
0.003634 |
0.004588 |
0.031623 |
0.000158 |
15.00000 |
|
5 |
51.59989 |
0.012454 |
0.000968 |
0.004219 |
0.004588 |
0.070711 |
0.000000 |
15.00000 |
|
10 |
101.5999 |
0.012552 |
0.000968 |
0.004305 |
0.004588 |
0.1 |
0.000000 |
14.99999 |
Т3, d3 - от “редуктора”; T2, T4, d2, d4 - от крепления телекамеры.

Из Табл.12...14 видно, что моменты инерции каждого из элементов модели сильно влияют только на одну из постоянных времени мало изменяя другие, поэтому в практических расчетах их можно считать независимыми.
2) Влияние нежесткостей редуктора С34 и крепления телекамеры к платформе С45.
а) Варьируем C34 (нежесткость редуктора):
Табл.15.
|
C34 |
T1 |
T2 |
T3 |
x2 |
x3 |
T4 |
x4 |
kw |
|
100 |
11.59894 |
0.012303 |
0.009243 |
0.020021 |
0.031623 |
0.031623 |
0.000158 |
15.00000 |
|
500 |
11.59973 |
0.011797 |
0.004311 |
0.004659 |
0.020062 |
0.031623 |
0.000158 |
15.00000 |
|
1000 |
11.59983 |
0.011769 |
0.003056 |
0.004070 |
0.014370 |
0.031623 |
0.000158 |
15.00000 |
|
5000 |
11.59991 |
0.011749 |
0.001367 |
0.003678 |
0.006482 |
0.031623 |
0.000158 |
15.00000 |
|
10000 |
11.59992 |
0.011747 |
0.000968 |
0.003634 |
0.004588 |
0.031623 |
0.000158 |
15.00000 |
|
50000 |
11.59992 |
0.011745 |
0.000433 |
0.003598 |
0.002053 |
0.031623 |
0.000158 |
15.00000 |
|
100000 |
11.59993 |
0.011745 |
0.000306 |
0.003594 |
0.001452 |
0.031623 |
0.000158 |
15.00000 |
Т3, d3 - от “редуктора”; T2, T4, d2, d4 - от крепления телекамеры.

б) Варьируем C45 (нежесткость крепления телекамеры):
Табл.16.
|
C45 |
T1 |
T2 |
T3 |
x2 |
x3 |
T4 |
x4 |
kw |
|
100 |
11.59925 |
0.037141 |
0.000968 |
0.011366 |
0.004592 |
0.1 |
0.0005 |
15.00000 |
|
500 |
11.59984 |
0.016611 |
0.000968 |
0.005107 |
0.004590 |
0.044721 |
0.000224 |
15.00000 |
|
1000 |
11.59992 |
0.011747 |
0.000968 |
0.003634 |
0.004588 |
0.031623 |
0.000158 |
15.00000 |
|
5000 |
11.59998 |
0.005258 |
0.000967 |
0.001707 |
0.004569 |
0.014142 |
0.000071 |
15.00000 |
|
10000 |
11.59998 |
0.003722 |
0.000966 |
0.001287 |
0.004544 |
0.001 |
0.000050 |
15.00000 |
Т3, d3 - от “редуктора”; T2, T4, d2, d4 - от крепления телекамеры.

Из Табл.15,16 видно, что изменение нежесткости редуктора сильно меняет параметры только одного колебательного звена, появление которого вызвано нежесткостью редуктора, при этом параметры других звеньев практически не изменяются. Аналогично, нежесткость крепления телекамеры практически не влияет на колебательное звено появление которого вызывается нежесткостью редуктора. Это подтверждает вывод о том, что “колебательности” редуктора и крепления телекамеры можно рассматривать независимо.
3) Влияние демпфирования в редукторе D34 и элементах крепления телекамеры D45.
а) Варьируем D34 (редуктор):
Табл.17.
|
D34 |
T1 |
T2 |
T3 |
x2 |
x3 |
T4 |
x4 |
kw |
|
0.0001 |
11.59992 |
0.011747 |
0.000968 |
0.003624 |
0.004541 |
0.031623 |
0.000158 |
150 |
|
0.0005 |
11.59992 |
0.011747 |
0.000968 |
0.003624 |
0.004562 |
0.031623 |
0.000158 |
30 |
|
0.001 |
11.59992 |
0.011747 |
0.000968 |
0.003624 |
0.004588 |
0.031623 |
0.000158 |
15 |
|
0.005 |
11.59992 |
0.011747 |
0.000968 |
0.003624 |
0.004794 |
0.031623 |
0.000158 |
3 |
|
0.01 |
11.59992 |
0.011747 |
0.000968 |
0.003624 |
0.005053 |
0.031623 |
0.000158 |
1.5 |
Т3, d3 - от “редуктора”; T2, T4, d2, d4 - от крепления телекамеры.

б) Варьируем D45 (крепление телекамеры):
Табл.18.
|
D45 |
T1 |
T2 |
T3 |
x2 |
x3 |
T4 |
x4 |
kw |
|
0.001 |
11.59992 |
0.011747 |
0.000968 |
0.003251 |
0.004586 |
0.031623 |
2.66×10-19 |
15.00000 |
|
0.005 |
11.59992 |
0.011747 |
0.000968 |
0.003421 |
0.004587 |
0.031623 |
0.000079 |
15.00000 |
|
0.01 |
11.59992 |
0.011747 |
0.000968 |
0.003634 |
0.004588 |
0.031623 |
0.000158 |
15.00000 |
|
0.05 |
11.59992 |
0.011747 |
0.000968 |
0.005335 |
0.004596 |
0.031623 |
0.000791 |
15.00000 |
|
0.1 |
11.59992 |
0.011747 |
0.000968 |
0.007463 |
0.004606 |
0.031623 |
0.001581 |
15.00000 |
Т3, d3 - от “редуктора”; T2, T4, d2, d4 - от крепления телекамеры.

Из Табл.17,18 видно, что вариации коэффициента демпфирования в редукторе и креплении телекамеры не влияют на постоянные времени звеньев и, кроме того демпфирование в редукторе не влияет на коэффициенты демпфирования в колебательных звеньях, вызываемых нежестким креплением телекамеры, и, наоборот, изменение демпфирования в креплении телекамеры не влияет на коэффициент демпфирования в колебательном звене “от редуктора”.
Таким образом, можно сделать вывод, что в практических расчетах влияние нежесткостей редуктора и крепления телекамеры можно рассматривать независимо друг от друга.
Для частного случая, учитывающего только влияние нежесткости крепления объекта стабилизации к платформе на ЛАХ, возможно получение выражения для передаточной функции в символьном виде.
Для этого рассмотрим модель с “жестким” редуктором, т.е. полагая, что С34 бесконечно велико, и не учитывая нежесткость наружной рамы. Тогда базовая модель будет включать в себя только следующие элементы:

Рис.2.
J3 = 0.01 кг×м2 - ротор;
J4 = 0.15 кг×м2 -платформа;
J5 = 1 кг×м2 - телекамера;
C45 =1×103 Н×м/рад. - нежесткость крепления телекамеры;
D23=0.1 Н×м×с - демпфирование в двигателе стабилизации;
D45=0.01 Н×м×с - демпфирование в креплении телекамеры;
К = 1000 - коэффициент передачи цепи обратной
связи.
В этом случае уравнения движения модели (1) с учетом того, что x3=x4 имеют следующий вид:
(J3+J4)×x4''+D23×x4'-D45×(x5'-x4')-C45×(x5-x4)=-K×x4 (16)
J5×x5''+D45×(x5'-x4')+C45×(x5-x4) = 0
Переписав в операторной форме и преобразовав, получим:
((J3+J4)×s2+D23×s +D45×s+C45)×x4-(D45×s+C45)×x5=-K×x4 (17)
(J5×s2+D45×s+C45)×x5-(D45×s+C45)×x4=0
Для нахождения передаточной функции разомкнутой системы по управляющему воздействию Wp(s) составим два определителя: главный - D, и характеризующий входное воздействие D1.


((J3+J4)×s2+D23×s +D45×s+C45) -(D45×s+C45)
D = (18)
-(D45×s+C45) (J5×s2+D45×s+C45)

-K×x4 -(D45×s+C45)
D1 = (19)
0 (J5×s2+D45×s+C45)
Передаточная функция разомкнутой системы определяется как:
D1
Wp(s) =
= (20)
D×x4
-K×(J5×s2+D45×s+C45)
=
J5×(J3+J4)×s4+(D23×J5+D45×(J3+J4+J5))×s3+(C45×(J3+J4+J5)+D23×D45)×s2+C45×D23×s
Пусть передаточная функция Wp(s) представляется в виде следующего выражения:
-Kp×( T12 × s2 +2×x1×T1×s +1)
Wp(s)= (21)
s × (T3×s+1)×( T22 × s2 +2×x2×T2×s +1)
Раскрывая скобки в (21), получаем:
-Kp×( T12 × s2 +2×x1×T1×s +1)
Wp(s)= (22)
T22×T3×s4+(T22+2×x2×T2×T3)×s3+(2×x2×T2+T3)×s2+s
Приравнивая члены при одинаковых степенях s в выражениях (20) и (22), получаем следующую систему уравнений:
T22×T3 = J5×(J3+J4)/(C45×D23)
T22+2×x2×T2×T3 = (D23×J5+D45×(J3+J4+J5))/(C45×D23) (23)
2×x2×T2+T3 = ((J3+J4+J5)×C45+D23×D45)/(C45×D23)
Kp = K/D23
Решая систему уравнений (23), определим постоянные времени звеньев входящих в передаточную функцию Wp(s) (21):
J5
T1
=
C45
J5×(J3+J4)
T2
= (24)
(J3+J4+J5)×C45+D23×D45
J3+J4+J5 D45

T3
= ×
D23 C45
Расчет постоянных времени передаточной функции проведенный по формулам (24) дает результат совпадающий с расчетом выполненныи с помощью численных методов.
Выводы сделаные ранее возможно представить в более общем виде. Модель приведенную на Рис.1 можно обобщить, представив ее в виде нескольких упруго-массовых элементов, соединенных последовательно и охваченных цепью обратной связи. Вид такой модели приведен на Рис.3.

Рис. 3.
здесь УМЭ - упруго-массовый элемент.
Выводы:
1) Каждая колебательная система (C>ij>-D>ij>-J>j>) в УМЭ>1> (т.е. “слева” от контура стабилизации) приводит к появлению в передаточной функции разомкнутой системы Wp(s) пары из колебательного и антиколебательного звеньев имеющих одинаковые постоянные времени. Эти звенья взаимно компенсируют друг друга и, поэтому влияния на поведение ЛАХ практически не оказывют, однако из-за различия в коэффициентах демпфирования в этих звеньях, возникают выбросы на фазочастотной характеристике.
2) Колебательные системы в УМЭ>2>, (т.е. “внутри” контура стабилизации) вызывают появление в Wp(s) колебательных звеньев.
3) Колебательные системы в УМЭ>3>, т.е. находящиеся “за” чувствительным элементом, вызывают появление в Wp(s) пары из колебательного и антиколебательного звеньев постоянные времени которых, однако, не совпадают, причем антиколебательное звено всегда расположено на оси частот левее, чем колебательное, поэтому всегда имеет место местный “подъем” ЛАХ на +40 Дб/дек.
Программа построения ЛАХ непосредственным образом, без разложения на элементарные звенья.


Программа определения корней полиномов числителя и знаменателя передаточной функции и построения ЛАХ по передаточной функции, состоящей из элементарных звеньев.

Вычисляю корни полиномов a>i> , b>1 >передаточной функции:
W(s) = (1/s)*(-K)*((b7*s7+b6*s6 + ... +b0)/(a9*s9 + a8*s8 + ... + a0))
Ввод 0,1,2....9
aa0:=........
aa1:=........
aa2:=........
aa3:=........
aa4:=........
aa5:=........
aa6:=........
aa7:=........
aa8:=........ (....... - выражения для aa>i>, bb>i> см. записку)
aa9:=........
bb0:=........
bb1:=........
bb2:=........
bb3:=........
bb4:=........
bb5:=........
bb6:=........
bb7:=........

Определяю постоянные времени Т>i> (проверяй отрицательность действительной части).
Корни полиномов А и В следующие.




Программа вывода графических зависимостей для переменных входящих в состав передаточной функции.










сс34:=















; Рабочая программа для пакета "DERIVE" для случая 1) - неподвижного основания.
; Входные данные.
; Условия неподвижности основания.
WX0:=0
WY0:=0
WZ0:=0
WX01:=0
WY01:=0
WZ01:=0
IYX1:=ixy1
IYX2:=ixy2
IZX1:=ixz1
IZX2:=ixz2
IZY1:=iyz1
IZY2:=iyz2
; Выражения для угловых скоростей.
WX1:=WX0 * COS(alfa) - WZ0 * SIN(alfa)
WY1:=WX1 * TAN(beta) + wy2 / COS(beta)
WZ1:=WX0 * SIN(alfa) + WZ0 * COS(alfa)
WX11:=WX01 * COS(alfa) - WZ01 * SIN(alfa)
WY11:=WX11 * TAN(beta) + wy21 / COS(beta)
WZ11:=WX01 * SIN(alfa) + WZ01 * COS(alfa)
WX2:=WX1 * COS(beta) + WY1 * SIN(beta)
WX21:=WX11 * COS(beta) + WY11 * SIN(beta)
; Выражения для моментов количества движения.
QX1:=ix1 * WX1 - ixy1 * WY1 - ixz1 * WZ1
QY1:=iy1 * WY1 - IYX1 * WX1 - iyz1 * WZ1
QZ1:=iz1 * WZ1 - IZX1 * WX1 - IZY1 * WY1
QX2:=ix2 * WX2 - ixy2 * wy2 - ixz2 * wz2
QY2:=iy2 * wy2 - IYX2 * WX2 - iyz2 * wz2
QZ2:=iz2 * wz2 - IZX2 * WX2 - IZY2 * wy2
QY11:=iy1 * WY11 - IYX1 * WX11 - iyz1 * WZ11
QX21:=ix2 * WX21 - ixy2 * wy21 - ixz2 * wz21
QY21:=iy2 * wy21 - IYX2 * WX21 - iyz2 * wz21
QZ21:=iz2 * wz21 - IZX2 * WX21 - IZY2 * wy21
; Выражения для возмущающих моментов.
MY1:=QY11 - QZ1 * WX1 + QX1 * WZ1
MX2:=QX21 - QY2 * wz2 + QZ2 * wy2
MY2:=QY21 - QZ2 * WX2 + QX2 * wz2
MZ2:=QZ21 - QX2 * wy2 + QY2 * WX2
MY1IN:=MY1 + MX2 * SIN(beta) + MY2 * COS(beta)
; Блок решения.
; Упрощение выражения для Mz2.
MZ2:= - ix2 * wy2^2 * TAN(beta) - ixz2 * wy21 * TAN(beta) + iy2 * wy2^2 * TAN(beta) - iyz2 * wy2 * wz2 * TAN(beta) - ixy2 * wy2^2 * TAN(beta)^2 + ixy2 * wy2^2 + ixz2 * wy2 * wz2 - iyz2 * wy21 + iz2 * wz21
; Упрощение выражения для My1.
MY1IN:= - ixy2 * wy2 * wz2 * COS(beta) - ixz2 * wz2^2 * COS(beta) + iy2 * wy21 * COS(beta) - iyz2 * wz21 * COS(beta) + ix2 * wy21 * SIN(beta)^2 / COS(beta) + ixy2 * wy2 * wz2 * SIN(beta)^2 / COS(beta) + iy1 * wy21 / COS(beta) + ix2 * wy2 * wz2 * SIN(beta) - 2 * ixy2 * wy21 * SIN(beta) - ixz2 * wz21 * SIN(beta) - iy2 * wy2 * wz2 * SIN(beta) + iyz2 * wz2^2 * SIN(beta)
; Рабочая программа для пакета "DERIVE" для случая 2) - неподвижной платформы.
; Входные данные.
; Условия неподвижности платформы.
WY2:=0
WY21:=0
WZ2:=0
WZ21:=0
IYX1:=ixy1
IYX2:=ixy2
IZX1:=ixz1
IZX2:=ixz2
IZY1:=iyz1
IZY2:=iyz2
; Выражения для угловых скоростей.
WX1:=wx0 * COS(alfa) - wz0 * SIN(alfa)
WY1:=WX1 * TAN(beta) + WY2 / COS(beta)
WZ1:=wx0 * SIN(alfa) + wz0 * COS(alfa)
WX11:=wx01 * COS(alfa) - wz01 * SIN(alfa)
WY11:=WX11 * TAN(beta) + WY21 / COS(beta)
WZ11:=wx01 * SIN(alfa) + wz01 * COS(alfa)
WX2:=WX1 * COS(beta) + WY1 * SIN(beta)
WX21:=WX11 * COS(beta) + WY11 * SIN(beta)
; Выражения для моментов количества движения.
QX1:=ix1 * WX1 - ixy1 * WY1 - ixz1 * WZ1
QY1:=iy1 * WY1 - IYX1 * WX1 - iyz1 * WZ1
QZ1:=iz1 * WZ1 - IZX1 * WX1 - IZY1 * WY1
QX2:=ix2 * WX2 - ixy2 * WY2 - ixz2 * WZ2
QY2:=iy2 * WY2 - IYX2 * WX2 - iyz2 * WZ2
QZ2:=iz2 * WZ2 - IZX2 * WX2 - IZY2 * WY2
QY11:=iy1 * WY11 - IYX1 * WX11 - iyz1 * WZ11
QX21:=ix2 * WX21 - ixy2 * WY21 - ixz2 * WZ21
QY21:=iy2 * WY21 - IYX2 * WX21 - iyz2 * WZ21
QZ21:=iz2 * WZ21 - IZX2 * WX21 - IZY2 * WY21
; Выражения для возмущающих моментов.
MY1:=QY11 - QZ1 * WX1 + QX1 * WZ1
MX2:=QX21 - QY2 * WZ2 + QZ2 * WY2
MY2:=QY21 - QZ2 * WX2 + QX2 * WZ2
MZ2:=QZ21 - QX2 * WY2 + QY2 * WX2
MY1IN:=MY1 + MX2 * SIN(beta) + MY2 * COS(beta)
; Блок решения.
; Упрощение выражения для Mz2.
MZ2:=ixy2 * wx0^2 * COS(beta)^2 * COS(alfa)^2 - ixy2 * wx0^2 * SIN(beta)^4 * COS(alfa)^2 / COS(beta)^2 - 2 * ixy2 * wx0^2 * COS(alfa)^2 - 2 * ixy2 * wx0 * wz0 * COS(beta)^2 * SIN(alfa) * COS(alfa) + 2 * ixy2 * wx0 * wz0 * SIN(beta)^4 * SIN(alfa) * COS(alfa) / COS(beta)^2 + 4 * ixy2 * wx0 * wz0 * SIN(alfa) * COS(alfa) - ixz2 * wx01 * COS(beta) * COS(alfa) - ixz2 * wx01 * SIN(beta)^2 * COS(alfa) / COS(beta) + ixy2 * wz0^2 * COS(beta)^2 * SIN(alfa)^2 - ixy2 * wz0^2 * SIN(beta)^4 * SIN(alfa)^2 / COS(beta)^2 - 2 * ixy2 * wz0^2 * SIN(alfa)^2 + ixz2 * wz01 * COS(beta) * SIN(alfa) + ixz2 * wz01 * SIN(beta)^2 * SIN(alfa) / COS(beta)
; Упрощение выражения для My1.
MY1IN:= - ixz2 * wx0^2 * COS(beta)^3 * COS(alfa)^2 + 2 * ixz2 * wx0^2 * COS(beta) * COS(alfa)^2 + ixz2 * wx0^2 * SIN(beta)^4 * COS(alfa)^2 / COS(beta) - ixy1 * wx0 * wz0 * TAN(beta) * COS(alfa)^2 + iyz1 * wx0^2 * TAN(beta) * COS(alfa)^2 + ix1 * wx0 * wz0 * COS(alfa)^2 + ixz1 * wx0^2 * COS(alfa)^2 - ixz1 * wz0^2 * COS(alfa)^2 - iz1 * wx0 * wz0 * COS(alfa)^2 + 2 * ixz2 * wx0 * wz0 * COS(beta)^3 * SIN(alfa) * COS(alfa) - 4 * ixz2 * wx0 * wz0 * COS(beta) * SIN(alfa) * COS(alfa) - 2 * ixz2 * wx0 * wz0 * SIN(beta)^4 * SIN(alfa) * COS(alfa) / COS(beta) - ixy1 * wx0^2 * TAN(beta) * SIN(alfa) * COS(alfa) + ixy1 * wz0^2 * TAN(beta) * SIN(alfa) * COS(alfa) - 2 * iyz1 * wx0 * wz0 * TAN(beta) * SIN(alfa) * COS(alfa) + ix1 * wx0^2 * SIN(alfa) * COS(alfa) - ix1 * wz0^2 * SIN(alfa) * COS(alfa) - 4 * ixz1 * wx0 * wz0 * SIN(alfa) * COS(alfa) - iz1 * wx0^2 * SIN(alfa) * COS(alfa) + iz1 * wz0^2 * SIN(alfa) * COS(alfa) + ix2 * wx01 * SIN(beta) * COS(beta) * COS(alfa) + ix2 * wx01 * SIN(beta)^3 * COS(alfa) / COS(beta) + iy1 * wx01 * TAN(beta) * COS(alfa) - ixy1 * wx01 * COS(alfa) - ixy2 * wx01 * COS(alfa) - iyz1 * wz01 * COS(alfa) - ixz2 * wz0^2 * COS(beta)^3 * SIN(alfa)^2 + 2 * ixz2 * wz0^2 * COS(beta) * SIN(alfa)^2 + ixz2 * wz0^2 * SIN(beta)^4 * SIN(alfa)^2 / COS(beta) + ixy1 * wx0 * wz0 * TAN(beta) * SIN(alfa)^2 + iyz1 * wz0^2 * TAN(beta) * SIN(alfa)^2 - ix1 * wx0 * wz0 * SIN(alfa)^2 - ixz1 * wx0^2 * SIN(alfa)^2 + ixz1 * wz0^2 * SIN(alfa)^2 + iz1 * wx0 * wz0 * SIN(alfa)^2 - ix2 * wz01 * SIN(beta) * COS(beta) * SIN(alfa) - ix2 * wz01 * SIN(beta)^3 * SIN(alfa) / COS(beta) - iy1 * wz01 * TAN(beta) * SIN(alfa) + ixy1 * wz01 * SIN(alfa) + ixy2 * wz01 * SIN(alfa) - iyz1 * wx01 * SIN(alfa)
Рабочая программа для пакета "DERIVE" с проведенными предварительными вычислениями.
; Входные данные.
; Переприсвоение моментов инерции.
IYX1:=ixy1
IYX2:=ixy2
IZX1:=ixz1
IZX2:=ixz2
IZY1:=iyz1
IZY2:=iyz2
; Выражения для угловых скоростей.
WX1:=wx0 * COS(alfa) - wz0 * SIN(alfa)
WY1:=WX1 * TAN(beta) + wy2 / COS(beta)
WZ1:=wx0 * SIN(alfa) + wz0 * COS(alfa)
WX11:=wx01 * COS(alfa) - wz01 * SIN(alfa)
WY11:=WX11 * TAN(beta) + wy21 / COS(beta)
WZ11:=wx01 * SIN(alfa) + wz01 * COS(alfa)
WX2:=WX1 * COS(beta) + WY1 * SIN(beta)
WX21:=WX11 * COS(beta) + WY11 * SIN(beta)
; Выражения для моментов количества движения.
QX1:=ix1 * WX1 - ixy1 * WY1 - ixz1 * WZ1
QY1:=iy1 * WY1 - IYX1 * WX1 - iyz1 * WZ1
QZ1:=iz1 * WZ1 - IZX1 * WX1 - IZY1 * WY1
QX2:=ix2 * WX2 - ixy2 * wy2 - ixz2 * wz2
QY2:=iy2 * wy2 - IYX2 * WX2 - iyz2 * wz2
QZ2:=iz2 * wz2 - IZX2 * WX2 - IZY2 * wy2
QY11:=iy1 * WY11 - IYX1 * WX11 - iyz1 * WZ11
QX21:=ix2 * WX21 - ixy2 * wy21 - ixz2 * wz21
QY21:=iy2 * wy21 - IYX2 * WX21 - iyz2 * wz21
QZ21:=iz2 * wz21 - IZX2 * WX21 - IZY2 * wy21
; Выражения для возмущающих моментов.
MY1:=QY11 - QZ1 * WX1 + QX1 * WZ1
MX2:=QX21 - QY2 * wz2 + QZ2 * wy2
MY2:=QY21 - QZ2 * WX2 + QX2 * wz2
MZ2:=QZ21 - QX2 * wy2 + QY2 * WX2
MY1IN:=MY1 + MX2 * SIN(beta) + MY2 * COS(beta)
; Блок решения.
; Раскрытие выражения для Mz2 по всем переменным.
MZ2:=ixy2 * wx0^2 * COS(beta)^2 * COS(alfa)^2 - ixy2 * wx0^2 * SIN(beta)^4 * COS(alfa)^2 / COS(beta)^2 - 2 * ixy2 * wx0^2 * COS(alfa)^2 - 2 * ixy2 * wx0 * wz0 * COS(beta)^2 * SIN(alfa) * COS(alfa) + 2 * ixy2 * wx0 * wz0 * SIN(beta)^4 * SIN(alfa) * COS(alfa) / COS(beta)^2 + 4 * ixy2 * wx0 * wz0 * SIN(alfa) * COS(alfa) - ix2 * wx0 * wy2 * COS(beta) * COS(alfa) - ixz2 * wx01 * COS(beta) * COS(alfa) + iy2 * wx0 * wy2 * COS(beta) * COS(alfa) - iyz2 * wx0 * wz2 * COS(beta) * COS(alfa) - ix2 * wx0 * wy2 * SIN(beta)^2 * COS(alfa) / COS(beta) - ixz2 * wx01 * SIN(beta)^2 * COS(alfa) / COS(beta) + iy2 * wx0 * wy2 * SIN(beta)^2 * COS(alfa) / COS(beta) - iyz2 * wx0 * wz2 * SIN(beta)^2 * COS(alfa) / COS(beta) - 2 * ixy2 * wx0 * wy2 * SIN(beta)^3 * COS(alfa) / COS(beta)^2 - 2 * ixy2 * wx0 * wy2 * SIN(beta) * COS(alfa) + ixy2 * wz0^2 * COS(beta)^2 * SIN(alfa)^2 - ixy2 * wz0^2 * SIN(beta)^4 * SIN(alfa)^2 / COS(beta)^2 - 2 * ixy2 * wz0^2 * SIN(alfa)^2 + ix2 * wy2 * wz0 * COS(beta) * SIN(alfa) + ixz2 * wz01 * COS(beta) * SIN(alfa) - iy2 * wy2 * wz0 * COS(beta) * SIN(alfa) + iyz2 * wz0 * wz2 * COS(beta) * SIN(alfa) + ix2 * wy2 * wz0 * SIN(beta)^2 * SIN(alfa) / COS(beta) + ixz2 * wz01 * SIN(beta)^2 * SIN(alfa) / COS(beta) - iy2 * wy2 * wz0 * SIN(beta)^2 * SIN(alfa) / COS(beta) + iyz2 * wz0 * wz2 * SIN(beta)^2 * SIN(alfa) / COS(beta) + 2 * ixy2 * wy2 * wz0 * SIN(beta)^3 * SIN(alfa) / COS(beta)^2 + 2 * ixy2 * wy2 * wz0 * SIN(beta) * SIN(alfa) - ix2 * wy2^2 * TAN(beta) - ixz2 * wy21 * TAN(beta) + iy2 * wy2^2 * TAN(beta) - iyz2 * wy2 * wz2 * TAN(beta) - ixy2 * wy2^2 * TAN(beta)^2 + ixy2 * wy2^2 + ixz2 * wy2 * wz2 - iyz2 * wy21 + iz2 * wz21
; Раскрытие скобок по всем переменным в выражении
; для My1.
MY1IN:= - ixz2 * wx0^2 * COS(beta)^3 * COS(alfa)^2 + 2 * ixz2 * wx0^2 * COS(beta) * COS(alfa)^2 + ixz2 * wx0^2 * SIN(beta)^4 * COS(alfa)^2 / COS(beta) - ixy1 * wx0 * wz0 * TAN(beta) * COS(alfa)^2 + iyz1 * wx0^2 * TAN(beta) * COS(alfa)^2 + ix1 * wx0 * wz0 * COS(alfa)^2 + ixz1 * wx0^2 * COS(alfa)^2 - ixz1 * wz0^2 * COS(alfa)^2 - iz1 * wx0 * wz0 * COS(alfa)^2 + 2 * ixz2 * wx0 * wz0 * COS(beta)^3 * SIN(alfa) * COS(alfa) - 4 * ixz2 * wx0 * wz0 * COS(beta) * SIN(alfa) * COS(alfa) - 2 * ixz2 * wx0 * wz0 * SIN(beta)^4 * SIN(alfa) * COS(alfa) / COS(beta) - ixy1 * wx0^2 * TAN(beta) * SIN(alfa) * COS(alfa) + ixy1 * wz0^2 * TAN(beta) * SIN(alfa) * COS(alfa) - 2 * iyz1 * wx0 * wz0 * TAN(beta) * SIN(alfa) * COS(alfa) + ix1 * wx0^2 * SIN(alfa) * COS(alfa) - ix1 * wz0^2 * SIN(alfa) * COS(alfa) - 4 * ixz1 * wx0 * wz0 * SIN(alfa) * COS(alfa) - iz1 * wx0^2 * SIN(alfa) * COS(alfa) + iz1 * wz0^2 * SIN(alfa) * COS(alfa) + ix2 * wx01 * SIN(beta) * COS(beta) * COS(alfa) + ixy2 * wx0 * wz2 * SIN(beta) * COS(beta) * COS(alfa) + ixz2 * wx0 * wy2 * SIN(beta) * COS(beta) * COS(alfa) + ix2 * wx01 * SIN(beta)^3 * COS(alfa) / COS(beta) + ixy2 * wx0 * wz2 * SIN(beta)^3 * COS(alfa) / COS(beta) + ixz2 * wx0 * wy2 * SIN(beta)^3 * COS(alfa) / COS(beta) + iy1 * wx01 * TAN(beta) * COS(alfa) - ixy1 * wy2 * wz0 * COS(alfa) / COS(beta) + iyz1 * wx0 * wy2 * COS(alfa) / COS(beta) + ix2 * wx0 * wz2 * COS(alfa) - ixy1 * wx01 * COS(alfa) - ixy2 * wx01 * COS(alfa) - iyz1 * wz01 * COS(alfa) + iyz2 * wx0 * wy2 * COS(alfa) - iz2 * wx0 * wz2 * COS(alfa) - ixz2 * wz0^2 * COS(beta)^3 * SIN(alfa)^2 + 2 * ixz2 * wz0^2 * COS(beta) * SIN(alfa)^2 + ixz2 * wz0^2 * SIN(beta)^4 * SIN(alfa)^2 / COS(beta) + ixy1 * wx0 * wz0 * TAN(beta) * SIN(alfa)^2 + iyz1 * wz0^2 * TAN(beta) * SIN(alfa)^2 - ix1 * wx0 * wz0 * SIN(alfa)^2 - ixz1 * wx0^2 * SIN(alfa)^2 + ixz1 * wz0^2 * SIN(alfa)^2 + iz1 * wx0 * wz0 * SIN(alfa)^2 - ix2 * wz01 * SIN(beta) * COS(beta) * SIN(alfa) - ixy2 * wz0 * wz2 * SIN(beta) * COS(beta) * SIN(alfa) - ixz2 * wy2 * wz0 * SIN(beta) * COS(beta) * SIN(alfa) - ix2 * wz01 * SIN(beta)^3 * SIN(alfa) / COS(beta) - ixy2 * wz0 * wz2 * SIN(beta)^3 * SIN(alfa) / COS(beta) - ixz2 * wy2 * wz0 * SIN(beta)^3 * SIN(alfa) / COS(beta) - iy1 * wz01 * TAN(beta) * SIN(alfa) - ixy1 * wx0 * wy2 * SIN(alfa) / COS(beta) - iyz1 * wy2 * wz0 * SIN(alfa) / COS(beta) - ix2 * wz0 * wz2 * SIN(alfa) + ixy1 * wz01 * SIN(alfa) + ixy2 * wz01 * SIN(alfa) - iyz1 * wx01 * SIN(alfa) - iyz2 * wy2 * wz0 * SIN(alfa) + iz2 * wz0 * wz2 * SIN(alfa) - ixy2 * wy2 * wz2 * COS(beta) - ixz2 * wz2^2 * COS(beta) + iy2 * wy21 * COS(beta) - iyz2 * wz21 * COS(beta) + ix2 * wy21 * SIN(beta)^2 / COS(beta) + ixy2 * wy2 * wz2 * SIN(beta)^2 / COS(beta) + iy1 * wy21 / COS(beta) + ix2 * wy2 * wz2 * SIN(beta) - 2 * ixy2 * wy21 * SIN(beta) - ixz2 * wz21 * SIN(beta) - iy2 * wy2 * wz2 * SIN(beta) + iyz2 * wz2^2 * SIN(beta)
Рабочая программа для пакета “DERIVE” определения коэффициентов при степенях s в полиноме знаменателя передаточной функции разомкнутой системы Wp(s).
; Входные данные.
; Определитель исходной матрицы.
DET([[m1 * s^2 + d01 * s + d12 * s + c01 + c12,- d12 * s - c12,0,0,0],
[ - d12 * s - c12, m2 * s^2 + d12 * s + d23 * s + c12, - d23 * s, 0, 0],
[0, - d23 * s, m3 * s^2 + (d23 + d34) * s + c34, - (d34 * s + c34), 0],
[0, 0, - (d34 * s + c34), m4 * s^2 + (d34 + d45) * s + (c34 + c45), - (d45 * s + c45)],
[0, 0, 0, - (d45 * s + c45), m5 * s^2 + d45 * s + c45]])
; Блок решения.
; Результат нахождения определителя.
m1 * m2 * m3 * m4 * m5 * s^10 + s^9 * (d01 * m2 * m3 * m4 * m5 + d12 * (m1 * m3 * m4 * m5 + m2 * m3 * m4 * m5) + m1 * (d23 * m4 * m5 * (m2 + m3) + m2 * (d34 * m5 * (m3 + m4) + d45 * m3 * (m4 + m5)))) + s^8 * (c01 * m2 * m3 * m4 * m5 + c12 * (m1 * m3 * m4 * m5 + m2 * m3 * m4 * m5) + c34 * m1 * m2 * m5 * (m3 + m4) + c45 * m1 * m2 * m3 * (m4 + m5) + d01 * (d12 * m3 * m4 * m5 + d23 * m4 * m5 * (m2 + m3) + m2 * (d34 * m5 * (m3 + m4) + d45 * m3 * (m4 + m5))) + d12 * (d23 * (m1 * m4 * m5 + m4 * m5 * (m2 + m3)) + (m1 + m2) * (d34 * m5 * (m3 + m4) + d45 * m3 * (m4 + m5))) + m1 * (d23 * (d34 * m5 * (m2 + m3 + m4) + d45 * (m4 + m5) * (m2 + m3)) + d34 * d45 * m2 * (m3 + m4 + m5))) + s^7 * (c01 * (d12 * m3 * m4 * m5 + d23 * m4 * m5 * (m2 + m3) + m2 * (d34 * m5 * (m3 + m4) + d45 * m3 * (m4 + m5))) + c12 * (d01 * m3 * m4 * m5 + d23 * (m1 * m4 * m5 + m4 * m5 * (m2 + m3)) + (m1 + m2) * (d34 * m5 * (m3 + m4) + d45 * m3 * (m4 + m5))) + c34 * (d01 * m2 * m5 * (m3 + m4) + d12 * (m1 * m5 * (m3 + m4) + m2 * m5 * (m3 + m4)) + m1 * (d23 * m5 * (m2 + m3 + m4) + d45 * m2 * (m3 + m4 + m5))) + c45 * (d01 * m2 * m3 * (m4 + m5) + d12 * (m1 * m3 * (m4 + m5) + m2 * m3 * (m4 + m5)) + m1 * (d23 * (m4 + m5) * (m2 + m3) + d34 * m2 * (m3 + m4 + m5))) + d01 * (d12 * (d23 * m4 * m5 + d34 * m5 * (m3 + m4) + d45 * m3 * (m4 + m5)) + d23 * (d34 * m5 * (m2 + m3 + m4) + d45 * (m4 + m5) * (m2 + m3)) + d34 * d45 * m2 * (m3 + m4 + m5)) + d12 * (d23 * (d34 * (m1 * m5 + m5 * (m2 + m3 + m4)) + d45 * (m1 * (m4 + m5) + (m4 + m5) * (m2 + m3))) + d34 * d45 * (m1 * (m3 + m4 + m5) + m2 * (m3 + m4 + m5))) + d23 * d34 * d45 * m1 * (m2 + m3 + m4 + m5)) + s^6 * (c01 * (c12 * m3 * m4 * m5 + c34 * m2 * m5 * (m3 + m4) + c45 * m2 * m3 * (m4 + m5) + d12 * (d23 * m4 * m5 + d34 * m5 * (m3 + m4) + d45 * m3 * (m4 + m5)) + d23 * (d34 * m5 * (m2 + m3 + m4) + d45 * (m4 + m5) * (m2 + m3)) + d34 * d45 * m2 * (m3 + m4 + m5)) + c12 * (c34 * (m1 * m5 * (m3 + m4) + m2 * m5 * (m3 + m4)) + c45 * (m1 * m3 * (m4 + m5) + m2 * m3 * (m4 + m5)) + d01 * (d23 * m4 * m5 + d34 * m5 * (m3 + m4) + d45 * m3 * (m4 + m5)) + d23 * (d34 * (m1 * m5 + m5 * (m2 + m3 + m4)) + d45 * (m1 * (m4 + m5) + (m4 + m5) * (m2 + m3))) + d34 * d45 * (m1 * (m3 + m4 + m5) + m2 * (m3 + m4 + m5))) + c34 * (c45 * m1 * m2 * (m3 + m4 + m5) + d01 * (d12 * m5 * (m3 + m4) + d23 * m5 * (m2 + m3 + m4) + d45 * m2 * (m3 + m4 + m5)) + d12 * (d23 * (m1 * m5 + m5 * (m2 + m3 + m4)) + d45 * (m1 * (m3 + m4 + m5) + m2 * (m3 + m4 + m5))) + d23 * d45 * m1 * (m2 + m3 + m4 + m5)) + c45 * (d01 * (d12 * m3 * (m4 + m5) + d23 * (m4 + m5) * (m2 + m3) + d34 * m2 * (m3 + m4 + m5)) + d12 * (d23 * (m1 * (m4 + m5) + (m4 + m5) * (m2 + m3)) + d34 * (m1 * (m3 + m4 + m5) + m2 * (m3 + m4 + m5))) + d23 * d34 * m1 * (m2 + m3 + m4 + m5)) + d01 * (d12 * (d23 * (d34 * m5 + d45 * (m4 + m5)) + d34 * d45 * (m3 + m4 + m5)) + d23 * d34 * d45 * (m2 + m3 + m4 + m5)) + d12 * d23 * d34 * d45 * (m1 + m2 + m3 + m4 + m5)) + s^5 * (c01 * (c12 * (d23 * m4 * m5 + d34 * m5 * (m3 + m4) + d45 * m3 * (m4 + m5)) + c34 * (d12 * m5 * (m3 + m4) + d23 * m5 * (m2 + m3 + m4) + d45 * m2 * (m3 + m4 + m5)) + c45 * (d12 * m3 * (m4 + m5) + d23 * (m4 + m5) * (m2 + m3) + d34 * m2 * (m3 + m4 + m5)) + d12 * (d23 * (d34 * m5 + d45 * (m4 + m5)) + d34 * d45 * (m3 + m4 + m5)) + d23 * d34 * d45 * (m2 + m3 + m4 + m5)) + c12 * (c34 * (d01 * m5 * (m3 + m4) + d23 * (m1 * m5 + m5 * (m2 + m3 + m4)) + d45 * (m1 * (m3 + m4 + m5) + m2 * (m3 + m4 + m5))) + c45 * (d01 * m3 * (m4 + m5) + d23 * (m1 * (m4 + m5) + (m4 + m5) * (m2 + m3)) + d34 * (m1 * (m3 + m4 + m5) + m2 * (m3 + m4 + m5))) + d01 * (d23 * (d34 * m5 + d45 * (m4 + m5)) + d34 * d45 * (m3 + m4 + m5)) + d23 * d34 * d45 * (m1 + m2 + m3 + m4 + m5)) + c34 * (c45 * (d01 * m2 * (m3 + m4 + m5) + d12 * (m1 * (m3 + m4 + m5) + m2 * (m3 + m4 + m5)) + d23 * m1 * (m2 + m3 + m4 + m5)) + d01 * (d12 * (d23 * m5 + d45 * (m3 + m4 + m5)) + d23 * d45 * (m2 + m3 + m4 + m5)) + d12 * d23 * d45 * (m1 + m2 + m3 + m4 + m5)) + c45 * (d01 * (d12 * (d23 * (m4 + m5) + d34 * (m3 + m4 + m5)) + d23 * d34 * (m2 + m3 + m4 + m5)) + d12 * d23 * d34 * (m1 + m2 + m3 + m4 + m5)) + d01 * d12 * d23 * d34 * d45) + s^4 * (c01 * (c12 * (c34 * m5 * (m3 + m4) + c45 * m3 * (m4 + m5) + d23 * (d34 * m5 + d45 * (m4 + m5)) + d34 * d45 * (m3 + m4 + m5)) + c34 * (c45 * m2 * (m3 + m4 + m5) + d12 * (d23 * m5 + d45 * (m3 + m4 + m5)) + d23 * d45 * (m2 + m3 + m4 + m5)) + c45 * (d12 * (d23 * (m4 + m5) + d34 * (m3 + m4 + m5)) + d23 * d34 * (m2 + m3 + m4 + m5)) + d12 * d23 * d34 * d45) + c12 * (c34 * (c45 * (m1 * (m3 + m4 + m5) + m2 * (m3 + m4 + m5)) + d01 * (d23 * m5 + d45 * (m3 + m4 + m5)) + d23 * d45 * (m1 + m2 + m3 + m4 + m5)) + c45 * (d01 * (d23 * (m4 + m5) + d34 * (m3 + m4 + m5)) + d23 * d34 * (m1 + m2 + m3 + m4 + m5)) + d01 * d23 * d34 * d45) + c34 * (c45 * (d01 * (d12 * (m3 + m4 + m5) + d23 * (m2 + m3 + m4 + m5)) + d12 * d23 * (m1 + m2 + m3 + m4 + m5)) + d01 * d12 * d23 * d45) + c45 * d01 * d12 * d23 * d34) + s^3 * (c01 * (c12 * (c34 * (d23 * m5 + d45 * (m3 + m4 + m5)) + c45 * (d23 * (m4 + m5) + d34 * (m3 + m4 + m5)) + d23 * d34 * d45) + c34 * (c45 * (d12 * (m3 + m4 + m5) + d23 * (m2 + m3 + m4 + m5)) + d12 * d23 * d45) + c45 * d12 * d23 * d34) + c12 * (c34 * (c45 * (d01 * (m3 + m4 + m5) + d23 * (m1 + m2 + m3 + m4 + m5)) + d01 * d23 * d45) + c45 * d01 * d23 * d34) + c34 * c45 * d01 * d12 * d23) + s^2 * (c01 * (c12 * (c34 * (c45 * (m3 + m4 + m5) + d23 * d45) + c45 * d23 * d34) + c34 * c45 * d12 * d23) + c12 * c34 * c45 * d01 * d23) + c01 * c12 * c34 * c45 * d23 * s
Рабочая программа для пакета “DERIVE” определения коэффициентов при степенях s в полиноме числителя передаточной функции разомкнутой системы Wp(s).
; Входные данные.
; Определитель от исходной матрицы.
DET([[m1 * s^2 + d01 * s + d12 * s + c01 + c12, - d12 * s - c12,0,0,0],
[- d12 * s - c12, m2 * s^2 + d12 * s + d23 * s + c12,- d23 * s, k * x4,0],
[0, - d23 * s, m3 * s^2 + (d23 + d34) * s + c34, - k * x4, 0],
[0, 0, - (d34 * s + c34), 0, - (d45 * s + c45)],
[0, 0, 0, 0, m5 * s^2 + d45 * s + c45]])
; Блок решения.
; Результат нахождения определителя.
- d34 * k * m1 * m2 * m5 * x4 * s^7 - k * x4 * s^6 * (c34 * m1 * m2 * m5 + d34 * (d01 * m2 * m5 + d12 * m5 * (m1 + m2) + d45 * m1 * m2)) - k * x4 * s^5 * (c01 * d34 * m2 * m5 + c12 * d34 * m5 * (m1 + m2) + c34 * (d01 * m2 * m5 + d12 * m5 * (m1 + m2) + d45 * m1 * m2) + d34 * (c45 * m1 * m2 + d01 * (d12 * m5 + d45 * m2) + d12 * d45 * (m1 + m2))) - k * x4 * s^4 * (c01 * (c34 * m2 * m5 + d34 * (d12 * m5 + d45 * m2)) + c12 * (c34 * m5 * (m1 + m2) + d34 * (d01 * m5 + d45 * (m1 + m2))) + c34 * (c45 * m1 * m2 + d01 * (d12 * m5 + d45 * m2) + d12 * d45 * (m1 + m2)) + d34 * (c45 * (d01 * m2 + d12 * (m1 + m2)) + d01 * d12 * d45)) - k * x4 * s^3 * (c01 * (c12 * d34 * m5 + c34 * (d12 * m5 + d45 * m2) + d34 * (c45 * m2 + d12 * d45)) + c12 * (c34 * (d01 * m5 + d45 * (m1 + m2)) + d34 * (c45 * (m1 + m2) + d01 * d45)) + c34 * (c45 * (d01 * m2 + d12 * (m1 + m2)) + d01 * d12 * d45) + c45 * d01 * d12 * d34) - k * x4 * s^2 * (c01 * (c12 * (c34 * m5 + d34 * d45) + c34 * (c45 * m2 + d12 * d45) + c45 * d12 * d34) + c12 * (c34 * (c45 * (m1 + m2) + d01 * d45) + c45 * d01 * d34) + c34 * c45 * d01 * d12) - k * x4 * s * (c01 * (c12 * (c34 * d45 + c45 * d34) + c34 * c45 * d12) + c12 * c34 * c45 * d01) - c01 * c12 * c34 * c45 * k * x4
Описание электронной части канала стабилизации.
Описание структурной схемы канала стабилизации.
Структурная схема канала представлена на рис.1. Взаимодействие между элементами структурной схемы следующее.
Чувствительным элементом, измеряющим отклонение стабилизированной платформы от заданного положения является датчик угловой скорости (ДУС), роль которого выполняет волоконно-оптический гироскоп (ВОГ), сигнал на выходе которого пропорционален угловой скорости вращения платформы. Поэтому для устранения статической ошибки стабилизации сигнал с выхода ВОГ поступает на интегратор, на выходе которого формируется напряжение пропорциональное уже не скорости, а углу отклонения платформы.
Далее это напряжение поступает на вход корректирующего звена, которое формирует необходимый вид ЛАХ для обеспечения устойчивости работы ГС. После предварительного усиления напряжение пропорциональ-ное углу отклонения платформы поступает на схему гальванической развязки, которая обеспечивает развязку по цепям питания между схемой управления и усилителем мощности (УМ), между сильноточными и слаботочными цепями схемы. Это необходимо для увеличения помехозащищенности канала обратной связи, кроме того это позволяет запитывать УМ непосредственно от первичного источника питания (аккумулятора или внешнего блока питания) без использования мощных преобразователей напряжения для питания УМ.
Далее сигнал подается на вход усилителя мощности, который обеспечивает подачу управляющего напряжения на двигатели стабилизации. УМ выполнен импульсным с использованием широтно-импульсной модуляции управляющего напряжения. Это позволяет повысить КПД УМ, что является актуальным с учетом требований к необходимости получения больших скоростей и ускорений управления положением телекамеры, что требует применения мощных двигателей стабилизации.
Одной из особенностей использования ВОГ является его высокая чувствительность к воздействию внешних электрических возмущений, что приводит к нарушению работы ВОГ вплоть до выхода его из строя. Поэтому в состав канала стабилизации необходимо обязательное включение специальной схемы защиты ВОГ.
Описание и расчет элементов электрической схемы канала обратной связи ГС ТК.
Описание схемы защиты и подачи питания на ВОГ.
Особенностью эксплуатации ВОГ, в отличие от механических гироскопов, является его высокая чувствительность к превышениям допустимых электрических воздействий по цепям питания и выходным цепям. Кроме того требуется определенная последовательность включения во времени различных цепей. Поэтому для подачи питания на ВОГ была разработана схема питания и защиты ВОГ, которая представлена на рис.2.
Данная схема обеспечивает:
— задержку подачи напряжения ± 15 В относительно напряжения питания суперлюминесцентного диода (СЛД) на время 0.5 с.;
— защиту СЛД и ВОГа от перепутки полярности при подаче напряжения питания;
— отключение напряжения ± 15 В.
а) при обрыве любого из питающих проводников или “общего” провода;
б) при исчезновении напряжения на СЛД;
— обеспечивает фильтрацию напряжения по цепям питания СЛД и ±15 В.
Описание работы схемы.
Через выключатель В1, диод VD1, резистор R1 осуществляется подача тока в СЛД ВОГа. Конденсаторы C1, C2 фильтрующие, их номинал 10.0 мкФ. и 0.22 мкФ. выбран в соответствии с рекомендациями приведенными в инструкции по эксплуатации ВОГ. Резистор R1 задает ток СЛД, его номинал определяется по формуле:
(U>вх.>-3) (15 - 3)

R1
= = = 130 Ом.
I>слд.> 0.09
где I>слд.> - номинальный ток через СЛД.
Диоды VD1, VD7, VD8 защищают ВОГ при подаче напряжения обратной полярности. В качестве этих диодов могут быть применены любые диоды с допустимым прямым током не менее 0.3 А, в макете использованы диоды типа КД212. Диод VD3 типа КД522 предохраняет СЛД от наведенных случайных импульсов обратной полярности.
На элементах R2, R3, C3, VD2, VD4, VT1 выполнена схема задержки подачи на ВОГ напряжения ±15 В и его снятия при исчезновении напряжения на СЛД. Работает схема следующим образом. При появлении напряжения питания на аноде СЛД конденсатор C3 начинает заряжаться через резистор R3. Когда напряжение на нем достигнет уровня около 1.2 В открывается транзистор VT1 и через ограничительный резистор R4 в базу транзистора VT2 поступает открывающий его ток, при этом срабатывает реле Р1 и через контакты Р1.1 и Р1.2 напряжение ±15В поступает на ВОГ. Если напряжение на СЛД по какой-либо причине исчезнет, то конденсатор C3 быстро разряжается через диод VD2 и резистор R2, транзисторы VT1 и VT2 закрываются и реле размыкает цепь подачи ±15 В на ВОГ.
Диод VD4 поднимает порог открывания транзистора VT1 на 0.5 В. Диод VD5 защищает транзистор VT2 от пробоя при отключении реле. Диоды VD3, VD4, VD5 типа КД522.
При выборе величины R3 = 100 кОм и C3 = 10.0 мкФ. постоянная времени цепи задержки Т будет равна:
Т = 2·3.14·R3·C3 = 6.28 · 100·103 ·10.0·10-6 = 6.28 c.
Реально открывание транзистора VT1 происходит примерно через 0.5 с.
Величина резистора R4 при заданном токе базы транзистора VT2 I>б2> = 2 мА. определяется по следующей формуле:
15 B. 15

R4
= = = 7500 Ом. ( Выбираю R4 = 10 кОм )
I>б2. >0.002
Резисторы R5, R6 и конденсаторы C4...C7 образуют фильтр по цепи питания ±15 В. Их величины не рассчитывались, а выбраны в соответствие с рекомендациями приведенными в инструкции по эксплуатации ВОГ.
R5 = R6 = 1 Ом, C4 = C6 = 0.22 мкФ, C5 = C7 = 10.0 мкФ.
Транзистор VT1 типа КТ315, VT2 типа КТ502. Реле типа РЭС60, РЭС80. Стабилитрон VD6 необходим при использовании реле с напряжением удержания менее 15 В. Он служит для обеспечения надежного выключения реле при пропадании одного из напряжений ±15 В. В макете использован стабилитрон типа Д814А имеющий напряжение стабилизации 8 В.
Описание элементов электрической схемы канала стабилизации.
Электрическая схема слаботочной части канала стабилизации представлена на рис.3. Рассмотрим элементы схемы.
1. Интегратор и предварительный усилитель.
Особенностью использования ДУСа в качестве чувствительного элемента (ЧЭ) ИГС является необходимость применения интегрирующих звеньев в канале стабилизации для получения необходимого коэффициента усиления в низкочастотной области ЛАХ. При использовании идеального интегратора происходит стабилизация по углу вместо стабилизации по скорости.
Интегратор выполнен на микросхеме DA1. Его передаточная функция при R1 = R5 = R имеет следующий вид [1]:
- Ku'
Wи(s) =
(s/[Ku'·f>ср>] + 1) · (s·Ku'·R· C + 1)
где Кu' - коэффициент усиления ОУ без цепей обратной связи;
f>ср> - частота единичного усиления ОУ;
С = C1.
В качестве DA1 применен ОУ типа КР140УД18 имеющий следующие характеристики [2]:
U>пит.ном.>[B] 2х15 (6..18);
Ku' 50000;
U>см.>[mB] 10;
I>вх>[нА] 1;
DI>вх>[нА] 0.1;
f>ср>[Гц] 1;
V>u> [B/мкс] 5;
R>вх>[МОм] 1000000.
Выбор данного типа ОУ обусловлен его высоким входным сопротивлением R>вх.> и повышенной частотой единичного усиления f>ср>. При подстановке этих параметров в выражение для Wи(s) получается выражение следующего вида (при R=R1=1 МОм, С=C1= 2.2 мкФ):
-5·104 -5·104

Wи(s)
= =
(s/5·1010+1)·(s·1.1·104+1) (T1·s+1) · (T2·s+1)
В данном выражении T1 << 1, поэтому первую скобку знаменателя можно принять равной единице, а во второй скобке Т2 соответствует частоте среза
w>2> = 1/Т2 = 1/1.1·104 = 9.1·10-5 1/c = 1.5·10-5 Гц.
Поэтому с достаточной для практического использования точностью, можно считать интегратор идеальным с передаточной функцией:
-1 1

Wи(s)
= = К>и>
· ,
s·R·C s
где К>и>=-1/(R1·C1)=-1/(1·106·2.2·10-6)=-0.455- коэффициент
передачи интегратора (при R1=1MОм и C1=2.2мкФ.).
Основные составляющие ошибок интегрирования обусловлены напряжением смещения нуля U>см> и входными токами ОУ, которые даже при U>вх>=0 протекают через конденсатор C1 заряжая его. Это приводит к появлению линейно изменяющегося выходного напряжения, что приводит со временем к насыщению ОУ. При заземлении неинвертирующего входа ОУ через резистор R5 = R1, на погрешность интегрирования будет влиять только разность входных токов ОУ, которая для данного типа ОУ в 10 раз меньше входного тока ОУ. Для устранения влияния U>см> ОУ, а также U>см> ВОГ применена подстройка ноля, выполненная на элементах R2, R3, R4, VD1, VD2.
При выборе величины R2 = R3 = 15 кОм через диоды протекает ток: I = 15B/15кОм = 1 мА. и на них выделяется напряжение около 1 В, которое используется для создания напряжения смещения для балансировки ОУ с помощью переменного резистора R4 = 6.8 кОм. Такой способ подачи напряжения смещения позволяет практически исключить влияние изменений напряжения питания ОУ, к которому подключена цепь балансировки, на величину напряжения балансировки.
На ОУ DA2 выполнен предварительный усилитель, имеющий коэффициент усиления (при R6=10 кОм, R7=200 кОм):
К>пу> = -R7/R6 = -200кОм/10кОм = -20
Требования к параметрам ОУ DA2 невысоки, поэтому на его месте использован ОУ типа КР140УД20А, имеющий следующие характеристики:
U>пит.ном.>[B] 2х15 (5..18.5);
Ku' 50000;
U>см.>[mB] 5;
I>вх.>[нА] 100;
DI>вх.>[нА] 30;
f>ср.>[Гц] 0.5;
V>u> [B/мкс] 0.3;
R>вх.>[МОм] 0.4.
Таким образом, напряжение на выходе ОУ DA2 пропорционально углу поворота ВОГ a:
U>вых> = К>и> · Wи(s) · К>пу> · К>вог> · (a · s) =
1
=
-0.45 ·
·
(-20) ·
0.18 ·
a ·
s = K>ип.>·
a
s
где К>вог> = 0.18 В/(град./сек.) - коэффициент передачи ВОГ;
a·s - угловая скорость измеряемая ВОГ;
К>ип.> = 1.64 В/град. = 94 В/рад. - коэффициент передачи ВОГа, интегрaтора и предварительного усилителя.
2. Промежуточный усилитель и схема гальванической развязки.
На DA4 выполнена схема гальванической развязки, на DA3 - промежуточный усилитель. Оба ОУ типа КР140УД20А. DA3.1 имеет коэффициент усиления К = R11/R10 = 200·103 /10·103 = 20 (при R10 = 10 кОм и R11 = 200 кОм). Кроме сигнала с выхода интегратора на его вход подается напряжение с выхода ВОГ, что обеспечивает появление дифференциала в ЛАХ разомкнутого канала на частоте w, которая определяется из следующих выражений:
w = 1/T>д>
Т>д> = К>д>/(К>ип.>/К>вог>) = К>д>/(94/(0.18 · 57.3)) = К>д>/9.1
При R10 = R17 = 10 кОм коэффициент передачи делителя R8, R9 (К>д>) определяется по следующей формуле:
К>д> = R9/(R8+R9).
При w = 40 1/с получаем Т>д> = 1/w = 1/40 = 0.025 c. откуда:
К>д>/9.1 = 0.025 или К>д> = 0.23
Тогда при выборе R9 = 3 кОм., номинал резистора R8 определится по следующей формуле:
R8 = R9/K>д> - R9 = 3·103/0.23 - 3·103 = 10043 Ом = 10 кОм
Такой способ получения дифференциала от угла поворота ВОГ обеспечивает меньший уровень помех на выходе дифференциатора, чем при использовании дифференцирующей RC-цепочки.
Отключение полученного дифференциала происходит с помощью интегрирующей цепочки R12, C2, частота среза w>ср.> которой при R12 = 10 кОм. и C2 = 0.15 мкФ. равна:
w>ср> = 1/(10·103 ·0.15·10-6) = 667 1/c = 105 Гц.
Т>и> = 1/w>ср> = 1/667 = 0.0015 с.
Таким образом в канале формируется корректирующее звено с передаточной функцией вида:
Т>д> · s + 1 0.025 · s + 1

W>кз>(s)
= =
Т>и> · s + 1 0.0015 · s + 1
Коэффициент усиления ОУ DA3.2 при R12 = 10 кОм и R13 = 20 кОм определяется по формуле К = R13/R12 = 20/10 = 2. Этот ОУ используется для изменения при необходимости коэффициента передачи канала. Диоды на входе DA3.2 ограничивают его выходное напряжение на уровне U>вых> = 0.5В.·К.
Это предохраняет ОУ DA3.2 от насыщения выходного каскада, а, следовательно, от появления дополнительных нелинейностей в канале.
Конденсаторы C3...C5 препятствуют прохождению через ОУ высокочастотных шумов. Их номинал 30 пФ.
2. Схема гальванической развязки.
Гальваническая развязка схемы от УМ осуществляется с помощью диодных оптопар типа АОД101. Ток в светодиоды оптронов V1, V2 поступает из преобразователя напряжение-ток, выполненного на ОУ DA4.2. Транзисторы VT1, VT2 типа КТ502, КТ503 служат для увеличения выходного тока преобразователя до 15мА. Они выбираются по максимальной рассеиваемой мощности коллектора, которая определяется по формуле:
Р>к> = (15 - U>o> - I>o> · R16) · I>o> =
= (15 - 2 - 15 ·10-3 ·300) ·15·10-3 = 0.13 Вт.
где U>o> =2В.-падение напряжения на светодиоде оптрона;
I>o> =15 мА. - максимальный ток через светодиод
оптрона;
R16 = 300 Ом.
Электрические параметры транзисторов КТ502, КТ503 следующие:
Р>к.макс.> [Вт] 0.35;
U>кб.обр.> [B] не менее 40;
I>к.макс.> [mA] 150.
Резистор R16 определяет коэффициент передачи преобразователя напряжение-ток, который при выборе R16 = 300 Ом составляет:
К>ui> = 1/R16 = 1/300 = 0.003 А./В. = 3 мА./В.
Коэффициенты передачи оптронов могут различаться более чем на порядок. Для компенсации этого различия служит схема выполненная на ОУ DA4.1, в которой подстроечным резистором R15 = 15 кОм. Производится регулировка коэффициента усиления отдельно для положительной и отрицательной половин входного сигнала. При выборе резистора R14 = 10 кОм коэффициент передачи DA4.1 может изменяться в пределах 0..1.5.
3. Усилитель мощности с широтно-импульсной
модуляцией выходного напряжения.
Для управления исполнительными двигателями (ИД) гиростабилизатора была разработана схема усилителя мощности (УМ) с применением широтноимпульсной модуляции выходного напряжения. Основные требования
предъявляемые к УМ, следующие:
— максимальная надежность
а) сохранение работоспособности при изменении:
температуры окружающей среды в диапазоне 30...+60 град.С;
напряжения питания в диапазоне 15...36 В;
б) сохранение работоспособности при пропадании одного из напряжений питания или входа;
в) защита схемы от перепутки полярности питания,
от короткого замыкания в нагрузке,
от перегрева;
— гальваническая развязка от усилительно-преобразую-щей части схемы.
— минимальный уровень помех;
— минимальные масса, собственное энергопотребление, габариты;
— возможность работы на индуктивную нагрузку;
Для передачи аналогового сигнала в нагрузку используют различные виды модуляции импульсной последовательности: ШИМ, ЧИМ, РИМ и т.д. В разработанном УМ применена широтно-импульсная модуляция (ШИМ), основное преимущество которой от других видов импульсных модуляций - это постоянство частоты коммутации ключей, что позволяет:
— синхронизировать работу всех потребителей;
— зафиксировать нижнюю границу рабочих частот УМ, что облегчает построение фильтров "срезающих" высокочастотные помехи возникающие при коммутации силовых ключей УМ.
Существует два типа ШИМ:
а) имеющие при U>вх.>=0 постоянно закрытые ключи;
“+” более высокий КПД, чем тип б);
“-” при малых U>вх.> происходит резкое возрастание R>вых.> из-за появления режима прерывистых токов дросселя;
б) имеющие при U>вх.>=0 на выходе меандр скважности 0.5;
“+” отсутствие недостатка типа а), что позволяет использовать этот тип ШИМ для коммутации индуктивной нагрузки.
Разработанный УМ при соответствующей регулировке может реализовать как первый, так и второй типы ШИМ, а также все промежуточные между ними виды. Частота коммутации силовых ключей в разработанном УМ может быть установлена в диапазоне 10...50 кГц. В макете частота коммутации равна 20 кГц.
Схема состоит из следующих основных узлов:
1. схема управления, состоящая из:
- задающего генератора;
- промежуточного усилителя с гальванической
развязкой Uвх.;
2. мостовой переключатель с цепью защиты от перегрузки по току и перегрева;
1) Cхемa управления.
Схема управления представлена на Рис.4.
Схема управления содержит в себе:
- предварительный усилитель, выполненный на ОУ DA1.2;
- генератор пилообразного напряжения, выполненный на
компараторе DA3;
- устройства сравнения на компараторах DA4, DA5;
- повторителя напряжения "общего провода" на ОУ DA1.1.
Входной сигнал поступающий на вход ОУ DA1.2 может быть трех видов:
1) в виде входного напряжения Uвх. или
2) входного тока, подающихся относительно зажима "Общ.";
3) в виде входного тока, поступающего в светодиоды оптронов через выводы "I>оп>". В этом случае обеспечивается гальваническая развязка источника входного сигнала и УМ.
В первом случае резистор R11 можно исключить. Интегрирующая цепочка R19, C7 на входе УМ служит для подавления высокочастотных помех, возникающих в линии связи между УМ и источником сигнала. Задавшись частотой среза f>ср.> = 2 кГц, и C7 = 0.1 мкФ, определяю номинал R19:
R19 = 1/(2·3.14·f>ср.>·C7) = 1/(2·3.14·2·103·0.1·10-6) = 796 Ом
Принимаю R19 = 1 кОм, тогда
f>ср.> = 1/(6.28·R19·C7) = 1/(6.28·1·103·1·10-7) = 1.6 кГц.
Во втором случае R19 и C7 необходимо исключить. Напряжения на резисторе R11 пропорционально току протекающему в паре проводов "I>вх>" и "Общ". Задавшись коэффициентом пропорциональности К = 10 мА/В определяю величину R11.
R11 = 1/К = 1/10·10-3 = 100 Ом
Второй вариант подачи входного сигнала предпочтительнее первого, т.к. при длинной линии связи передача тока вместо напряжения обеспечивает много меньший уровень помех на входе УМ. В третьем случае по проводникам "I>оп>" также передается ток, питающий оптроны V1.1 и V1.2, благодаря которым обеспечивается гальваническая развязка источника входного сигнала и УМ. При подаче входного сигнала через оптопару, перемычка а-b удаляется.
Определяю номиналы элементов цепи гальванической развязки. Оптроны выбраны диодные типа АОД101, т.к. их температурная и временная стабильностью выше чем у других типов оптронов. Максимальный входной ток оптрона I>о.мах.> = 20 мА. В зависимости от знака тока I>оп>, он протекает через V1.1 или V2.1. Этот ток вызывает появление тока в обратносмещенных фотодиодах V1.2 или V2.2, что вызывает изменение потенциала в точке их соединения. Это изменение через R6 подается на вход DA1.2. Определяю величину резисторов R4 = R5 из условий:
1) R4 << R>темн.> = 1 мОм;
2) R4 > U/I>фд.> = 1/0.2·10-3 = 5000 Ом = 5 кОм.
Где R>темн.> - обратное сопротивление неосвещенного V1.2 (V2.2);
U - напряжение которое необходимо подать на вход DA1.2(задаюсь);
I>фд.> = I>о.мах.> ·К>i> = 20·10-3·0.01 = 0.0002 A = 0.2 mA.
обратный ток через фотодиод при максимальном входном токе;
здесь К>i> = 0.01 - коэффициент передачи оптрона по току.
(из справочника)
Принимаю R4 = R5 = 10 кОм.
Генератор пилообразного напряжения выполнен на компараторе DA3, на выходе которого включена стабилизирующая цепочка R17, Vd2, формирующая стабильное напряжение для зарядки конденсатора C6 и установки амплитуды пилообразного напряжения. Это позволяет избавиться от влияния напряжения питания на частоту и амплитуду "пилы". В качестве DA3 целесообразнее применить компаратор, а не ОУ т.к.:
- его выходное напряжение не более чем на 1 В. отличается от U>пит.>;
- скорость переключения компаратора много больше, чем у ОУ общего применения, что позволяет формировать "пилу" с острыми пиками (это влияет на линейность передаточной характеристики УМ).
Определяю номиналы входящих в генератор элементов. Напряжение стабилизации стабилитрона VD2 определяю из условия:
U>ст.> < (U>пит.мin>-1)/2 = (15-1)/2 = 7 В.
Выбираю стабилитрон VD2 типа КС162А (двуполярный), имеющий напряжение стабилизации U>ст> = 5.9..6.5 В. Амплитуда напряжения "пилы" U>пил.> задается отношением резисторов R14, R15. При U>пил.> = 1 В. и R15 = 10 кОм величина R14 равна:
U>пил.> ·R15
R14
= = 1·15·103/(6.2-1)
= 2884 Ом = 3 кОм.
U>ст.>-U>пил.>
Коллектор выходного транзистора компаратора DA3 через резистор R18 = 2 кОм подключен к "+U>пит>" для снижения уровня помех в цепи питания ОУ. Резистор R17 определяет ток через стабилитрон VD2.
U>пит.мах.>/2
R17
> = 35/2/30·10-3
= 583 Ом.
I>ст.мах.>
где I>ст.мах.> = 30 мА. - максимально допустимый ток через стабилитрон. Принимаю R17 = 2 кОм.
Заряд конденсатора C6, на котором формируется пилообразное напряжение, происходит через резистор R16. При U>пил.><<U>ст.> величину резистора R16, при заданном C6 = 2.2 нФ., можно определять по следующей приближенной формуле:
U>ст. >6.2

R16
= = = 70454Ом.
2·U>пил.> ·f>раб>.·C6 2·1·2·104·2.2·10-9
При построении формирующей цепочки R16, C6 необходимо стремиться к использованию более высокоомного резистора R16, а величину C6 желательно уменьшать, для уменьшения токов в цепях генератора "пилы". В любом случае резистор R16 необходимо подбирать при настройке УМ. При работе с внешней синхронизацией частоту собственных колебаний генератора "пилы" следует устанавливать на 5..10 % меньшей частоты внешнего синхросигнала. Амплитуда напряжения синхронизации подаваемого на вход "f>синхр.>" УМ должна быть большей амплитуды напряжения "пилы". Конденсатор C8 разделительный, его номинал C8 = 0.47 мкФ. Резистор R20 и C9 образуют ФНЧ с частотой среза f>ср.> = 1.5 · f>синхр.> = 30 кГц. При C9=47 нФ. величина R20 определяется по следующей формуле:
R20 = 1/(2·3.14·f>ср.>·C9) = 1/(2·3.14·30·103·47·10-9) = 110 Ом
На диодах VD3...6 и резисторах R9, R10 собрана схема создания пороговых напряжений, которые формируются на смещенных в прямом направлении р-n переходах диодов. Напряжение на двух последовательно включенных диодах равно U>пор.> = 1 В. Резисторы R9, R10 выбираются таким образом, чтобы обеспечить протекающий через диоды ток на уровне 0.5..1мА.
U>пит.>
R10
= R9 = ·0.5
= 24/10-3·0.5
= 12000 Ом = 12 кОм.
I>диода>
Конденсатор C4 фильтрующий, он служит для уменьшения уровня шумов в составе напряжения U>пор.> Его номинал - C4 = 0.22 мкФ. Оба пороговых напряжения одновременно смещаются относительно общего провода при изменении выходного напряжения на выходе ОУ DA1.2.
Коэффициент усиления ОУ DA1.2 определяется отношением резисторов R6, R8 и выбирается исходя из следующих соображений. Амплитуда напряжения на выходе оптронов U равна 1 В. (задаюсь, см. выше). Амплитуда напряжения на выходе ОУ должна быть не менее U>вых.> = 2 · U>пил.> = 2 В.
Т.о. коэффициент усиления ОУ DA1.2:
К = U>вых.>/U = 2/1 = 2.
Тогда при R6 = 10 кОм,
R8 = R6 · (K - 1) = 104·(2-1) = 10000 = 10 кОм.
Неинвертирующее включение ОУ DA1.2 выбрано для увеличения его входного сопротивления.
При передаче входного сигнала током c выделением его в виде напряжения на R11 - U>r11>, расчет проводят аналогично, приняв U>вх> = U>r11>.
В цепи питания ОУ и компараторов установлен RC-фильтр, выполненный на R1, C1, C2. При R1 = 47 Ом, C1= 0.47 мкФ, C2 = 10.0 мкФ частота среза фильтра равна:
f>ср>=1/(6.28·R1·(C1+C2))=1/(6.28·47·(10+0.47)·10-6) = 323 Гц.
Диод VD1 обеспечивает защиту схемы управления от выгорания при перепутке полярности при подаче питающего напряжения.
Формирование потенциала "общей точки" производится делителем R2, R3, величина резисторов которого должна быть не менее чем в 10 раз меньше входного сопротивления ОУ, равного для КР140УД20 500 кОм. Выбираю R2 = R3 = 50 кОм. Конденсатор C3 имеет емкость 0.22 мкФ. Напряжение с делителя R2, R3 поступает на повторитель выполненный на ОУ DA1.1, на выходе которого включен фильтрующий конденсатор C5 емкостью 0.47 мкФ. Резистор R12 подстроечный, служит для выставки ноля УМ. Его величина - 4.7 кОм.
При отсутствии гальванической развязки УМ от источника входного сигнала напряжение "общей точки" подается на повторитель DA1.1 через резистор R13, величина которого должна быть много меньше R2, R3. Выбираю R13 = 1 кОм.
2. Мостовой переключатель.
Схема ключевого каскада УМ позволяет с помощью только одного УМ запитывать оба двигателя стабилизации. Причем, благодаря применению мостовой схемы, напряжение на двигателях стабилизации изменяется на ± U>пит.>, при наличии только однополярного +U>пит.> для питания самого УМ.
Электрическая схема ключевого каскада УМ приведена на Рис.5. Работа ее происходит следующим образом.
Включение каждого плеча (VT1, VT3 и VT2, VT4) моста происходит при “замыкании” точек 1-2 и 3-4 схемы через открытые внутренние транзисторы компараторов DA4, DA5 схемы управления (рис.5). Закрывание ключей происходит при “размыкании” точек 1-2 и 3-4 схемы. Закрытие ключевых транзисторов пассивное, его скорость определяется скоростью рассасывания заряда затвора через резисторы R5...R8. При R5...R8=30 Ом время закрытия транзисторов t>закр.> = 0.5 мкс.
Суммарная величина сопротивлений R10+R12 и R11+R13 определяет базовый ток ключевых транзисторов в каждом плече моста.
U>пит.max>-1.3B 36-2B

R10+R12
= = = 340 Ом
I>б> 0.1
где U>пит.max> - максимальное напряжение питания;
2В - сумма падений напряжения на переходах Б-Э силовых ключей и К-Э управляющего транзистора компаратора. I>б> - базовый ток ключей, который определяется из следующего условия;
I>к.мах>
< I>б>
< 0.15 A
h>21э>
3
=
0.075 < I>б>
< 0.15
40
Принимаю I>б> = 0.1 А.
Здесь I>к.мах> - максимально возможный ток коллектора силового ключа;
h>21э> - минимальный коэффициент передачи по току данного типа силового ключа (выбираем из справочника);
Ограничение тока базы "сверху" накладывается максимально допустимым током коллектора выходного транзистора компаратора схемы управления, который коммутирует базовый ток силовых ключей. При необходимости коммутировать ток базы больший 0.15 А, к внутреннему транзистору компаратора подключают дополнительно внешний по схеме составного транзистора.
Максимальная мощность выделяемая в R10+R12 равна:
Р>(R10+R12)> = I>б>2 × (R10+R12) = 0.01×340 = 3.4 Вт.
Принимаем номинал резисторов и их мощность следующими:
R10 = R11 = R12 = R13 = 170 Ом.
Р>R10> = Р>(R10+R12)>/4 = 0.85 = 1 Вт.
Увеличение токов базы и рассасывания позволяет уменьшить времена закрывания и открывания ключей (t>закр.> и t>отк.>). Это позволяет увеличить частоту коммутации f>ком.> ключей, что дает возможность уменьшить величину индуктивности фильтра L1, однако при этом:
1) возрастают коммутационные потери в ключах;
1) увеличиваются импульсные помехи;
2) появляются трудности с подбором мощных импульсных диодов.
В качестве ключей применена комплементарная пара полевых n и р-канальных СИТ - транзисторов типа КП954А, КП964А, которые имеют следующие характеристики:
I>с.мах.> 20 А;
U>с.и.мах.> 150 В;
U>с.и.обр.> 80 В;
U>с.и.нас.>(I>с.>=20А) 0.7 В;
t>сп.> = t>вкл.> 50 нс;
t>расс.> 0.5 мкс;
Р>с.max. > 40 Вт.
Применение полевых транзисторов вместо биполярных позволяет:
1) иметь малые t>расс.>, т.е. уменьшить нелинейность выходной характеристики в области малых сигналов (вблизи нуля);
2) иметь малые t>сп.> и t>вкл.>, т.е. уменьшить динамические потери при переключении, следовательно, уменьшить температуру транзисторов и, следовательно, вероятность их отказа;
3) повысить надежность УМ, т.к. у полевых транзисторов отсутствует вторичный пробой, что особенно важно при индуктивной нагрузке.
Диоды VD6...VD9 служат для замыкания цепи тока нагрузки при закрытых ключах. Они выбираются по максимальному току и по времени восстановления обратного сопротивления. В схеме использованы импульсные диоды типа КД212А имеющие следующие электрические параметры:
U>обр.> 200 В;
I>пр.пост.> 1 А;
t>восст.> 0.3 мкс.
Диоды VD1...VD4 служат для защиты от пробоя перехода затвор - исток транзисторов VT4...VT4. Здесь могут быть использованы любые маломощные импульсные диоды, в схеме применен КД522.
Схема защиты УМ от перегрузки по выходному току выполнена на транзисторах VT5...VT9. Она работает следующим образом. Ток нагрузки, протекая через измерительный резистор R17, образует на нем падение напряжения U = I>н.>×R17. При превышении этим напряжением заданного порога, транзисторы VT5...VT9 открываются и запирают силовые ключи, прекращая подачу тока в нагрузку.
Транзисторы VT5...VT9, кроме того, могут быть открыты током проходящим через резистор R18 и обратно смещенные переходы транзистора VT10. Этот ток возникает при обратимом тепловом пробое транзистора VT10, причиной которого является перегрев VT10 выше температуры примерно в 100 градусов. Транзистор VT10 германиевый, он закрепляется на радиаторе ключей и выполняет роль защиты ключей от перегрева. В схеме использован транзистор типа МП16.
Резиторы R3, R4, R14 задают базовый ток I>б> транзисторов VT7...VT9, который определяется из условия:
I>б> > I>к.VT7.max.>/h>21э.min.> = 0.1/40 = 0.0025 А = 2.5 мА.
Принимаю I>б.VT7> = 5 мА.,
R7 = (1B-0.5В)/5mA = 100 Ом
здесь 1В - напряжение срабатывания защиты;
0.5В - падение напряжения на переходе Б-Э.
Принимаю R7...R9 = 100 Ом.
Величина резистора R18 равна:
R18 = U>пит.max.> /I>б.VT9.max> = 36/0.04 = 900 Ом
Принимаю R18 = 3 кОм.
Величина коллекторного сопротивления R>к> VT5...VT8 для обеспечения надежного запирания силовых ключей должна быть не более:
R>к.> < R5 / 10 = 30/10 = 3 Ом.
Максимально допустимый ток коллектора VT5...VT8 должен быть не менее I>б.ключей> = 0.1 A. В макете в качестве VT5...VT9 использованы транзисторы:
VT5, VT6 — типа КТ608,
VT7...VT9 — типа КТ209М
Для уменьшения потерь мощности в измерительном резисторе R17 применена подставка напряжения, выполненная на элементах VD10, R15, R16. Рассчитаем защиту на ток срабатывания I>ср.> = 3 А.
R>изм> < 0.7/I>ср.> = 0.7/3 = 0.23 Ома.
Выбираю R>изм.> = 0.1 Ома, тогда напряжение на нем при I>н.>=I>ср.> U>и.> и рассеиваемая в нем при этом мощность Р>изм.мах.> следующие:
U>и.> = R17×I>ср.> = 0.1×3 = 0.3 В.
Р>изм.мах.> = I>ср.> ×U>и.> = 3×0.3 = 0.9 Вт.
Р>изм.ном.> = I>ном.>2×R17 = 22×0.1 = 0.4 Вт.
(при номинальном токе I>ном.> = 2А)
Ток диода VD10 должен быть больше суммы базовых токов VT7...VT9 необходимых для их открывания.
I>VD10> = 10e-3 > 6 mA.
R16 = U>пит.min.>/I>vd7> = 15/0.006 = 3000 Ом = 2.5 кОм.
Чтобы R15 не шунтировал VD10 его величина выбирается из условия:
R15 > R16×0.7/U>пит.max.> = 2500×0.7/36 = 48 Ом.
Выбираю R15 = 350 Ом.
Напряжение на открытом диоде = 0.5 В., на R15.2 должно присутствовать напряжение U = 0.5 - U>изм.> = 0.5-0.3 = 0.2 В.
Тогда
R15.2 = U×R15/0.7 = 0.2×350/0.7 = 100 Ом.
R15.1 = 350 - 100 = 250 Ом.
Таким образом R15 должен быть “разделен” на два резистора с номиналами 100 и 250 Ом.
Расчет входного LC-фильтра.
Определяю диаметр провода d по заданной максимально допустимой плотность тока j = 10 А/мм2 в нем:

4×I>н.ном. >4×2

d
= = = 0.5 мм
3.14×j 3.14×10
Фильтр выполняю на сердечнике К20х12х6 из феррита 2000НМ1. Его данные:
S>ст.>[см2] = 0.24; (площадь поперечного сечения)
L>c.> [см] = 5.03; (средняя длина магнитной линии)
B>max> [Tл] = 0.3. (индукция насыщения)
Полагаю 1) L>з.> << L>c.> (L>з.> - величина немагнитного зазора)
2) магнитное сопротивление зазора >> сопротивления сердечника;
3) L>з> << его площади.
Задаю рабочую индукцию в зазоре В = 0.2 Тл. Обмотка однослойная. Определяю количество витков W в обмотке.
3.14× (d'-2×d) 3.14×(12-2×0.5)

W
= = = 69
d 0.5
где d' - внутренний диаметр магнитопровода.
Напряженность магнитного поля в зазоре
H = B/m>0> = 0.2/1.26×10-6 = 158730 A/m;
где m>0> = 1.26×10-6 абсолютная магнитная проницаемость.
L>з> = I>н.ном.> ×W/H = 2×69/158730 = 0.00087 м = 0.9 мм.
Определяю индуктивность (L1).
Для кольцевого магнитопровода индуктивность равна:
r
a
D
m>0 >D+r

L’
= ×W2
×a
× ln
2×p D-r
r = (d''-d')/2 = (20-12)/2 = 4 мм.
D = r + d'= 4+12 = 16 мм.
L'= 1.26×10-6/6.28×692×6×10-3×ln((16+4)/(16-4)) = 2.93·10-6 Гн.
L1 = L'× L>с.>/L>з.> = 2.93·10-6·50.3/0.9 = 0.00016 Гн. = 160 мкГн.
Активное сопротивление обмотки:
R>a.> = r>Cu>×L/(3.14×d2/4) = 1.72×10-8×1.52/(3.14×(0.5×10-3)2/4) = 0.133 Ом.
где r>Cu> = 0.0172 Ом×мм = 1.72×10-8 Ом×м
удельное сопротивление меди;
L = 2× (r+a+2×d)×W = 2×(4+6+2×0.5)×0.001×69 = 1.52 м.
длина провода.
Максимальные потери в катушке L1 составляют:
Р>L1.max> = I>н.max>2 ×R>a.> = 2×2×0.133 = 0.5 Вт.
Расчет генератора напряжения смещения.
Генератор предназначен для подачи “подпирающего” напряжения на двигатели стабилизации для выборки люфта редуктора.
Схема генератора состоит из:
— задающего генератора;
— усилителя мощности;
— трансформатора с выпрямителями.
Задающий генератор выполнен на логическом элементе DD1.1 (триггер Шмитта). Цепочка R2, C2 времязадающая. Питание логических элементов осуществляется от простейшего параметрического стабилизатора выполненного на R1, VD1, C1. Так как потребление DD1 (561ТЛ1) не превышает 0.5 mA, то ток через R1 примем равным 5 mA. Напряжение стабилизации VD1 выбираю равным U>ст> = 14 В (при использовании стабилитрона типа Д814Д). Тогда сопротивление резистора R1 определяется как:
R1 < (U>пит.min> - U>ст>) / I>ст.min> = (15-14)/0.001 = 1 кОм
R1 > (U>пит.max> - U>ст>) / I>ст.max> = (36-14)/0.03 = 733 Ом
где I>ст.max(min)> - максимальный (минимальный) допустимый ток
через стабилитрон. (из справочника)
Принимаю величину R1 = 1 кОм.
Тогда максимальная мощность резистора R1 равна:
Р>R1> = (U>пит.max> - U>ст>)2 / R1 = (36-14)2 / 1000 = 0.48 Вт = 0.5 Вт
Элементы DD1.2...1.4 образуют усилитель тока для транзистора VT1. Коллекторный ток I>к.VT1> транзистора VT1 для получения достаточно крутых фронтов и для уменьшения времени рассасывания заряда в базе VT1 необходимо выбирать не менее 10mA. Тогда величина резистора R5 определится как:
R5 = U>пит> / I>к.VT1> = 24 / 0.01 = 2.4 кОм.
Тогда максимальный ток базы транзистора VT1 равен:
I>б> = I>к.max> / h>21э.min> = 15mA/40 = 0.4 mA
Тогда величина резистора R3 определится как:
R3 = U>ст> / I>б> = 14 / 0.4 = 35 кОм
Принимаю R3 = 20 кОм.
Величина резистора R4 должна быть не менее:
R4 > R3×(0.7/14) = 1 кОм
Принимаю R4 = 2 кОм.
Транзисторы VT2,VT3 типа КТ815, КТ814; VT4, VT5 типа КТ819, КТ818. Диоды VD2, VD3 типа КД522 или другие импульсные. При выборе транзисторов данных типов времена фронтов получены менее 1 мкс.
Номиналы элементов R6, R7, R8, C3, C4, C5, C6 не рассчитывались и подобраны экспериментально в процессе макетирования. Их значения:
R6 = 2.2 кОм;
R7 = R8 = 100 Ом;
C3 = С4 = 0.15 мкФ;
C5 = C6 = 1.5 мкФ.
Транзисторы VT2, VT3 должны иметь время рассасывания меньшее, чем транзисторы VT4, VT5.
Напряжение смещения, подаваемое на двигатели стабилизации определяется следующим образом. Пусть момент смещения составляет 15% от максимального, тогда напряжение и ток смещения для одного двигателя определится как:
I>см> = I>max>×0.15 = 1.5×0.15 = 225 mA
U>см> = R>д>×I>см> = 20×0.225 = 4.5 B.
где R>д> - сопротивление обмотки якоря двигателя;
I>max> - максимально допустимый ток двигателя.
Резисторы R9, R10 служат для регулировки тока смещения. Пусть падение напряжения на них составляет 0.5 В, тогда зная падение напряжения на диодах VD4...VD7 равное U>д> = 0.6В, определяем напряжение на вторичных обмотках W2...W5 равное.
U>2> = U>д> + U>R9> + U>см> = 0.6 + 0.5 + 4.5 = 5.6 B.
Напряжение на первичной обмотке W1 равно половине напряжения питания U>1> = U>пит> / 2 = 24/2 = 12 B.
Мощность отдаваемая генератором в двигатели стабилизации составляет:
Р>2> = 2×2×U>2 >× I>см> = 2×2×5.6×0.225 = 5 Вт.
Основываясь на полученных значениях напряжений, токов и мощностей проведем упрощенный расчет трансформатора Т1.
Определяем габаритную мощность трансформатора.
Р>г> = Р>2>/(К×КПД)= 5/(0.85×0.71) = 8.4 Вт.
где К = 0.71 - коэффициент учитывающий исполнение вторичной обмотки [Л13].
Зная габаритную мощность, задаваясь частотой работы генератора f = 20 кГц и материалом магнитопровода (феррит 2000НМ1), по таблицам [Л13] определяем минимальный типоразмер сердечника магнитопровода, который будет К10х6х3. Принимаю типоразмер сердечника К20х12х6. Площадь его сечения S>с >= 0.24 см2.
Определяем количество витков первичной обмотки при максимальной индукции магнитопровода В = 0.2 Тл.
U>пит.мах> /2 36×104/2

W1
= = = 47
4×f×B×S>c> 4×20000×0.2×0.24
Принимаю W1 = 50 витков, т.о. на 1 виток приходится 0.36В. Определяем количество витков вторичных обмоток.
W2 = W3 = W4 = W5 = U>2> / 0.36 = 5.6 / 0.36 = 16
Определяем диаметр проводов обмоток задавшись плотностью тока в обмотках j = 10 А/мм2.
1) Первичная обмотка.
Ток первичной обмотки:
I>1> = I>2> / КПД = 0.45 / 0.85 = 0.53 A

4×I>1
>4×0.53

d>1>
= = = 0.25 мм
3.14×j 3.14×10
2) Вторичная обмотка.

4×I>2
>4×0.45

d>2>
= = = 0.24 мм
3.14×j 3.14×10
Описание датчика угла (перемещения) фазового типа.
Принцип работы датчика угла (ДУ) основан на том, что скорость распространения электромагнитной волны в проводящей среде меньше, чем её скорость в вакууме. Таким образом, устанавливая на пути распространения волны слой проводящего материала шириной пропорциональной, например, углу поворота ротора ДУ, и измеряя задержку распространения сигнала можно судить о толщине этого слоя и, следовательно, об угле поворота ротора ДУ. Эту задержку удобно измерять сравнивая фазы двух сигналов: задержанного и, например, распространяющегося свободно.
Рассмотрим процесс распространения плоской электромагнитной волны в проводящем полупространстве (пластине бесконечной толщины), т.е. без учёта составляющей волны, отраженной от “задней” стенки пластины. Это допущение справедливо т.к. при переходе электромагнитной волны из среды с низким волновым сопротивлением в среду с высоким волновым сопротивлением отражением в практических задачах можно пренебречь [Л14,стр.178]. В этом случае уравнения описывающие электромагнитную волну распространяю-щуюся в проводящей среде вдоль оси Z имеют вид:
. . . .
H=C×e-pz; E=Z>в>×C×e-pz ,
.
где С - постоянная интегрирования;
Р=k×(1+j) - постоянная распространения [м-1]; (1)
Z>в>=Р/g - волновое сопротивление [Ом];
здесь j - “мнимая” единица;
g - проводимость [(Ом×м)-1];



k=
(w×g×m>а>)/2
;
m>а> - магнитная проницаемость [ Г/м ];
w - угловая частота [с-1];
.
Постоянную интегрирования С найдём из граничных условий. Обозначая напряженность магнитного поля на поверхности
. . .
проводящей среды через H>a>=H>a>×ej×j при z=0 получим C=H>a >. Поэтому с учётом (1) .
H=H>a>×e-kz×e-jkz×ejj (2)
.
Аналогично E=H>a>×e-kz×Z>в>×e-jkz×ejj×ejp/4 (3)
Чтобы записать выражение для мгновенных значений H и E, необходимо правые части (2) и (3) умножить на ejwt и взять мнимые части от полученных произведений.
H=H>a>×e-kz×sin(wt-kz+j) (4)


E=H>a>× (w×m>a>)/g ×e-kz×sin(wt-kz+j+p/4) (5)
Анализируя полученные выражения (4) и (5) выявляются следующие свойства электромагнитной волны в проводнике:
1) Амплитуда H и E с увеличением z уменьшается по показательному закону благодаря множителю e-kz.
2) Мгновенные значения H и E определяются аргументом синуса, который зависит от z и от wt.

Для
того, чтобы охарактеризовать скорость
убывания амплитуды электромагнитной
волны вводят понятие “глубина
проникновения”, понимая под этим
расстояние вдоль направления
распространения волны на котором
амплитуда падающей волны уменьшается
в e раз. Глубину проникновения определяют
с помощью выражения e-kd=e-1,
откуда k×d=1
или
d=1/k= 2/(w×g×m>a>) (6)
Как видно из выражения (6) d зависит только от свойств проводящей среды g и m>а>, и частоты w.
Под длиной волны l в проводящей среде понимают расстояние вдоль направления распространения волны на котором фаза колебаний изменяется на 2×p. Длину волны определяют из уравнения l×k=2×p откуда:
l=2×p/k (7)
Кроме того, из выражения для аргумента синуса в выражениях (4), (5), можно определить фазовую скорость распространения электромагнитной волны в проводящей среде, т.е. скорость с которой надо было бы перемещаться вдоль оси z чтобы колебание имело одну и ту же фазу. Фаза колебания определяется из аргумента синуса выражения (4):
wt-kz+j=y (8)
Производная от постоянной есть ноль, поэтому:
d/dt{(wt-kz+j)}=0 или w-k×(dz/dt)=0; dz/dt=v>фаз>; v>фаз>=w/k.
Практический интерес представляет разность фаз электромагнит-ной волны в точках разнесённых по оси z на расстояние h=z>1>-z>2>; (z>1>¹z>2>). Фаза колебания определяется выражением (8), откуда разность фаз Dy=y>1>-y>2>=k×(z>1>-z>2>)=k×h

Dy=k×h=k
(w×g×m>a>/2) [рад]
(9)
Как видно выражения (9), разность фаз прямо пропорциональна толщине слоя проводящей среды между точками z>1> и z>2>. При этом если в ДУ в качестве проводящей среды используется пластина конечной толщины, то разность фаз будет пропорциональна её толщине.
Проанализируем полученные зависимости числено. Пусть в качестве проводящего слоя используется медная пластина толщиной h=1 мм., проводимость меди g=5.6×107 (Ом×м)-1. Частота f=5 кГц, тогда w=2×p×5000=31416 рад/с.; m>а>=4×p×10-7 Г/м.


k= (w×g×m>a>)/2= (31416×5.6×107×4×p×10-7)/2 =1051 м-1
Разность фаз падающей и прошедшей волн составляет:
Dy=k×h=1051×10-3=1.05 рад = 60.2 град.
При этом длина волны в материале пластины равна:
l=2×p/k=2×p/1051=0.006 м = 6 мм.
Амплитуда прошедшей через пластину (H) волны будет составлять от первоначальной (H>0>=1 А/м):
H=H>0>×e-kz=1×e-1051×0.001=0.35 А/м.
Из примера видно, что практическая реализация датчика подобного типа не представляет особых технических сложностей.
Преимущества ДУ фазового типа:
1) Датчик бесконтактный.
2) Диапазон измеряемых углов до 360°.
3) Простота конструкции.
4) Удобство обработки выходного сигнала, т.к. разность фаз легко преобразуется как в цифровую, так и в аналоговую форму.
5) Чувствительность к помехам на несколько порядков ниже, чем в ДУ в которых измеряемому углу соответствует амплитуда выходного сигнала (т.к. внешняя помеха воздействуя на амплитуду сигнала практически не влияет на его фазу).
6) Выходной сигнал ДУ при измерении любого по величине угла имеет большую амплитуду (единицы вольт), поэтому отпадает необходимость использования точных каскадов предварительного усиления, что уменьшает, в том числе, и дрейф нуля зависящий от электроники, который и определяется в основном каскадами предварительного усиления.
7) Стабильность выходных параметров ДУ определяемая фактически только свойствами материала ротора.
8) Лёгкость регулировки крутизны выходной характеристики ДУ изменением частоты питания обмотки возбуждения.
9) Лёгкость получения выходной характеристики любого вида путём изменения толщины материала проводящей пластины.
К недостаткам ДУ подобного типа можно отнести:
1) Относительно сложную электронную часть.
2) Технологические трудности построения датчиков для измерения малых углов.
Рассмотрим некоторые возможные варианты конструкции ДУ.
1) Простейшая конструкция ДУ представлена на рис.1.

Рис.1.
С генератора на ОВ подаётся питающее напряжение. Напряжение на СО отстаёт по фазе от возбуждающего на величину пропорциональную косинусу угла поворота ротора, который выполнен в виде диска переменной толщины.
Недостатком данной конструкции является присутствие постоянного сдвига по фазе между сигналами на ОВ и СО, который в данной конструкции зависит не только от свойств материала ротора, но и от радиальных перемещений ротора и частоты напряжения возбуждения. Эту постоянную составляющую необходимо знать заранее и вычитать из полезного сигнала, что вносит дополнительную погрешность в точность установки нуля ДУ.
2) Для устранения влияния свойств материала ротора на уровень нулевого сигнала и устранение постоянного фазового сдвига применяется дополнительная “опорная” обмотка по конструкции аналогичная измерительной. Конструкция такого ДУ приведена на рис.2.
Рис.2.
На фазоизмеритель подаётся напряжение с двух сигнальных обмоток, сигнал в одной из которых является опорным, а в другой - измеряемым.
В данной конструкции изменение свойств материала ротора от воздействия внешних факторов (например температуры), изменение частоты питания обмотки возбуждения приводит только к изменению крутизны выходной характеристики ДУ. Кроме того уменьшается влияние радиальных смещений ротора.
Если необходимо стабилизировать крутизну ДУ, то это возможно выполнить введением в его конструкцию схемы стабилизации крутизны, представляющую собой дополнительный контур измерения фазы (аналогичный рис.1), который измеряет фазовое запаздывание на дополнительном участке ротора имеющего постоянную толщину при любом повороте ротора и схему управления частотой генератора возбуждения. Фазовое запаздывание измеряемое этим контуром сравнивается с “эталонным” и в случае их несовпадения вырабатывается сигнал управления частотой возбуждающего генератора. Хотя следует заметить, что чувствительность крутизны ДУ (DК>р>) зависящая от свойств материала ротора определяется в основном его температурным коэффициентом сопротивления (величина которого для металлов (1¸7)×10-3 [К-1]) в квадрате. Таким образом в ДУ без стабилизации крутизны DК>р>»1×10-6¸5×10-5, что для большинства приложений оказывается достаточным
Приведённые на рис.1 и рис.2 конструкции ДУ позволяют измерять углы поворота ротора не более 180°. Для измерения углов поворота ротора до 360°, в конструкцию необходимо добавить ещё один “комплект” возбуждающих и измерительных обмоток, расположенных под углом 90° к основным. Таким образом на выходе ДУ мы будем иметь два сигнала, один из которых пропорционален синусу, а второй - косинусу угла поворота ротора.
Описание вариантов исполнения электроники ДУ рассмотрим для конструкции ДУ приведённой на рис.2 в случаях аналогового и цифрового выходных сигналов. Следует заметить, что хотя фазу сигнала в выходных обмотках ДУ возможно “вращать” на большие углы, на практике желательно ограничиться углами в несколько десятков градусов для упрощения построения электронной части ДУ.
1) Электронная часть ДУ для случая цифрового выходного сигнала представлена на рис.3.
Рис.3
Схема обрабатывает сигнал поступающий с ДУ, конструкция которого представлена на рис.2. Компараторы DA1 и DA2 преобразуют синусоидальное напряжение поступающее с обмоток ДУ в прямоугольные импульсы не изменяя при этом фазу сигнала. Сигнал с обмотки СО>1> является опорным. Передний фронт импульса напряжения U>1> разрешает переключение триггера DD1 в состояние, определяемое логическим уровнем сигнала U>2>, знак которого в момент прихода фронта U>1> определяется знаком разности фаз напряжений U>1>, U>2>. Одновременно импульсные последовательности U>1> и U>2> поступают на логический элемент DD2 (“исключающее ИЛИ”), на выходе которого дважды за период напряжения питания ДУ появляется сигнал логической единицы, длительность которого пропорциональна разности фаз напряжений U>1>, U>2>. Этот сигнал управляет прохождением тактовых импульсов f>такт> ,число которых в пачке на выходе DD3 будет пропорционально разности фаз U>1>, U>2> и следовательно пропорционально углу поворота ротора.
Данная схема позволяет обрабатывать напряжения U>1 >и U>2>, разность фаз которых может изменяться в диапазоне от 0° до 180°.
2) Если выходной сигнал ДУ требуется получить в аналоговой форме, то электронная часть ДУ может быть выполнена, например, по следующей схеме (Рис.4.) [Л15,стр94].
В данной схеме выделение разности фаз напряжений U>1> и U>2> осуществляется с помощью логических элементов DD1...DD5 совместно с фильтром нижних частот выполненном на R1,R2,C1. Питание на DD1...5 подаётся стабилизированное двуполярное, чтобы обеспечить смену знака выходного напряжения U>вых >при смене знака разности фаз. Операционный усилитель DA3 - буферный. Схема позволяет измерять разность фаз U>1>, U>2> в диапазоне ±180°.

Рис.4.
Кроме данного варианта исполнения аналогового выхода ДУ, возможно построение фазового детектора на схемах аналоговых перемножителей [Л15]. При этом диапазон измерения разности фаз не превышает ±60°.
Заключение.
В течении работы над дипломным проектом были получены следующие результаты.
— получены выражения для определения величины инерционных возмущающих моментов для двухосного гиростабилизатора учитывающие как осевые, так и центробежные моменты инерции рам карданова подвеса;
— разработана программа для численного определения величины инерционных возмущающих моментов с учетом центробежных моментов инерции рам;
— рассмотрены вопросы обеспечения устойчивости канала стабилизации с учетом:
1) нежесткостей рам карданова подвеса,
2) нежесткости крепления стабилизируемого объекта к платформе,
3) установки ЧЭ в непосредственной близости к двигателям стабилизации, т.е. при косвенной стабилизации платформы;
— предложена конструкция ДУ фазового типа для использования в ГС и пульте управления;
— продолжена работа по усовершенствованию электронной части канала стабилизации, в частности, разработана новая схема ключевого каскада усилителя мощности.
ЛИТЕРАТУРА.
1. "Применение прецизионных аналоговых микросхем"
Алексеенко А.Г., Коломбет Е.А., Стародуб Г.И.
М., Радио и связь, 1985 г.
2. "180 аналоговых микросхем",справочник, Ю.А.Мячин,
М.,Радио,1993 г.
3. "Гироскопические системы", ч. 1,2
под ред. Пельпора Д.С., М., Высшая школа, 1971 г.
4. "Гироскопические системы. Элементы гироскопических
приборов" часть 3 . под ред. Д.С.Пельпора.
5. "Динамический синтез систем автоматического
регулирования" Бессекерский В.А., М., Наука, 1970.
6. Волоконный датчик вращения (ВГ915). Техническое
описание. 1993 г.
7. Волоконный датчик вращения (ВГ915).
Инструкция по эксплуатации. 1993 г.
8. Фатеев В.В., Будкин В.Л., Меламед Ю.И. "Протокол
эксплуатационных испытаний гиростабилизатора
ручного киноаппарата 1-КСР-2М", М., НИКФИ, 1977 г.
9. "Протокол эксплуатационных испытаний гиростаби-
лизатора киносъемочного аппарата, разработанного
МВТУ им.Баумана и НИКФИ по темам П453, П462,
Э8-2", Фатеев В.В., Будкин В.Л., Меламед Ю.И.,
Козлов В.В. М., НИКФИ, 1978 г.
10. Каталог изделий фирмы "Физоптика", 1994 г.
11. “Атлас конструкций гироскопических приборов”
под ред. Смолянского.
12. “Разработка и оформление конструкторской
документации РЭА”, Справочник, Романычева Э.Т.,
и др., М., “Радио и связь”, 1989 гиростабилизатор.
13. “Источники вторичного электропитания”, Справочник
Найвельт Г.С. и др., М., “Радио и связь”, 1985.
14. “Теоретические основы электротехники”, Бессонов
Л.А., М, “Высшая школа”, 1978 гиростабилизатор.
Содержание.
1. Введение.................................................................................. 1
2. Обоснование выбора подвеса гиростабилизатора................ 5
3. Анализ инерционных возмущающих моментов.................... 10
4. Анализ инерционных возмущающих моментов
для различных режимов работы ГС....................................... 18
3. Исследование влияния нежесткостей элементов ГС
на его устойчивость................................................................ 29
4. Описание электроники канала стабилизации........................ 63
5. Описание структурной схесы канала стабилизации.............. 63
6. Описание и расчет элементов электрической схемы
канала обратной связи ГС ТК................................................ 65
7. Описание схемы защиты и подачи питания на ВОГ............. 65
8. Описание элементов электрической схемы канала................ 70
9. Усилитель мощности с ШИМ................................................ 78
10. Генратор напряжения смещения........................................... 98
11. Описание ДУ фазового типа................................................. 104
12. Заключение............................................................................ 115
13. Приложения. ......................................................................... 116
14. Литература............................................................................ 149