Седельный тягач с колесной формулой 4*2 с разработкой дифференциала повышенного трения
АННОТАЦИЯ
Сагалаев А.В. Седельный тягач с колесной формулой 4´2 с разработкой самоблокирующегося дифференциала. Миасс: ММФ-521, 2002, количество листов . Библиография литературы- 19 наименований, 12,5 листов чертежей формата А1, 6 листов спецификаций.
Целью данного дипломного проекта является разработка межколесного дифференциала повышенного трения для седельного тягача с колесной формулой 4´2.
В данном дипломном проекте проведен тягово-динамический расчет, расчет дифференциала, проверочный расчет конической главной передачи. Также определены нагрузочные режимы для всех элементов редуктора моста.
В технологической части дипломного проекта описан техпроцесс изготовления шестерни полуоси и рассчитаны режимы резания для двух операций.
Использование автопоезда в составе тягача и полуприцепа народном хозяйстве даст экономию за счет снижения себестоимости перевозок, вследствие увеличения грузоподъемности.
ВВЕДЕНИЕ
Концентрация производства, переход к постоянно действующим предприятием с более глубокой переработкой сырья ведут к большему охвату территории с соответствующим увеличением объема транспортной работы и удельного веса транспортных операций в общей стоимости сырья. Транспорт становится решающим звеном производственного процесса.
Глубокие качественные и количественные изменения в области грузоперевозок, характерной чертой которых является концентрация производства, выдвинули ряд новых задач в области грузоперевозок. К современным автопоездам предъявляются следующие требования: при движении по магистралям они должны иметь высокий уровень опорной проходимости и повышенный запас прочности (что снижает транспортные показатели при движении по магистральным дорогам, где особое значение приобретает повышение коэффициента полезной нагрузки, грузоподъемности и скоростного режима).
Кроме общих требований, предъявляемых ко всем механизмам трансмиссии, как-то: высокий КПД и минимальный уровень шума, малые габариты и масса, надежность, технологичность, простота обслуживания и др., дифференциалы должны распределять крутящие моменты между выходными валами в пропорции, обеспечивающей наилучшие эксплуатационные свойства колесной машины (максимальную силу тяги, хорошую устойчивость и управляемость). Однако для увеличения силы тяги колесной машины нужно распределять крутящие моменты по колесам пропорционально их сцепным весам и коэффициентам сцепления, что на дорогах с различными коэффициентами сцепления под колесами левого и правого бортов приведет к разным силам тяги по бортам, появлению момента этих сил относительно вертикальной оси, проходящей через центр масс автомобиля. Это также приведет к возникновению боковых сил, уводу шин, ухудшению устойчивости и управляемости. Для обеспечения же устойчивости необходимо равенство сил тяги на колесах левого и правого бортов, что на дорогах с малой несущей способностью и различными коэффициентами сцепления под колесами левого и правого бортов приведет к недоиспользованию возможностей по сцеплению колес с дорогой из-за ограничения сил тяги на всех колесах силой тяги на колесе, имеющем минимальные сцепные возможности, и, как результат, - к ухудшению проходимости колесной машины.
Обычно это противоречие разрешается в пользу увеличения максимальной силы тяги и улучшения проходимости автомобиля.
1. Технико-экономическое обоснование проекта
Анализ типов автомобилей для перевозки грузов.
Грузовой автомобиль общетранспортного назначения предназначен для перевозки широкой номенклатуры грузов.
Такой автомобиль, по сравнению с автопоездами, обладает лучшей проходимостью, так как имеет большую сцепную массу. Это качество важно на дорогах с низким коэффициентом сцепления. Одиночный автомобиль обладает хорошей маневренностью из-за небольшого радиуса поворота, что очень важно в стесненных условиях. Однако, у автомобиля общетранспортного назначения существуют и недостатки:
- неполное использование грузоподъемности;
- невозможность перевозки длинномерного груза;
- необходимость дополнительного погрузочно-разгрузочного оборудования;
- сложность разгрузки;
- отсутствие приспособлений для крепления груза
- возможность распирания бортов платформы;
- в случае перевозки длинномерных грузов, выходящих за габариты платформы, ухудшается управляемость автомобиля, тем самым снижается безопасность дорожного движения.
Применение автопоезда общетранспортного назначения (тягач + полуприцеп) для грузоперевозок позволит:
- увеличить порционность груза;
- перевозить длинномерный груз;
- обеспечить временное хранение у грузополучателя на полуприцепе в случае отсутствия складских помещений;
- повысить производительность перевозок, снизить трудоемкость и энергоемкость перевозок, снизить приведенные затраты в эксплуатации по сравнению с одиночным автомобилем.
Но есть и ряд отрицательных моментов применения автопоезда общего назначения для грузоперевозок. У него хуже маневренность из-за увеличения радиуса поворота по сравнению с одиночным автомобилем. Это проявляется при движении задним ходом, особенно в стесненных условиях. Проходимость так же хуже, чем у одиночных транспортных средств, кроме этого наблюдается:
- неполное использование грузоподъемности;
- необходимость дополнительного погрузочно-разгрузочного оборудования;
- сложность разгрузки;
- возможность распирания бортов платформы сортиментами;
- отсутствие приспособлений крепления груза;
- невозможность перевозки грузов большой длинны, что снижает управляемость автопоездом и тем самым снижает безопасность дорожного движения.
Повышение грузоподъемности подвижного состава при строгой регламентации осевой нагрузки может быть достигнуто только путем увеличения числа осей. Автопоезд, состоящий из тягача, оборудованного седельно-сцепным устройством и полуприцепа позволяет значительно повысить грузоподъемность автопоезда за счет увеличения общего количества осей автопоезда при сохранении регламентированной нагрузки на одну ось.
Преимущества такого автопоезда:
- возможность работы автомобиля-тягача со сменным прицепным составом;
- перевозить длинномерный груз;
- увеличить порционность груза;
- повысить производительность перевозок, снизить трудоемкость и энергоемкость перевозок и за счет этого снизить приведенные затраты при эксплуатации автопоезда.
Недостатки такой транспортной схемы:
- ухудшение маневренности;
- увеличение опасности складывания автопоезда, особенно на спусках;
- снижение удельной мощности;
- уменьшение коэффициента сцепного веса;
- необходимость специальной погрузочной техники.
Выбор схемы
На основании приведенного анализа типов автомобилей для перевозки грузов общего назначения, для дипломного проекта выбрана схема автопоезда, состоящего из автомобиля – тягача и полуприцепа. Выбранная схема в большей мере отвечает требованиям предъявленным потребителями.
Он имеет более высокую среднегодовую производительность, небольшую трудоемкость и энергоемкость перевозок, небольшие приведенные затраты.
Применение автопоезда с полуприцепом позволит:
- перевозить груз различной длинны (до 14 м);
- повышенная скорость движения автопоезда при движении по магистральным дорогам;
- улучшить условия работы водителя;
- уменьшить время и материальные затраты на техническое обслуживание за счет увеличения надежности автопоезда.
2 Конструкторская часть
2.1 Общие вопросы проектирования трансмиссии
2.1.1 Выбор двигателя
Современные ДВС не обладают достаточным диапазоном крутящих моментов и угловых скоростей. В то же время для движения автомобиля в различных условиях необходимо, чтобы усилие на ведущих колесах и частоты их вращения изменялись в значительных пределах. Эту роль выполняют агрегаты трансмиссии.
Определим требуемую максимальную мощность ДВС, исходя из энергетического обеспечения максимальной скорости (по балансу мощности) [11.c.213] :
>
>,
где Р>y> - сила сопротивления дороги;
Р>W> – ñèëà ñîïðîòèâëåíèÿ âîçäóõà;
V>max> – ìàêñèìàëüíàÿ ñêîðîñòü, ì/ñ, V>max> = 85 êì/÷;
h>тр в> – КПД трансмиссии на режиме движения с максимальной скоростью, h>трв>= 0,855;
К>с> – коэффициент, учитывающий потери мощности в воздухоочистителе, глушителе, радиаторе, компрессоре и вспомогательных агрегатах, К>с> = 0,96.
В свою очередь, силы сопротивления дороги и воздуха равны:
>
>[13.c.214]
Где m>a> – ìàññà àâòîïîåçäà, m>a> = 40000 êã;
g – óñêîðåíèå ñâîáîäíîãî ïàäåíèÿ, g = 9,81 ì/ñ2;
y - коэффициент сопротивления движению, y = 0,018; [13.c.219]
С>х> – коэффициент обтекаемости, С>х> = 0,86; [13.c.214]
К>лоб> – коэффициент заполнения площади лобового сечения, К>лоб> = 0.92 [13.c.214]
В – колея передних колес автопоезда, В = 2,03 м,
Н – габаритная высота автопоезда, Н = 4 м,
r>v> – ïëîòíîñòü âîçäóõà, r>v> = 1,25 êã/ì3;
V>max> – ìàêñèìàëüíàÿ ñêîðîñòü àâòîïîåçäà, V>max> = 85 êì/÷.
Тогда,
Р>y> = 40000*9,81*0,018 = 7063 Н,
Р>w> = 0,138*0,86*0,92*2,03*4*1,25*852 = 2205 Н.
Исходя из этого следует,
>
>Вт.
Выбираем двигатель жидкостного охлаждения – 8210.42К
- число цилиндров – шесть в ряд,
- номинальная мощность при 1900 об/мин, кВт (л.с.) – 272 (370),
- максимальный крутящий момент при 1100об/мин, Нм (кГс м)– 1720 (175).
2.1.2 Определение параметров шин
По аналогии с базовой моделью выбираем шины 13.00-R20.
Радиус качения определяем по формуле Зимелева:
>
>,[13.c.215]
где r>ñò> – статический радиус колеса, r>ñò> = 0,525 м] ,[8.c.403
r>ñâ> – свободный радиус колеса, r>ñâ> = 0,560 м.
>
>м.
2.1.3 Определение передаточных чисел трансмиссии
Расчет минимального передаточного числа трансмиссии u>min> âåäåì, èñõîäÿ èç êèíåìàòè÷åñêîãî îáåñïå÷åíèÿ ìàêñèìàëüíîé ñêîðîñòè V>max>:
u>min> = w>äâ >>N> r>ê> / V>max> = 3,6pn>äâ >>N>r>ê>/(30V>max>), [13.c.216]
где n>äâ >>N> â îá/ìèí; V>max> â êì/÷,
u>min> = 3,6*3,1415*1900*0,547/(30*85) = 4,6.
В настоящее время стремятся несколько уменьшить u>min> ïî ñðàâíåíèþ ñî çíà÷åíèåì, ïîëó÷åííûì ïî ïðèâåäåííîìó âûøå âûðàæåíèþ. Òåì ñàìûì êàê áû óâåëè÷èâàþò V>max>. Ýíåðãåòè÷åñêè óâåëè÷åíèå ìàêñèìàëüíîé ñêîðîñòè ìîæåò áûòü ðåàëèçîâàíî ïðè óìåíüøåíèè ñóììàðíîãî êîýôôèöèåíòà ñîïðîòèâëåíèÿ äâèæåíèþ y по сравнению с его расчетным значением (например, при движении под гору) или при снижении полной массы m>à >автопоезда (например, при движении в недогруженном состоянии). Это обеспечивает увеличение производительности автопоезда из-за движения с большей скоростью либо, при движении с прежней скоростью, экономию топлива и уменьшение износа двигателя вследствие уменьшения частоты вращения коленчатого вала двигателя и приближения значения этой частоты к зоне с минимальным удельным расходом топлива.
Принимаем u>min> = 3,9 , ÷òî ñîîòâåòñòâóåò V>max> = 100 êì/÷.
Максимальное передаточное число u>max> òðàíñìèññèè âûáèðàþò íà îñíîâàíèè ñðàâíåíèÿ òðåõ âåëè÷èí:
1) максимального передаточного числа u>max>> >>j> , обеспечивающего реализацию максимально возможной силы тяги по условию сцепления колес с дорогой:
>
>,[13.c.216]
где j - коэффициент сцепления колеса с дорогой, j = 0,8;
G>ñö> – сцепной вес, G>ñö> = 113815 Н (при нагрузке на ведущий мост 11500кг);
Т>me> – ìàêñèìàëüíûé êðóòÿùèé ìîìåíò äâèãàòåëÿ, Ò>me> = 1720 Íì;
h>тр н> – КПД трансмиссии при движении на низшей передаче, h>тр> = 0,826.
>
>.
2) максимального передаточного числа u>max>>y> , îáåñïå÷èâàþùåãî ïðåîäîëåíèå àâòîïîåçäîì çàäàííîãî äîðîæíîãî ñîïðîòèâëåíèÿ y>max>> >при равномерном движении и пренебрежением сопротивления воздуха (ввиду малой скорости движения)
>
>,[13.c.217]
где y>max> – ìàêñèìàëüíîå äîðîæíîå ñîïðîòèâëåíèå, y>max> = 0,25;
>
>.
3) максимального передаточного числа u>max>> >>v> , îáåñïå÷èâàþùåãî óñòîé÷èâîå äâèæåíèå àâòîïîåçäà ñ òðåáóåìîé ìèíèìàëüíîé ñêîðîñòüþ V>min>> >= 5 км/ч:
>
>,[13.c.217]
>
>.
Для неполноприводных автомобилей неравенство u>max>>y> > u>max>>j> свидетельствует о том, что преодоление заданного дорожного сопротивления невозможно без увеличения сцепного веса (т.е. увеличения числа ведущих осей). В этом случае необходимо отвергнуть u>max>>y> è ïðèíÿòü u>max>> >>j> . Так как u>max>> >>j> > u>max>> >>v> , òî ïðèíèìàÿ u>max> = u>max>> >>j> , полностью используется сцепной вес, а минимальная скорость будет даже меньше требуемой.
Определяем передаточные числа други агрегатов трансмиссии при условии обеспечения найденных выше максимального u>max> è ìèíèìàëüíîãî u>min> ïåðåäàòî÷íûõ ÷èñåë òðàíñìèññèè. Ïðè ýòîì íåîáõîäèìî ñòðåìèòüñÿ îáåñïå÷èòü íàèáîëüøåå ïåðåäàòî÷íîå ÷èñëî â àãðåãàòàõ òðàíñìèññèè, ðàñïîëîæåííûõ áëèæå ê êîëåñàì, ÷òî ïîçâîëÿåò óìåíüøèòü ïåðåäàâàåìûé êðóòÿùèé ìîìåíò, áîëüøåé ÷àñòüþ âàëîâ è äåòàëåé òðàíñìèññèè, è ñíèçèòü èõ ìàññó. Íàèáîëåå ýôôåêòèâíî ýòî ìîæíî ñäåëàòü áëàãîäàðÿ ââåäåíèþ êîëåñíûõ ðåäóêòîðîâ ñ äîñòàòî÷íî áîëüøèì (äî u>êð> = 5…6) передаточным числом.
Передаваемый крутящий момент и массу трансмиссии можно уменьшить и установкой в начале силового потока ускоряющего редуктора. Также вместо установки ускоряющего редуктора крутящий момент можно уменьшить сдвигом всех передаточных чисел коробки передач в сторону меньших передаточных чисел. При этом в коробке появляется несколько ускоряющих передач.
Передаточное число главной передачи можно определить по формуле:
>
>,
[13.c.225]
где u>ïêï.â>–минимальное передаточное число в передней коробке, u>ïêï.â>=0,75;
u>çêï.â>–минимальное передаточное число в задней коробке передач, u>çêï.â>= 1;
>
>
Определяем передаточные числа в коробке передач.
Уменьшение знаменателя геометрической прогрессии q è ñîîòâåòñòâóþùåå óâåëè÷åíèå ÷èñëà ïåðåäà÷ n>S> , äàåò âîçìîæíîñòü ïðè ðàçëè÷íûõ äîðîæíûõ óñëîâèÿõ è íàãðóçêå âûáðàòü íóæíóþ ïåðåäà÷ó, êîòîðàÿ îáåñïå÷èâàåò ðàáîòó äâèãàòåëÿ â çîíå ìèíèìàëüíîãî óäåëüíîãî ðàñõîäà òîïëèâà g>e> ïðè óñëîâèè äâèæåíèÿ àâòîïîåçäà ñ ìàêñèìàëüíî âîçìîæíîé ñêîðîñòüþ. ×òîáû îáåñïå÷èòü âûáðàííîå òàêèì îáðàçîì ÷èñëî ïåðåäà÷ n>S> òðàíñìèññèè åñòü äâà ïóòè: ðåàëèçîâàòü âñå n>S> â îäíîì àãðåãàòå òðàíñìèññèè ëèáî ðàñïðåäåëèòü ïåðåäà÷è ïî ðàçëè÷íûì àãðåãàòàì.
Первый путь используют в основном при создании трансмиссий для неполноприводных машин, сосредотачивая все передачи в одной коробке передач. Это приводит к уменьшению q è ñëåäîâàòåëüíî ê ïîÿâëåíèþ ìíîãîñòóïåí÷àòûõ êîðîáîê ïåðåäà÷ ñ ÷èñëîì ïåðåäà÷ 10, 14, 16 è 20, ÷òî õàðàêòåðíî äëÿ áîëüøåãðóçíûõ ìàãèñòðàëüíûõ àâòîïîåçäîâ. Òåì ñàìûì â çîíå ìèíèìóìà g>e> äîáèâàþòñÿ óìåíüøåíèÿ äî 200 ìèí -1 разницы в частотах вращения коленчатого вала двигателя при движении с одной и той же скоростью на смежных передачах. Это соответствует значению:
>
>.[13.c.227]
Следует заметить, что такие многоступенчатые коробки передач лишь условно можно считать одним агрегатом трансмиссии, так как для уменьшения массы их обычно выполняют в виде последовательно соединенных между собой или объединенных одним картером двух или трех коробок передач.
Второй путь используют обычно в полноприводных машинах при наличии раздаточных коробок, а также дополнительных и бортовых раздаточных коробок.
Определение общего числа передач выполняется по формуле:
>
>,[13.c.226]
где D – äèàïàçîí òðàíñìèññèè, D = u>max>/u>min> = 34,7 / 3,9 = 8,9. [13.c.226]
>
>,
но так как число передач не может быть дробным, то принимаем n>S> = 14.
Передаточное число на i-îé ïåðåäà÷å îïðåäåëÿåòñÿ ïî ôîðìóëå:
>
>
, [13.c.230]
где u>êï.â> – минимальное передаточное число коробки передач;
>
>.
2.2 Расчет элементов передач трансмиссии
2.2.1 Нагрузочные режимы
Для определения характеристик нагрузочных режимов деталей трансмиссий автомобиля используют три способа: экспериментально-статистический, расчетный и экспериментальный.
Экспериментально-статистический способ основан на использовании результатов анализа экспериментальных исследований нагрузочных режимов в деталях трансмиссии автомобиля в различных условиях эксплуатации и нахождении общих закономерностей, присущих определенным классам автомобилей.
В основе расчетного способа лежит моделирование процессов нагружения трансмиссии в условиях эксплуатации при различных режимах движения автомобиля и различных воздействиях на трансмиссию.
Экспериментальный способ основан на схематизации кривых нагружения деталей трансмиссии, полученных при испытательных пробегах автомобиля в характерных условиях эксплуатации.
Установление относительных пробегов.
На основании экспериментальных исследований было установлено, что изменение скорости движения автопоезда для дорожных условий нашей страны приближенно может быть описано нормальным законом распределения (рис. 1.1):
>
>.[13.c.289]


Рисунок 2.1. Кривая распределения скоростей движения автопоезда
Для проектируемого автомобиля считаем
>
>[13.c.289]
Все результаты вычислений заносим в таблицу 1.1.
Кривая f(v) ÿâëÿåòñÿ óñå÷åííîé êàê ïî ìèíèìàëüíîìó v = 0, òàê è ïî ìàêñèìàëüíîìó v>max> çíà÷åíèÿì ñêîðîñòåé.
Находим средние скорости движения автопоезда на высшей и i-îé ïåðåäà÷àõ â êîðîáêå ñêîðîñòåé:
>
>.[13.c.289]
Определяем квантили нормального распределения
>
>,[13.c.289]
характеризующие разности
>
>
в долях среднего квадратического
отклонения >
>.
По таблицам функции нормального распределения для каждого x>i> íàõîäèì ïëîùàäü ïîä òîé ÷àñòüþ êðèâîé íîðìàëüíîãî ðàñïðåäåëåíèÿ, êîòîðàÿ ðàñïîëîæåíà ëåâåå êîîðäèíàòû v>i> :
>
>.[13.c.290]
Считаем, что разность F>i> äâóõ ñìåæíûõ çíà÷åíèé Ô(x>i>) è Ô(x >i>> - 1>) пропорциональна относительному пробегу на i-îé ïåðåäà÷å â êîðîáêå ïåðåäà÷ (êðîìå âûñøåé). Äëÿ i = 1 Ô(x >i>> - 1>) = 0.
Находим удельную силу тяги на колесах при включенной высшей передаче
>
>
, [13.c.290]
где u>òð.â> = u>min> ïðè âêëþ÷åííîé âûñøåé ïåðåäà÷å íà ðåæèìå ìàêñèìàëüíîãî êðóòÿùåãî ìîìåíòà äâèãàòåëÿ.
Определяем коэффициент тяги К>т> , учитывающий влияние тяговых качеств проектируемого автопоезда на характер кривой распределения скоростей и относительные пробеги на передачах:
К>т> = 0,711 + 0,032/р>к.в> . [13.c.290]
Находим относительные пробеги на различных (кроме высшей) передачах
>
>.[13.c.290]
На высшей передаче
>
>.[13.c.290]
Значение g>i>> >есть отношение пути L>i> , ïðîõîäèìîãî àâòîïîåçäîì íà i-é ïåðåäà÷å â êîðîáêå ïåðåäà÷, ê îáùåìó ïóòè L>0> , проходимому за все время эксплуатации, то есть g>i> = L>i> / L>0> . [13.c.290]
2.2.2 Определение параметров кривой распределения удельных сил тяги
В результате обработки большого количества экспериментальных данных установлено, что кривые распределения удельных сил тяги на колесах на каждой передаче за все время ее эксплуатации описывается логарифмически нормальным законом. Причем эти кривые являются усеченными по максимальным значениям, так как ограничены возможностями двигателя и сцеплением колес с дорогой. Умножив удельные силы тяги на массу автопоезда и радиус качения колеса и разделив полученные значения на передаточное число трансмиссии от рассматриваемой детали до колеса и на характеристику сечения самой детали, получим распределение напряжений в этой детали. При данном подходе мы оперируем только средними значениями нагрузок, а все динамические процессы, происходящие в трансмиссии, учитываются коэффициентами динамических нагрузок.
Находим предельную удельную силу тяги, обусловленную сцеплением колес с дорогой, при движении автопоезда:
>
>,[13.c.298]
>
>.
Определяем предельные удельные силы тяги, обусловленные возможностями двигателя, на каждой i-îé ïåðåäà÷å â êîðîáêå ïåðåäà÷:
>
>,[13.c.298]
где u>òð.>>i> è h>тр.>>i> – ñóììàðíîå ïåðåäàòî÷íîå ÷èñëî è ÊÏÄ òðàíñìèññèè ïðè âêëþ÷åííîé i-îé ïåðåäà÷å ñîîòâåòñòâåííî.
Расчетные (предельные) удельные силы тяги:
>
>.[13.c.298]
Среднее значение удельной силы тяги, обусловленной сопротивлением дороги:
>
>
для грузовых автомобилей.
[13.c.299]
Среднее значение удельной силы тяги, обусловленной сопротивлением воздуха:
>
>
. [13.c.299]
Среднее значение удельной силы тяги, затрачиваемой на разгон автопоезда:
>
>,[13.c.299]
где К>а> – коэффициент, равный 0,3 для грузовых автомобилей.
Среднее значение суммарной удельной силы тяги:
>
>.[13.c.299]
Оцениваем среднее квадратическое отклонение кривой распределения удельной силы тяги.
Принимаем следующее значение среднего квадратического отклонения логарифма удельной силы тяги: s>lgp> = 0,20…0,30 – äëÿ ãðóçîâûõ àâòîìîáèëåé, ñàìîñâàëîâ è ïîëíîïðèâîäíûõ àâòîìîáèëåé. [13.c.299]
Все результаты вычислений заносим в таблицу 1.2.
2.2.3 Определение коэффициента пробега при непрерывном изменении напряжения
Значение коэффициента пробега К>п> , - отношения эквивалентного числа циклов к действительному, можно вычислить по формуле:
>
>.[13.c.304]
Поскольку кривая распределения удельной силы тяги f(p) çàäàåòñÿ ïî ïðîáåãó àâòîìîáèëÿ, ñëåäîâàòåëüíî, Ê>п> – это отношение эквивалентного пробега к действительному.
Эквивалентным называется пробег с расчетной для данной передачи удельной силой тяги, при котором усталостные явления, происходящие в деталях, на их поверхностях или в сечениях, те же, что и в действительном пробеге с удельными силами тяги, соответствующими заданной кривой распределения.
Использование коэффициента пробега позволяет значительно сократить число операций при расчете; при этом отпадает необходимость вычислять напряжения на каждом интервале нагрузки и определять произведения sm>j>N>j> , äîñòàòî÷íî ëèøü çíàòü íàïðÿæåíèå s>расч> , полное число циклов N è êîýôôèöèåíò ïðîáåãà Ê>п> .
В Приложении А на Рисунке 1 приведены графики, построенные путем математической обработки кривых распределения удельных сил тяги. Здесь К>пН> и К>п>>F> – êîýôôèöèåíòû ïðîáåãà ïðè ðàñ÷åòå àêòèâíûõ ïîâåðõíîñòåé çóáüåâ ïî êîíòàêòíûì íàïðÿæåíèÿì è íàïðÿæåíèÿì èçãèáà ñîîòâåòñòâåííî. Çíà÷åíèÿ ïîêàçàòåëÿ m ïðè âû÷èñëåíèè Ê>пН> и К>п>>F> ïðèíèìàëè ðàâíûìè 3 è 9 ñîîòâåòñòâåííî. Äëÿ äåòàëåé, êîòîðûå ðàáîòàþò ïîä íàãðóçêîé íà âñåõ ïåðåäà÷àõ, êîýôôèöèåíòû îáùåãî ïðîáåãà Ê>пН0> и К>п>>F>>0> можно определить по формулам:
>
>[13.c.306]
где k>i> – ÷èñëî ðåæèìîâ ðàáîòû.
При этом все режимы заменяются режимом работы с максимальной расчетной удельной силой тяги p>ê.ðàñ÷> .
Однако последними двумя формулами можно пользоваться только для тех деталей трансмиссии, которые имеют одинаковые передаточные числа от этой детали до колеса, то есть расположены после последнего агрегата трансмиссии с изменяемыми передаточными числами.
Все результаты вычислений заносим в таблицу 2.2.
2.2.4 Установление параметров нагрузочного режима для деталей трансмиссии (редуктора ведущего моста)
Найдем расчетные крутящие моменты и частоты вращения на двух участках трансмиссии. Расчетным крутящим моментом Т>i> íàçûâàåòñÿ ìîìåíò îïðåäåëåííûé èñõîäÿ èç ðàñ÷åòíîé óäåëüíîé ñèëû òÿãè р>к>>i> íà âåäóùèõ êîëåñàõ ìàøèíû íà äàííîé ïåðåäà÷å.
>
>[13.c.308]
где l - доля крутящего момента двигателя, которая передается данным валом, для симметричного дифференциала l = 0,5; [13.c.309]
Q - коэффициент, учитывающий увеличение крутящего момента вследствие возможной циркуляции паразитной мощности при блокированном приводе, Q = 1 – при дифференциальном приводе; [13.c.309]
u>ç,ê>>i> – ïåðåäàòî÷íîå ÷èñëî îò âàëà ðàññìàòðèâàåìîé (çàäàííîé) äåòàëè äî âàëà êîëåñà ïðè âêëþ÷åííîé i-îé ïåðåäà÷å;
h>ç,ê>>i> – ÊÏÄ ýòîãî ó÷àñòêà òðàíñìèññèè, [13.c.310]
h>ц.вш> = 0,985 – для цилиндрического зубчатого зацепления внешнего, [13.c.310]
h>ц.вн> = 0,99 – для цилиндрического зубчатого зацепления внутреннего, [13.c.310]
h>кон> = 0,97 – для конической зубчатой передачи с круговым зубом, [13.c.310]
h>п.п> = 0,995 – для пары подшипников качения, [13.c.310]
h>пл.мех> = 0,98 – для бортового редуктора, [13.c.310]
h>диф> = 0,97 – для межколесного дифференциала. [13.c.310]
Тогда для: полуоси u>ç,ê>>i> = h>пл.мех> h>п.п> = 0,98 0,995 = 0,975,
ведущей конической шестерни
u>ç,ê>>i> = h>кон>h>диф>h>пл.мех>h3>п.п> = 0,97 0,97 0,98 0,9953 = 0,908.
Расчетную частоту вращения n>i>> >вычисляют по формуле
>
>[13.c.310]
где n>i>
â ìèí -1, а
>
>в
км/ч.
Все результаты вычислений приведены в таблице 2.3.
2.3 Расчет конической зубчатой передачи
2.3.1 Общие положения
В основу методики расчета положен ГОСТ 21354-87 "Передачи зубчатые цилиндрические эвольвентные. Расчет на прочность" и работы, проведенные группой ученых под руководством И.С.Цитовича.
Основные отличия предлагаемой методики от ГОСТа следующие:
1. Для оценки сопротивления усталости зубчатых колес используют время их работы и пробег автомобиля, а не допускаемое напряжение.
2. Расчетные формулы распространяются на все виды зубчатых колес, которые применяются в трансмиссиях автомобилей (цилиндрические и конические).
3. Формулы в расчетах на сопротивление усталости по контактным и изгибным напряжениям идентичны.
Для того чтобы обеспечить идентичность формул для напряжений изгиба и контакта вместо контактного напряжения по Герцу s>Н> воспользуемся параметром контактного напряжения П>Н> (далее будем называть просто контактным напряжением), имеющим одинаковую с s>Н> единицу измерения и связанным с ним соотношением
>
>,[13.c.315]
где Z>M> – êîýôôèöèåíò, ó÷èòûâàþùèé ìåõàíè÷åñêèå ñâîéñòâà ìàòåðèàëîâ ñîïðÿæåííûõ çóá÷àòûõ êîëåñ,
>
>,[13.c.315]
где u - коэффициент Пуассона;
Е>1 >и Е>2> – модули упругости материалов шестерни и колеса соответственно.
2.3.2 Расчет конической зубчатой передачи
Рассчитаем на прочность и сопротивление усталости коническую пару зубчатых колес главной передачи проектируемого автопоезда.
Исходные данные зубчатой пары:
- z>1 >= 19 – число зубьев шестерни;
- z>2> = 33 – число зубьев колеса;
- m>te> = 9,74ìì – âíåøíèé îêðóæíûé ìîäóëü;
- R>e> = 185,06ìì – âíåøíåå êîíóñíîå ðàññòîÿíèå;
- b>1> = b>2> = b = 56ìì – øèðèíà âåíöà;
- b>m>>1> = b>m>>2> = b>m> = 35° - угол наклона линии зуба;
- a>n>> >= 22°30¢ - угол профиля зуба в нормальном среднем сечении;
- h*>а> = 0,85 – коэффициент высоты головки зуба;
- x>t>>1> = 0,1 = -x>t>>2> – коэффициент тангенциальной коррекции;
- x>1> = -x>2> = 0 – коэффициенты смещения у шестерни и колеса;
- материал – сталь 25Х2Н4А;
- термообработка – цементация с последующей закалкой до HRC>Ý> 58…63;
- 6 – класс шероховатости активных поверхностей зубьев;
- 7 – степень точности по нормам плавности, передача полуобкатная, регулируемая.
Расчетное контактное П>Н> и изгибное s>F> íàïðÿæåíèå íàõîäÿòñÿ ïî ôîðìóëàì:
>
>,[13.c.315]
где F>t> – ðàñ÷åòíàÿ îêðóæíàÿ ñèëà â çóá÷àòîì çàöåïëåíèè, Í; [13.c.316]
b>w> , b>f> – ðàáî÷àÿ øèðèíà çóáà ïðè ðàñ÷åòå êîíòàêòíûõ è èçãèáíûõ íàïðÿæåíèé ñîîòâåòñòâåííî, ìì; [13.c.316]
m>nm> – ñðåäíèé íîðìàëüíûé ìîäóëü, ìì; [13.c.317]
d>wm>>1> – средний начальный диаметр шестерни, мм; [13.c.317]
Z>H> , Y>F> – êîýôôèöèåíòû ó÷èòûâàþùèå ôîðìó ñîïðÿæåííûõ ïîâåðõíîñòåé çóáüåâ; [13.c.317]
Y>e> , Z>e> - êîýôôèöèåíòû ïåðåêðûòèÿ çóáüåâ; [13.c.323]
K>H>>a> , K>F>>a> - êîýôôèöèåíòû ðàñïðåäåëåíèÿ íàãðóçêè ìåæäó çóáüÿìè â çàâèñèìîñòè îò ñòåïåíè òî÷íîñòè ïåðåäà÷è; [13.c.325]
К>H>>b> , K>F>>b> - êîýôôèöèåíòû ó÷èòûâàþùèå ðàñïðåäåëåíèå íàãðóçêè ïî äëèíå êîíòàêòíîé ëèíèè; [13.c.327]
K>H>>m> , K>F>>m> - êîýôôèöèåíòû ó÷èòûâàþùèå âëèÿíèå òðåíèÿ è ñìàçêè; [13.c.331]
K>Hx> , K>Fx> – êîýôôèöèåíòû ó÷èòûâàþùèå âëèÿíèå ðàçìåðîâ çóá÷àòîãî êîëåñà è ìîäóëÿ çóáüåâ. [13.c.331]
>
>мм;
>
>
Значение Т берем из таблицы 1.3 для первого участка. Результаты вычислений заносим в таблицу 1.4.
Единичное контактное напряжение (коэффициент контактного напряжения) определяем по формуле: [13.c.317]
>
>
где d>1> и d>2> – углы делительного конуса шестерни и колеса соответственно.
Углы делительных конусов находят из следующих равенств: [13.c.318]
>
>
Эквивалентное число зубьев z>v>> >шестерни и колеса:
>
>
единичное напряжение изгиба (коэффициент напряжения изгиба):
>
>,[13.c.319]
где >
>
- номинальное значение коэффициента >
>,
>
>=
2,25 для полуобкатной передачи;
К>и> – коэффициент, учитывающий влияние параметров парного зубчатого колеса, К>и> = 1 для конического колеса;
К>a> - коэффициент, учитывающий влияние угла профиля, К>a> = 0,935;
К>r> - коэффициент, учитывающий влияние радиуса переходной кривой профиля зуба, К>r>> >= 1,03;
К>t> - коэффициент, учитывающий влияние преднамеренного перераспределения толщины зубьев шестерни и колеса соответственно,
>
>,[13.c.323]
>
>
>
>
>
>.
Коэффициенты осевого e>b> и торцевого e>a> перекрытия для конических передач:
>
>
где a>t> – óãîë ïðîôèëÿ â òîðöåâîì ñå÷åíèè,
>
>[13.c.318]
Для конических косозубых передач Y>e> = Z>e> = 1.
Коэффициент
>
>,[13.c.325]
где >
>
- коэффициенты, учитывающие непостоянство
интенсивности нагрузки на наклонных
контактных линиях и влияние точности
изготовления на распределение нагрузки
между зубьями соответственно. Для
передач с криволинейными зубьями
К>Н>>y> = 1+e>b>/3 = 1+1,51/3 = 1,5. [13.c.325]
Расчетная окружная скорость в зацеплении находится по формуле:
>
>,[13.c.325]
где n – ðàñ÷åòíàÿ ÷àñòîòà âðàùåíèÿ çóá÷àòîãî êîëåñà â ìèí -1.
К>Н>>g> = 1 + 0,00267v>ç> [13.c.325]
Все результаты вычислений заносим в таблицу 1.4.
Коэффициент
>
>,[13.c.325]
где >
>-
коэффициент, учитывающий влияние числа
зубьев z>v>
è âåëè÷èíû ñìåùåíèÿ õ íà ðàñïðåäåëåíèå
íàãðóçêè ìåæäó çóáüÿìè;
К>D> - коэффициент, учитывающий влияние точности изготовления и удельной нагрузки F>to> = F>t>/(b>w>m>nm>) íà ðàñïðåäåëåíèå íàãðóçêè ìåæäó çóáüÿìè. [13.c.325]
Для внешнего зацепления
>
>=
1,43, для шестерни и для колеса >
>=1,47.
[13.c.326]
Значения коэффициента К>D> выбирают в зависимости от степени точности передачи и значении F>to> , Ê>D> = 0. [13.c.326]
K>F>>a>>1> = 1 + (1,43 – 1)0 = 1
K>F>>a>>2> = 1 + (1,47 – 1)0 = 1
Для передач с неразветвленным потоком мощности[13.c.326]
>
>.
Здесь коэффициент
>
>учитывает
распределение нагрузки по ширине венца
в начальный период работы передачи, >
>
и >
>
- приработку зубьев в процессе эксплуатации.
>
>=
1,02 [13.c.327]
.
Последовательность вычисления коэффициентов К>HV> è K>FV> ñëåäóþùàÿ:
1) определяем расчетную производственную погрешность D>0> = 22мкм зубчатых колес согласно [13.c.330]
2) вычисляем внутреннюю динамическую нагрузку (в Н) при окружной скорости v>ç> = 1 м/с:
>
>,
[13.c.329]
где N>D> - êîýôôèöèåíò, ó÷èòûâàþùèé òèï ïåðåäà÷è è ðàâíûé N>D> = 0,14 äëÿ ïåðåäà÷ ñ êðèâîëèíåéíûì çóáîì. [13.c.329]
>
>,
3) определяем внутреннюю динамическую нагрузку (в Н) при расчетном значении окружной скорости:
>
>.
[13.c.330]
4) рассчитываем предельное значение динамической нагрузки (в Н) по формуле [13.c.330]
>
>,
где G>t>>S> - ñóììàðíàÿ óäåëüíàÿ æåñòêîñòü ñîïðÿæåííûõ çóáüåâ, G>t>>S> = 16Í/ìì×мкм , [13.c.330]
>
>.
5) сопоставляем значения
>
>
è >
>
и меньшее из них принимают в качестве
расчетного значения внутренней
динамической нагрузки >
>;
6) определяем расчетное значение коэффициента внутренней динамической нагрузки:
>
>;
7) вычисляем искомые значения коэффициентов К>Fv> è K>Hv> :
>
>,
где K>ve> – êîýôôèöèåíò, ó÷èòûâàþùèé âëèÿíèå âíåøíèõ äèíàìè÷åñêèõ íàãðóçîê.
При применении смазочных материалов, рекомендуемых для агрегатов трансмиссии автомобиля, К>Н>>m> = 1. Для ведущего зубчатого колеса внешнего зацепления К>F>>m> = 1,05 , à äëÿ âåäîìîãî 0,95 .
Для зубчатых колес, имеющих (средний) начальный диаметр d>w> < 700 ìì,
К>Нх> = 1.
К>F>>õ> = 1,14 [13.c.332]
>
>
Все результаты вычислений заносим в таблицу 1.4.
Предельные напряжения при расчете на сопротивление усталости определяют по формулам [13.c.331]
>
>,
где
и
- пределы выносливости (при контактных
напряжениях и симметричном изгибе
зубьев соответственно), установленные
при стендовых испытаниях колес с
заданными конкретными размерами,
термообработкой и чистотой поверхности
зубьев, соответствующие вероятности
неразрушения Р=0,9 и базовым числам циклов
N>H>>0>
и N>F>>0>,
=
21 МПа и
=
430 МПа [13.c.334]
Z>R> è Y>R> – êîýôôèöèåíòû, ó÷èòûâàþùèå îñîáåííîñòè îáðàáîòêè çóáüåâ, Z>R>=1 [13.c.336] Y>R> = 1 [13.c.332];
K>Fc> – êîýôôèöèåíò, ó÷èòûâàþùèé îòëè÷èå õàðàêòåðà íàãðóæåíèÿ çóá÷àòîãî êîëåñà îò çíàêîïåðåìåííîãî ñèììåòðè÷íîãî öèêëà, K>Fc>=1,2 [13.c.333].
>
>
Ресурсы R>1>>H> è R>1>>F> çóá÷àòîãî êîëåñà ïî êîíòàêòíûì íàïðÿæåíèÿì è ïðè èçãèáå, ðàñõîäóåìûå çà îäèí êèëîìåòð ïðîáåãà àâòîïîåçäà, îïðåäåëÿåì ïî ôîðìóëàì [13.c.333]
>
>,
где а – фактор цикличности, т.е. число вхождений в зацепление одного зуба одной и той же стороной за один оборот зубчатого колеса, а = 1 [13.c.333];
n>s> – ÷èñëî îáîðîòîâ, ñîâåðøàåìûõ âåäóùèì êîëåñîì àâòîïîåçäà çà îäèí êèëîìåòð ïðîáåãà,
>
>;
mH = 3 , mF = 9 [13.c.333] .
Общие ресурсы R>H>> >>lim> è R>F>> >>lim> âû÷èñëÿåì ïî ôîðìóëàì
>
>.
Значения базовых циклов N>H>>0> = 4 10 - 6 и N>F>>0> = 1,2 10 – 8 [13.c.334] .
>
>
При оценке долговечности зубчатых колес по сроку службы определяем пробеги L>Í> и L>F> äî ïîÿâëåíèÿ ïðîãðåññèðóþùåãî âûêðàøèâàíèÿ àêòèâíûõ ïîâåðõíîñòåé çóáüåâ è óñòàëîñòíîé ïîëîìêè çóáà:
>
>,
которые затем сравниваем с планируемым сроком службы L>0>.
>
>
Расчетный ресурс зубчатой передачи больше требуемого.
Расчет зубчатой передачи на прочность
Определим максимально возможные в эксплуатации контактные напряжения П>H>> >>max> íà àêòèâíûõ ïîâåðõíîñòÿõ çóáüåâ è íàïðÿæåíèé èçãèáà s>F>> >>max> çóáüåâ è ñðàâíèì ïîëó÷åííûå çíà÷åíèÿ ñ ïðåäåëüíûìè Ï>H>> >>lim>> >>M> = 190 ÌÏà è s>F>> >>lim>> >>M> =1950 ÌÏà [13.c.334].
Напряжения П>Н >>max> è s>F>> >>max> âîçíèêàþò ïðè äåéñòâèè ìàêñèìàëüíî âîçìîæíîãî äèíàìè÷åñêîãî êðóòÿùåãî ìîìåíòà T>max> íà âàëó çóá÷àòîãî êîëåñà, êîòîðûé, ðàâåí
T>max> = K>ä> Т,
где К>д> – коэффициент динамичности, К>д> = 2,25 [13.c.313];
Т – наибольший крутящий момент на рассчитываемом участке трансмиссии.
>
>
Условие достаточной прочности зубьев имеет вид
>
>,
где 0,9П>H>> >>lim>> >>M> = 171 ÌÏà ; 0,9s>F>> >>lim>> >>M> =1755 ÌÏà.
>
>
Условие достаточной прочности выполняется.
2.4 Расчет дифференциала
2.4.1 Выбор основных параметров зубчатых колес дифференциалов
Все зубчатые колеса дифференциалов прямозубые. Для конических зубчатых колес симметричного дифференциала внешнее конусное расстояние R>e> è âíåøíèé ìîäóëü m>e> = m>te> ìîæíî âûáèðàòü â çàâèñèìîñòè îò ðàñ÷åòíîãî êðóòÿùåãî ìîìåíòà Ò íà ñàòåëëèòå:
>
>,
где l - доля крутящего момента двигателя, которая поступает на корпус дифференциала, l = 1 [14.c.198];
u>òð,ä.í> – передаточное число трансмиссии от двигателя до корпуса дифференциала при включении низшей передачи в коробке передач, u>òð,ä.í> = 6,58;
n>ñò> – количество сателлитов в дифференциале, n>ñò> = 4;
u>ñò,ïø> – передаточное число от сателлита до полуосевой шестерни, u>ñò,ïø> = 2;
u>ïø,ê> – передаточное число от полуосевой шестерни до ведущего колеса автопоезда, u>ïø,ê> = 5,00;
>
>.
Согласно [13.c.168] m>e> = 6ìì, R>e> = 70ìì.
Определяем число зубьев сателлита
>
>,
так как z>ñò> > 10, то согласно [14.c.199] ïðèíèìàåì z>ñò> = 11.
Тогда z>1> = z>2> = z>ñò> u>ñò.ïø> = 11 2 = 22.
Условие сборки и размещения (соседства) имеет вид [14.c.199]
>
>,
где А – целое число; >
>
>
>,
условия выполняются.
Принимаем ширину зубчатого венца b = 0,3R>e> =0,3 = 21ìì,
угол профиля исходного контура a = 22°30¢,
коэффициент высоты головки зуба h*>a> = 0,8,
коэффициент радиального зазора с* = 0,25,
коэффициент граничной высоты h*>l> = 1,6.
материал сталь 40XH, òåðìîîáðàáîòêà – îáúåìíàÿ çàêàëêà HRC>Ý >45…55.
П>HlimM> = 100 ÌÏà,
s>FlimM>> >= 1600 МПа.
Коэффициенты смещения исходного контура х для пары конических зубчатых колес принимаем равными по величине и обратными по знаку (у сателлита со знаком плюс), [14.c.199]
>
>.
Коэффициенты изменения толщины зуба х>t> назначаем также равными по величине и обратными по знаку (у сателлита со знаком плюс), х>t> = 0,063 [13.c.199].
2.4.2 Расчет на прочность и сопротивление усталости
Зубчатые колеса шестеренчатых дифференциалов на сопротивление усталости не рассчитывают, а рассчитывают только на прочность при воздействии максимального динамического момента Т>д> на корпус дифференциала. При этом считаем что каждый сателлит передает усилие двумя зубьями.
Максимальный динамический момент на корпусе дифференциала
>
>,
где Т – наибольший крутящий момент на полуоси, Т =7855 Н м.
>
>.
Максимальные напряжения
>
>,
где F>t> – îêðóæíàÿ ñèëà íà ñàòåëëèòå,
>
>;
>
>
>
>
>
>;
Z>e> = Y>e> =1,0 [13.c.323];
K>H>>a> = 1 [13.c.325];
K>H>>b> = 1,02 [13.c.329];
K>Hx> = 1 [13.c.331];
>
>,[13.c.319]
Y0>F> = 2,25 [13.c.319];
K>И> = 1 [13.c.322];
K>a> = 0,935 [13.c.323]
>
>,[13.c.325]
K0>F>>a>>1> = 1,37
K0>F>>a>>2> = 1,30 [13.c.326]
K>D> = 0 [13.c.327]
>
>
>
>;
>
>=
1,02
[13.c.327];
K>Fw> = 1 [13.c.328];
>
>;
K>r> = 1,03 [13.c.323];
>
>,[13.c.323]
>
>
>
>
>
>
>
>
K>Fx> = 1[13.c.331].
>
>
Условие достаточной прочности зубьев имеет вид
>
>
Условие достаточной прочности выполняется.
2.4.3 Расчет крестовины дифференциала на смятие и срез
>
>
где r>ñð.ñò,ø> – средний радиус поверхности контакта сателлита и шипа крестовины относительно оси полуосевых шестерен, r>ñð.ñò,ø> =57мм;
d>ø> – диаметр шипа крестовины, d>ø> = 25мм;
l>ñò> – длина цилиндрической поверхности сателлита под шип крестовины, l>ñò>= 28мм.
>
>
Условие прочности выполняется.
Также выполняем расчет напряжения смятия в контакте корпуса дифференциала и шипа крестовины.
>
>
где r>ñð.ä,ø> – средний радиус поверхности контакта корпуса дифференциала и шипа крестовины относительно оси полуосевых шестерен, r>ñð.ä,ø> = 83мм;
l>ä> – длина цилиндрической поверхности корпуса дифференциала под шип крестовины.
>
>
Условие прочности выполняется.
2.4.4 Определение коэффициента блокировки дифференциала
Отношение крутящего момента Т>2> на отстающем валу к крутящему моменту Т>1> на забегающем валу называется коэффициентом блокировки К>б>. Обычно этот термин используют только для симметричного дифференциала
>
>.
В зависимости от конструкции дифференциалы повышенного трения обеспечивают различные коэффициенты блокировки.
Симметричный дифференциал (с u>ä> = -1), имеющий коэффициент блокировки К>б>, обеспечивает разные силы тяги у колес ведущего моста. Блокирующие свойства такого дифференциала начинают проявляться немедленно, как только появляется разность сил тяги у колес ведущего моста, причем в первый момент относительное вращение полуосей отсутствует. Оно появляется при достижении некоторой разности сил тяги, определяемой коэффициентом блокировки.
Относительное вращение полуосей возможно вследствие буксования одного колеса при прямолинейном движении или из-за разных путей, проходимых колесами на повороте. При этом в первом случае такой дифференциал будет благоприятно сказываться на движении автомобиля, обеспечивая увеличение крутящего момента на полуоси небуксующего колеса, а во втором – неблагоприятное, так как в этом случае в перераспределении крутящих моментов нет необходимости. Сила тяги внутреннего по отношению к оси поворота колеса становится больше, а у наружного меньше. В результате в плоскости дороги появляется внешний момент, действующий в направлении, противоположном направлению поворота, что ухудшает управляемость автомобиля.
Теоретически коэффициент блокировки К>б> может изменяться от К>б> = 1, когда трение в дифференциале отсутствует (Т>тр> = 0), до бесконечности, когда Т>1> = Т>д> – Т>тр> = 0 (это может быть только на абсолютно гладкой поверхности дороги с j = 0 или при отрыве колеса от поверхности дороги).
На практике нет необходимости иметь большое значение коэффициента блокировки К>б>, так как предельные значения коэффициента сцепления под отдельными колесами встречаются крайне редко. К>б> = 3 достаточен для 80 % дорожных условий, К>б> = 5 – для 94 %.
Максимальная суммарная сила тяги ведущего моста с самоблокирующимся дифференциалом Р>в м >= G>ê>(j>к >>min> + j>к >>min>Ê>б>) = G>ê>j>к >>min>(1 + Ê>б>) не может быть больше Р>в м> = G>ê>(j>к >>min> + j>к >>max>), ãäå j>к >>min>, j>к >>max> – êîýôôèöèåíòû ñöåïëåíèÿ ïîä îòäåëüíûìè êîëåñàìè, ïðè÷åì j>к >>min> £ j>к >>max>.
Если остановить корпус симметричного дифференциала, то получится редуктор с одной степенью свободы и передаточным числом êu>ä> ç= 1. Пусть к одному из ведомых валов дифференциала приложен момент Т>2>, а с другого снимается момент Т>1>. Так как в дифференциале имеются потери на трение, то Т>2>>Т>1>, а из-за того, что он симметричный, следует равенство w>1> = w>2>, хотя и направлены скорости в разные стороны. Причем направления момента Т>2> и угловой скорости w>2>, как у ведущего элемента, в данном случае будут совпадать , а направления Т>1> и w>1> будут противоположны. В соответствии с этим направления моментов Т>1> и Т>2> будут одинаковыми. Тогда КПД такого редуктора (дифференциала)
>
>.
Это выражение справедливо и при вращающемся корпусе дифференциала.
Причем, как и в рассмотренном редукторе, внешний момент Т>2> и угловая скорость w>2> на отстающей полуоси совпадает по направлению, а на забегающей полуоси противоположны. В результате коэффициент блокировки примет следующий вид
К>б> = 1/h>д>.
Если коэффициент блокировки не зависит от того, какая полуось является забегающей, а какая отстающей, то такой дифференциал называется дифференциалом с симметричными блокирующими свойствами.
Низкий КПД дифференциала иногда рассматривают как серьезный недостаток из-за возможных больших потерь мощности. Это не совсем так. Большой момент трения в дифференциале приведет к увеличению потерь мощности только при значительной разнице в частотах вращения полуосей. Так как обычно эта разница невелика, то и теряемая в дифференциале мощность тоже мала. Потери близки к нулю при отсутствии относительного вращения деталей дифференциала и будут возрастать по мере увеличения разницы в частотах вращения полуосей. При буксовании одного из колес ведущего моста или при повороте автомобиля с минимальным радиусом (при заданной линейной скорости движения) потери мощности будут наибольшими. Для их оценки в зависимости от трения в дифференциале принят условный показатель – КПД передачи
>
>.
Найдем КПД передачи h>п> в зависимости от радиуса поворота автомобиля. Согласно схеме, приведенной на рисунке 1.2, [14, c187]
Dw/(0,5B)=w>д >/R,



Рисунок 2.2. План скоростей ведущего моста при повороте




















ãäå
Dw
- разница угловых скоростей корпуса
дифференциала и полуоси; R
– ðàäèóñ ïîâîðîòà öåíòðà âåäóùåãî
ìîñòà, èëè [14, c187]
Dw/w>д >= B/(2R).
Кроме того,
N>1> = Т>1>w>1> = Т>1>(w>д> + Dw);
N>1> = Т>1>w>1> = Т>1>(w>д> - Dw);
N>ä> = Т>д>w>д> = (Т>1> +Т>2>)w>д>;
Т>2> = Т>1> / h>д>.
С учетом последних равенств выражение (15) для КПД передачи примет вид
>
>
Таким образом, КПД передачи h>п> в отличие от КПД дифференциала h>д> – величина переменная для данного автомобиля и зависит от радиуса ее поворота. При прямолинейном движении без проскальзывания (R = ¥) h>п> = 1 независимо от КПД дифференциала h>д>; при движении с минимальным радиусом поворота зависимость h>п> от h>д> показана на рисунке 1.3 для отношения В/2R>min> = 0,1, õàðàêòåðíîãî äëÿ áîëüøèíñòâà ãðóçîâûõ àâòîìîáèëåé.

Рисунок 2.3. Зависимость КПД передачи h>п> от КПД дифференциала h>д>
Анализ этой зависимости показывает, что КПД передачи h>п> достаточно высок даже при весьма низких значениях КПД дифференциала h>д>. Отсюда следует, что низкие значения КПД дифференциала не могут служить препятствием для создания блокирующихся дифференциалов повышенного трения.
Наряду с коэффициентом блокировки дифференциала К>б> используется также выражение
>
>.
Между этими двумя выражениями существует связь:
>
>;
>
>.
Согласно выражению (15), >
>
изменяется от >
>
= 0 при Т>тр>
= 0 до >
>
= 1 при Т>тр>
= Т>д> (полная
блокировка дифференциала).
При относительном вращении шестерен в обычном коническом дифференциале имеют место некоторые потери мощности на преодоление сил трения внутри механизма. Если учесть потери в зацеплениях сателлитов на оси крестовины и полуосевых шестерен в корпусе дифференциала, то КПД дифференциала может быть вычислен как произведение КПД этих механизмов передачи мощности: [14, c189]
h>д> = h>п.с>h>кон.пр>h>п.с>h>кон.пр>h>п.с>,
где h>п.с> – КПД подшипника скольжения;
h>кон.пр> – КПД конической передачи с прямым зубом. Приняв h>п.с> = 0,99; h>кон.пр> = 0,98, получим
h>д> = h3>п.с>h2>кон.пр> = 0,993 × 0,982 = 0,93
и далее, согласно формуле [14.c.189], íàõîäèì
К>б> = 1/h>д> = 1/0,93 = 1,075.
>
>
>
>.
Таким образом, коэффициент блокировки обычного симметричного конического дифференциала составляет К>б> = 1,07…1,10. С учетом трения сателлитов и полуосевых шестерен о корпус дифференциала его значение возрастает до К>б> = 1,20…1,25.
Чтобы существенно увеличить момент трения в дифференциале, используют специальные диски трения.
Дополнительный момент трения, развиваемый в дисках трения и в контакте сателлитов с корпусом дифференциала, относительно оси полуосевых шестерен равен [14, c190]
>
>,
где m - коэффициент трения;
r>ñð.ïø>, r>ñð.ñò> – средние радиусы поверхности трения дисков трения полуосевых шестерен и контактной поверхности сателлита с корпусом дифференциала соответственно;
z>ïø> – число пар трения на одной полуосевой шестерне;
d>m>>ñò> – средний делительный диаметр сателлита.
Сомножитель d>m>>ïø>/d>m>>ñò> появился в связи с приведением момента трения сателлита (относительно его оси) к оси полуосевых шестерен.
По аналогии с выражением для среднего радиуса поверхности трения сцепления можно записать [14, c190]
>
>;
>
>,
где D>ïø>, d>ïø> – наружный и внутренний диаметры дисков трения полуосевых шестерен; D>ñò>, d>ñò> – наружный и внутренний диаметры площадки контакта сателлита и корпуса дифференциала.
Суммарный момент трения в дифференциале с дисками трения
Т>тр>>S> = Т>тр> + Т>тр.доп>,
А разделив его на момент, передаваемый корпусом дифференциала, найдем коэффициент
>
>
Согласно последним двум выражениям, коэффициент блокировки данного дифференциала не зависит ни от передаваемого момента, ни от относительных скоростей полуосевых шестерен, а зависит только от конструктивных параметров дифференциала и коэффициента трения m.
К сожалению, ввиду малого угла профиля исходного контура a, значение коэффициента блокировки К>б> в таком дифференциале не может быть большим. Для выполненных конструкций при девяти парах трения (z>ïø> = 9) и m = 0,1 К>б> равен 2,13; 2,36; и 2,51 при a, равном 20°; 22°30¢ и 24°.
Чтобы увеличить силу сжатия дисков трения, а также момент трения и коэффициент блокировки, в конструкцию вводят трапецеидальные кулачки, расположенные на внешних либо на внутренних сторонах полуосевых шестерен и втулок, через которые крутящий момент передается от этих шестерен к втулкам. При этом дополнительный момент трения Т>тр.доп> может быть определен по формуле, аналогичной (19), с заменой угла a на j>д> – угол скоса кулачков, а d>m>>ïø> на d>mê> – средний диаметр торцевых кулачков.
>
>
Тогда для К>б>
= 3, имеем >
>.
Откуда >
>
>
>
или j>Д> = 2,5°.
В этих схемах, изменяя угол j>д>, можно получить любой коэффициент блокировки в пределах допустимых давлений в элементах механизма и в первую очередь в дисках трения (чтобы не вызвать задиры на поверхностях трения).
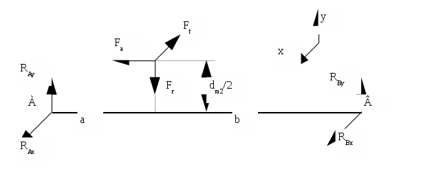
2.4.5 Расчет подшипников дифференциала

Рисунок
2.4. Схема сил, действующих на корпус
дифференциала
Определим реакции в опорах подшипников.
>
>
а = 61мм, b = 215ìì.
Все результаты вычислений заносим в таблицу 1.5.
Срок службы подшипника при переменных режимах работы можно определить на основе гипотезы линейного суммирования повреждений по формуле
>
>,
где >
>приведенная
нагрузка на i-ì
ðåæèìå;
>
>
- ÷èñëî îáîðîòîâ ïîäøèïíèêà
çà îäèí êèëîìåòð ïðîáåãà íà i-ì
ðåæèìå;
m = 3,33 äëÿ ðàäèàëüíîóïîðíûõ ðîëèêîâûõ ïîäøèïíèêîâ;
С – динамическая грузоподъемность подшипника;
Р>i> – ýêâèâàëåíòíàÿ äèíàìè÷åñêàÿ íàãðóçêà íà i-ì ðåæèìå;
К>б> – коэффициент безопасности, К>б> = 1,25 [13.c.370];
К>Т> – температурный коэффициент, К>Т> = 1 [13.c.370];
Все результаты вычислений заносим в таблицу 1.5.
Долговечность подшипника обеспечивается, если
>
>,
где L>0> – нормативный пробег автопоезда до капитального ремонта.
Эквивалентную динамическую нагрузку Р>i> íàõîäÿò ïî ñëåäóþùåé ôîðìóëå:
P = XVF>r> + YF>a> ,
где коэффициенты радиальной Х и осевой Y íàãðóçîê íàõîäÿò ïî [13.c.366] â çàâèñèìîñòè îò îòíîøåíèÿ F>a>/(VF>r>) è êîýôôèöèåíòà å, êîòîðûé õàðàêòåðèçóåò îñîáåííîñòè íàãðóæåíèÿ ïîäøèïíèêà ïðè äåéñòâèè êîìáèíèðîâàííîé (ðàäèàëüíîé è îñåâîé) íàãðóçêè.
Подшипники дифференциала устанавливают враспор.
При приложении радиальной нагрузки F>r> ê îäíîðÿäíîìó ðàäèàëüíî-óïîðíîìó ïîäøèïíèêó ïîÿâëÿåòñÿ îñåâàÿ ñîñòàâëÿþùàÿ S (âñëåäñòâèå íàêëîíà ëèíèè êîíòàêòà). Äëÿ ðàäèàëüíî-óïîðíîãî ðîëèêîâîãî ïîäøèïíèêà îíà ðàâíà S=0,83eF>r> .
Осевую нагрузку F>a> íà ðàäèàëüíî- óïîðíûå ïîäøèïíèêè îïðåäåëÿåì èñõîäÿ èç îñåâîé íàãðóçêè F>r> , îáóñëîâëåííîé îñåâûìè ñèëàìè â çóá÷àòîì çàöåïëåíèè [13.c.370].
Все результаты вычислений заносим в таблицу 2.5.
2.5 Оценка эксплуатационных свойств
Эксплуатационные характеристики автомобиля – это объективные данные, дающие возможность принимать решение об эффективном использовании этих машин в различных дорожных, климатических и других условиях. Эти характеристики позволяют для конкретных транспортных операций выбрать тип автомобиля, конструктивные особенности которой позволили бы выполнить их наиболее рационально. Основными из них являются тягово-динамические, тормозные, топливно-экономические характеристики, а также управляемость, устойчивость, проходимость и плавность хода. Все эти эксплуатационные характеристики связаны между собой.
Тягово-динамические характеристики в основном определяют один из важнейших показателей автомобиля – среднюю скорость ее движения. Сила тяги – это сумма всех тяговых сил, приложенных к каждому ведущему колесу, которые вычисляют как отношение момента на ведущем колесе к радиусу его качения.
>
>.
Все результаты вычислений заносим в таблицу 1.6.
Сила сопротивления движению находится по формуле
>
>,
где y - расчетное сопротивление движению, y =0,018;
F – ëîáîâàÿ ïëîùàäü, F =7,45ì2.
Все результаты вычислений заносим в таблицу 1.6.
Важным показателем, определяющим тяговые свойства автомобиля, является динамический фактор D, ò.å. îòíîøåíèå ðàçíîñòè ñèëû òÿãè Ð>к> и силы сопротивления Р>w> âîçäóøíîãî ïîòîêà ê âåñó ìàøèíû:
>
>.
Графическая зависимость динамического фактора от скорости автомобиля называется динамической характеристикой.
Ускорение автомобиля определяется по формуле
>
>.
Все результаты вычислений заносим в таблицу 1.6.
Выполняя тяговый расчет, определяем основные тяговые свойства для соответствующих дорожных условий.
Мощность подводимая к колесу определяется по формуле
.
Все результаты вычислений заносим в таблицу 2.6.
Определение угла подъема по мощности и по сцеплению

3 Технологическая часть
3.1 Оборудование и инструмент для механической обработки заготовки
Предусмотрены для расчёта следующие операции:
токарная - Æ 112 до Æ100 мм,
сверлильная - Æ 32 мм,
Выбираем следующее оборудование:
А) Для токарной обработки токарно-винторезный станок 1М61 со следующими параметрами:
Наибольший диаметр обрабатываемой детали - 320 мм
Расстояние между центрами 1000 мм
Число ступеней частот вращения шпинделя 24
Частота вращения шпинделя 12,5- 1600 об/мин
Число ступеней подач суппорта 24
подача суппорта :
продольная - 0,08 - 1,9 мм/об
поперечная - 0,04 -0,95 мм/об
Мощность главного электродвигателя - 4 кВт
КПД станка - 0,75
Наибольшая сила подачи механизма подачи - 150 кг-с.
В качестве режущего инструмента для токарной обработки используем токарный проходной резец, прямой, правый .
Материал рабочей части - твердый сплав Т5К10, материал корпуса резца - сталь 45.
Б) Для сверления - вертикальносверильный станок 2Н135 со следующими параметрами:
наибольший условный диаметр сверления - 35 мм
вертикальное перемещение сверлильной головки - 250 мм
число ступеней частоты вращения шпинделя - 12
частота вращения шпинделя - 31,5-1400 об/мин число ступеней подач - 9
подача шпинделя - 0,1 ¸ 1,6 мм/об
крутящий момент на шпинделе - 40 кг-с/м
наибольшая допустимая сила подачи - 1500 кг-с
мощность электродвигателя - 4 кВт
КПД станка - 0,8;
В качестве режущего инструмента используем сверло спиральное из быстрорежущей стали Р18: по ГОСТ 2092 - 77 2301 - 4157;
3.2 Выбор измерительного инструмента:
Измерительный инструмент - это техническое устройство, используемое при измерениях и имеющие нормированные метрологические свойства. При выборе измерительного инструмента учитываются формы контроля (сплошной или выборочный масштаб производства, конструктивные характеристики детали, точность её изготовления ).
В соответствии с линейными размерами нашей детали:
максимальный измеряемый диаметр - D>1 max >= 112 мм
минимальный измеряемый диаметр - D> min> = 32 мм
максимальный линейный размер - L>max> = 26 мм
минимальный линейный размер - L>min >= 6 мм
В качестве основного измерительного инструмента выбираем: штангенциркуль.
Штангенциркуль Ш Ц - 1 по ГОСТ 166 - 80 с ценой делений 0,05 мм.
3.3 Расчет режимов резания
3.3.1 Расчет режима резания при токарной обработке
Все расчеты режимов резания ведем по [16.c.13].
Деталь - коническое зубчатое колесо. Материал сталь 40ХН;
s> в> = 61 МПа;
Режущий инструмент - токарный проходной резец из быстрорежущей стали Т5К10, правый, стойкость резца - 90 мин .
Оборудование - токарно-винторезный станок 1М 61
Необходимо рассчитать режим резания при токарной обработке цилиндрической поверхности с диаметра Æ 112 мм; до диаметра Æ 100 мм; по 5 классу, на длине 12 мм .
Определяем припуск на механическую обработку и глубину резания:
>
>
мм
Назначаем подачу для точения: - 0,4 мм/об проверяем выбранную подачу с паспортной подачей станка 1М 61:
В качестве расчетной принимаем ближайшую меньшую:
S>p> = 0,368 мм/об
Определяем расчётную скорость резания:
>
>,
где
K>v> - поправочный коэффициент, учитывающий реальные условия резания
>
>;
где
>
>
- поправочный коэффициент,
учитывающий влияние обрабатываемого
материала.
>
>
>
>
- поправочный коэффициент
на материал режущей части инструмента.
Для Т5К10 >
>
= 0.65;
>
>
= поправочный коэффициент,
учитывающий влияние периода стойкости
резца:
Для Т = 90 мин. >
>
= 0.92;
>
>=
поправочный коэффициент, учитывающий
состояние поверхности заготовок, >
>
= 1.0
Находим:
>
>
>
>
- коэффициент зависящий
от качества обрабатываемого материала
и материала режущей части инструмента;
Т - принятый период стойкости резца (Т = 90 мин)
Значения >
>
- находим, для стали при S > 0.3; >
>
то >
>;
Определяем расчётную
частоту вращения >
>;
>
>,
где D - диаметр детали.
>
>;
По паспорту станка 1М61
>
>
= 12.5 об/мин;
>
>=
1600 об/мин
В качестве расчётной принимаем ближайшее меньшее значение
>
>
Определяем фактическую скорость резанья:
>
>;
Основные режимы резания при точении:
t = 1.98 мм
Sp = 0.368 мм/об
>
>
= 132 м/мин
>
>=
422 об/мин
Проверяем выбранный режим по мощности, потребляемой на резание:
>
>,
где
Кр - поправочный коэффициент>
>,
где
>
>
- поправочный коэффициент
на обрабатываемый материал
>
>
= 0.89 (sв
= 61 кг-с/мм2)
>
>
- поправочный коэффициент
на главный угол в плане резца >
>
= 1.0 (j
= 450);
То Кр = >
>
´
>
>=
0.89 ´
1.0 = 0.89;
>
>
>
>
кг-с;
Определяем осевую
составляющую силы резания >
>;
>
>
По паспорту станка >
>кг-с
>
>
следовательно расчёт произведён верно.
Определяем эффективную мощность на резании Ný;
>
>кВт
Определяем мощность потребляемую на резание.
>
>КПД
станка = 0.75
>
>кВт.
определяем коэффициент использования станка
>
>,
где >
>
- мощность главного электродвигателя
станка; N=4 кВт (по паспорту)
>
>
Определяем технологическое (машинное) время
>
>
где L - расчётная длина обрабатываемой поверхности.
L = l + l>1> + l>2>, где
l - действительная длина обрабатываемой поверхности; l = 6 мм;
l>1> - величина врезания
l>1> = t ´ ctgj = 6 ´ ctg450 = 6 мм;
l>2> - выход инструмента;
l>2> = 0
L = l + l>1> + l>2> = 12 + 6 + 0 = 18 мм;
>
>мин.
3.3.2 Расчёт режима резания при сверлении
Все расчеты по выбору режимов резания ведем по [16.c.104].
Деталь - заготовка конического зубчатого колеса. Материал - сталь 45: sв = 61 кг-с/мм2;
Станок вертикально сверлильный модели 2Н135; Сверло - спиральное из быстрорежущей стали Р18; Æ 32
Определяем глубину резания при сверлении:
>
>мм
Подача при сверлении:
S = 0.02 ´
>
>
= 0.02 ´
32 = 0.64 мм/об;
Корректируем подачу по паспорту станка 2Н135;
В качестве расчетной принимаем ближайшую меньшую
S>p> = 0.577 мм/об
Определяем расчётную скорость резанья при сверлении
>
> где >
>
К>v> = K>Lv >´ K>Mv> ´ K>Hv >- поправочный коэффициент.
K>Lv >- коэффициент, учитывающий глубину отверстия в зависимости от диаметра сверла, K>Lv >= 1.0;
K>Mv> - коэффициент учитывающий влияние материала.
Для стали >
>;
где a
= 0.9
s>в>
= 61; >
>;
K>Mv> - коэффициент учитывающий материал сверла.
Для сверла из быстрорежущей стали K>Mv> = 1.0;
то К>v> = K>Lv >´ K>Mv> ´ K>Mv> = 1.0 ´ 1.14 ´ 1.0 = 1.14;
C>v> = 9.8; b>v> = 0.4; X>v> = 0; Y>v> = 0.7; m = 0.2;
>
>м/мин;
Определяем расчётную частоту вращения шпинделя
>
>
По паспорту станка
n>min> = 31.5 об/мин;
n>max> = 1400 об/мин;
В качестве расчетной принимаем ближайшую меньшую частоту вращения
n>p> = 247.5 об/мин
Определяем фактическую скорость резания.
>
>
Основные режимы резанья при сверлении:
S = 0.6 мм/об;
V = 23.31 м/мин;
n = 247.5 об/мин;
Определяем осевую силу резания:
Р>0> = С>р> ´ DZp ´ Syp ´ K>Mp>
К>Mp> = 0.89,
С>р> = 51; Z>p> = 1.4; Y>p> = 0.8, то
Р>0> = 51 ´ 321.4 ´ 0.60.8 ´ 0.89 = 1342 кГс;
Р>доп> = 1500 кГс; то
Р>0> < Р>0 доп>;
Определяем крутящий момент
>
>
где >
>;
для стали С>М> = 40; В>М> = 2.0; Y>м> = 0.8;
М>кр> = 40 ´ 322.0 ´ 0.60.8 ´ 0.89 = 24 кГс ´ м;
по паспорту станка М>кр п> = 40 кГс ´ м;
Определяем мощность на шпинделе станка.
>
>
>
>
h = 0.8 (КПД станка по паспорту)
Коэффициент использования станка по мощности
>
>
где>
>
- мощность главного электродвигателя
станка по паспорту.
Определяем основное техническое время
>
>
где L - расчётная длинна обрабатываемой поверхности.
>
>;
l -действительная длина (чертёжный размер) l =26 мм;
l>1> - величина врезания;
l>2> - выход инструмента;
l>1> + l>2> = 0.4 ´D = 0.4 ´ 32 = 12,8 мм
>
>
5 Безопасность жизнедеятельности
Безопасность жизнедеятельности – это создание комфортных и безопасных условий для существования человека.
Охрана труда – это система обеспечения безопасности жизни и здоровья работников в процессе трудовой деятельности, включающая в себя правовые, социально-экономические, организационно-технические, санитарно-гигиенические и лечебно-профилактические мероприятия.
5.1 Безопасность жизнедеятельности на рабочем месте
Производственная среда – это пространство, в котором осуществляется трудовая деятельность человека. В производственной среде формируются негативные факторы, которые существенно отличаются от негативных факторов природного характера. Эти факторы формируют элементы производственной среды, к которым относятся:
предметы труда;
средства труда;
продукты труда;
энергия;
природно-климатические факторы;
персонал.
5.1.1 Микроклимат рабочего места
Микроклимат – это климат внутренней среды рабочей зоны, который определяется действующими на организм человека сочетаниями температуры, влажности и скорости движения воздуха, а также температуры окружающих поверхностей.
Метеорологические условия рабочей среды (микроклимат) оказывают влияние на процесс теплообмена и характер работы. Длительное воздействие на человека неблагоприятных метеорологических условий резко ухудшают его самочувствие, снижает внимание, что может привести к дорожнотранспортному происшествию. Высокая температура воздуха способствует быстрой утомляемости водителя, может привести к перегреву организма, тепловому удару или профзаболеванию. Низкая температура воздуха может вызвать местное или общее охлаждение организма, стать причиной простудного заболевания либо обморожения.
Влажность воздуха оказывает значительное влияние на терморегуляцию организма человека. Высокая относительная влажность при высокой температуре воздуха способствует перегреванию организма, при низкой же температуре воздуха она усиливает теплоотдачу с поверхности кожи, что ведет к переохлаждению организма. Низкая влажность вызывает пересыхание слизистых оболочек дыхательных путей, а также глаз водителя.
Подвижность воздуха эффективно способствует теплоотдаче организма человека и положительно проявляется при высоких температурах, но отрицательно при низких.
Для создания нормальных условий труда в кабине автомобиля обеспечивают нормативные значения параметров микроклимата – температуры воздуха, его относительной влажности и скорости движения воздуха.
Оптимальные микроклиматические условия представляют собой сочетание количественных показателей микроклимата, которые при длительном воздействии на организм человека обеспечивают сохранение нормального теплового состояния организма водителя. Они обеспечивают ощущения теплового комфорта и создают предпосылки для высокого уровня работоспособности.
Допустимые микроклиматические условия представляют собой сочетание количественных показателей микроклимата, которые при длительном воздействии на организм человека могут переходящие и быстро нормализующиеся изменения теплового состояния организма, сопровождающиеся напряжением механизма терморегуляции, не выходящие за пределы физиологических приспособительных возможностей. При этом не возникает ухудшения или нарушения состояния здоровья, но могут наблюдаться дискомфортные теплоощущения, ухудшения самочувствия и снижение работоспособности.
Конструкцией проектируемого автопоезда предусмотрена установка автономного отопителя для подержания необходимой температуры воздуха при температуре окружающего воздуха до - 40°С, а также система вентиляции при эксплуатации автомобиля в жарком климате.
5.1.2 Освещение рабочего места
По типу источника света освещение рабочего места бывает:
1) естественное – за счет солнечного излучения (прямого и диффузионно-рассеянного света небесного купола);
2) искусственное – за счет источников искусственного света;
3) совмещенное.
Естественное освещение имеет положительные и отрицательные стороны. Более благоприятный спектральный состав, высокая диффузионность (рассеянность) света способствует улучшению зрительных условий работы. В тоже время при естественном освещении освещенность рабочего места во времени и в пространстве непостоянна и зависит от погодных условий, возможно тенеобразование, ослепление при ярком солнечном свете.
5.1.3 Вентиляция рабочего места
Вентиляцией называется комплекс взаимосвязанных устройств и процессов для создания требуемого воздухообмена.
В связи с малым объемом кабины в автомобилях применяется принудительная вентиляция, которая делится на естественную и искусственную.
Естественная вентиляция осуществляется за счет разгерметизации кабины (открытие окон или люков) и вытеснении внутреннего воздуха скоростным напором. Однако это возможно преимущественно при относительно равной температуре окружающего воздуха и температурой внутри кабины (летом).
Искусственная вентиляция устраняет недостатки естественной путем подачи воздуха вентилятором через отопитель.
5.1.4 Нормирование шума
Различают шум внешний, оказывающий воздействие на окружающих, так и шум внутренний, оказывающий воздействие на водителя и пассажиров. Значение показателей шума для транспортных средств нормируется ГОСТ, международными стандартами. Так нормативы для грузовых автомобилей:
- По внешнему шуму - 80 дБ (Евростандарт)
- По внутреннему шуму - 78 дБ (ГОСТ 27435).
По природе происхождения шумы делятся на воздушные и структурные. Средой распространения воздушного шума является воздух. Средой распространения структурного шума является твердое тело. Применительно к автомобилю это выглядит так. Работающий двигатель через элементы крепления передает вибрацию на кузов, панели которого в зависимости от степени вибрации издают звук - структурный шум.
Источники шума на автомобиле.
Их условно можно разделить на две группы:
а) первичные:
- Двигатель;
- Трансмиссия;
- Система выпуска отработанных газов;
- Шины;
- Потоки воздуха, обтекающие автомобиль при движении.
б) вторичные:
- Металлические панели кузова
(пол, крыша, крылья, двери, арки колесных
ниш и т.д.);
Крупногабаритные пластмассовые
детали интерьера автомобиля (панель
приборов, формованные накладки дверей,
декоративный кожух переднего пола под
рукоятку КПП, накладки стоек);
- Мелкие металлические конструкции (тяги привода замков, стеклоподъемников и т.п.).
Воздушный шум от первичных источников проникает в салон автомобиля через неплотности кузова (дверные проемы, технологические отверстия переднего пола), а также остекление автомобиля.
Чем толще стекло и панели кузова, тем выше их звукоизоляционные свойства. Воздушный шум от первичных источников тем ниже, чем оптимальнее конструкция самих источников: двигателя, трансмиссии, системы выхлопа, шин (высота и рисунок протектора).
Структурный шум проникает в автомобиль через элементы подвески к кузову силового агрегата, трансмиссии, системы выхлопа, ходовой части. Вибрация, передаваемая через элементы подвески, заставляет колебаться все без исключения панели кузова, которые в свою очередь излучают структурный шум.
Кроме того, звук, излучаемый элементами системы выхлопа (трубами, резонатором, глушителем), приводит к дополнительному возбуждению пола автомобиля, что вносит ощутимый вклад в общий уровень внутреннего шума. В общий уровень шума в салоне автомобиля немалую долю вносит отраженный звук. Отраженный звук - звук, получающийся при отражении звуковых потоков, издаваемых первичными источниками, от дорожного покрытия.
Методы борьбы с шумом разделяются на конструктивный и пассивный.
Конструктивный метод:
Применение отбалансированных силовых агрегатов и узлов трансмиссии;
Правильный подбор и расчет эластичных элементов подвески силового агрегата, трансмиссии, ходовой части, системы выхлопа;
Правильный расчет конструкции системы выхлопа и определение точек ее подвески к кузову;
Правильное моделирование конструкции кузова и его жесткости;
Выбор прогрессивных конструкций уплотнителей окон и дверных проемов и т.д.
Пассивный метод:
Применение шумоизоляционных и прокладочных материалов.
Применение защитных кожухов.
Предварительная оценка шумовых характеристик автомобиля
Производится на обкатанном, не менее 3000 км, технически исправном автомобиле по ГОСТ 27435. В результате оценки будет установлен уровень общего шума внутри автомобиля и снаружи. Однако этих оценочных показателей будет недостаточно для того, чтобы правильно выбрать марку материала и место его установки. Для правильного выбора приемов и методов необходимо знать:
критические точки на кузове автомобиля, т.е. места кузова, подверженные наибольшей частоте и амплитуде колебаний, вызванных передаваемой от источников вибрацией;
доли вклада в общий уровень шума внутри автомобиля шумов воздушного и структурного;
основные пути распространения воздушного и структурного шумов;
частотную характеристику шума внутри салона и вибрации на панелях кузова, особенно в критических точках и т.п.
5.2 Производственный травматизм
Безопасность труда при эксплуатации автопоезда в составе автомобиля – тягач и полуприцеп может быть обеспечена только благодаря строгому выполнению государственных стандартов, норм и правил по технике безопасности при расчетах, проектировании изготовлении и эксплуатации автомобиля - тягача и полуприцепа и выполнение все норм и рекомендаций, регламентированных Правилами Гостехнадзора:
- конструкция, компоновка и расположение узлов и механизмов обеспечивают свободный и удобный доступ к ним, а так же безопасность работ при монтаже, эксплуатации и ремонте;
- приводные и передаточные механизмы защищены кожухами;
- электропроводка, трубопроводы, шланги для подачи воздуха, масла и вентиляционные отверстия расположены так, чтобы не затруднять обслуживание;
- оборудование подъемных устройств защищено оградительными и тормозными устройствами, рабочими площадками.
Производственный травматизм и профессиональные заболевания – это сложные многофакторные явления, обусловленные действием на человека в процессе его трудовой деятельности опасных и вредных факторов.
Несчастный случай – это когда работающий получает внезапную травму, вследствие чего наступает временная, частичная или полная потеря трудоспособности, либо смерть.
Поступившие на предприятие руководители и специалисты проходят вводный инструктаж, который проводит инженер по охране труда или лицо, на которое приказом руководителя предприятия возложены эти обязанности. Первичный инструктаж проходят на рабочем месте. Повторный инструктаж проводят раз в полугодие, внеплановый инструктаж – если произошел несчастный случай. Целевой инструктаж проводят при выполнении разовой работы, не связанной с прямой работой по специальности.
Обязанности работников по соблюдению требований правил охраны труда заключаются в следующем:
- соблюдать нормы, правила и инструкции по охране труда;
- правильно применять коллективные и индивидуальные средства защиты;
- немедленно сообщать своему непосредственному руководителю о любом несчастном случае, происшедшем на производстве, о признаках профессионального заболевания, а также о ситуации, которая создает угрозу жизни и здоровью людей.
Расследования несчастных случаев проводится комиссией, образуемой из представителей работодателя, включающих специалиста по охране труда, а также профсоюзного органа или иного уполномоченного работниками представительного органа. В состав комиссии входит не менее трех лиц, и он утверждается приказом руководителя организации или уполномоченного им ответственного должностного лица.
Результаты расследования несчастных случаев на производстве оформляются актами Н – 1. Эти документы государственной отчетности хранятся на предприятии в течение сорокапяти лет и используются при учете и анализе производственного травматизма.
5.3 Активная и пассивная безопасность
Активная безопасность автомобиля – это комплекс его свойств, снижающих возможность возникновения дорожно-транспортных происшествий.
Безотказность узлов, агрегатов и систем автомобиля является определяющим фактором активной безопасности. Особенно высокие требования предъявляются к надежности элементов, связанных с осуществлением маневра - тормозной системе, рулевому управлению, подвеске, двигателю, трансмиссии и так далее. Повышение безотказности достигается совершенствованием конструкции, применением новых технологий и материалов.
Возможность предотвращения ДТП чаще всего связана с интенсивным торможением, поэтому необходимо, чтобы тормозные свойства автомобиля обеспечивали его эффективное замедление в любых дорожных ситуациях.
Для выполнения этого условия сила, развиваемая тормозным механизмом, не должна превышать силы сцепления с дорогой, зависящей от весовой нагрузки на колесо и состояния дорожного покрытия. Иначе колесо заблокируется (перестанет вращаться) и начнет скользить, что может привести (особенно при блокировке нескольких колес) к заносу автомобиля и значительном увеличении тормозного пути. Чтобы предотвратить блокировку, силы, развиваемые тормозными механизмами, должны быть пропорциональны весовой нагрузки на колесо. Реализуется это с помощью применения на передней оси более эффективных дисковых тормозов, а на задней - барабанных, причем с ограничителем тормозных сил.
На современных автомобилях используется антиблокировочная система (АБС), корректирующая силу торможения каждого колеса и предотвращающая их скольжение.
Зимой и летом состояние дорожного покрытия разное, поэтому для наилучшей реализации тормозных свойств необходимо применять шины, соответствующие сезону.
Тяговые свойства (тяговая динамика) автомобиля определяют его способность интенсивно увеличивать скорость движения. От этих свойств во многом зависит уверенность водитель при обгоне, проезде перекрестов. Особенно важное значение тяговая динамика имеет для выхода из аварийных ситуаций, когда тормозить уже поздно, маневрировать не позволяют сложные условия, а избежать ДТП можно, только опередив события.
Так же как и в случае с тормозными силами, сила тяги на колесе не должна быть больше силы сцепления с дорогой, в противном случае оно начнет пробуксовывать. Предотвращает это антипробуксовочная система (АПС). При разгоне автомобиля она притормаживает колесо, скорость вращения которого больше, чем у остальных, а при необходимости уменьшает мощность, развиваемую двигателем.
Устойчивость - способность автомобиля сохранять движение по заданной траектории, противодействуя силам, вызывающих его занос и опрокидывание в различных дорожных условиях при высоких скоростях.
Различают следующие виды устойчивости:
- поперечная при прямолинейном движении (курсовая устойчивость). Ее нарушение проявляется в рыскании (изменении направления движения) автомобиля по дороге и может быть вызвано действием боковой силы ветра, разными величинами тяговых или тормозных сил на колесах левого или правого борта, их буксованием или скольжением, большим люфтом в рулевом управлении, неправильными углами установки колес и т.д.;
- поперечная при криволинейном движении. Ее нарушение приводит к заносу или опрокидыванию под действием центробежной силы. Особенно ухудшает устойчивость повышение положения центра масс автомобиля (например, большая масса груза на съемном багажнике на крыше);
- продольная. Ее нарушение проявляется в буксовании ведущих колес при преодолении затяжных обледенелых или заснеженных подъемов и сползании автомобиля назад. Особенно это характерно для автопоездов.
Управляемость - способность
автомобиля двигаться в направлении,
заданном водителем.
Одной
из характеристик управляемости является
поворачиваемость - свойство автомобиля
изменять направление движения при
неподвижном рулевом колесе. В зависимости
от изменения радиуса поворота под
воздействием боковых сил (центробежной
силы на повороте, силы ветра и т.д.)
поворачиваемость может быть:
- недостаточной - автомобиль увеличивает радиус поворота;
- нейтральной - радиус поворота не изменяется;
- избыточной - радиус поворота уменьшается.
Информативность - свойство
автомобиля обеспечивать необходимой
информацией водителя и остальных
участников движения. Недостаточная
информация от других транспортных
средств, находящихся на дороге, о
состояния дорожного покрытия и т.д.
часто становится причиной аварии.
Информативность автомобиля подразделяют
на внутреннюю, внешнюю и дополнительную.
Внутренняя обеспечивает
возможность водителю воспринимать
информацию, необходимую для управления
автомобилем.
Она зависит от следующих факторов:
- обзорность должна позволять водителю своевременно и без помех получать всю необходимую информацию о дорожной обстановке. Неисправные или неэффективно работающие смыватели, система обдува и обогрева стекол, стеклоочистители, отсутствие штатных зеркал заднего вида резко ухудшают обзорность при определенных дорожных условиях.
- расположение панели приборов, кнопок и клавиш управления, рычага переключения скоростей и т.д. должно обеспечивать водителю минимальное время для контроля показаний, воздействий на переключатели и т.д.
Внешняя информативность - обеспечение других участников движения информацией от автомобиля, которая необходима для правильного взаимодействия с ними. В нее входят система внешней световой сигнализации, звуковой сигнал, размеры, форма и окраска кузова. Информативность легковых автомобилей зависит от контрастности их цвета относительно дорожного покрытия. По статистике автомобили, окрашенные в черный, зеленый, серый и синий цвета, в два раза чаще попадают в аварии из-за трудности их различения в условиях недостаточной видимости и ночью. Неисправные указатели поворотов, стоп-сигналы, габаритные огни не позволят другим участникам дорожного движения вовремя распознать намерения водителя и принять правильное решение.
Дополнительная информативность - свойство автомобиля, позволяющие эксплуатировать его в условиях ограниченной видимости: ночью, в тумане и т.д. Она зависит от характеристик приборов системы освещения и других устройств (например, противотуманных фар), улучшающих восприятие водителем информации о дорожно-транспортной ситуации.
Пассивная безопасность - конструктивные мероприятия, направленные на сведение к минимуму вероятности ранений человека при ДТП. Она подразделяется на внешнюю и внутреннюю.
Внешняя достигается исключением на внешней поверхности кузова острых углов, выступающих ручек и т.д.
Для повышения уровня внутренней безопасности используют следующие конструктивные решения:
1.Конструкция кузова, обеспечивающая приемлемые нагрузки на тело человека от резкого замедления при ДТП и сохранение пространства пассажирского салона после деформации кузова.
2.Ремни безопасности, без использования которых смертельные исходы в результате аварии возможны уже при скорости 20 км/ч. Применение ремней повышает этот порог до 95 км/ч.
3.Надувные подушки безопасности - аэробеки. Они размещаются не только перед водителем, но и перед передним пассажиром, а также с боков (в дверях, стойках кузова и т.д.). Некоторые модели автомобилей имеют их принудительное отключение из-за того, что люди с больным сердцем и дети могут не выдержать их ложного срабатывания.
4.Сидения с активными подголовниками, выбирающие "зазор" между головой человека и подголовником, если автомобиль получил удар сзади.
5.Передний бампер, поглощающий часть кинетической энергии при столкновении.
6.Травмобезопасные детали интерьера пассажирского салона.
6 Гражданская оборона
Чрезвычайная ситуация – это ситуация, явления, процессы, события, характеризующая внезапными и значительными отклонениями от нормальных условий жизнедеятельности и сопровождающиеся отрицательными социальными, экономическими, экологическими последствиями.
Чрезвычайные ситуации бывают военного и невоенного характера. Чрезвычайные ситуации невоенного характера подразделяются: по сфере возникновения; по масштабам последствий.
Чрезвычайные ситуации военного характера по виду применения оружия подразделяются на: локальные, местные, территориальные, региональные, федеральные и транспортные.
К локальным относятся ситуации, когда пострадало не более десяти человек, либо нарушены условия жизнедеятельности не более ста человек, либо материальный ущерб составляет не более тысячи минимальных размеров оплаты труда на день возникновения чрезвычайной ситуации и зона возникновения чрезвычайной ситуации не выходит за пределы территории объекта производственного или социального назначения.
К местным относятся ситуации, когда пострадало более десяти человек, но не более пятидесяти, либо нарушены условия жизнедеятельности более ста человек, но менее трёхсот либо материальный ущерб составляет от тысячи до пяти тысяч минимальных размеров оплаты труда на день возникновения чрезвычайной ситуации и зона возникновения чрезвычайной ситуации не выходит за пределы территории населенного пункта, города, района.
К территориальным относятся ситуации, когда пострадало более пятидесяти человек, но не более пятисот, либо нарушены условия жизнедеятельности более трехсот человек, но менее пятисот либо материальный ущерб составляет от пяти тысяч до пятисот тысяч минимальных размеров оплаты труда на день возникновения чрезвычайной ситуации и зона возникновения чрезвычайной ситуации не выходит за пределы субъекта Российской Федерации.
К региональным и федеральным относятся ситуации, когда пострадало более пятидесяти человек до пятисот и более, либо нарушены условия жизнедеятельности более пятисот человек до тысячи и более, либо материальный ущерб составляет от пятисот тысяч до пяти миллионов и более минимальных размеров оплаты труда на день возникновения чрезвычайной ситуации. Зона возникновения чрезвычайной ситуации охватывает территорию двух субъектов Российской Федерации или выходит за их пределы.
Чрезвычайные ситуации невоенного характера по ведомственной принадлежности различают: в строительстве, в промышленности, в жилищной и коммунальной сфере, в сельской местности, в лесном хозяйстве.
Чрезвычайные ситуации невоенного характера по масштабам последствий различают:
- частные (локально ограниченные),
- объектные (ограниченные предприятием),
- местные (ограниченные районом, городом, областью),
- региональные (последствия ограничиваются несколькими областями),
- глобальные (последствия не ограничиваются одним государством).
Чрезвычайные ситуации невоенного характера по сфере возникновения различаются: техногенные (производственные), природные (стихийные бедствия), экологические.
Чрезвычайные ситуации невоенного характера, т.е. стихийные бедствия, включают в себя следующие виды опасных явлений:
геологические (извержения вулканов, землетрясения, оползни, обвалы);
метеорологические (сильные ветры, ураганы, смерчи, бури, пожары, морозы, туманы, сильные дожди);
гидрологические (наводнения, паводки, половодья, лавины);
морские (цунами, циклоны, изменения уровня моря);
массовые заболевания (эпидемии людей и животных).
Чрезвычайные ситуации невоенного характера, т.е. экологические бедствия, включают в себя:
- бедствия связанные с изменением суши;
- изменение состава и свойств атмосферы;
- изменение состава и состояния гидросферы;
- изменение состояния биосферы.
Проектируемый седельный тягач с колесной формулой 4 х 2, может быть использован для ликвидации последствий чрезвычайных ситуаций (военного и невоенного характера), в зависимости от используемого совместно с ним полуприцепа и специального оборудования (при удовлетворительном состоянии дорожного полотна). Тягач может быть использован при эвакуации грузов и оборудования из зоны чрезвычайной ситуации. А также для доставки гуманитарных грузов в районы с чрезвычайной ситуацией.
Основное ограничение использования седельного тягача – состояние дорожного покрытия.
При использовании индивидуальных средств защиты возможна эксплуатация в зараженных зонах (химических, радиоактивных).
При чрезвычайных ситуациях военного характера возможно использование автопоезда для перевозок различного военного оборудования.
ЗАКЛЮЧЕНИЕ
В результате выполнения дипломного проекта после анализа существующих конструкций автомобилей и автопоездов, общетранспортного назначения, был разработан дифференциал повышенного трения для седельного тягача с колесной формулой 4´2.
Проведены тягово-динамический расчет, расчет дифференциала, проверочный расчет конической главной передачи. А также выполнен расчет режимов резания для двух операций (для техпроцесса изготовления шестерни полуоси).
По сравнению с базовым вариантом автопоезда без дифференциала повышенного трения, разработанный в данном дипломном проекте автопоезд имеет ряд конструкторских и эксплуатационных преимуществ, которые существенно увеличивают эффективность его использования.
Годовой экономический эффект от предложенного проекта ожидается приблизительно 780000 рублей на один автомобиль.
Список использованной литературы
1 Бухарин Н.А., Прозоров В.С., Щукин М.М. Автомобили М.: - Л., Изд. "Машиностроение", 1965. 484 с. илл.
2 Грузовые автомобили / М.С. Высоцкий, Ю.Ю. Беленький, Л.Х. Гилелес и др. М.: Машиностроение, 1979. 384 с.
3 Дунаев П.Ф., Леликов О.П. Конструирование узлов и деталей машин: Учеб. пособие для техн. спец. вузов. – 5-е изд., перераб. и доп. – М.: Высш. шк., 1998. – 447 с., ил.
4 Ерохов В.И. Экономичная эксплуатация автомобиля. – М.: ДОСААФ, 1986. – 128 с., ил.
5 Конструирование и расчет автомобиля: Учебник для студентов втузов, обучающихся по специальности "Автомобили и тракторы"/П.П. Лукин, Г.А. Гаспарянц, В.Ф. Родионов. – М.: Машиностроение, 1984. – 376 с., ил.
6 Конструирование и расчет колесных машин высокой проходимости: Общие вопросы конструирования / Под ред. Н.Ф. Бочарова и Л.Ф. Жеглова. М.: Машиностоение, 1992. 352 с.
7 Конструирование и расчет колесных машин высокой проходимости: Расчет агрегатов и систем / Под ред. Н.Ф. Бочарова и Л.Ф. Жеглова. М.: Машиностоение, 1994. 404 с.
8 Краткий автомобильный справочник. – 9-е изд., перераб. и доп. – М.: Транспорт, 1982. – 464 с. – (Гос. науч.-исслед. ин-т автомоб. трансп).
9 Лукинский В.С., Зайцев Е.И. Прогнозирование надежности автомобилей. Л.: Политехника, 1991. 224 с.
10 Никифоров И.В. Особенности движения магистральных автопоездов // Пути улучшения автотранспортных средств: Сб. научн. тр. МАДИ. М., 1985. С. 26-31.
11 Платонов В.Ф. Полноприводные автомобили. М.: Машиностроение, 1989. 312 с.
12 Подшипники качения: Расчет, проектирование и обслуживание опор: Справочник. – М.: Машиностроение, 1983. – 543 с., ил.
13 Проектирование полноприводных колесных машин: В 2т. Т1. Учеб. для вузов / Б.А. Афанасьев, Н.Ф. Бочаров, Л.Ф. Жеглов и др.; Под общ. ред. А.А. Полунгяна. М.: Изд-во МГТУ им. Н.Э. Баумана, 1999. 488 с.
14 Проектирование полноприводных колесных машин: В 2т. Т2. Учеб. для вузов / Б.А. Афанасьев, Н.Ф. Бочаров, Л.Ф. Жеглов и др.; Под общ. ред. А.А. Полунгяна. М.: Изд-во МГТУ им. Н.Э. Баумана, 2000. 640 с.
15 Проектирование трансмиссий автомобилей: Справочник / Под ред. А.И. Гришкевича. М.: Машиностроение, 1984. 272 с.
16 Режимы резания металлов. Справочник. Изд. 3-е, переработанное и дополненное. М., "Машиностроение", 1972.
17 Смирнов Г.А. Теория движения колесных машин. М.: Машиностроение, 1990. 352 с.
18 Трехзвенные автопоезда / Я.Е. Фаробин, А.М. Якобашвили, А.М. Иванов и др. Под общ. ред. Я.Е. Фаробина – Машиностроение, 1993. – 224 с.: ил.
19 Фаробин Я.Е., Аксенов С.В. Определение оптимальной полной массы и состава автотранспортных средств для различных условий эксплуатации // Изв. вузов. Машиностроение. М.: Изд-во МВТУ им. Баумана, 1988. № 10. С. 87-91.







Таблица 2.6. Эксплуатационная характеристика (продолжение)
|
j 1 |
0,041 |
0,044 |
0,045 |
0,046 |
0,046 |
0,046 |
0,046 |
0,045 |
0,044 |
0,042 |
0,040 |
0,038 |
0,034 |
|
j 2 |
0,034 |
0,036 |
0,038 |
0,039 |
0,039 |
0,039 |
0,038 |
0,037 |
0,036 |
0,035 |
0,034 |
0,031 |
0,028 |
|
j 3 |
0,028 |
0,030 |
0,031 |
0,032 |
0,032 |
0,032 |
0,032 |
0,031 |
0,030 |
0,029 |
0,028 |
0,026 |
0,023 |
|
j 4 |
0,023 |
0,025 |
0,026 |
0,027 |
0,027 |
0,027 |
0,026 |
0,026 |
0,025 |
0,024 |
0,023 |
0,021 |
0,019 |
|
j 5 |
0,019 |
0,021 |
0,021 |
0,022 |
0,022 |
0,022 |
0,022 |
0,021 |
0,021 |
0,020 |
0,019 |
0,017 |
0,016 |
|
j 6 |
0,015 |
0,017 |
0,018 |
0,018 |
0,018 |
0,018 |
0,018 |
0,017 |
0,017 |
0,016 |
0,015 |
0,014 |
0,013 |
|
j 7 |
0,013 |
0,014 |
0,014 |
0,015 |
0,015 |
0,015 |
0,014 |
0,014 |
0,014 |
0,013 |
0,012 |
0,011 |
0,010 |
|
j 8 |
0,010 |
0,011 |
0,011 |
0,012 |
0,012 |
0,012 |
0,012 |
0,011 |
0,011 |
0,010 |
0,010 |
0,009 |
0,008 |
|
j 9 |
0,008 |
0,009 |
0,009 |
0,009 |
0,009 |
0,009 |
0,009 |
0,009 |
0,009 |
0,008 |
0,008 |
0,007 |
0,006 |
|
j 10 |
0,006 |
0,007 |
0,007 |
0,007 |
0,007 |
0,007 |
0,007 |
0,007 |
0,007 |
0,006 |
0,006 |
0,005 |
0,004 |
|
j 11 |
0,005 |
0,005 |
0,005 |
0,006 |
0,006 |
0,005 |
0,005 |
0,005 |
0,005 |
0,005 |
0,004 |
0,004 |
0,003 |
|
j 12 |
0,003 |
0,004 |
0,004 |
0,004 |
0,004 |
0,004 |
0,004 |
0,004 |
0,003 |
0,003 |
0,003 |
0,002 |
0,001 |
|
j 13 |
0,002 |
0,002 |
0,003 |
0,003 |
0,003 |
0,003 |
0,002 |
0,002 |
0,002 |
0,002 |
0,001 |
0,001 |
0,000 |
|
j 14 |
0,001 |
0,001 |
0,002 |
0,002 |
0,001 |
0,001 |
0,001 |
0,001 |
0,001 |
0,000 |
0,000 |
0,000 |
-0,001 |
|
1/j 1 |
24,66 |
22,93 |
22,09 |
21,64 |
21,53 |
21,64 |
21,91 |
22,38 |
22,90 |
23,70 |
24,70 |
26,54 |
29,51 |
|
1/j 2 |
29,63 |
27,52 |
26,50 |
25,96 |
25,83 |
25,96 |
26,28 |
26,86 |
27,50 |
28,46 |
29,69 |
31,94 |
35,59 |
|
1/j 3 |
35,73 |
33,14 |
31,89 |
31,22 |
31,06 |
31,23 |
31,62 |
32,33 |
33,12 |
34,31 |
35,82 |
38,60 |
43,12 |
|
1/j 4 |
43,27 |
40,06 |
38,52 |
37,70 |
37,50 |
37,71 |
38,20 |
39,07 |
40,05 |
41,52 |
43,41 |
46,87 |
52,54 |
|
1/j 5 |
52,68 |
48,67 |
46,74 |
45,73 |
45,49 |
45,75 |
46,36 |
47,46 |
48,68 |
50,54 |
52,91 |
57,29 |
64,49 |
|
1/j 6 |
64,57 |
59,49 |
57,06 |
55,79 |
55,50 |
55,83 |
56,61 |
58,01 |
59,57 |
61,94 |
64,98 |
70,60 |
79,94 |
|
1/j 7 |
79,81 |
73,28 |
70,18 |
68,58 |
68,22 |
68,66 |
69,69 |
71,50 |
73,54 |
76,63 |
80,61 |
88,01 |
100,44 |
|
1/j 8 |
99,78 |
91,21 |
87,19 |
85,12 |
84,69 |
85,31 |
86,70 |
89,13 |
91,87 |
96,02 |
101,41 |
111,48 |
128,67 |
|
1/j 9 |
126,63 |
115,09 |
109,76 |
107,07 |
106,57 |
107,49 |
109,45 |
112,85 |
116,70 |
122,55 |
130,20 |
144,59 |
169,80 |
|
1/j 10 |
164,15 |
148,04 |
140,76 |
137,18 |
136,67 |
138,16 |
141,13 |
146,19 |
151,99 |
160,79 |
172,47 |
194,74 |
235,33 |
|
1/j 11 |
219,51 |
195,81 |
185,47 |
180,63 |
180,32 |
183,01 |
188,00 |
196,30 |
205,98 |
220,74 |
240,81 |
280,18 |
357,68 |
|
1/j 12 |
308,34 |
270,55 |
254,98 |
248,32 |
248,99 |
254,67 |
264,45 |
280,37 |
299,56 |
329,43 |
372,23 |
462,71 |
678,62 |
|
1/j 13 |
472,78 |
403,29 |
377,46 |
368,41 |
373,29 |
388,47 |
413,23 |
453,64 |
506,43 |
595,40 |
744,73 |
1170,47 |
4423,23 |
|
1/j 14 |
880,06 |
705,03 |
652,69 |
643,54 |
672,48 |
736,31 |
844,75 |
1048,20 |
1411,00 |
2471,09 |
16169,26 |
-2422,42 |
-990,77 |
Таблица 2.1 – Расчет относительных пробегов g>I> íà ðàçëè÷íûõ ïåðåäà÷àõ
|
V>max> , км/ч |
V, км/ч |
s>v> , км/ч |
V>â> , км/ч |
u>êï >>i> |
V>i> , км/ч |
x> i> |
Ф(х> i>) |
F>i> |
p>ê.>>в> |
К>т> |
g>i> |
|
85 |
51,0 |
17,0 |
55 |
6,58 |
6 |
-2,87471 |
0,0020 |
0,0020 |
0,0269 |
1,90 |
0,00380 |
|
85 |
51,0 |
17,0 |
55 |
5,57 |
8 |
-2,80588 |
0,0025 |
0,0005 |
0,0269 |
1,90 |
0,00095 |
|
85 |
51,0 |
17,0 |
55 |
4,71 |
9 |
-2,72588 |
0,0031 |
0,0006 |
0,0269 |
1,90 |
0,00114 |
|
85 |
51,0 |
17,0 |
55 |
3,99 |
11 |
-2,63118 |
0,0042 |
0,0011 |
0,0269 |
1,90 |
0,00209 |
|
85 |
51,0 |
17,0 |
55 |
3,37 |
12 |
-2,52000 |
0,0058 |
0,0016 |
0,0269 |
1,90 |
0,00304 |
|
85 |
51,0 |
17,0 |
55 |
2,85 |
15 |
-2,35412 |
0,0083 |
0,0025 |
0,0269 |
1,90 |
0,00475 |
|
85 |
51,0 |
17,0 |
55 |
2,41 |
17 |
-2,23882 |
0,0125 |
0,0042 |
0,0269 |
1,90 |
0,00798 |
|
85 |
51,0 |
17,0 |
55 |
2,04 |
20 |
-2,04941 |
0,0198 |
0,0073 |
0,0269 |
1,90 |
0,01387 |
|
85 |
51,0 |
17,0 |
55 |
1,73 |
24 |
-1,83294 |
0,0329 |
0,0131 |
0,0269 |
1,90 |
0,02489 |
|
85 |
51,0 |
17,0 |
55 |
1,46 |
28 |
-1,58059 |
0,0566 |
0,0237 |
0,0269 |
1,90 |
0,04503 |
|
85 |
51,0 |
17,0 |
55 |
1,24 |
33 |
-1,28412 |
0,1001 |
0,0435 |
0,0269 |
1,90 |
0,08265 |
|
85 |
51,0 |
17,0 |
55 |
1,05 |
41 |
-0,83647 |
0,1780 |
0,0779 |
0,0269 |
1,90 |
0,14801 |
|
85 |
51,0 |
17,0 |
55 |
0,89 |
47 |
-0,48000 |
0,3085 |
0,1305 |
0,0269 |
1,90 |
0,24795 |
|
85 |
51,0 |
17,0 |
55 |
0,75 |
55 |
0,0269 |
1,90 |
0,41385 |
Таблица 2.2. Расчет коэффициентов пробега
|
> км/ч |
р>j> |
р>дв>>i> |
P>ê>>i> |
> |
> |
> |
> |
> |
К>п>>Н>>i> |
К>п>>Fi> |
|
6 |
0,216 |
0,2281 |
0,2156 |
0,018 |
0,0000 |
0,0593 |
0,0773 |
2,79 |
0,118 |
0,0117 |
|
7 |
0,216 |
0,1930 |
0,1930 |
0,018 |
0,0000 |
0,0525 |
0,0705 |
2,74 |
0,116 |
0,0121 |
|
9 |
0,216 |
0,1633 |
0,1633 |
0,018 |
0,0001 |
0,0436 |
0,0616 |
2,65 |
0,117 |
0,0127 |
|
10 |
0,216 |
0,1382 |
0,1382 |
0,018 |
0,0001 |
0,0360 |
0,0541 |
2,55 |
0,125 |
0,0135 |
|
12 |
0,216 |
0,1169 |
0,1169 |
0,018 |
0,0001 |
0,0296 |
0,0478 |
2,45 |
0,133 |
0,0142 |
|
15 |
0,216 |
0,1024 |
0,1024 |
0,018 |
0,0002 |
0,0253 |
0,0434 |
2,36 |
0,145 |
0,0150 |
|
17 |
0,216 |
0,0866 |
0,0866 |
0,018 |
0,0002 |
0,0205 |
0,0387 |
2,24 |
0,161 |
0,0158 |
|
20 |
0,216 |
0,0733 |
0,0733 |
0,018 |
0,0003 |
0,0165 |
0,0348 |
2,11 |
0,183 |
0,0165 |
|
24 |
0,216 |
0,0620 |
0,0620 |
0,018 |
0,0005 |
0,0131 |
0,0315 |
1,97 |
0,201 |
0,0172 |
|
28 |
0,216 |
0,0525 |
0,0525 |
0,018 |
0,0006 |
0,0102 |
0,0288 |
1,82 |
0,222 |
0,0176 |
|
33 |
0,216 |
0,0444 |
0,0444 |
0,018 |
0,0009 |
0,0077 |
0,0265 |
1,67 |
0,243 |
0,0180 |
|
40 |
0,216 |
0,0389 |
0,0389 |
0,018 |
0,0012 |
0,0059 |
0,0251 |
1,55 |
0,271 |
0,0183 |
|
47 |
0,216 |
0,0318 |
0,0318 |
0,018 |
0,0017 |
0,0036 |
0,0233 |
1,36 |
0,300 |
0,0186 |
|
55 |
0,216 |
0,0269 |
0,0269 |
0,018 |
0,0024 |
0,0019 |
0,0224 |
1,20 |
0,337 |
0,0190 |
Таблица 2.3. Значения расчетных моментов и расчетных частот вращения для двух участков трансмиссии
|
V>i>> >, км/ч |
u>ç,ê>>i> |
h>з,к>>i> |
Q |
T>i> , Нм |
n>i> , мин -1 |
|||||
|
1 |
2 |
1 |
2 |
1 |
2 |
1 |
2 |
1 |
2 |
|
|
6 |
5,20 |
3,00 |
0,908 |
0,975 |
1,00 |
0,50 |
9734,2 |
7855,7 |
160,0 |
92,3 |
|
7 |
5,20 |
3,00 |
0,908 |
0,975 |
1,00 |
0,50 |
8712,8 |
7031,5 |
188,9 |
109,0 |
|
9 |
5,20 |
3,00 |
0,908 |
0,975 |
1,00 |
0,50 |
7372,0 |
5949,4 |
223,5 |
128,9 |
|
10 |
5,20 |
3,00 |
0,908 |
0,975 |
1,00 |
0,50 |
6238,9 |
5035,0 |
264,1 |
152,4 |
|
12 |
5,20 |
3,00 |
0,908 |
0,975 |
1,00 |
0,50 |
5277,3 |
4259,0 |
312,1 |
180,0 |
|
15 |
5,20 |
3,00 |
0,908 |
0,975 |
1,00 |
0,50 |
4622,7 |
3730,7 |
368,7 |
212,7 |
|
17 |
5,20 |
3,00 |
0,908 |
0,975 |
1,00 |
0,50 |
3909,5 |
3155,0 |
435,7 |
251,4 |
|
20 |
5,20 |
3,00 |
0,908 |
0,975 |
1,00 |
0,50 |
3309,1 |
2670,5 |
515,0 |
297,1 |
|
24 |
5,20 |
3,00 |
0,908 |
0,975 |
1,00 |
0,50 |
2798,9 |
2258,8 |
608,7 |
351,2 |
|
28 |
5,20 |
3,00 |
0,908 |
0,975 |
1,00 |
0,50 |
2370,1 |
1912,7 |
719,1 |
414,9 |
|
33 |
5,20 |
3,00 |
0,908 |
0,975 |
1,00 |
0,50 |
2004,4 |
1617,6 |
849,9 |
490,3 |
|
40 |
5,20 |
3,00 |
0,908 |
0,975 |
1,00 |
0,50 |
1756,1 |
1417,2 |
1004,5 |
579,5 |
|
47 |
5,20 |
3,00 |
0,908 |
0,975 |
1,00 |
0,50 |
1435,6 |
1158,6 |
1187,1 |
684,9 |
|
55 |
5,20 |
3,00 |
0,908 |
0,975 |
1,00 |
0,50 |
1214,4 |
980,0 |
1403,0 |
809,4 |
Примечания: 1. Цифрами в таблице обозначены следующие участки:
1 – ведущая коническая шестерня; 2 – полуось.
2. Для участка 1 - l = 1 ; 2 - l = 0,5.
Таблица 2.4. Значения некоторых величин полученных при расчете на сопротивление усталости и прочность конической пары зубчатых колес главной передачи
|
Т Нм |
F>t> Н |
n мин-1 |
V>ç> >м/с> |
К>Н>>g> |
К>Н>>a> |
F>t0> МПа |
К>D> |
К>F>>a>>1> |
К>F>>a>>2> |
K>Hw> |
K>H>>b> |
F>j >>D> |
K>v >>D> |
K>v e> |
K>F v> |
K>H v> |
П> Н> МПа |
s>F1> МПа |
s>F2> МПа |
|
9734 |
123955 |
160 |
1,3 |
1,004 |
1,323 |
774,7 |
0 |
1 |
1 |
0,825 |
1,017 |
761 |
1,006 |
1,05 |
1,056 |
1,028 |
32 |
874 |
898 |
|
8712 |
110948 |
189 |
1,6 |
1,004 |
1,323 |
587,3 |
0 |
1 |
1 |
0,835 |
1,017 |
899 |
1,008 |
1,08 |
1,084 |
1,041 |
29 |
802 |
825 |
|
7372 |
93875 |
224 |
1,8 |
1,005 |
1,324 |
420,0 |
0 |
1 |
1 |
0,850 |
1,017 |
1063 |
1,011 |
1,12 |
1,133 |
1,064 |
25 |
710 |
729 |
|
6239 |
79446 |
264 |
2,2 |
1,006 |
1,326 |
300,8 |
0 |
1 |
1 |
0,872 |
1,017 |
1256 |
1,016 |
1,14 |
1,158 |
1,076 |
22 |
614 |
631 |
|
5277 |
67201 |
312 |
2,6 |
1,007 |
1,327 |
215,3 |
0 |
1 |
1 |
0,894 |
1,018 |
1485 |
1,022 |
1,18 |
1,201 |
1,096 |
19 |
539 |
554 |
|
4622 |
58866 |
369 |
3,0 |
1,008 |
1,329 |
159,7 |
0 |
1 |
1 |
0,933 |
1,019 |
1754 |
1,030 |
1,20 |
1,236 |
1,112 |
17 |
486 |
499 |
|
3903 |
49783 |
436 |
3,6 |
1,010 |
1,331 |
114,3 |
0 |
1 |
1 |
0,955 |
1,019 |
2073 |
1,042 |
1,23 |
1,281 |
1,132 |
14 |
426 |
438 |
|
3309 |
42137 |
515 |
4,2 |
1,011 |
1,333 |
81,8 |
0 |
1 |
1 |
0,974 |
1,019 |
2450 |
1,058 |
1,26 |
1,333 |
1,155 |
12 |
375 |
385 |
|
2799 |
35641 |
609 |
5,0 |
1,013 |
1,336 |
58,6 |
0 |
1 |
1 |
0,990 |
1,020 |
2896 |
1,081 |
1,38 |
1,492 |
1,222 |
11 |
355 |
365 |
|
2370 |
30180 |
719 |
5,9 |
1,016 |
1,339 |
42,0 |
0 |
1 |
1 |
1,000 |
1,020 |
3421 |
1,113 |
1,40 |
1,559 |
1,248 |
10 |
314 |
323 |
|
2004 |
25524 |
850 |
7,0 |
1,019 |
1,343 |
30,0 |
0 |
1 |
1 |
1,000 |
1,020 |
4043 |
1,158 |
1,40 |
1,622 |
1,273 |
8 |
276 |
284 |
|
1756 |
22362 |
1005 |
8,3 |
1,022 |
1,347 |
22,3 |
0 |
1 |
1 |
1,000 |
1,020 |
4779 |
1,214 |
1,40 |
1,699 |
1,304 |
7 |
254 |
261 |
|
1435 |
18281 |
1187 |
9,8 |
1,026 |
1,352 |
15,4 |
0 |
1 |
1 |
1,000 |
1,020 |
5647 |
1,309 |
1,40 |
1,833 |
1,354 |
6 |
224 |
230 |
|
1214 |
15464 |
1403 |
11,5 |
1,031 |
1,359 |
11,0 |
0 |
1 |
1 |
1,000 |
1,020 |
6675 |
1,432 |
1,40 |
2,004 |
1,416 |
6 |
207 |
213 |
Таблица 2.5. Расчет подшипников дифференциала
|
F>t> |
F>r> |
F>a> |
R AX |
R BX |
R AY |
R BY |
R A |
R B |
Р пр 1 |
Р пр 2 |
S 1 |
S 2 |
F a 1 |
F a 2 |
|
123955 |
108735 |
37443 |
95560 |
28395 |
64666 |
44069 |
115383 |
52425 |
144229 |
221063 |
38307 |
17405 |
38307 |
75750 |
|
110948 |
97326 |
33514 |
85533 |
25415 |
57880 |
39445 |
103277 |
46924 |
129096 |
197868 |
34288 |
15579 |
34288 |
67802 |
|
93875 |
82349 |
28357 |
72371 |
21504 |
48973 |
33375 |
87384 |
39703 |
109230 |
167418 |
29011 |
13181 |
29011 |
57368 |
|
79446 |
69691 |
23998 |
61247 |
18199 |
41446 |
28245 |
73952 |
33601 |
92441 |
141685 |
24552 |
11155 |
24552 |
48550 |
|
67201 |
58950 |
20300 |
51807 |
15394 |
35058 |
23892 |
62555 |
28422 |
78193 |
119848 |
20768 |
9436 |
20768 |
41068 |
|
58866 |
51638 |
17782 |
45381 |
13485 |
30710 |
20928 |
54795 |
24897 |
68494 |
104983 |
18192 |
8266 |
18192 |
35974 |
|
49783 |
43670 |
15038 |
38379 |
11404 |
25971 |
17699 |
46341 |
21055 |
57926 |
88784 |
15385 |
6990 |
15385 |
30423 |
|
42137 |
36964 |
12728 |
32485 |
9653 |
21983 |
14981 |
39224 |
17821 |
49030 |
75149 |
13022 |
5917 |
13022 |
25751 |
|
35641 |
31265 |
10766 |
27477 |
8165 |
18594 |
12672 |
33177 |
15074 |
41471 |
63564 |
11015 |
5005 |
11015 |
21781 |
|
30180 |
26475 |
9117 |
23267 |
6914 |
15745 |
10730 |
28093 |
12764 |
35117 |
53824 |
9327 |
4238 |
9327 |
18444 |
|
25524 |
22390 |
7710 |
19677 |
5847 |
13315 |
9074 |
23759 |
10795 |
29699 |
45520 |
7888 |
3584 |
7888 |
15598 |
|
22362 |
19616 |
6755 |
17240 |
5123 |
11666 |
7950 |
20816 |
9458 |
26020 |
39881 |
6911 |
3140 |
6911 |
13666 |
|
18281 |
16036 |
5522 |
14093 |
4188 |
9537 |
6499 |
17017 |
7732 |
21271 |
32602 |
5649 |
2567 |
5649 |
11172 |
|
15464 |
13565 |
4671 |
11921 |
3542 |
8067 |
5498 |
14395 |
6540 |
17993 |
27578 |
4779 |
2171 |
4779 |
9450 |
Таблица 2.5. Расчет подшипников дифференциала (продолжение)
|
n>i> |
X А |
Y А |
X В |
Y В |
P А |
P В |
L S A |
L S B |
|
879 |
1,00 |
0,00 |
0,40 |
2,06 |
73645 |
352165 |
1226966 |
1287847 |
|
879 |
1,00 |
0,00 |
0,40 |
2,06 |
65918 |
315214 |
||
|
879 |
1,00 |
0,00 |
0,40 |
2,06 |
55774 |
266707 |
||
|
879 |
1,00 |
0,00 |
0,40 |
2,06 |
47201 |
225713 |
||
|
879 |
1,00 |
0,00 |
0,40 |
2,06 |
39926 |
190925 |
||
|
879 |
1,00 |
0,00 |
0,40 |
2,06 |
34974 |
167243 |
||
|
879 |
1,00 |
0,00 |
0,40 |
2,06 |
29578 |
141438 |
||
|
879 |
1,00 |
0,00 |
0,40 |
2,06 |
25035 |
119716 |
||
|
879 |
1,00 |
0,00 |
0,40 |
2,06 |
21176 |
101260 |
||
|
879 |
1,00 |
0,00 |
0,40 |
2,06 |
17931 |
85745 |
||
|
879 |
1,00 |
0,00 |
0,40 |
2,06 |
15164 |
72515 |
||
|
879 |
1,00 |
0,00 |
0,40 |
2,06 |
13286 |
63533 |
||
|
879 |
1,00 |
0,00 |
0,40 |
2,06 |
10861 |
51937 |
||
|
879 |
1,00 |
0,00 |
0,40 |
2,06 |
9187 |
43934 |
Таблица 2.6. Эксплуатационная характеристика
|
ne |
700 |
800 |
900 |
1000 |
1100 |
1200 |
1300 |
1400 |
1500 |
1600 |
1700 |
1800 |
1900 |
|
V a 1 |
4,2 |
4,8 |
5,4 |
6,0 |
6,6 |
7,2 |
7,8 |
8,4 |
9,0 |
9,6 |
10,2 |
10,8 |
11,4 |
|
V a 2 |
5,0 |
5,7 |
6,4 |
7,1 |
7,8 |
8,5 |
9,2 |
9,9 |
10,6 |
11,3 |
12,0 |
12,7 |
13,4 |
|
V a 3 |
5,9 |
6,7 |
7,5 |
8,4 |
9,2 |
10,0 |
10,9 |
11,7 |
12,5 |
13,4 |
14,2 |
15,0 |
15,9 |
|
V a 4 |
6,9 |
7,9 |
8,9 |
9,9 |
10,9 |
11,9 |
12,8 |
13,8 |
14,8 |
15,8 |
16,8 |
17,8 |
18,8 |
|
V a 5 |
8,2 |
9,3 |
10,5 |
11,7 |
12,8 |
14,0 |
15,2 |
16,3 |
17,5 |
18,7 |
19,8 |
21,0 |
22,2 |
|
V a 6 |
9,7 |
11,0 |
12,4 |
13,8 |
15,2 |
16,6 |
17,9 |
19,3 |
20,7 |
22,1 |
23,5 |
24,8 |
26,2 |
|
V a 7 |
11,4 |
13,0 |
14,7 |
16,3 |
17,9 |
19,6 |
21,2 |
22,8 |
24,5 |
26,1 |
27,7 |
29,4 |
31,0 |
|
V a 8 |
13,5 |
15,4 |
17,3 |
19,3 |
21,2 |
23,1 |
25,1 |
27,0 |
28,9 |
30,8 |
32,8 |
34,7 |
36,6 |
|
V a 9 |
15,9 |
18,2 |
20,5 |
22,8 |
25,1 |
27,3 |
29,6 |
31,9 |
34,2 |
36,4 |
38,7 |
41,0 |
43,3 |
|
V a 10 |
18,8 |
21,5 |
24,2 |
26,9 |
29,6 |
32,3 |
35,0 |
37,7 |
40,4 |
43,1 |
45,8 |
48,5 |
51,1 |
|
V a 11 |
22,3 |
25,4 |
28,6 |
31,8 |
35,0 |
38,2 |
41,4 |
44,5 |
47,7 |
50,9 |
54,1 |
57,3 |
60,4 |
|
V a 12 |
26,3 |
30,1 |
33,8 |
37,6 |
41,4 |
45,1 |
48,9 |
52,6 |
56,4 |
60,2 |
63,9 |
67,7 |
71,4 |
|
V a 13 |
31,1 |
35,5 |
40,0 |
44,4 |
48,9 |
53,3 |
57,8 |
62,2 |
66,6 |
71,1 |
75,5 |
80,0 |
84,4 |
|
V a 14 |
36,8 |
42,0 |
47,3 |
52,5 |
57,8 |
63,0 |
68,3 |
73,5 |
78,8 |
84,0 |
89,3 |
94,5 |
99,8 |
|
P k 1 |
78980 |
84443 |
87408 |
89073 |
89489 |
89073 |
88085 |
86368 |
84547 |
81945 |
78876 |
73881 |
67117 |
|
P k 2 |
66829 |
71452 |
73961 |
75370 |
75722 |
75370 |
74533 |
73080 |
71540 |
69338 |
66741 |
62515 |
56791 |
|
P k 3 |
56548 |
60459 |
62582 |
63774 |
64072 |
63774 |
63067 |
61837 |
60533 |
58671 |
56473 |
52897 |
48054 |
|
P k 4 |
47848 |
51158 |
52954 |
53963 |
54215 |
53963 |
53364 |
52324 |
51221 |
49645 |
47785 |
44759 |
40661 |
|
P k 5 |
40487 |
43287 |
44807 |
45661 |
45874 |
45661 |
45154 |
44274 |
43341 |
42007 |
40433 |
37873 |
34406 |
|
P k 6 |
35461 |
37914 |
39245 |
39993 |
40180 |
39993 |
39549 |
38778 |
37960 |
36792 |
35414 |
33171 |
30135 |
|
P k 7 |
30005 |
32081 |
33207 |
33840 |
33998 |
33840 |
33464 |
32812 |
32120 |
31132 |
29966 |
28068 |
25499 |
|
P k 8 |
25389 |
27145 |
28099 |
28634 |
28768 |
28634 |
28316 |
27764 |
27179 |
26342 |
25356 |
23750 |
21576 |
|
P k 9 |
21483 |
22969 |
23776 |
24229 |
24342 |
24229 |
23960 |
23493 |
22997 |
22290 |
21455 |
20096 |
18256 |
|
P k 10 |
18178 |
19435 |
20118 |
20501 |
20597 |
20501 |
20274 |
19878 |
19459 |
18861 |
18154 |
17004 |
15448 |
|
P k 11 |
15381 |
16445 |
17023 |
17347 |
17428 |
17347 |
17155 |
16820 |
16466 |
15959 |
15361 |
14388 |
13071 |
|
P k 12 |
13487 |
14420 |
14926 |
15211 |
15282 |
15211 |
15042 |
14749 |
14438 |
13993 |
13469 |
12616 |
11461 |
|
P k 13 |
11013 |
11774 |
12188 |
12420 |
12478 |
12420 |
12282 |
12043 |
11789 |
11426 |
10998 |
10302 |
9359 |
|
P k 14 |
9318 |
9963 |
10313 |
10509 |
10558 |
10509 |
10393 |
10190 |
9975 |
9668 |
9306 |
8717 |
7919 |
Таблица 2.6. Эксплуатационная характеристика (продолжение)
|
Pw+P 1 |
7069 |
7070 |
7072 |
7074 |
7077 |
7079 |
7082 |
7085 |
7088 |
7092 |
7095 |
7099 |
7103 |
|
Pw+P 2 |
7071 |
7073 |
7076 |
7079 |
7082 |
7085 |
7089 |
7093 |
7098 |
7103 |
7108 |
7113 |
7119 |
|
Pw+P 3 |
7074 |
7077 |
7081 |
7085 |
7089 |
7094 |
7100 |
7106 |
7112 |
7118 |
7126 |
7133 |
7141 |
|
Pw+P 4 |
7078 |
7082 |
7088 |
7093 |
7100 |
7107 |
7114 |
7122 |
7131 |
7140 |
7150 |
7161 |
7172 |
|
Pw+P 5 |
7084 |
7090 |
7097 |
7105 |
7114 |
7124 |
7134 |
7146 |
7158 |
7171 |
7185 |
7200 |
7215 |
|
Pw+P 6 |
7092 |
7101 |
7111 |
7122 |
7134 |
7148 |
7163 |
7178 |
7196 |
7214 |
7233 |
7254 |
7276 |
|
Pw+P 7 |
7103 |
7116 |
7130 |
7145 |
7163 |
7182 |
7202 |
7224 |
7248 |
7274 |
7301 |
7329 |
7360 |
|
Pw+P 8 |
7119 |
7137 |
7156 |
7178 |
7202 |
7228 |
7257 |
7288 |
7321 |
7357 |
7395 |
7435 |
7477 |
|
Pw+P 9 |
7142 |
7166 |
7193 |
7223 |
7257 |
7294 |
7334 |
7377 |
7424 |
7474 |
7526 |
7583 |
7642 |
|
Pw+P 10 |
7173 |
7206 |
7245 |
7287 |
7334 |
7386 |
7442 |
7502 |
7567 |
7636 |
7710 |
7789 |
7871 |
|
Pw+P 11 |
7216 |
7263 |
7316 |
7376 |
7442 |
7513 |
7592 |
7676 |
7767 |
7864 |
7967 |
8076 |
8192 |
|
Pw+P 12 |
7277 |
7343 |
7417 |
7500 |
7592 |
7692 |
7801 |
7919 |
8046 |
8181 |
8325 |
8478 |
8640 |
|
Pw+P 13 |
7362 |
7454 |
7557 |
7673 |
7801 |
7941 |
8094 |
8259 |
8436 |
8625 |
8826 |
9039 |
9265 |
|
Pw+P 14 |
7481 |
7608 |
7753 |
7915 |
8094 |
8290 |
8503 |
8733 |
8980 |
9244 |
9525 |
9823 |
10139 |
|
D 1 |
0,2013 |
0,2152 |
0,2227 |
0,2270 |
0,2280 |
0,2270 |
0,2244 |
0,2200 |
0,2154 |
0,2088 |
0,2009 |
0,1882 |
0,1709 |
|
D 2 |
0,1703 |
0,1821 |
0,1885 |
0,1920 |
0,1929 |
0,1920 |
0,1899 |
0,1862 |
0,1822 |
0,1766 |
0,1700 |
0,1592 |
0,1446 |
|
D 3 |
0,1441 |
0,1540 |
0,1594 |
0,1625 |
0,1632 |
0,1624 |
0,1606 |
0,1575 |
0,1541 |
0,1494 |
0,1438 |
0,1346 |
0,1223 |
|
D 4 |
0,1219 |
0,1303 |
0,1349 |
0,1374 |
0,1381 |
0,1374 |
0,1359 |
0,1332 |
0,1304 |
0,1263 |
0,1216 |
0,1138 |
0,1033 |
|
D 5 |
0,1031 |
0,1102 |
0,1141 |
0,1163 |
0,1168 |
0,1162 |
0,1149 |
0,1126 |
0,1102 |
0,1068 |
0,1027 |
0,0962 |
0,0873 |
|
D 6 |
0,0903 |
0,0965 |
0,0999 |
0,1018 |
0,1022 |
0,1017 |
0,1005 |
0,0985 |
0,0964 |
0,0934 |
0,0898 |
0,0840 |
0,0763 |
|
D 7 |
0,0764 |
0,0816 |
0,0845 |
0,0860 |
0,0864 |
0,0859 |
0,0849 |
0,0832 |
0,0814 |
0,0788 |
0,0758 |
0,0709 |
0,0642 |
|
D 8 |
0,0646 |
0,0690 |
0,0714 |
0,0727 |
0,0730 |
0,0725 |
0,0717 |
0,0702 |
0,0686 |
0,0664 |
0,0638 |
0,0596 |
0,0539 |
|
D 9 |
0,0545 |
0,0583 |
0,0603 |
0,0613 |
0,0615 |
0,0612 |
0,0604 |
0,0591 |
0,0577 |
0,0558 |
0,0535 |
0,0499 |
0,0451 |
|
D 10 |
0,0460 |
0,0492 |
0,0508 |
0,0517 |
0,0518 |
0,0514 |
0,0507 |
0,0495 |
0,0483 |
0,0466 |
0,0446 |
0,0415 |
0,0373 |
|
D 11 |
0,0388 |
0,0414 |
0,0427 |
0,0434 |
0,0435 |
0,0431 |
0,0424 |
0,0413 |
0,0402 |
0,0386 |
0,0368 |
0,0341 |
0,0304 |
|
D 12 |
0,0338 |
0,0360 |
0,0371 |
0,0376 |
0,0376 |
0,0372 |
0,0365 |
0,0354 |
0,0343 |
0,0328 |
0,0311 |
0,0285 |
0,0252 |
|
D 13 |
0,0273 |
0,0290 |
0,0298 |
0,0301 |
0,0299 |
0,0294 |
0,0287 |
0,0276 |
0,0265 |
0,0251 |
0,0235 |
0,0212 |
0,0182 |
|
D 14 |
0,0227 |
0,0240 |
0,0245 |
0,0246 |
0,0243 |
0,0237 |
0,0228 |
0,0217 |
0,0205 |
0,0191 |
0,0174 |
0,0152 |
0,0123 |
Таблица 2.6. Эксплуатационная характеристика (продолжение)
|
N 1 |
91,913 |
112,310 |
130,786 |
148,085 |
163,655 |
177,702 |
190,374 |
201,022 |
210,840 |
217,976 |
222,924 |
221,090 |
212,008 |
|
N 2 |
91,913 |
112,310 |
130,786 |
148,085 |
163,655 |
177,702 |
190,374 |
201,022 |
210,840 |
217,976 |
222,924 |
221,090 |
212,008 |
|
N 3 |
91,913 |
112,310 |
130,786 |
148,085 |
163,655 |
177,702 |
190,374 |
201,022 |
210,840 |
217,976 |
222,924 |
221,090 |
212,008 |
|
N 4 |
91,913 |
112,310 |
130,786 |
148,085 |
163,655 |
177,702 |
190,374 |
201,022 |
210,840 |
217,976 |
222,924 |
221,090 |
212,008 |
|
N 5 |
91,913 |
112,310 |
130,786 |
148,085 |
163,655 |
177,702 |
190,374 |
201,022 |
210,840 |
217,976 |
222,924 |
221,090 |
212,008 |
|
N 6 |
95,140 |
116,253 |
135,377 |
153,284 |
169,401 |
183,941 |
197,058 |
208,080 |
218,242 |
225,629 |
230,750 |
228,852 |
219,451 |
|
N 7 |
95,140 |
116,253 |
135,377 |
153,284 |
169,401 |
183,941 |
197,058 |
208,080 |
218,242 |
225,629 |
230,750 |
228,852 |
219,451 |
|
N 8 |
95,140 |
116,253 |
135,377 |
153,284 |
169,401 |
183,941 |
197,058 |
208,080 |
218,242 |
225,629 |
230,750 |
228,852 |
219,451 |
|
N 9 |
95,140 |
116,253 |
135,377 |
153,284 |
169,401 |
183,941 |
197,058 |
208,080 |
218,242 |
225,629 |
230,750 |
228,852 |
219,451 |
|
N 10 |
95,140 |
116,253 |
135,377 |
153,284 |
169,401 |
183,941 |
197,058 |
208,080 |
218,242 |
225,629 |
230,750 |
228,852 |
219,451 |
|
N 11 |
95,140 |
116,253 |
135,377 |
153,284 |
169,401 |
183,941 |
197,058 |
208,080 |
218,242 |
225,629 |
230,750 |
228,852 |
219,451 |
|
N 12 |
98,590 |
120,468 |
140,286 |
158,842 |
175,543 |
190,611 |
204,203 |
215,624 |
226,155 |
233,810 |
239,117 |
237,150 |
227,408 |
|
N 13 |
95,140 |
116,253 |
135,377 |
153,284 |
169,401 |
183,941 |
197,058 |
208,080 |
218,242 |
225,629 |
230,750 |
228,852 |
219,451 |
|
N 14 |
95,140 |
116,253 |
135,377 |
153,284 |
169,401 |
183,941 |
197,058 |
208,080 |
218,242 |
225,629 |
230,750 |
228,852 |
219,451 |
|
Nw+N |
9,725 |
13,146 |
17,505 |
23,044 |
30,079 |
39,036 |
50,504 |
65,343 |
84,865 |
111,177 |
147,798 |
200,809 |
280,964 |
|
N e |
91,9 |
109,3 |
127,1 |
144,9 |
162,7 |
180,1 |
196,9 |
212,9 |
227,8 |
241,4 |
253,5 |
263,8 |
272,0 |
|
T e |
1518 |
1623 |
1680 |
1712 |
1720 |
1712 |
1693 |
1660 |
1625 |
1575 |
1516 |
1420 |
1290 |
|
g e |
211 |
207,3 |
204,1 |
201,9 |
201 |
201,9 |
204,1 |
207 |
211 |
215 |
219,6 |
225 |
231 |
Таблица 2.6. Эксплуатационная характеристика (продолжение)
|
j 1 |
0,038 |
0,040 |
0,042 |
0,043 |
0,043 |
0,043 |
0,042 |
0,041 |
0,040 |
0,039 |
0,037 |
0,035 |
0,031 |
|
j 2 |
0,043 |
0,047 |
0,048 |
0,049 |
0,050 |
0,049 |
0,049 |
0,048 |
0,047 |
0,045 |
0,043 |
0,040 |
0,036 |
|
j 3 |
0,049 |
0,053 |
0,055 |
0,057 |
0,057 |
0,057 |
0,056 |
0,055 |
0,053 |
0,051 |
0,049 |
0,046 |
0,041 |
|
j 4 |
0,056 |
0,060 |
0,063 |
0,064 |
0,065 |
0,064 |
0,063 |
0,062 |
0,060 |
0,058 |
0,056 |
0,052 |
0,046 |
|
j 5 |
0,063 |
0,068 |
0,071 |
0,072 |
0,073 |
0,072 |
0,071 |
0,070 |
0,068 |
0,065 |
0,062 |
0,057 |
0,051 |
|
j 6 |
0,072 |
0,078 |
0,082 |
0,083 |
0,084 |
0,083 |
0,082 |
0,080 |
0,078 |
0,075 |
0,072 |
0,066 |
0,058 |
|
j 7 |
0,078 |
0,085 |
0,089 |
0,091 |
0,091 |
0,091 |
0,089 |
0,087 |
0,085 |
0,081 |
0,077 |
0,071 |
0,062 |
|
j 8 |
0,082 |
0,090 |
0,094 |
0,097 |
0,097 |
0,096 |
0,095 |
0,092 |
0,089 |
0,085 |
0,081 |
0,073 |
0,063 |
|
j 9 |
0,084 |
0,092 |
0,097 |
0,099 |
0,100 |
0,099 |
0,097 |
0,094 |
0,091 |
0,087 |
0,081 |
0,073 |
0,062 |
|
j 10 |
0,082 |
0,091 |
0,096 |
0,098 |
0,099 |
0,098 |
0,096 |
0,092 |
0,089 |
0,084 |
0,078 |
0,069 |
0,056 |
|
j 11 |
0,076 |
0,085 |
0,090 |
0,092 |
0,093 |
0,091 |
0,089 |
0,085 |
0,081 |
0,075 |
0,069 |
0,058 |
0,045 |
|
j 12 |
0,070 |
0,079 |
0,084 |
0,087 |
0,086 |
0,084 |
0,081 |
0,077 |
0,072 |
0,065 |
0,058 |
0,046 |
0,032 |
|
j 13 |
0,048 |
0,057 |
0,061 |
0,063 |
0,062 |
0,059 |
0,055 |
0,050 |
0,044 |
0,037 |
0,029 |
0,017 |
0,001 |
|
j 14 |
0,028 |
0,036 |
0,039 |
0,039 |
0,037 |
0,034 |
0,029 |
0,022 |
0,015 |
0,006 |
-0,003 |
-0,017 |
-0,034 |
|
1/j 1 |
26,626 |
24,747 |
23,834 |
23,351 |
23,233 |
23,352 |
23,638 |
24,151 |
24,719 |
25,580 |
26,675 |
28,671 |
31,905 |
|
1/j 2 |
23,138 |
21,478 |
20,673 |
20,247 |
20,144 |
20,249 |
20,502 |
20,954 |
21,457 |
22,217 |
23,187 |
24,958 |
27,837 |
|
1/j 3 |
20,249 |
18,767 |
18,050 |
17,672 |
17,581 |
17,675 |
17,900 |
18,304 |
18,753 |
19,433 |
20,301 |
21,891 |
24,486 |
|
1/j 4 |
17,883 |
16,542 |
15,896 |
15,556 |
15,474 |
15,560 |
15,764 |
16,130 |
16,536 |
17,153 |
17,942 |
19,392 |
21,771 |
|
1/j 5 |
15,981 |
14,748 |
14,156 |
13,846 |
13,772 |
13,852 |
14,041 |
14,378 |
14,754 |
15,324 |
16,056 |
17,403 |
19,633 |
|
1/j 6 |
13,889 |
12,788 |
12,262 |
11,987 |
11,924 |
11,996 |
12,166 |
12,469 |
12,808 |
13,321 |
13,982 |
15,203 |
17,237 |
|
1/j 7 |
12,834 |
11,773 |
11,271 |
11,011 |
10,953 |
11,026 |
11,192 |
11,487 |
11,817 |
12,320 |
12,968 |
14,173 |
16,204 |
|
1/j 8 |
12,165 |
11,108 |
10,613 |
10,359 |
10,306 |
10,383 |
10,554 |
10,855 |
11,193 |
11,707 |
12,375 |
13,623 |
15,765 |
|
1/j 9 |
11,920 |
10,817 |
10,309 |
10,053 |
10,006 |
10,095 |
10,282 |
10,608 |
10,977 |
11,538 |
12,273 |
13,661 |
16,105 |
|
1/j 10 |
12,195 |
10,975 |
10,425 |
10,157 |
10,119 |
10,233 |
10,459 |
10,844 |
11,285 |
11,957 |
12,851 |
14,563 |
17,714 |
|
1/j 11 |
13,216 |
11,752 |
11,117 |
10,822 |
10,805 |
10,973 |
11,284 |
11,801 |
12,405 |
13,329 |
14,593 |
17,095 |
22,116 |
|
1/j 12 |
14,344 |
12,586 |
11,862 |
11,552 |
11,583 |
11,847 |
12,302 |
13,043 |
13,936 |
15,325 |
17,316 |
21,525 |
31,569 |
|
1/j 13 |
20,706 |
17,494 |
16,324 |
15,924 |
16,162 |
16,878 |
18,048 |
19,975 |
22,541 |
26,981 |
34,797 |
59,880 |
807,919 |
|
1/j 14 |
35,878 |
28,003 |
25,760 |
25,416 |
26,755 |
29,709 |
34,890 |
45,248 |
66,246 |
155,399 |
-301,080 |
-59,592 |
-29,705 |
>
>
>
>
>/>