Оптимизация источников финансирования приобретения полиграфического оборудования
МОСКОВСКИЙ ИНСТИТУТ ДЕЛОВОГО АДМИНИСТРИРОВАНИЯ
СТУДЕНТ ФИО
Оптимизация источников финансирования приобретения полиграфического оборудования на примере
ООО «Тонус»
Специальность – «Менеджмент»
Специализация – «Финансовый менеджмент»
ДИПЛОМНАЯ РАБОТА
Научный руководитель:
Москва, 2001
ОГЛАВЛЕНИЕ
Введение________________________________________________3
Глава 1. ИССЛЕДОВАТЕЛЬСКАЯ Лизинг как финансовый инструмент капитальных вложений___________________________6
Определение объекта исследования_____________________7
Сущность лизинга, его преимущества и недостатки________13
Анализ действующих методик расчета лизинговых платежей________________________________________________29
Глава 2. ПРОЕКТНАЯ Выбор оптимального источника финансирования покупки полиграфического оборудования ______41
2.1. Расчет лизинговых платежей на основе Методических рекомендаций Министерства экономики РФ___________________44
2.2. Обоснование расчета лизинговых платежей на основе теории финансовых рент_________________________________________50
Расчет выплат по кредиту и затрат на содержание оборудования____________________________________________59
Глава 3. ЭКОНОМИКО-ПРАВОВАЯ Правовые аспекты регулирования лизинговых операций в РФ_______________67
Глава 4. ЭКОНОМИКО-МАТЕМАТИЧЕСКАЯ Расчет лизинговых платежей на основе теории финансовых рент____________83
Заключение_____________________________________________90
Библиографический список используемой литературы____98
Введение
Потребности нашей страны в качественных полиграфических услугах огромны, и сегодня на российском рынке присутствует широкий спектр полиграфического оборудования. На протяжении последних лет активность потребителей полиграфического оборудования неуклонно растет, как за счет расширения рынка печатной продукции высокого полиграфического качества, так и за счет активизировавшегося рынка рекламных услуг.
Любое современное полиграфическое оборудование стоит очень дорого, не только печатающие машины (офсетные или флексографские), но и допечатное (фотонаборное) или послепечатное (брошюровальное) оборудование. Что касается флексографских машин, то их стоимость варьируется в пределах от нескольких десятков тысяч до 1,5 млн. долларов. Большинство представителей малого бизнеса не имеют достаточных средств и не могут использовать в производстве новое прогрессивное оборудование и технологии, не прибегая к привлечению кредитов.
Одним из наиболее эффективных способов привлечения необходимого инвестиционного капитала является аренда оборудования с правом последующего выкупа, называемая лизингом. Эту форму реализации продукции используют практически все поставщики полиграфического оборудования, поскольку во многих случаях это единственный способ реализации их продукции на российском рынке. Учитывая, что поставщик обычно производит установку оборудования, пуско-наладочные работы, обучает персонал, снабжает расходными материалами, лизинг становится наиболее эффективным механизмом взаимодействия лизинговой и производственных компаний.
На вторичном рынке спрос на подержанное оборудование также очень высок. При высоком уровне рентабельности (не ниже 20%) инвестиции за два-три года не только возвращаются, но и обеспечивается значительный рост самого предприятия.
Исследуемая фирма ООО «Тонус» занимается производством полиграфической продукции уже несколько лет. Постоянный спрос на печатную продукцию со стороны рекламных агентств, производителей товаров, организаторов выставок требует от фирмы более высокого качества оказываемых услуг и большей оперативности в выполнении заказов. Нехватка производственных мощностей может компенсироваться приобретением современного полиграфического оборудования.
В данный момент объект исследования ООО «Тонус» выбирает между двумя альтернативными вариантами приобретения необходимого оборудования: получение печатной машины в лизинг с правом последующего выкупа по остаточной стоимости и покупки за счет заемных средств (банковского кредита).
Основная цель данного исследования – выбрать наиболее оптимальный вариант покупки оборудования по источникам финансирования.
К задачам исследования относятся:
формулировка сущности лизинга, его преимуществ и недостатков, как для лизингополучателя, так и для лизингодателя;
определение состава участников лизинговой сделки, их прав и обязанностей;
проведение анализа действующих методик расчета лизинговых платежей, выбор наиболее эффективной из них;
расчет и сравнение затрат и выгод объекта исследования при получении оборудования в лизинг с последующим выкупом по остаточной стоимости и при покупке за счет кредита;
выбор наиболее выгодного варианта финансирования покупки оборудования.
Сложившаяся нестабильная ситуация в экономике инициирует поиск путей и способов использования лизинга как стимулятора производства. В этом плане положительный опыт использования лизинговых отношений в сфере товарного производства является весьма актуальным, имеющим определенное практическое значение.
МОСКОВСКИЙ ИНСТИТУТ ДЕЛОВОГО АДМИНИСТРИРОВАНИЯ
ГЛАВА 1. ИССЛЕДОВАТЕЛЬСКАЯ
Лизинг как финансовый инструмент капитальных вложений
Научный руководитель:
Москва, 2001
1.1. Определение объекта исследования
Фирма ООО «Тонус» в течение последних трех лет известна на рынке полиграфической продукции как представитель Тверской типографии в Московском регионе.
Исследуемая фирма находится в г.*****, где она аккумулирует и систематизирует заявки на полиграфические услуги. ООО «Тонус» арендует у типографии производственные помещения и оборудование, размещает многотиражные заказы: печать этикеток, брошюр, буклетов, календарей, наклеек и т.д. Также фирма самостоятельно выполняет небольшие заказы: изготовление визиток, допечатная подготовка, дизайн, верстка. Сфера сбыта компании не ограничивается Москвой и Подмосковьем, кроме того, она активно работает с регионами России.
Объемы производства постоянно растут, поэтому часто ощущается нехватка производственных мощностей и более современного оборудования. Потребность в листовой офсетной печатной машине стала более осознанной после коммерческого предложения дистрибьютора импортного полиграфического оборудования “H.G.S. Group”.
ООО «Тонус» предлагалось приобрести подержанную машину MAN ROLAND R - 202 TOB формата 52 х 74 см, с двумя печатными секциями планетарного построения, с низкостапельной приемкой, 1996 года выпуска.
Сейчас фирма стоит перед выбором: получить банковский кредит или заключить лизинговое соглашение с правом выкупа оборудования по остаточной стоимости.
Руководство фирмы не имеет опыта заключения лизинговых контрактов, поэтому необходимо определить насколько эффективен лизинг, определить его преимущества и недостатки, сравнить затраты и налоговые выгоды от использования банковского кредита и покупки оборудования на заемные средства.
Важнейшим условием для проведения сравнения является сохранение соответствия лизинга прямому кредитованию. На сегодняшний день лизинг является одним из основных финансовых инструментов, позволяющих осуществлять крупномасштабные капитальные вложения в развитие материально-технической базы любого производства, в том числе, полиграфического.
Кредитная структура лизингового проекта состоит из двух взаимосвязанных частей - кредита лизингодателю и непосредственно лизинга арендатору. Лизингодатель, выставляя арендные платежи против требований кредиторов, фактически является финансовым посредником. Реальным заемщиком при лизинге является арендатор. Именно он будет использовать приобретаемые активы в производственных целях для образования денежных потоков, чтобы выплатить долг по займу.
Главным отличием лизинговой схемы финансирования от прямого кредитования является наличие финансового посредника между банком и конечным заемщиком (арендатором), однако общепринятая практика кредитования здесь полностью сохраняется. При этом усложняется анализ проекта, поскольку приходится учитывать интересы как лизингодателя (заемщика банка), так и арендатора (конечного заемщика).
Сохранение достигнутого соответствия между лизингом и альтернативным ему займом является основой сравнения. Однако выполнение этого условия не достаточно для проведения анализа. Необходимо определить в каком смысле лизинг заменяет кредитное долговое обязательство. Лизинг заменяет долг в том смысле, что он оказывает такое же влияние на структуру капитала предприятия, что и заем.
Для каждого предприятия существует определенное соотношение собственных и заемных средств. Предприятия стремятся поддерживать выбранную структуру капитала во времени. Лизинг как бы не влияет на выбранную структуру капитала, предполагая 100-процентное финансирование и не требуя заемных средств.
С другой стороны, лизинговая задолженность - это тот же долг, только видоизмененный. И с этой точки зрения, для достижения выбранного соотношения в структуре капитала, как и при займе на покупку актива, предприятию требуется увеличить собственные средства. Лизинг в той же степени влияет на требуемую величину собственных средств, что и долг.
Лизинговая задолженность, обусловленная посленалоговым движением денежных средств по лизингу, полностью заменяет такое же долговое обязательство, вызванное посленалоговым движением денежных средств по кредитному соглашению.
Таким образом, сравнение лизинга с альтернативным ему займом производится на базе 1 : 1 (1 рубль лизинговой задолженности равен 1 рублю долговых обязательств), если предприятия не будут изменять выбранную структуру капитала, а будут стремиться поддерживать ее постоянной по времени.
Для качественного сравнения необходимо определить в какой степени лизинг заменяет долг в каждый момент времени. Лизинговая задолженность в одной и той же степени заменяет долговое обязательство независимо от изменений в структуре капитала. Если это так, то выбранная база для сравнения устанавливается единожды на весь срок лизинга и должна выдерживаться в каждом конкретном временном интервале.
Лизинг в одной и той же степени заменит долг во всей временной перспективе, если лизинговая задолженность будет равна кредитной задолженности в любой момент времени. Поэтому необходимо сравнивать лизинг с эквивалентным ему займом.
Эквивалентным считается заем, задолженность по которому соответствует лизинговой задолженности в каждый момент времени. Эквивалентный заем характерен такими же величинами денежных потоков, что и лизинг, однако сумма эквивалентного займа не соответствует сумме лизингового финансирования.
Сумма эквивалентного займа определяется стоимостью денежных потоков, равных, в свою очередь, лизинговым задолженностям в каждый момент времени. Метод прямого сравнения предполагает сравнение сумм лизингового финансирования и эквивалентного ему займа.
Лизинг приемлем, если он обеспечивает на начальном этапе большее финансирование, чем эквивалентный ему заем. Если же удается разработать такой график платежей по эквивалентному займу, при котором его начальное финансирование превышает лизинговое, то от лизинга следует отказаться в пользу кредита. С этой точки зрения эффективность лизинга должна проверяться не только в сравнении с каким-либо конкретным, альтернативным кредитным предложением, но и относительно эквивалентного ему (лизингу) займа.
Такой же результат, как и при методе прямого сравнения лизинга и эквивалентного ему займа, дает метод расчета чистой текущей стоимости лизинга по скорректированной ставке дисконтирования.
Скорректированная текущая стоимость лизинга равна чистой текущей стоимости по доступной стоимости капитала, сопряженной с текущей стоимостью побочного эффекта финансирования. Главный побочный эффект лизингового финансирования заключается в том, что лизинговая задолженность в определенной степени заменяет долг. Стоимость побочного эффекта лизингового финансирования равна чистой текущей стоимости посленалоговых денежных потоков эквивалентного займа
Известно, что лизинг обладает качественными преимуществами, которые зачастую не учитываются в анализе. Качественные характеристики лизинга представляются в виде преимуществ и недостатков и могут иметь решающее значение для принятия инвестиционного решения.
Сложность получения достоверной оценки стоимости лизинга, с учетом качественных преимуществ и недостатков, состоит в относительности получаемых результатов. Именно из-за разности подходов к оценке качественных преимуществ и недостатков возникают различия в оценке лизинга его участниками. На практике оценочные стоимости лизинга для арендатора и лизингодателя редко совпадают. Это несоответствие возникает в виду разнонаправленности интересов лизингодателей и арендаторов.
1.2. Сущность лизинга, его преимущества и недостатки
Лизинг - это вид предпринимательской деятельности, направленной на инвестирование временно свободных или привлеченных финансовых средств. По договору финансовой аренды (лизинга) арендодатель (лизингодатель) обязуется приобрести в собственность обусловленное договором имущество у определенного продавца и предоставить это имущество арендатору (лизингополучателю) во временное пользование (или с последующим выкупом) для предпринимательских целей по установленной ренте, выплачиваемой ежегодно, ежеквартально или ежемесячно.
Объектом лизинга может быть любое движимое и недвижимое имущество, относящееся по действующей классификации к основным средствам, кроме земельных участков и других природных объектов, а также объектов, запрещенных к свободному обращению на рынке.
Имущество, переданное в лизинг, в течение всего срока действия договора лизинга, является собственностью лизингодателя, за исключением имущества, приобретаемого за счет бюджетных средств.
Условия постановки лизингового имущества на баланс лизингодателя или лизингополучателя определяется по согласованию между сторонами договора лизинга. В договоре лизинга может быть предусмотрено право выкупа лизингового имущества лизингополучателем по истечении или до истечения срока договора.
С момента поставки лизингового имущества лизингополучателя к нему переходит право предъявления претензий продавцу в отношении качества, комплектности, сроков поставки имущества и других случаев ненадлежащего выполнения договора купли-продажи, заключенного между продавцом и лизингополучателем.

Рис. 1. Схема лизинговых взаимоотношений
Лизингополучатель обязан застраховать лизинговое имущество в страховой компании, указанной лизингодателем. Риск случайной порчи или гибели лизингового имущества переходит к лизингополучателю в момент передачи ему лизингового имущества, если иное не предусмотрено договором лизинга (рис. 1.).
Рынок лизинговых услуг характеризуется многообразием форм лизинга, моделей лизинговых контрактов и юридических норм, регулирующих лизинговые операции. При классификации видов лизинга, прежде всего выделяют признаки, которые характеризуют отношение к арендуемому имуществу (таблица 1).
Таблица 1. Классификация лизинговых операций
|
№ |
Признак классификации |
Виды лизинга |
|
1 |
Отношение к арендуемому имуществу |
Чистый Полный Частичный |
|
2 |
Тип финансирования |
Срочный Возобновляемый →Генеральный Леверидж-лизинг |
|
3 |
Состав участников |
Прямой → Возвратный Косвенный Раздельный |
|
4 |
Тип имущества |
Движимое имущество Недвижимость |
|
5 |
Степень окупаемости |
С полной окупаемостью С неполной окупаемостью |
|
6 |
Условия амортизации |
Финансовый Оперативный |
|
7 |
Сектор экономики |
Внутренний Внешний → экспортный → импортный |
|
8 |
Отношение к налоговым, амортизационным льготам |
С использованием Без использования |
|
9 |
Форма платежей |
Денежная Компенсационная Смешанная |
|
10 |
Метод начисления лизинговых платежей |
С фиксированной общей суммой Авансом С учетом выкупа по остаточной стоимости С учетом периодичности внесения С учетом срочности внесения С учетом способа уплаты |
Далее рассмотрим каждый признак классификации более подробно.
1. По отношению к арендуемому имуществу:
1.1. Чистый (net leasing), когда все расходы по обслуживанию имущества принимает на себя лизингополучатель. При этом лизингополучатель переводит лизингодателю чистые, или нетто, платежи. Большинство услуг на отечественном лизинговом рынке оборудования являются чистыми.
В связи с тем, что в России пока еще не сложился рынок лизинговых услуг и недостаточно лизинговых компаний, которые могли бы обеспечить качественное техническое обслуживание объектов, этот вид лизинга является наиболее распространенным. В отношениях “чистого лизинга” участвуют банки, страховые компании и иные финансовые организации, занимающиеся лизинговым бизнесом.
1.2. Полный или "мокрый" лизинг (wet leasing), когда лизингодатель принимает на себя все расходы по обслуживанию имущества. Его используют, как правило, сами изготовители оборудования. По стоимости полный лизинг один из самых дорогих, так как у лизингодателя увеличиваются расходы на техническое обслуживание, сопровождение квалифицированным персоналом, ремонт, поставку необходимого сырья и комплектующих изделий и др.
“Мокрый” лизинг (wet leasing) предполагает обязательное техническое обслуживание оборудования, его ремонт, страхование и другие операции, за которые несет ответственность лизингодатель. Кроме этих услуг, по желанию лизингополучателя лизингодатель может взять на себя обязанности по подготовке квалифицированного персонала, маркетингу, поставке сырья и др.
1.3. Частичный (с частичным набором услуг), когда на лизингодателя возлагаются лишь отдельные функции по обслуживанию имущества.
2. По типу финансирования:
2.1. Срочный, когда имеет место одноразовая аренда имущества.
2.2. Возобновляемый (револьверный), при котором после истечения первого срока договор лизинга продлевается на следующий период. При этом объекты лизинга через определенное время в зависимости от износа и по желанию лизингополучателя меняются на более совершенные образцы. Лизингополучатель принимает на себя все расходы по замене оборудования. Количество объектов лизинга и сроки их использования по возобновляемому лизингу заранее сторонами не оговариваются.
2.2.1. Генеральный - разновидность возобновляемого лизинга, который позволяет лизингополучателю дополнить список арендуемого оборудования без заключения новых контрактов. Это очень важно для предприятий с непрерывным производственным циклом и при жесткой контрактной кооперации с партнерами. Генеральный лизинг используется, когда требуется срочная поставка или замена уже полученного по лизингу оборудования, а времени, необходимого на проработку и заключение нового контракта, как правило, нет.
По условию соглашения в режиме генерального лизинга лизингополучателю достаточно направить лизингодателю запрос на поставку требуемого оборудования со ссылкой на согласованный перечень или каталог. В конце периода, на который заключено соглашение, производится перерасчет лизинговых платежей с учетом разновременности затрат лизингодателя и заключается новое соглашение.
2.3. Леверидж-лизинг (кредитный, паевой, раздельный) (leveraged lease) или лизинг с дополнительным привлечением средств наиболее сложный, так как связан с многоканальным финансированием и используется, как правило, для реализации дорогостоящих проектов.
Отличительной чертой этого вида лизинга является то, что лизингодатель, покупая оборудование, выплачивает из своих средств не всю его сумму, а только часть. Остальную сумму он берет в ссуду у одного или нескольких кредиторов. При этом лизинговая компания продолжает пользоваться всеми налоговыми льготами, которые рассчитываются из полной стоимости имущества.
Другой особенностью этого вида лизинга является то, что лизингодатель берет ссуду на определенных условиях, которые не очень характерны для отечественных финансово-кредитных отношений. Кредит берется без права обращения иска на активы лизингодателя. Поэтому, как правило, лизингодатель оформляет в пользу кредиторов залог на имущество до погашения займа и уступает им права на получение части лизинговых платежей в счет погашения ссуды.
Таким образом, основной риск по сделке несут кредиторы – банки, страховые компании, инвестиционные фонды или другие финансовые учреждения, а обеспечением возврата ссуды служат только лизинговые платежи и сдаваемое в лизинг имущество.
3. В зависимости от состава участников сделки:
3.1. Прямой лизинг, при котором собственник имущества (поставщик) самостоятельно сдает объект в лизинг (двухсторонняя сделка). По сути, эту сделку нельзя назвать классической лизинговой сделкой, так как в ней не участвует лизинговая компания.
3.1.1. Возвратный лизинг - одна из форм прямого лизинга (sale and leaseback arrangement). Это система взаимосвязанных соглашений, при которой фирма – собственник зданий, сооружений или оборудования продает эту собственность финансовому институту (банку, страховой компании, инвестиционному фонду) с одновременным оформлением соглашения о долгосрочной аренде своей бывшей собственности на условиях лизинга.
Возвратный лизинг выступает в данном случае как альтернатива залоговой операции, причем продавец собственности, который в результате сделки становится ее арендатором, немедленно получает в свое распоряжение от покупателя взаимно согласованную сумму сделки купли-продажи, а покупатель продолжает участвовать в этой операции, но уже в качестве арендодателя.
Возвратный лизинг необходим, прежде всего, для тех хозяйствующих субъектов, которым срочно требуются значительные объемы оборотных средств. Важным преимуществом возвратного лизинга является использование уже находящегося в эксплуатации оборудования в качестве источника финансирования строящихся новых объектов с вытекающей из этого возможностью использовать налоговые льготы, предоставляемые для участников лизинговых операций.
Возвратный лизинг дает возможность рефинансировать капитальные вложения с меньшими затратами, чем при привлечении банковских ссуд, особенно если платежеспособность предприятия ставится кредитующими организациями под сомнение ввиду неблагоприятного соотношения между его уставным капиталом и заемными фондами. При возвратном лизинге арендная плата устанавливается по следующей схеме: сумма платежей должна быть достаточной для полного возмещения инвестору всей суммы, которая была выплачена им при покупке, и плюс к этому обеспечивать среднюю норму прибыли на инвестированный капитал.
3.2. Косвенный лизинг, когда передача имущества в лизинг происходит через посредника. Такого рода сделка схожа с классической лизинговой операцией, так как в ней участвуют поставщик, лизингодатель и лизингополучатель, причем каждый из них выступает самостоятельно.
3.3. Раздельный лизинг (лизинг с участием множества сторон) – (leveraged leasing) Этот вид лизинга распространен как форма финансирования сложных, крупномасштабных объектов, таких, как авиатехника, морские и речные суда, железнодорожный и подвижной состав, буровые платформы и т.п.
4. По типу имущества:
4.1. Лизинг движимого имущества (оборудование, техника, автомобили, суда, самолеты и т.п.), в том числе нового и бывшего в употреблении.
4.2. Лизинг недвижимости (здания, сооружения).
5. По степени окупаемости имущества:
5.1. Лизинг с полной окупаемостью (или близкой к полной), когда в течение срока действия лизингового договора происходит полная или близкая к полной амортизация имущества и, соответственно, выплата лизингодателю стоимости имущества.
5.2. Лизинг с неполной окупаемостью, при котором в течение срока действия одного лизингового договора происходит частичная амортизация имущества и окупается только часть ее.
6. В соответствии с условиями амортизации имущества:
6.1. Финансовый (капитальный, прямой) лизинг (financial, capital leases) представляет собой взаимоотношения партнеров, предусматривающие в течение периода действия соглашения между ними выплату лизинговых платежей, покрывающих полную стоимость амортизации оборудования или большую его часть, дополнительные издержки и прибыль лизингодателя. Данный вид лизинга характеризуется следующими основными чертами:
участие кроме лизингодателя и лизингополучателя третьей стороны (производителя или поставщика объекта сделки);
невозможность расторжения договора в течение основного срока аренды, то есть срока, необходимого для возмещения расходов арендодателя;
продолжительный период лизингового соглашения (обычно близкий к сроку службы объекта сделки).
риск случайной гибели и порчи имущества переходит к лизингополучателю после подписания акта приемки-передачи имущества и сдачи его в эксплуатацию.
После завершения срока лизингового соглашения (договора) лизингополучатель может купить объект сделки по остаточной (а не по рыночной) стоимости; заключить новый договор на меньший срок и по льготной ставке; вернуть объект сделки лизинговой компании. Если в договоре предусматривается соглашение (опцион) на покупку предмета сделки, стороны заранее определяют остаточную стоимость объекта, сдаваемого в лизинг.
6.2. Оперативный (сервисный) лизинг (service, operating leases) представляет собой арендные отношения, при которых расходы лизингодателя, связанные с приобретением и содержанием сдаваемых в аренду предметов, не покрываются арендными платежами в течение одного лизингового контракта. Заключается он, как правило, на 2 – 5 лет. По окончании оперативного лизингового договора лизингополучатель имеет право: продлить срок договора на более выгодных условиях; вернуть оборудование лизингодателю; купить оборудование у лизингодателя при наличии соглашения (опциона) на покупку по рыночной стоимости.
Для оперативного лизинга характерны следующие признаки:
срок договора лизинга значительно меньше нормативного срока службы имущества, вследствие чего лизингодатель не рассчитывает возместить стоимость имущества за счет поступлений от одного договора;
имущество в лизинг сдается многократно;
в лизинг сдается не специально приобретаемое по заявке лизингополучателя имущество, а имеющееся в лизинговой компании. В связи с этим лизинговые компании, специализирующиеся на оперативном лизинге, должны хорошо знать конъюнктуру рынка лизингового имущества – как нового, так и бывшего в употреблении;
обязанности по техническому обслуживанию, ремонту, страхованию лежат на лизинговой компании;
лизингополучатель может расторгнуть договор, если имущество в силу непредвиденных обстоятельств окажется в состоянии, непригодном для использования;
риск случайной гибели, утраты, порчи лизингового имущества лежит на лизингодателе;
размеры лизинговых платежей при оперативном лизинге выше, чем при финансовом лизинге, поскольку лизингодатель должен учитывать дополнительные риски, связанные, например, с отсутствием клиентов для повторной сдачи имущества, возможной порчей или гибелью имущества.
В области лизинга полиграфического оборудования оперативный лизинг может эффективно применяться в тех случаях, когда это оборудование необходимо типографии на короткий срок. Типичным примеров такой ситуации является предвыборная кампания, длящаяся несколько месяцев и требующая выполнения большого объема полиграфических работ. После окончания предвыборной кампании потребность в мощном полиграфическом оборудовании может отпасть, тогда, согласно договору оперативного лизинга, оно возвращается лизингодателю.
Если финансовый лизинг по своей экономической сущности можно сравнить с долгосрочным финансированием капитальных вложений, то при оперативном лизинге арендные платежи сравнимы с текущими оперативными расходами.
Формирование и развитие данного вида лизинга становится возможным с появлением вторичного рынка лизингового оборудования, поскольку у арендодателя появляется проблема реализации имущества по окончании срока лизинга. Эта новая проблема вызывает необходимость работы в области управления имуществом и перепродажи имущества, вернувшегося к лизингодателю.
Лизингодатель вынужден сдавать лизинговое оборудование во временное пользование несколько раз и для него возрастает риск по возмещению остаточной стоимости объекта лизинга при отсутствии спроса на него. Рост рынка оперативной аренды вызван тем, что арендодатели ищут новых возможностей в области внебалансового финансирования, защиты против рисков, связанных с остаточной стоимостью и уменьшением периодических платежей. Арендодатели под давлением конкуренции вынуждены рассчитывать объемы платежей на базе прибыли после налогообложения и переносить налоговые льготы владения имуществом на арендатора в форме уменьшения лизинговых платежей.
7. По сектору рынка, где проводятся лизинговые операции:
7.1. Внутренний лизинг, когда все участники сделки представляют одну страну.
7.2. Внешний (международный) лизинг – к нему относятся сделки, в которых хотя бы одна из сторон принадлежит разным странам. К этому же виду лизинга относят и сделки, проводимые лизингодателем и лизингополучателем одной страны, если хотя бы одна из сторон ведет свою деятельность и имеет капитал совместно с зарубежной фирмой. Внешний лизинг, в свою очередь, подразделяется на:
7.2.1. импортный, когда зарубежной стороной является лизингодатель;
7.2.2. экспортный, когда зарубежной стороной является лизингополучатель.
8. По отношению к налоговым, амортизационным льготам: с использованием и без использования.
9. По форме расчетов между лизингодателем и лизингополучателем:
9.1. Денежные, когда все платежи производятся в денежной форме
9.2. Компенсационные, когда платежи осуществляются в форме поставки товаров, произведенных на сданном в лизинг оборудовании или путем зачета услуг, оказываемых друг другу лизингополучателем и лизингодателем;
9.3.Смешанные, когда применяются обе указанные формы платежа.
10. Состав учитываемых элементов платежа (амортизация, дополнительные услуги, лизинговая маржа, страхование и т.д.);
11. Применяемого метода начисления:
с фиксированной общей суммой;
авансом (депозитом);
с учетом выкупа имущества по остаточной стоимости;
с учетом периодичности внесения (ежегодные, полугодичные, ежеквартальные, ежемесячные);
с учетом срочности внесения (в начале, середине или в конце периода платежа);
с учетом способа уплаты: равномерными равными долями; с увеличивающимися и уменьшающимися размерами (в зависимости от финансового состояния лизингополучателя и условий договора).
Таким образом, формы лизинга разнообразны и каждая из них имеет свои преимущества и недостатки для субъектов лизинговой сделки (таблица 2.)
Таблица 2. Преимущества и недостатки лизинговых операций
|
Субъект лизинга |
Преимущества |
|
Арендатор |
• 100% финансирование и не требует быстрого возврата всей суммы долга; |
|
• Финансирование в точном соответствии с потребностями в финансируемых активах; |
|
|
• Вопросы приобретения и финансирования активов решаются одновременно; |
|
|
• Способствует большей мобильности при инвестиционном и финансовом планировании; |
|
|
• Лизинговые платежи учитываются в себестоимости, то есть средства на их уплату формируются до образования налогооблагаемой прибыли; |
|
|
• Не увеличивает долг в балансе арендатора и не затрагивает соотношений собственных и заемных средств; |
|
|
• Учет и амортизация лизингового имущества чаще всего производится на балансе лизингодателя; |
|
|
• Позволяет арендатору, не имеющему значительных финансовых ресурсов, начать крупный проект; |
|
|
Лизинговые компании |
• Право собственности на передаваемое в лизинг имущество дает существенные налоговые льготы; |
|
• Возможность использования имущество в непроизводственных целях (в качестве дополнительного обеспечения возвратности кредитных средств); |
|
|
• Высокая ликвидационная стоимость после ускоренной амортизации предмета лизинга; |
|
|
• Инвестиции в форме имущества, в отличие от денежного кредита, снижают риск невозврата средств, |
|
|
• Получение комиссионного вознаграждения лизингодателя |
|
|
• Инвестиции в производственное оборудование посредством лизинга гарантируют получение дохода, покрывающего обязательства по лизингу. |
|
|
Продавец лизингового имущества |
•дополнительные возможности сбыта своей продукции; |
|
• продавец почти не рискует, так как лизингодатель берет на себя риск возврата стоимости имущества через лизинговые платежи. |
Продолжение таблицы 2
|
Недостатки |
|
• При финансовом лизинге арендные платежи не прекращаются до конца контракта, даже если научно-технический прогресс делает лизинговое имущество устаревшим; |
|
• Возвратный международный лизинг, построенный на налоговой основе, оборачивается убытками для страны лизингодателя; |
|
• При международных мультивалютных лизинговых сделках отсутствуют полные гарантии от валютных рисков (проблема переносится с одного участника на другого). |
|
• В случае выхода оборудования из строя, платежи производятся в установленные сроки, независимо от состояния оборудования. |
|
• От долгосрочного кредита лизинг отличается повышенной сложностью организации, которая заключается в большем количестве участников. |
|
• Арендатор не выигрывает на повышении остаточной стоимости имущества (например, за счет инфляции). |
Анализ действующих методик расчета лизинговых платежей
Финансово - экономическая оценка инвестиционных проектов занимает центральное место в процессе обоснования и выбора возможных вариантов вложения денежных средств в операции с реальными активами. Поскольку лизинг является одной из форм инвестиционной деятельности, то известные и общепринятые экономические методы оценки инвестиций применимы в анализе и планировании лизингового процесса.
Лизинг, как форма инвестиций имеет свои особенности и поэтому, специально для организации и проведения лизинга разработаны разнообразные методики:
1. Методика расчета общей суммы платежей и составления графика их выплат;
Методические рекомендации по расчету лизинговых платежей разработанные Министерством экономики РФ и предназначенные для расчетов платежей финансового лизинга, 1996 г;
Методика определения лизинговых платежей в условиях гиперинфляции;
Метод расчета платежей по лизингу, обеспечивающий безубыточность деятельности лизингодателя;
Метод финансовых рент;
Метод ПДС (потока денежных средств);
Рассмотрим особенности каждой из перечисленных методик
1. Методика расчета общей суммы платежей и составления графика их выплат
Данная методика была разработана одной из самых первых и впервые опубликована в 1994 г. По этой методике в основу лизинговых платежей заложены амортизационные отчисления, плата за используемые ресурсы, комиссионные выплаты и платежи за дополнительные услуги лизингодателя.
Считалось, что данная методика приемлема для расчетов как финансового, так и оперативного лизинга. Для финансового лизинга в ней приводится вариант расчета остаточной стоимости лизингового имущества по окончании срока лизинга, а также суммы досрочного закрытия сделки. В сумму досрочного закрытия сделки финансового лизинга включаются три составляющих:
вся невыплаченная по лизинговому соглашению сумма лизинговых платежей;
остаточная стоимость имущества на момент окончания срока лизинга;
неустойка, рассчитываемая как среднегодовая стоимость имущества за период с момента прекращения действия лизингового соглашения до полной амортизации оборудования, умноженная на сумму ставки за пользование кредитными ресурсами и ставки комиссионного вознаграждения, которые выражены в процентах.
Достоинством методики можно считать возможность расчета стоимости лизинга в любой момент действия лизингового соглашения. Процентное выражение платы за кредитные ресурсы и ставки комиссионного вознаграждения обеспечивает равнодолевое распределение их стоимостей на все лизинговые платежи.
Такой метод расчета суммы досрочного закрытия сделки финансового лизинга дается через определение стоимости лизинга на данный момент действия лизингового соглашения. Именно этот подход в определении величины лизинговых платежей стал основой для Методических рекомендаций Минэкономики РФ.
2. Методические рекомендации по расчету лизинговых платежей Министерства экономики РФ
Методические рекомендации предназначены для расчетов платежей финансового лизинга, но предполагают иной алгоритм расчета, чем приведенный в первой методике, а именно: расчет общей суммы лизинговых платежей производится по годам.
Алгоритм расчета строится на том, что с уменьшением задолженности по кредиту, получаемому лизингодателем для приобретения имущества, уменьшается размер платы за используемые кредиты. Если ставка комиссионного вознаграждения лизингодателя устанавливается в процентах к остаточной стоимости имущества, то размер комиссионного вознаграждения также будет уменьшаться. Считается целесообразным осуществлять расчет лизинговых платежей в следующей последовательности:
рассчитываются размеры лизинговых платежей по годам, охватываемым договором лизинга;
рассчитывается общий размер лизинговых платежей за весь срок договора лизинга как сумма платежей по годам;
рассчитываются размеры лизинговых взносов в соответствии с выбранной сторонами периодичностью взносов, а также согласованными ими методами начисления и способов уплаты.
Общая сумма лизинговых платежей по годам включает:
величину амортизационных отчислений, причитающихся лизингодателю в текущем году;
плату за кредитные ресурсы, используемые лизингодателем для приобретения имущества;
комиссионное вознаграждение лизингодателя;
плату лизингодателю за дополнительные услуги, предусмотренные договором лизинга;
налог на добавленную стоимость, уплачиваемый лизингополучателем по услугам лизингодателя.
Методика предусматривает возможность выбора способа уплаты лизинговых платежей:
метод "с фиксированной общей суммой", предполагающий начисление общий суммы платежей равными долями в течение всего срока лизинга;
метод "с использованием аванса", предполагающий уплату лизингодателю аванса при заключении лизингового договора;
метод "минимальных платежей", по которому в общую сумму лизинговых платежей включаются сумма амортизации лизингового имущества, плата за используемые лизингодателем заемные средства, комиссионное вознаграждение и плата за дополнительные услуги лизингодателя.
Методические рекомендации Министерства экономики РФ предполагают расчет лизинговых платежей на основании калькуляции затрат лизингодателя. Однако, приемлемость лизинга для арендатора, по-прежнему, не принимается в расчет. Другие отечественные методики в явной или скрытой форме основаны на методике Минэкономики РФ.
3. Методика определения лизинговых платежей в условиях гиперинфляции
Данная методика основана на традиционном подходе к определению стоимости лизинга через калькуляцию затрат лизингодателя. Стоимость лизинга складывается из суммы амортизационных отчислений, платы за используемые кредитные ресурсы, комиссионных выплат, платежей за дополнительные услуги по лизингу и начисленного на эти суммы налога на добавленную стоимость Суммарная стоимость лизинга составляет:
Рl = Ра + Рк + Рi + Рu + Рn (1),
где Рl - суммарная стоимость лизинга;
Ра - величина амортизационных отчислений;
Рк - плата за используемые кредитные ресурсы;
Рi - размер комиссионных выплат лизингодателю;
Рu - дополнительные расходы лизингодателя;
Рn - величина налога на добавленную стоимость.
Авторы методики определения лизинговых платежей в условиях гиперинфляции считают, что необходимо иметь в виду следующее:
первоначальную стоимость лизинга можно считать близкой к его общей стоимости только в условиях стабильной экономики;
если рассматривать величины платы за кредит и комиссионного вознаграждения лизингодателя, как составляющие первоначальной стоимости лизинга, то необходимо установить соответствующие им равные таксы интересов лизингодателя и лизингополучателя.
Определение объемов лизинговых платежей в зависимости от стратегии лизинговых выплат предполагает применение метода расчета дисконтированных денежных потоков. То есть, будущие арендные (лизинговые) платежи рассчитываются с учетом инфляционных ожиданий в будущие периоды времени. Коэффициент дисконтирования представляется как "значение инфляционных коэффициентов". Ставка дисконтирования берется на уровне ставки рефинансирования, устанавливаемой Центральным банком. Если стратегия лизинговых платежей (доли от полной стоимости лизинга, уплачиваемые в определенный момент времени) задана, то данная методика позволяет определить величину лизинговых платежей в каждый момент времени и суммарную стоимость лизинга.
Искомые величины получают в зависимости от:
балансовой стоимости сдаваемого в лизинг оборудования;
срока полной амортизации оборудования;
срока лизинга;
ставки выплаты за кредит;
ставки комиссионного вознаграждения лизингодателя;
ставки налога на добавленную стоимость;
ставки дополнительных услуг, предоставляемых лизингодателем;
уровня инфляции;
стратегии лизинговых платежей.
Важным достоинством методики является возможность использования полученных результатов для выбора оптимальной стратегии расчета лизинговых платежей для лизингодателя и лизингополучателя.
4. Метод расчета платежей по лизингу, обеспечивающий безубыточность деятельности лизингодателя
Метод построен на определении размера лизинговых платежей на основе формулы аннуитетов, выражающей взаимосвязанное действие на их величину всех условий лизингового соглашения. Зарубежные специалисты применяют методику расчета лизинговых платежей почти идентичную приведенной методике. Формула расчета лизинговых платежей в соответствии с этой методикой имеет следующий первоначальный вид:
Sлп = С * _____Лпр__________ (2) ,
(1-[(1 + Лпр)(- Тr) ]) * Tr
где Sлп - сумма лизинговых платежей;
Т - срок договора;
Лпр - ставка лизингового процента в расчете на продолжительность периода платежей;
r - периодичность лизинговых платежей (количество в год);
С - стоимость лизингового имущества.
Для определения суммы лизинговых платежей, скорректированной на величину предполагаемой остаточной стоимости, применяется формула дисконтированного множителя:
Кост = _____1______________ (3) ,
(1 - d ост *[(1 + Лир)( - Tr)])
где d ост. - доля остаточной стоимости;
Кост - корректировка на остаточную стоимость.
Если в лизинговом соглашении есть авансовый платеж, учитываемый в начале процентного периода, то в расчет суммы платежа вносится дополнительная корректировка:
Кав = ______1______ (4),
(1 + Лпр)
где Кав - корректировка на авансовый платеж.
В окончательном виде сумма лизингового платежа, внесенного в лизинговое соглашение, будет равна:
Sлп = С * _________Лпр__________________ (5)
(1-[(1 + Лпр)(- Тr) ]) * Tr * Кост * Кав
В целях учета расходов лизингодателя и расчета лизинговых платежей, обеспечивающих безубыточность его деятельности, формулируется перечень расходов состоящих из инвестиционных и текущих затрат, а также расходов по обслуживанию кредита лизингодателя на приобретение предмета лизинга.
Под инвестиционными затратами понимаются: стоимость предмета лизинга, расходы по таможенным процедурам предмета лизинга, комиссионное вознаграждение торгового агента, расходы, связанные с транспортировкой предмета лизинга, расходы по хранению предметов лизинга до момента их ввода в эксплуатацию, расходы по установке и монтажу, расходы по обучению персонала и др.
Полная стоимость лизингового имущества рассчитывается с учетом всех инвестиционных затрат и НДС. Под текущими расходами понимаются расходы лизингодателя в течение срока договора лизинга, связанные с выполнением этого договора.
Описываемый метод расчета платежей по лизингу базируется на следующей группировке текущих расходов:
эксплуатационные затраты;
налоги, включаемые в состав затрат;
налоги, относимые на финансовые результаты.
При обосновании объемов лизинговых платежей учитывается ряд специфических параметров лизингового договора:
доля авансового платежа;
срок договора;
периодичность лизинговых платежей;
годовая норма амортизационных отчислений;
коэффициент ускорения амортизации.
Чистый доход - ключевой показатель предлагаемого метода. Положительное значение этого показателя обеспечивает безубыточность деятельности лизингодателя.
Основным соотношением метода безубыточности является следующее равенство:
Чд = Пч + А + В (6),
где Дч - чистый доход;
Пд - чистая прибыль лизингодателя;
А - амортизационные отчисления;
В - выплаты по кредиту.
Расчеты могут выполняться как на весь срок лизинга, так и на отдельные временные интервалы. Данные метод обосновывает безубыточность лизинга для лизингодателя, но эффективность лизинга для арендатора не принимается в расчет.
5. Метод финансовых рент
В экономической теории, метод финансовых рент основан на равенстве начальной суммы инвестирования и суммарной текущей стоимости последующих платежей. Стандартная формула для расчета текущей стоимости накоплений отражает результаты инвестирования одной денежной единицы в конце каждого периода (амортизация единицы):
С = _______r______ (7),
1 - ___1____
(1+r)n
где С - текущая стоимость;
r - ставка дисконтирования в долях единицы на период времени (одинаковая для всех периодов времени);
n - количество выплат.
Необходимо умножить на полученный коэффициент начальную сумму инвестирования, что бы получить величину каждого из будущих равных платежей, за весь период инвестиций.
6. Метод ПДС (потока денежных средств)
Для определения, достаточно ли денежных поступлений от лизинговых платежей для покрытия расходов, лизинговые компании обязательно должны проводить дополнительные расчеты, при этом принимаются в расчет только расходы, которые лизинговая компания будет нести в определенный период лизингового соглашения и комиссионное вознаграждение, добавляемое лизинговой компанией. Доходы и расходы лизинговой компании от иной, не лизинговой деятельности не принимаются в расчет. Поэтому, в действительности, метод ПДС имеет такую же основу, что и методика Минэкономики РФ.
Есть, однако, отличия метода ПДС (потока денежных средств) от метода составляющих (методика Минэкономики). Основная составляющая лизингового платежа - выплаты по банковскому кредиту, взятому для осуществления сделки (как процентов, так и основной суммы долга). Предполагается, что сумма кредитного финансирования равна стоимости передаваемого в лизинг имущества. Это график погашения кредита (равные выплаты, включающие погашение части основного долга и проценты на непогашенную часть). Формула для расчета такого графика соответствует (7).
Необходимо умножить на полученный коэффициент начальную сумму кредитного финансирования, чтобы получить величину каждого из будущих равных платежей по кредиту (включающих погашение части основного долга и проценты на непогашенную часть), за весь период кредитования. Проценты начисляются на не погашенную часть кредита и
их денежное выражение вычитается из величины полного платежа каждого периода, получая, таким образом, суммы погашения основного долга в каждом периоде времени. Далее необходимо прибавить к равным в каждом периоде времени суммам выплат по кредиту денежное выражение маржи лизингодателя и налога на имущество.
Особенность метода состоит в том, что лизинговая компания не испытывает трудности с выплатой кредита и больше при этом платит налогов, так как лизинговые платежи полностью покрывают эти расходы и демонстрируют большой доход.
Таким образом, существуют разнообразные методики для расчета лизинговых платежей. В проектной главе данной дипломной работы подробнее рассмотрены и произведены расчеты лизинговых платежей в соответствии с Методическими рекомендациями Минэкономики РФ и методом финансовых рент.
МОСКОВСКИЙ ИНСТИТУТ ДЕЛОВОГО АДМИНИСТРИРОВАНИЯ
ГЛАВА 2. ПРОЕКТНАЯ
Выбор оптимального источника финансирования покупки полиграфического оборудования
Научный руководитель:
Москва, 2001
В этой главе будут рассмотрены и сравнены два варианта расчета лизинговых платежей при получении оборудования в лизинг с вариантом покупки полиграфического оборудования за счет кредита.
Одним из наиболее сложных элементов проектирования лизинговой сделки и подготовки лизингового договора является определение суммы лизингового платежа. В исследовательской части дипломной работы были рассмотрены несколько методик определения потока лизинговых платежей. В проектной части дипломной работы предоставляется расчет лизинговых платежей на основе Методических рекомендаций Министерства экономики РФ и метода финансовых рент, а также осуществляется выбор наиболее оптимального варианта.
Выбор данных методик обусловлен тем, что на практике большинство лизинговых компаний руководствуются Методическими рекомендациями и применяют их при расчете суммы лизинговых платежей. Метод финансовых рент позволяет определить текущую стоимость платежей в любой момент времени, а также выбрать наиболее эффективный способ их уплаты (в конце или начале периода).
Фирма “H.G.S. Group” определила стоимость оборудования в 283 200 DM, включая его монтаж и доставку. Срок договора составляет 3,5 года. Расчеты лизинговых платежей осуществляются в немецких марках, оплата в рублях по курсу ЦБ. Стороны используют механизм ускоренной амортизации. Исходные данные для расчетов приведены таблице 3.
Таблица 3. Исходные данные для расчета лизинговых платежей
|
№ п/п |
Показатель |
Значение |
|
1 |
Стоимость оборудования без НДС (балансовая стоимость) |
236 000 DM |
|
2 |
Сумма НДС |
47 200 DM |
|
3 |
Срок лизинга, лет |
3,5 |
|
4 |
Амортизационные отчисления, в год |
9% |
|
5 |
Коэффициент ускоренной амортизации |
3 |
|
6 |
Ставка комиссионного вознаграждения, годовых |
10% |
|
7 |
Ставка по кредиту в иностранной валюте, годовых |
18% |
|
8 |
Плата за кредитные ресурсы |
18% |
|
9 |
Дополнительные услуги лизингодателя, в т.ч.: |
672 DM |
|
• консалтинговые услуги по эксплуатации оборудования; |
235 DM |
|
|
• командировочные расходы; |
132 DM |
|
|
• обучение персонала |
305 DM |
|
|
10 |
Налог на имущество |
2% |
|
11 |
Налог на прибыль |
35% |
|
12 |
Периодичность уплаты лизинговых платежей |
ежеквартально |
2.1. Расчет лизинговых платежей на основе Методических рекомендаций Министерства экономики РФ
В лизинговые платежи включаются: амортизация лизингового имущества за весь срок действия договора лизинга, компенсация платы лизингодателя за использованные им заемные средства, комиссионное вознаграждение, плату за дополнительные услуги лизингодателя, предусмотренные договором лизинга, а также стоимость выкупаемого имущества, если договором предусмотрен выкуп и порядок выплат указанной стоимости в виде долей в составе лизинговых платежей. Лизинговые платежи уплачиваются в виде отдельных взносов.
При заключении договора стороны устанавливают общую сумму лизинговых платежей, форму, метод начисления, периодичность уплаты взносов, а также способы их уплаты.
Алгоритм расчета лизинговых платежей выглядит следующим образом:
1. Расчет общей суммы лизинговых платежей осуществляется по формуле (1), приведенной в Главе 1.
2. Амортизационные отчисления рассчитываются по формуле (8):
|
АО = БС * На 100 |
(8), |
где БС – балансовая стоимость имущества, руб.;
На – норма амортизационных отчислений, %;
Балансовая стоимость имущества определяется в порядке, предусмотренном действующими правилами бухгалтерского учета.
Норма амортизационных отчислений принимается в соответствии с "Едиными нормами амортизационных отчислений на полное восстановление основных фондов народного хозяйства СССР", утвержденными Постановлением СМ СССР от 22.10.90. В соответствии со ст. 31 закона "О лизинге", стороны договора лизинга по взаимному соглашению вправе применить механизм ускоренной амортизации с коэффициентом не выше 3.
3. Расчет платы за используемые кредитные ресурсы осуществляется по формуле (9):
|
ПК = КР * СТк 100 |
(9), |
где ПК – плата за используемые кредитные ресурсы, руб.;
СТк – ставка за кредит (годовой).
При этом имеется в виду, что в каждом расчетном году плата за используемые кредитные ресурсы соотносится со среднегодовой суммой непогашенного кредита в этом году или среднегодовой остаточной стоимостью имущества – предмета договора:
|
КРt = Q * (ОСн + OCк) 2 |
(10), |
где КРt – кредитные ресурсы, используемые на приобретение имущества, плата за которые осуществляется в расчетном году, руб.;
OCн и OCк – расчетная остаточная стоимость имущества соответственно на начало и конец года, руб.;
Q – коэффициент, учитывающий долю заемных средств в общей стоимости приобретаемого имущества. Если для приобретения имущества используются только заемные средства, коэффициент Q = 1.
4. Расчет комиссионного вознаграждения лизингодателю
Комиссионное вознаграждение может устанавливаться по соглашению сторон в процентах:
а) от балансовой стоимости имущества – предмета договора;
б) от среднегодовой остаточной стоимости имущества.
В соответствии с этим расчет комиссионного вознаграждения осуществляется по формуле (11) или (12):
|
КВt = p * БС |
(11) , |
где p – ставка комиссионного вознаграждения, процентов годовых от балансовой стоимости имущества;
БС – балансовая стоимость имущества;
или по формуле:
|
КВt = (ОСн + Оск) * СТв 2 * 100 |
(12) , |
где ОСн и ОСк – расчетная остаточная стоимость имущества соответственно на начало и конец года, руб.;
Ств – ставка комиссионного вознаграждения, устанавливаемая в процентах от среднегодовой остаточной стоимости имущества – предмета договора.
5. Расчет платы за дополнительные услуги лизингодателя, предусмотренные договором лизинга осуществляется по формуле (13):
|
ДУт = (P1 + P2 + ... Pn) T |
(13), |
где ДУт – плата за дополнительные услуги в расчетном году, руб.;
Р1, Р2 ... Рn – расход лизингодателя на каждую предусмотренную договором услугу, руб.;
Т – срок договора, лет.
6. Расчет размера налога на добавленную стоимость, уплачиваемого лизингодателем по услугам договора лизинга осуществляется по формуле (14):
|
НДСt = Bt * CTn 100 |
(14), |
где НДСt – величина налога, подлежащего уплате в расчетном году, руб.;
Вt – выручка от сделки по договору лизинга в расчетном году, руб.;
СТn – ставка налога на добавленную стоимость, %
В сумму выручки включаются: амортизационные отчисления, плата за использованные кредитные ресурсы (ПК), сумма вознаграждения лизингодателю (КВ) и плата за дополнительные услуги лизингодателя, предусмотренные договором (ДУ) (см.ф.(15)):
|
Вт = АОt + ПКt + КВt + Дуt |
(15) |
Состав слагаемых при определении выручки определяется законодательством о налоге на добавленную стоимость и инструкциями по определению налогооблагаемой базы.
7. Расчет размеров лизинговых взносов при их уплате равными долями с оговоренной в договоре периодичностью:
а) ежегодно осуществляется по формуле (16):
|
ЛВг = ЛП Т |
(16), |
где ЛВг – размер ежегодного взноса, руб.;
ЛП – общая сумма лизинговых платежей, руб.;
Т – срок договора лизинга, лет.
б) ежеквартально осуществляется по формуле (17):
|
ЛВк = ___ЛП____ (Т * 4) |
(17), |
где ЛВк – размер ежеквартального лизингового взноса, руб.;
в) ежемесячно осуществляется по формуле (18):
|
ЛВм = ____ЛП____ (Т * 12) |
(18), |
где ЛВм – размер ежемесячного лизингового взноса, руб.;
Подставив исходные данные из таблицы 3. в приведенные формулы получим расчет лизинговых платежей (таблица 4.)
Таблица 4. Расчет общей суммы лизинговых платежей
|
№ платежа |
Стоимость имущества на начало месяца |
Амортиза-ционные отчисления |
Стоимость имущества на конец месяца |
Плата за используемые кредитные ресурсы |
Комиссионное вознаграж-дение |
Плата за дополни-тельные услуги |
НДС |
Лизинговый платеж |
|
1 |
236 000,00 |
15 930,00 |
220 070,00 |
10 261,58 |
5 700,88 |
48,00 |
6 388,09 |
38 328,54 |
|
2 |
220 070,00 |
15 930,00 |
204 140,00 |
9 544,73 |
5 302,63 |
48,00 |
6 165,07 |
36 990,42 |
|
3 |
204 140,00 |
15 930,00 |
188 210,00 |
8 827,88 |
4 904,38 |
48,00 |
5 942,05 |
35 652,30 |
|
4 |
188 210,00 |
15 930,00 |
172 280,00 |
8 111,03 |
4 506,13 |
48,00 |
5 719,03 |
34 314,18 |
|
5 |
172 280,00 |
15 930,00 |
156 350,00 |
7 394,18 |
4 107,88 |
48,00 |
5 496,01 |
32 976,06 |
|
6 |
156 350,00 |
15 930,00 |
140 420,00 |
6 677,33 |
3 709,63 |
48,00 |
5 272,99 |
31 637,94 |
|
7 |
140 420,00 |
15 930,00 |
124 490,00 |
5 960,48 |
3 311,38 |
48,00 |
5 049,97 |
30 299,82 |
|
8 |
124 490,00 |
15 930,00 |
108 560,00 |
5 243,63 |
2 913,13 |
48,00 |
4 826,95 |
28 961,70 |
|
9 |
108 560,00 |
15 930,00 |
92 630,00 |
4 526,78 |
2 514,88 |
48,00 |
4 603,93 |
27 623,58 |
|
10 |
92 630,00 |
15 930,00 |
76 700,00 |
3 809,93 |
2 116,63 |
48,00 |
4 380,91 |
26 285,46 |
|
11 |
76 700,00 |
15 930,00 |
60 770,00 |
3 093,08 |
1 718,38 |
48,00 |
4 157,89 |
24 947,34 |
|
12 |
60 770,00 |
15 930,00 |
44 840,00 |
2 376,23 |
1 320,13 |
48,00 |
3 934,87 |
23 609,22 |
|
13 |
44 840,00 |
15 930,00 |
28 910,00 |
1 659,38 |
921,88 |
48,00 |
3 711,85 |
22 271,10 |
|
14 |
28 910,00 |
15 930,00 |
12 980,00 |
942,53 |
523,63 |
48,00 |
3 488,83 |
20 932,98 |
|
ИТОГО |
223 020,00 |
78 428,70 |
43 571,50 |
672,00 |
69 138,44 |
414 830,64 |
Остаточная стоимость оборудования – 12 980 DM
2.2. Обоснование расчета лизинговых платежей на основе теории финансовых рент
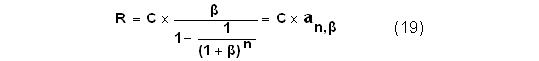
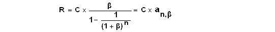
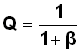
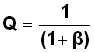
Данный метод расчета лизинговых платежей заключается в признании равенства современной (текущей) стоимости потока лизинговых платежей и стоимости имущества со всеми дополнительными расходами при его приобретении.
По условиям расчета определяется единая величина лизинговых платежей по периодам, которая в дальнейшем распределяется на процентные платежи и суммы возмещения стоимости имущества.
Непосредственно лизинговые платежи предлагается рассчитывать по следующей формуле:

где С – стоимость имущества с учетом всех дополнительных затрат;
β – лизинговое вознаграждение лизингодателя в долях;
N – количество лизинговых платежей;
a>n>>,>>β>> >– коэффициент рассрочки (погашения)
Данная формула получена, исходя из того, что платежи осуществляются в конце периода и имущество амортизируется полностью за срок договора лизинга.
Современная (приведенная) стоимость потока лизинговых платежей равна стоимости лизингового имущества. Денежный поток состоит из N равных платежей, осуществляющихся равномерно в конце каждого периода. Ставка лизингового процента β. Необходимо определить размер одного лизингового платежа.
Изобразим лизинговые платежи R на оси времени и определим современную стоимость каждого платежа в начальный (нулевой) момент времени

Современная величина 1-го платежа будет
равна
(191).
Современная величина 2-го платежа будет
равна
(192).
Современная
величина N-го платежа будет равна
(193).
Тогда суммарная стоимость всех лизинговых платежей, приведенных к начальному периоду равняется:

Левая
часть равенства представляет собой
геометрическую прогрессию с первым
членом
и
знаменателем
.
Формула определения суммы геометрической прогрессии, состоящей из N членов, имеет следующий вид:

Подставив
в нее значения
,
получим формулу для расчета лизинговых
платежей, которая имеет вид формулы
19:

В формуле расчета лизинговых платежей, производимых в конце периода при полном возмещении стоимости имущества, основную нагрузку несет коэффициент рассрочки (погашения), который определяется по следующей формуле:

Коэффициент рассрочки показывает, какая доля стоимости имущества погашается в каждый период. Иногда в расчетах используется коэффициент приведения, который является обратной величиной к коэффициенту рассрочки, т.е.

Как правило, в реальных расчетах приводятся данные о годовых процентах Р, количестве платежей в году M и сроке договора T.
С учетом этих замечаний коэффициент рассрочки принимает следующий вид:

Из формулы (24) хорошо видно, что коэффициент рассрочки зависит от числа платежей и процентной ставки, причем с ростом числа платежей при одной и той же процентной ставке коэффициент рассрочки уменьшается.
После того как лизинговый платеж определен, он распределяется на величину комиссионного вознаграждения и сумму возмещения стоимости имущества. Причем вначале определяется комиссионное вознаграждение лизингодателя как произведение невозмещенной стоимости имущества на процент вознаграждения лизингодателя, а потом вычисляется стоимость имущества, возмещаемая в данном периоде, которая рассчитывается как разность между значениями лизингового платежа и комиссионного вознаграждения.
Математически этот процесс описывается следующими формулами:


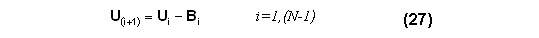
Остаточная стоимость имущества для последующего шага определяется как разность между невозмещенной стоимостью имущества и стоимостью имущества, которая погашается на данном шаге.

В случае если в договоре предусмотрен авансовый платеж в размере Ca, то необходимо скорректировать общую стоимость имущества С по следующей формуле:

и
подставить новое значение
в
формулу (19) для расчета лизинговых
платежей.
Таким образом, если лизингодатель выплачивает аванс и начинает платить лизинговые платежи с первого периода, то в формуле (19) величина стоимости имущества берется за вычетом авансового платежа, т.е. корректируется с учетом формулы (28).
Если платежи будут осуществляться в начале периода, лизинговые платежи должны уменьшиться, т.к. долг возвращается раньше. Снова рассмотрим ось времени и приведем все платежи к начальному периоду.

Современная величина 1-го платежа будет равна R.
Современная величина 2-го платежа будет
равна
(291).
Современная
величина N-го платежа будет равна
(292).
Тогда суммарная стоимость всех лизинговых платежей, приведенных к начальному периоду, равняется:

Внутри
фигурных скобок находится точно такая
же сумма, которая возникала при расчете
лизинговых платежей в конце периода.
Таким образом, лизинговый платеж в
начале периода отличается от лизингового
платежа, сделанного в конце периода на
величину
,
а формула примет следующий вид:

Распределение лизингового платежа на лизинговое вознаграждение и возмещенную стоимость имущества описывается следующими формулам:



Общая сумма лизингового договора при выплате лизинговых платежей в начале периода меньше, чем в случае, когда эти платежи выплачиваются в конце периода. В связи с этим, если лизингополучатель стремится уменьшить общую сумму лизингового договора, ему необходимо быстрее погашать долг. Например, осуществлять платежи в начале периода.
Если
в процессе договора возникает остаточная
стоимость, то необходимо произвести
корректировку стоимости на величину
Со. В связи с тем, что стоимость
приведена к начальному периоду времени,
то через N периодов современная остаточная
стоимость будет меньше, чем фактическая
Со на величину дисконтного множителя
Vn, взятого по ставке
.
В математическом виде это выглядит
следующим образом:

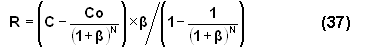
С учетом данного положения в процессе лизингового договора через лизинговые платежи необходимо будет вернуть стоимость имущества не (С-Со), а большую:

Второй член в формуле (36) представляет собой современную величину остаточной стоимости имущества после N платежей.
В связи с этим, формула для расчета лизинговых платежей примет следующий вид:

Удобство данной методики состоит в том, что лизизингополучатель может задать необходимую остаточную стоимость оборудования, по которой он готов его выкупить и поставить на баланс. Исходя из этого, рассчитывается величина ежеквартальных платежей (таблицы 5, 6).
В случае если лизингополучатель вносит платежи в начале периода, сумма договора (с НДС) составит 318 659,38 DM, а остаточная стоимость оборудования – 12 000,1 DM. Если платежи производятся в конце периода, то сумма договора (с НДС) составит 326 931,02 DM, а остаточная стоимость – 12 000,04 DM. Очевидно, что лизингополучателю выгоднее вносить лизинговые платежи в начале периода: разница составляет 8 271,64 DM.
По сравнению с расчетом лизинговых платежей по Методическим рекомендациям, методика, основанная на теории финансовых рент, более выгодна для лизингополучателя, т.к сумма договора меньше на 21-23%.
Таблица 5. Расчет лизинговых платежей на основе теории финансовых рент с корректировкой на остаточную стоимость (платежи - в начале периода)
|
Период |
Остаточная стоимость имущества (Ui) |
Возмещение стоимости имущества (Bi) |
Комиссионное вознаграждение (Ai) |
Лизинговые платежи (Ri) |
Сумма НДС |
Всего затрат с НДС |
|
1 |
236 000,00 |
18 967,82 |
0,00 |
18 967,82 |
3793,56 |
22 761,38 |
|
2 |
217 032,18 |
13 542,02 |
5 425,80 |
18 967,82 |
3793,56 |
22 761,38 |
|
3 |
203 490,16 |
13 880,57 |
5 087,25 |
18 967,82 |
3793,56 |
22 761,38 |
|
4 |
189 609,59 |
14 227,58 |
4 740,24 |
18 967,82 |
3793,56 |
22 761,38 |
|
5 |
175 382,01 |
14 583,27 |
4 384,55 |
18 967,82 |
3793,56 |
22 761,38 |
|
6 |
160 798,74 |
14 947,85 |
4 019,97 |
18 967,82 |
3793,56 |
22 761,38 |
|
7 |
145 850,89 |
15 321,55 |
3 646,27 |
18 967,82 |
3793,56 |
22 761,38 |
|
8 |
130 529,34 |
15 704,59 |
3 263,23 |
18 967,82 |
3793,56 |
22 761,38 |
|
9 |
114 824,75 |
16 097,20 |
2 870,62 |
18 967,82 |
3793,56 |
22 761,38 |
|
10 |
98 727,55 |
16 499,63 |
2 468,19 |
18 967,82 |
3793,56 |
22 761,38 |
|
11 |
82 227,92 |
16 912,12 |
2 055,70 |
18 967,82 |
3793,56 |
22 761,38 |
|
12 |
65 315,80 |
17 334,92 |
1 632,90 |
18 967,82 |
3793,56 |
22 761,38 |
|
13 |
47 980,88 |
17 768,30 |
1 199,52 |
18 967,82 |
3793,56 |
22 761,38 |
|
14 |
30 212,58 |
18 212,51 |
755,31 |
18 967,82 |
3793,56 |
22 761,38 |
|
Итого: |
12 000,10 |
223 999,93 |
41 549,55 |
265 549,48 |
53 109,90 |
318 659,38 |
Остаточная стоимость оборудования – 12 000,1 DM
Таблица 6. Расчет лизинговых платежей на основе теории финансовых рент с корректировкой на остаточную стоимость (платежи - в конце периода)
|
Период |
Остаточная стоимость имущества (Ui) |
Возмещение стоимости имущества (Bi) |
Комиссионное вознаграждение (Ai) |
Лизинговые платежи (Ri) |
Сумма НДС |
Всего затрат с НДС |
|
1 |
236000 |
13560,18 |
5900,00 |
19460,18 |
3892,04 |
23 352,22 |
|
2 |
222439,82 |
13899,18 |
5561,00 |
19460,18 |
3892,04 |
23 352,22 |
|
3 |
208540,64 |
14246,66 |
5213,52 |
19460,18 |
3892,04 |
23 352,22 |
|
4 |
194293,98 |
14602,83 |
4857,35 |
19460,18 |
3892,04 |
23 352,22 |
|
5 |
179691,15 |
14967,9 |
4492,28 |
19460,18 |
3892,04 |
23 352,22 |
|
6 |
164723,25 |
15342,1 |
4118,08 |
19460,18 |
3892,04 |
23 352,22 |
|
7 |
149381,15 |
15725,65 |
3734,53 |
19460,18 |
3892,04 |
23 352,22 |
|
8 |
133655,5 |
16118,79 |
3341,39 |
19460,18 |
3892,04 |
23 352,22 |
|
9 |
117536,71 |
16521,76 |
2938,42 |
19460,18 |
3892,04 |
23 352,22 |
|
10 |
101014,95 |
16934,81 |
2525,37 |
19460,18 |
3892,04 |
23 352,22 |
|
11 |
84080,14 |
17358,18 |
2102,00 |
19460,18 |
3892,04 |
23 352,22 |
|
12 |
66721,96 |
17792,13 |
1668,05 |
19460,18 |
3892,04 |
23 352,22 |
|
13 |
48929,83 |
18236,93 |
1223,25 |
19460,18 |
3892,04 |
23 352,22 |
|
14 |
30692,9 |
18692,86 |
767,32 |
19460,18 |
3892,04 |
23 352,22 |
|
Итого: |
12 000,04 |
223 999,96 |
48 442,56 |
272 442,52 |
54 488,50 |
326 931,02 |
Остаточная стоимость оборудования – 12 000,04
2.3. Расчет выплат по кредиту и затрат на содержание оборудования
Самым распространенным вариантом финансирования капитальных вложений является кредит. Для получения кредита потенциальному заемщику необходимо пройти стандартную процедуру проверки платежеспособности, т.к. банки заинтересованы в сотрудничестве с надежными клиентами, поэтому к организациям, желающим воспользоваться кредитными продуктами, предъявляются определенные требования.
Для получения кредита юридическим лицом для банка решающее значение имеет устойчивое финансовое состояние и хорошая кредитная история потенциального заемщика, а также наличие ликвидного обеспечения. Существенную роль играет также факт обслуживания заемщика банком по другим направлениям, объем платежей и операций, осуществляемых через банк, их доля в общем обороте заемщика.
В частности, у заемщика должен быть свой устойчивый и перспективный бизнес, он должен обладать успешным опытом работы, располагать собственным капиталом и, если понадобится, способностью предоставить достаточное обеспечение. В обеспечение возврата кредитов Банк принимает банковские гарантии, высоколиквидные залоги, драгоценные металлы, поручительства организаций с устойчивым финансовым положением, векселя, ценные бумаги, различное имущество.
Для получения кредита необходимо заполнить и направить в банк предварительную кредитную заявку. Окончательный ответ о возможности выдачи кредитного продукта будет дан после анализа результатов кредитного интервью, а также изучения финансовых и других документов организации (ориентировочный срок — две недели с момента предоставления пакета документов).
Перечень документов, предоставляемых заемщиком в банк на получение кредита и для рассмотрения кредитной заявки:
Заявление Заемщика на получение кредита, где необходимо указать:
сумму кредита;
целевое использование кредита;
срок кредита;
вид обеспечения кредита;
предполагаемый процент, который может уплатить Заемщик
реквизиты Заемщика.
2. Копии учредительных и других документы
нотариально заверенная копия Устава;
нотариально заверенная копия Учредительного договора (протокола о создании);
нотариально заверенная копия Свидетельства о регистрации;
нотариально заверенная банковская карточка с образцами подписей;
заверенная нотариально либо регистрирующим государственным органом копия свидетельства о регистрации изменений в учредительные документы;
нотариально заверенная копия зарегистрированного отчета о выпуске акций либо уведомления регистрирующего органа о регистрации отчетов выпуска акций Заемщика, являющегося акционерным обществом, либо в случае, если размещение акций еще не окончено, нотариально заверенная копия зарегистрированного проспекта эмиссии акций (решения о выпуске) либо уведомления регистрационного органа о регистрации выпуска;
заверенная нотариально либо выдавшим государственным органом либо подписью руководителя и печатью Заемщика копия справки о присвоении статистических кодов;
3. Заполняется опросный лист клиента, в котором отражаются общие сведения о предприятии: основание, учредители, история развития, специализация, обслуживающие банки, анализ текущего состояния, торговая (производственная) политика текущего года, реестр акционеров, зависимые (дочерние) структуры.
4. Бухгалтерская отчетность:
форма № 1. (баланс) – на 01/01/00, на последнюю отчетную дату (по годовому отчету - приложения к балансу);
форма № 2. (отчет о прибылях и убытках);
учетная политика предприятия;
типовые договоры (образцы) с контрагентами;
расшифровка структуры основных средств;
расшифровка структуры дебиторской задолженности по срокам погашения, считая от отчетной даты;
расшифровка структуры кредиторской задолженности по срокам погашения, считая от отчетной даты;
задолженность по кредитам банков;
данные о выручке от реализации продукции, о движении денежных средств.
После рассмотрения Кредитным Комитетом банка кредитной заявки и проведения оценки финансового состояния потенциального заемщика, процесс переходит в стадию принятия решения. Согласно регламенту решение считается принятым в случае, если все члены Кредитного Комитета проголосовали в пользу кредитования и не более одного члена Комитета воздержалось. Лишь после одобрения Кредитным Комитетом заявки о кредитовании, стороны заключают соглашение, договоренности об условиях которого были достигнуты на стадии переговоров между банком и заемщиком.
Конкретные процентные ставки, под которые предоставляются кредитные продукты банка, зависят от множества факторов: от вида кредитного продукта, срока и валюты кредитования, порядка уплаты процентов, а также от финансового состояния самого заемщика. Кредиты юридическим лицам предоставляются как в рублях, так и в валюте. Величина предоставляемого кредита устанавливается банком по согласованию с заемщиком в зависимости от его платежеспособности, предоставленного обеспечения. Ставка за пользование кредитными ресурсами устанавливаются в зависимости от рыночных условий, риска и обеспеченности кредита.
В случае получения кредита предприятие обязано погашать его и выплачивать проценты с периодичностью, установленной в договоре с банком (таблица 7). Также фирма несет затраты по покупке, доставке, монтажу и содержанию оборудования (таблица 8).
Для погашения задолженности банку предприятие должно иметь необходимый объем оборотных средств как на выплату основной части кредита 283 200 DM, так и процентов по нему в размере 104 637,99 DM.
Сравнительный анализ затрат при получении оборудования в лизинг и при покупке за счет кредита приведены в таблице 9.
Таблица 7. График погашения кредита (метод аннуитетов)
|
Сумма кредита, DM |
283 200 |
Количество выплат в год |
4 |
Амортизация единицы |
0,097820 |
||
|
Ставка процентов (годовых) |
18 |
Ставка процентов на период |
0,045 |
Аннуитет |
27 702,71 |
||
|
Срок кредита (месяцев) |
42 |
Всего платежей по кредиту |
14 |
Сумма кредита и процентов |
387 837,99 |
||
|
Всего процентов по кредиту |
104 637,99 |
|
Платежи |
Получение кредита |
Погашение процентов |
Погашение кредита |
Полный платеж |
Непогашенная часть |
|
0 |
283 200 |
|
|
|
283 200 |
|
1 |
|
12 744,00 |
14 958,71 |
27 702,71 |
268 241,29 |
|
2 |
|
12 070,86 |
15 631,86 |
27 702,71 |
252 609,43 |
|
3 |
|
11 367,42 |
16 335,29 |
27 702,71 |
236 274,14 |
|
4 |
|
10 632,34 |
17 070,38 |
27 702,71 |
219 203,76 |
|
5 |
|
9 864,17 |
17 838,54 |
27 702,71 |
201 365,22 |
|
6 |
|
9 061,43 |
18 641,28 |
27 702,71 |
182 723,94 |
|
7 |
|
8 222,58 |
19 480,14 |
27 702,71 |
163 243,81 |
|
8 |
|
7 345,97 |
20 356,74 |
27 702,71 |
142 887,06 |
|
9 |
|
6 429,92 |
21 272,80 |
27 702,71 |
121 614,27 |
|
10 |
|
5 472,64 |
22 230,07 |
27 702,71 |
99 384,20 |
|
11 |
|
4 472,29 |
23 230,42 |
27 702,71 |
76 153,77 |
|
12 |
|
3 426,92 |
24 275,79 |
27 702,71 |
51 877,98 |
|
13 |
|
2 334,51 |
25 368,20 |
27 702,71 |
26 509,77 |
|
14 |
|
1 192,94 |
26 509,77 |
27 702,71 |
0,00 |
|
Итого: |
283 200 |
104 637,99 |
283 200,00 |
387 837,99 |
Таблица 8 Затраты на содержание оборудования при покупке за счет кредита
|
Период |
Оплата оборудования |
Оборудование на балансе |
Амортизационные отчисления |
Налог на имущество |
Всего затрат |
|
0 |
283 200,00 |
236 000,00 |
9% в год |
2% в год |
|
|
1 |
|
230 690,00 |
5 310,00 |
1 166,73 |
6 476,73 |
|
2 |
|
225 380,00 |
5 310,00 |
1 140,18 |
6 450,18 |
|
3 |
|
220 070,00 |
5 310,00 |
1 113,63 |
6 423,63 |
|
4 |
|
214 760,00 |
5 310,00 |
1 087,08 |
6 397,08 |
|
5 |
|
209 450,00 |
5 310,00 |
1 060,53 |
6 370,53 |
|
6 |
|
204 140,00 |
5 310,00 |
1 033,98 |
6 343,98 |
|
7 |
|
198 830,00 |
5 310,00 |
1 007,43 |
6 317,43 |
|
8 |
|
193 520,00 |
5 310,00 |
980,88 |
6 290,88 |
|
9 |
|
188 210,00 |
5 310,00 |
954,33 |
6 264,33 |
|
10 |
|
182 900,00 |
5 310,00 |
927,78 |
6 237,78 |
|
11 |
|
177 590,00 |
5 310,00 |
901,23 |
6 211,23 |
|
12 |
|
172 280,00 |
5 310,00 |
874,68 |
6 184,68 |
|
13 |
|
166 970,00 |
5 310,00 |
848,13 |
6 158,13 |
|
14 |
|
161 660,00 |
5 310,00 |
821,58 |
6 131,58 |
|
Итого: |
|
74 340,00 |
13 918,10 |
88 258,1 |
Таблица 9. Сравнение затрат при покупке оборудования
|
Затраты при получении оборудования в лизинг |
|||||
|
Вариант расчета лизинговых платежей |
Расходы, относящиеся на себестоимость (лизинговые платежи) |
Выкуп имущества по остаточной стоимости |
НДС, уплаченный относящийся на расчеты с бюджетом |
Всего расходов |
Экономия по налогу на прибыль (35%) |
|
Методические рекомендации |
345 692,20 |
12 980,00 |
69 138,44 |
427 810,64 |
120 992,27 |
|
Теория финансовых рент (платежи в начале периода) |
265 549,48 |
12 000,10 |
53 109,90 |
330 659,48 |
92 942,32 |
|
Теория финансовых рент (платежи в конце периода) |
272 442,52 |
12 000,04 |
54 488,50 |
338 931,06 |
95 354,88 |
|
Затраты при покупке оборудования за счет кредита |
|||||
|
Балансовая стоимость оборудования |
НДС, уплаченный относящийся на расчеты с бюджетом |
Расходы, относящиеся на себестоимость (амортизационные отчисления) |
Налог на имущество |
Затраты на содержание кредита (проценты) |
Всего расходов |
|
236 000,00 |
47 200,00 |
74 340,00 |
13 918,10 |
104 637,99 |
476 096,09 |
При сравнении с покупкой оборудования за счет кредита, лизинг является более эффективной формой сделки, поскольку:
Общая сумма договора лизинга меньше затрат по кредиту и содержанию оборудования на 48 285,45 DM (при расчете по Методическим рекомендациям) и на 145 436,61 DM (по теории финансовых рент).
Лизингополучатель включает лизинговые платежи в себестоимость продукции в размере от 265 549,48 DM до 345 692, 20 DM уменьшая тем самым налогооблагаемую прибыль, тогда как при покупке за счет кредита на себестоимость списываются только амортизационные отчисления в размере 74 340 DM. Затраты на содержание кредита в размере 104 637,99 DM списываются за счет прибыли предприятия.
Возможность применения в случае лизинга механизма ускоренной амортизации с коэффициентом 3 позволяет списать за счет амортизации до 94,5% от первоначальной стоимости имущества, что позволит ООО «Тонус» через 3,5 года получить на баланс имущество, остаточная стоимость которого будет составлять 12 000 DM, что почти в 20 раз меньше, чем при кредите.
Арендные платежи производятся после установки, наладки и пуска оборудования в эксплуатацию, и тем самым фирма имеет возможность осуществлять платежи из средств, поступающих от реализации продукции, выработанной на арендуемом оборудовании.
При учете оборудования на балансе лизингодателя ООО «Ториус» получит экономию по налогу на имущество в размере 13 918,1 DM
Таким образом, лизинг является выгодной альтернативой капитальным вложениям.
МОСКОВСКИЙ ИНСТИТУТ ДЕЛОВОГО АДМИНИСТРИРОВАНИЯ
ГЛАВА 3. ЭКОНОМИКО-ПРАВОВАЯ
Правовые аспекты регулирования лизинговых операций в РФ
Научный руководитель:
Москва, 2001
3.1. Нормативно-правовая база лизинговой деятельности в РФ
В процессе выработки решения об эффективности лизинговых операций необходимо учитывать следующие законодательные акты, связанные с этим вопросом, а именно:
Федеральный закон РФ "О лизинге" от 29.10.1998г. №164-Ф3;
Методические рекомендации по расчету лизинговых платежей от 16.04.1996 г., утвержденные Минэкономики РФ;
Гражданский кодекс РФ. Часть 2. Глава 34.;
Указ Президента РФ "О развитии финансового лизинга в инвестиционной деятельности" от 17.09.94г. №1929;
Постановление Правительства РФ "О развитии лизинга в инвестиционной деятельности" от 29.06.95г. №633 (с дополнениями от 23.04.96г.);
Постановление Правительства РФ от 27.06.96г. №752 "О государственной поддержке развития лизинговой деятельности в Российской Федерации";
Постановление Правительства РФ от 3.09.98г. №1020 "Об утверждении Порядка предоставления государственных гарантий на осуществление лизинговых операций";
Письмо Минэкономики РФ "О лицензировании лизинговой деятельности" от 10.07.97г. №ВК-765/8-721;
Приказ Минэкономики РФ от 20.06.96г. №91 "Об организации работы в Минэкономики России по лицензированию лизинговой деятельности в Российской Федерации";
Письмо Госкомитета РФ по статистике от 13.03.96г. №24-1-21/483 "Об отражении затрат на приобретение лизингового оборудования";
Инструктивное письмо ГТК РФ от 20.06.95г. №.01-13/10268 "О таможенном оформлении товаров, временно ввозимых в рамках лизинговых соглашений";
Указание ГТК РФ от 25.04.94г. №01-12/328 "О некоторых вопросах применения таможенного режима временного ввоза (вывоза) товаров”;
Постановление Правительства РФ от 20.11.95 г. №1133 “О внесении дополнений в Положение о составе затрат по производству и реализации продукции (работ, услуг), включаемых в себестоимость продукции (работ, услуг), и о порядке формирования финансовых результатов, учитываемых при налогообложении прибыли”;
Постановление Правительства РФ от 26.02.96 г. №167 “Об утверждении Положения о лицензировании лизинговой деятельности в Российской Федерации;
Правила добровольного страхования лизинговых платежей;
Указ Президента РФ от 04.04.96 г. №491 “О первоочередных мерах государственной поддержки малого предпринимательства в РФ”;
Инструктивное письмо Государственной налоговой службы РФ от 30.10.95 г. №ПВ–6-17/572 “Об отражении в бухгалтерском учете и отчетности лизинговых операций”.
3.2. Особенности договора лизинга
ООО «Тонус», объект исследования, планирует взять в лизинг полиграфическое оборудование, следовательно, фирме следует руководствоваться действующим законодательством Российской Федерации по осуществлению операций лизинга. Основополагающим нормативным актом, регулирующим лизинговую деятельность в Российской Федерации, является Федеральный закон “О лизинге” от 29.10.98 №164-ФЗ.
Несмотря на то, что лизинг уже давно получил широкое применение и распространение за рубежом, правовое регулирование лизинговых отношений в России было осуществлено впервые сравнительно недавно - в 1994 г., когда вступил в силу указ Президента Российской Федерации от 17.09.94 № 1929 "О развитии финансового лизинга и инвестиционной деятельности". Дальнейшее развитие правовое регулирование лизинга получило в постановлении Правительства Российской Федерации от 29.06.95 № 633 "О развитии лизинга в инвестиционной деятельности" и в утвержденном им "Временном положении о лизинге". В настоящее время лизинговые отношения регулируются Гражданским кодексом Российской Федерации (далее ГК РФ), а также Федеральным законом от 29.10.98 № 164-ФЗ "О лизинге" (далее - Закон о лизинге).
Согласно закону, лизинг – это вид инвестиционной деятельности по приобретению имущества и передаче его на основании договора лизинга физическим и юридическим лицам за определенную плату, на определенный срок и на определенных условиях, обусловленных договором, с правом выкупа имущества лизингополучателем.
Закон о лизинге вводит новое понятие, отсутствующее в ГК РФ, "лизинговая сделка", под которой понимается совокупность договоров, необходимых для реализации договора лизинга между лизингодателем, лизингополучателем и продавцом (поставщиком) предмета лизинга.
Предметом лизинга могут быть любые непотребляемые вещи (здания, сооружения, оборудование, транспортные средства и т.д.) кроме земельных участков и природных объектов.
Субъектами лизинговой сделки являются:
Лизингодатель – юридическое лицо, которое за счет привлеченных или собственных денежных средств приобретает в ходе реализации лизинговой сделки в собственность имущество и предоставляет его в качестве предмета лизинга лизингополучателю за определенную плату, на определенный срок и на определенных условиях во временное владение и пользование с переходом или без перехода к лизингополучателю права собственности на предмет лизинга;
Лизингополучатель (объект исследования - ООО «Тонус») - юридическое лицо, которое в соответствии с договором лизинга обязано принять предмет лизинга за определенную плату, на определенный срок и на определенных условиях во временное владение и в пользование в соответствии с договором лизинга;
Продавец (“H.G.S.Group”) - юридическое лицо, которое в соответствии с договором купли - продажи с лизингодателем продает лизингодателю в обусловленный срок производимое (закупаемое) им имущество, являющееся предметом лизинга. Продавец обязан передать предмет лизинга лизингодателю или лизингополучателю в соответствии с условиями договора купли - продажи.
Для анализа прав и обязанностей субъектов необходимо выделить юридические характеристики договора лизинга. Настоящий договор является консенсуальным, так как считается заключенным с момента, когда стороны, в требуемой в подлежащих случаях форме, достигли соглашения по всем существенным условиям. Законодательная дефиниция договора (ст.665 ГК РФ) подчеркивает его возмездный характер, указывая на то, что имущество предоставляется лизингополучателю за плату, то есть договор лизинга всегда порождает обязательство по предоставлению имущества в пользование в обмен на получение встречного удовлетворения в виде лизинговых платежей.
Содержание договора лизинга неразрывно связано с его особенностями, которые впервые были сформулированы в п.6 Временного положения о лизинге, утвержденного постановлением Правительства Российской Федерации от 29 июня 1995 г. № 633, в виде требований, которым он должен отвечать.
Во-первых, это диспозитивная норма о принадлежащем лизингополучателю праве выбора объекта лизинга и продавца лизингового имущества. Во-вторых, указание на предпринимательский характер целей, в которых лизинговое имущество используется лизингополучателем. В-третьих, уточнение конкретно-целевого характера приобретения лизингодателем имущества у продавца – предназначенность объекта для предоставления его на условиях лизинга. В-четвертых, сумма лизинговых платежей за весь срок договора должна включать полную (или близкую к ней) стоимость лизингового имущества. В-пятых, договор лизинга обязательно должен содержать указание об инвестировании денежных средств в предмет лизинга и подтверждаться его передачей лизингополучателю.
Данные нормы получили отражение и конкретизацию в ГК РФ, а также в Законе РФ “О лизинге”.
1. Договор лизинга заключается в письменной форме.
2. В названии договора определяются его форма, тип и вид.
3. Помимо договора лизинга, обязательства сторон образуются путем заключения с другими субъектами лизинга обязательных и сопутствующих договоров. К обязательным договорам относится договор купли - продажи. К сопутствующим договорам относят договор о привлечении денежных средств, договор залога, договор гарантии, договор поручительства и др.
4. Договор лизинга должен содержать следующие положения:
точное описание предмета лизинга;
объем передаваемых прав собственности;
наименование места, порядок передачи предмета лизинга;
срок действия договора лизинга;
порядок балансового учета предмета лизинга;
порядок содержания и ремонта предмета лизинга;
перечень дополнительных услуг;
общая сумма договора лизинга, размер вознаграждения лизингодателя;
порядок расчетов (график платежей);
обязанность страхования предмета лизинга от рисков.
Взаимоотношения субъектов лизинговой операции
Лизинговые операции относятся к сложным для правового регулирования операциям. Эта сложность обусловлена, с одной стороны, большим числом участвующих субъектов, отношения между которыми носят в основном двусторонний характер, с другой, необходимостью обеспечения единства и взаимосвязи отношений всех участвующих субъектов для реализации лизинговой операции в целом.
Р
ассмотрим
основные отношения, которые складываются
между субъектами в ходе реализации
лизинговой операции, ограничив состав
субъектов следующими участниками:
финансово-кредитное учреждение
(коммерческий банк), лизингодатель
(лизинговая компания), лизингополучатель,
продавец имущества (рис.2).
Отношения между коммерческим банком и лизингодателем должны строится с учетом продолжительности лизинговой операции и согласования реальной стоимости финансовых средств. Отношения между лизингодателем и продавцом должны обеспечивать поставку имущества непосредственно лизингополучателю, приобретение последним права предъявления претензий, включая гарантийное, а в необходимых случаях и послегарантийное обслуживание.
Отношения продавца и лизингополучателя направлены на согласование технико-технологических параметров, стоимости, основных условий поставки имущества, а в некоторых случаях проведения монтажных, пусконаладочных работ и условий по гарантийному и послегарантийному обслуживанию имущества.
Главными являются отношения «лизингодатель – лизингополучатель», которые должны обеспечивать со стороны лизингодателя комплекс услуг по предоставлению во временное использование имущества, а со стороны лизингополучателя своевременные и в согласованном размере лизинговые платежи.
В рамках данных отношений происходит интегрирование отношений всех перечисленных субъектов по ряду важнейших условий:
сроки реализации обязательств каждого из участников;
стоимостное измерение обязательств каждого из участников;
порядок расчетов между участниками за выполненные работы;
ответственность каждого участника за выполнение обязательств.
Согласно действующему законодательству, обязанности участников лизинговой сделки распределяются следующим образом, (если иное не предусмотрено договором лизинга):
Лизингодатель обязуется:
Приобрести в собственность указанное лизингополучателем имущество у определенного им продавца на основании договора купли-продажи;
Обеспечить предоставление лизингового имущества лизингополучателю во временное владение и пользование (или с последующим выкупом) в состоянии, соответствующем условиям договора лизинга и назначению имущества;
Обеспечить капитальный ремонт имущества, являющегося предметом лизинга, если иное не предусмотрено договором лизинга;
При осуществлении оперативного лизинга отвечать за недостатки переданного предмета лизинга, полностью или частично препятствующие пользованию данным предметом, даже если во время заключения договора оперативного лизинга лизингодатель не знал о таких недостатках;
При обнаружении таких недостатков лизингополучатель вправе потребовать от лизингодателя безвозмездного устранения недостатков предмета лизинга, соразмерного уменьшения лизинговых платежей или возмещения своих расходов, связанных с устранением недостатков данного предмета лизинга.
Лизингодатель не отвечает за недостатки переданного во временное владение и пользование предмета лизинга, которые были им оговорены при заключении договора оперативного лизинга, либо были заранее известны лизингополучателю, либо могли быть обнаружены лизингополучателем во время осмотра предмета лизинга или проверки его исправности при заключении договора или при передаче предмета лизинга лизингополучателю.
Лизингополучатель обязуется:
Принять предмет лизинга в порядке, предусмотренном указанным договором лизинга;
Возместить лизингодателю его инвестиционные затраты и выплатить ему вознаграждение;
По окончании срока действия договора лизинга возвратить предмет лизинга, если иное не предусмотрено указанным договором лизинга, или приобрести предмет лизинга в собственность на основании договора купли - продажи;
В случаях, определенных законодательством Российской Федерации, должен застраховать свою ответственность за выполнение обязательств, возникающих вследствие причинения вреда жизни, здоровью или имуществу других лиц в процессе пользования лизинговым имуществом.
Поддерживать сохранность предмета лизинга от всех видов имущественного ущерба, а также нести ответственность за риски, связанные с его гибелью, утратой, порчей, хищением, преждевременной поломкой, ошибкой, допущенной при его монтаже или эксплуатации, и иные имущественные риски с момента фактической приемки предмета лизинга, если иное не предусмотрено договором лизинга.
Утрата предмета лизинга или утрата предметом лизинга своих функций по вине лизингополучателя не освобождает лизингополучателя от финансовых обязательств по договору лизинга, если договором лизинга не установлено иное;
Обязательства лизингополучателя по уплате лизинговых платежей наступают с момента начала использования лизингополучателем предмета лизинга, если иное не предусмотрено договором лизинга;
Осуществлять за свой счет техническое обслуживание предмета лизинга, его средний и текущий ремонт, если иное не предусмотрено договором лизинга.
Права лизингодателя:
Лизингодатель имеет право бесспорного взыскания денежных сумм и бесспорного изъятия предмета лизинга в следующих случаях:
если условия пользования предметом лизинга лизингополучателем не соответствуют условиям договора лизинга или назначению предмета лизинга;
если лизингополучатель осуществляет сублизинг без согласия лизингодателя;
если лизингополучатель не поддерживает предмет лизинга в исправном состоянии, что ухудшает его потребительские качества;
если лизингополучатель более двух раз подряд по истечении установленного договором лизинга срока платежа не вносит плату за пользование предметом лизинга.
Лизингодатель вправе требовать внесения платежей за время просрочки, если лизингополучатель не возвратил предмет лизинга или возвратил его несвоевременно. В случае если указанная плата не покрывает причиненных лизингодателю убытков, он может требовать их возмещения.
Лизингодатель может уступить третьему лицу полностью или частично свои права по договору лизинга или свои интересы, вытекающие из этого договора.
Лизингодатель имеет право на финансовый контроль за деятельностью лизингополучателя в той ее части, которая относится к предмету лизинга, формированием финансовых результатов деятельности лизингополучателя и выполнением лизингополучателем обязательств по договору лизинга.
Права лизингополучателя:
Лизингополучатель вправе требовать от лизингодателя исполнения им обязательств по договору лизинга и в случае их невыполнения требовать через суд возмещения лизингодателем прямых убытков от подготовки предмета лизинга,
Лизингополучатель может передать в залог предмет лизинга только с разрешения лизингодателя в письменной форме. Залог должен быть оформлен отдельным договором между лизингополучателем и его кредитором;
Лизингодатель может использовать свои права в отношении предмета лизинга в качестве залога третьему лицу, как участнику лизинговой сделки, так и не участнику лизинговой сделки. При этом риск изъятия залога в пользу третьего лица рассматривается как бесспорное нарушение условий договора лизинга со стороны лизингодателя;
При осуществлении финансового лизинга и смешанного лизинга лизингополучатель вправе предъявлять непосредственно продавцу (поставщику) предмета лизинга требования к качеству и комплектности, срокам поставок и другие требования, установленные договором купли - продажи между продавцом (поставщиком) и лизингодателем.
Определяя порядок осуществления платежей по договору лизинга, Закон о лизинге исходит в первую очередь из того, что лизинг по своему экономическому содержанию относится к прямым инвестициям, поэтому общая сумма лизинговых платежей (сумма договора лизинга) складывается из инвестиционных затрат (издержек) и вознаграждения, которое лизингополучатель обязан заплатить лизингодателю.
Под инвестиционными затратами (издержками) понимаются расходы лизингодателя, связанные с приобретением и использованием предмета лизинга лизингополучателем:
стоимость предмета лизинга;
налог на имущество;
расходы на транспортировку и упаковку, включая монтаж и шефмонтаж (если иное не предусмотрено договором лизинга);
расходы на обучение персонала лизингополучателя работе с предметом лизинга (если иное не предусмотрено договором лизинга);
расходы на таможенное оформление и оплату таможенных сборов, тарифов и пошлин, связанных с предметом лизинга;
расходы на хранение предмета лизинга до ввода его в эксплуатацию (если иное не предусмотрено договором лизинга);
расходы на охрану предмета лизинга во время транспортировки и его страхование (если иное не предусмотрено договором лизинга);
страхование от всех видов риска (если иное не предусмотрено договором лизинга);
расходы на выплату процентов за пользование привлеченными средствами и отсрочки платежей, предоставленные продавцом;
расходы на содержание и обслуживание предмета лизинга (если иное не предусмотрено договором лизинга);
расходы на регистрацию предмета лизинга;
расходы, связанные с приобретением и передачей предмета лизинга;
расходы на создание резервов в целях капитального ремонта предмета лизинга;
расходы на оказание возникающих в ходе реализации лизинга дополнительных услуг;
иные расходы, без осуществления которых невозможно использование предмета лизинга.
Инвестиционные затраты лизингодателя должны быть обоснованы и подлежат полному возмещению лизингополучателем.
Под вознаграждением лизингодателя понимается денежная сумма, предусмотренная договором лизинга сверх возмещения инвестиционных затрат. В состав вознаграждения лизингодателю должны включаться оплата услуг по осуществлению договора лизинга и проценты за использование собственных средств лизингодателя, направленных на приобретение предмета лизинга и оказание дополнительных услуг, размер которых определяется договором лизинга.
При этом Закон о лизинге проводит разграничение понятий доход лизингодателя и прибыль лизингодателя. Под доходом лизингодателя понимается то вознаграждение, которое ему выплачивает лизингополучатель, а под прибылью - разница между доходами лизингодателя и его расходами на осуществление основной деятельности.
Все лизинговые платежи производятся непосредственно в адрес лизингодателя и относятся лизингополучателем на себестоимость продукции, производимой с использованием предмета лизинга, либо на расходы, связанные с основной деятельностью, что позволяет не включать в налогооблагаемую базу указанные платежи для целей исчисления налога на прибыль.
Закон о лизинге дает сторонам договора лизинга право применять ускоренную амортизацию предмета лизинга. При этом амортизационные отчисления делаются той стороной договора лизинга, на балансе которой находится лизинговое имущество. При ускоренной амортизации используется равномерный (линейный) метод ее начисления, при котором утвержденная норма амортизационных отчислений увеличивается на коэффициент ускорения в размере не более 3.
Таким образом, правовое обеспечение лизинговой операции является важной составляющей эффективности не только лизинговой операции, но и в конечном итоге и нового бизнеса.
МОСКОВСКИЙ ИНСТИТУТ ДЕЛОВОГО АДМИНИСТРИРОВАНИЯ
ГЛАВА 4. ЭКОНОМИКО-МАТЕМАТИЧЕСКАЯ
Расчет лизинговых платежей на основе теории финансовых рент
Научный руководитель:
Москва, 2001
Цель данной главы - объяснить с математической точки зрения методику расчета лизинговых платежей, основанную на теории финансовых рент.
В настоящее время формулы погашения долга равными платежами реализованы во многих стандартных программах. В частности, в пакете Microsoft Office, в программе Excel, для этого используется функция ППЛАТ, которая вычисляет величину выплаты по ссуде на основе постоянных выплат и постоянной процентной ставки.
Функция задается следующей формулой:
ППЛАТ(ставка;кпер;нз;бз;тип) (38),
где Ставка - это процентная ставка по ссуде;
Кпер - это общее число выплат по ссуде;
Нз - это текущее значение или общая сумма, которую составят будущие платежи;
Бз - это будущая сумма или баланс наличности, которой нужно достичь после последней выплаты. Если бз опущено, оно полагается равным 0 (нулю), т.е. будущая сумма ссуды равна 0;
Тип - это число 0 или 1, обозначающее, когда должна производиться выплата:
.
С математической точки зрения данный расчет возможно провести с помощью методики, основанной на теории финансовых рент, подробно описанной в Главе 2 настоящего диплома. За основу расчета величины лизингового платежа берется формула (19)

где С – стоимость оборудования с учетом всех дополнительных затрат;
β – лизинговое вознаграждение лизингодателя в долях;
N – количество лизинговых платежей;
a>n>>,>>β>> >– коэффициент рассрочки (погашения)
С учетом корректировки на величину остаточной стоимости оборудования при условии, что платежи производятся в конце периода, формула (19) преобразуется в формулу (37):

где С>0 >– остаточная стоимость оборудования.
Если лизингополучатель производит платежи в начале периода, то формула (37) будет выглядеть следующим образом:

Таким образом,
лизинговые платежи, выплачиваемые в
начале периода, отличаются от платежей
в конце периода на величину
.
Таблица 10. Исходные данные для расчета лизинговых платежей.
|
Показатель |
Условное обозначение |
Значение |
|
Стоимость оборудования (без НДС) |
С |
236 000 DM |
|
Лизинговое вознаграждение, в долях |
|
0,025 |
|
Количество лизинговых платежей |
N |
14 |
|
Остаточная стоимость оборудования |
С>0> |
12 000 DM |
Расчет лизинговых платежей, выплачиваемых в конце периода
Для удобства
расчета необходимо определить величину


Ежеквартальный лизинговый платеж рассчитывается следующим образом:

Затем рассчитываются величины:
A>i>> > - комиссионное вознаграждение лизингодателя по формуле (25);
B>i>> >– возмещение стоимости оборудования по формуле (26);
U>i>>+1> – остаточная стоимость оборудования по формуле (27).

Аналогично производится расчет для остальных периодов:

Остаточная стоимость, по которой оборудование должно быть выкуплено составит:

Итоговые показатели по лизинговой сделке рассчитываются следующим образом:

На величину лизинговых платежей начисляется НДС по ставке 20%:

Расчет лизинговых платежей, выплачиваемых в начале периода
Расчеты производятся также,
как и для лизинговых платежей, выплачиваемых
в конце периода с корректировкой на
величину


Ежеквартальный лизинговый платеж составит:



Остаточная стоимость оборудования в данном случае составит:

Итоговые показатели по лизинговой сделке:

Начисляется НДС, подлежащий уплате в бюджет:

Полученные в результате расчетов значения сведены в таблицы 5 и 6.
Для наглядного отображения преимущества получения оборудования в лизинг построен график сравнения лизинговых платежей и выплат по кредиту (рис.3). Общая сумма лизингового договора при выплате лизинговых платежей в начале периода меньше, чем в конце периода.
Таким образом, если проанализировать все расчеты по данной методике, то видно, что комиссионное вознаграждение от периода к периоду уменьшается, а возмещение стоимости увеличивается. Используя данную методику можно получить формулы для расчета лизинговых платежей для любых вариантов внесения платежей.
Заключение
Россия, переживающая экономический кризис, остро нуждается в капитале для инвестирования во все отрасли хозяйства. При модернизации и развитии производства одним из важнейших вопросов является определение источников финансирования. Инвестиционные займы и финансовый лизинг являются основными механизмами взаимодействия финансового и производственного капитала, способами превращения финансовых инвестиций в реальные инвестиции.
Фирма может попытаться за свой счет приобрести и самостоятельно произвести монтаж нового оборудования. Но при этом придется изъять из оборота некоторое количество средств, что могут себе позволить лишь немногие предприятия. К тому же, для того, чтобы выделить эти средства на покупку оборудования, необходимо заплатить налог на прибыль.
Другим источником финансирования может стать привлечение стороннего кредитования. Но кредиторы предъявляют жесткие требования по обеспечению гарантий и требуют высокий процент за привлекаемые средства.
Третьим вариантом решения этой проблемы является финансовый лизинг. Это вид аренды, весьма распространенный в современной международной коммерческой практике.
Преимущество лизинга по сравнению с другими способами инвестирования состоит в том, что предприятиям предоставляются не денежные средства, контроль за обоснованным расходом которых не всегда возможен, а непосредственно средства производства, необходимые для обновления и расширения производственного аппарата.
Одним из быстро развивающихся и эффективных направлений в лизинге оборудования выступает в настоящее время лизинг полиграфического оборудования, прежде всего из-за высокой износостойкости объекта. Средний срок его амортизации составляет 15-20 лет, т.е. срок его полезного использования превышает срок договора лизинга как минимум в два-три раза.
С точки зрения ООО «Тонус», лизинг является наиболее выгодным из финансовых инструментов, позволяющих осуществлять крупномасштабные капитальные вложения в развитие материально-технической базы производства. По сравнению с другими способами приобретения оборудования (оплата по факту поставки, покупка с отсрочкой оплаты, банковский кредит и т.д.) основным преимуществом лизинга, объясняющим его широкое распространение за рубежом и его растущую популярность в нашей стране, являются налоговые и амортизационные льготы.
Стороны лизинговой сделки в Российской Федерации в настоящее время используют следующие налоговые преимущества по сравнению с приобретением оборудования посредством банковского кредитования:
Все затраты, связанные с приобретением оборудования (в том числе монтаж, пуско-наладка, обучение персонала, таможенное оформление и т.д.) полностью относятся лизингополучателем на себестоимость продукции, товаров, услуг, что значительно уменьшает налогооблагаемую базу.
При лизинге можно применить ускоренную амортизацию с коэффициентом до трех. Это позволяет существенно снизить остаточную стоимость, по которой после окончания срока лизинга предприниматель зачисляет оборудование на свой баланс в качестве собственных основных средств, снизить налог на имущество
В ситуации, когда лизинговое имущество не числится у лизингополучателя на его балансе, что не приводит к увеличению активов предприятия и освобождает от уплаты налога на это имущество.
Лизинг удобен для бухгалтерского учета, так как начисление амортизации, выплату части налогов и управление долгом осуществляет лизинговая компания.
Налог на имущество, компенсируемый лизингополучателем лизинговой компании, существенно ниже (за счет ускоренной амортизации), чем при покупке оборудования за собственные средства или по кредиту.
Лизингодатель включает в себестоимость проценты по кредитам, использованным для приобретения лизингового имущества. В случае же, если компания приобретает основные средства для собственного пользования, то она не может включать проценты по кредиту, полученному для приобретения основных средств, в себестоимость.
По окончании срока лизингового соглашения оборудование, являющееся предметом лизинга, может быть возвращено лизингодателю либо выкуплено лизингополучателем по минимизированной остаточной стоимости.
Для предпринимателей, постоянно сталкивающихся с проблемой поиска финансовых ресурсов для обновления производственной базы, закупки оборудования или транспортных средств, лизинг представляет несомненный интерес, поскольку: позволяет быстро реагировать на изменения конъюнктуры, избегать морального старения оборудования, а также дает возможность предприятию расширить или модернизировать производство, наладить обслуживание оборудования без крупных единовременных затрат и необходимости привлечения заемных средств;
Также лизинг предполагает 100-процентное кредитование и не требует единовременной выплаты всей стоимости оборудования, что позволяет без резкого финансового напряжения приобретать дорогостоящее имущество.
Лизинговая компания осуществляет все необходимые формальности, связанные с приобретением оборудования, такие как ведение переговоров с производителями и поставщиками, оформление договоров купли-продажи, что сокращает для предпринимателей затраты времени и ресурсов.
Лизинговые соглашения также могут предусматривать обязательства лизингодателя произвести ремонт и технологическое обслуживание оборудования. Это особенно важно при лизинге сложного оборудования, требующего привлечения высококвалифицированного персонала для пусконаладочных работ, ремонта и обслуживания.
Индивидуальный подход позволяет подобрать схему оплаты лизинговых платежей, удобную для предпринимателя, что упрощает для него внутрипроизводственную калькуляцию и облегчает процесс планирования.
С помощью лизинга смягчается проблема ограниченности ликвидных средств, поскольку затраты на приобретение оборудования равномерно, по фиксированному графику, распределяются на весь срок действия договора. Следовательно, лизингополучатель имеет большие возможности координировать затраты на финансирование капитальных вложений и поступления от реализации выпускаемой продукции. Это способствует стабильности финансовых планов арендатора.
Тем самым высвобождаются средства для вложения в другие виды активов, фирма сохраняет свой оборотный капитал, а лизинговые платежи могут производиться после установки, наладки и пуска оборудования в эксплуатацию, и тем самым арендующее предприятие имеет возможность осуществлять платежи из средств, поступающих от реализации продукции, выработанной на новом оборудовании, т.е. оборудование само окупает себя. При этом не привлекается заемный капитал и в балансе предприятия поддерживается оптимальное соотношение собственного и заемного капиталов.
Мягкие финансовые условия приобретения и использования оборудования позволяют не концентрировать и отвлекать значительные финансовые ресурсы потребителя, не экономить на качестве оборудования, а приобретать новые высокотехнологичные модели.
Предприятию проще получить оборудование в лизинг, чем ссуду на его приобретение, так как лизинговое имущество выступает в качестве залога. Гибкость финансовых условий приобретения оборудования обеспечивает индивидуальный подход в расчетах не только сумм лизинговых платежей, но и срока, и периодичности их погашения, близкого к сроку полной окупаемости объекта лизинга.
Считается, что стоимость лизинга больше, чем ссуды, но нельзя забывать, что риск устаревшего оборудования ложится на лизингодателя, и поэтому он берет большую комиссию для компенсации. К тому же фирма-продавец и лизинговая компания делят между собой риски, связанные с конкретной сделкой, т.к. лизинговая компания фактически кредитует сделку.
При банковском кредитовании существует ряд ограничений:
Средний срок банковского кредита на рынке банковских услуг составляет 12-18 месяцев, тогда как срок лизинга возможен до 36 месяцев.
Проценты по кредиту относятся на первоначальную стоимость оборудования или на чистую прибыль.
Для получения кредита требуется ликвидный залог (если это недвижимость - требуется государственная регистрация и уплата 1,5% сбора), а так же история расчетного счета в банке кредиторе.
Обременив свои основные средства залогом, предприятие лишается возможности получения второго кредита, пока не будет погашен первый.
Механизм ускоренной амортизации с коэффициентом 3 не применяется.
Предприятие получает на баланс оборудование по полной его стоимости, происходит резкое увеличение внеоборотных активов, следовательно, нарушается ликвидность баланса и увеличивается налог на имущество.
Перечисленные выше преимущества, обоснованные в данной работе, делают лизинг более привлекательным средством приобретения основных средств по сравнению с банковским кредитованием.
Лизинг полиграфического оборудования позволит ООО «Тонус» сократить налоговые отчисления, регулировать налог на прибыль и НДС, получить на баланс печатную машину по минимизированной остаточной стоимости.
Отзыв
на дипломный проект студента *************, выполненный на тему «Оптимизация источников финансирования приобретения полиграфического оборудования на примере ООО «Тонус»
Дипломная работа посвящена актуальной проблеме финансирования покупки оборудования для модернизации и развития производства.
Целью исследования является экономическое и математическое обоснование наиболее оптимального варианта приобретения полиграфической машины. Эта цель была достигнута путем сравнения двух источников финансирования капитальных вложений: лизинг оборудования с последующим выкупом по остаточной стоимости и покупка за счет получения кредита.
В соответствии с установленным заданием была проведена классификация лизинговых операций, анализ нормативно-правовой базы регулирования лизинговых отношений в РФ и действующих методик расчета лизинговых платежей.
В ходе работы дипломником были освоены методики расчета лизинговых платежей в соответствии с Методическими рекомендациями Минэкономики РФ и теорией финансовых рент.
Необходимо отметить целесообразность многовариантных сравнений при обосновании решений, предлагаемых в дипломной работе, а также уверенность владения методами финансового анализа, математических и экономических расчетов.
Несомненным преимуществом дипломного проекта является последовательность и ясность в изложении, высокий уровень теоретической подготовки и умение дипломника самостоятельно, творчески подойти к использованию полученных знаний для достижения цели дипломной работы.
К недостаткам можно отнести недостаточно подробное описание методик, не нашедших отражения в проектной части данной работы.
В целом, дипломный проект выполнен на высоком экономическом уровне, является хорошо проработанной комплексной работой и заслуживает оценки «отлично».
Руководитель дипломного проекта
Overview
Методич.рекомМетод 2 нач
Метод 2 конец
Кредит
Сравнение
Покупка
Диаграмма
Диаграмма (2)
Диаграмма (3)
Sheet 1: Методич.реком
| Расчет лизингового платежа |
|
||||||||
| 28 634,18 | |||||||||
| № платежа | Стоимость имущества на начало месяца | Амортиза-ционные отчисления | Стоимость имущества на конец месяца | Плата за используемые кредитные ресурсы | Комис-сионное вознаграж-дение | Плата за дополни-тельные услуги | НДС | Лизинговый платеж | Нарастающим итогом |
| 1 | 236 000,00 | 15 930,00 | 220 070,00 | 10 261,58 | 5 700,88 | 48,00 | 6 388,09 | 38 328,54 | 38 328,54 |
| 2 | 220 070,00 | 15 930,00 | 204 140,00 | 9 544,73 | 5 302,63 | 48,00 | 6 165,07 | 36 990,42 | 75 318,96 |
| 3 | 204 140,00 | 15 930,00 | 188 210,00 | 8 827,88 | 4 904,38 | 48,00 | 5 942,05 | 35 652,30 | 110 971,26 |
| 4 | 188 210,00 | 15 930,00 | 172 280,00 | 8 111,03 | 4 506,13 | 48,00 | 5 719,03 | 34 314,18 | 145 285,44 |
| 5 | 172 280,00 | 15 930,00 | 156 350,00 | 7 394,18 | 4 107,88 | 48,00 | 5 496,01 | 32 976,06 | 178 261,50 |
| 6 | 156 350,00 | 15 930,00 | 140 420,00 | 6 677,33 | 3 709,63 | 48,00 | 5 272,99 | 31 637,94 | 209 899,44 |
| 7 | 140 420,00 | 15 930,00 | 124 490,00 | 5 960,48 | 3 311,38 | 48,00 | 5 049,97 | 30 299,82 | 240 199,26 |
| 8 | 124 490,00 | 15 930,00 | 108 560,00 | 5 243,63 | 2 913,13 | 48,00 | 4 826,95 | 28 961,70 | 269 160,96 |
| 9 | 108 560,00 | 15 930,00 | 92 630,00 | 4 526,78 | 2 514,88 | 48,00 | 4 603,93 | 27 623,58 | 296 784,54 |
| 10 | 92 630,00 | 15 930,00 | 76 700,00 | 3 809,93 | 2 116,63 | 48,00 | 4 380,91 | 26 285,46 | 323 070,00 |
| 11 | 76 700,00 | 15 930,00 | 60 770,00 | 3 093,08 | 1 718,38 | 48,00 | 4 157,89 | 24 947,34 | 348 017,34 |
| 12 | 60 770,00 | 15 930,00 | 44 840,00 | 2 376,23 | 1 320,13 | 48,00 | 3 934,87 | 23 609,22 | 371 626,56 |
| 13 | 44 840,00 | 15 930,00 | 28 910,00 | 1 659,38 | 921,88 | 48,00 | 3 711,85 | 22 271,10 | 393 897,66 |
| 14 | 28 910,00 | 15 930,00 | 12 980,00 | 942,53 | 523,63 | 48,00 | 3 488,83 | 20 932,98 | 414 830,64 |
| ИТОГО | 223 020,00 | 78 428,70 | 43 571,50 | 672,00 | 69 138,44 | 414 830,64 |
Sheet 2: Метод 2 нач
| 2. Методика расчета лизинговых платежей, | |||||||||||||||||||||||||
| основанная на теории финансовых рент. | |||||||||||||||||||||||||
| Стоимость имущества | 236 000 | ||||||||||||||||||||||||
| Авансовый платеж | |||||||||||||||||||||||||
| Остаточная стоимость | 12000,1 | ||||||||||||||||||||||||
| Срок договора | 3,5 | ||||||||||||||||||||||||
| Количество платежей в год | 4 | ||||||||||||||||||||||||
| Лизинговое вознаграждение | 0,1 | ||||||||||||||||||||||||
| Годовые проценты | 0,1 | ||||||||||||||||||||||||
| Точность вычислений | 5 | ||||||||||||||||||||||||
| Число расчетных периодов - 16 | 14 | 16 | |||||||||||||||||||||||
| Маржа лизингодателя за период | 2,50% | 0,025 | |||||||||||||||||||||||
| Проценты за период | 2,50% | 0,025 | |||||||||||||||||||||||
| Период | Остаточная стоимость имущества (Ui) | Возмещение стоимости имущества (Bi) | Комиссионное вознаграждение (Ai) | Лизинговые платежи (Ri) | Сумма НДС | Всего затрат с НДС | Нарастающим итогом | ||||||||||||||||||
| 1 | 236 000,00 | 18 967,82 | 0,00 | 18 967,82 | 3793,56 | 22 761,38 | 22 761,38 | Квартал | 1 | 2 | 3 | 4 | 5 | 6 | 7 | 8 | 9 | 10 | 11 | 12 | 13 | 14 | |||
| 2 | 217 032,18 | 13 542,02 | 5 425,80 | 18 967,82 | 3793,56 | 22 761,38 | 45 522,77 | 22 761,38 | 45 522,77 | 68 284,15 | 91 045,54 | 113 806,92 | 136 568,30 | 159 329,69 | 182 091,07 | 204 852,46 | 227 613,84 | 250 375,22 | 273 136,61 | 295 897,99 | 318 659,38 | ||||
| 3 | 203 490,16 | 13 880,57 | 5 087,25 | 18 967,82 | 3793,56 | 22 761,38 | 68 284,15 | ||||||||||||||||||
| 4 | 189 609,60 | 14 227,58 | 4 740,24 | 18 967,82 | 3793,56 | 22 761,38 | 91 045,54 | ||||||||||||||||||
| 5 | 175 382,02 | 14 583,27 | 4 384,55 | 18 967,82 | 3793,56 | 22 761,38 | 113 806,92 | ||||||||||||||||||
| 6 | 160 798,75 | 14 947,85 | 4 019,97 | 18 967,82 | 3793,56 | 22 761,38 | 136 568,30 | ||||||||||||||||||
| 7 | 145 850,90 | 15 321,55 | 3 646,27 | 18 967,82 | 3793,56 | 22 761,38 | 159 329,69 | ||||||||||||||||||
| 8 | 130 529,35 | 15 704,59 | 3 263,23 | 18 967,82 | 3793,56 | 22 761,38 | 182 091,07 | ||||||||||||||||||
| 9 | 114 824,76 | 16 097,20 | 2 870,62 | 18 967,82 | 3793,56 | 22 761,38 | 204 852,46 | ||||||||||||||||||
| 10 | 98 727,56 | 16 499,63 | 2 468,19 | 18 967,82 | 3793,56 | 22 761,38 | 227 613,84 | ||||||||||||||||||
| 11 | 82 227,93 | 16 912,12 | 2 055,70 | 18 967,82 | 3793,56 | 22 761,38 | 250 375,22 | ||||||||||||||||||
| 12 | 65 315,81 | 17 334,92 | 1 632,90 | 18 967,82 | 3793,56 | 22 761,38 | 273 136,61 | ||||||||||||||||||
| 13 | 47 980,89 | 17 768,30 | 1 199,52 | 18 967,82 | 3793,56 | 22 761,38 | 295 897,99 | ||||||||||||||||||
| 14 | 30 212,59 | 18 212,51 | 755,31 | 18 967,82 | 3793,56 | 22 761,38 | 318 659,38 | ||||||||||||||||||
| 15 | 12 000,08 | 223 999,92 | 41 549,56 | 265 549,48 | 53 109,90 | 318 659,38 | |||||||||||||||||||
Sheet 3: Метод 2 конец
| 2. Методика расчета лизинговых платежей, | ||||||||||||||||||||||||||||||||||||||||||||
| основанная на теории финансовых рент. | ||||||||||||||||||||||||||||||||||||||||||||
| Стоимость имущества | 250000 | |||||||||||||||||||||||||||||||||||||||||||
| Остаточная стоимость | 12000,04 | |||||||||||||||||||||||||||||||||||||||||||
| Срок договора | 4 | |||||||||||||||||||||||||||||||||||||||||||
| Количество платежей в год | 4 | |||||||||||||||||||||||||||||||||||||||||||
| Лизинговое вознаграждение | 0,1 | |||||||||||||||||||||||||||||||||||||||||||
| Годовые проценты | 0,1 | 243902,43902439 | ||||||||||||||||||||||||||||||||||||||||||
| Число расчетных периодов | 16 | 16 | 1,025 | |||||||||||||||||||||||||||||||||||||||||
| Маржа лизингодателя за период | 2,50% | 0,025 | 250000,000000001 | |||||||||||||||||||||||||||||||||||||||||
| Проценты за период | 2,50% | 0,025 | ||||||||||||||||||||||||||||||||||||||||||
| Период | Остаточная стоимость имущества (Ui) | Возмещение стоимости имущества (Bi) | Комиссионное вознаграждение (Ai) | Лизинговые платежи (Ri) | Сумма НДС | Всего затрат с НДС | Нарастающим итогом | |||||||||||||||||||||||||||||||||||||
| 1 | 236 000,00 | 13 560,18 | 5 900,00 | 19460,18 | 3892,04 | 23 352,22 | 23 352,22 | |||||||||||||||||||||||||||||||||||||
| 2 | 222 439,82 | 13 899,18 | 5 561,00 | 19460,18 | 3892,04 | 23 352,22 | 46 704,43 | |||||||||||||||||||||||||||||||||||||
| 3 | 208 540,64 | 14 246,66 | 5 213,52 | 19460,18 | 3892,04 | 23 352,22 | 70 056,65 | |||||||||||||||||||||||||||||||||||||
| 4 | 194 293,97 | 14 602,83 | 4 857,35 | 19460,18 | 3892,04 | 23 352,22 | 93 408,86 | |||||||||||||||||||||||||||||||||||||
| 5 | 179 691,14 | 14 967,90 | 4 492,28 | 19460,18 | 3892,04 | 23 352,22 | 116 761,08 | |||||||||||||||||||||||||||||||||||||
| 6 | 164 723,24 | 15 342,10 | 4 118,08 | 19460,18 | 3892,04 | 23 352,22 | 140 113,30 | |||||||||||||||||||||||||||||||||||||
| 7 | 149 381,14 | 15 725,65 | 3 734,53 | 19460,18 | 3892,04 | 23 352,22 | 163 465,51 | |||||||||||||||||||||||||||||||||||||
| 8 | 133 655,49 | 16 118,79 | 3 341,39 | 19460,18 | 3892,04 | 23 352,22 | 186 817,73 | |||||||||||||||||||||||||||||||||||||
| 9 | 117 536,70 | 16 521,76 | 2 938,42 | 19460,18 | 3892,04 | 23 352,22 | 210 169,94 | |||||||||||||||||||||||||||||||||||||
| 10 | 101 014,93 | 16 934,81 | 2 525,37 | 19460,18 | 3892,04 | 23 352,22 | 233 522,16 | |||||||||||||||||||||||||||||||||||||
| 11 | 84 080,13 | 17 358,18 | 2 102,00 | 19460,18 | 3892,04 | 23 352,22 | 256 874,38 | |||||||||||||||||||||||||||||||||||||
| 12 | 66 721,95 | 17 792,13 | 1 668,05 | 19460,18 | 3892,04 | 23 352,22 | 280 226,59 | |||||||||||||||||||||||||||||||||||||
| 13 | 48 929,82 | 18 236,93 | 1 223,25 | 19460,18 | 3892,04 | 23 352,22 | 303 578,81 | |||||||||||||||||||||||||||||||||||||
| 14 | 30 692,88 | 18 692,86 | 767,32 | 19460,18 | 3892,04 | 23 352,22 | 326 931,02 | |||||||||||||||||||||||||||||||||||||
| 15 | 12 000,03 | 223 999,97 | 48 442,55 | 272 442,52 | 54 488,50 | 326 931,02 |
|
|||||||||||||||||||||||||||||||||||||
Sheet 4: Кредит
| Ставка процентов на период | 0,045 | |||||
| Счетная единица | DM | Продолжительность периода (месяцев) | 3 | |||
| Ставка процентов (годовых) | 18 | Всего платежей по кредиту | 14 | |||
| Срок кредита (месяцев) | 42 | Амортизация единицы | 0,097820 | |||
| Сумма кредита | 283 200 | Аннуитет | 27 702,71 | |||
| Количество выплат в год | 4 | Сумма кредита и процентов | 387 837,99 | |||
| 14 | руб. | Всего процентов по кредиту | 104 637,99 | |||
| платежи | получение | погашение | погашение | полный | непогашенная | |
| (период) | кредита | процентов | кредита | платеж | часть | |
| 0 | 283 200,00 | 283 200,00 | ||||
| 1 | 12 744,00 | 14 958,71 | 27 702,71 | 268 241,29 | 34 179,44 | |
| 2 | 12 070,86 | 15 631,86 | 27 702,71 | 252 609,43 | 68 332,33 | |
| 3 | 11 367,42 | 16 335,29 | 27 702,71 | 236 274,14 | 102 458,67 | |
| 4 | 10 632,34 | 17 070,38 | 27 702,71 | 219 203,76 | 136 558,45 | |
| 5 | 9 864,17 | 17 838,54 | 27 702,71 | 201 365,22 | 170 631,69 | |
| 6 | 9 061,43 | 18 641,28 | 27 702,71 | 182 723,94 | 204 678,38 | |
| 7 | 8 222,58 | 19 480,14 | 27 702,71 | 163 243,81 | 238 698,52 | |
| 8 | 7 345,97 | 20 356,74 | 27 702,71 | 142 887,06 | 272 692,11 | |
| 9 | 6 429,92 | 21 272,80 | 27 702,71 | 121 614,27 | 306 659,15 | |
| 10 | 5 472,64 | 22 230,07 | 27 702,71 | 99 384,20 | 340 599,63 | |
| 11 | 4 472,29 | 23 230,42 | 27 702,71 | 76 153,77 | 374 513,57 | |
| 12 | 3 426,92 | 24 275,79 | 27 702,71 | 51 877,98 | 408 400,96 | |
| 13 | 2 334,51 | 25 368,20 | 27 702,71 | 26 509,77 | 442 261,80 | |
| 14 | 1 192,94 | 26 509,77 | 27 702,71 | 0,00 | 476 096,09 | |
| 104 637,99 | 283 200,00 | 387 837,99 |
Sheet 5: Сравнение
| Затраты при получении оборудования в лизинг | ||||||
| Вариант расчета лизинговых платежей | Расходы, относящиеся на себестоимость (лизинговые платежи) | Выкуп имущества по остаточной стоимости | Расходы за счет прибыли | НДС, уплаченный относящийся на расчеты с бюджетом | Всего расходов | Экономия по налогу на прибыль 35% |
| Методические рекомендации | 345 692,20 | 12 980,00 | - | 69 138,44 | 427 810,64 | 120992,27 |
| Теория финансовых рент (платежи в начале периода) | 265 549,48 | 12 000,08 | - | 53 109,90 | 330 659,46 | 92942,32 |
| Теория финансовых рент (платежи в конце периода) | 272 442,52 | 12 000,03 | - | 54 488,50 | 338 931,05 | 95354,88 |
| Затраты при покупке оборудования за счет кредита | ||||||
| Расходы, относящиеся на себестоимость (амортизационные отчисления) | Налог на имущество | Затраты на содержание кредита | НДС, уплаченный относящийся на расчеты с бюджетом | Всего расходов | ||
| 74 340,00 | 13 918,10 | 104 637,99 | 47 200,00 | 236 000,00 | 476 096,09 |
Sheet 6: Покупка
| Покупка оборудования на собственные средства | |||||||
| Период | Оплата оборудования | Оборудование на балансе | Амортизационные отчисления | Налог на имущество | Всего затрат | Нарастающим | |
| 0 | 283 200,00 | 236 000,00 | 9% в год | 2% в год | 283 200,00 | ||
| 1 | 230 690,00 | 5 310,00 | 1 166,73 | 6 476,73 | 27702,71 | ||
| 2 | 225 380,00 | 5 310,00 | 1 140,18 | 6 450,18 | 55405,43 | ||
| 3 | 220 070,00 | 5 310,00 | 1 113,63 | 6 423,63 | 83108,14 | ||
| 4 | 214 760,00 | 5 310,00 | 1 087,08 | 6 397,08 | 110810,85 | ||
| 5 | 209 450,00 | 5 310,00 | 1 060,53 | 6 370,53 | 138513,57 | ||
| 6 | 204 140,00 | 5 310,00 | 1 033,98 | 6 343,98 | 166216,28 | ||
| 7 | 198 830,00 | 5 310,00 | 1 007,43 | 6 317,43 | 193918,99 | ||
| 8 | 193 520,00 | 5 310,00 | 980,88 | 6 290,88 | 221621,71 | ||
| 9 | 188 210,00 | 5 310,00 | 954,33 | 6 264,33 | 249324,42 | ||
| 10 | 182 900,00 | 5 310,00 | 927,78 | 6 237,78 | 277027,13 | ||
| 11 | 177 590,00 | 5 310,00 | 901,23 | 6 211,23 | 304729,85 | ||
| 12 | 172 280,00 | 5 310,00 | 874,68 | 6 184,68 | 332432,56 | ||
| 13 | 166 970,00 | 5 310,00 | 848,13 | 6 158,13 | 360135,28 | ||
| 14 | 161 660,00 | 5 310,00 | 821,58 | 6 131,58 | 387837,99 | ||
| Итого: | 283 200,00 | 74 340,00 | 13 918,10 | 371 458,10 | |||
| 88 258,10 | 476096,09 |
Sheet 7: Диаграмма
Sheet 8: Диаграмма (2)
Sheet 9: Диаграмма (3)
РЕЦЕНЗИЯ НА ДИПЛОМНЫЙ ПРОЕКТ
********** НА ТЕМУ:
«Оптимизация источников финансирования приобретения полиграфического оборудования на примере ООО «Тонус»
Фирма ООО «Тонус» действительно столкнулась с проблемой финансирования покупки полиграфического оборудования MAN ROLAND и данный проект представляет большой интерес. После ознакомления с дипломной работой руководство фирмы пришло к заключению, что проведенное исследование актуально и поможет разобраться в непростых взаимоотношениях участников лизинговой сделки.
Мы убедились, что получение оборудования в лизинг действительно является менее затратным способом финансирования капитальных вложений, чем получение банковского кредита. Заключение лизингового соглашения поможет фирме снизить затраты по доставке, монтажу, содержанию и учету предмета лизинга, а также даст определенные налоговые выгоды и возможность выкупа оборудования по минимизированной остаточной стоимости.
Хотелось бы особо отметить экономически обоснованные в соответствующих частях работы решения, принятые дипломником, в т.ч. планирование затрат на содержание оборудования и кредита.
Гарантируем, что рекомендации будут учтены при принятии решения о финансировании покупки оборудования.
С уважением,
Библиографический список используемой литературы
Агеев А.Н., Ржевский Е.С.. Развитие правовой базы лизинга и его место в инвестиционной деятельности. - М.// Лизинг - ревю, № 4, 1997.
Газман В. Д. Лизинг: теория. практика, комментарии. - М.: Фонд "Правовая культура", 1997.
Газман В. Д. Метод расчета платежей по лизингу, обеспечивающий безубыточность деятельности лизингодателя. - М.// Лизинг - ревю, №№ 1, 2, 1998.
Гладких Р.А.. Лизинг как форма инвестиционной деятельности. - М.// Бизнес и банки, № 30 (352), 1997.
Горемыкин В.А. Основы технологии лизинговых операций: - М.: Ось - 89, 2000.
ГРАЖДАНСКИЙ КОДЕКС РОССИЙСКОЙ ФЕДЕРАЦИИ. Принят Государственной Думой 21.10 1994 г. М.: ЭКМОС, 1998.
Жуков Е.. Банки и банковские операции. - М.: ЮНИТИ, 1997.
Карп М.В., Махмутов Р.А., Шабалин Е.М.. Финансовый лизинг на предприятии. - М.: ЮНИТИ, 1998.
Кулешов А.. Рынок лизинговых услуг в ракурсе налогообложения. - М.// Экономика и жизнь, № 20, 1996.
Липатова Л. Лизинг: схемы, методики, условия. Образование правовой базы: М.// Лизинг - ревю, №№ 3, 4, 1996.
МЕТОДИЧЕСКИЕ РЕКОМЕНДАЦИИ ПО РАСЧЕТУ ЛИЗИНГОВЫХ ПЛАТЕЖЕЙ; утверждены Минэкономики РФ 16 04.1996 г.
Мосляков Д.С.. Финансирование и кредитование капитальных вложений. - М.: Финансы и статистика, 1988.
Овчаров Д.А.. Развитие лизинга в рыночной экономике. - М.: МГУ им. Ломоносова, Диссертация на соискание ученой степени кандидата экономических наук, 1994.
Овчинникова В.Ф., Зубина С.В.. Лизинг и коммерческий кредит. - М.: ИСТ - Сервис, 1994.
"Преимущества лизинга не в коммерческой эффективности, а в удобном организационном механизме доступа к инвестиционным ресурсам". - М.// Лизинг - ревю, №№ 2, 3, 1997.
Прилуцкий Л., Лизинг. - М.: Ось - 89, 1996.
Прилуцкий Л., Помощь в расчете лизинговых платежей. - М.// Лизинг-курьер, № 6 (6), 1999.
Прилуцкий Л., Правовые основы лизинговой деятельности в России. - М.// Финансовые известия, № 98 (332), 1996.
Федеральный закон РФ "О лизинге" №164-Ф3 от 29.10.98г.
Чекмарева Е.Н.. Лизинговый бизнес. - М.: Экономика, 1994.
Шатравин. В. А.. Эффективность лизинговых операций: - М.: Ось - 89, 1998.
Штельмах В. Расчет лизинговых платежей исходя из потока денежных средств. Плюсы и минусы. - М.: ж. "Лизинг-курьер", номер 1 (7) 2000.
Штерн В.С., Гладикова Ю.В.. Лизинг для малых предприятий. - М.: Общероссийское общественное объединение, 1996.