Фуллерены (работа 3)
1

Для химика, основные области интересов которого - изучение превращений известных веществ и синтез новых, элементарный углерод - не самое интересное из веществ. Ситуация замечательным образом изменилась в 1985 г., когда семейство аллотропов углерода, насчитывавших в то время графит и алмаз, обогатилось фуллеренами. Новая форма углерода растворима в целом ряде органических растворителей, что исключительно важно для осуществления химических превращений.
Фуллерены построены из пятиугольников и шестиугольников, в вершинах которых лежат атомы углерода. Наименьшим стабильным фуллереном является бакминстерфуллерен C>60> (Рисунок 1). Его следующим устойчивым гомологом является C>70>, за которым следуют C>76>, C>78>, C>82>, C>84>, C>90>, C>94>, C>96> и т.д. В основе строения их молекул лежит одно из следствий теоремы Эйлера, которое говорит о том, что для выстилания сферической поверхности необходимо n шестиугольников и 12 пятиугольников, за исключением n = 1.
По сравнению с двумерными молекулами, такими, как плоский бензол, фуллерены кажутся шедеврами трехмерной архитектуры, взывающими к эстетическому вкусу ученых, в результате чего, вероятно, эта область химии так бурно развивается в последнее десятилетие. Для химиков-синтетиков открылась возможность получения бесчисленных производных, комбинируя фуллерен с представителями множества известных классов веществ. Одним из первых были поставлены вопросы: каким типом реакционной способности обладает фуллерен? Можно ли его представлять себе как трехмерный аналог бензола? Как устроены его производные и какими свойствами они обладают?
В соответствии с правилами IUPAC фуллерен C>60> получил название, которое слишком неудобно для повседневного употребления: гентриаконтацикло-[29.29.0.02,14. 03,12.04,59.05,10. 06,58.07,55.08,53. 09,21.011,20.013,18. 015,30.016,28.017,25. 019,24.022,52.023,50. 026,49.027,47.029,45. 032,44.033,60.034,57. 035,43.036,56.037,41. 038,54.039,51.040,48. 042,46]-гексаконта- 1,3,5(10),6,8,11, 13(18),14,16,19, 21,23,25,27,29(45), 30,32(44),33,35(43), 36,38(54),39(51), 40(48),41,46,49, 52,55,57,59- триаконтаен. Однако возможность существования огромного числа изомеров требует введения более простой номенклатуры. Так, C>60> предложено называть [5,6]-фуллереном-60-I>h>, где цифры 5 и 6 указывают на структурные единицы молекулы - пятиугольники и шестиугольники, а цифра 60 обозначает общее число атомов углерода в молекуле. Так как у простейших фуллеренов существует только по одному стабильному изомеру, их названия упрощают до фуллерена-60 и фуллерена-70. При записи структурных формул атомы углерода с обратной стороны сферы опускают для ясности (Рисунок 2). Шлегель предложил нумеровать атомы углерода по часовой стрелке, начиная с шестиугольника (Рисунок 3).

Р

Рисунок 3. Диаграмма Шлегеля для нумерации атомов фуллерена-60.
исунок 1. Шаростержневая модель молекулы фуллерена-60. Рисунок 2. Проекционная формула фуллерена-60.Физические свойства
Внешне фуллерены представляют собой мелкокристаллические порошки черного цвета, лишенные запаха. В воде, этаноле, ацетоне и других полярных растворителях они практически нерастворимы, зато в бензоле, толуоле, фенилхлориде растворяются с образованием окрашенных в красно-фиолетовый цвет растворов. Замечательно, что если к насыщенному раствору C>60> в диоксане, имеющему желто-коричневый цвет, добавить каплю стирола, мгновенно происходит явственное изменение окраски раствора на красно-фиолетовую, объясняемую образованием комплекса (сольвата).
Энтальпия образования фуллерена-60 составляет приблизительно 42.5 кДж/моль, а C>70> - 40.3 кДж/моль. Это говорит о том, что они менее стабильны, чем графит (0 кДж/моль) и алмаз (1.67 кДж/моль), причем с увеличением размеров сферы (то есть по мере увеличения числа атомов углерода) энтальпия образования асимптотически стремится к энтальпии графита, так как сфера все более напоминает плоскость.
Твердый C>60> имеет гранецентрированную кубическую решетку при комнатной температуре, его плотность составляет 1.68 г/см3. Ввиду слабого межмолекулярного взаимодействия молекулы свободно вращаются. Ниже 0° С происходит превращение в кубическую решетку. Фуллерен-70, свободное вращение которого слегка затруднено по причине асимметричности молекулы, испытывает фазовый переход при более низкой температуре.
Из насыщенных растворов в ароматических растворителях фуллерены при низких температурах выпадают в виде кристаллосольватов вида C>60>·X>n>, где в качестве X выступают бензол, толуол, стирол, ферроцен и другие молекулы.
Следует добавить, что так как энтальпия растворения фуллерена в большинстве растворителей положительна, при повышении температуры растворимость, как правило, ухудшается.
Реакционная способность фуллеренов
Ф
уллерены
зачастую сравнивают с ароматическими
углеводородами, что не совсем верно,
так как наиболее типичные для бензола
реакции замещения невозможны для
фуллеренов, не имеющих атомов водорода.
На этом основании можно выделить три
основных типа реакций:
Сравнение химического поведения фуллерена с другими молекулами показывает, что C>60> обычно ведет себя как электронодифицитный полиолефин, для которого делокализация электронов не имеет такого же значения, как для бензола. Принимая от 1 до 6 электронов, фуллерен-60 превращается в анион, причем в качестве доноров электронов могут выступать электрический ток, щелочные или щелочноземельные металлы или органические молекулы-доноры.
П

одобно
алкенам, фуллерены легко образуют
продукты циклоприсоединения; например,
в реакции Дильса-Альдера он, обладая
электронодифицитным характером,
выступает в качестве диенофила:
Многие из
таких аддуктов обладают замечательной
устойчивостью, хотя при этом неизбежно
нарушается идеальная сфера молекулы
C>60>,
так как атомы углерода, к которым
оказываются присоединенными заместители,
обладают тетраэдрическими орбиталями
(sp3-гибридизация),
что деформирует молекулу. Поэтому,
несмотря на то, что многие реакции
присоединения являются экзотермическими,
выделение тепла по мере введения новых
групп уменьшается. Вместе с тем появляется
вопрос о региоселективности присоединения.
Как правило, первая молекула присоединяется
в положение 1,2-, то есть в линии, где
соприкасаются два шестиугольника
(Рисунок 3) или в 1,4-, если группы являются
о
бъемными
и испытывают пространственные затруднения.
В
опрос
о месте присоединения второй группы не
так прост и потребовал серьезных
исследований. В случае фуллерена-60 места
атаки указаны стрелками:
Наиболее интересными
из этих реакций являются такие, в которых
сфера молекулы раскрывается обратимо.
Это открывает путь к получению
эндоэдральных соединений. Помещение
внутрь сферы атома инертного газа
приводит к нейтральным системам, а если
внутри оказывается ион, образуется
соль. Такие соли, получившие условное
название “молекулярных атомов” необычны
тем, что центральное “ядро” в них
заряжено положительно, а окружающая
его оболочка - отрицательно. Теоретически
возможно помещение внутрь самых необычных
молекул или молекул в необычных
состояниях, обычное время жизни которых
не превышает миллисекунд, например,
синглетного кислорода, карбокатионов
и др.
Показано, что многие из эндоэдральных
соединений могут обладать высокой
биологической активностью, что позволит
применять их в медицине.
Далее будут кратко рассмотрены реакции названных типов.
Реакции с переносом электрона
Химические свойства: восстановление
Исторически первым изученным из химических свойств фуллерена было его восстановление. Как только стала понятной электрофильная природа фуллерена, были осуществлены различные реакции, например с активными металлами, энергичными органическими молекулами - донорами электронов, электрохимическое восстановление, для получения фуллереновых солей. Анион фуллерена оказался весьма активным участником многих реакций, подвергаясь электрофильным атакам, что открыло синтетические подходы к органической химии фуллерена.
Э
лектрохимическое
восстановление фуллерена-60 может быть
осуществлено в перхлорате тетра-н-бутиламмония
(ТБАClO>4>),
который достаточно полярен для растворения
образующегося по приведенной схеме
темно-красного дианиона:
О
бработка
полученного раствора йодистым метилом
приводит к образованию темно-коричневого
раствора диметилдигидрофуллерена
C>60>(CH>3>)>2>
(смесь продуктов 1,2- и 1,4-присоединения
в отношении 3:2):
О
где n = 1-5.
чень легко происходят реакции химического восстановления фуллеренов активными электроположительными металлами, например, раствором рубидия в жидком аммиаке. Исходный фуллерен берут в виде суспензии, а получающийся анион оказывается растворимым в аммиаке:

Обработка
полученных полианионов алкилйодидами
приводит к полиалкилированным фуллеренам;
таким образом был получен C>60>(CH>3>)>24>.
Открытие сверхпроводимости комплексов
C>60>
со щелочными металлами привлекло
внимание научного сообщества к этому
классу соединений. Первой полученной
солью этого типа был K>3>C>60>,
переход которого в сверхпроводящее
состояние совершается при 19.3 К. За
короткое время было синтезировано и
изучено значительно количество таких
соединений, изменяющихся на воздухе,
но устойчивых к нагреванию. Так, K>6>C>60>
разлагается в запаянной трубке при 550
° С по схеме:
Образование фуллеридов металлов объясняется внедрением ионов в гранецентрированную кубическую решетку, где они занимают свободные тетраэдрические о октаэдрические полости. Например, в соединении Na>2>C>60> ионы натрия занимают две тетраэдрические полости, не изменяя параметров кристаллической решетки фуллерена-60. Более объемные ионы, чем Na+, заметно деформируют решетку, обусловливая низкотемпературную сверхпроводимость при условии, что фуллерен существует в виде аниона C>60>3-.
В
качестве восстановителей по отношению
к фуллерену могут выступать многие
органические вещества, являющиеся
достаточно энергичными донорами
электронов. Первые такие комплексы были
синтезированы простым смешиванием
реагентов в подходящем неполярном
растворителе, например, в бензоле.
Получающиеся при этом комплексы с
переносом заряда оказываются достаточно
хорошо растворимыми в таких полярных
растворителях, как бензонитрил или
тетрагидрофуран, что исключительно
облегчает их выделение. В определенных
условиях образование комплексов
оказывается обратимым; так, например,
комплекс с тетра-(N,N-диметиламино)этиленом
в толуоле и других ароматических
растворителях они диссоциирует на
фуллерен и молекулу - донор электронов:
Полученный комплекс обладает уникальными для органических молекул магнитными свойствами (температура перехода в ферромагнитное состояние 16.1 К).
Образование комплексов с переходными металлами
Высокое сродство молекул C>60> и C>70> к электрону проявляется в склонности к образованию комплексов с пеходными металлами. Изучение кристаллической структуры получающихся соединений привело к выводу, что процесс комплексообразования переходных металлов с фуллереновым ядром по сути такой же, как и хорошо известная реакция комплексообразования с электронодифицитными алкенами.
Т
ак,
при взаимодействии ди(трифенилфосфин)платины
с этиленом (представляющим собой плоскую
молекулу) образуется комплекс, сокращенно
обозначаемом (Ph>3>P)>2>Pt(2-C>2>H>4>),
в котором атомы водорода в молекуле
этилена более не лежат в плоскости, а
отклонены на угол
, что является мерой прочности
донорно-акцепторных связей. Такое
изменение конфигурации заместителей
усиливается при наличии в молекуле
этилена более электроноакцепторных
заместителей, чем водород. С раствором
фуллерена-60 в толуоле (Ph>3>P)>2>Pt(2-C>2>H>4>)
образует окрашенный в изумрудно-зеленый
цвет комплекс (Ph>3>P)>2>Pt(2-C>60>).
И
нтересно,
что образование комплекса, включающего
шесть атомов платины, и соответственно
имеющего на 6 двойных связей меньше, чем
исходный фуллерен, увеличивает степень
делокализации электронов в оставшихся
бензольных кольцах. Иными словами,
образовавшаяся структура имеет более
ароматический характер, чем сам
фуллерен-60. Проявлением этого является
уравнивание длин углерод-углеродных
связей в восьми шестиугольниках:

Нуклеофильное присоединение
Проявление молекулой C>60> окислительный свойств по отношению к щелочным металлам, как было показано ниже, указывает на то, что фуллерен является электронодифицитной молекулой. Рассмотрение же химического строения молекулы представляет фуллерен скорее как сопряженный полиен, в составе могут быть выделены фрагменты структуры искаженного [5]-радиалена и циклогексатриена, чем как “сверхароматическое” соединение. Характерной реакцией такого полиена оказывается нуклеофильное присоединение. Уникальность фуллерена в этом случае заключается в исключительном разнообразии образующихся продуктов, что создает большие трудности для выделения их в чистом виде.
Ф
уллерен-60
легко взаимодействует с литийорганическими
соединениями и реактивами Гриньяра,
образуя в качестве первичных интермедиатов
анионы RC>60>-.
Процесс проходит очень быстро; например,
в толуоле осадок солей выпадает
практически мгновенно:
Дальнейшая обработка, например, раствором хлороводорода в метаноле позволяет получить производные гидрофуллеренов, а йодистым метилом - метилфуллеренов:
С
родство
фуллерена к С-нуклеофилам может
проявляться в возможности получения
полимеров C>60>.
Такие фуллерены (Рисунок 4) представляют
интерес по следующим соображениям: 1)
свойства полимера сочетаются со
свойствами фуллерена, 2) при соответствующем
подборе мономеров они могут образовывать
плотные мономолекулярные пленки,
проявлять устойчивость к растворителям
и быть неплавкими, а также 3) обладать
необычными электрическими, оптическими
и каталитическими свойствами.
Рисунок 4. Четыре прототипа полимеров, включающие структурную единицу C>60>: а) прикрепленные к цепи, б) прикрепленные к поверхности (привитые), в) дендритные (ветвящиеся), г) цепочечные.
О



дним
из способов получения, например, привитых
полимеров, может служить следующая
схема (в качестве основы использована
полиэтиленовая пленка с поверхностными
дифенилметильными группами):
Стабилизация
активных интермедиатов RC>60>-
может быть осуществлена путем
внутримолекулярного нуклеофильного
замещения (S>N>i),
если R представляет собой уходящую
группу. Как показал Бингель, при
взаимодействии с
-галогенэфирами и
-галогенкетонами осуществляется гладкое
циклопропанирование фуллерена, например,
реакция с броммалоновым эфиром
(диэтилброммалонатом) с участием гидрида
натрия в толуоле осуществляется при
комнатной температуре, причем моноаддукт
может быть в
ыделен
хроматографией на колонке:
В
тех же условиях возможно образование
бис-аддукта, то есть вещества, в составе
которого содержатся два циклопропановых
кольца. Для фуллерена-60 изомеров такого
вида будет восемь, из которых преобладает
следующий:

Еще одним примером реакции нуклеофильного присоединения является гидроксилирование, которое протекает при нагревании толуольных растворов фуллеренов с избытком едкого кали; в осадок выпадают фуллеролы (гидроксофуллерены, C>60>(OH)>n>).
Интересно, что C>70> в этих условиях взаимодействует быстрее, чем C>60>, что позволяет судить о ходе реакции по окраске раствора: раствор C>60> окрашен в красно-фиолетовый цвет, а C>70> - в винно-красный.
Р

еакции
присоединения
Реакции циклоприсоединения
При реакциях циклоприсоединения активную роль всегда играют двойные связи шестичленного кольца, выступая как в качестве диенов, так и диенофилов. Огромное количество циклоаддуктов, которые при этом можно получить, сильно способствовало повышению интереса исследователей к химии фуллеренов. Эта реакция оказалась мощным инструментом, позволяющим вводить в C>60> практически любые функциональные группы, получая вещества, многие из которых выдерживают нагревание до 400 ° С без разложения.
Н
аиболее
типичными являются реакции Дильса-Альдера
([4+2]циклоприсоединение), в которых
фуллерен выступает в качестве диенофила.
В случае активных диенов характер
устанавливающегося равновесия таков,
что выход аддуктов весьма высок, а их
очистка возможна методами жидкостной
хроматографии с использованием толуола
в качестве элюента:
С
интезированный
по сходной схеме аддукт содержит
электроноизбыточную диметоксифельную
группу и электронодифицитный C>60>
в составе одной молекулы, что обусловливает
внутримолекулярное донорно-акцепторное
взаимодействие:
Р
астворимость
другого аддукта, полученного с
использованием эфира бензо[18]краун-6, в
полярных протонных растворителях,
сильно зависит от концентрации ионов
K+;
это приводит к выводу, что эфирная
группировка практически не взаимодействует
с фуллереновой частью молекулы:
Д
ругим
важным типом реакций циклоприсоединения
является реакция с диазометаном
([3+2]циклоприсоединение), в ходе которого
фуллерен ведет себя как 1,3-диполярофил.
При обработке раствора C>60>
в толуоле диазометаном интермедиат
(пиразолин) оказывается относительно
устойчивым, как показал Вудль, и
разлагается на смесь изомеров только
под действием света:
В
ыходы
изомеров заметно отличаются; этот и
другие подобные факты, а также теоретические
расчеты, позволили придти к заключению,
что для
фуллерена C>60>,
а также для его производных оказывается
энергетически невыгодным образовывать
двойные связи в месте соединения пяти-
и шестичленных колец или уменьшать
максимально возможное число [5]радиаленовых
колец. Напомним,
что в составе
C>60>
имеется 12 [5]радиаленовых колец:
Реакции циклоприсоединения с замещенными фенилдиазометанами открывают широкие возможности для введения различных функциональных групп. При наличии нескольких диазогрупп (такие соединения легко могут быть синтезированы из кетонов через их гидразоны), избирательно реагирующих с фуллереном, могут быть получены соединения, образно названные “нитью жемчуга”:


Другим
примером синтеза соединения с
дифенилметановым мостиком является
диметиловый эфир дифенола, получаемый
с выходом 94% при комнатной температуре:
Дифенол, получаемый в результате гидролиза его простого эфира, оказался исключительно интересным исходным веществом для широкого круга синтезов, например, для получения полиуретана при взаимодействии с гексаметилендиизоцианатом:

а
также для синтеза растворимого во многих
органических растворителях
светло-коричневого стеклообразного
полимера, обладающего дендритной
структурой:


Исключительно
важными, наконец, являются реакции
[2+2]циклоприсоединения; например, бензина
к C>60>.
Напомним, что термин “бензин”
относится к открытому Дж.Робертсом в
1953 г интермедиату многих реакций
ароматических соединений, формально
содержащему тройную связь. Так, бензин,
образовавшийся in
situ путем
диазотирования антраниловой кислоты,
может присоединиться к C>60>
по связи между C-1 и C-2:
Е
ще
один интересный пример циклоприсоединения
того же типа представляет фотохимическая
полимеризация фуллерена, которая
обратимо осуществляются при освещении
видимым или ультрафиолетовым светом
тонких (мономолекулярных) пленок C>60>,
получающихся, к примеру, при выливании
капли толуольного раствора на поверхность
воды и последующем испарении растворителя:
Н
Рисунок 5. Димер состава C>120>, атомы углерода задней половины сферы показаны серым цветом.
аряду с димерами образуются и другие олигомеры, включая (C>60>)>20>. Интересно, что “межфуллереновые” углерод-углеродные связи имеют исключительную длину - более 2-х Е, а сферы оказываются слегка вытянутыми по отношению друг к другу (Рисунок 5).
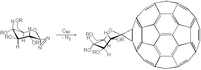
В
заключение следует упомянуть еще об
одном примере, [2+1]циклоприсоединении.
Речь идет о реакции с фуллереном
карбеновых частиц, генерируемых из
производных диазирина. В приведенном
ниже примере рассматривается образование
в толуоле моноаддуктов с моносахаридом,
гидроксильные группы которого защищены
бензильными остатками:
Конфигурация заместителей в аддукте сохраняется такой же, какой она была в исходной молекуле сахара; важно, что в реакции образуется только один энантиомер, а не смесь оптических изомеров.
Гидрирование
С
Рисунок 6. Модели гидридов фуллерена C>60>H>60>: а - изомера, содержащего часть атомов водорода внутри сферы, б - имеющего все атомы водорода вне сферы.
самого начала “эры фуллеренов” химиков, державших в руках молекулы содержащего двойные связи фуллерена, привлекала потенциальная возможность его гидрирования с образованием “фуллерана”. Однако задача оказалась значительно труднее, чем представлялось ранее, настолько, что полностью восстановленного фуллерена C>60>H>60> не получено до сих пор. Исключительной нестойкостью обладают также не полностью восстановленные фуллерены, например, C>60>H>36>, что связано со значительной деформацией сферической формы молекулы. Как было показано в серии блестящих теоретических исследований, в молекуле “фуллерана” C>60>H>60> часть атомов водорода должна оказаться внутри фуллереновой сферы, так как шестичленные кольца, подобно молекулам циклогексана, должны принять конформации “кресла” или “ванны”; именно невозможность сохранения сферы, пусть даже искаженной, обусловливает неуспех полного гидрирования и ту исключительную легкость, с которой образовавшиеся гидриды теряют водород.

Приводимая
ниже таблица позволяет получить
представление о различиях в энергиях
молекулы, связанных в искажением
валентных углов в молекуле C>60>H>60>,
а также с другими факторами. Следует
иметь в виду, что возможен только один
“полностью экзо-” изомер и множество
изомеров, содержащих часть атомов
водорода внутри сферы. Расчеты выполнены
с помощью программы Chem 3D Pro v.3.5 (Cambridge
Soft).
|
Изомер а |
изомер б |
|
|
Заслонение соседних атомов водорода, кДж/моль |
483.8 |
905.8 |
|
Искажение валентных углов, кДж/моль |
630.3 |
827.9 |
|
Отталкивание 1,4-заместителей в циклогексановых кольцах, кДж/моль |
374.6 |
1027.7 |
|
Общий запас энергии |
1556.5 |
2580.9 |
Вместе с тем гидриды с небольшим числом водородных атомов, такие как C>60>H>2>, C>60>H>4>, C>70>H>2>, получены и охарактеризованы.
П
рямое
восстановление фуллерена водородом на
активированном угле с рутением в качестве
катализатора возможно только в жестких
условиях (высокое давление и температура)
по схеме:
Наибольшая достигнутая степень гидрирования соответствует C>60>H>50> и C>70>H>36>, являющихся энергичными восстановителями.
Для получения ди- и тетрагидридов наиболее подходящими оказались методы гидроборирования (взаимодействие с бораном) и гидроцирконирования (восстановление дициклопентадиенилцирконийгидрохлоридом, имеющим сэндвич-структуру):

В
случае фуллерена-60 получается единственный
изомер, выделение которого методом
жидкостной хроматографии высокого
давления не представляет серьезных
трудностей; в случае C>70> образуется
смесь двух изомеров. Дальнейшее
восстановление C>60>H>2> может
быть осуществлено только с весьма низким
выходом: 15% для C>60>H>4>.
Исключительно интересным способом восстановления оказался метод, предложенный в свое время Берчем и Хюккелем, который заключается в обработке литием в жидком аммиаке в присутствии трет-бутилового спирта. Темно-фиолетовая суспензия фуллерена при этом превращается в смесь продуктов гидрирования, окрашенную в светло-кремовый или вообще белый цвет. Исследование ее состава показало, что в ней преобладает C>60>H>32>, хотя количества других гидридов фуллерена значительны:
П
родукты
гидрирования по Берчю-Хюккелю легко
теряют водород и превращаются в C>60>,
то есть гидрирование
является полностью обратимым.
Окисление и реакции с электрофильными агентами
Х
отя
восстановление фуллеренов кажется
значительно более легким, учитывая
склонность к принятию электронов
(максимально может быть принято 6
электронов), многие реакции окисления,
протекающие без разрыва фуллереновой
сферы и изменения общего характера
связей, оказываются вполне осуществимыми.
Продукты окисления фуллеренов C>70>O>n>
и C>60>O>n>
могут быть найдены в составе фуллеренового
экстракта, полученного при испарении
графита в вольтовой дуге. Образование
этих оксидов происходит при совместном
действии кислорода и света. Так, в
склянке, в которой в течение полугода
на солнечном свету хранили раствор C>60>
в толуоле, на стенках образовался
коричневый налет, представляющий собой
плохо растворимый в толуоле оксид C>60>O:
Значительно больший интерес представляет галогенирование фуллерена, в особенности его фторирование. В первых работах, посвященных фторидам, использовалась реакция с газообразным фтором, что в результате приводило к смесям продуктов. В 1992 г (Сидоров Л.Н., Болталина О.В.) было предложено использовать фториды переходных металлов, что сделало возможным получение в макроколичествах определенных фторидов фуллерена C>60> практически в чистом виде:
Продукты фторирования С>60> фторидами металлов
|
MF>n> >(cr)> MF>n-1> >(cr)> +1/2 F>2> >(g)> |
-
lgK>p> |
C>60>F>x(max)> |
температура синтеза, °С |
|
TbF>4> TbF>3> + 1/2 F>2> |
2.4 |
42 - 44 (70) |
320(350) |
|
CoF>3> CoF>2> + 1/2 F>2> |
4.2 |
36-40 |
350 |
|
MnF>3> MnF>2> + 1/2 F>2> |
7.8 |
36 |
320 |
|
1/4 PtF>4> 1/4 Pt + 1/2F>2> |
9-11 |
18 |
460 |
|
CuF>2> CuF + 1/2 F>2> |
13.7 |
2 |
650 |
|
FeF>3> FeF>2> + 1/2 F>2> |
15.9 |
2 |
650 |
Таким образом был охарактеризован ряд фторидов, устойчивых на воздухе:
|
C>60>F>18> |
C>60>F>36> |
C>60>F>48> |
|
|
Цвет |
зеленовато-желтый |
бледно-желтый |
белый |
|
Температура сублимации |
от 516 до 658 |
от 422 до 525 |
от 395 до 528 |
|
Диаграмма Шлегеля Э![]() ![]() нтальпия сублимации, H° , кДж/моль |
169 ± 6 |
134 ± 6 |
112 ± 7 |
Е


Структура
сли растворимость самого фуллерена C>60> в растворителях неароматического характера близка к нулю, то его фториды достаточно хорошо растворимы в гексане, хлороформе, ацетоне, а с ароматическими соединениями образуют устойчивые при обычных условиях кристаллосольваты.
В
растворах фториды весьма легко окисляются,
а также образуют гидроксофториды
фуллеренов под действием следов воды,
что затрудняет работу с ними. Деградация
фторидов осуществляется по механизму
нуклеофильного замещения, например:
или
C>60>F>36> + H>2>O C>60>F>34>O + 2 HF
Нельзя не упомянуть, говоря о взаимодействии фуллерена со фтором, о явлении гиперфторирования, то есть продуктах состава C>60>F>n>60>. Впервые такие вещества были получены Тюинманном в 1993 г при обработке C>60> фтором под действием ультрафиолетового излучения. Дальнейшие исследования показали, что часть углерод-углеродных связей в продуктах оказывается разрушенной, а реакция протекает по радикальному механизму.
Для фуллеренов относительно легко осуществляются реакции хлорирования и бромирования; так, например, описан хлорид C>60>Cl>6>, бромиды C>60>Br>8>, C>60>Br>24>, причем последняя молекула является высокосимметричной. Все они исключительно легко теряют галоген при нагревании уже до 150° С.
Реакции, сопровождающиеся раскрытием сферы
Эндоэдральные комплексы
При образовании фуллереновых молекул в результате испарения графита в вольтовой дуге в атмосфере гелия внутри молекулы может оказаться атом этого инертного газа. Однако такие комплексы, как He@C>60>, теряют инертный газ при обычных условиях приблизительно за 90 миллисекунд.
Если в составе графита присутствует, например, оксид лантана или карбиды других редкоземельных элементов, образуются комплексы состава La@C>60>, La@C>70>, La@C>74> или La@C>82>. Описаны эндоэдральные комплексы иттрия, скандия, церия, неодима, самария, европия, гадолиния, тербия, диспрозия, гольмия, эрбия и других элементов. Интересно отметить, что в общем невысокий выход C>82> при дуговом синтезе повышается в присутствии солей лантана (получается комплекс La@C>82>). Исследования показали, что атом металла внутри находится в степени окисления +3, а фуллереновая оболочка заряжена отрицательно: C>82>3-, то есть эндоэдральный комплекс одновременно оказывается и комплексом с переносом заряда (Рисунок 7).
Рисунок 7. Комплекс La@C>82> (15 атомов углерода из 82-х убраны для наглядности).
О
бразование
комплексов типа X@C>60>,
где X - атом инертного газа, относительно
легко происходит под давлением.
Проникновение внутрь атомов аргона и
более тяжелых инертных газов может
происходить только в результате
обратимого разрыва одной из связей C-C.
Такой механизм образования комплекса
получил название “оконного”. Считается,
что если окажется на время разорванной
связь между пяти и шестичленным кольцами,
возникнет девятичленное кольцо, которое
достаточно велико для того, чтобы через
него “протиснулся” даже атом ксенона.
Перспективы химии фуллеренов
Нобелевский лауреат Г.Крото образно сравнил открытие фуллерена с открытием Колумбом Америки: “Подобно тому как Земля 500 лет назад перестала казаться плоской, в наши дни внимание химиков привлечено к сферическому углероду”. Другой химик, Ф.Дидрих, говоря о перспективах новой области химии, сказал: “За несколько лет фуллерен сделался одним из главных строительных блоков органической химии. На всестороннее исследование бензола, открытого М.Фарадеем в начале XIX века, потребовалось почти 100 лет, а химия фуллеренов за 10 лет достигла такого расцвета, что химики стали рассматривать его применение в синтезах как обычное дело“.
В настоящее время, несмотря на ряд замечательных открытий в этой области химии и общее прояснение картины реакционной способности фуллеренов, ощущается недостаток глубоких и полных исследований, как практического характера, так и теоретических.
Интересным направлением обещает оказаться химия гетерофуллеренов, молекулы которых содержат атомы бора, серы, азота и других элементов вместо одного или нескольких углеродных атомов.
Исключительны перспективы получения эндоэдральных соединений: внутри молекул фуллеренов достаточно места, чтобы разместить там атом, ион или небольшую молекулу. Поэтому столь большое внимание привлекают реакции, в ходе которых сфера раскрывается, например, реакции гиперфторирования.
В будущем совершенно неожиданными могут оказаться открытия, связанные с высшими фуллеренами (C>n>84>), так как в настоящее время эти вещества практически недоступны в заметных количествах. Если вспомнить, что для фуллерена-60 число изомеров вида C>60>XY исчисляется десятками, для высших фуллеренов их будет значительно больше.
В заключение перечислим некоторые возможные области применения фуллеренов и их производных в ближайшем будущем:
электронные и оптические устройства, основанные на применении фуллеренов или полимерных материалов на их основе,
фотоматериалы и материалы для преобразования электрической энергии в световую,
катализаторы,
лекарственные средства
Некоторые области применения пока остаются гипотетическими, ввиду недостаточности современного уровня знаний:
получение алмазов (в том числе тонких пленок),
источники тока,
молекулярные сита и устройства для аккумулирования газов,
материалы для нелинейной оптики (лазеры),
преобразователи солнечной энергии,
сверхпроводники.
Не стоит сомневаться в том, что будущее химии фуллеренов окажется значительно интереснее любых прогнозов о нем.

