Гидродинамика
В тепловых процессах осуществляется передача тепла — теплопередача от одного теплоносителя к другому, причем эти теплоносители в большинстве случаев разделены перегородкой {стенкой аппарата, стенкой трубы и т. п.). Количество передаваемого тепла определяется основным уравнением теплопередачи.: Q=Kt>m>F.
В этом уравнении коэффициент теплопередачи К является суммирующим коэффициентом скорости теплового процесса, учитывающим необходимость перехода тепла от ядра потока первого теплоносителя к стенке (теплоотдачей), через стенку {теплопроводностью) и от стенки к ядру потока второго теплоносителя (теплоотдачей). Коэффициент теплопередачи определяет количество тепла, которое передается от одного теплоносителя к другому через единицу площади разделяющей их стенки в единицу времени при разности температур между теплоносителями 1 град.
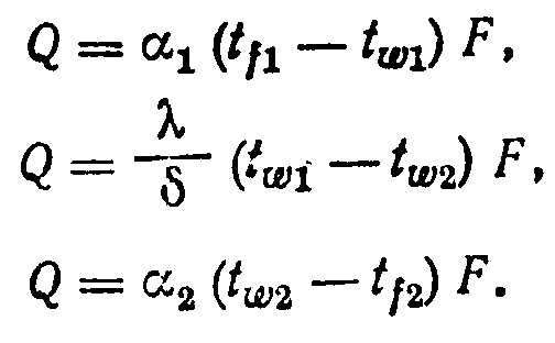
Соотношение для расчета коэффициента теплопередачи можно вывести, рассмотрев процесс передачи тепла от одного теплоносителя к другому через разделяющую их стенку. На рис. 1 показана плоская стенка толщиной , материал которой имеет коэффициент теплопроводности . По одну сторону стенки протекает теплоноситель с температурой t>f1> в ядре потока, по другую сторону—теплоноситель с температурой t>f2>. Температуры поверхностей стенки t>w1> и t>w2>. Коэффициенты теплоотдачи >1> и >2>. При установившемся процессе количество тепла, передаваемого в единицу времени через площадку F от ядра потока первого теплоносителя к стенке, равно количеству тепла, передаваемого через стенку и от стенки к ядру потока второго теплоносителя.
Рис. 1. Характер изменения температур при теплопередаче через плоскую стенку
Это количество тепла можно определить по любому из соотношений:

Из этих соотношений можно получить:

Складывая эти уравнения, получим:

откуда

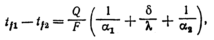
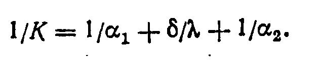
Из сопоставления уравнений найдем

откуда

Величина 1/К, обратная коэффициенту теплопередачи, представляет собой термическое сопротивление теплопередаче. Величины l/>1> и 1/>2> являются термическими сопротивлениями теплоотдаче, а /—термическим сопротивлением стенки. Из уравнения следует, что термическое сопротивление теплопередаче равно сумме термических сопротивлений теплоотдаче и стенки.
При расчетах коэффициента теплопередачи в случае многослойной стенки необходимо учитывать термические сопротивления всех слоев. В этом случае коэффициент теплопередачи определяют по формуле

где i—порядковый номер слоя; п—число слоев.

Рис. 2. Характер изменения температур теплоносителей при прямоточном движении их вдоль поверхности теплообмена
ДВИЖУЩАЯ СИЛА ТЕПЛОВЫХ ПРОЦЕССОВ
Движущей силой тепловых процессов является разность температур сред, при наличии которой тепло распространяется от среды с большей температурой к среде с меньшей температурой. При теплопередаче от одного теплоносителя к другому разность между температурами теплоносителей не сохраняет постоянного значения вдоль поверхности теплообмена, и поэтому в тепловых расчетах, где применяется основное уравнение теплопередачи к конечной поверхности теплообмена, необходимо пользоваться средней разностью температур.
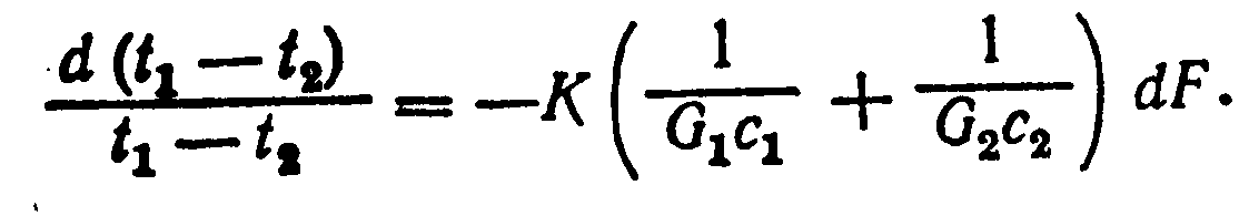
На рис. 2 показан характер изменения температур теплоносителей «при прямоточном движении их вдоль поверхности теплообмена. Один из теплоносителей охлаждается от температуры t’>1> до t’’>1>, другой нагревается от t’>2> до t’’>2>. Количество тепла, переданное в единицу времени от первого теплоносителя ко второму на произвольно выделенном элементе теплообменной поверхности можно определить по основному уравнению теплопередачи:

где К—коэффициент теплопередачи; t>1> и t>2>—температуры теплоносителей по обе стороны элемента dF.
В результате теплообмена на элементе поверхности температура первого теплоносителя понизится на dt>1> а второго— повысится на dt>2>

где G>1> и G>2>—расходы первого и второго теплоносителей; c>1> и с>2>—теплоемкости первого и второго теплоносителей.
Вычитая равенство (в) из равенства (б), получим:

Подставив значения G>1>c>1> и G>2>c>2 >из уравнений (е) и (ж) в равенство (д), имеем:

Подставив значение dQ из уравнения (а) в равенство (г) и выполнив преобразования, имеем

Обозначив через Q общее количество тепла, переданное в единицу времени от первого теплоносителя ко второму на всей теплообменной поверхности F, из уравнения теплового баланса, получим:

Проинтегрировав уравнение при постоянном К, получим

Обозначив наибольшую разность температур между теплоносителями t>b>= t’>1>-t’>2>, а наименьшую t>м>= t’’>1>-t’’>2>, подставим соотношение в следующем виде:

Сопоставив уравнения, получим соотношение для определения средней разности температур:

Это соотношение справедливо также и для случая противоточного движения теплоносителей вдоль поверхности теплообмена.
При небольших изменениях температур теплоносителей, когда t>м>/t>b>,0,5 среднюю разность температур можно вычислять как среднеарифметическую:

При этом ошибка не превышает 4%.
При перекрестным токе теплоносителей среднюю разность температур можно вычислять по формуле с поправочным коэффициентом >>>t>:

Поправочный коэффициент >>>t> находят по графикам в зависимости от соотношения температур теплоносителей. В литературе представлены графики для некоторых случаев перекрестного тока теплоносителей. Величины Р и R, указанные на этих графиках, находят по формулам:


НАГРЕВАНИЕ ПРОМЕЖУТОЧНЫМИ ТЕПЛОНОСИТЕЛЯМИ
При нагревании многих материалов для сохранения качества продуктов или обеспечения безопасной работы недопустим даже кратковременный их перегрев. В этих случаях для обогрева применяют промежуточные теплоносители, которые сначала нагреваются топочными газами, а затем передают воспринятое тепло обрабатываемому материалу.
В качестве промежуточных теплоносителей применяют минеральные масла, перегретую воду, высокотемпературные органические теплоносители (ВОТ), расплавленные смеси солей и др.
Нагревание топочными газами через жидкостную баню относится к простейшим способам нагревания промежуточными теплоносителями.
В случае нагревания на масляной бане (до температур 200—250 °С) аппарат снабжают рубашкой, заполненной маслом. Топочные газы омывают рубашку и передают тепло маслу, а масло через стенки аппарата—обрабатываемым материалам. Рубашка соединена трубопроводом с расширительным бачком, в который перетекает часть масла, когда объем его увеличивается при нагревании. В этот же бачок выбрасывается масло при бурном вскипании влаги (почти всегда содержащейся в свежем масле) в случае нагревания масла выше 100— 120 °С.
Нагревание через жидкостные бани не обеспечивает высоких коэффициентов теплопередачи, так как в рубашке в жидком промежуточном теплоносителе возникают только очень слабые конвекционные токи. Для повышения коэффициентов теплопередачи используют установки с циркулирующим жидким промежуточным теплоносителем. Нагревание дымовыми газами с циркулирующим жидким промежуточным теплоносителем. Этот процесс осуществляется на установках с естественной или принудительной циркуляцией теплоносителя.
Принципиальная схема установки с естественной циркуляцией жидкого теплоносителя показана на рис. 3. Жидкий теплоноситель нагревается в змеевике 2
Рис. 3. Принципиальная схема нагревательной установки с естественной циркуляцией жидкого промежуточного теплоноси теля: 1 — печь; 2 — змеевик; 3 — обогреваемый аппарат.
печи 1. В результате уменьшения при нагревании плотности теплоносителя он перемещается по трубопроводу вверх к обогреваемому аппарату 3. Теплоноситель «проходит по змеевику, расположенному вокруг этого аппарата, и отдает тепло нагреваемому материалу. Температура теплоносителя при этом снижается, а плотность увеличивается, в результате чего он стекает по трубопроводу вниз. Таким образом осуществляется замкнутая циркуляция теплоносителя.
Тепловая производительность установки с естественной циркуляцией жидкого теплоносителя определяется равенством

где G—скорость циркуляции теплоносителя, кг/ч; с—теплоемкость теплоносителя, кДж/(кгС)', t>r>—температура теплоносителя в горячей ветви системы (до обогреваемого аппарата), С; t>x>—температура теплоносителя в холодной ветви системы (после обогреваемого аппарата), °С.
Скорость циркуляции теплоносителя, может быть найдена из соотношения

где f—площадь сечения трубопровода, w—линейная скорость теплоносителя в трубопроводе, м/с; р — плотность теплоносителя, кг/м3
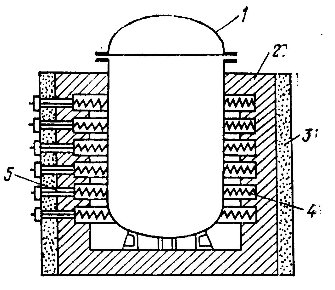
Линейную скорость теплоносителя в трубопроводе можно найти, исходя из законов гидродинамики. Если принять линейный закон изменения плотности теплоносителя в зависимости от высоты рабочей части обогреваемого аппарата h>a> (м), а также от высоты змеевика в печи h>п> (м), то напор, определяющий движение теплоносителя в системе, составит '

где H==h+0,5(hа+hп); h—высота, определяющая положение обогреваемого аппарата над печью, м; р>х> и р>г>—плотности теплоносителя соответственно в холодной и горячей ветви системы, кг/м3
Сопротивление горячей и холодной ветвей циркуляционной системы может быть выражено в виде

где w>х> и w>r > — линейная скорость теплоносителя соответственно в холодной и горячей ветви, м/с; >x> и >г> — сумма сопротивлений соответственно холодной и горячей ветви.
При одном и том же сечении трубопровода в холодной и горячей ветвях, согласно закону неразрывности потока, w>x>p>x>g== w>г>p>г>g и, следовательно,

Подставляя найденное значение w>г>, получим:

При установившемся процессе

Следовательно,

Из соотношения следует, что тепловая производительность циркуляционных установок возрастает с увеличением разности высот расположения обогреваемого аппарата и печи и с увеличением разности плотностей теплоносителей в холодной и горячей ветвях; с ростом гидравлических сопротивлений системы ее тепловая производительность уменьшается. Скорость теплоносителя в условиях естественной циркуляции невелика: обычно порядка 0,1 м/с.
В установках с естественной циркуляцией в качестве теплоносителя обычно применяют перегретую воду или высокотемпературные органические теплоносители. Максимальная температура нагревания воды равна ее критической температуре 374 °С при соответствующем давлении 22,5 МПа. До герметизации циркуляционной системы при разогреве из нее следует удалить воздух или другие неконденсирующиеся газы, поэтому установку заполняют только дистиллированной водой.
Работу установки желательно проводить при режиме, когда горячая ветвь системы заполнена преимущественно паром, а холодная—преимущественно жидкостью. В этих условиях благодаря большой разности между плотностями жидкости и пара скорость циркуляции воды увеличивается, и тепловая производительность установки возрастает.
Установки с циркулирующей перегретой водой рассчитывают на рабочее давление 22,5 МПа. Это приводит к необходимости применения весьма сложной и металлоемкой аппаратуры и арматуры.
Высокая тепловая производительность установок достигается применением принудительной циркуляции жидких теплоносителей.
Установка с принудительной циркуляцией жидкого теплоносителя показана на рис. 4. Для наполнения системы необходимое количество теплоносителя перекачивают в нее из сборника 1 насосом 2, После этого сборник 1 разобщается с системой перекрытием вентилей, и при работающем насосе 2 теплоноситель начинает циркулировать через трубчатый нагреватель 3 (расположенный в печи) и рубашку обогреваемого аппарата.

Рис. 4. Схема нагревательной установки с принудительной циркуляцией жидкого промежуточного теплоносителя:
1 — сборник теплоносителя; 2 — насос; 3 — трубчатый нагреватель: 4 — обогреваемый аппарат; 5 —расширительный бачок
В трубчатом нагревателе теплоноситель воспринимает тепло топочных газов, а в рубашке обогреваемого аппарата 4 отдает его обрабатываемому материалу.
Циркуляционные насосы должны безотказно работать при высокой температуре. Высокотемпературные насосы, выпускаемые в СССР, обеспечивают достаточно надежную работу.
Расход жидкого промежуточного теплоносителя при нагревании в установках с естественной или принудительной циркуляцией определяют из уравнения теплового баланса:

где Gпp — количество перерабатываемого в обогреваемом аппарате продукта, кг/ч; Спр—теплоемкость перерабатываемого продукта, кДж/(кг°С); tпр. и tap. K — начальная и конечная температуры перерабатываемого продукта, °С; Qп — потери тепла в окружающую среду, кДж/ч; остальные обозначения те же, что и в предыдущем равенстве.
Отсюда расход жидкого промежуточного теплоносителя составит

В зависимости от заданных температур и давлений для установок с естественной и принудительной циркуляцией подбирают соответствующие жидкие промежуточные теплоносители: воду, газойль, высокотемпературные органические теплоносители, силикон), расплавленные смеси солей, расплавленные металлы.
Нагревание дымовыми газами с применением жидких промежуточных теплоносителей возможно до температур 500 °С. При необходимости нагревания обрабатываемых материалов до более высоких температур применяя твердые зернистые промежуточные теплоносители.
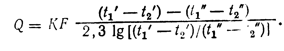
Нагревание топочными газами с циркулирующим твердым зернистым промежуточным теплоносителем получает все более широкое распространение в технике. Этим способом можно нагревать различные технологические газы до температур порядка 1500°С. В качестве зернистых теплоносителей применяют жаростойкие твердые материалы (кварц, алюмосиликаты, диабаз, алунд, шамот и др.), измельченные до частиц размером 0,05—8 мм.

Рис. 5. Нагревательная установка с циркулирующим зернистым материалом, движущимся сплошным потоком:
1 — загрузочное устройство пневмотранспортной системы: 2 — аппарат для нагревания технологических газов; 3— топка под давлением; 4—распределительное устройство: 5— аппарат для нагревания зернистого материала; 6 -бункер-сепаратор; 7 - пневмотранспортная труба- 8-11 -патрубки; 12 -воздуходувка: /—топочные газы; //-технологические газы; ///—зернистый материал; /V—транспортирующий газ/
Зернистые материалы имеют очень большую удельную поверхность—до 500—100000 м2/м3 в зависимости от размеров частиц. Благодаря этому в сравнительно небольших аппаратах удается разместить значительные теплообменные поверхности и осуществить почти полный теплообмен между заполняющими аппараты зернистыми материалами и продуваемыми через них газами.
Для нагревания топочными газами каких-либо других газов с помощью зернистых материалов могут быть применены установки двух типов: 1) с циркулирующим зернистым материалом, движущимся в- аппаратах сплошным потоком; 2) с циркулирующим зернистым материалом, который находится в аппаратах в псевдоожиженном состоянии.
Нагревательная установка с циркулирующим зернистым материалом, движущимся сплошным потоком, изображена на рис. 5. В футерованном огнеупорным кирпичом аппарате 5 находится зернистый материал. Через распределительное устройство 4 в аппарат из топки 3, работающей под давлением, поступают топочные газы. Устройство 4, выполненное, например, в виде нескольких перевернутых желобов, обеспечивает равномерное распределение потока топочных газов по сечению аппарата. Топочные газы, взаимодействуя противоточно с зернистым материалом, охлаждаются и выводятся через патрубок 9.
Зернистый материал поступает через патрубок 8 и движется в аппарате сплошным потоком по всему сечению, нагреваясь при этом топочными газами. Нагретый зернистый материал непрерывно выгружается через патрубок 10.
Аппарат 2 работает аналогично аппарату 5. В нем осуществляется нагревание технологических газов за счет взаимодействия с поступающим в верхнюю часть нагретым зернистым материалом. Охлажденный зернистый материал непрерывно отводится из аппарата 2 через патрубок II в загрузочное устройство 1 пневмотранспортной системы, куда воздуходувкой 12 подается транспортирующий газ. Последний подхватывает частицы зернистого материала и направляет их по пневмотранспортной трубе 7 в бункер-сепаратор 6. Здесь частицы осаждаются и пересыпаются в аппарат 5 а транспортирующий газ, освобожденный от твердых частиц, удаляется из аппарата.
Циркулирующий таким образом зернистый материал воспринимает тепло топочных газов в аппарате 5 и передает его нагреваемым технологическим газам в аппарате 2. Графики на рис. 5, построенные в координатах t— Н (температура— высота слоя зернистого материала), показывают характер изменения температур газов и зернистого материала в результате противоточного взаимодействия их. В аппарате 5 можно нагреть зернистый материал до температуры, на 5—10°С меньшей, чем температура поступающих в аппарат топочных газов, а в аппарате 2 можно нагреть технологические газы до температуры, на 5—10°Ñ меньшей, чем температура поступающего в аппарат зернистого материала. Работа этих аппаратов протекает в условиях, соответствующих условиям работы аппаратов идеального вытеснения. Температура нагретых в установке технологических газов лишь на 10—20 °С ниже температуры поступающих топочных газов.
Описанная установка может работать при скоростях газов в аппаратах 5 и 2, меньших, чем скорость псевдоожижения. Стремление повысить производительность установки увеличением скорости газов приводит к необходимости работать с частицами больших размеров (2--8 мм). Однако при этом уменьшается удельная поверхность зернистого материала и, следовательно, возрастают габариты аппаратуры. Кроме того, пневмотранспорт частиц больших размеров затруднителен и осуществляется при повышенных расходах транспортирующего газа.
НАГРЕВАНИЕ ЭЛЕКТРИЧЕСКИМ ТОКОМ
.В химической технике довольно широко применяют нагревание электрическим током в электропечах. При нагревании электротоком необходимо предусматривать меры, предотвращающие перегрев материала и обеспечивающие электро- и пожаробезопасность.
По способу превращения электрической энергии в тепловую различают электрические печи сопротивления, индукционные и дуговые. Электрические лечи сопротивления делятся на печи прямого действия и печи косвенного действия. Электрические печи прямого действия. В этих печах нагреваемое тело включается непосредственно в электрическую цепь и нагревается при прохождении через него электрического : тока. Часто печь прямого действия представляет собой аппарат, корпус которого является одним из электродов; другой электрод размещают в аппарате. Между электродами помечтают жидкие или расплавленные нагреваемые материалы.
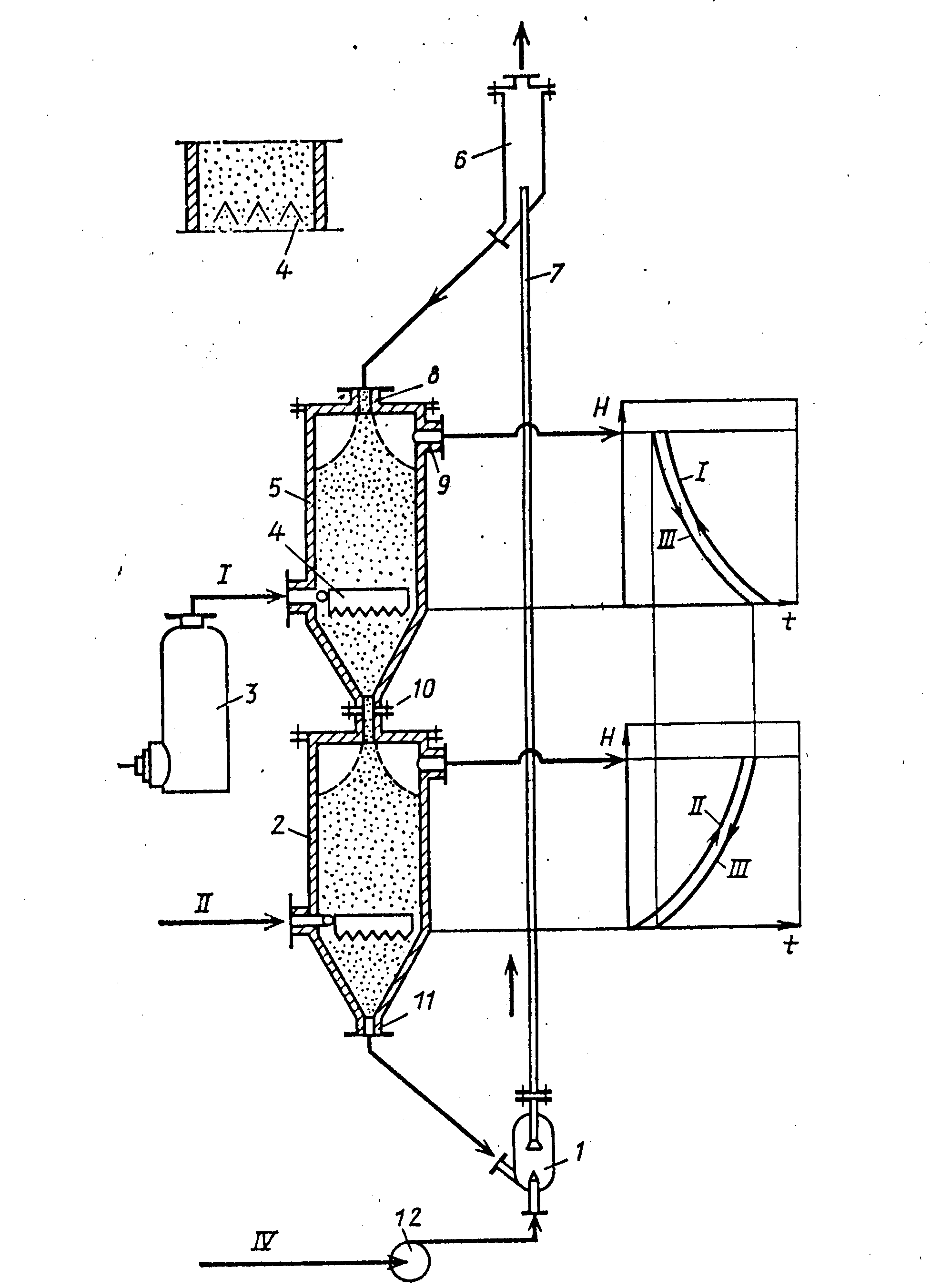
Электрические печи сопротивления косвенного действия получили большое распространение. В них тепло выделяется при прохождении электрического тока по специальным нагревательным элементам; выделяющееся тепло передается материалу лучеиспусканием, теплопроводностью и конвекцией. В таких печах осуществляется нагревание до температур 1000—1100°С. Схема такой печи показана на рис. 6. Футеровка печи 2 1:выполнена из огнеупорного кирпича. В пазах футеровки уложены спиральные нагревательные элементы 4, к которым подводится ток через электрошины 5, Тепло, выделяющееся при прохождении электрического тока через спиральные нагревательные элементы, передается обогреваемому аппарату 1 лучеиспусканием и конвекцией. Тепловая изоляция 3 уменьшает потери тепла в окружающую среду.
Нагревательные элементы печей изготовляют из проволоки либо из ленты нихрома (сплав, содержащий 20% Сг, 30—80% Ni и 0,5—50% Fe) или хроможелезоалюминиевых сплавов. Диаметр проволоки обычно 3—7 мм; в применяемых лентах отношение толщины к ширине 0,05—0,2.

Рис. 6. Элекрическая печь сопротивления косвенного действия: 1 —обогреваемый аппарат; 2— футеровка печи- 3—-тепловая изоляция; 4— спиральные нагревательные элементы; 5— выводные электрошины.
Количество тепла, которое необходимо подвести в процессе нагревания электрическим током, определяют из уравнениях теплового баланса:

где Q>э>—количество тепла, выделяющегося в нагревательном электрическом устройстве при прохождении электрического тока, кДж/ч; G—-количество перерабатываемого в обогреваемом аппарате продукта, кг/ч; с—теплоемкость перерабатываемого продукта, кДж/(кг-°С); t>н> и tк—соответственно-начальная и конечная температура перерабатываемого продукта, °С; Qп— потери тепла в окружающую среду, кДж/ч.
Отсюда

а мощность (в кВт) нагревательного электрического устройства

Электрические индукционные печи (рис. 7). Нагревание в этих печах осуществляется индукционными токами. Обогреваемый аппарат 1 является сердечником соленоида охватывающего аппарат. По соленоиду пропускают переменный ток, при этом вокруг соленоида возникает переменное магнитное поле, которое индуцирует в стенках обогреваемого аппарата электродвижущую силу. Под действием возникающего вторичного тока нагреваются стенки аппарата. Соленоид выполняется из медной или алюминиевой проволоки, имеющей малое осмическое сопротивление.
Диэлектрическое нагревание токами высокой частоты применяется при нагревании диэлектриков (пластмасс, резины, дерева и др.). Нагреваемое тело помещают между обкладками конденсатора. Под действием переменного электрического тока-молекулы диэлектрика колеблются со скоростью, соответствующей частоте электрического поля, при этом в результате внутреннего трения между молекулами выделяется тепло. Количество выделяющегося тепла пропорционально квадрату напряжения и частоте тока. Нагревание ведут обычно токами высокой частоты (0,5106—100106 Гц) при напряженности электрического поля 1000- -2000 В/см. Для получения токов высокой частоты пользуются ламповыми генераторами. Диэлектрическое нагревание отличается большими преимуществами: непосредственное выделение тепла во всей толщине нагреваемого материала (обеспечивающее равномерный прогрев обрабатываемого материала), большая скорость нагревания, возможность нагревания только отдельных частей материала, легкость регулирования процесса нагревания и возможность полной автоматизации его.
Дуговые печи. В дуговых печах применяется нагревание электрической дугой до температур 1500—1300 °С. Электрическая дуга возникает в. газообразной среде. В дуговых печах при возникающих больших температурных перепадах невозможны равномерный обогрев и точное регулирование температуры. Дуговые печи применяют для плавки металлов, получения карбида кальция и фосфора.

Рис. 7. Принципиальная схема электрической индукционной печи: 1 -обогреваемый аппарат; 2—-соленоид