Эксплуатационные свойства автомобилей (работа 1)
Иркутский Государственный Технический Университет
Курсовая работа
по предмету: «Автотранспортные средства»
Выполнил: ст-т гр.
Иркутск 2003
1.Определение полной массы автомобиля и распределение её по мостам.
m>a>= m>c>+ m>г> + 80*z >n>;
где z>n>> >– число пассажиров, включая водителя
m>c> – масса снаряжённого автомобиля
m>г > - масса груза> >
m>a>= 8020+5500+80*3=13760 кг
Нагрузка на задний мост 2/3m>a>> >= 9174 кг
Нагрузка на передний мост равна 4586 кг
Нагрузка на одно колесо равна 2293,5 кг
Выбираем шины с регулируемым давлением и рисунком протектора повышенной проходимости (ГОСТ 13298 – 78) 370 – 508 (14,00 – 20) статический радиус r>c>=0,583 м
2. Подбор внешней характеристики двигателя
Расчёт начинаем с определения мощности двигателя, необходимой для обеспечения движения с заданной максимальной скоростью.

где G>a>> >– полный вес автотранспортного средства, Н;
f>v> – коэффициент сопротивления качению при максимальной скорости;
V – максимальная скорость, м\с;
К = 0,7 – коэффициент обтекаемости, нс2/н4
F – лобовая площадь автомобиля, м2;
>тр> = 0,83 КПД трансмиссии;
К>р> =0,95 – коэффициент коррекции, учитывающий особенность стандарта, по которому была снята внешняя скоростная характеристика.
Значения f>v> определяются выражением


где f = 0.2 – коэффициент сопротивлению качению
Лобовая площадь определяется:
F = B>k> H
где B>k> = 2 – колея автомобиля, м;
Н = 2.87 – наибольшая высота автомобиля, м;
Пользуясь эмпирической формулой С.Р. Лейдермана, находят максимальную мощность двигателя:
F =2000*2850=5,74 м2


где a,b,c, - эмпирические коэффициенты;
для четырехтактных дизелей a = 0.53; b = 1.56; c = 1.09;
-
отношение частот вращения вала двигателя
при максимальной скорости и
максимальной мощности,
0,9 – 1 для грузовых автомобилей с дизельным
двигателем


Для построения внешней характеристики при известной мощности и выбранных коэффициентах a,b,c, воспользуемся следующим выражением:

где n>e>> >– текущее значение частоты вращения вала двигателя


Кривая зависимости крутящего момента двигателя от частоты вращения вала рассчитываем по формуле:
М=9550*N>е>/n>e>
М=9550*24/540=440.8 H*м
Результаты расчётов N>e> и M>e> сводят в таблицу и строят график внешней скоростной характеристики, рис. 1.
Таблица 1
|
n>V>/n>N> |
0,2 |
0,4 |
0,6 |
0,8 |
1 |
|
n>e> (мин-1) |
520 |
1040 |
1560 |
2080 |
2600 |
|
N>e> (кВт) |
24 |
58,8 |
96,6 |
129,7 |
150 |
|
M>e> (Н*м) |
440,8 |
539,9 |
591,4 |
595,3 |
551,0 |
3. Выбор передаточных чисел трансмиссии.
Передаточное число главной передачи определяют из условия обеспечения максимальной скорости на вышей передаче коробки передач.

где i>кв> = 0,7 - передаточное число коробки на высшей передаче;
i>дк> =1,3 - высшая передача дополнительной коробки
r>к> = 0,583– радиус качения колеса, м

4. Выбор ступеней и передаточных чисел коробки передач.
Передаточное число ступеней i первой передачи определяется из условия обеспечения движения по дорогам с заданным >max>
;
где >max> – суммарный коэффициент сопротивления дороги

Полученное передаточное число на первой передаче надо проверить по условиям отсутствия буксования. Буксования не будет если выполнено неравенство:
M>e>>
>>max>= i>гл>
* i>дк> * i>к1>
*
>тр>
* K>р> /r>k>>
>
P>т сц>
где Р>т сц >– сила тяги по сцеплению
Р>т сц>> >= 137600*0.7 = 96.32 кН
M>e max>=7,87*1,3*5,62*0,85*0,95/0,583 =79,64 Н*м

где G>b> – вес, приходящийся на ведущие колеса;
>х> - коэффициент сцепления шин с дорогой

Условие выполняется

где m – номер произвольной промежуточной передачи;
n – число ступеней в коробке передач, не считая ускоряющей передачи и заднего хода.




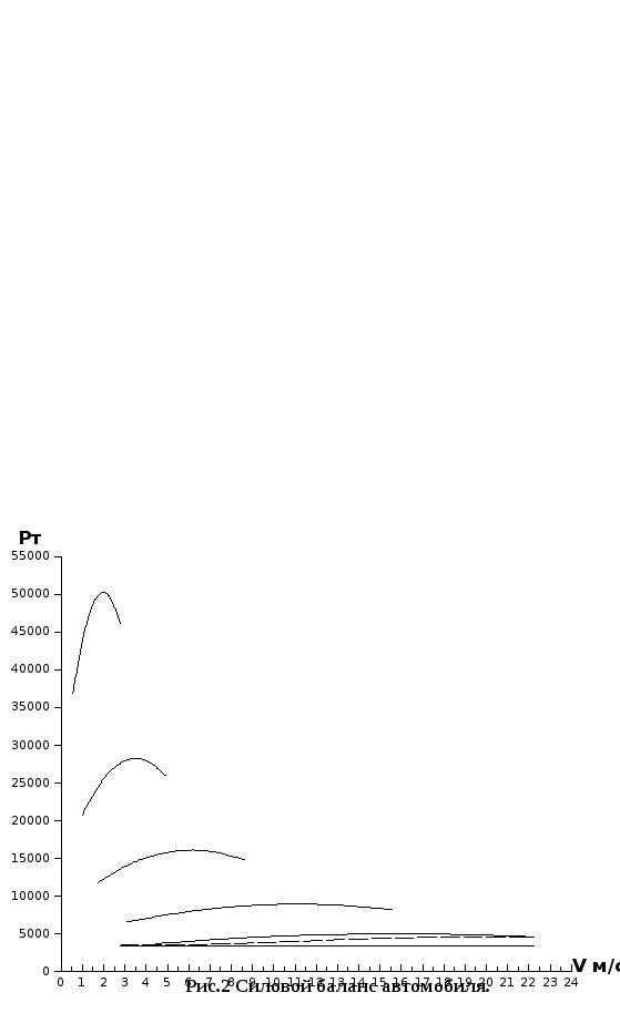
5. Тяговый баланс автомобиля.
Расчёт и построение тягового баланса автомобиля выполняют в соответствии с формулой
Р>т> = Р>f> +Р>B> +Р>П> +Р>I>
где Р>т> – тяговая сила, Н
Р>f> - сила сопротивления качению, Н;
Р>B> – сила сопротивления воздуха, Н;
Р>П> - сила сопротивления подъёму, Н;
Р>j> – сила инерции (ускорения или замедления), Н;
Составляющие тягового баланса определяются формулами:
;
Н
P>f> = G>a> * f * cos
P>f> = 137600*0,025*cos =3440.6
P>B> = K * F * V2
P>B> = 0.7*5.74*0.62 = 1.3
P>П> = G>a>* sin
Для случая движения автомобиля по горизонтальному участку P>П> = 0
При построении тягового баланса необходимо определить скорость движения автомобиля для всех расчетных частей вращения коленчатого вала на различных передачах.

;
м/с
Результаты расчётов сводятся в таблицу и строится тяговая характеристика автомобиля для всех ступеней рис.2
Таблица 2
|
значения\передача |
1 |
2 |
3 |
4 |
5 |
|
Р>T> |
36952,7 |
20777,7 |
11835,4 |
6575,2 |
3682,1 |
|
45263,9 |
25450,9 |
14497,3 |
8054,1 |
4510,3 |
|
|
49574,8 |
27874,8 |
15878,0 |
8821,1 |
4939,8 |
|
|
49901,9 |
28058,7 |
15982,8 |
8879,3 |
4972,4 |
|
|
46187,7 |
25970,3 |
14793,2 |
8218,4 |
4602,3 |
|
|
V |
0,6 |
1,0 |
1,7 |
3,1 |
4,4 |
|
1,1 |
2,0 |
3,5 |
6,2 |
8,9 |
|
|
1,7 |
3,0 |
5,2 |
9,3 |
13,3 |
|
|
2,2 |
3,9 |
6,9 |
12,4 |
17,8 |
|
|
2,8 |
4,9 |
8,6 |
15,6 |
22,2 |
|
|
P>f> |
3440,0 |
3440,0 |
3440,1 |
3440,2 |
3440,4 |
|
3440,0 |
3440,1 |
3440,2 |
3440,8 |
3441,6 |
|
|
3440,1 |
3440,2 |
3440,5 |
3441,7 |
3443,5 |
|
|
3440,1 |
3440,3 |
3440,9 |
3443,0 |
3446,2 |
|
|
3440,2 |
3440,5 |
3441,5 |
3444,8 |
3449,7 |
|
|
P>B> |
1,3 |
4,0 |
12,2 |
39,6 |
80,8 |
|
5,0 |
15,9 |
48,9 |
158,3 |
323,0 |
|
|
11,3 |
35,7 |
109,9 |
356,2 |
726,8 |
|
|
20,0 |
63,4 |
195,4 |
633,2 |
1292,2 |
|
|
31,3 |
99,1 |
305,3 |
989,3 |
2019,0 |
6. Мощностной баланс автомобиля
Баланс мощности автомобиля рассчитывается по формуле
N>T> = N>e> >Tp> = N>f> + N>B >+ N>n> + N>j>
где N>T> – мощность, приведенная к ведущим колесам автомобиля, кВт;
N>f> - мощность, затрачиваемая на преодоление сопротивления качению, кВт;
N>B> - мощность, затрачиваемая на преодоление сопротивления воздуха, кВт;
N>П> - мощность, затрачиваемая на преодоление подъёма, кВт;
N>j>- мощность, затрачиваемая на разгон автомобиля, кВт.
Составляющие мощностного баланса определяются:
N>f > = P>f>*V;
N>в> = P>в>*V;
N>п > = P>п>*V;
Результаты расчётов сводятся в таблицу и строится график мощностного баланса рис.3.
Таблица 3
|
N>T> |
20,4 |
49,98 |
82,11 |
110,2 |
127,5 |
|
N>f> |
1904,4 |
3387,0 |
5946,2 |
10703,5 |
15291,6 |
|
3808,9 |
6774,1 |
11892,9 |
21410,5 |
30593,5 |
|
|
5713,4 |
10161,5 |
17840,9 |
32124,7 |
45916,2 |
|
|
7617,9 |
13549,2 |
23790,7 |
42849,5 |
61269,9 |
|
|
9522,6 |
16937,3 |
29743,0 |
53588,5 |
76665,1 |
|
|
N>B> |
0,7 |
3,9 |
21,1 |
123,1 |
359,0 |
|
5,5 |
31,2 |
168,9 |
985,0 |
2871,7 |
|
|
18,7 |
105,4 |
570,0 |
3324,3 |
9691,9 |
|
|
44,4 |
249,7 |
1351,1 |
7879,9 |
22973,4 |
|
|
86,7 |
487,7 |
2639,0 |
15390,4 |
44870,0 |
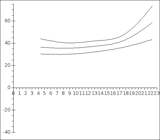
7. Динамический паспорт автомобиля.
Динамический паспорт представляет собой совокупность динамической характеристики с номограммой нагрузок. Динамическая характеристика определяется выражением:
;
Динамическую характеристику строят для автомобиля с полной нагрузкой. С изменение веса от G>a> до G>0 >(порожнего) D изменяется и его можно определить по формуле
;
Таблица 4
|
D |
0,269 |
0,151 |
0,086 |
0,047 |
0,026 |
|
0,329 |
0,185 |
0,105 |
0,057 |
0,030 |
|
|
0,360 |
0,202 |
0,115 |
0,062 |
0,031 |
|
|
0,363 |
0,203 |
0,115 |
0,060 |
0,027 |
|
|
0,335 |
0,188 |
0,105 |
0,053 |
0,019 |
|
|
D>0> |
4,607 |
2,590 |
1,474 |
0,815 |
0,449 |
|
5,643 |
3,171 |
1,802 |
0,985 |
0,522 |
|
|
6,180 |
3,471 |
1,966 |
1,055 |
0,525 |
|
|
6,220 |
3,491 |
1,969 |
1,028 |
0,459 |
|
|
5,755 |
3,226 |
1,806 |
0,901 |
0,322 |
По результатам вычислений строят динамическую характеристику с номограммой нагрузок рис.4.
Масштаб шкалы
D>0> определяют по
формуле

;
где а – масштаб шкалы D для автомобиля с полной нагрузкой
8. Ускорение автомобиля.
Ускорение находят по выражению:
;
;
-
коэффициент учета вращающихся масс.
Коэффициент
определяют по выражению:
=
1,04 + 0,04 i2>кп >
=
1,04 + 0,04 5,692> >= 2,34

Полученные результаты сводим в таблицу
Таблица 5
|
j |
1,057 |
0,875 |
0,521 |
0,208 |
0,058 |
|
1,319 |
1,110 |
0,684 |
0,300 |
0,098 |
|
|
1,455 |
1,232 |
0,766 |
0,338 |
0,100 |
|
|
1,465 |
1,240 |
0,767 |
0,323 |
0,063 |
|
|
1,348 |
1,132 |
0,686 |
0,255 |
0.012 |
По полученным значениям ускорения строят j = f(V) для всех передач рис.5.
9. Время и путь разгона автомобиля.
Время разгона t с места до скорости V определяют интегрированием функции I/j(V)
;
Из-за отсутствия аналитической зависимости 1/j =f (V), его решают графическим методом, предварительно построив график 1/j =f (V).рис.6
Таблица 6
|
1/j |
0,9 |
1,1 |
1,9 |
4,8 |
17,2 |
|
0,8 |
0,9 |
1,5 |
3,3 |
10,2 |
|
|
0,7 |
0,8 |
1,3 |
3,0 |
10,0 |
|
|
0,7 |
0,8 |
1,3 |
3,1 |
15,8 |
|
|
0,7 |
0,9 |
1,5 |
3,9 |
81.7 |
Время разгона определяется как выражение
t = a>v>*a>i/j>*F>t>;
t>1> =0,2*0,2*25,5 =1,02 c
Путь разгона определяют как выражение
S = a>v>*a>t>*F>s>
S>1> =0.2*0.2*89 = 3,56 м
По результатам вычислений заносим в таблицу и строим график рис.7.
Таблица 7
|
t |
1.02 |
2.42 |
4.44 |
6.92 |
12.04 |
18.08 |
|
S |
3.56 |
12.8 |
25.56 |
10. Топливная экономичность автомобиля.

где g>e>> >– удельный эффективный расход топлива, г/кВт*ч;
>т> = 850 г/л – плотность топлива;
N – мощность расходуемая для преодоления сопротивления дороги, кВт.
g>e> = (1.05~1.15)*g>min >K>ob>*K>и>
где K>ob> и K>и> – коэффициенты, учитывающие соответственно изменения g>e> в зависимости от частоты вращения вала двигателя и степени использования мощности (табл. 1.2)
N = G>a> ** V;
При движении по горизонтальному участку дороги = f
Таблица 8.
|
N>y> |
значения ψ = f |
|
|
0,02 |
0,025 |
0,03 |
|
12231,9 |
15289,9 |
18347,8 |
|
24463,8 |
30579,7 |
36695,7 |
|
36695,7 |
45869,6 |
55043,5 |
|
48927,6 |
61159,4 |
73391,3 |
|
61159,4 |
76449,3 |
91739,2 |
Степень использования мощности может быть рассчитана по формуле
И =

Таблица 9.
|
И |
61,7 |
76,7 |
91,7 |
|
54,7 |
66,9 |
79,2 |
|
|
56,5 |
67,7 |
78,8 |
|
|
65,2 |
76,3 |
87,4 |
|
|
83,2 |
95,2 |
107,1 |
g>e> =1,1*235*1,12*0,95 = 275,044

Данные расчётов заносят в таблицу и строят топливо экономическую характеристику, графиком топливо экономической характеристики строят график динамической характеристики на высшей ступени рис.8
Таблица 10.
|
|
y>1> |
y>2> |
y>2> |
|
Q |
30,3 |
36,3 |
43,9 |
|
30,1 |
35,5 |
40,2 |
|
|
32,4 |
37,4 |
42,2 |
|
|
36,5 |
42,7 |
47,9 |
|
|
43,3 |
58,3 |
73,2 |
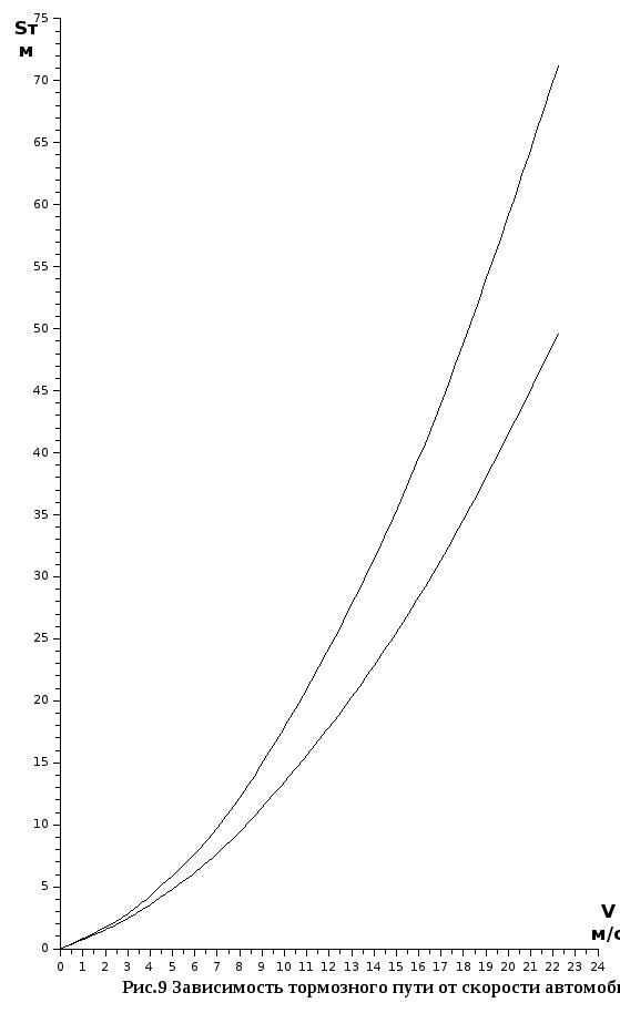
11. Тормозная динамичность автомобиля.
j>уст> = *g/ k>э>;
где k>э> = 1,1~1.2– коэффициент, который учитывает степень теоретически возможной эффективности тормозной системы.
j>уст2> =4.27
j>уст1> =6.82
Тормозной путь определяют по формуле:
;
где V – начальная скорость автомобиля, м/с
t>ПР>=> >0.2 – время срабатывания тормозного привода, с
t>У> =0.4 – время в течение которого замедление увеличивается от нуля до максимального значения


Результаты вычислений заносим в таблицу для = 0,5 и =0,8 соответственно.
|
S>T> |
|||||
|
j = 0,5 |
2,6 |
5,8 |
13,9 |
37,7 |
71,2 |
|
j = 0,8 |
2,2 |
4,7 |
10,7 |
27,1 |
49,5 |
По результатам вычислений строим график рис.9.
Список литературы
Методические указания к выполнению курсовой работы для студентов специальности 2401 ИрГТУ.
Краткий автомобильный справочник НИИАТ – М.: Транспорт1.
Overview
Диаграмма1Диаграмма3
Диаграмма4
Диаграмма5
Диаграмма6
Лист2
Лист1
Sheet 1: Диаграмма1
Sheet 2: Диаграмма3
Sheet 3: Диаграмма4
|
||||||
Sheet 4: Диаграмма5
Sheet 5: Диаграмма6
Sheet 6: Лист2
| Ny | 12231,9 | 15289,9 | 18347,8 | ge = (1.05~1.15)*gmin Kob*Kи | 0 | 0 | 0 | |||||
| 24463,8 | 30579,7 | 36695,7 |
|
1,02 | 2 | 3,56 | ||||||
| 36695,7 | 45869,6 | 55043,5 | 2,42 | 4 | 12,8 | |||||||
| 48927,6 | 61159,4 | 73391,3 | 4,44 | 6 | 25,64 | |||||||
| 61159,4 | 76449,3 | 91739,2 | 6,92 | 8 | ||||||||
| И | 62 | 77 | 92 | 12,04 | 10 | 0 | ||||||
| 55 | 67 | 79 | 18,08 | 12 | ||||||||
| 56 | 68 | 79 | 24,44 | 14 | y1 | y2 | y2 | |||||
| 65 | 76 | 87 | 1 | 32 | 16 | Q | 30,3 | 36,3 | 43,9 | |||
| 83 | 95 | 107 | Ки | g | 30,1 | 35,5 | 40,2 | |||||
| NB | 359 | 359 | 359 | 10 | 1,2 | 275,0 | 265,5 | 268,7 | 32,4 | 37,4 | 42,2 | |
| 2871,7 | 2871,7 | 2871,7 | 20 | 1,17 | 254,6 | 245,4 | 235,0 | 36,5 | 42,7 | 47,9 | ||
| 9691,9 | 9691,9 | 9691,9 | 30 | 1,12 | 242,0 | 233,3 | 225,8 | 43,3 | 58,3 | |||
| 22973,4 | 22973,4 | 22973,4 | 40 | 1,06 | 234,4 | 234,4 | 229,9 | 0,016 | 16 | |||
| 44870 | 44870 | 44870 | 50 | 1 | 236,0 | 277,9 | 309,8 | 0,02 | 20 | |||
| Kоб | 0,2 | 1,12 | 4,4 | 60 | 0,95 | 30,3 | 36,3 | 43,9 | 0,021 | 21 | ||
| 0,4 | 1,01 | 8,9 | 70 | 0,92 | 30,1 | 35,5 | 40,2 | 0,017 | 17 | |||
| 0,6 | 0,96 | 13,3 | 80 | 0,91 | 32,4 | 37,4 | 42,2 | 0,009 | 9 | |||
| 0,8 | 0,97 | 17,8 | 90 | 0,92 | 36,5 | 42,7 | 47,9 | |||||
| 1 | 1 | 22,2 | 100 | 1 | 43,3 | 58,3 | 73,2 |
Sheet 7: Лист1
| передача | 1 | 2 | 3 | 4 | 5 | n/n | 0,2 | 0,4 | 0,6 | 0,8 | 1 | ||||||
| РT | 36952,7 | 20777,7 | 11835,4 | 6575,2 | 3682,1 | n | 520 | 1040 | 1560 | 2080 | 2600 | ||||||
| 45263,9 | 25450,9 | 14497,3 | 8054,1 | 4510,3 | N | 24 | 58,8 | 96,6 | 129,65 | 150 | 20,4 | 49,98 | 82,11 | 110,2025 | 127,5 | ||
| 49574,8 | 27874,8 | 15878,0 | 8821,1 | 4939,8 | M | 440,8 | 539,9 | 591,4 | 595,3 | 551,0 | |||||||
| 49901,9 | 28058,7 | 15982,8 | 8879,3 | 4972,4 | 440,8 | передаточные числа | коробки передач | ||||||||||
| 46187,7 | 25970,3 | 14793,2 | 8218,4 | 4602,3 | 539,9 | 520 | 1 | 0 | 2,2 | 4,7 | 10,7 | 27,1 | 49,5 | 0 | |||
| V | 0,6 | 1,0 | 1,7 | 3,1 | 4,4 | 591,4 | 1040 | 2 | 0 | 2,6 | 5,8 | 13,9 | 37,7 | 71,2 | 0 | ||
| 1,1 | 2,0 | 3,5 | 6,2 | 8,9 | 595,3 | 1560 | 3 | 1,8 | |||||||||
| 1,7 | 3,0 | 5,2 | 9,3 | 13,3 | 551,0 | 2080 | 4 | 1 | |||||||||
| 2,2 | 3,9 | 6,9 | 12,4 | 17,8 | 2600 | 5 | 0,7 | 871168,169 | 872770,581 | 879832,005 | 902102,441 | 971618,900 | |||||
| 0,0 | 2,8 | 4,9 | 8,6 | 15,6 | 22,2 | 0 | |||||||||||
| Pf | 3440,0 | 3440,0 | 3440,1 | 3440,2 | 3440,4 | 3441,3 | 3444,0 | 3452,3 | 3479,8 | 3521,1 | |||||||
| 3440,0 | 3440,1 | 3440,2 | 3440,8 | 3441,6 | 3445,0 | 3455,9 | 3489,1 | 3599,1 | 3764,6 | ||||||||
| 3440,1 | 3440,2 | 3440,5 | 3441,7 | 3443,5 | 3451,3 | 3475,8 | 3550,5 | 3797,9 | 4170,3 | ||||||||
| 3440,1 | 3440,3 | 3440,9 | 3443,0 | 3446,2 | 3460,1 | 3503,7 | 3636,4 | 4076,2 | 4738,4 | ||||||||
| 3440,2 | 3440,5 | 3441,5 | 3444,8 | 3449,7 | 3471,5 | 3539,6 | 3746,8 | 4434,1 | 4600,0 | ||||||||
| PB | 1,3 | 4,0 | 12,2 | 39,6 | 80,8 | 3521,1 | |||||||||||
| 5,0 | 15,9 | 48,9 | 158,3 | 323,0 | 3764,6 | ||||||||||||
| 11,3 | 35,7 | 109,9 | 356,2 | 726,8 | 4170,3 | ||||||||||||
| 20,0 | 63,4 | 195,4 | 633,2 | 1292,2 | 4738,4 | ||||||||||||
| 31,3 | 99,1 | 305,3 | 989,3 | 2019,0 | 5468,7 | ||||||||||||
| Nf | 1904,4 | 3387,0 | 5946,2 | 10703,5 | 15291,6 | ||||||||||||
| 3808,9 | 6774,1 | 11892,9 | 21410,5 | 30593,5 | |||||||||||||
| 5713,4 | 10161,5 | 17840,9 | 32124,7 | 45916,2 | |||||||||||||
| 7617,9 | 13549,2 | 23790,7 | 42849,5 | 61269,9 | |||||||||||||
| 9522,6 | 16937,3 | 29743,0 | 53588,5 | 76665,1 | 9,6 | 17,4 | 32,4 | 69,0 | 121,5 | ||||||||
| NB | 0,7 | 3,9 | 21,1 | 123,1 | 359,0 | 9,5 | 16,9 | 29,7 | 53,6 | 76,7 | |||||||
| 5,5 | 31,2 | 168,9 | 985,0 | 2871,7 | |||||||||||||
| 18,7 | 105,4 | 570,0 | 3324,3 | 9691,9 | |||||||||||||
| 44,4 | 249,7 | 1351,1 | 7879,9 | 22973,4 | |||||||||||||
| 86,7 | 487,7 | 2639,0 | 15390,4 | 44870,0 | |||||||||||||
| D | 0,269 | 0,151 | 0,086 | 0,047 | 0,026 | ||||||||||||
| 0,329 | 0,185 | 0,105 | 0,057 | 0,030 | ST | ||||||||||||
| 0,360 | 0,202 | 0,115 | 0,062 | 0,031 | j = 0,5 | 2,6 | 5,8 | 13,9 | 37,7 | 71,2 | |||||||
| 0,363 | 0,203 | 0,115 | 0,060 | 0,027 | j = 0,8 | 2,2 | 4,7 | 10,7 | 27,1 | 49,5 | |||||||
| 0,335 | 0,188 | 0,105 | 0,053 | 0,019 | |||||||||||||
| D0 | 4,607 | 2,590 | 1,474 | 0,815 | 0,449 | ||||||||||||
| 5,643 | 3,171 | 1,802 | 0,985 | 0,522 | |||||||||||||
| 6,180 | 3,471 | 1,966 | 1,055 | 0,525 | |||||||||||||
| 6,220 | 3,491 | 1,969 | 1,028 | 0,459 | |||||||||||||
| 5,755 | 3,226 | 1,806 | 0,901 | 0,322 | |||||||||||||
| j | 1,057 | 0,875 | 0,521 | 0,208 | 0,058 | ||||||||||||
| 1,319 | 1,110 | 0,684 | 0,300 | 0,098 | |||||||||||||
| 1,455 | 1,232 | 0,766 | 0,338 | 0,100 | |||||||||||||
| 1,465 | 1,240 | 0,767 | 0,323 | 0,063 | |||||||||||||
| 1,348 | 1,132 | 0,686 | 0,255 | 0,012 | |||||||||||||
| Ny | 12231,9 | 15289,9 | 18347,8 | 359 | 0,1089107985 | 0,1353621633 | 0,1618135282 | ||||||||||
| 24463,8 | 30579,7 | 36695,7 | 2871,7 | 0,1182255181 | 0,144676883 | 0,1711282478 | |||||||||||
| 36695,7 | 45869,6 | 55043,5 | 9691,9 | 0,1337503392 | 0,160201704 | 0,1866530689 | |||||||||||
| 48927,6 | 61159,4 | 73391,3 | 22973,4 | 0,1554852616 | 0,1819366265 | 0,2083879914 | |||||||||||
| 61159,4 | 76449,3 | 91739,2 | 44870 | 0,1834302855 | 0,2098816504 | 0,2363330153 | |||||||||||
| И | 61,7 | 76,7 | 91,7 | ||||||||||||||
| 54,7 | 66,9 | 79,2 | |||||||||||||||
| 56,5 | 67,7 | 78,8 | |||||||||||||||
| 65,2 | 76,3 | 87,4 | 275,044 | 10 | 1,2 | ||||||||||||
| 83,2 | 95,2 | 107,1 | 261,085 | 20 | 1,17 | ||||||||||||
| 1/j | 0,9 | 1,1 | 1,9 | 4,8 | 17,2 | 255,6048 | 30 | 1,12 | |||||||||
| 0,8 | 0,9 | 1,5 | 3,3 | 10,2 | 258,26735 | 40 | 1,06 | ||||||||||
| 0,7 | 0,8 | 1,3 | 3,0 | 10,0 | 258,5 | 50 | 1 | ||||||||||
| 0,7 | 0,8 | 1,3 | 3,1 | 15,8 | 60 | 0,95 | |||||||||||
| 0,7 | 0,9 | 1,5 | 3,9 | 81,7 | 70 | 0,92 | |||||||||||
| Q | 0,2 | 1,12 | 80 | 0,91 | |||||||||||||
| 0,4 | 1,01 | 90 | 0,92 | ||||||||||||||
| 0,6 | 0,96 | 100 | 1 | ||||||||||||||
| 0,8 | 0,97 | ||||||||||||||||
| 1 | 1 |