Супрамолекулярная химия
Оглавление
|
Cупрамолекулярная химия. Предыстория |
3 |
|
Исследования, заложившие основы супрамолекулярной химии |
5 |
|
История изучения некоторых типичных объектов супрамолекулярной химии |
8 |
|
Cовременное состояние и тенденции развития супрамолекулярной химии |
10 |
Проанализировано развитие области науки, называемой супрамолекулярной химией. Даны основные определения и понятия этой дисциплины. В историческом контексте рассмотрены исследования, заложившие основы супрамолекулярной химии. Приведены примеры некоторых ее типичных объектов – клатратов и циклодекстринов. Отмечается, что последние достижения в супрамолекулярной химии и наиболее перспективные области ее использования связаны с процессами самосборки и самоорганизации, которые, в частности, могут быть реализованы в супрамолекулярном синтезе и создании молекулярных и супрамолекулярных устройств.
Cупрамолекулярная химия. Предыстория
Супрамолекулярная химия – одна из самых молодых и в то же время бурно развивающихся областей химии. За 25 – 30 лет своего существования она уже успела пройти ряд важных этапов, но в то же время основные идеи и понятия этой дисциплины еще не являются общеизвестными и общепринятыми. В предлагаемом обзоре мы стремились проследить развитие области науки, называемой супрамолекулярной химией, выявить наиболее удачные определения ее основных задач и важнейших понятий, а также обрисовать современное состояние и перспективы.
Термин «супрамолекулярная химия» и основные понятия этой дисциплины были введены французским ученым Ж.-М. Леном в 1978 г. [1, 2] в рамках развития и обобщения более ранних работ [3] (в частности, в 1973 г. в его трудах появился термин «супермолекула»). Супрамолекулярная химия определялась словами: «Подобно тому как существует область молекулярной химии, основанной на ковалентных связях, существует и область супрамолекулярной химии, химии молекулярных ансамблей и межмолекулярных связей». Впоследствии это первое определение много раз переформулировалось. Пример другого определения, данного Леном: «супрамолекулярная химия – это «химия за пределами молекулы», изучающая структуру и функции ассоциаций двух или более химических частиц, удерживаемых вместе межмолекулярнымисилами» [4].
Во многих случаях компоненты, образующие супрамолекулярные системы, можно называть (по аналогии с системами, рассматриваемыми в молекулярной биологии) молекулярными рецептором и субстратом, причем последний является меньшим по размеру компонентом, связывания которого и необходимо добиться [2].
Для того чтобы адекватно описать химический объект, необходимо указать его элементы и типы связей между ними, а также пространственные (геометрические, топологические) характеристики. Объекты супрамолекулярной химии, супермолекулы, обладают такой же определенностью, как и составляющие их отдельные молекулы. Можно сказать, что «супермолекулы представляют собой по отношению к молекулам то же, что молекулы – по отношению к атомам, причем роль ковалентных связей в супермолекулах играют межмолекулярные взаимодействия» [5].
Согласно Лену, супрамолекулярную химию можно разбить на две широкие, частично налагающиеся друг на друга области [4]:
– химию супермолекул – четко обозначенных олигомолекулярных частиц, возникающих в результате межмолекулярной ассоциации нескольких компонентов – рецептора и его субстрата (субстратов) и строящихся по принципу молекулярного распознавания;
– химию молекулярных ансамблей – полимолекулярных систем, которые образуются в результате спонтанной ассоциации неопределенного числа компонентов с переходом в специфическую фазу, имеющую более или менее четко обозначенную микроскопическую организацию и зависимые от ее природы характеристики (например, клатраты, мембраны, везикулы, мицеллы).
Супрамолекулярные образования могут быть охарактеризованы пространственным расположением компонентов, их архитектурой, «супраструктурой», а также типами межмолекулярных взаимодействий, удерживающих компоненты вместе. Супрамолекулярные ансамбли обладают вполне определенными структурными, конформационными, термодинамическими, кинетическими и динамическими свойствами, в них могут быть выделены различные типы взаимодействий, различающиеся своей силой, направленностью, зависимостью от расстояний и углов: координационные взаимодействия с ионами металлов, электростатические силы, водородные связи, ван-дер-ваальсовы взаимодействия, донорно-акцепторные взаимодействия и т. д. Сила взаимодействий может варьировать в широком диапазоне, от слабых или умеренных, как при образовании водородных связей, до сильных и очень сильных, как при образовании координационных связей с металлом. Однако в целом межмолекулярные взаимодействия слабее, чем ковалентные связи, так что супрамолекулярные ассоциаты менее стабильны термодинамически, более лабильны кинетически и более гибки динамически, чем молекулы [6].
Таким образом, супрамолекулярная химия охватывает и позволяет рассмотреть с единых позиций все виды молекулярных ассоциатов, от наименьшего возможного (димер) до наиболее крупных (организованных фаз) [6]. При этом необходимо еще раз подчеркнуть, что объекты супрамолекулярной химии обязательно содержат части (подсистемы), не связанные ковалентно.
Переход от молекулярной к супрамолекулярной химии Лен предложил иллюстрировать схемой, представленной на рис. 1 [2].
О

Рис 1. Схема перехода от молекулярной химии к супрамолекулярной
сновные функции супермолекул: молекулярное распознавание, превращение (катализ) и перенос [7]. Функциональные супермолекулы наряду с организованными полимолекулярными ансамблями и фазами могут быть использованы для создания молекулярных и супрамолекулярных устройств [4].Кроме Лена следует также назвать Ч. Дж. Педерсена и Д. Дж. Крама, работы и исследования которых сыграли важную роль в становлении супрамолекулярной химии. В 1987 г. эти трое ученых были удостоены Нобелевской премии по химии (за определяющий вклад в развитие химии макрогетероциклических соединений, способных избирательно образовывать молекулярные комплексы типа «хозяин-гость») [1].
Исследования, заложившие основы супрамолекулярной химии
Истоки основных понятий супрамолекулярной химии можно найти в работах, выполненных еще в прошлом и самом начале нынешнего века. Так, П. Эрлих в 1906 г. [8] фактически ввел понятия рецептора и субстрата, подчеркивая, что молекулы не реагируют друг с другом, если предварительно не вступают в определенную связь. Однако связывание должно быть не любым, а селективным. Это подчеркивал Э. Фишер еще в 1894 г. [9], сформулировав свой принцип «ключ – замок» – принцип, предполагающий, что в основе молекулярного распознавания лежит стерическое соответствие, геометрическая комплементарность рецептора и субстрата. Наконец, селективное связывание требует взаимодействия, сродства между партнерами, и корни этой идеи можно искать в трудах А. Вернера [10], что делает супрамолекулярную химию в этом отношении обобщением и развитием координационной химии.
Как считает Ж.-М. Лен, эти три понятия – фиксация (связывание), распознавание и координация – заложили фундамент супрамолекулярной химии [6].
Некоторые другие понятия супрамолекулярной химии также давно известны. Даже термин «Übermolecule», т.е. супер-, или сверхмолекула, был введен уже в середине 30-х гг. нашего столетия [11] для описания более высокого уровня организации, возникающего из-за ассоциации координационно насыщенных молекул (например, при образовании димера уксусной кислоты). Была хорошо известна важнейшая роль супрамолекулярной организации в биологии [6].
Однако возникновение и развитие супрамолекулярной химии как самостоятельной области в системе химических наук произошло значительно позднее. Вот что пишет по этому поводу Ж.-М. Лен в своей книге [6]: «…для возникновения и бурного развития новой научной дисциплины требуется сочетание трех условий. Во-первых, необходимо признание новой парадигмы, показывающей значение разрозненных и на первый взгляд не связанных наблюдений, данных, результатов и объединяющей их в единое когерентное целое. Во-вторых, нужны инструменты для изучения объектов данной области, и здесь для супрамолекулярной химии решающую роль сыграло развитие современных физических методов исследования структуры и свойств (ИК-, УФ- и особенно ЯМР-спектроскопия, масс-спектрометрия, рентгеновская дифракция и др.), позволяющих изучать даже сравнительно лабильные супрамолекулярные ансамбли, характеризуемые низкоэнергетическими нековалентными взаимодействиями. В-третьих, необходима готовность научного сообщества воспринять новую парадигму так, чтобы новая дисциплина могла найти отклик не только среди занимающихся непосредственно ею специалистов, но и в близких (и не очень близких) областях науки. Так произошло и с супрамолекулярной химией, насколько можно судить по стремительным темпам ее развития и проникновения в другие дисциплины за последние 25 лет».
По мнению Лена, «…супрамолекулярная химия в том виде, в каком мы знаем ее сегодня, началась с изучения селективного связывания катионов щелочных металлов природными и синтетическими макроциклическими и макрополициклическими лигандами, краун-эфирами и криптандами» [12].
Среди подобного рода природных соединений прежде всего следует указать на антибиотик валиномицин. Расшифровка его структуры в 1963 г., в которую большой вклад внесли советские ученые во главе с Ю. А. Овчинниковым [13], вышла далеко за рамки обычного открытия. Этот циклический депсипептид (он построен из остатков амино- и оксикислот, соединенных между собой амидными и сложноэфирными связями) оказался первым среди мембрано-активных комплексонов, или ионофоров. Такие названия отражают способность этих веществ давать комплексные соединения со щелочными катионами в растворах и переносить связанный катион через биологические мембраны. С открытием ионофоров стала реальной возможность целенаправленного регулирования ионных потоков в живых системах. За работы в области мембрано-активных комплексонов Овчинникову с сотрудниками в 1978 г. была присуждена Ленинская премия [14].
Следующий важный этап в становлении супрамолекулярной химии связан с открытием Ч. Педерсеном в 1962 г. краун-эфиров [15]. Пытаясь синтезировать ингибиторы, стабилизирующие нефтяные масла от автоокисления, Педерсен получил побочный продукт, который сейчас называется дибензо-18-краун-6. Впоследствии Педерсен синтезировал и изучил примерно 60 макроциклических полиэфиров с числом кислородных атомов от 4 до 20 и размером цикла от 12- до 60-членного. Он обнаружил, что краун-эфиры образуют с катионами щелочных и щелочноземельных металлов прочные комплексы, которые можно выделить в кристаллическом виде [16].
В 1966 г. Ж.-М. Лен заинтересовался процессами, происходящими в нервной системе, и задался вопросом: может ли химия внести вклад в изучение этих высших биологических функций [4]? Электрические процессы в нервных клетках основаны на изменениях в распределении ионов калия и натрия в клеточных мембранах. В опубликованных в то время научных работах было показано, что валиномицин может посредничать при переносе иона калия в митохондрии. Это навело Лена на мысль, что подходящие искусственно созданные циклопептиды или их аналоги могут явиться средством изучения распределения катионов в мембране и их переноса через мембрану. Такие свойства проявляли также и другие нейтральные антибиотики энниатиновой и актиновой групп, что объяснялось избирательным образованием комплексов с катионами щелочных металлов [13]. Однако возникла необходимость синтеза молекул химически менее активных, чем циклические пептиды. Важную роль для осуществления такого синтеза сыграло открытие Ч. Педерсена. Краун-эфиры стали рассматриваться как вещества, в которых сочетаются комплексообразующая способность макроциклических антибиотиков и устойчивые функции эфира.
В

Рис 2. Криптанды, синтезированные Ж.-М. Леном (m=0, n=1; m=1, n=0; m=n=1)
то же время стало ясно, что соединения, имеющие трехмерную сфероидальную полость, которая целиком охватывает связанный ион, должны образовывать более прочные комплексы, чем макроциклы с плоской формой. Работа над этой проблемой началась в октябре 1967 г., а осенью 1968 г. был получен первый трехмерный аминоэфир, названный Леном криптандом [4] (рис. 2, m=n=1). Сразу же была отмечена его способность прочно связывать ионы калия, и полученному комплексу была приписана криптатная (клеточная) структура. Были синтезированы и другие криптаты. Их строение было подтверждено путем определения кристаллической структуры ряда комплексов [4] (рис. 3).Д. Крам обратил внимание на существенный недостаток краун-эфиров и криптандов, заключающийся в том, что и те и другие недостаточно хорошо организованы для приема гостевых ионов: их структура как бы сморщена, но выделить в кристаллическом виде [16]. не расправлена [16, 17] (рис. 4, а, б). Поэтому при вхождении катиона внутрь полости необходимы энергетические затраты на ее выравнивание (оптимизацию), и это сказывается на устойчивости комплекса. Д. Крам решил сконструировать так называемые «молекулы-к

Рис 3. Структура криптата рубидия
онтейнеры» с заранее предорганизованной структурой. В результате сложных многостадийных синтезов в начале 1980-х гг. были получены сферанды и кавитанды [17] (рис. 4 в, г) – своего рода молекулярные чаши, стенки которых выложены ароматическими ядрами, а углубления, куда попадает частица-гость, – кислородными атомами. У этих чаш имеются даже ножки – метильные группы, связанные с фенильными радикалами. В ходе проведенных исследований выяснилось, что полученные соединения образуют значительно более устойчивые комплексы с катионами щелочных металлов, чем краун-эфиры и криптанды. В чашу кавитанда могут попадать и прочно там удерживаться и небольшие нейтральные молекулы, такие, как CH>2>Cl>2>, CH>3>CN, SO>2>.Следует отметить, что более сложным соединениям присущ также и более сложный процесс молекулярного распознавания. Если для простых криптатных комплексов характерно наиболее простое – «сферическое» – распознавание, при котором играет роль лишь размер сферы, аппроксимирующий субстрат, то для сложных соединений молекулярное распознавание может быть «тетраэдрическим» или «линейным» распознаванием, осуществляемым рецепторами разного типа [4]. В последующие годы были изучены все эти многочисленные разновидности процессов молекулярного распознавания, причем участвующие в процессах рецепторы принадлежали к самым разным классам соединений (краун-эфиры, криптанды, сферанды, кавитанды, каликсарены, циклофаны, циклодекстрины, криптофаны и др.). Как пишет Лен, «... область исследований расширялась, что привело к осознанию молекулярного распознавания как новой области химических исследований, которая, поставив в центр внимания межмолекулярные взаимодействия и процессы в общем, распространившись на целый спектр смежных областей, выросла в супрамолекулярную химию» [6, 12].
И

Рис 4. Реальные (неорганизованные) структуры краун-эфира (а), криптанда (б) и предорганизованные структуры кавитанда (в) и сферанда (г)
стория изучения некоторых типичных объектов супрамолекулярной химииВ историческом контексте первыми изученными объектами супрамолекулярной химии были соединения включения, названные впоследствии клатратами. Клатраты – соединения, образованные путем включения молекул, называемых гостями, в полости каркаса, состоящего из молекул другого сорта, называемых хозяевами, или в полость одной большой молекулы-хозяина. Часто между гостями и хозяевами нет иных взаимодействий, кроме ван-дер-ваальсовых. Термодинамическая устойчивость таких соединений обеспечивается благоприятной геометрией расположения молекул-гостей в полостях хозяйского каркаса, вследствие чего слабые межмолекулярные взаимодействия приводят к выигрышу энергии по сравнению с энергией составляющих исходных компонентов в свободном состоянии [18]. При этом, как и для обычных химических соединений, соотношения составляющих компонентов могут быть переменными, как в случае клатратов гидрохинона с благородными газами, или строго определенными, как в соединениях мочевины с парафинами и в большинстве клатратных гидратов.
Вещества, которые в настоящее время рассматривают как соединения включения, первыми, по-видимому, наблюдали А. Кронстедт, открывший в 1756 г. цеолит стильбит, и Дж. Пристли, в 1778 г. обнаруживший «аномальный лед», оказавшийся гидратом SO>2>.10H>2>O. В 1785 – 1786 гг. Б. Пелетье и В. Карстен, а в 1811 г. Г. Дэви наблюдали образование кристаллов при охлаждении газообразного хлора, впоследствии (в 1823 г.) М. Фарадей установил, что это Cl>2>.10H>2>O, однако структура данного гидрата была установлена лишь в 1952 г. М. Штакельбергом и Г. Мюллером [18,19].
С

Рис 5. Структура клатратного комплекса тиомочевины с адамантаном 3:1
амо понятие и термин «клатрат» в его современном толковании были введены в 1947 г. Г. Пауэллом [20]. На рис. 5 в качестве примера приведена структура клатратного комплекса тиомочевины с адамантаном 3:1 [21]. К клатратным комплексам относятся также соединения включения циклодекстринов.Ц

Рис 6. Строение циклодекстринов: а – химическая структура, б – форма
иклодекстрины – это циклические олигосахариды, молекулы которых построены из шести, семи или восьми (n=6, 7, 8) d-глюкопиранозных звеньев, связанных между собой -1,4- гликозидной связью [22] (рис. 6). Молекулы циклодекстринов имеют форму усеченного конуса (ведрышка), полого внутри, в котором по окружности нижнего основания расположены 6–8 первичных OH-групп, а по окружности верхнего основания 12–16 вторичных ОН-групп [23]. Циклодекстрины были открыты в 1891 г. А.Вилиерсом [24], а первое подробное описание их выделения опубликовано в 1903 г. Ф.Шардингером [25]. В 1938 г. К. Фройденберг [18] определил строение циклодекстринов. С тех пор эти существующие в природе (естественные) рецепторы использовались в различных целях. Так, Ф. Крамер в 1954 г. впервые показал [26], что циклодекстрины могут образовывать комплексы включения с широким набором субстратов. Их роль как катализаторов была изучена И. Табуши и Бреслоу в 1982 г. [27].Природа взаимодействий между циклодекстрином и «гостем» однозначно не установлена и широко обсуждается [22]. Наиболее вероятными представляются относи-тельно слабые взаимодействия (ван-дер-ваальсовы, гидро-фобные и др.) [22], что и позволяет отнести эти комплексы к объектам супрамолекулярной химии. Химическое превращение таких комплексов приводит к образованию сложных молекулярных конструкций, таких как катенаны, ротаксаны, полиротаксаны и трубки, которые нелегко получить другими способами [23]. Способность циклодекстринов образовывать прочные комплексы в водных растворах с большим количеством «гостей» различных типов привела к их использованию в качестве строительных блоков для наноструктур, образующихся путем их самоорганизации и входящих в наноустройства [23].
Cовременное состояние и тенденции развития супрамолекулярной химии
Последние достижения в супрамолекулярной химии и наиболее перспективные области ее использования связаны с процессами молекулярного распоз

Рис 7. Самосборка с участием межмолекулярных водородных связей
навания и образования новых структур за счет так называемых «самопроцессов» [6, 7, 28-30]. Понятия самосборки (self-assembling) и самоорганизации (self-organization) были введены в супрамолекулярную химию Ж.-М. Леном в ходе изучения спонтанного образования неорганических комплексов (двойных геликатов), протекающего как процесс самосборки [28]. По сути, эти понятия пришли в супрамолекулярную химию из биохимии, где они еще раньше заняли важное место, поскольку только за счет «самопроцессов» может осуществляться биосинтез. Наиболее яркое проявление самосборки в живой природе – самосборка молекул нуклеиновых кислот, матричный синтез белков; на определяющую роль самосборки указывает строго определенная пространственная структура ферментов и рецепторов [29].В супрамолекулярной химии самоорганизация означает спонтанную генерацию при заданных условиях хорошо определенной супрамолекулярной структуры из отдельных составных компонентов [6]. Согласно Лену [6], самосборка и самоорганизация описывают два различных, но частично перекрывающихся класса явлений, причем самосборка – это более широкий термин, чем самоорганизация. Супрамолекулярная самосборка заключается в спонтанной ассоциации как минимум двух или более компонентов, приводящей к образованию или дискретных супермолекул, или протяженных полимолекулярных ансамблей (молекулярные слои, пленки и т.д.). При этом процесс ассоциации происходит за счет нековалентных взаимодействий [3, 6].
С

Рис 8. Молекулярный челнок, переключаемый путем изменения рН среды
амоорганизацию Лен определяет как упорядоченную самоассоциацию, которая:1) включает системы, в которых возможно спонтанное возникновение порядка в пространстве и/или во времени, 2) охватывает пространственный (структурный) и временной (динамический) порядок, 3) затрагивает только супрамолекулярный (нековалентный) уровень, 4) является многокомпонентной. Таким образом, самоорганизация включает взаимодействие и интеграцию, обусловливающие коллективное поведение [6, 30].
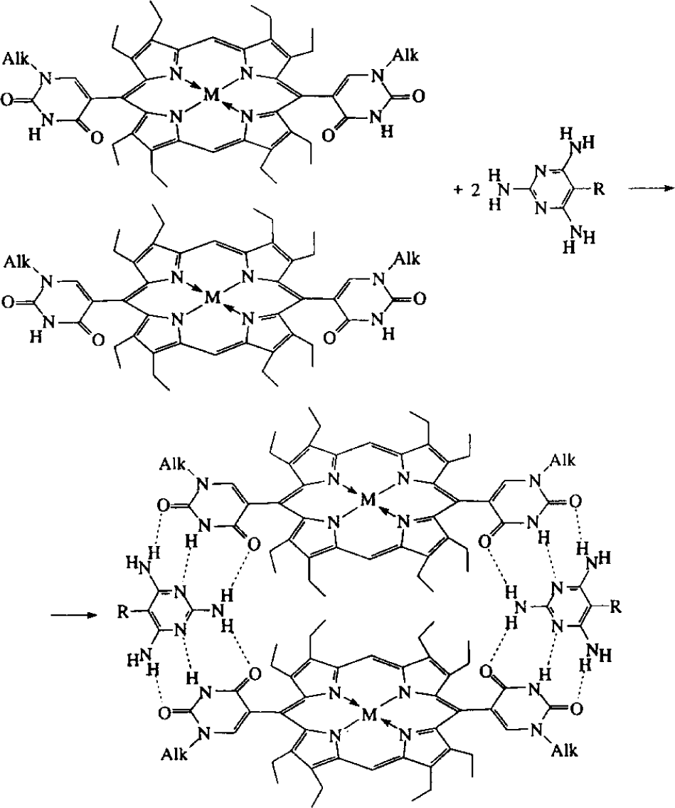
Самоорганизация может происходить в растворе, в жидкокристаллической фазе или твердом состоянии, причем в качестве основных взаимодействий между компонентами используются водородные связи, электростатические и донорно-акцепторные взаимодействия, а также эффекты среды (сольвофобные взаимодействия) [7]. На рис. 7 показана самосборка с участием водородных связей, в которой участвуют две порфириновые молекулы при «посредничестве» 2,4,6-триамино-5-алкилпиримидинов. Образующаяся структура имеет форму клетки [29].
Ж.-М. Лен отмечает, что «вклад супрамолекулярной химии в химический синтез можно рассматривать в двух основных аспектах: получение самих нековалентных супрамолекулярных частиц, что прямо выражается в процессах самосборки, и использование супрамолекулярных особенностей для содействия синтезу ковалентных молекулярных структур» [6]. Собственно супрамолекулярный синтез заключается в образовании супрамолекулярных структур посредством направленных межмолекулярных сил. При этом необходимо также, чтобы в процессе синтеза происходила генерация супрамолекулярных частиц в ходе самого синтеза. Можно сказать, что супрамолекулярный синтез возможен при наличии своеобразного планирования и контроля на межмолекулярном уровне. При синтезе сложных ковалентных частиц супрамолекулярная химия может быть использована для нужного размещения компонентов, например путем самосборки. Это открывает новые возможности в области синтеза сложных систем, причем в последние годы это направление стало одним из ведущих [22, 23].
Еще одной перспективной областью развития супрамолекулярной химии является создание молекулярных и супрамолекулярных устройств. Молекулярными устройствами называют структурно организованные и функционально интегрированные химические системы. Они основаны на определенной пространственной организации специфических компонентов и могут быть встроены в супрамолекулярные структуры [6, 7]. Можно выделить фотонные, электронные или ионные устройства, в зависимости от того, являются ли компоненты фотоактивными, электроактивными или ионоактивными соответственно, т.е. участвуют в поглощении или испускании фотонов, являются донорами или акцепторами электронов или участвуют в ионном обмене.
Можно выделить два основных типа компонентов, входящих в такие устройства: активные компоненты, которые осуществляют заданную операцию (принимают, отдают или передают фотоны, электроны, ионы и т.д.), и структурные компоненты, которые участвуют в создании супрамолекулярной архитектуры, задавая необходимое пространственное расположение активных компонентов, в частности, за счет процессов распознавания. Кроме того, в состав устройства могут быть введены вспомогательные компоненты, назначение которых состоит в модифицировании свойств активных и структурных компонентов [6]. Главным является то, что в отличие от обычных материалов компоненты и состоящие из них устройства должны выполнять свои функции на молекулярном и супрамолекулярном уровнях. Включение молекулярных устройств в супрамолекулярные системы позволяет получать функциональные супермолекулы или ансамбли (слои, пленки, мембраны и т.д.).
Молекулярные и супрамолекулярные устройства, по определению, образуются из компонентов, связанных соответственно ковалентными и нековалентными связями. К супрамолекулярным можно также отнести устройства, компоненты которых связаны ковалентными связями, однако хотя бы частично сохраняют свою индивидуальность [6].
В последнее время удалось создать переключающиеся молекулярные ансамбли, изменяющие свою пространственную структуру в зависимости от действия таких внешних факторов, как рН среды или ее электрохимический потенциал. Примером может служить ротаксан, показанный на рис. 8. Он состоит из длинной полиэфирной цепочки, которая «продета» через цикл, построенный из двух остатков дипиридила, соединенных циклофановыми мостиками [29]. Чтобы цикл не соскочил с цепочки, на концах ее имеются объемные группы – триизопропилсилильные заместители. Включенные в полиэфирную цепочку остатки 4,4'-диаминодифенила и 4,4'-дигидроксидифенила обладают выраженными электронодонорными свойствами; поэтому электроноакцепторный тетракатионный цикл электростатически закрепляется именно на них. При этом реализуются две конформации, находящиеся в состоянии подвижного равновесия. Так как ароматические амины – более сильные электронодоноры, чем фенолы, преобладает форма, где цикл взаимодействует с аминным фрагментом. Однако положение равновесия можно изменять, варьируя кислотность среды. В сильнокислой среде аминные атомы азота протонируются, т.е. сами становятся электроноакцепторами, и бис-дипиридиниевый цикл полностью перескакивает на фенольный фрагмент. То же самое происходит при изменении внешнего электрохимического потенциала. По-видимому, на основе этого устройства может быть создан молекулярный переключатель. Полагают, что подобные молекулярные устройства обеспечат будущее развитие нанотехнологии, которая во многом заменит доминирующую сейчас полупроводниковую технологию [29].
Говоря об особенностях супрамолекулярной химии, следует обратить внимание на то, что в этой науке особую, исключительно важную роль играют детальные и полные структурные данные. Продвижение в этой области было бы невозможно без конкретного анализа пространственной конфигурации и относительного пространственного расположения компонентов супрамолекулярных систем. Сказанное дает основание рассматривать супрамолекулярную химию как естественную часть структурной химии.
Как уже было сказано, многие идеи и разделы супрамолекулярной химии возникли фактически задолго до ее формального рождения. К этому можно добавить, что природа межмолекулярных взаимодействий (включая водородные связи и другие специфические взаимодействия), их энергия и роль в самых различных процессах давно и тщательно изучались, в том числе и в структурном аспекте, характерном для супрамолекулярной химии. Так, в России работали целые школы, всесторонне изучавшие межмолекулярные взаимодействия.
Строение молекулярных кристаллов, в частности «смешанных», таких как клатраты, изучал А. И. Китайгородский с сотр. [31, 32], межмолекулярные взаимодействия в адсорбции и хроматографии стали предметом исследований А. В. Киселева и сотр. [33], влияние невалентных взаимодействий на конформации молекул стало предметом трудов В. Г. Дашевского [34, 35]. И все же творцами супрамолекулярной химии по справедливости считаются именно Ж.-М. Лен, Ч. Дж. Педерсен и Д. Дж. Крам.
Главная заслуга этих выдающихся ученых заключается в том, что арсенал традиционной химии, достижения в физико-химическом изучении межмолекулярных сил, всю мощь современных физических методов исследований они направили на создание принципиально новых химических объектов, теоретическое и практическое значение которых исключительно велико и, по-видимому, еще не в полной мере осознано.
Литература
|
1. Волков В.А., Вонский Е.В., Кузнецова Г.И. //Выдающиеся химики мира. М. 1991. 2. Lehn J.-M. // Pure and Appl. Chem. 1978. 50. P. 871. 3. Lehn J.-M. // Struct. Bonding. 1973. 16. P. 1. 4. Лен Ж.-М.. // Химия за рубежом., М. 1989. C. 13. 5. Lehn J.-M. // Science. 1985. 227. P. 849. 6. Lehn J.-M. Supramolecular Chemistry, Concepts and Perspectives. Weinheim, 1995.Русский перевод: Лен Ж.-М. Супрамолекулярная химия. Концепции и перспективы. Новосибирск, 1998. 7. Лен Ж.-М.. // Российский химический журнал. 1995. 39. С. 94. 8. Ehrlich P. // Studies on Immunity. Wiley. N.Y., 1906. Цит по [6]. 9. Fischer E. // Ber. Deutsch. Chem. Ges. 1894. 27. 2985. Цит по [6]. 10. Werner A. // Zeitschr. Anorg. Chem. 1893. 3. 267. Цит по [6]. 11. Wolf K.L., Frahm F., Harms H. // Z. Phys. Chem. Abt. 1937. B 36. P. 17. Цит по [5]. 12. Lehn J.-M. // Pure and Appl. Chem. 1979. 51. P. 979. 13. Овчинников Ю.А., Иванов В.Т., Шкроб А.М. Мембранно-активные комплексоны. М. 1974. 14. ДавыдоваС.Л. Удивительные макроциклы. Л., 1989. 15. Педерсен Ч.Дж. Химия за рубежом. М., 1989. 16. Пожарский А.Ф. // Соросовский образовательный журнал. 1997. № 9. С. 32. 17. Cram D.J. // Science. 1983. 219. P. 1177. 18. Дядин Ю.А., Удачин К.А., Бондарюк И.В. Соединения включения. Новосибирск. 1988. 19. Muller A., Reuter H., Dillinger S. // Angew. Chem. Int. Ed. Engl. 1995. 34. P. 2328. 20. Powell H.M. // J. Chem. Soc. 1948. 1. P. 61. 21. Gopal R., Robertson B.E., Rutherford J.S. // Acta Cryst. C. 1989. 45. P. 257. 22. Philp D., Stoddart J.F. // Angew. Chem. Int. Ed. Engl. 1996. 35. P. 1155. 23. Wenz G. // Angew. Chem. Int. Ed. Engl. 1994. 33. P. 803. 24. Viliers A., Hebd C.R. // Seances Acad. Sci. 1891. 112. P. 536. Цит. по [23]. 25. Schardinger F. // Z. Unters Nahr. Genussm. Gebrauchsgegenstaende. 1903. 6. 865, Цит. по [23]. 26. Cramer F. Einschlussverbindungen. Berlin, Springer-Werlag, 1954, Цит. по [23]. 27. Tabushi I. // Acc. Chem. Res. 1982. 15. P. 66. Цит. по [23]. 28. Lehn J.-M., Rigault A., Siegel J., Harrowfield J., Chevrier B., Moras D. // Proc. Natl. Acad. Sci. USA. 1987. 84. P. 2565. 29. . Пожарский А.Ф. // Соросовский образовательный журнал. 1997. № 9. С. 40. 30. Lawrence D.S., Jiang T., Levett M. // Chem. Rev. 1995. 95. P. 2229. 31. Китайгородский А.И. Молекулярные кристаллы. М., 1971. 32. Китайгородский А.И. Смешанные кристаллы. М., 1983. 33. Авгуль Н.Н., Киселев А.В., Пошкус В.Д. Адсорбция на однородных поверхностях. М., 1975. 34. Дашевский В.Г. Конформации органических молекул. М., 1974. 35. Дашевский В.Г. Конформационный анализ макромолекул. М., 1987. |
3