Полипропилен
Пропилен
Получение
Пропилен наряду с этиленом и бутиленом относится к числу важнейших видов сырья современной нефтехимической промышленности.
Разнообразие синтезов на основе пропилена является причиной быстрого увеличения объема производства этого продукта. Это наглядно иллюстрируется приведенными ниже данными (табл. 1) по планируемому производству пропилена в США , стране с самой мощной нефтехимической промышленностью.
Значительное расширение производства пропилена намечается и в других промышленно развитых странах.
Источником сырья для промышленного производства пропилена могут служить продукты переработки нефти, а также природные углеводородные газы.
Пропилен получают различными методами: а) разделением газов нефтепереработки, содержащих олефины; б) пиролизом этана и пропана, содержащихся в газах нефтепереработки; в) пиролизом этана и высших алканов, выделенных из природного газа; г) пиролизом жидких углеводородов.
Таблица 1 Планируемое производство мономеров в США (в тыс. т)
|
Год |
|||
|
Мономер |
1955 |
1960 |
1975 |
|
Пропилен |
707 |
925 |
1614 |
|
Бутилен |
988 |
1121 |
2129 |
|
Этилен |
1608 |
2356 |
4711 |
Под газами нефтепереработки подразумеваются газы первичной перегонки нефти, крекинга и риформинга. Их состав зависит от технологических параметров указанных процессов. При нефте-перегонке образуется 25—30% от общего количества газов нефтепереработки. Ниже приведен примерный состав газов (в мол.%), образующихся при переработке нефти на современном нефтеперерабатывающем заводе [2]:
|
Инертные газы |
4,1 |
|
Водород |
6,1 |
|
Метан |
39,1 |
|
Этилен |
7,3 |
|
Пропилен |
8,9 |
|
Этан |
17,5 |
|
Пропан |
9,4 |
|
Бутаны |
2,6 |
|
Пентаны |
1,4 |
|
Сероводород |
3,0 |
|
Двуокись углерода |
0,6 |
Пиролиз углеводородов природного газа или жидких углеводородных фракций, выделенных из нефти, протекает при температурах свыше 700° С.
В ходе технологического процесса пиролиза в основном осуществляются следующие реакции: а) дегидрогенизация, характеризующаяся разрывом химической связи С—Н; б) деструкция, характеризующаяся разрывом связи С—С; в) реакции изомеризации; г) реакции типа синтезов — полимеризация, циклизация, реакции конденсации и т. п.
Процессы дегидрогенизации и деструкции являются эндотермическими первичными, а все остальные — экзотермическими вторичными реакциями.
При высоких температурах сначала разрывается химическая связь С—С, имеющая меньшую энергию связи (62,8 ккал/моль), чем связь С—Н. Энергия связи С—Н снижается при переходе от первичного к третичному атому углерода: энергия связи атома водорода с первичным атомом углерода составляет 87,0, со вторичным — 85,5 и с третичным — 83,0 ккал/моль .
В зависимости от способа подвода тепла в реакционную зону различают следующие методы пиролиза углеводородов для получения пропилена: а) в трубчатых печах с наружным огневым обогревом; б) с применением в качестве теплоносителя перегретого водяного пара и дымовых газов; в) в регенеративных печах с неподвижной насадкой; г) в регенеративных печах с движущимся теплоносителем; д) окислительный пиролиз (так называемый автотермический процесс, не требующий подвода тепла извне).
Наиболее распространенным методом получения пропилена является пиролиз нефтяного сырья в трубчатых печах. Это объясняется небольшими капитальными затратами на строительство трубчатых пиролизных установок и сравнительной простотой обслуживания.
Для получения пропилена высокой степени чистоты, необходимой для химической переработки, производят разделение пиролизного газа на отдельные компоненты.
Таблица 2
Состав газа, полученного пиролизом бензина (Средний молекулярный вес газа 25,6.)
|
Компоненты |
Объемн. % |
Выход на сырье, вес. % |
|
Водород |
14,2 |
0,7 |
|
Метан |
23,8 |
9,6 |
|
Этилен |
34,9 |
24,6 |
|
Этан Пропилен Пропан |
4,2 13,9 0.8 |
3,1 14,8 3,9 |
|
Бутадиен |
3,1 |
4,2 |
|
Бутилен |
5,0 |
6,9 |
|
Бутан |
0,1 |
0,2 |
|
Итого |
100,0 |
65,0 |
Выделение и очистка
Разделение газов пиролиза целесообразно осуществлять при повышенном давлении. Перед разделением газ сжимают компрессорами в четыре-пять ступеней и очищают в щелочных промывных аппаратах от кислых примесей. Затем из газа удаляют соединения ацетилена (путем селективного гидрирования на специальном катализаторе или промывкой диметилформамидом) и подвергают его осушке с помощью различных адсорбентов.
Предварительно очищенный от вредных примесей газ разделяют на фракцию С>3>, содержащую углеводороды с двумя углеродными атомами (этан+этилен), фракцию С>3> (пропан+пропилен), фракцию C>4> и т. д.
В промышленности для выделения пропилена из пиролизного газа чаще всего применяется метод ректификации, являющийся в технико-экономическом отношении наиболее выгодным.
Анализ
Для производства полипропилена требуется пропилен высокой степени чистоты. Содержание таких примесей, как ацетиленовые и сернистые соединения, кислород, окись и двуокись углерода, не должно превышать сотых и тысячных долей процента.
Удовлетворительным считается пропилен следующего состава (в объемн. ч. на 1 млн.):
Сера ................. 10*
Вода ................. 10
Пропадиен .............. 20
Кислород ............... 10
Окись углерода ........... 10
Карбонилсульфид ........... 10
Ацетилен ............... 5
Этан + пропан ............ 2000
Для определения отдельных компонентов применяют следующие методы аналитического контроля.
Сера. Общую серу определяют сжиганием навески в аппарате Wickbold ‘ a с последующим переводом образовавшегося сернистого ангидрида в серный ангидрид и далее в серную кислоту. Последнюю оттитровывают хлористым барием в присутствии торина в качестве индикатора или же определяют, фотометрически по реакции с хлоранилатом бария .
Ацетилен. Метод определения основан на образовании растворимых комплексных соединений ацетиленидов серебра в концентрированных растворах серебряных солей—азотнокислой, хлорно-кислой, фтористой и кремнефтористоводородной .
Вода. Содержание влаги в пропилене определяют в основном двумя методами: титрованием реактивом Фишера и кулонометрическим методом . Первый способ довольно сложен, а его точность относительно невысока. Правда, его можно усовершенствовать, в таком случае точность анализа составит ±2 ч. на 1 млн. Кулонометрический метод экспериментально очень прост и вместе с тем очень точен. Он основан на электролизе влаги, уловленной из потока анализируемого газа или пара гигроскопической пленкой, например фосфорной кислотой,между двумя платиновыми электродами.
Окись углерода. Используются хроматографические методы .шализа (в качестве адсорбента применяют активированный уголь, а в качестве газа-носителя—водород) или инфракрасная спектроскопия,
Пропадиен. Наиболее совершенным методом определения считается хроматографический, причем в качестве насадки разделительной колонки можно использовать силикат магния, диэтил-формамид и другие вещества. Предельная концентрация пропа-диена в пропилене определяется чувствительностью метода .шализа.
Кислород. Наиболее известны три метода. Первый основан на взаимодействии кислорода с водородом на твердом катализаторе , причем за ходом реакции следят с помощью двух термопар, одна из которых расположена в протекающем газе, а вторая— в каталитическом пространстве. Они соединены по способу встречною включения, так что замеряется разность температур. Точность анализа достигает 10 ч. на 1 млн., она зависит от активности катализатора в течение всего процесса.
Свойства
Пропилен СН>2>=СН—СН>3> (молекулярный вес 42,081) при обычных условиях—бесцветный газ со слабым характерным запахом.
С воздухом пропилен образует взрывоопасные смеси, нижний предел взрываемости которых равен 2,0 , а верхний— 11,1 объемн.%.
|
Критические константы: температура, °С |
91,9 |
|
давление, кгс/см2 |
45,4 |
|
плотность, г/мл |
0,233 0,233 |
|
Температура кипения при 760 мм рт: ст., °С Температура плавления при 760 мм рт. ст., °С Температура воспламенения, °С |
-47,7 -185,25 -107,8 |
|
Температура самовоспламенения в смеси с воздухом, °С |
458 |
|
Удельная теплоемкость Ср, ккал/(кг • град) |
0,363/25 |
|
Теплота испарения при температуре кипения, ккал/кг Теплота сгорания газа при 25° С до жидкой Н>2>О и С0>2>, ккaл/мoль |
104,62 491,99 |
|
Теплота образования газа Н0>298>, ккал/моль Коэффициент теплопроводности, ккал/(см • сек • град) |
4,879 3,33. 10-5 |
В концентрации до 4000 ч. на 1 млн. пропилен физиологически безвреден. Оказывает слабонаркотическое действие, несколько более сильное, чем действие этилена. При концентрации 15 объемн.% пропилен вызывает потерю сознания спустя 30 мин, 24%—спустя 3 мин и 35—40% —через 20 сек .
Для пропилена в качестве средства огнетушения применяют двуокись углерода.
ПОЛИМЕРИЗАЦИЯ ПРОПИЛЕНА
Стереоспецифическая полимеризация
Катализаторы стереосспецифической полимеризации
Открытие стереоспецифических катализаторов представляло большой промышленный интерес и вызвало целый ряд исследований в области полимеризации пропилена и других олефинов. Вскоре после появления первых сообщений о полимеризации этилена при низких давлениях фирмой Монтекатини и Циглером были взяты совместные патенты , в которых описаны основные группы веществ, применяемых в качестве катализаторов. Важнейшие из них следующие:
Соединения переходных металлов: TiCl>4>, TiCI>3>, TiCl>2>, , ацетилацетонат хрома и т. д.
Металлорганические соединения: Al (C>2>H>5>)>3 >, А1(С>3>Н>7>)>3>-Аl(С>16>Н>33>)>3>, , алюминиевые сплавы (например, Mg>3>Al>2>) и т. п.
Детальное изучение различных каталитических систем позволило выявить новые типы катализаторов, однако принцип их действия тот же и заключается во взаимодействии металлов органических соединений I, II или III групп периодической системы с соединениями переходных металлов IV—VIII групп. В этой сиязи представляется интересным вспомнить метилтрихлортитан (СН>3>ТiС1>3>), являющийся, по мнению некоторых исследователей , эффективным катализатором. Однако более глубокое исследование указывает на то, что сначала происходит его разложение на треххлористый титан
RTiCl>3> —> TiCl>3> + R. (1)
и катализатором служит, следовательно, система ТiС1з+RТiС1з.
Изотактический полипропилен в настоящее время получают только на гетерогенных каталитических системах, в которых переходные металлы находятся в нерастворимой, более или менее кристаллической форме, а металлорганическое соединение растворимо в углеводородной среде. Ниже приводится краткое описание получения металлорганических соединений алюминия, триэтилалюминия и диэтилалюминийхлорида, а также треххлористого титана, представляющих собой наиболее широко распространенные и технологически наиболее хорошо разработанные системы катализаторов.
Получение алюминийорганических соединений
Алкилпроизводные алюминия, применяемые в качестве катализаторов стереоспецифической полимеризации пропилена, представляют собой бесцветные, на воздухе самовоспламеняющиеся жидкости; с водой и веществами, содержащими подвижный атом водорода (спирты, органические кислоты и т. п.), реагируют в концентрированном состоянии со взрывом. При незначительном доступе воздуха и влаги окисляются до соответствующих алкоксипроизводных или гидролизуются до гидроокиси алюминия. С другими донорными соединениями (такими, как простые эфиры, амины, сульфиды) они образуют различные устойчивые комплексы, которые значительно меняют каталитическую активность. Высшие гомологи, начиная с триизобутилалюминия, отличаются уже меньшей реакционной способностью, но и они на воздухе неустойчивы, поэтому работать с ними необходимо в атмосфере инертных газов (азот, гелий, аргон и т. п.; двуокись углерода не является инертным газом).
Триэтилалюминий. Температура кипения 194° С при 760 мм рт. ст. (с частичным разложением) и 63° С при 1 мм рт. ст., плотность 0,84 г/см3, показатель преломления n20>d>=1,480, с углеводородами смешивается в любых соотношениях. При нормальной температуре примерно на 90% ассоциируется с образованием димера :

Алюминийорганические соединения могут быть получены по общему для металлорганических соединений методу, который заключается в обмене алкилов между диалкилпроизводными ртути и алюминием :

Реакция протекает с избытком алюминия при 100—120° С практически количественно. Для крупного производства, однако, этот метод не годится из-за трудности получения исходных алкилпроизводных ртути, с одной стороны, и их высокой токсичности, с другой.
Циглер модифицировал этот метод, предложив заменить натрий гидридом натрия :

В результате реакции, которую можно осуществлять в углеводородной среде (например, в гексане или циклогексане), получается раствор диэтилалюминийгидрида. Этот раствор затем непосредственно переводится в триэтилалюминий действием этилена при 70—80° С и повышенном давлении:

Данная реакция составляет сущность так называемого прямого синтеза триэтилалюминия , уравнение которого можно записать в виде:

При проведении реакции возникают известные трудности; особенно сложно приготовить алюминий в тонкоизмельченной активной форме без поверхностных оксидных пленок. Измельчение можно проводить на вибрационных мельницах в среде =50% раствора триэтилалюминия. Полученная суспензия активного алюминия затем вступает в реакцию с водородом в автоклаве при 10-120° С, давлении водорода 20—30 ат и в присутствии в качетве катализатора пористого титана:

На следующей стадии проводится реакция (7), и весь цикл повторяется сначала.
Хотя в настоящее время в промышленности применяются оба посмотренных метода синтеза триэтилалюминия, прямой синтез в будущем непременно получит преимущественное развитие, так как в этом случае практически отсутствуют трудно утилизируемые отходы производства .
Диэтилалюминийхлорид можно с успехом применять вместо триэтилалюминия в каталитических системах с , , -модификациями треххлористого титана. Физические свойства диэтилалю-минийхлорида: температура кипения при 760 мм рт. ст. 208° С, при 0,9 мм рт. ст. 44° С; плотность 0,9736 г/мл; температура плавления —74° С; вязкость 1,45 спз при 23° С. С алифатическими и ароматическими углеводородами смешивается в любом соотношении. Степень ассоциации до мостиковой димерной структуры выше, чем у триэтилалюминия и этилалюминийхлорида.
В производстве диэтилалюминийхлорид получают из этилалюминийсесквихлорида, однако вместо реакции с NaСl применяется частичное дегалогенирование металлическим натрием по схеме:

Влияние условий проведения реакции на процесс полимеризации .
Основные параметры процесса полимеризации, а именно общая скорость процесса, стереоизомерный состав полимера и его молекулярный вес, зависят от химической и физической природы катализатора, полимеризационной среды и физических условий, а также степени чистоты отдельных компонентов системы и их концентрации.
Линейный полиэтилен на таких катализаторах может образовываться как в гомогенной, так и в гетерогенной фазе, поскольку он не имеет пространственных изомеров. Для получения же изо-тактического полипропилена предпочитают применять твердые хлориды титана (прежде всего TiCl>3>) в сочетании с алюминийорганическим компонентом. О роли твердой фазы говорит тот факт, что в присутствии каталитического комплекса металлорганического соединения с переходным металлом, адсорбированного на аморфном носителе, при полимеризации пропилена образуется атактический аморфный продукт. Тот же комплекс, адсорбированный на кристаллическом носителе (треххлористый титан), позволяет получить изотактический полимер . Следует отметить, что самой по себе регулярности решетки носителя еще недостаточно для того, чтобы катализатор приобрел высокую стереоспецифичность; носитель должен также удовлетворять определенным стерическим условиям, связанным с величиной его ионов и расстоянием между ними. Так, в присутствии трехбромистого или трехиодистого титана атактического полимера образуется больше, чем при применении треххлористого титана.
Льюисовский характер обоих каталитических компонентов предопределяет и выбор среды. Наиболее выгодной средой считаются инертные углеводороды. Поскольку треххлористый титан действует как сильный адсорбент, наиболее предпочтительны алифатические углеводороды (гептан, гексан, пропан и т. п.), которые сорбируются в меньшей степени, чем ароматические.
Влияние концентрации мономера и компонентов катализатора
Из приведенных данных по механизму стереоспецифической полимеризации следует, что активные центры образуются при сорбировании алюминийорганического компонента на поверхности твердой фазы. Поэтому в первую очередь именно этот компонент будет оказывать влияние на скорость образования полимера и его стереорегулярность.
Наибольший выход изотактического полипропилена получается при использовании треххлористого титана с малой удельной поверхностью и хорошо развитыми кристаллами. Однако на таком катализаторе полимеризация протекает медленно. При увеличении удельной поверхности применяемого катализатора одновременно со скоростью реакции возрастает содержание атактической фракции и стереоблоков в полимере, что связано, очевидно, с увеличением дефектов в твердой фазе.
Очевидно, что на изломах и гранях кристаллов мономерные звенья могут присоединяться к растущей цепи из разных положений, вследствие чего образуются аморфные полимеры или—при более специфических условиях—в большей или меньшей степени регулярные стереоблоки (стереоизомерный сополимер). Чем мельче частицы твердой фазы, тем больше изломов относительно плоскостей, отличных от обычной плоскости 001 (обозначения индексами Миллера), и, как результат, часть поверхности имеет иные геометрические и химические свойства.
Алкилбериллий, содержащий металл с наименьшим ионным радиусом, в присутствии треххлористого титана дает самый высокий выход изотактического полипропилена при больших скоростях реакции полимеризации. На степень изотактичности и скорость реакции оказывают влияние также стерические и химические свойства заместителей металлорганического соединения. При полимеризации пропилена в присутствии триметилалюминия образуется полимер с большим содержанием атактической фракции, чем при применении триэтилалюминия. Стереоспецифичностъ, однако, падает и при высших алкилах. Если один алкил алюминия заменить на галоген, то скорость реакции снижается в ряду F>Cl>Br>I; в том же порядке увеличивается молекулярный вес. Натта в результате проведенных опытов по полимеризации пропилена с треххлористым титаном в среде толуола пришел к заключению, что стереорегулярность падает в ряду
Аl(С>2>Н>5>)>2>I > Аl(С>2>Н>5>)>2>Вr > Al(С>2>Н>5>)>2>С1 > Аl(С>2>Н>5>)>2>
Алюминийдигалогениды в присутствии треххлористого титана полимеризации уже не инициируют; при введении же в систему соответствующего донора (амины, пиридин) можно получить полимер с высокой стереорегулярностью. Донор и металлорганическое соединение лучше всего брать в соотношении 1 :2.
Влияние температуры
Суммарная энергия активации полимеризации пропилена на каталитической системе треххлористый титан — триэтилалюминий равна 14 ккал/моль, причем 4 ккал/моль приходится на долю теплоты растворения мономера в н - гептане .
В отличие от константы скорости молекулярный вес и стереоизомерный состав полимера, полученного на системе треххлористый титан—триэтилалюминий, при температурах ниже 80° С изменяются относительно мало. Повышение температуры, способствующее уменьшению молекулярного веса, вызывает также и заметное изменение содержания экстрагируемых фракций. Полимеры, синтезированные при 100° С, содержали лишь 3% аморфной фракции . На катализаторе Т1С1>3>-А1(С>3>Н>5>)>2>I и других известных каталитических системах полимеризация проходит с более низкой скоростью, чем в присутствии TiCl>3> - AIR>3> или TiCI>3> - BeR>3>.
Влияние примесей
Оба компонента каталитической системы охотно вступают в реакцию с веществами, в молекуле которых есть атом со свободной электронной парой. В случае триэтилалюминия стремление заполнить недостающую электронную пару на алюминии настолько велико, что это вещество в нормальных условиях существует как димер с довольно большой устойчивостью. Димер энергетически более устойчив (почти на 10 ккал/моль). Триалкилалюминий образует с донорами комплексные соединения, некоторые из них настолько устойчивы, что их можно перегонять, а попытка разделить их на первоначальные компоненты часто приводит к деструкции всей молекулы .
Благодаря наличию свободных орбит переходный металл образует координационные связи с мономером за счет п-электронов последнего. Подобное взаимодействие имеет место с молекулами, имеющими свободную электронную пару. Соединения, обладающие способностью к координации, покрывают часть активной поверхности катализатора, некоторые из них действуют как каталитические яды и влияют на ход полимеризации и свойства полимера.
Аналогичным действием обладают и ненасыщенные углеводороды (пропадиен, ацетилены), которые к тому же не реагируют с триалкилалюминием и сильно сорбируются треххлористым титаном. Эти вещества снижают скорость полимеризации и модифицируют свойства полимера.
Примеси можно разделить на две группы в зависимости от того, действуют ли они как ингибиторы или как промоторы полимеризации. Сначала рассмотрим соединения с ингибирующими свойствами, часто присутствующие в сырье. При температуре полимеризации триалкилалюминий образует с полярными примесями комплексы, которые на дальнейший ход полимеризации не оказывают существенного влияния. Примеси, сорбированные на твердой фазе, где происходит реакция роста цепи, действуют гораздо интенсивнее. При малых их количествах наблюдаются индукционный период и снижение скорости полимеризации по окончании этого периода . Изменяется и стереоизомерный состав полимера: обычно повышается содержание аморфных и стереоблочных фракций.
Продолжительность индукционного периода определяется теми факторами, от которых зависит скорость удаления сорбированного вещества с поверхности твердой фазы. Примеси, которые слишком сильно сорбированы или из-за стерических затруднений не могут участвовать в реакции роста цепи (в роли сополимера), действуют как сильные ингибиторы процесса полимеризации. Из доноров наиболее сильными каталитическими ядами являются COS, CS>2>, R>2>S, СО, т. е. вещества, известные своим ингибирующим действием и способностью образовывать координационные связи. Из ненасыщенных углеводородов наиболее эффективным ингибитором считается пропадиен. Ацетиленистые соединения также снижают скорость полимеризации. Однако сорбция их треххлористым титаном не настолько сильна, чтобы исключалась возможность сополимеризации. Ацетилен образует с пропиленом сополимеры, которые уже при ничтожных концентрациях ацетилена в системе (10 ч. на I млн.) имеют сине-фиолетовую окраску, свидетельствующую о наличии сопряженных двойных связей и, следовательно, об образовании сополимера с блочной структурой. Метилацетилен цветных сополимеров не дает.
Вторую группу примесей составляют вещества, имеющие ионный характер или приобретающие его после сорбции на поверхности твердой фазы. Из доноров значительный интерес представляют вещества, которые способны образовывать ониевые соединения. Наибольшей активностью отличаются соединения на основе азота, такие, как амины, пиридин и т. п. При применении треххлористого титана с малой >2>удельной поверхностью (хорошо развитые кристаллы) они вдвое повышают скорость реакции уже в концентрациях 10-4 моль /л, в то время как диэтиловый эфир при прочих равных условиях—всего лишь в 1,3 раза.
Доноры обычно увеличивают молекулярный вес полимера. Исключение составляют вещества, содержащие группу, способную вызвать передачу цепи. По влиянию на величину молекулярного веса активаторы можно расположить, например, в следующий ряд:
H>2>S < RSH < RSR < CS
Вещества, способные образовывать ониевые соли, уменьшают количество образующегося при полимеризации продукта, растворимого в холодном и кипящем гептане (аморфные фракции и стереоблоки). Частично, однако, меньшая растворимость в гептане обусловлена более высоким молекулярным весом полимера .
Регулирование свойств продукта
Полученный в результате стереоспецифической полимеризации продукт наряду с изотактическим полимером содержит также некоторое количество атактической фракции и так называемые стереоблокполимеры, в макромолекулах которых чередуются на противоположных сторонах цепи не отдельные группы СНз, а целые изотактические участки этих групп. Катализатор находится в массе образовавшегося полимера, и поэтому его необходимо либо удалить, либо перевести в химически инертную форму, не вызывающую деструкции и нежелательного окрашивания полимера. Содержание аморфных и стереоблочных фракций оказывает влияние на способность полимера к переработке и свойства получаемых изделий и должно быть отрегулировано в соответствии с назначением полимера. Другим параметром, который необходимо варьировать в широких пределах в зависимости от назначения полимера, является величина молекулярного веса.
Регулирование молекулярного веса
Как уже упоминалось, увеличить молекулярный вес полимера можно с помощью различных добавок (например, аминов) или самих каталитических систем (AlR>2>X—TiCI>3> и др.). Снизить молекулярный вес можно тремя методами: а) выбором режима полимеризации (катализатор, температура, концентрация мономера и т. п.); б) добавлением веществ, вызывающих передачу цепи; в) направленной деструкцией готового полимера.
Об изменении величины молекулярного веса с изменением условий ведения процесса полимеризации достаточно подробно говорилось выше. На практике молекулярный вес полимера чаще всего регулируют с помощью агентов передачи цепи. Впервые для этой цели был применен водород. Его действие зависит от концентрации в жидкой фазе. При прочих равных условиях (концентрация катализатора и мономера, температура) снижение молекулярного веса в первом приближении пропорционально корню квадратному из парциального давления водорода . В низших углеводородах (С>3>) растворимость водорода повышается с ростом температуры. Эта кажущаяся аномалия теоретически хорошо исследована.
Водород, применяемый в качестве агента передачи цепи, должен быть очень чистым (в противном случае происходит резкое снижение скорости реакции). Водород, полученный при пиролизе газов, обычно содержит СО, а электролитический водород—большое количество кислорода и воды (сотни частей на миллион). Однако и очень чистый водород, взятый в высоких концентрациях, снижает скорость реакции на 30—40%. Содержание аморфного полимера с уменьшением молекулярного веса повышается незначительно. Передачу цепи с помощью водорода можно с успехом использовать и для получения волокнообразующего полипропилена с [] =1.
Другим эффективным агентом передачи цепи является диэтилцинк . Его действие было открыто Натта при изучении металлорганнческих соединений, способных образовывать активный каталитический комплекс с треххлористым титаном. В последнее время опубликовано большое число исследований, посвященных регулированию молекулярного веса полимера ; методом направленной деструкции. Деструкция углеводородных полимеров в теоретическом отношении тесно связана с процессами крекинга и пиролиза углеводородов .
Экстракция аморфных и стереоблочных фракций из полимера
В зависимости от способа полимеризации образуется полимер разного стереоизомерного состава. Структура полипропилена может быть нескольких типов (изотактическая, синдиотактическая, атактическая и стереоблочная). Различие между указанными структурами молекулярной цепи обусловливается неодинаковым положением метальной группы у третичного атома углерода. Изотак-тнческий и синдиотактический полимеры имеют совершенно регулярно построенные цепи, располагающиеся вдоль винтовой оси (спирали). Структуру называют изотактической, если все метильные группы находятся по одну сторону от воображаемой плоскости главной цепи. Структура с регулярно чередующимся расположением метильных групп по разные стороны главной цепи называется синдиотактической, а структура со стерически нерегулярной последовательностью метильных групп—атактической. Стерео-изомеры различаются между собой по свойствам. Атактический полипропилен представляет собой каучукоподобный продукт с высокой текучестью, стереоблокполимеры обнаруживают уже некоторую прочность, хотя и они обладают свойствами эластомеров. Изотактический полипропилен — вязкий продукт с высоким модулем упругости.
Низкомолекулярные атактические фракции необходимо удалить из полимера, так как со временем они мигрируют к поверхности изделий, делая их липкими на ощупь. Стереоблокполимеры хорошо совмещаются с изотактическим полипропиленом. В известной степени они действуют как внутренний пластификатор и снижают кристалличность полимера. Их удаляют из полимера полностью или хотя бы частично в зависимости от назначения изделия. Для некоторых целей (в частности, для получения высокопрочного волокна) требуется полипропилеи, обладающий практически 100%-ной степенью изотактичности.
Атактические и стереоблочные фракции удаляют из полимера экстракцией. Растворимость этих фракций зависит от применяемого растворителя и температуры. Экстракция обычно производится алифатическими углеводородами. Хлорированные растворители отличаются несколько лучшей растворяющей способностью, однако они отщепляют хлористый водород, который и в незначительных концентрациях вызывает коррозию оборудования и привносит в полимер следы железа, существенно снижающие его термоокислительную стойкость.
Схема производства полипропилена фирмы Монтекатини
В полимеризационный автоклав 4 , снабженный охлаждающей рубашкой , в один прием загружают оба компонента катализатора и мономер. Полимеризацию ведут при температуре =80° С и давлении до 30 ат в определенном количестве растворителя (гептана). Как только скорость полимеризации падает (вследствие конверсии мономера) ниже некоторого предела, часть реакционной массы (30—50% объема автоклава) переводят в аппарат для дегазации 5. В автоклав 4 из аппарата 1 подают нужное количество дисперсии катализатора в гептане, а также свежий мономер с таким расчетом, чтобы уровень жидкости в автоклаве был таким же, как вначале. При крупнотоннажном производстве параллельно устанавливают 6—10 полимеризационных автоклавов, рабочие циклы (загрузка и разгрузка) которых соответствующим образом смещены друг относительно друга. Все операции на данной стадии процесса выполняются автоматически по заданной программе. На следующей стадии полимер отделяют от растворителя и содержащихся в нем атактических фракций. Затем производят экстракцию остатков катализатора спиртами, а также промывку или отпарку полимера. После сушки порошковый полипропилен подвергают грануляции на двухчервячной экструзионной машине с вакуум-отсосом.


Сополимеризация пропилена
Наряду с изучением физических и механических свойств полипропилена внимание исследователей во всем мире привлекает сополимеризация пропилена с другими мономерами в целях модификации свойств продукта. В круг проблем, связанных с сополимеризацией на стереоспецифических катализаторах, помимо изучения состава сополимера и содержания исходных мономеров,входит также изучение пространственного строения образующихся продуктов с учетом примененной комбинации мономеров и каталитической системы.
Наибольшие успехи пока достигнуты при совместной полимеризации этилена с пропиленом, поэтому данный вопрос целесообразно осветить более подробно.
Сополимеризация этилена с пропиленом
Введение небольшого количества пропилена или бутена-1 в цепь полиэтилена, синтезированного на циглеровском или окисно-хромовом катализаторе, вызывает резкое снижение степени кристалличности продукта и, как следствие, улучшение ряда его технически ценных свойств. Исследованиями установлено, что в присутствии 21 группы СН>3> на 1000 групп СН>3> главной цепи (т. е., =6,25 вес.% пропилена) кристалличность полиэтилена снижается почти на 20%. Подобный же эффект дают 14 групп C>2>H>5> на 1000 групп СН>2> (т. е. -5,6 вес.% бутена-1).
Аморфные сополимеры этилена с пропиленом с содержанием 30—70% пропилена,по всей вероятности, найдут применение в резиновой промышленности. Методам вулканизации, хлорирования и хлорсульфонирования с последующей вулканизацией этих продуктов уже посвящено большое число обстоятельных исследований.
Улучшения свойств сополимеров можно достигнуть полимеризацией трехкомпонентной системы, состоящей из этилена (25—75%), пропилена (25—75%) и диена с одной концевой двойной связью и одной изолированной внутренней двойной связью (0,1—1,0 моль/кг}. Из литературных источников известно , что названные тройные сополимеры по своим свойствам аналогичны бутилкаучуку и поддаются переработке не хуже обычных типов синтетических каучуков.
Достоин упоминания метод получения блоксополимеров этилена с пропиленом, структуру которых можно представить так:

Растущие цепи имеют относительно большую продолжительность жизни, и при поочередном введении сомономеров в каталитическую систему (например, четыреххлористый титан—триэтил-алюминий в гептане) можно произвольно управлять ростом и чередованием рядов отдельных мономеров. По своим свойствам такие продукты отличаются от смесей гомополимеров и от классических статистических сополимеров.
Структура полипропилена
В зависимости от условий проведения процесса полимеризации пропилена получаются полимеры с различной молекулярной структурой, которая определяет их физико-механические свойства и, как следствие, пригодность для той или иной цели.
Стереоизомерия
Открытие стереоспецифической полимеризации положило начало новому этапу в исследовании структуры и свойств полипропилена. В зависимости от условий полимеризации структура полипропилена может быть нескольких типов, которые различаются пространственным расположением метальных групп по отношению к главной цепи полимера .
а) Изотактическая структура—все группы СН>3> находятся по одну сторону от плоскости цепи:

В действительности, однако, макромолекулы изотактического полипропилена имеют третичную симметрию, так как группы СН>3> вдоль главной углеводородной цепи располагаются по спирали.
б) Синдиотактическая структура—группы СН>3> располагаются строго последовательно по разные стороны от плоскости цепи:

Изотактическая и синдиотактическая молекулярные структуры могут характеризоваться различной степенью совершенства пространственной регулярности.
Структуру с неупорядоченным расположением метильных групп называют атактической:


Промежуточное положение между чисто атактической и чисто изотактической структурами занимают стереоблокполимеры, в макромолекулах которых регулярно чередуются различные по длине изотактические и атактические участки.
На рис. 4.2 показаны типы пространственной структуры цепи линейного полипропилена.
Стереоизомеры полипропилена (изотактические, синдиотактические, атактические и стереоблочные) существенно различаются по механическим, физическим и химическим свойствам. Атактический полипропилен представляет собой каучукоподобный продукт с высокой текучестью, температура плавления =80° С, плотность 0,85 г/см3 , хорошо растворяется в диэтиловом эфире и в холодном н-гептане. Изотактический полипропилен по своим свойствам выгодно отличается от атактического; в частности, он обладает более высоким модулем упругости, большей плотностью (0,90—0,91 г/см3), высокой температурой плавления (165—170°С), лучшей стойкостью к действию химических реагентов и т. п. В отличие от атактического полимера он растворим лишь в некоторых органических растворителях (тетралине, декалине, ксилоле, толуоле), причем только при температурах выше 100° С. Стереоблок-полимер полипропилена при исследованиях с помощью рентгеновских лучей обнаруживает определенную кристалличность, которая не может быть такой же полной, как у чисто изотактических фракций, поскольку атактические участки вызывают нарушения в кристаллической решетке .
Определение стереоизомерного состава полипропилена обычно производят методом последовательного экстрагирования , основанным на резком различии в растворимости аморфной и кристаллической фракций. Как правило, экстрагирование осуществляют кипящими растворителями в такой последовательности: вначале из полипропилена ацетоном экстрагируют маслообразные, низкомолекулярные атактические полимеры, затем эфиром—высокомолекулярные атактические каучукоподобные полимеры и парафиновыми углеводородами С>5>-С>7> - стереоблочные фракции со все более высокими молекулярным весом и степенью кристалличности. Точность разделения стереоб-лочных фракции, однако, весьма относительна, так как при последовательном экстрагировании их парафиновыми углеводородами из полипропилсиа извлекаются также и изотактические полимеры низких молекулярных весов. Остаток после экстракции кипящим н-гептаном представляет собой изотактический полимер; его количество, выраженное в процентах, служит показателем изотактичности полимера.
Свойства полипропилена .
Взаи мосвязь структуры и свойств
Полипропилен обладает ценным сочетанием свойств, изучение которых привлекает внимание многих исследователей, работающих как в области теории макромолекулярной хмии и физики, так и в области переработки и применения полимерных материалов.
Решающее влияние на свойства полипропилена и изделий из него оказывает молекулярная и надмолекулярная структура полимерной цепи.
Полипропилен характеризуется более сложной молекулярной структурой, чем большинство производимых промышленностью полимеров, так как, помимо химического состава мономера, среднего молекулярного веса и молекулярновесового распределения, на его структуру оказывает влияние пространственное расположение боковых групп по отношению к главной цепи. В техническом отношении наиболее важен и перспективен изотактический полипропилен. В зависимости от типа и соотношения присутствующих стереоизомеров свойства полипропилена изменяются в широком диапазоне.
Молекулярный вес. Разные свойства полимера зависят от величины молекулярного веса в различной степени. Так, при механических нагрузках, связанных с малыми деформациями или малыми скоростями деформации, с изменением молекулярного веса (и то лишь у полимеров с низким молекулярным весом) такие свойства полимера, как предел текучести, модуль упругости или твердость, изменяются незначительно. Механические же свойства полимера, связанные с большими деформациями, с изменением молекулярного веса изменяются гораздо сильнее. Например, показатели предела прочности при растяжении, относительное удлинение при разрыве, ударная вязкость при изгибе и растяжении с уменьшением молекулярного веса снижаются.
Наибольшее влияние величина молекулярного веса оказывает на вязкость растворов и расплавов полипропилена, так как под действием растворителей или в результате теплового движения цепей происходит настолько значительное уменьшение интенсивности межмолекулярного взаимодействия, что каждая макромолекула может представлять собой более или менее самостоятельную кинетическую единицу.
Механические свойства
При оценке практической пригодности полипропилена для той или иной цели первостепенное значение приобретают его механические свойства. Очевидно, что полимер с низким модулем упругости, т. е. с малой жесткостью, нельзя рекомендовать для изготовления технических деталей, подвергающихся большим механическим нагрузкам, и, наоборот, полимер с большой жесткостью оказывается непригодным там, где материал должен обладать свойством поглощать колебания с относительно высокой амплитудой.
Механические свойства полипропилена определяются его структурным составом. Атактическая фракция в чистом виде обладает свойствами аморфно-жидких полимеров, изотактическая — свойствами высококристаллических полимеров, а механические свойства стереоблокполимера занимают промежуточное положение. Промышленный иолииропилеи состоит в основном из макромолекул изотактического строения, чем и обусловлены его высокие механические характеристики.
Диаграмма растяжения
Важным показателем, характеризующим механические свойства полипропилена, является зависимость удлинения от напряжения которую определяют, подвергая испытуемый образец растяжению на разрывной машине. При этом испытании под напряжением понимают усилие, действующее на единицу площади первоначального сечения образца

Зависимость относительного удлинения от напряжения для стереоблочного полипропилена принципиально отличается от таковой для изотактического полимера. Для достижения значительной деформации в данном случае достаточно небольшого напряжения, величина которого нарастает плавно (без скачков) вплоть до разрыва испытуемого образца. После снятия напряжения основная часть деформации быстро исчезает. Подобное поведение типично для каучукоподобных полимеров.
Наконец атактнческий полипропилен обнаруживает сильную пластическую (т. е. необратимую) деформацию при незначительном напряжении, величина которого почти не изменяется до разрушения образца.
Поведение полипропилена обычных марок при испытании на растяжение определяется содержанием кристаллического полимера. С увеличением содержания неизотактических фракций начальный модуль упругости и предел текучести снижаются , относительное удлинение при разрыве, как правило, возрастает, а предел прочности при растяжении несколько падает.
С изменением величины молекулярного веса несколько изменяется форма кривой «напряжение—относительное удлинение» для полимеров с одинаковой степенью изотактичности. Предел текучести с уменьшением молекулярного веса повышается, а относительное удлинение при разрыве снижается, что связано с повышением степени кристалличности.
Диэлектрические свойства
Полипропилен, подобно большинству синтетических полимеров, является прекрасным диэлектриком. Благодаря ничтожному водопоглощению его электроизоляционные свойства практически не изменяются даже после длительной выдержки в воде .
Поведение полипропилена как диэлектрика в переменном электрическом поле во многом сходно с поведением полимера при воздействии на него динамической механической нагрузки. Индуцированные диполи звеньев цепей ориентируются по мгновенному направлению поля, в большей или меньшей степени отставая при этом от возбуждающей силы. Диэлектрическая проницпемость полипропилена почти не зависит от частоты поля и температуры.
Различие между значениями диэлектрической проницаемости изотактического ( =2,28) и атактического ( =2,16) полимеров не настолько велико, чтобы по этому показателю можно было, например, оценивать содержание атактических фракций в полипропилене.
Поверхностные свойства
Поверхность полипропиленовых изделий отличается относительно хорошей износостойкостью, близкой к износостойкости иолиамидов. Стойкость к истиранию повышается с увеличением молекулярного веса и почти не зависит от стереоизомерного состава полипропилена .
Антифрикционные свойства при контакте полипропилена со сталью близки к аналогичным свойствам найлона в сухом состоянии. При применении смазки коэффициент трения полипропилена снижается в меньшей степени, чем в случае найлона .
Неполярный характер полипропилена обусловливает плохую адгезию клеев к его поверхности. Поэтому в настоящее время нет надежных методов склеивания полипропиленовых деталей между собой и с другими материалами.
Оптические свойства
Степень прозрачности изделий из полипропилена определяется прежде всего размером сферолитов, на которых происходит рассеяние света. Если удается воспрепятствовать образованию крупных сферолитов путем быстрого охлаждения тонкой пленки, то получается прозрачное изделие, которое даже в поляризационном микроскопе не обнаруживает двойного лучепреломления, типичного для сферолитной структуры. Чем меньше скорость охлаждения — а она при плохой теплопроводности полипропилена в значительной степени зависит также и от толщины изделия, — тем крупнее сферолиты и ниже прозрачность изделия. На прозрачность оказывают влияние и другие факторы, от которых зависят размеры сферолитов, в частности величина молекулярного веса и стереоизомерный состав полипропилена.
Химическая стойкость
Полипропилен благодаря своей парафиновой структуре обладает высокой стойкостью к действию различных химических реагентов, даже в высоких концентрациях. При нормальной температуре изотактический полипропилен очень хорошо противостоит действию органических растворителей даже при длительном пребывании в них. Однако любое нарушение правильности структуры цепей, проявляющееся в уменьшении степени кристалличности полипропилена, вызывает снижение стойкости к растворителям. Эту особенность полипропилена Натта использовал для определения содержания в нем атактической, стереоблочной и изотактической структур. Спирты, кетоны, сложные и простые эфиры имеют относительно малое сродство к парафиновой цепи и поэтому не способны сольватировать цепи, прочно связанные в кристаллических участках. Однако они в большей или меньшей степени могут вызывать набухание или даже растворение атактических структур, особенно при высоких температурах. Углеводороды ввиду большего сродства к полипропилену растворяют атактические фракции уже при нормальной температуре. Интересное отклонение от такой закономерности обнаруживают сжиженные пропан и пропилен, растворяющая способность которых в области температур от -10 до -20° С выше, чем при нормальной температуре . По мере повышения температуры растворяющая способность высших углеводородов и их хлорпроизводных возрастает, так что ими можно экстрагировать и частично кристаллические стерео-блокполимеры. Наиболее эффективными растворителями являются ароматические и гидроароматические углеводороды, в которых при повышенных температурах растворяется изотактический полипропилен.
Из атмосферных влияний самым сильным оказывается действие кислорода, активированное солнечным светом.
Токсикологические свойства
Чистый полипроиилен атактической и изотактической структуры физиологически безвреден. Однако необходимо иметь в виду, что промышленный полипропилен содержит целый ряд примесей, о действии которых на организм пока известно очень мало. Поэтому требуется тщательная проверка физиологической безвредности этих веществ, прежде всего остатков катализатора, а также стабилизаторов и цветных пигментов.
Химические реакции полипропилена
Химическая модификация полипропилена, т. е. направленное изменение его физических, механических или химических свойств введением в макромолекулу новых функциональных групп, сшиванием или сополимеризацией, представляет большой интерес с научной и практической точки зрения.
Термическая деструкция
Для правильного применения полипропилена в различных областях очень важно знать процессы его деструкции. При термической деструкции полипропилена в инертной атмосфере или вакууме снижается молекулярный вес и образуются летучие продукты .
Снижение молекулярного веса полимера зависит от температуры и продолжительности пиролиза .
Скорость образования летучих продуктов также является функцией температуры . Скорость термической деструкции полипропилеиа не зависит от его молекулярного веса .
В процессе деструкции уменьшается кристалличность полипропилена . В отличие от других полимеров, например поли-тетрафторэтилена или полиметилметакрилата, при пиролизе полипропилена получается лишь незначительное количество мономерного продукта, что объясняется низкой энергией активации изомеризации макрорадикала, образовавшегося при термической деструкции . Так, при превращении 50% полимера в газообразные продукты при 387° С образуется всего лишь 0,2% мономера . Газообразные продукты состоят в основном из 2-метилпропена-1, пентена-1 и пентена-2 . При разложении неразветвленного полипропилена газообразные продукты образуются гораздо быстрее, чем в случае полипропилена разветвленного строения .
Реакции инициированные ионизирующим ультрафиолетовым излучением
Влияние различных видов излучения высокой энергии (гамма-лучи, рентгеновские лучи, электроны, нейтроны) теоретически изучено хорошо , сведения же о практическом применении облученного полипропилена значительно более ограниченны, чем, например, о применении полиэтилена.
Полипропилен имеет структуру, промежуточную между полиэтиленом и полиизобугпленом, чем и предопределяется его поведение при действии излучений . Если при облучении полиэтилена преобладающим процессом является сшивание (структурирование), а в случае полиизобутилена -деструкция главной цепи, то при облучении полипропилена процессы сшивания и деструкции находятся в соотношении 0,75—0,8:1 , вследствие чего одновременно образуются нерастворимый гель и низкомолекулярный полипропилен.
Получение сшитого продукта прямым облучением полипропилена , например в присутствии сенсибилизатора хлорбензола , в условиях нормальной температуры экономически невыгодно вследствие упомянутого выше соотношения процессов сшивания и деструкции (0,75—0,8:1). Эффективное сшивание достигается при 100—125° С . В случае присутствия в полипропилене полифункциональных мономеров сшитый полимер удается получить при значительно меньших дозах облучения, причем процесс деструкции полностью подавляется. В качестве полифункциональных мономеров пригодны моно- (ди-, три-, гетра) этиленгликольдиметакрилат, аллилакрилат, аллилметакрилат (требуют облучения мощностью 0,25 Мрад ил 20% расхода мономера), винилметакрилат, диаллилмалеинат (1 Мрад} , дивинилбензол, триаллилци-анурат и диаллилитаконаг . Такой же эффект сшивания достигается при облучении в присутствии серы, селена, теллура и некоторых их соединений , а также в результате термообработки при 180° С предварительно облученного полипропилена .
Хорошо известно, что вредное влияние на механические свойства полипропилена оказывает ультрафиолетовая часть спектра солнечного света с диапазоном волн 2800—4000 А. Под действием кислорода полипропилен подвергается фотохимической деструкции, поэтому его необходимо стабилизировать. При облучении полипропилена УФ-светом в вакууме или инертной атмосфере одновременно со сшиванием протекает деструкция . В присутствии сенсибилизаторов, например бензофенонов, полихлорированных бензолов, нафталинов и монохлористой серы (для пропилена она наиболее эффективна), доля сшитого продукта возрастает ; так, при применении монохлористой серы выход геля достигает 80% от веса облученного полипропилена .
Свободные радикалы, образующиеся в полипропилене при радиационном или фотохимическом облучении, с успехом используются для получения богатой гаммы привитых сополимеров . Радиационным облучением катализируются также различные радикальные реакции полипропилена, в частности хлорсульфонирование и сульфокисление.
Окисление
Половина углеродных атомов в полипропиленовой цепи связана с метильными группами, которые оказывают активирующее действие на атом водорода, соединенный с третичным атомом углерода. Поэтому атом водорода у третичного атома углерода оказывается более реакционноспособным, чем водород метиленовой или метильной группы , вследствие чего при повышенных температурах нестабилизированный полипропилен окисляется быстрее, чем полиэтилен.
Различная реакционная способность связей С—Н в полипропилене проявляется при радикальных реакциях передачи цепи.
Окисление полипропилена воздухом и кислородом
Для получения привитых полимеров из изотактического полипропилена и сополимеров пропилена с этиленом предложен также процесс пероксидации воздухом при температуре 70° С и давлении 3 кгс/см2, причем концентрация перекисей по истечении 5 ч достигает 0,03 вес.% .
Окислительная деструкция полипропилена, предназначенного для переработки в волокно, может быть осуществлена при 145° С и повышенном давлении воздуха в суспензии порошкообразного полимера в метаноле , а также в растворах или суспензиях поли--олефинов (полученных нагреванием с водяным паром под давлением) .
В результате глубокой окислительной деструкции изотактического или аморфного полипропилена получают воскообразные вещества. Окислительная деструкция проходит быстрее в присутствии ди-трет-бутилперекиси при 160° С , причем воскообразные эмульсии можно применять в лакокрасочной промышленности. Полимер с низким молекулярным весом (в пределах 900—30000) и температурой плавления не ниже 100° С можно получить при термообработке полипропилена при 310—480° С в течение 30 мин . Известен процесс окисления поли--олефинов, диспергированных в водной фазе, при давлении воздуха до 20 кгс/см2 и температуре 90° С. Водные эмульсии лаурилсульфата натрия и окисленного сополимера пропилена с этиленом пригодны для шлихтования тканей, а также для производства красок и лаков.
Озонирование
При окислении полимеров озоном перекиси начинают образовываться уже при комнатной температуре . Озон, действуя как инициатор окисления , значительно ускоряет окислительный процесс. Инициирующее действие озона при окислении полипропилена осуществляется через полимерные перекиси [R—0—0—R] с малым периодом жизни, которые на первых стадиях процесса вызывают также и временное, неустойчивое сшивание полимера.
Характер кривой накопления перекисей во время окисления озоном атактического полипропилена указывает на то, что в исследованном диапазоне температур 0—60° С можно достигнуть лишь ограниченной концентрации перекисей . Значительное ускорение процесса окисления озоном практически исключает наличие индукционного периода. На кинетику накопления перекисей существенное влияние оказывает характер поверхности полипропилена,
Другие способы окисления полипропилена
Для пероксидации порошкообразного изотактического полипропилена при 40—100° С или волокон из него используется смесь воздуха и летучей органической перекиси (трет-бутилперекиси) .
Для поверхностного окисления пленок можно применять различные окислители, такие, как К>2>Сг>2>О>7 >, КМn0>4> в растворе серной кислоты . Перекисные группы образуются и при окислении полипропилена азотной кислотой или двуокисью азота . Представляет интерес метод получения пероксидированного полипропилена из бромированного полипропилена за счет реакции с 5,8% НзОз в среде простого эфира при добавке пиридина . Полипропилен в присутствии кислорода окисляется при любом физическом воздействии: как при механической деструкции под действием ультразвука или излучения высокой энергии, так и под влиянием электрической дуги или коронного разряда .
Галогенирование и другие реакции замещения
Хлорирование полипропилена
В последние годы много внимания уделялось изучению хлорирования кристаллических полиолефинов, имеющих более высокую температуру плавления, чем полиэтилен, поскольку можно было ожидать, что и их хлорированные производные будут отличаться высокой температурой плавления. В настоящее время применяются три метода хлорирования.
Хлорирование в растворе
В качестве растворителя при хлорировании в растворе используют галогенированные углеводороды, в особенности ССl>4> , СНС1>3>, СН>3>Сl и дихлорбензол. Ускорению реакции способствует повышение температуры или облучение светом с длинами волн 2000— 6500 А. Каталитическое действие оказывают перекиси , азосоединения , четыреххлористый титан и т. д. Хлорирование в растворе осуществляют при нормальном или повышенном давлении .
В макромолекулу полипропилена можно ввести до 70% хлора. Гомогенно хлорированный продукт удается получить лишь изотактического полипропилена. Для кристаллического изотактиче-ского полипропилена данный метод не вполне приемлем из-за отсутствия хорошего растворителя этого полимера при температурах до 100° С. Кристаллический полимер в среде галогенированных углеводородов набухает, его поверхностный слой хлорируется, переходит в раствор; однородный продукт получается лишь при содержании в полимере более 40% хлора, в противном случае образуется гетерогенная смесь высокохлорированного полимера в растворе и частично хлорированного геля.
Влияние содержания хлора на свойства хлорированного пропилена
По мере повышения степени хлорирования уменьшается содержание кристаллической фракции в полимере. Вследствие деструкции вязкость растворов хлорированных полимеров пропилена снижается прямо пропорционально содержанию хлора. Температура размягчения, как и в случае полиэтилена , сначала падает, а затем линейно повышается, причем постепенно возрастает плотность хлорированного полипропилена . Подобно всем хлорированным полимерам хлорированный полипропилен легко отщепляет газообразный хлористый водород; так, полипропилен с содержанием хлора 60% отщепляет его уже при 108—123° С.
Применение хлорированного полипропилена
Окислы двухвалентных металлов (ZnO, MgO, PbO) реагируют с хлорированным полипропиленом (наиболее предпочтителен полимер с молекулярным весом >20000 и содержанием хлора >20%) с образованием эластомеров, обладающих прекрасной озоностойкостью. Эту реакцию часто проводят в присутствии меркапто-бензтиазола . Пленки, волокна и формованные изделия из полипропилена можно подвергнуть действию хлора так, чтобы хлорирование проходило лишь в тонком поверхностном слое. Благодаря повышенной полярности хлорированной поверхности улучшается ее способность окрашиваться и воспринимать печать, чернила, лаки, клеи, фотоэмульсию и т. п. . Хлорированный полипропилеи размягчается легче, чем нехлорированный , вследствие чего улучшается его свариваемость. Раствор низкомолекулярного хлорированного полипропилена в смеси с красителями образует несмываемые чернила . Хлорированный полипропплен в чистом виде или в смеси с немодифицированным полипропиленом может быть рекомендован для склеивания металлов, бумаги, стекла, а также поливинилхлорида и поливинилиден-хлорида . Пленки из хлорированного полипропилена применяются в качестве проницаемых мембран с высокой удельной ударной вязкостью при изгибе . Большой интерес представляет галогенирование твердого полипропилена в целях удаления остатков катализаторов полимеризации . Путем сшивания хлорированного гюлипропилена бифункциональными аминами в процессе прессования получают изделия с высокими показателями прочностных свойств.
Вулканизация хлорсульфонированного полипропилена
Вулканизация хлорсульфонированного полипропилена осуществляется с помощью окислов металлов, гликолей, диаминов, тиомочевины и других полифункциональных соединений. При этом Протекают следующие реакции:
1. Хлорсульфогруппы реагируют с окислами металлов с образованием солей или с полифункциональными аминами с образованием сульфамидных групп.
2. Атомы хлора главной цепи, особенно если они связаны с третичным атомом углерода, могут взаимодействовать с гликолями, диаминами и другими группами с выделением НС1 и образованием сшитых продуктов.
3. Двойные связи, образовавшиеся при отщеплении НС1 или SO>2>, могут реагировать с серой и ускорителями вулканизации так же, как в случае каучука.
В отличие от полиэтилена, у которого для разрушения кристаллической структуры и образования эластомера требуется довольно глубокое хлорирование (25—40%), при аморфизации полипропилена достаточно хлорсульфонирования до содержания - 1%. Рекомендуется применять полипропилен с молекулярным весом более 5000, содержанием кристаллической фракции не более 10% и содержанием хлора до 20%. При вулканизации с помощью окислов двухвалентных или многовалентных металлов реакции проходят по схеме:
RSO>2>Cl + H>2>O —> HC1 + RSO>2>OH
PbO + 2HCl —> H>2>O + PbCI>2>
PbO + 2RSO>2>OH —> H>2>О + (RSО>2>О)>2>Рb
Реакции могут протекать только в присутствии воды. В противном случае вулканизация либо вообще не имеет места, либо происходит крайне медленно. Помимо окислов металлов (10—40% от веса полипропилена), типичные вулканизационные системы обычно содержат 4—7 ч. органической кислоты и 1—3 ч. ускорителей (чаще всего меркаптобензтиазола) , а иногда и органическую перекись или сажу . Температуру вулканизации следует поддерживать в пределах 150—170° С. Хлорсульфонированный полипропилен, сшитый тиомочевиной или диаминами , имеет меньшие эластичность по отскоку и модуль упругости, чем спштый окислами металлов .
Хлорфосфорилирование полипропилена
При хлорфосфорилировании в полипропиленовую цепь можно ввести различное количество дихлорфосфоновых групп.
Реакция может быть осуществлена при обычной температуре непосредственно в растворе атактического полипропилена или на поверхности пленок волокон или формованных изделий, набухших в РС1з (иногда в смеси с органическим растворителем) под действием кислорода .
Полимер с фосфоновыми группами—РО(ОН)з, которые возникают в результате гидролиза гигроскопического полимера с группами—РОСl>2>, можно вулканизовать окислами двухвалентных металлов в эластомеры, отличающиеся хорошей озоностойкостью . Вулканизованный продукт обладает ионообменными свойствами, значительно более устойчив к неполярным растворителям, при содержании 4,7% фосфора приобретает свойства самозатухания. Были получены соответствующие амиды и сложные эфиры фосфоновых кислот . Функциональные группы этого типа, связанные с макромолекулами поверхностного слоя изделий из полипропилена, например волокон, существенно улучшают их свето- и термоокислнтельную стойкость, окрашиваемость, качество на ощупь и сорбцнонную способность. Цугом конденсации через дихлорфосфоновые группы на по.дипропилене фиксируются стабилизаторы. Раствором низкофосфорилированного (до 3% фосфора) атактического полипропилена можно пропитывать целлюлозные ткани .
Другие химические методы модификации полипропилена
Наряду с рассмотренными выше применяют и другие методы направленного изменения технически важных свойств полипропилена. В результате нитрования порошкообразного полимера или волокон азотной кислотой при 20—130° С или двуокисью азота улучшается его способность окрашиваться основными и дисперсными красителями, а благодаря наличию функциональных групп —ООН и —ONO к полипропилену можно прививать различные мономеры. С этой же целью полипропилен нитрозируют NOC1 при облучении ультрафиолетовым светом , обрабатывают газообразным или жидким фосгеном в серной кислоте или циклогексане , сульфируют или сульфокисляют при действии радиационного облучения . После обработки поверхности сульфированной полипропиленовой пленки водным раствором поливинилового спирта она становится непроницаемой для масел и паров органических растворителей . Введение спиртовых групп в макромолекулу полипропилена достигается в результате окисления полипропилена и последующего восстановления гидроперекисных групп с помощью HI или триалкилалюминия ; при этом повышается стойкость к окислению и старению и появляется возможность окрашивания азокрасителями.
Кроме того, представляют интерес каталитическое гидрирование полипропилена с целью насыщения двойных связей, образовавшихся за счет реакций обрыва цепи , а также обработка его дейтерием .
Модификация методом привитой полимеризации
Одним из новых направлений синтеза полимеров с заданными физическими, механическими или химическими свойствами является метод привитой полимеризации . Химическая структура макромолекулы полипропилена позволяет осуществлять прививку мономеров винилового типа как за счет реакций передачи цепи, так и за счет использования неустойчивых перекисных групп в окисленном полипропилене. Перспективен также и метод прививки к иолипропилсиу, активированному облучением. Сущность прививки по радикальному механизму заключается в образовании макрорадикалов полипропилена, к которым при последующей полимеризации присоединяются боковые цепи другого полимера.
В результате привитой полимеризации подавляются или даже полностью устраняются такие отрицательные свойства полипропилена, как недостаточная стойкость к термоокислительной и световой деструкции, низкая гидрофильность, плохая окрашиваемость, малая ударная прочность в области температур ниже 0°С, значительное падение прочности и повышение разрывного удлинения в условиях повышенной температуры, а в случае волокнистого материала, кроме того, улучшаются качество на ощупь (гриф) и перерабатываемость в изделия. Отсюда понятно, что модификация полипропилена, в особенности предназначенного для изготовления изделий с большой поверхностью (например, пленок и волокон), приобретает важное техническое значение.
Привитая полимеризация основаная на на реакции передачи цепи
Один из наиболее простых методов получения привитых сополимеров полипропилена — прививка за счет реакций передачи цепи, когда полимеризуется мономер, инициированный свободными радикалами в присутствии полипропилена. Полипропиленовый макрорадикал образуется в результате реакции макрорадикала полимеризующегося мономера с макромолекулой полипропилена:

О различной реакционной способности связей С—Н уже упоминалось раньше. К образовавшемуся таким путем макрорадикалу присоединяются молекулы мономера, т. е. возникает привитой полимер:

Одновременно с привитым полимером в системе образуется и нежелательный гомополимер.
Привитая полимеризация под действием радиационного облучения
При этом методе получения привитого полипропилена используют свободные радикалы, образовавшиеся под действием облучения, или вторично возникшие при облучении на воздухе пере-кисные группы.
В первом случае процесс прививки легче поддается контролю. Степень прививки определяется дозой облучения, величиной поверхности полимера, температурой, временем контакта мономера, его растворимостью в полимере и скоростью диффузии к реакционным центрам. В зависимости от выбранных условий прививать можно как ко всем макромолекулам полипропилена, так и только к макромолекулам поверхностного слоя изделий.
При проведении процесса в гомогенной системе полимер подвергают набуханию в мономере, а затем облучают. При этом образуется также и гомополимер вследствие инициирования полимеризации мономера. Прививка к полипропилену в растворе или в эмульсии изучена недостаточно.
Сшивание полипропилена
Выше уже упоминались методы сшивания полипропилена под действием излучения высокой энергии , прививкой различных мономеров в присутствии перекисей , прививкой полифункциональных мономеров , сшиванием хлорированного и хлорфосфорилированного полимера с бифункциональными аминами , вулканизацией хлорсульфонированного и хлорфосфорилированного полииропилена металлическими окислами. Наряду с ними широкое распространение получают сшивание и разветвление полипропилена перекисями и в особенности применение системы вулканизующих агентов перекись—сера .
При сшивании полипропилена, вызванном термическим разложением перекисей, одновременно происходит его деструкция. При низких концентрациях перекисей (до 0,05 моль/кг при температуре реакции 73° С) деструкция преобладает и поддается контролю. Выбор условий процесса зависит от величины исходного молекулярного веса, а его снижение определяется температурой, которой соответствует определенная эффективная концентрация перекиси . Скорость деструкции связана с концентрацией перекиси степенной зависимостью , а скорость структурирования прямо пропорциональна концентрации перекиси, поэтому при высоких концентрациях реакция структурирования начинает преобладать. Этот эффект используется для стереогибридизации смеси изотак-тического и атактического полипропилена, чем достигается существенное улучшение его морозостойкости. Гибридный стереоизомер представляет собой смесь привитых и блоксополимеров изотакти-ческого полипропилена с атактическим.
Метод вулканизации серой можно применить также и к смеси аморфного гюлиолефина с натуральным или синтетическим каучуком . В литературе описаны вулканизация полиолефинов под действием трихлорметансульфурилхлорида в присутствии катализаторов Фриделя—Крафтса , а также сшивание нолипро-пилена с помощью монохлористой серы и фтористого бора при повышенной температуре .
Старение и стабилизация полипропилена
Механизм реакции окисления
Согласно существующим представлениям о механизме термоокислительной деструкции полипропилена , процесс окисления, протекающий довольно быстро уже при температурах выше 100° С, проходит через стадии образования и разложения гидроперекисей, что обусловливает его автокаталитический характер. Зависимость скорости поглощения кислорода полимером от времени описывается уравнением Семенова для цепных реакций с вырожденными разветвлениями:

где А, —постоянные;
O>2>—количество вступившего в реакцию кислорода;
t—продолжительность процесса.
Исследованиями установлено, что первичным продуктом окисления полипропилена являются гидроперекиси и скорость окислительной деструкции пропорциональна их концентрации .
В настоящее время можно считать общепризнанным, что радикальноцепной процесс окисления полипропилена протекает по такому же механизму, как и других сложных углеводородов , и может быть описан следующей схемой реакций:

Реакция 1 представляет собой первичную инициирующую реакцию: образование радикала происходит либо за счет прямого взаимодействия углеводорода с кислородом

либо в результате разрыва связи С—С под действием коротковолнового излучения. На начальной стадии окисления преобладают непосредственные реакции углеводорода с кислородом, а позже превалирует инициирование за счет разложения гидроперекисей по реакциям 4—6.
Анализ возможных реакций распада гидроперекисей позволяет объяснить все химические изменения в полипропилене при термоокислительной деструкции, за исключением образования окислов углерода и кислот, которые появляются в конце процесса, по-видимому, в результате окисления продуктов, возникших на предшествующих стадиях реакции.
Схемы, образования различных продуктов окисления
I. Распад гидроперекисей


В цепи появляется одиночная группа

а) Взаимодействие гидроперекиси по связи С—Н соседней цепи. Появляется одиночная группа

б) Взаимодействие гидроперекиси по связи С—Н той же цепи. Возникает структура:


а) Взаимодействие гидроперекисей соседних цепей друг с другом. В макроцепях образуются группы

б) Взаимодействие гидроперекисей соседних третичных атомов углерода одной цепи. Возникает структура:

II. Реакции групп

1. Реакции одиночной группы
а) Вследствие отрыва водорода от своей или соседней цепи образуется гидроксильная группа.
б) Схема разрыва макромолекулы:

Таким образом, реакции окисления протекают в такой последовательности:


2. Реакции групп —С—О. в цепях со структурой I, 2б:

3. Группы —С—О. в структурах, возникших по реакциям I, За и I, 3б, действуют как одиночные группы —С—О. .Итак, гидроксильные группы появляются в цепи по реакциям II, 1а и II, 1б. Группы С=0 образуются по реакциям II, 1б и II, 2, двойные связи—по реакции II, 2, ацетальдегид и формальдегид—по реакциям II, 1б. Снижение молекулярного веса полипропилена вызывают реакции II, 1б и II, 2. Вода образуется при бимолекулярном распаде гидроперекисей.
Ингибиторы цепной реакции окисления
Ингибиторы разветвленной цепной реакции окисления углеводородов можно разделить на три класса:
1. Вещества, вступающие в реакцию с радикалами с образованием малоактивных продуктов.
2. Вещества, вступающие в реакцию с гидроперекисями с образованием неактивных продуктов.
3. Вещества, поглощающие ультрафиолетовые лучи и препятствующие тем самым разрыву связей в молекуле углеводорода .
Вещества , реагирующие с радикалами с образованием малоактивных продуктов
К наиболее распространенным ингибиторам этого класса относятся замещенные фенолы и ароматические амины. В результате исследования механизма ингибирования цепной реакции окисления различных углеводородов выделены два типа ингибиторов:
а) взаимодействующие с радикалом с отдачей водорода

причем образуются гидроперекись и малоактивный радикал;
б) ингибиторы, ароматические кольца которых образуют с радикалом комплекс и тем самым стабилизируют его . Этот механизм действия ингибиторов до сих пор еще не был достаточно хорошо, изучен.
Реакция по механизму а) предполагает легкий отрыв водорода от молекулы ингибитора. Исходя из этого можно сделать некоторые предположения о структуре веществ, которые могут использоваться в качестве ингибиторов.
1. Водород легко отрывается в том случае, если оставшийся неспаренный электрон имеет возможность сопряжения с более обширной п-электронной системой в молекуле. Чем больше энергия сопряжения, тем меньше прочность связи водорода в молекуле. Это наиболее характерно для ароматических соединений.
2. Как правило, водород отрывается от группы ОН или NH гомолитически (по указанным выше схемам реакций). В этих связях электроны смещены к атомам азота и кислорода. Поэтому каждый заместитель, который увеличивает плотность электронов реакционной группы, облегчает непарный разрыв связи NH или ОН.
Стабилизаторы полипропилена
Согласно опубликованным патентам и литературным данным, в качестве стабилизаторов .полипропилена могут быть рекомендованы следующие вещества.
Термоокислительные стабилизаторы
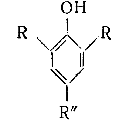
Замещенные фенолы:
монофенолы

R, R', R" — алкилы;
алкилиден-бис-алкилфенолы

R, R'—H или алкилы; R’’—алкилы; n = 0 - 2;
трифенолы и полифенолы ;
аминофенолы .
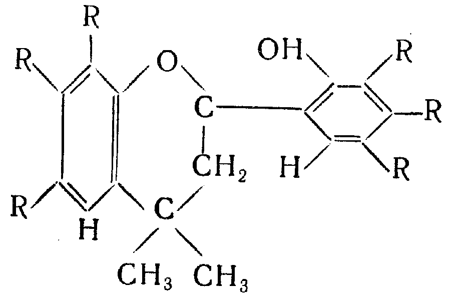
Замещенные оксихроманы

R — алкилы.
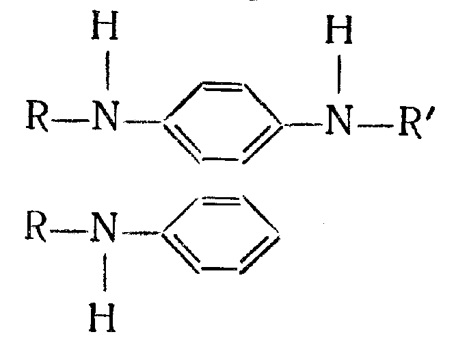
Ароматические амины

R, R'—фенил, циклогексил, нафтил, алкил,
Серусодержащие соединения алкилзамещенные диоксидифенилсульфиды


R — алкилы; n = 0 - 2;

алкилзамещенные диаминодифенилсульфиды

R—алкилы; n = 0 - 2;
диалкилсульфиды
сложные эфиры , ‘ -дитиодипропионовой кислоты

R — алкил, арил, циклогексил;
вещества общей формулы

R, R'—алкил; R"- H, фенил, замещенный фенил, циклогексил;
производные трициана ;
сера, селен, теллур .
Соединения трехвалентного фосфора

R—алкил, замещенный арил ;

R—алкил, замещенный арил; n = 0 - 2.
ПРИМЕНЕНИЕ ПОЛИПРОПИЛЕНА
Полипропилен как констукционный материал
Производится очень много сортов полипропилена с разнообразными свойствами . Практически не существует полипропилена общего назначения, который бы с одинаковым успехом использовался, например, как для производства волокна, так и для изготовления деталей машин или пленки. Успешное применение полипропилена для той или иной цели предполагает правильный выбор композиции (сорта, марки материала), которая по своим свойствам наиболее соответствует условиям переработки, назначению изделия и основным требованиям к его конструкции . При применении металлов для конструкционных целей соблюдение принципа подбора считается вполне естественным, при работе же с пластмассами этот принцип пока еще недостаточно прочно вошел в практику. Именно из-за незнания взаимосвязи областей применения и свойств пластических масс было допущено немало ошибок при внедрении их в технику.
Тара и упаковка
Полипропилен, в особенности пленка из него, обладает всеми необходимыми свойствами для применения в этой области. По своим характеристикам полипропиленовая пленка близка к полиэтиленовой, причем по некоторым показателям превосходит ее. По сравнению с пленками из других термопластов полипропиленовая пленка имеет преимущество в отношении стойкости к нагреванию и действию химических реагентов (она может быть подвергнута стерилизации при температуре выше 100° С, что определяет целесообразность ее использования в пищевой и фармацевтическом промышленности). Ее достоинствами являются также превосходили гибкость, глянцевитость поверхности, прозрачность, незначительная паропронинаемость, нетоксичность, сравнительно легкая свариваемость и хорошая сопротивляемость усталостной коррозии.
Несколько лет назад начали получать полипропиленовые пленки, ориентированные в одном или двух взаимно перпендикулярных направлениях . Ориентация пленки улучшает ее прочность, жесткость, влагоизоляционные свойства и прозрачность. Прочность пленки, ориентированной в двух направлениях, в 4—8 раз превышает прочность неориентированной. По свариваемости ориентированная пленка уступает неориентированной, поэтому главным потребителем ее как упаковочного материала следует считать галантерею, где она ценна благодаря своей исключительной прозрачности, отсутствию морщинистости - в этом отношении она лучше полиамидной пленки.
Вполне оправдало себя применение полипропилепа для изготовления затворов (пробок), бутылей , контейнеров. Как указывается в литературе , полипропилен может успешно конкурировать с традиционными материалами в отношении экономичности изготовления этих изделий (полипропилен способен формоваться при исключительно коротких циклах). По прочности, ударостойкости и химической стойкости полипропилен превосходит полистирол, а по жесткости, сопротивлению истиранию и внешнему блеску - полиэтилен.
Волокно
Большое количество изотактического полипропилена расходуется на производство волокна. Характерной особенностью полипропиленового волокна является его малая по сравнению с другими видами синтетических волокон плотность (0,905). Из 1 кг полипропилена можно получить 240000 м моноволокна диаметром 0,075 мм , т. е. больше, чем из любого другого синтетического материала, применяемого для производства моноволокон. Малая плотность полипропиленового моноволокна сочетается с исключительной прочностью и высокими эластическими свойствами. В то же время полипропиленовое волокно имеет меньший крип при постоянной нагрузке, более устойчиво к выцветанию и способно выдерживать без изменений воздействие более высоких температур (на 30° С), чем полиэтиленовое. Однако до сих пор не решена проблема стабилизации полипропиленового волокна от ультрафиолетового излучения. Это ограничивает возможность его использования в текстильной промышленности. Серьезными недостатками этого волокна являются также пониженная гигроскопичность (при использовании его для изготовления бельевых тканей), относительно плохая поверхностная окрашиваемость (поэтому нередко практикуется нерациональный метод окрашивания в массе) и не вполне удовлетворительная морозостойкость (20° С для ориентированного волокна).
С целью устранения этих недостатков полипропилен можно модифицировать разными методами, в частности введением в него специальных добавок (например, веществ с хорошими гидрофильными свойствами или содержащих реакционноспособные группы, необходимые для крашения, ультрафиолетовых стабилизаторов, морозостойких добавок и т. п.) , Хотя проблемы модификации полипропилена разрешены еще далеко не полностью, некоторые зарубежные фирмы производят в опытных количествах надлежащим образом стабилизированные и окрашенные волокна, способные выдержать длительную эксплуатацию в условиях воздействия солнечных лучей (под открытым небом). Бесспорно, что решение указанных проблем принципиально возможно и является лишь делом времени.
Полипропилен как антикоррозионный материал
Одно из типичных применений полипропилена — плакировка резервуаров, предназначенных для транспоровки и хранения химически агрессивных жидкостей, в том числе различных продовольственных товаров .
Были предприняты попытки изготовления полипропиленовых слоистых стеклопластиков различными методами. Основную трудность при этом представляет недостаточная адгезия полипропилена к стеклу
Кроме того, из полипропилена изготовляют корпуса насосов, работающих в агрессивных средах, шестерни, колпаки, трубопроводы и арматуру. Там, где требуется ударостойкость при высоких рабочих температурах, полипропилен может конкурировать с поливинилхлоридом.
Применение в машиностроении
Низкий коэффициент трения и высокая износоустойчивость полипропилена позволяют использовать этот перспективный материал для конструкционных и других целей в машиностроительной промышленности, в том числе и там, где химическая стойкость имеет второстепенное значение. Из полипропилена изготовляют, в частности, детали текстильного оборудования (бобины, сепараторы, веретена), вентиляторов, пылесосов, полотеров, холодильников, колпаки п винты машин для стрижки газонов и т. д. . Применение его для этих целей вполне обоснованно: вентиляторы с полипропиленовыми деталями создают меньше шума и более стойки к вибрации, чем металлические, к тому же они более безопасны при случайном попадании пальцев между лопастями, что особенно важно в случае настольных вентиляторов.
В автомобильной промышленности полипропилен пока не получил широкого применения. Это объясняется, в частности, тем, что рабочие части автомобилей проходят длительные испытания на прочность и надежность. Тем не менее европейские автомобилестроители в настоящее время уже изготовляют из полипропилена амортизаторы, приборные щитки, распределительные коробки, штепсельные соединения, блоки предохранителей, рефлекторы, клаксоны, трубопроводы установки для кондиционирования воздуха, педали подачи топлива (сформованные в виде одного целого), оконные детали, дверные прокладки, а также сидения, заполненные полиуретановым пенопластом . Рабочие части, непосредственно контактирующие с керосином или бензином (например, насосы и карбюраторы), целесообразнее изготовлять из полиамида, так как бензин и керосин размягчают полипропилен.
Корпуса насосов для щелока до последнего времени делали из полиэтилена высокого или низкого давления или металла. Металлические детали непригодны для этой цели ввиду химической агрессивности моющих средств, а полиэтиленовые подвержены усталостной коррозии.
К полипропилену был проявлен большой интерес как к материалу для изготовления деталей посудомоечных полуавтоматов, где он ценен благодаря химической стойкости, высокой износоустойчивости и ударопрочности.
Применение в электротехнике
В электротехнической промышленности находят применение формованные детали из полппропилена (например, катушки, обоймы, футляры, ламповые патроны, подставки, детали выключателей и телефонных аппаратов, корпуса радиоприемников, репродукторов, телевизоров и т. п.) , а также изоляционные оболочки и пленка, главным образом в виде ленты.
В качестве материала для изоляции электрических проводов и кабелей полипропилен пока еще не получил широкого признания, несмотря на то, что обладает высокими диэлектрическими свойствами и малой проницаемостью для паров воды. По всей вероятности, это связано с тем, что полипропилсн, как каждый новый изоляционный материал, сначала должен выдержать длительный испытательный срок.
Полипропилен пробовали применять для изоляции электропроводов легкого типа, находящихся под напряжением 220 В. Поскольку для этой цели в настоящее время с успехом применяются другие изоляционные материалы, в частности поливинилхлорид, их замена полипропиленом была бы оправданной только в том случае, если бы он имел явное преимущество перед ними. Внедрение полипропилена означало бы уменьшение веса электроизоляции, а также повышение ее теплостойкости и, как следствие, возможность увеличения допустимой нагрузки в цепи и экономии изоляционного материала. Однако недостаточная гибкость полипропилена в относительно толстом слое ограничивает его применимость для электротехнической изоляции. При снижении толщины полипропиленового покрытия оно приобретает нужную гибкость, но при этом возрастает опасность механического повреждения его.
В высокочастотной технике применение полипропилена затруднено тем, что в нем обычно содержатся остатки катализатора. Существующие технологические методы не обеспечивают достижения требуемой степени чистоты полимера. Правда, для большинства применений незначительное увеличение тангенса угла диэлектрических потерь не является помехой.
В последние годы в технике нашли распространение коммуникационные провода с пеноизоляцией. Полипропиленовый пенопласт может конкурировать в этой области с полиэтиленовым, так как обладает более низкой диэлектрической проницаемостью и лучшими физическими свойствами.
Полипропиленовая пленка в виде ленты широко применяется для различных электротехнических целей. Этому способствуют высокая электрическая прочность тонких пленок, теплостойкость и способность к намотке.
Применение в медецине
Долговременная устойчивость при температурах выше 100° С позволяет использовать полипропилен для изготовления корпусов ингаляторов, которые не подвержены коррозии под действием минеральных вод, применяемых для ингаляции, а также специальных трубок и шлангов.
В медицинской практике уже давно ощущалась потребность в недорогих шприцах разового пользования . Такие шприцы очень удобны на случай дорожных аварий, стихийных бедствий и как обязательная принадлежность военных полевых аптечек. Во всех этих случаях они имеют преимущество по сравнению со стеклянными шприцами, которые тяжелее и гораздо дороже их. Этим и продиктована необходимость замены стекла более легкими и дешевыми материалами, в частности пластмассами. Если учесть, что в данном случае первостепенное значение приобретают физиологическая безвредность и возможность горячей стерилизации (или химической при комнатной температуре), то станет ясно, что для применения в этой области пригодны лишь немногие из современных синтетических материалов, среди которых полипропилен занимает достойное место. Следует заметить, что раньше для этих целей применяли полиэтилен и полистирол.
Пластмассовые шприцы вместе с лекарственным раствором и инъекционной иглой упаковывают в полипропиленовую или полиэтиленовую пленку. При горячей стерилизации полиэтиленовая пленка деформируется, поэтому ее стерилизуют окисью этилена или ионизирующим излучением.
Шприцы из полипропилена превосходны по качеству (которое не ухудшается при многократной стерилизации при температуре до 130° С), не бьются и доступны по цене, вследствие чего за рубежом предполагают заменить ими стеклянные шприцы, применяемые обычно медицинской практике. Немаловажно и то, что технология изготовления полипропиленовых шприцев проще, чем стеклянных.
Содержание
I. Полипропилен
1. Получение
2. Выделение и очистка
3. Анализ
4. Свойства
II. Полимеризация пропилена
1. Стереоспецифическая полимеризация
а) Катализаторы стереоспецифической полимеризации
б) Влияние условий проведения реакции на процесс полимеризации
в) Регулирование свойств продукта
2. Схема производства полипропилена фирмы Монтекатини
3. Сополимеризация пропилена
а) Сополимеризация пропилена с этиленом
III. Структура полипропилена
1. Стереоизомерия
IV. Свойства полипропилена
1. Взаимосвязь структуры и свойств
2. Механические свойства . Диаграмма растяжения .
3. Диэликтрические свойства .
4. Поверхостные свойства .
5. Оптические свойства .
6. Химическая стойкость
7. Токсикологические свойства .
V. Химические реакции полипропилена
1. Термичекая деструкция
2. Реакции, инициированные ионизирующим и ультрафиолетовым излучением.
3. Окисление.
а) Окисление полипропилена воздухом и кислородом
б) Озонирование
в) Другие способы окисления полипропилена
4. Галогенирование и другие реакции замещения
а) Хлорирование полипропилена
б) Влияние содержания хлора на свойства хлорированного полипропилена
в) Применение хлорированного полипропилена
г) Хлорфосфорилирование полипропилена
д) Другие химические методы модификации пропилена
5. Модификация методом привитой полимеризации
а) Привитая полимеризация , основанная на реакции передачи цепи
б) Привитая полимеризация , с предварительным окислением полипропилена
в) Привитая полимеризация под действием радиационного облучения
6. Сшивание полипропилена
VI. Старение и стабилизация полипропилена
1. Механизм реакции окисления
2. Ингибиторы цепной реакции
3. Стабилизаторы полипропилена . Термоокислительные стабилизаторы .
VII. Применение полипропилена
1. Полипропилен как конструкционный материал
2. Тара и упаковка .
3. Волокно .
4. Полипропилен как антикоррозионный материал
5. Применение в машиностроении
6. Применение в электротехнике
7. Применение в медицине
1