Проект производственного комплекса базы МСУ
Госстрой РФ
ВГКСМГС
задание
на курсовую работу по дисциплине
«Эксплуатация строительных машин»
Студенту очного отделения специальности 1706
группы 41 ЭР курса 4 учебный шифр ВГКСМГС. 1706. 41. 09
Золотухин Роман Игоревич
Тема: Проектирование производственного комплекса базы МСУ
исходные данные
Наименование предприятия: МСУ
Проектируемый объект: мастерская
Состав парка машин: согл. варианта № 9 приведенных в табл.№ 1
Природно-климатическая зона: умеренная
Режим работы машин и проектируемого объекта
Наименование сборочной единицы для регулировки: рулевой механизм бульдозера ДЗ – 37
Прочие данные
содержание пояснительной записки
1. Введение
2. Организационно-технологическая часть
2.1. Определение годовой программы ТО и ТР машин
2.2. Определение трудоемкости годовой программы ТО и ТР машин
2.3. Распределение общей трудоемкости по видам работ
2.4. Определение годовых фондов времени
2.5. Расчет
численности работающих
2.6.
Расчет площадей помещении
2.7. Составление компоновочного плана проектируемого объекта
2.8. Строительные требования к проектируемому объекту
2.9. Описание организации технологического процесса ТО и ТР машин
2.10. Описание технологического процесса регулировки сборочной единицы
3. Техника безопасности при выполнении ТО и ТР машин
4. Приложения
5. Список используемой литературы
6. Содержание
содержание графической части
Лист 1 - Компоновочный план спроектированного объекта (формат А2)
Лист 2 - Общий вид сборочной единицы с технологической картой ее регулировка (формат А1)
Дата выдачи задания 22. 11. 03
Дата защиты работы 22. 12. 03
Руководитель
Борбела С. А.
ВВЕДЕНИЕ
Огромный рост капитальных вложений в строительство требует наиболее рационального использования материальных ресурсов, в частности машин и механизмов, которыми оснащено строительное производство.
Одним из конкретных путей лучшего использования техники в строительстве является повышение качества технического обслуживания. Именно правильная эксплуатация и своевременное и высококачественное проведение технического обслуживания и ремонта машин создают условия для эффективного использования машин.
Поэтому наличие ремонтно-эксплуатационных мастерских в строительстве является обязательным условием обеспечения высокой готовности и эффективности использования машинного парка.
В настоящей курсовой работе разработан проект производственного корпуса базы СМП с выполнением компоновочного плана.
ОРГАНИЗАЦИОННО-ТЕХНИЧЕСКАЯ ЧАСТЬ
Определение годовой программы ТО и ТР строительно-дорожных машин и тракторов
Исходными данными для определения годовой программы ТО и ТР машин является списочный состав парка машин строительной организации. Для облегчения расчетов производится распределение машин на группы по типам, периодичности выполнения ТО и ТР, наработке с начала эксплуатации и годовому режиму работы. Результаты распределения сводятся в таблицу 1.
Таблица 1. - Списочный состав парка машин
-
№
Наименование машины
Марка машины
Годовой режим работы
Количество машин
1
Экскаватор
ЭО - 2621
2000
13
2
Экскаватор
ЭО – 3322Б
2000
16
3
Экскаватор
ЭО - 4121
1600
15
4
Экскаватор
ЭО – 4111б
1500
7
6
Бульдозер
ДЗ-29
1900
40
7
Бульдозер
ДЗ-109
1800
28
10
Автогрейдер
(среднего типа)ДЗ – 31
1100
5
14
Экскаватор
многоковшовыйЭТЦ – 202А
1000
3
15
Скрепер
ДЗ – 77
1300
2
16
Скрепер
ДЗ – 115
1300
3
20
Автокран
МАЗ - 500АКС - 3571
1500
18
21
Автокран
КрАЗ - 257ККС - 4571
1500
24
22
Пневмоколесный кран
КС - 5363
1200
16
23
Гусеничный
кранМКГ - 40
1100
20
24
Кран башеный
КБ – 308
1800
9
25
Трактор
МТЗ - 50
1600
5
26
Трактор
МТЗ - 80
1600
7
27
Трактор
ДТ – 75
1400
3
28
Трактор
Т – 130
1400
4
29
Трактор
К – 701
1500
9
30
Трактор
Т – 150
1500
3
2.1.1 Определение нормативных показателей по ТО и ТР машин
Нормативные показатели периодичности ТО и ТР машин, количество ТО и ТР в цикле, трудоемкости и простоев в ТО и ТР принимаются из [3] и заносятся в таблицу 2.
Таблица 2. - Нормативы ТО и ТР машин
|
№ |
Наименование и марка машины |
Виды ТО и Р |
Периодичность
|
Количество
|
Трудоемкость одного вида обслуживания |
Простои ТО и Р |
|
1 |
Экскаватор
|
ТО1 |
60 |
72 |
3 |
0,2 |
|
2 |
Экскаватор
|
ТО1 |
60 |
72 |
4 |
0,2 |
|
3 |
Экскаватор
|
ТО1 |
60 |
108 |
4 |
0,2 |
|
4 |
Экскаватор
|
ТО1 |
60 |
96 |
6 |
0,3 |
|
6 |
Бульдозер
|
ТО1 |
60 |
72 |
4 |
0,2 |
|
7 |
Бульдозер
|
ТО1 |
60 |
72 |
5 |
0,2 |
|
10 |
Автогрейдер
|
ТО1 |
60 |
84 |
6 |
0,3 |
|
14 |
Экскаватор |
ТО1 |
60 |
72 |
4 |
0,2 |
|
15 |
Скрепер ДЗ - 77 |
ТО1 ТО2 СО ТК |
60 240 2 раза в год 960 5750 |
72 18 2 раза в год 51 |
6 18 47 400 900 |
0,3 1 1 7 13 |
|
16 |
Скрепер |
ТО1 |
100 |
48 |
9 |
0,5 |
|
20 |
Автокран |
ТО1 |
50 |
80 |
7 |
0,3 |
|
21 |
Автокран
|
ТО1 |
50 |
80 |
8 |
0,3 |
|
22 |
Пневмоколесный
|
ТО1 |
60 |
72 |
7 |
0,4 |
|
23 |
Гусеничный
|
ТО1 |
60 |
72 |
9 |
0,4 |
|
24 |
Кран |
ТО1 |
200 |
40 |
14 |
0,8 |
|
25 |
Трактор |
ТО1 |
60 |
72 |
2 |
0,1 |
|
26 |
Трактор МТЗ - 80 |
ТО1 ТО2 СО Т К |
60 240 2 раза в год 960 5750 |
72 18 2 раза в год 51 |
2 7 25 20 0410 |
0,1 0,5 0,7 4 8 |
|
27 |
Трактор |
ТО1 |
60 |
72 |
3 |
0,2 |
|
28 |
Трактор |
ТО1 |
60 |
72 |
4 |
0,2 |
|
29 |
Трактор |
ТО1 |
60 |
72 |
5 |
0,2 |
|
30 |
Трактор |
ТО1 |
60 |
72 |
2 |
0,1 |
2.1.2 Определение коэффициента перехода от цикла к году
Для расчетов ТО и ТР в году определяем коэффициент перехода от цикла к году по формуле из [4]

где 1>Г> - годовое количество часов работы одной машины, час; Пк - периодичность КР этой же машины, час.
2.1.3 Определение годового количества ТО и ТР машин
Количество ТО и ТР машин определяется по формуле из [4]
Ктор = М * Nто.р * г (2)
где М - количество одной машины, шт;
Nто.р - количество ТО и ТР в ремонтном цикле.
2.2 Определение трудоемкости годовой программы ТО и ТР машин
Трудоемкость годовой программы ТО и ТР машин определяется по формуле [4]
Тгтор = Ттор х Ктор, (3)
где Ттор - нормативная трудоемкость ТО-1, ТО-2 и ТР машин в каждой группе, чел.- ч.
Тгсо=2ТсохМ, (4)
где Тгсо - нормативная трудоемкость выполнения СО для каждой группы машин, чел.-ч.
Полученные результаты расчетов по формулам 3 и 4 сводятся в таблицу 3.
Таблица 3. -Годовая программа и общая трудоемкость ТО и ТР машин
|
№ |
Наименование и марка машины |
Виды ТО и Р |
Количество ТО и Р в цикле |
Коэффициент перехода |
Годовое количество ТО и Р |
Трудоемкость одного вида обслуживания |
Общая трудоемкость выполненных работ |
Количество машин |
|
1 |
Экскаватор
|
ТО1 |
72 |
0,374 |
324,7 |
3 |
974,1 |
13 |
|
2 |
Экскаватор
|
ТО1 |
72 |
0,374 |
399,7 |
4 |
1598,8 |
16 |
|
3 |
Экскаватор
|
ТО1 |
108 |
0,185 |
299,7 |
4 |
1198,8 |
15 |
|
4 |
Экскаватор
|
ТО1 |
96 |
0,195 |
131,04 |
6 |
786,24 |
7 |
|
6 |
Бульдозер ДЗ-29 |
ТО1 |
72 |
0,330 |
950,4 |
4 |
3801,6 |
40 |
|
7 |
Бульдозер ДЗ-109 |
ТО1 |
72 |
0,313 |
631 |
5 |
3155 |
28 |
|
10 |
Автогрейдер
|
ТО1 |
84 |
0,164 |
68,88 |
6 |
412,28 |
5 |
|
14 |
Эксковотор |
ТО1 |
72 |
0,174 |
37,5 |
4 |
150 |
3 |
|
15 |
Скрепер |
ТО1 |
72 |
0,226 |
32,5 |
6 |
195 |
2 |
|
16 |
Скрепер |
ТО1 |
48 |
0,216 |
31,1 |
9 |
279,9 |
3 |
|
20 |
Автокран
|
ТО1 |
80 |
0,3 |
432 |
7 |
3024 |
18 |
|
21 |
Автокран КрАЗ - 257К КС - 4571 |
ТО1 ТО2 СО ТР |
80 15 --- 4 |
0,3 |
576 108 48 28,8 |
8 32 16 820 |
4608 3456 768 23616 |
24 |
|
22 |
Пневмоколесный
кран |
ТО1 |
72 |
0,208 |
239,6 |
7 |
1677,2 |
16 |
|
23 |
Гусеничный кран |
ТО1 |
72 |
0,191 |
275 |
9 |
2475 |
20 |
|
24 |
Кран башенный |
ТО1 |
470 |
0,15 |
54 |
14 |
756 |
9 |
|
25 |
Трактор |
ТО1 |
72 |
0,278 |
100 |
2 |
200 |
5 |
|
26 |
Трактор |
ТО1 |
72 |
0,278 |
140,1 |
2 |
280,2 |
7 |
|
27 |
Трактор |
ТО1 |
72 |
0,243 |
52,48 |
3 |
157,44 |
3 |
|
28 |
Трактор |
ТО1 |
72 |
0,243 |
69,98 |
4 |
279,92 |
4 |
|
29 |
Трактор |
ТО1 |
72 |
0,260 |
168,48 |
5 |
842,4 |
9 |
|
30 |
Трактор |
ТО1 |
72 |
0,260 |
56,16 |
2 |
112,32 |
3 |
2.3 Распределение годовой трудоемкости по видам работ
Общая трудоемкость всех видов ТО заносится в таблицы 4 и 5.
Таблица 4. - Трудоемкость ТО и ТР машин
-
№
Наименование
и марка
машиныТрудоемкость
Всего
ТР
ТО1
ТО2
СО
1
Экскаватор
ЭО - 2621974,1
568,4
650
2192,5
10125
2
Экскаватор
ЭО - 3322Б1598,8
1998,6
1120
4717,4
18876,8
3
Эксковотор
ЭО - 41211198,8
674,28
960
2833,08
14208
4
Экскаватор
ЭО - 4111б786,24
912,28
700
2398,52
7640
6
Бульдозер
ДЗ-29
3801,6
2112
2800
8713,6
25080
7
Бульдозер
ДЗ-1093155
3523,2
2520
9198,2
19280,8
10
Автогрейдер
(среднего типа)412,28
309,96
450
1172,24
14760
14
Экскаватор
ЭТЦ - 202А150
150,24
102
402,24
991,8
15
Скрепер
ДЗ - 77195
146,45
188
529,45
904
16
Скрепер
ДЗ - 115279,9
108,86
480
868,76
3402
20
Автокран
МАЗ - 500А
КС - 35713024
2268
448
5740
15336
21
Автокран
КрАЗ - 257К
КС - 45714608
3456
768
8832
23616
22
Пневмоколесный кран
КС - 53631677,2
1797
960
4434,2
15360
23
Гусеничный кран
МКГ - 402475
2337,84
1240
6052,84
21392
24
Кран башеный
КБ - 308756
769,5
216
1741,5
3448
25
Трактор
МТЗ - 50200
175
250
625
1390
26
Трактор
МТЗ - 80
280,2
245
350
875,2
1946
27
Трактор
ДТ - 75157,44
118,1
180
455,54
1312,2
28
Трактор
Т - 130279,92
244,86
320
844,78
1992,6
29
Трактор
К - 701842,4
421,2
540
1803,6
4212
30
Трактор
Т - 150112,32
70,2
120
302,52
1092
Итого:
26964,2
22406,97
15362
64733,17
206365,2
При проектировании профилактория считается, что 30% всего объема работ по выполнению ТО выполняются в нем, а остальной объем -передвижными средствами.
При проектировании мастерской 70% объема ТР выполняется непосредственно в ней, а остальной - передвижными средствами. Распределение трудоемкости ТО и ТР машин приведено в таблицах 5 и 6.
Таблица 5. — Распределение годовой трудоемкости ТО машин
|
№ |
Виды ТО |
Годовая трудоемкость |
||
|
Общая |
Работа в
|
Работы на
|
||
|
1 |
ТО1 |
26964,2 |
18874,94 |
8089,26 |
|
2 |
ТО2 |
22406,97 |
15684,879 |
6722,091 |
|
3 |
СО |
15362 |
10753,4 |
4608,6 |
|
Итого: |
64733,17 |
45313,219 |
19419,951 |
Таблица 6. — Распределение годовой трудоемкости ТР машин
|
Работы ТР |
Объем |
Трудоемкость ТР по выполненным видам работ |
||||||
|
слесарные |
станочные |
сварочные |
кузнечные |
медницкие |
ремонт
эл. |
другие |
||
|
на мастерской |
176174,88 |
79278,696 |
22902,7344 |
19379,2368 |
14093,9904 |
8808,744 |
15855,7392 |
|
|
передвижными
|
75503,52 |
33976,584 |
9815,4576 |
8305,3872 |
6040,2816 |
3775,176 |
6795,3168 |
|
|
заказы на
|
44043,72 |
19819,674 |
5725,6836 |
4844,8092 |
3523,4976 |
2202,186 |
3963,9348 |
|
|
самообслуживание
|
50335,68 |
22651,056 |
6543,6384 |
5536,9248 |
4026,8544 |
2516,784 |
4530,2112 |
|
|
Итого: |
346057,8 |
155726,01 |
44987,514 |
38066,358 |
27684,624 |
17302,89 |
31145,202 |
31145,202 |
2.4 Определение годовых фондов времени
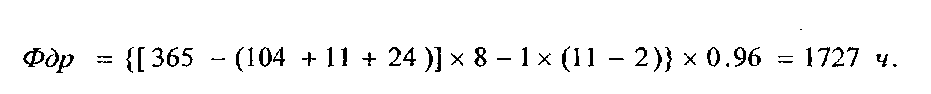
2.4.1 Определение годового действительного фонда времени рабочих.
Годовой действительный фонд времени рабочих определяется по формуле из [1]

где d>отп> — количество отпускных дней в году (24 дня);
t >СМ> - продолжительность смены (8 час);
n>с> - количество часов, на которое сокращается смена в праздничные дни (1 час);
- коэффициент, учитывающий потери рабочего времени по уважительной причине (0,96);
dп – кол-во праздничных дней (11 дней);
dк – количество календарных дней (305 дней);
dв – количество выходных дней (105 дней).

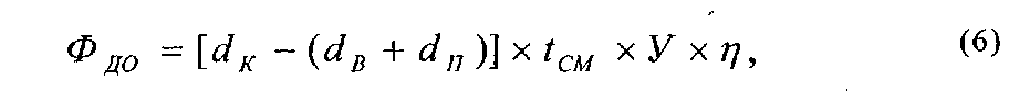
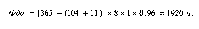
2.4.2 Определение годового фонда времени оборудования
Годовой фонд времени оборудования определяется по формуле из [1]

где У - количество смен, действующих на предприятие; принимаем У=1;
- коэффициент, учитывающий простои оборудования в ТО и ТР; принимаем =0,96.

2.5 Расчет числа рабочих
2.5.1 Определение числа производственных рабочих
Производственные рабочие заняты непосредственно на технологических операциях по выполнению производственной программы. Число производственных рабочих определяется по формуле из [4]

где Тв – трудоемкость каждого вида работ.
Полученные результаты числа производственных рабочих сводятся в таблицу 7.
Таблица 7. - Численность производственных рабочих по видам работ
|
№ |
Наименование
|
Трудоемкость
по |
Годовой фонд
|
Число
|
|
|
расчетное |
принятое |
||||
|
1 |
Слесарные |
155726,01 |
1727 |
90,17 |
90 |
|
2 |
Станочные |
44987,514 |
1727 |
26,05 |
26 |
|
3 |
Сварочные |
38066,358 |
1727 |
22,04 |
22 |
|
4 |
Кузнечные |
27684,624 |
1727 |
16,03 |
16 |
|
5 |
Меднические |
17302,89 |
1727 |
10,02 |
10 |
|
6 |
Ремонт
эл. |
31145,202 |
1727 |
18,03 |
18 |
|
7 |
Другие |
31145,202 |
1727 |
18,03 |
18 |
|
Итого: |
346057,8 |
200,38 |
200 |
2.5.2. Определение числа вспомогательных рабочих
К вспомогательным рабочим относятся: такелажники, стропальщики, контролеры.
Количество вспомогательных рабочих определяется по формуле из [4]

где С>в> — процентное содержание вспомогательных рабочих от числа вспомогательных рабочих; принимаем С>в>=18%.

Принимаем количество вспомогательных рабочих Р>в>= 36 чел.
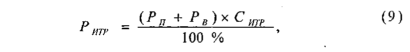
2.5.3 Определение численности ИТР, СКП, МОП
Численность ИТР, СКП, МОП определяется в процентном содержании к общему числу рабочих по формуле из [4]


Принимаем количество ИТР = 24 чел.
где Ситр - процентное содержание ИТР от общей численности рабочих;
принимаем Ситр = 10%

где Сскп - процентное содержание СКП от общей численности рабочих;
принимаем Сскп = 4%.

Принимаем количество СКП Рскп = 9 чел.
где Смоп - процентное содержание МОП от общей численности рабочих;
принимаем Смоп = 2%.

Принимаем количество МОП Рмоп = 5 чел.
2.6 Расчет площадей помещений
Площади помещений производственного корпуса базы подразделяется на:
1) производственные, которые заняты оборудованием, рабочими местами, проходами и проездами;
2) вспомогательные - занятые складами, компрессорными, котельными, инструментальными, кладовыми;
3) административно-бытовые помещения, к которым относятся площади заводоуправления, цеховых контор, гардеробов, душевых, умывальных, раздевалок, буфетов, уборных.
2.6.1. Расчет производственных площадей.
Производственные площади определяются ориентировочно по удельной площади на одного производственного рабочего по формуле из [1]

где f>уп> - удельная площадь на одного производственного рабочего, м²;
Полученные результаты сводятся в таблицу 8.
Таблица 8. - Площади производственных помещении
|
№ |
Наименование
|
Число
|
Удельная
|
Площадь |
|
|
расчетное |
принятое |
||||
|
1 |
Слесарные |
90 |
25 |
2250 |
2080 |
|
2 |
Станочные |
26 |
15 |
390 |
384 |
|
3 |
Сварочные |
22 |
15 |
330 |
320 |
|
4 |
Кузнечные |
16 |
35 |
560 |
552 |
|
5 |
Меднические |
10 |
18 |
180 |
180 |
|
6 |
Ремонт
эл. |
18 |
12 |
216 |
216 |
|
7 |
Другие |
18 |
53 |
954 |
948 |
|
Итого: |
200 |
173 |
4880 |
4680 |
I'Допускается изменять площадь производственных помещений в пределах ±20% для помещений до 100м, а также в пределах ±10% для помещений более 100 м.
Площадь помещения участка не должна быть менее 4,5м на одного производственного рабочего.
Полученные площади уточняют планировкой оборудования и рабочих мест.
2.6.2. Расчет бытовых и конторских помещений
Пощади бытовых и конторских помещений рассчитываются по формулам из [2]
согласно нормативам:
1. Площадь раздевалок

где fраз – нормативная площадь раздевалок на одного рабочего; принимаем fраз = 0,8 м².

2. Площади умывальных

где fум - нормативная площадь умывальных на 10 рабочих; принимаем fум = 1 м².

3. Площади душевых

где fдуш - нормативная площадь душевых на 10 рабочих; принимаем fдуш = 4,5 м².

4. Площади уборных

где fуб - нормативная площадь уборных на 20 человек; принимаем fуб = 3 м².

5. Площади буфета и столовой

где fбис – нормативная площадь буфета и столовой на одного работающего: fбис = 0.25 м².

6. Площади конторских помещений

где fитр - нормативная площадь конторских помещений на одного ИТР; принимаем Fитр = 5м²


где Fскп - нормативная площадь конторских помещений на одного СКП; принимаем Fскп = 3,25м

Полученные выше результаты расчета бытовых и конторских помещений сводятся в таблицу 9.
|
№ п/п |
Наименование помещений |
Коэффициент на одного рабочего |
Площадь, м2 |
|
|
расчетная |
принятая |
|||
|
1 |
Раздевалки |
0,8 |
188,8 |
189 |
|
2 |
Умывальные |
0,1 |
23,6 |
24 |
|
3 |
Душевые |
0,45 |
106,2 |
106 |
|
4 |
Уборные |
0,15 |
41,1 |
41 |
|
5 |
Буфеты и столовые |
0,25 |
68,5 |
69 |
|
6 |
Конторские помещения СКП |
3,25 |
29,25 |
29 |
|
7 |
Конторские помещения ИТР |
5 |
120 |
120 |
|
Итого |
577,45 |
578 |
7. Площади складских помещений

k – для зап. частей – 0,7
для склада металла – 0,5
для складирования материала – 0,3
для хранения агрегатов – 0,35
|
№ п/п |
Наименование помещений |
Коэффициент на 1000 чел.часов |
Площадь, м2 |
|
|
расчетная |
принятая |
|||
|
1 |
Склад для запасных частей |
0,7 |
242,2 |
240 |
|
2 |
Склад для складирования металла |
0,5 |
173 |
173 |
|
3 |
Склад для складирования материала |
0,3 |
103,8 |
104 |
|
4 |
Склад для хранения агрегатов |
0,35 |
211,1 |
211 |
|
Итого |
730,1 |
728 |
2.7 Составление компоновочного плана производственного корпуса МСУ
Участки и отделения мастерских и профилакториев располагаются в одном производственном здании с целью сокращения транспортных путей и обеспечения наилучших условий управления производственным процессом.
Горячие отделения необходимо размещать в одном блоке с угла производственного корпуса и изолировать от других отделений и участков огнестойкими стенами.
В производственном здании предусматривается взаимно-перпендикулярные проезды для машин, которые необходимо располагать напротив въездных ворот.
Компоновка помещений должна соответствовать принятым в проекте методам ТО и Р машин и схеме производственного процесса.
В профилактории должны располагаться посты ТО, а на разборочно-сборочном участке - специализированные или универсальные посты ремонта машин.
Зоны и отделения необходимо располагать так, чтобы не было проходных помещений и чтобы между помещениями отделений и зон было сообщение без выхода наружу.
Непосредственный выход наружу должны иметь только такие помещения, как кузнечное, сварочное, вулканизационное при площади каждого из них более 100м2; аккумуляторное при площади более 25м2; малярное, склад масел и обтирочных материалов при площади более 50м2; склад легко воспламеняющихся материалов, помещение для регенерации, насосные по перекачиванию масел и компрессорная. Кроме этого, аккумуляторное и малярное отделения должны иметь не менее двух помещений. В аккумуляторном отделении одно помещение используется для зарядки батарей, а другое - для приготовления электролита и их ремонта. В малярном отделении одно из помещений предназначено для окраски, а другое - для приготовления красок.
Поточные линии ТО1 и ТО2 могут располагаться в одном помещении или раздельно. Посты ТР и тупиковые посты ТО-1 и ТО-2 допускается располагать в одном помещении.
Вблизи зоны ТО-1 следует располагать склады масел, карбюраторные, аккумуляторные, электромонтажные и шиномонтажные отделения. Рядом с зоной ТО2 размещают агрегатные, жестяницкие, сварочные, электротехнические отделения и склады запчастей. К зоне ТР должны примыкать те же помещения, что и к зоне ТО2, а также механическое, кузнечное, кузовное, обойное, малярное отделения и склады. Станочное отделение размещают как можно дальше от кузнечного для предотвращения влияния ударов и вибраций на точность механической обработки.
Наружная мойка машин должна осуществляться в отдельно стоящем здании.
2.8 Строительные требования
Ширина и длина здания принимаются в соотношениях: 1:1; 1:2; 1:3.
Ширина пролетов здания принимается в размере 9, 12, 18 или 24м.
Размер колонн – 400х400мм; 500х500мм; 500х600мм. Шаг колонн стандартный - 6м. Толщина наружных стен должна составлять 500мм, а внутренних - 250мм. Размеры дверных проёмов для однопольных дверей составляет 1000мм по ширине, а для двупольных - 2000-1500мм. Въездные должны иметь ширину не менее 3800мм. Количество ворот в зонах обслуживания принимаем не менее одних при количестве тупиковых постов до 10, не менее двух - при 11 – 25 постах, не менее трех - при 26 -50 постах.
При отсутствии кранов высота помещений принимается не менее 3,6м, тепловых помещений 4-5м, сборочно-разборочных - 7-8м, сварочных и кузнечных – 6 м.
При наличии кранов высота подразделений не должна быть менее 8,4м до головки рельса кранового пути.
2.9 Описание организации технологического процесса ТО и ТР машин
Машины, прибывающие в организации для ТО и ТР обязательно проходят наружную мойку и очистку, после чего они направляются в мастерские и профилактории.
В профилакториях, оснащенных оборудованием, позволяющим с наименьшими затратами выполнять осмотровые, контрольно-регулировочные, смазочные и другие работы по техническому обслуживанию машин, выполняется диагностирование и другие виды ТО. При обнаружении небольших неисправностей они устраняются во время проведения ТО.
В мастерской главным образом выполняются работы по текущему ремонту и техническому обслуживанию. Кроме того, там производят капитальный ремонт простейших механизмов, изготовление по заказам строительства простейшего строительного инструмента, приспособлений и инвентаря. Машины в мастерской подвергаются частичной разборке в разборочно-сборочном отделении. После чего неисправные сборочные должны быть направлены в соответствующие ремонтные отделения устранения их дефектов с последующей установкой или сдачей на склад.
Машины, которые не могут быть доставлены на базы, обслуживаются и ремонтируются непосредственно на строительных объектах при помощи передвижных мастерских.
2.10 Описание технологического процесса регулировки
В рулевом механизме и гидроусилителе регулируют: осевой зазор поворотного вала, зацепление червяка с сектором, сектора с рейкой и предохранительный клапан.
Осевой зазор поворотного вала 12 регулируют болтами 9 при отвернутой контргайке 10. Болт
ввинчивают до упора, затем отвинчивают на 1/8-1/10 оборота и в этом положение закрепляют.
Зацепление червяка 3 с сектором 4 регулируют эксцентриковой втулкой 1. Для уменьшения зазора в зацеплении отвертывают два болта крепления 2 и, поворачивай втулку по часовой стрелке, легкими ударами молотка устраняют зазор в зацеплении. Затем вывертывают втулку в обратную сторону настолько, чтобы при отсоединенной сошке рулевое колесо вращалось с усилием 15Н от одного крайнего положения до другого. После этого затягивают болты и рулевые тяги присоединяют к сошке.
Зацепление сектора 4 с рейкой 5 регулируют изменением числа прокладок 6 под фланцем 7 упора рейки.
Предохранительный клапан гидроусилителя регулируют ввинчиванием или вывинчиванием
регулировочного винта 13.


1-втулка эксцентриковая: 2-болт; 3-червяк;4-сетор,5-рейка:, 6-прокладка; 7-фланец,
8-гидроцилиндр; 9-болт регулировочный; 10-контр гайка; 11-пробка; 12-вал поворотный;
13-винт.
ТЕХНИКА БЕЗОПАСНОСТИ ПРИ ВЫПОЛНЕНИИ ТО И ТР МАШИН.
3.1 Техника безопасности при техническом обслуживании машин
Анализ производственного травматизма показывает, что около сорока процентов всех несчастных случаев происходит при техническом обслуживании машин. Основные причины производственного травматизма при техническом обслуживании машин - недостаточное использование оборудования и приспособлений, способствующий безопасному проведению работ, загрязнение рабочего места и производственных помещений, применение опасных, непредусмотренных технологией приемов работ, работа с неисправными инструментами, приспособлениями и оборудование, работа не по специальности и др.
Безопасное выполнение работ при проведение технического обслуживания машин носит конкретный характер и связано с особенностями этих работ.
Перед выполнением моечных работ машинист машины должен надеть костюм с водостойкой пропиткой и капюшоном, резиновые перчатки и прорезиненный фартук. Мыть машину следует только на выделенных для этого местах, имеющих сток воды. При открытой мойке рабочий пост располагается в зоне, из которой струи не могут достичь открытых ведущих проводников и оборудования, находящихся под напряжением. При выполнении моечного процесса необходимо следить, что бы рядом с машиной не было посторонних лиц, так как отлетевшая от машины струя воды и грязь могут привести к несчастному случаю.
Снижение производственного травматизма при выполнение крепежных очных работ во многом зависит от знания и применения безопасных работ.
Все крепежные и регулировочные работы, выполняют в последовательности, предусмотренной технологической картой.
Последовательность выполнения обязательного объема работ должна быть такой, чтобы исключать возможность одновременной работы сверху и снизу у сборочных единиц машин, так как при падении инструмента может быть несчастный случай с рабочими работающими внизу.
При выполнении этих работ бригадой необходимо расставить рабочих так что бы они не мешали друг к другу при выполнении той или иной операции. Такая расстановка создает не только создает удобство и безопасность в работе, но позволит качественно обслужить машину.
При выполнении крепежных работ следует пользоваться преимущественно крепежными и торцевыми ключами, они лучше держаться на гайках и удобны в работе. При работе в трудно доступных местах особое внимание необходимо обращать на прилаживание инструмента к объекту работы, так как соскользнувший инструмент может травмировать рабочего.
Выполнение смазочных работ относится к трудоемким операциям. Большое значение для предупреждения производственного травматизма имеет тщательное оборудование места смазки. Однако же хорошее оснащение не сможет предупредить производственного травматизма, если рабочий не будет обладать достаточными техническими знаниями и навыками безопасных приемов труда.
Перед началом смазочных работ необходимо проверить исправность пресс-масленок. Смазочные работы должны выполняться с широким использованием специализированного оборудования.
Большое влияние на снижение производственного травматизма при смазочных работах оказывают правильная расстановка рабочих мест и распределение между ними обязанностей. В частности, при составлении технологических карт необходимо предусмотреть такое выполнение операций, при которых бы смазчик не делал бы лишних движений.
3.2 Техника безопасности при ремонте машин
Во время выполнения разборочных и сборочных работ можно получить ушибы от падения детали, засорить глаза краской, нагаром, мелкими частями металла от изношенных деталей, порезы рук и т.п.
Во избежание травматизма разборочные работы должны производиться в такой последовательности, которая должна исключать потерю устойчивости отдельными сборочными единицами и деталями. Поднимать сборочные единицы необходимо постепенно во избежание потери ими равновесия. При закреплении балочных приспособлений при работе на высоте применяют раздвижные стремянки и приставные лестницы.
При перемещении тяжести необходимо следить, что бы на месте работ не было посторонних лиц не занятых при выполнении разборочно-сборочных работ.
Сборочные единицы и детали снятые с машин при разборке, складываются на заранее приготовленных местах, в стеллажах, в подкладках так, что бы они не могли упасть или опрокинуться и были легко доступны для осмотра и последующего захвата.
Станочная обработка. При обработке деталей режущими инструментами образуется металлическая стружка и пыль. Небрежное обращение со стружкой может вызвать порезы рук и лица, а так же ожоги, так как /температура стружки достигает 450 градусов по Цельсию. Пыль образованная в результате сухой шлифовки, содержит кремниевую кислоту, отрицательно действующую на дыхательные пути.
Для защиты от скалывающейся отлетающей стружки применяют экраны стекла. При отсутствии экрана на станке применяют станки. При высокой температуре стружки, когда стекло может не, применяют стружкоотводник. Стружка попадает в специальный сборник, где она теряет свою скорость и осаждается.
Против разбрызгивания жидкости на станках устанавливаются защитные щетки. Устанавливают так же блокировку, прекращающую подачу жидкости во время остановки станка.
Против разбрызгивания жидкости на станках устанавливаются защитные щетки. Устанавливают так же блокировку, прекращающую подачу жидкости во время остановки станка.
Перед началом работы на станке, необходимо тщательно смазать йодом >ил>и бактерицидам все царапины имеющиеся на руках и лице.
При работе на металлообрабатывающих станках, особенно сверлильных, необходимо застегнуть одежду на все пуговицы, длинные рукава подвязать, тесемки и свисающие концы одежды тщательно заправить, волосы подобрать под головной убор.
Слесарные работы. Во избежание травмы необходимо следить за тем, что бы напильники, зубила и ножовки имели гладкие, обработанные рукоятки, изготовленные из прочного сухого дерева. Острия зубила и крейцмейселя должны быть без трещин, забоин и заусенцев. Очищать изделия и рабочее место от опилок и стружек необходимо щеткой или другим приспособлением.
Существенным мероприятием по исключению травматизма является правильное размещение рабочих мест для выполнения слесарных работ. Необходимо обеспечить достаточную площадь для размещения слесарных верстаков и стеллажей для деталей.
Сварка. С целью уменьшения вредных выделений при сварке рекомендуется применять электроды с малым содержанием марганца и плавикового шпата.
Для защиты глаз и лица сварщика от лучистой энергии и от летающих искр применяют щитки или шлемы со светофильтрующими стеклами, которые снижают яркость дуги и задерживают инфракрасные и ультрафиолетовые лучи.
Для защиты окружающих рабочих от яркого горения дуги устанавливают ширму или сварочные работы проводятся в закрытых кабинетах. Газовую сварку нельзя выполнять вблизи генератора и кислородных баллонов; расстояние между горелкой и генератором должно быть не менее 10 метров.
Помещение для сварочных работ должно иметь хорошую вентиляцию.
СПИСОК ИСПОЛЬЗУЕМОЙ ЛИТЕРАТУРЫ
1. Ровках С.Е., Фейгин Л.А., «Техническая эксплуатация и ремонт машин
транспортного строительства» - М.: Транспорт, 1985-335с.
2. Журба В.А. и др. «Машины для транспортного строительства».- М.: Транспорт, 1984-486с.
3. Рекомендации по ТойР строительных машин в организациях Миитранстроя-М.: ВНИИТС, 1983-124с.
4. Методические указания и задания по курсовому проектированию по
«Эксплуатации и ремонту подъемно-транспортных строительных, дорожных машин и оборудования».- УМЦГСДХ, 2001-169с.
СОДЕРЖАНИЕ
1. Введение - стр.3
2. Организационно-технологическая часть – стр. 4 - 20
2.1. Определение годовой программы ТО и ТР машин – стр. 4 - 7
2.2. Определение трудоемкости годовой программы ТО и ТР машин – стр. 7 - 9
2.3. Распределение общей трудоемкости по видам работ – стр. 10 - 11
2.4. Определение годовых фондов времени – стр. 12
2.5. Расчет
численности работающих – стр. 13 - 14
2.6. Расчет площадей
помещении – стр. 15 - 17
2.7. Составление компоновочного плана проектируемого объекта – стр. 18
2.8. Строительные требования к проектируемому объекту – стр. 19
2.9. Описание организации технологического процесса ТО и ТР машин – стр. 19
2.10. Описание технологического процесса регулировки сборочной единицы – стр. 20
3. Техника безопасности при выполнении ТО и ТР машин – стр. 21 - 23
4. Приложения – стр. 24