Глюкоза и сахароза
В
УГЛЕВОДИ(САХАРИДИ)


МОНОСАХАРИДИ ДИСАХАРИДИ ПОЛІСАХАРИДИ
Г
ексози
Альдози Сахароза Крохмаль
Целюлоза
Глюкоза
С>6>Н>12>О>6 >Кетози
Фруктоза
Вуглеводи — природні сполуки, які відіграють важливу роль у житті людини, тварин і рослин. Вони дуже поширені в природі, особливо в рослинному світі: 80 % сухої маси рослин становлять вуглеводи. Вуглеводи входять до складу їжі і є одним з найважливіших харчових продуктів людини. Потреба людини в енергії покривається при харчуванні за рахунок вуглеводів.
До вуглеводів відносять глюкозу, фруктозу, цукор (сахарозу), крохмаль, целюлозу тощо. Одні з них є основними продуктами їжі, інші (целюлоза) — основа для добування паперу, пластмас, волокон.
Назва «вуглеводи» запропонована на тій основі, що перші вивчені представники цього класу сполук за складом формально розглядали як сполуки вуглецю з водою, наприклад С„НІ.-0., або 60-бН'О. Тепер відомо, що вуглеводи — це не гідрати вуглецю, але стара назва залишилася. Крім того, існують вуглеводи з іншим співвідношенням С, Н й О.
Вуглеводи поділяють на моносахариди, дисахариди і полісахариди. Ознайомимося з найважливішими представниками вуглеводів.
Із моносахаридів найбільше значення має глюкоза, яку ще називають виноградним цукром. Глюкоза широко поширена в природі, вона міститься у великих кількостях у виноградному соку, меді, а також у спілих фруктах і ягодах. Це біла кристалічна речовина, добре розчинна у воді, солодка на смак.
Глюкоза ( від грец. солодкий) – дуже поширений у природі вуглевод групи моносахаридів. Молекулярна маса 180,16; безбарвні, солодкі на смак кристали, добре розчинні у воді. Оптично активна, обертає площину поляризованого світла праворуч. Як і всі моносахариди, має два оптичні антиподи (D- і L-форми). Найпоширеніша в природі D- форма (виноградний цукор або декстроза). В природі синтез глюкози відбувається з неорганічних речовин в процесі фотосинтезу і хемосинтезу (в рослинах). У вільному стані глюкоза разом з фруктозою міститься в меду, плодах, квітках та інших частинах рослин; у тваринних тканинах – у крові, лімфі, мозку, серцевому та скелетному м’язах тощо. Вільна глюкоза використовується організмом для біосинтезу ряду інших цукрів – фруктози, сахарози, ксилоли, глюкуронової кислоти тощо. Глюкоза є структурним елементом і багатьох інших речовин – клітковини, глікозидів,. Вірусної рибонуклеїнової кислоти. У тканинах тварин і людини глюкоза може перетворюватися на резервний вуглевод – глікоген. Глюкоза бере участь в багатьох реакціях обміну речовин, посідає центральне місце у вуглеводному обміні. Глюкоза – важливе джерело енергії в організмі. При повному окисленні глюкози до вуглекислого газу і води виділяється енергія, значна частина якої акумулюється макроергічнми (багатими на енергію) зв’язками аденозинтрифосфорної кислоти, АТФ та інших, подібних до АТФ сполук. Для деяких бактерій глюкоза – єдине джерело енергії.
Розклад глюкози в організмі відбувається шляхом гліколізу та у пентозофосфатному циклі. В крові людини міститься 100 мг % глюкози. Концентрації її регулюється гормонально та центральною нервовою системою. Глюкоза бере участь у регуляції водного режиму організму, стимуляції функцій клітин та в знешкодженні токсичних речовин, підвищує діяльність серцевого м’яза, розширює судини, збільшує сечовиділення тощо. При багатьох захворюваннях кількість глюкози в крові збільшується, що веде до виділення її з сечею. Препарати глюкози широко використовують у медицині. В промисловості глюкозу добувають при гідролізі крохмалю, застосовують у кондитерському виробництві та інше.
Молекулярна формула глюкози С>6>Н>12>О>6> її будову визначено на основі вивчення властивостей. Так, глюкоза виявляє властивості багатоатомних спиртів і альдегідів.
Доведено, що в молекулі глюкози є альдегідна група і п'ять гідроксильних груп. Отже, глюкоза — це альдегідоспирт, її молекула має таку будову:

Однак не всі властивості глюкози узгоджуються з її будовою як альдегідоспирту. Деяких реакцій, характерних для альдегідів, глюкоза не дає. Справа в тому, що глюкоза е сполукою з мішаною функцією, її природа ускладнюється можливістю внутрішньо молекулярних взаємодій гідроксильної групи з карбонільною групою, завдяки чому глюкоза Існує не тільки у відкритій ланцюговій формі, айв циклічних α- та β-формах, які відрізняються розміщенням гідроксильних груп відносно площини кільця. Циклічну будову молекула глюкози має у кристалічному стані, у водних же розчинах вона існує у двох різних формах, які взаємно переходять одна в одну:



ХІМІЧНІ ВЛАСТИВОСТІ ГЛЮКОЗИ.
Хімічні властивості глюкози обумовлені наявністю гідроксильних і альдегідної груп. Тому глюкоза вступає в реакції, характерні для спиртів і альдегідів.
1.Якісна реакція на глюкозу:
Якщо до розчину глюкози влити гідроксид міді (II), то він набуває яскраво-синього забарвлення, подібно до того, як це відбувається з гліцерином. Якщо підігріти яскраво-синій розчин, який добули, з'являється червоний осад, який свідчить що наявність альдегідної групи.

2. Окиснення глюкози оксидом аргентума (якісна реакція на глюкозу):


Я
к
альдегід глюкоза легко окиснюється.
Вона вступає в реакцію
«срібного дзеркала», окиснюючись до
глюконової кислоти:

3. Глюкоза окиснюється гідроксидом міді (II) під час кипіння також до глюконової кислоти:
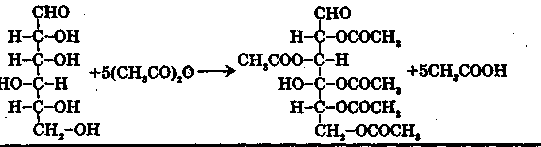
4. Як багатоатомний спирт глюкоза вступає в реакції етерифікації з органічними кислотами і утворює естери;

Одна молекула глюкози взаємодіє з п'ятьма молекулами оцтової кислоти, що підтверджує наявність у молекулі глюкози п'яти спиртових гідроксигруп.
5. За участю гідроксильних груп відбувається взаємодія глюкози з гідроксидами металів з утворенням сахаратів:


При взаємодії глюкози з гідроксидом міді (II) утворюється сахарат міді — сполука синього кольору. Цю реакцію використовують для виявлення цукру в сечі.

6. Спиртове бродіння глюкози: Велике значення мають процеси бродіння глюкози, які відбуваються під дією органічних каталізаторів — ферментів (вони виробляються мікроорганізмами). Відомо кілька видів бродіння. Спиртове бродіння відбувається під дією ферментів дріжджів. Складний хімізм цього процесу сумарно виражається рівнянням:


7. Молочнокисле бродіння глюкози відбувається під дією молочнокислих бактерій:

Молочна кислота утворюється при скисанні молока, квашенні капусти, огірків, силосуванні зелених кормів.
8. Глюкоза подібно до альдегідів може відновлюватись, перетворюючись на шестиатомний спирт — сорбіт:

Сорбіт вперше був виділений з плодів горобини. Він приблизно вдвічі менш солодкий, ніж звичайний цукор. Сорбіт не підвищує вмісту глюкози в крові, тому його використовують замість цукру в харчуванні людей, хворих на цукровий діабет.
9. Окислення: Глюкоза — цінна поживна речовина. При окисненні її у тканинах вивільнюється енергія, необхідна для нормальної життєдіяльності організму. Реакцію окиснення можна подати сумарним рівнянням:
С>6>Н>12>О>6> + 6О>2> 6СО>2> + 6Н>2>О
В обміні речовин глюкоза займає центральне місце, оскільки е енергетичним «паливом» для численних процесів, що відбуваються в клітинах організму. Глюкоза — необхідний компонент крові, її вміст у крові людини становить 80 —120 мг в 100 мл. Коли вміст глюкози у крові становить більше ніж 180 мг, порушується вуглеводневий обмін, виникає хвороба діабет.
У зв'язку з тим, що глюкоза легко і швидко засвоюється, її застосовують як засіб посиленого харчування, а також для виготовлення лікувальних препаратів, при консервуванні крові. Вона широко використовується в кондитерському виробництві, у виробництві дзеркал та іграшок (сріблення). Нею користуються при обробці й фарбуванні тканин і шкір.
10.Добування глюкози. У промисловості глюкозу добувають із більш складного вуглеводню — крохмалю:
Н>2>SО>4>
а
)
(-С>6>Н>12>0>5>)>n>
+ Н>2>О
C>6>Н>12>О>6>
+ С>6>Н>12>0>6>
Глюкоза
фруктоза
б) Рівняння Бутлерова:
О
t kat
Н
6
Н-С
С>6>Н>12>О>6>
в) Фотосинтез
hν
6СО>2>
+ 6Н>2>О
C>6>Н>12>О>6
>+
6О>2>
ФРУКТОЗА
До моносахаридів належить і фруктоза С,,НІ_>ОІ„ або, як її називають, плодовий цукор. Це ізомер і супутник глюкози у багатьох плодових і ягідних соках.
На відміну від глюкози фруктоза є кетоноспиртом, до її складу входить функціональна кетонна група:

Фруктоза значно солодша за глюкозу, у суміші з нею входить до складу меду. Фруктоза — найкращий вид цукру для хворих атеросклерозом, при порушенні в організмі обміну жирів.

Фруктоза є кетоноспиртом. Вона разом із глюкозою міститься у солодких плодах та меді. Фруктоза має більш солодкий смак, ніж глюкоза й цукроза.
ЦУКРОЗА
Цукроза — речовина солодкого смаку, дуже добре розчинна у воді. Міститься в багатьох рослинах, здебільшого у їх плодах.

Сахароза, яку ще називають буряковим, або тростинним, цукром — найважливіша сполука з дисахаридів. Молекулярна формула її — СІ.'Н._>О|І. У великих кількостях сахароза міститься у буряках і стеблах цукрової тростини, а також у березовому і кленовому соках, у багатьох плодах і овочах.
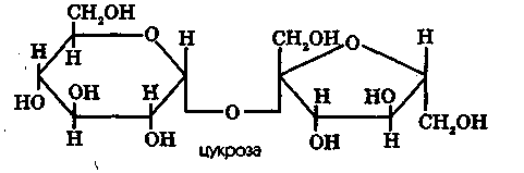
1. Гідроліз: Сахароза (звичайний цукор) — біла кристалічна речовина, солодша за глюкозу, добре розчинна у воді. Важлива хімічна властивість сахарози — здатність до гідролізу (при нагріванні і наявності іонів водню як каталізатора). При цьому з однієї молекули сахарози утворюється молекула глюкози й молекула фруктози:

Це підтверджує, що молекули сахарози складаються із сполучених один з одним залишків молекул глюкози і фруктози. Сахарозу порівняно з глюкозою можна розглядати ніби подвійним цукром, через що вона й належить до дисахаридів (грецьке слово ди означає «двічі»).
Утворення дисахаридів можна уявити собі як процес, зворотний їх гідролізу:

2. Реакція срібного дзеркала: Сахароза не дає реакції «срібного дзеркала» і не має відновних властивостей. У цьому її відмінність від глюкози. В той же час вона, як І глюкоза, легко взаємодіє з гідроксидами металів. Так, суспензія гідроксиду кальцію розчиняється у розчині сахарози з утворенням сахарату кальцію, подібного за будовою до сполуки глюкози з кальцієм.
3. Взаємодія з купрум (ІІ) гідроксидом:
В Україні сахарозу (цукор) добувають з цукрового буряку. Для виділення сахарози цей природний продукт миють, подрібнюють І обробляють гарячою водою. Разом з сахарозою в розчин переходять різні кислоти, барвні речовини, від яких треба позбавитись. Обробляють розчин вапняним молоком. Малорозчинні кальцієві солі більшості органічних кислот випадають в осад. Сахароза з гідроксидом кальцію утворює розчинний у воді сахарат кальцію. Щоб розкласти його і нейтралізувати надлишок гідроксиду кальцію, крізь добутий розчин пропускають оксид вуглецю (IV). Після осадження кальцію у вигляді карбонату розчин фільтрують, упарюють і одержують кристалики піскового цукру жовтуватого кольору, який надають йому барвні речовини. З метою додаткового очищення цукор знову розчиняють у воді і добутий розчин пропускають крізь активоване вугілля, після чого його упарюють і кристалізують.
Сахароза не лише важливий продукт харчування — її похідні використовуються в техніці, наприклад як пластифікатори у виробництві пластмас. Вона застосовується також для виготовлення деяких ліків, мікстур для дітей, сиропів тощо.
Схема одержання цукрози із цукрового буряка



Цукровий буряк
Стружка цукрового буряка
Розчин цукрози з домішками



Нерозчинні солі кальцію
Цукроза Розчин цукрози
З



астосування
глюкози і цукрози


Глюкоза
Цукроза
У кондитерській промисловості.
У медицині
У
текстильній промисловості
(для
відділки тканин)
У кондитерській промисловості.
2. Як продукт харчування
3. Для одержання штучного меду
Вправа У п'яти пробірках без написів містяться розчини таких речовин: гліцерину, оцтового альдегіду, мурашиної кислоти, пропіонової кислоти, глюкози. Запропонуйте план визначення кожної з цих речовин, використовуючи розчини карбонату натрію, гідроксиду натрію, сульфату міді (II). Масова частка кожної з зазначених речовин у цих розчинах становить 10 %.
Р о з в' я з а н н я. За допомогою розчину карбонату натрію можна визначити мурашину і пропіонову кислоти за виділенням вуглекислого газу:

Після цього в пробірки .і кислотами додаємо свіжоосаджении гідроксид міді (II) і суміш нагріваємо. За утворенням червоного осаду оксиду міді (І) і виділенням СО>2>.і виявляємо мурашину кислоту:

У три пробірки, що залишились, додаємо свіжоосаджении гідроксид міді (II) і за появою інтенсивно синього забарвлення визначаємо гліцерин і глюкозу. Так, для гліцерину цей процес описується за рівнянням, поданим на с- 115.
При подальшому нагріванні вмісту цих трьох пробірок виявимо оцтовий альдегід і глюкозу за утворенням червоного осаду:

1. Які речовини відносять до вуглеводів і звідки погодить ця назва?
2. Як класифікують вуглеводи?
Як
побудована молекула глюкози? Які
функціональні груші містяться
в
ній?
Як можна довести наявність у молекулі глюкози альдегідної групи?
Як дослідним шляхом довести, що в молекулі глюкози є п’ять гідроксильних груп?
Наведіть рівняння реакцій, у яких глюкоза виявляє:
а) відновні властивості: б) окисні властивості.
Яке значення глюкози в життєвих процесах організмів тварин і людини?
Які види бродіння глюкози вам відомі? Назвіть їх практичне значення.
Чому буряковий (тростинний) цукор належить до дисахаридів?
10. Які групи речовин дають реакцію «срібного дзеркала”:
а) глюкоза, гліцерин, етиленгліколь;
б) гліцерин, глюкоза, сахароза:
в) глюкоза, формальдегід, метанова кислота?
11. Які я речовин виявляють змішані функції:
а) глюкоза і гліцерин;
б) глюкоза і олеїнова кислота;
в) глюкоза І оцтова кислота;
г) глюкоза і метанова кислота?