Движение трудовых ресурсов
С О Д Е Р Ж А Н И Е
Введение……………………………………………………………………………3
Глава 1. Понятие «трудовые ресурсы», «экономическая реконструкция», «рынок труда». Особенности формирования рынка труда в Тюменской области
1.1. Сущность, формирование и использование трудовых ресурсов………….. 5
1.2.Сущность экономической реконструкции……………………………………8
1.3.Понятие «рынок труда». Формирование рынка труда в условиях экономической реконструкции……………………………………………………17
1.3.1. Понятие о рынке труда, регулирование рынка труда……………………..17
1.3.2. Современное состояние рынка труда…………………………………….. 20
1.4.Особенности формирования рынка труда в Тюменской области…………...23
Глава 2.Структура высвобождаемых трудовых ресурсов ОАО «Запсибгазпром»
2.1. Сущность движения трудовых ресурсов……………………………………..32
2.2.Характеристика ОАО Запсибгазпром»………………………………………. 37
2.3.Структура высвобождаемых трудовых ресурсов строительной сферы
ОАО «Запсибгазпром»…………………………………………………….…. 43
2.3.1.Общее количество уволенных за год по категориям работников и основные причины увольнения в 1995 г…………………………………. .46
2.3.2.Общее количество уволенных за год по категориям работников и основные причины увольнения в 1996 ……………………………………48
2.3.3.Общее количество уволенных за год по категориям работников и основные причины увольнения в 1997 г………………………………….. 50
2.3.4.Общее количество уволенных за год по категориям работников и основные причины увольнения в 1998 г………………………………….. 52
2.3.5.Основные тенденции движения трудовых ресурсов в 1995-1998 г……… 56
Глава 3.Совершенствование движения кадров в рыночных условиях на примере предприятий строительной сферы ОАО «Запсибгазпром»
Возможности влияния на движение трудовых ресурсов в
масштабах всей экономики России…………………………………………..59
3.2.Совершенствование движения кадров на предприятиях
строительной сферы ОАО «Запсибгазпром»……………………………….. 66
Заключение………………………………………………………………………….72
Литература…………………………………………………………………………..75
Приложения…………………………………………………………………………78
ВВЕДЕНИЕ
Развитие рыночных отношений и рынка труда в нашей стране ставит на повестку дня необходимость совершенствования трудовых перемещений. Такая необходимость диктуется усилением давления рыночных механизмов на деятельность российских предприятий и организаций - усиление конкуренции, растущие издержки хозяйственной деятельности, резкое сжатие денежной массы, спад производства, имеющий в России недопустимо низкий уровень.
В таких тяжелых экономических условиях на рынке труда нашей страны наблюдается сложная ситуация, характеризующаяся высоким и имеющим тенденцию к постоянному росту уровнем безработицы, высокой текучестью кадров, большими объемами скрытой безработицы. Таким образом, существует острая необходимость совершенствования перемещения работников на рынке труда в масштабах всей экономики, а также в масштабах предприятия.
Осуществление мер в этом направлении является фактором оптимизации использования трудовых ресурсов, эффективной трудовой деятельности и снижения текучести.
Цель написания дипломной работы - совершенствование движения персонала, занятого в сфере строительного производства ОАО «Запсибгазпром» в современных условиях экономической реконструкции. Исходя из цели, автором дипломной работы сформулированы следующие задачи:
1.выявление сущности экономической реконструкции в России и ее влияния на рынок труда;
2.выявление основных характеристик рынка труда, сложившегося в России в современных условиях;
3.рассмотрение сложившегося рынка труда Тюменской области;
4.выявление сущности движения трудовых ресурсов;
5.анализ структуры вывобождаемых кадров ОАО «Запсибгазпром»;
6.разработка рекомендаций по совершенствованию движения рабочей силы на примере ОАО «Запсибгазпром».
Данная дипломная работы состоит из трех глав. В первой главе рассматриваются понятия «трудовые ресурсы», «рынок труда», «экономическая реконструкция», развитие этого процесса в России, его влияние на рынок труда, а также ситуация на рынке труда Тюменской области.
Во второй главе рассматривается сущность движения трудовых ресурсов, а также исследуется структура перемещений трудовых ресурсов ОАО «Запсибгазпром», а именно предприятий строительной сферы; выявляются тенденции, получившие развитие в 1995-1999гг.
В третьей главе работы предлагаются рекомендации по совершенствованию движения персонала в экономике страны в целом и на предприятиях строительной сферы ОАО «Запсибгазпром» в современных условиях.
1. ПОНЯТИЯ «ТРУДОВЫЕ РЕСУРСЫ», «ЭКОНОМИЧЕСКАЯ РЕКОНСТРУКЦИЯ», «РЫНОК ТРУДА». ОСОБЕННОСТИ ФОРМИРОВАНИЯ РЫНКА ТРУДА В ТЮМЕНСКОЙ ОБЛАСТИ
Сущность, формирование и использование трудовых ресурсов
Производство материальных благ и услуг предполагает наличие двух факторов, а именно материальных и человеческих ресурсов. Если ранее основное внимание уделялось первому фактору, то в настоящее время все больше говорят о гуманизации экономики, что означает перемещение акцента на человека. Таким образом, признается, что необходимым условием успешного функционирования экономики является соблюдение интересов человека.
В экономической теории и статистике России принято использовать термин «трудовые ресурсы». Сущность этого понятия можно определить следующим образом: трудовые ресурсы – часть населения страны, которая в силу психофизиологических и интеллектуальных качеств способна производить материальные ценности и услуги. Трудовые ресурсы включают занятых и незанятых, но могущих трудиться граждан. Таким образом, это реальные и потенциальные работники.
Для работы человеку необходим некоторый уровень физического развития, определенные духовные качества. Особую важность развитие личности приобретает в условиях экономической реконструкции. Во многом уровень развития вышеуказанных качеств личности зависит от возраста. Таким образом, именно возраст является критерием отнесения к трудовым ресурсам. Согласно статистической практике, трудовые ресурсы состоят из трудоспособных граждан в трудоспособном возрасте и работающих в экономике страны граждан моложе и старше этого возраста, который для женщин от 16 до 54 лет, для мужчин о 16 до 59 лет.
Понятие «трудовые ресурсы» шире понятия «экономически активное население», так как трудовые ресурсы включают учащихся трудоспособного возраста, домохозяек и всех остальных граждан, которые, не являясь безработными, не заняты в хозяйстве страны.
Формирование трудовых ресурсов – это процесс их непрерывного воспроизводства, возобновления их численности. В 1994 году структура трудовых ресурсов была следующей: трудоспособное население в трудоспособном возрасте – 95,17%, работающие пенсионеры – 4,47%, работающие подростки - 0,06% общей численности трудовых ресурсов. По результатам наблюдений за ряд лет были отмечены следующие тенденции: в первой группе – относительная устойчивость, в группе работающих пенсионеров – повышение численности, в группе работающих подростков – понижение. Исходя из этого, можно сделать вывод, что развитие рынка труда связано с населением трудоспособного возраста, и динамика численности трудовых ресурсов определяется динамикой численности этой категории населения, которая зависит от ряда демографических факторов, а именно от уровня смертности и соотношения между численностью молодежи, достигшей трудоспособного возраста и численностью граждан, достигающих пенсионного возраста. Для России в целом характерны крутые подъемы и спады численности населения трудоспособного возраста, что обусловлено общим развитием страны. Данное обстоятельство ставит перед экономикой задачу постоянного приспособления к этой динамике. С середины 80-х гг. в России начался очередной затяжной спад, который не вызвал всплеска безработицы в результате спада производства. Но ожидается, что к началу 21 в. ситуация вновь изменится, что может вызвать обострение проблемы безработицы.
Численность работающих подростков также находится под влиянием демографических факторов, а также уровня благосостояния семьи: чем он выше, тем меньше подростков работает.
Относительно численности работающих пенсионеров отметим, что чем больше людей пенсионного возраста, тем больше среди них работающих. Эта категория наиболее быстро увеличивается, так как возрастно-половая структура населения сильно деформирована.
В целом, численность работающих подростков и пенсионеров зависит также от спроса на рабочую силу и от наличия рабочих мест, соответствующих особенностям применения их труда.
Использование трудовых ресурсов предполагает их распределения и эффективность применения их труда. Распределение происходит по видам занятости на занятых и незанятых, в свою очередь занятые распределяются по отраслям, по режимам труда, по территории страны, по полу, возрасту, уровню образования и здоровья, а также по видам экономической деятельности:
-наемные работники;
-работодатели;
-лица, работающие за свой счет;
-члены производственных кооперативов;
-работники, не классифицируемые по статусу.
Таким образом, трудовые или человеческие ресурсы являются основой развития экономики. Их роль в современных условиях возрастает, так как в условиях рынка нужно делать ставку именно на человека и его потенциал. Несомненно, экономическая реконструкция повлияла на эту категорию населения и на рынок труда в целом. Далее рассмотрим сущность этого явления и его влияние на экономику и рынок труда России.
1.2. Сущность экономической реконструкции
Экономическая реконструкция - явление, охватившее все стороны жизни нашего общества. Все происходящие сегодня общественные и социальные процессы могут быть поняты и осмыслены только через призму этого явления. С чего началась экономическая реконструкция?
Начало процесса было положено в 1985 г., тогда задачей ставилось к началу 21 в. удвоить экономический потенциал страны, повысить уровень благосостояния народа. Достижение этих целей требовало наращивания объемов производства товаров с помощью повышения эффективности производства.
В тот период новые методы хозяйствования заключались в сокращении числа директивных показателей для предприятий с целью расширения их прав, усиления ответственности за конечные результаты. Но при этом реконструкция началась в условиях низкой производительности труда, изношенных основных фондов, режима неэкономии, забытого НТП, низкого организационно-технического уровня большинства предприятий.
В целях устранения перечисленных явлений предусматривалось ускорение социально-экономического развития страны посредством мобилизации всех имеющихся резервов, научно-технической реконструкции, ускорения научно-технического прогресса, т.е. с помощью перевода экономики на интенсивный путь развития, при котором результаты производства росли бы быстрее, чем затраты на него. Этот вопрос стоял достаточно остро, т. к. с 70-х гг. рост материальных затрат превышал прирост национального дохода как 1,2% : 1% [13]. Предполагалось, что ускорение НТП повлечет рост производительности труда, улучшение качества продукции, условий труда. Кроме того, НТП позволит экономить ресурсы. Были введены плановые задания по себестоимости продукции, установлен лимит затрат на единицу продукции. При этом ставилась цель сделать так, чтобы внедрение НТП стало экономически выгодным для предприятия путем включения плана по внедрению новой техники в число важнейших отчетных показателей. Также устанавливались жесткие экономические нормативы, заставляющие совершенствовать производство, в противном случае предполагалось снижение фонда материального поощрения.
С 1986 г. предусматривалась аттестация продукции по категориям качества, в зависимости от которой устанавливались надбавки и скидки к оптовой цене. Постепенно внедрялось самофинансирование, т.е. предприятие ничего не получало из бюджета, но само вносило туда установленную сумму. Одним из важнейших направлений перехода к интенсивному способу хозяйствования был отход от расширения производства путем строительства новых предприятий, предполагалось вкладывать средства в наращивание мощностей уже действующих предприятий.
Следующим направлением работы было повышение качества планов, устранение диспропорций, несоответствия между объемом и структурой производства и объемом и структурой общественных потребностей.
В 80-х гг. рост заработной платы превышал рост производительности труда; таким образом, было необходимо установить жесткую зависимость заработной платы от результатов производства. Кроме того, в результате экстенсивного развития производства возник дефицит рабочей силы, увеличилось число рабочих мест с низкоквалифицированным трудом. Такая ситуация также нуждалась в рассмотрении.
Из вышесказанного можно сделать вывод, что экономическая реконструкция - комплекс мер, призванных обеспечить рост основных показателей народного хозяйства, т.е. объема выпуска товаров, эффективности производства, благосостояния населения. Первоначально она представлялась как реорганизация сферы производства и использования трудовых ресурсов, запланированные реформы осуществлялись как административными, так и экономическими методами [5].
В 1991 г. экономическая реконструкция вступила в активную фазу, которая была названа переходным периодом на пути к рынку. Функции государства на данном этапе [19]:
1.создание парламентской основы принятия экономических решений;
2.определение приоритетов макроэкономического развития;
3.социально-орентированное распределение ресурсов;
4.регулирование рынка;
5.стабилизация экономики.
В дальнейшем в ходе реконструкции стало очевидным, что из вышеуказанных функций государство выполнило только две первых. В начале нового этапа реконструкции были продекларированы следующие ее цели [5]:
1.создание социально-ориентированной экономики, удовлетворяющей социальные потребности населения, обеспечивающей высокий уровень жизни, социальную защиту всех членов общества при значительном контроле государства;
2.создание эффективной экономики, обеспечивающей благополучие общества в целом;
3.создание экономики, в необходимой степени регулируемой государством;
4.создание открытой экономики, обеспечивающей движение капиталов и идей, что возможно только в условиях экономической и политической стабильности;
5.создание смешанной экономики с участием всех форм собственности, т.к. предполагалось, что хозяин-собственник ускорит создание эффективной экономики.
Необходимо было сформировать такой хозяйственный механизм, который обеспечил бы минимизацию издержек перехода к рынку и стал бы ведущим элементом системы стимулирования активной предпринимательской деятельности.
В 1991 г. начался так называемый переходный период, который должен был завершиться созданием рыночной экономики. Ученые экономисты выделяют следующие этапы переходного периода [13]:
1.либерализационный, на котором происходит экономический спад, сокращение вмешательства государства, падение уровня жизни, дезорганизация экономических и социально-политических механизмов;
2.стабилизационный, на котором возникают новые хозяйственные связи, начинается подъем в конкурентоспособных отраслях, медленное восстановление уровня жизни и механизмов государственного управления;
3.инвестиционный, на данном этапе происходит преодоление инвестиционного кризиса, экономический рост, восстановление и дальнейший рост уровня жизни.
В России либерализационный этап начался в 1992 г., когда произошла либерализация цен, введена ограниченная конвертируемость рубля, прекратились льготные кредиты национального банка на покрытие бюджетного дефицита.
Каким же образом осуществлялась экономическая реконструкция в России? Была применена «шоковая терапия». В комплекс мер входили либерализация цен и внешней торговли, конвертируемость национальной валюты, дерегулирование экономики, отмена субсидий, быстрая приватизация, усиление налогового бремени, жесткая кредитно-денежная политика. Предусматривалось, что в результате проведения вышеописанной политики выживут эффективные и конкурентно способные товаропроизводители, а бесперспективные производства будут последовательно вытесняться. Рассмотрим три основных направления экономической реконструкции.
1.Либерализация цен 2.01.92 г., когда в целях превышения предложения над спросом были отпущены 80% цен. Действительно, один из основных рыночных законов был соблюден - спрос превысил предложение. Но скачок цен произошел не в 4-5 раз, как планировалось, а в 10-20 раз [5], что и вызвало падение платежеспособного спроса населения, многократный рост цен на средства производства, вследствие этого стало невыгодно производить товары, произошел массовый уход людей из сферы материального производства. Согласно отчетности прибыль предприятий возросла, но этот рост не был обеспечен ростом производства. В результате был создан рынок дорогих импортных товаров.
2.Приватизация. Становление рыночной экономики требовало развития экономической свободы товаропроизводителей в сочетании с экономической ответственностью всем своим капиталом, т.е. было необходимо провести приватизацию. Процесс приватизации в России столкнулся с рядом объективных сложностей: масштаб преобразований, сложность оценки потенциала низкорентабельных предприятий, нехватка средств у населения. Необходимо отметить, что именно приватизация сделала реформы в России необратимыми, т.к. возврат собственности затронул бы интересы миллионов людей, кроме того преобразование государственных предприятий создало возможность развития фондового рынка. Приватизация осуществлялась различными способами: приватизационные чеки, аукционы, конкурсы, банкротство, акционирование. Процесс приватизации проводился в два этапа:
1. 1991-1994 гг. На данном этапе произошла формальная смена собственника без обновления производства и методов управления.
2. 1995 г. Задачи этого этапа - привлечение инвестиций в промышленность и сельское хозяйство. Создание рынка недвижимости, постепенная приватизация здравоохранения и социальной сферы, создание цивилизованного рынка ценных бумаг. Но российская приватизация не создала предпосылок для роста эффективности производства, возникновения конкурентной среды, т.к. зачастую предприятия передавались в частную собственность по заниженным ценам, кроме того, возникли неконтролируемые социальные процессы в обществе (углубление расслоения общества).
3. Жесткая кредитно-денежная политика, направленная на регулирование денежной массы и проводимая в основном за счет внешних заимствований (необходимо подчеркнуть, что внимание российской экономической науки и управления было направлено на оздоровление финансов через финансы). Кредитно-денежная политика тем жестче, чем меньше отношение денежной массы к ВВП (10-12%) [18], что фактически выражается в нехватке денег в экономике. Чрезмерно жесткая финансовая политика действительно позволила затормозить инфляцию, но в то же время вызвала бюджетный кризис, т.к. из-за нехватки денег в экономике снизилось поступление налогов, сократилась налогооблагаемая база вследствие того, что субъекты экономики перешли в теневой сектор за счет использования не облагаемых налогами платежных средств - валюта, вексели, наличные рубли, казначейские обязательства. Все бюджетные проблемы решались за счет ГКО, ради снижения текущей инфляции через ГКО в бюджет откачивалась основная часть инвестиционных ресурсов, что тормозило развитие народного хозяйства. В 1998 г. результатом такой политики стало банкротство государство, ущерб от пирамиды государственного долга составил 400 млрд. руб. [10].
В условиях нехватки денег усилились противоречия между финансовым и промышленным капиталом. Финансовый капитал получил стратегическое преимущество в первую очередь за счет обслуживания бюджетных счетов. Налоговое бремя, лежащее преимущественно на реальном секторе экономики, также обеспечивает укрепление позиций финансового и подавление производственного капитала. В результате произошло подавление реального сектора экономики, сужение возможности сохранения наличного производственного капитала.
В результате осуществления реформ вышеуказанными способами экономика России приобрела следующие черты:
1.наличие одного мощного и связанного с природными богатствами источника валютных поступлений;
2.формирование из тех, кто причастен к этому источнику слоя сверхбогатой элиты, которая служит опорой власти и срастается с ней;
3.удержание основной массы населения в состоянии малой обеспеченности.
Необходимо также более подробно описать последствия проводимой экономической реконструкции. Несомненно, что реформы способствовали продвижению экономики к рынку, что и было их конечной целью. Из положительных итогов реконструкции можно выделить следующие: демонтаж основных элементов административно-командной системы, проведение приватизации, возникновение индивидуальной и акционерной формы собственности, либерализация хозяйственной деятельности предприятий, внешнеэкономических операций; были сняты ограничения с фонда оплаты труда, запреты на совместительство, в стране начал складываться рынок труда. Но в то же время нельзя не упомянуть многочисленные отрицательные явления:
1.Кризис инвестиций. В 1992-1994 гг. объем инвестиций уменьшился вдвое, в 1995 г. - еще на 13%, утечка капитала за границу составляет 10-12 млрд. долларов в год [19], что обусловлено высокими рисками, налоговым прессингом, экономической и политической нестабильностью. В бюджете 1996 г. в производственную сферу планировалось направить 20% ресурсов. Объем вложений в основной капитал в 1997 г. составил 25% от уровня 1991 г.[41]. Недоинвестирование стало одной из причин спада производства. Крупнейшим инвестором является государство, но финансирование централизованных капитальных вложений является дефицитной статьей и осуществляется по мере поступления доходов, в основном на 50% от плана [19]. Высокая скорость обращения денег в экономике (8-10 оборотов в год) [19] свидетельствует о том, что деньги крутятся между сферой обращения и финансовым рынком, не попадая в производство. За 9 месяцев 1998 г. объем инвестиций снизился на 6,8 % по сравнению с аналогичным периодом 1997 г. [8]
2.Общий спад производства за 1992-1995 гг. составил более 50%, в сельском хозяйстве - 40%, в промышленности - 60% [41], в 1995 г. по сравнению с 1994 г. темп спада- 4%, в сельском хозяйстве - 10-12%, в легкой промышленности - 32%; увеличился объем производства в черной металлургии на 10%, химической и нефтехимической промышленности на 11%. В 1996 г. спад производства составил 4% [20]. В настоящее время 50% предприятий убыточны, рентабельность индустрии 5,2%. Задолженность предприятий огромна, в 1997 г. она составила 17,7% ВВП [41]. Спад продолжился и в 1998 г. - в сентябре он составил 14,5% по сравнению с аналогичным периодом 1997 г. [13]. Вследствие вышеуказанных явлений российский рынок был наводнен импортными товарами, зачастую весьма низкого качества, что и вызвало резкий скачок цен на рынке потребительских товаров начиная с августа 1998 г. вследствие роста курса доллара.
3.Значительное ухудшение положения населения, включая ухудшение демографической ситуации - с 1992 г. происходит сокращение рождаемости, уменьшение продолжительности жизни, рост смертности. Обесценение сбережений граждан в 1992 г. в объеме годового федерального бюджета, утрата 20 трлн. руб. в финансовых пирамидах [10], резкое снижение реально выплаченной заработной платы, падение уровня жизни, уровень безработицы составляет 10%, расслоение общества, при котором 10% сверхбогатых людей располагают 80% ресурсов. В результате кризиса августа 1998 г. реальные доходы населения в октябре уменьшились на 26,9% по сравнению с августом. Доля населения с доходами ниже прожиточного минимума в октябре составила более 30% [11]. Рост цен на потребительские товары за период с августа 1998 г. по февраль 1999г. составил около 300%.
4.Переориентация экономики на обслуживание экспортных отраслей и естественных монополий, которая произошла в 1992-1994 гг. в результате структурной перестройки экономики. Таким образом Россия стала зависеть от мировых цен на сырье, произошел межотраслевой перелив ресурсов, что привело к усилению региональной и социальной дифференциации. В остальных отраслях экономики имеет место преобладание устаревших неконкурентоспособных технологий, низкое качество менеджмента.
5.Криминализация государства и общества, произошедшая вследствие расширения сектора теневой экономики, который составляет около 40% экономики России. Этому способствовала также жесткая кредитно-денежная политика, т.к. нехватка денег обеспечила влиятельность видов бизнеса, связанных с наличными деньгами и поэтому потенциально наиболее криминальных.
6.Рост государственного долга. В 1992-1996 гг. государственный долг увеличился на 77 млрд. долларов, в 1996 г. он составил 127,4 млрд. долларов [18], в 1999 г. на его обслуживание необходимо направить 17,5 млрд. долларов, что составляет 87,5 % федерального бюджета.
За годы экономической реконструкции не были осуществлены намеченные реформы: аграрная, военная, реформы жилищно-коммунального хозяйства, социальной сферы, судебной системы, правоохранительных органов. Фактически мы имеем кризисы во всех областях жизни общества. По мнению ряда экономистов, мы имеем дело не с экономической реконструкцией, т.к. нет программы реформ в научно-практическом понимании, а вместо этого проводится эксперимент, предусматривающий спад производства и падение уровня жизни народа. За годы экономической реконструкции остались неизменны вялость экономики и бедность большей части населения, черты нашего общества и экономики - коррумпированность, мафиозность, бюрократизм. Россия так и не вступила в стабилизационный этап переходного периода. В начале 1995 г. завершился спад производства, началось депрессивное развитие, которое закончилось кризисом и банкротством страны в августе 1998 г.
Исходя из вышеизложенного можно сделать вывод, что экономическая реконструкция в России происходит в течение последних 15 лет, но до сих пор принесла мало положительных результатов.
Все перечисленные выше процессы не могли не оказывать влияние на складывающийся рынок труда. В следующем разделе мы рассмотрим понятие "рынок труда" и его формирование в условиях экономической реконструкции.
1.3.Понятие "рынок труда", формирование рынка труда в условиях экономической реконструкции
1.3.1. Понятие о рынке труда, регулирование рынка труда
С 1992 г. в России одновременно с формированием рыночной экономики идет формирование рынка труда, возникают учреждения рынка труда - центры занятости, биржи труда, агентства по найму персонала, задачами которых являются трудоустройство желающих работать, создание новых рабочих мест, переподготовка и подготовка кадров.
Рынок труда - место, где происходит купля-продажа труда, при этом работник юридически свободен и может по своему усмотрению распоряжаться своими способностями к труду - рабочей силой. Также можно дать еще одно определение рынка труда - это механизм согласования цены и условий труда между работодателями и наемными работниками, это составляющая рыночной экономики, выполняющая функции механизма распределения и перераспределения труда по сферам и отраслям хозяйства, видам и формам деятельности [50].
Работник вынужден продавать свой труд, если он не имеет всего необходимого для ведения своего хозяйства как источника получения всех нужных для жизни средств. Чтобы продать труд, нужен его покупатель - предприниматель, имеющий все необходимое для ведения своего хозяйства, но нуждающийся в привлечении других работников. При этом спрос на труд характеризуется суммарной численностью занятых и вакантных рабочих мест. Взаимодействие спроса на рабочую силу и предложения способности к труду складывается под влиянием экономической и социально-политической ситуации, движения цены рабочей силы (оплаты труда), уровня душевого потребления и формирует конъюнктуру рынка труда.
Конъюнктура рынка труда может быть:
1.равновесная с полной занятостью;
2.хронически трудоизбыточная;
3.хронически трудодефицитная.
Наемный работник и предприниматель юридически равноправные лица. При этом наемный работник продает временное использование своего труда, сделка юридически фиксируется трудовым договором, содержащим взаимные права и обязанности.
Существуют потенциальный и циркулирующий рынок труда. Потенциальный рынок труда - та часть занятого в сфере домашнего хозяйства, армии, учебных заведениях населения, которая формируется как предназначенная потенциально для последующего его вступления на рынок в качестве продавца своего труда. Циркулирующий рынок труда - сфера купли - продажи труда, в которой продавец постоянно перемещается между предприятиями (циркулируя между ними) в поисках покупателя.
Формирование рынка труда предполагает:
1.создание механизма пропорционального распределения и перераспределения ресурсов рабочего времени согласно потребностям общества;
2.удовлетворение профессионально-трудовых и жизненных интересов экономически активного населения и обеспечение национальной экономики нужными кадрами;
3.достижение полной и максимально беспрерывной занятости с учетом потребности в гибком графике работы.
Из упомянутого выше следует, что для нормального функционирования рынка труда необходимо соблюдение следующих условий:
1.оплата, соответствующая образованию, квалификации, качеству труда;
2.минимальная заработная плата должна обеспечивать уровень жизни выше прожиточного минимума;
3.рабочие места должны отвечать требованиям техники безопасности и экономическим нормативам;
4.наличие конкуренции рабочей силы;
5.работодатель и работник равны перед законом;
6.наличие структур, для организации взаимодействия работодателя и работника.
Рынок труда подлежит регулированию. Регулирование - поддержание общественных условий, при которых купля продажа труда становится необходимой, т.е. должны поддерживаться необходимые условия для непрерывного пополнения рынка труда новыми наемными работниками взамен выбывающих по естественным и социальным причинам. Регулирование также подразумевает [35]:
-поддержание работоспособности наемных работников, не допуская снижения стоимости их жизни ниже черты бедности, на уровне которой невозможно поддержание нормальной работоспособности;
-недопущение чрезмерного увеличения продолжительности рабочего дня и интенсивности труда, изнуряющих наемных работников до состояния деградации;
-обеспечение равновесия между занятостью и безработицей;
-соблюдение необходимого соответствия между номинальной (денежной) и реальной заработной платой;
-поддержание стабильности покупательной способности денежной единицы;
-обоснование дифференциации трудовых доходов наемных работников в зависимости от их профессионально-квалификационных, деловых, человеческих качеств, трудолюбия, добросовестности. То есть, регулирование означает поддержание существования, выживания в различных условиях, обеспечение равновесия составных частей и соответствия с другими структурами экономики.
Рынок труда может также саморегулироваться с помощью программы занятости, социальной защиты безработных, финансово-кредитной политики, которая создавала бы предприятиям выгодные условия вложения капиталов в создание дополнительных рабочих мест.
Государство также может регулировать рыночный механизм посредством налогообложения, законодательно, с помощью административно-командных методов, опирающихся на принуждение государственной власти, ограничивающей стихийный произвол рыночного механизма. Также государство предоставляет социальные гарантии по безработице: пособие по безработице, помощь по безработице, поддержание минимального прожиточного уровня доходов.
Влияние на рынок труда оказывают и профсоюзы, монополизируя продажу труда, то есть, заменяя индивидуальную сделку купли-продажи труда монопольно - коллективной сделкой, организуя рабочих и заключая с фирмой коллективный договор, цель которого - выработка и закрепление в юридическом документе взаимоприемлемых условий купли-продажи труда и занятости.
На рынок труда также влияют:
-явления природы, вызывающие массовые передвижения населения, войны, военные действия;
-демографическая ситуация;
-общественные силы: забастовки, митинги, средства массовой информации, обычаи, традиции, нравы.
1.3.2. Современное состояние рынка труда
Ранее в России обеспечивалась полная занятость путем создания новых рабочих мест в результате экстенсивного развития экономики. Политика занятости была приспособлена к интересам производства, темпам его роста, структурным сдвигам, размещению производительных сил. Сегодня центр тяжести переносится на качественное совершенствование рабочих мест и перегруппировку трудовых ресурсов между сферами общественно-полезной деятельности и отраслями народного хозяйства. Таким образом, преобразования в сфере занятости предусматривают сокращение общих затрат труда на основе роста его эффективности. К сожалению, необходимо отметить, что в нашем обществе человек является орудием для решения экономических и политических задач, социально-экономическая политика выдвигает крупные экономические задачи, а социальные цели являются лишь политическими лозунгами и удовлетворяются в той мере, как это позволяют оставшиеся средства. В настоящее время необходимо разработать концепцию рынка труда и механизма распределения общественного труда.
Какова же ситуация на рынке труда сегодня?
Прежде всего необходимо отметить, что выполняются не все условия функционирования цивилизованного рынка труда, указанные выше, а именно: не обеспечивается оплата, соответствующая образованию, квалификации, качеству труда; минимальная заработная плата не обеспечивает уровень жизни выше прожиточного минимума; не все рабочие места отвечают требованиям техники безопасности и экономическим нормативам. Основные черты современного рынка труда в России:
-темпы высвобождения персонала не соответствуют темпам спада производства, что консервирует скрытую безработицу, за 1991-1996 гг. спад производства составил 50%, а занятость снизилась на 23,2% [50];
-низкий уровень официальной безработицы, в службах занятости регистрируются около 30% безработных [38];
-значительные масштабы скрытой безработицы;
-увеличение числа длительно безработных: в 1994 г. число ищущих работу более одного года - 9% общего числа безработных, в 1996 г. - 15,7% [50];
-преобладание среди безработных доли женщин, хотя в последние годы наметилась тенденция к ее сокращению;
-сформировалась трудоизбыточная конъюнктура рынка труда;
-по различным оценкам безработица в России составляет от 10 до 15%, при этом нормальным считается уровень 5-7%.
Причинами указанных тенденций являются разгосударствление экономики, снижение хозяйственной активности предприятий, снижение потребительского спроса, рост импорта, что и вызвало сокращение рабочих мест.
Таким образом, на рынке труда сложилась достаточно сложная ситуация, требующая пристального внимания со стороны государства.
Безусловно, в каждом регионе имеют место свои особенности рынка труда, в следующем разделе мы рассмотрим его состояние в Тюменской области.
1.4. Особенности формирования рынка труда в Тюменской области
Региональные особенности рынка труда формируются под влиянием разнообразных конкретных условий - демографическая ситуация, половозрастные характеристики, производственные отношения, экономическая активность демографических и этнических групп населения. Но так как экономика региона является органичной частью национальной экономики, она функционирует по принципам и законам национального рынка. В данном разделе рассмотрим формирование рынка труда в Тюменской области за период с 1994 по 1998 гг.
Во второй половине 80-х гг. 89,6% трудовых ресурсов было занято в народном хозяйстве области, что отражало общую тенденцию России - экстенсивный характер производства. В начале 90-х гг. наметилась тенденция к сокращению численности занятых, в 1994 г. было занято 80,4%. За 1988-1994 гг. количество занятых сократилось на 130 тыс. человек, увеличилась доля экономически неактивного населения, занятого в домашнем и личном подсобном хозяйстве, доля этого населения в 1988 г. была 5,7%, в 1994 г. - 15%. За период с 1993 по 1997 гг. безработица в области возросла в 10,3 раза, с 1993 по 1995 гг. количество официальных безработных увеличилось в 3,5 р. [17]. Названные факты являются следствием общероссийских изменений в экономике, упомянутых выше.
Рынок труда Тюменской области в 1994 г.
В 1994 г. безработица была преимущественно женской - 67,7%, доля мужчин - 32,3%. По возрастному составу распределение произошло следующим образом: безработные в возрасте от 18 до 29 лет - 31%, от 30 до 55 лет - 64%. По образованию:
10,8% - высшее образование;
30,2% - среднее специальное образование;
42,5% - среднее образование.
Среднее время поиска работы - 4,8 месяца [29].
Рынок труда Тюменской области в 1995 г.
В 1995 г. количество занятых всеми видами экономической деятельности составило 1683 тыс. человек, численность трудоспособного населения - 2300 тыс. человек , уровень безработицы в среднем по области - 2,5% [17]. Также наблюдалось преобладание женщин, доля безработных мужчин - 40% [29], хотя в дальнейшем наблюдается ее повышение. Касательно возрастного состава безработных отметим, что 31,7% из них в возрасте от 18 до 29 лет, 62,9% - в возрасте от 30 до 55 лет. По образованию безработные распределились следующим образом:
-8,3% имеют высшее образование;
-29,0% - среднее специальное образование;
-43,7% - среднее образование.
Средний период поиска работы - 5,5 месяцев [29].
Рынок труда Тюменской области в 1996 г.
В 1996 г. количество занятых в области всеми видами экономической деятельности - 1640 тыс. человек, по сравнению с 1995 г. она уменьшилась на 43 тыс. человек или на 2,6% [21], Переливы рабочей силы определялись значительной дифференциацией в оплате труда, также наибольшее сокращение численности произошло в тех отраслях, где низкий уровень оплаты труда и наибольший спад производства:
-машиностроение;
-легкая промышленность;
-лесная промышленность;
-образование;
-сельское хозяйство;
-деревообрабатывающая промышленность;
-геодезическая и гидрометеорологическая служба [27].
И наоборот, возросла численность работающих:
-финансово-кредитная отрасль, страхование на 1,5%;
-органы управления на 1,5%;
-жилищно-коммунальное хозяйство и бытовое обслуживание населения на 2% [27].
Также необходимо отметить снижение численности работников государственного сектора, в 1994 г. в госсекторе было занято 40% работающих, в 1996 г. - 29% [21].
Спад промышленного производства составил 5% по сравнению с 1995 г. [27], в связи с этим в 1996 г. в службы занятости области обратились 122,5 тыс. человек, или на 25% больше, чем в 1995 г. Из обратившихся в службу занятости 51% - уволенных по собственному желанию, 20% - по сокращению. Общая численность официально имеющих статус безработных 44 967 человек [24].
Продолжилось сокращение ввода дополнительных рабочих мест [21]:
-в 1994 г. было введено 2,9 тыс. рабочих мест;
-в 1995 г. - 2,1 тыс.;
-в 1996 г. - 1,3 тыс.
На динамику рабочей силы значительное влияние оказывает иммиграция, в основном это касается Ханты-Мансийского и Ямало-Ненецкого автономных округов, в 1996 г. в Ямало-Ненецком автономном округе было занято 7,15% всей иностранной рабочей силы в России, в Ханты-Мансийском автономном округе - 15,83%, также по области на 9% увеличилось количество беженцев, на 6,5% возросло число демобилизованных и освобожденных из мест лишения свободы, что также повлияло на состояние рынка труда [27].
Средняя продолжительность поиска работы составила у женщин - 6,5 месяцев, у мужчин - 6 месяцев, из ищущих работу занимались этим более одного года 26% мужчин и 27% женщин [24], общий уровень безработицы по области 3,13%, в Ямало-Ненецком автономном округе - 3,00%, в Ханты-Мансийском автономном округе - 3,04% [21]. Преобладает доля безработных в возрасте от 30 до 55 лет - 65,9%, от 18 до 29 лет - 30,2% [29].
Необходимо отметить, что безработица имеет женское лицо. Численность безработных женщин была в два раза выше, чем мужчин и составила 56,4%, мужчин - 43,6% [29]. В некоторых отраслях высвобождаются преимущественно женщины:
-торговля и общественное питание -83,7%;
-здравоохранение, социальное обеспечение, образование - 80%;
-управление - 78,5%;
-жилищно-коммунальное хозяйство и бытовое обслуживание населения - 76,6%;
-строительство - 51,1%;
-сельское хозяйство - 57,2% [29].
Доля безработных женщин с высшим образованием составляет 10% [29].
Относительно квалификационного состава безработных нужно сказать, что:
-7,8% безработных имеют высшее образование;
-37,0% среднее специальное образование;
-38,1% - среднее образование [29];
-4,3% безработных - выпускники общеобразовательных школ,
-3,5% - выпускники средних, высших, профессионально-технических учебных заведений [24].
Коэффициент напряженности на рынке труда - 8,1 человек на одно рабочее место, в 1993г. - 1,3, в 1995 г. - 5,4 человек [24].
Рынок труда Тюменской области в 1997 г.
Основные тенденции 1997 г.:
1. произошло дальнейшее снижение численности экономически активного населения в следующих отраслях [45]:
-промышленность и строительство - на 5%;
-геология - на 8%;
-наука - на 3%;
-сельское хозяйство - на 11%;
2.отмечено увеличение численности в следующих сферах:
-жилищно-коммунальное хозяйство и бытовое обслуживание населения - 19,9%;
-органы управления - на 7,4%;
-образование, культура, искусство - на 4,2%;
-здравоохранение, социальное обеспечение - на 3,4% [45];
3.увеличение занятости в негосударственном секторе на 6,3% по сравнению с 1996 г., всего в этом секторе занято 34,1% экономически активного населения [45];
4.превышение численности выбывающих над принятыми, общий прием был меньше выбытия на 10 тыс. человек по сравнению с 1996 г., произошло дальнейшее сокращение числа заявленных вакансий на 13,4% по сравнению с 1996 г. [47];
5.в органы занятости обратилось на 26,7% больше нуждающихся в помощи, чем в 1996 г.; произошла дальнейшая активизация процессов высвобождения граждан [47].
Из общего количества безработных 30% имели высшее и среднее специальное образование, а 31,4% - не старше 30 лет. Произошло возрастание доли мужчин на 5,5% [47].
В структуре спроса на рабочую силу преобладают рабочие специальности (главным образом строительные), низкооплачиваемые работники, кроме того, нет профессий, которые бы пользовались стабильным спросом.
Уровень безработицы в Ханты-Мансийском автономном округе - 3,15%, В Ямало-Ненецком автономном округе - 2,47%, в целом по области 3,21% [47].
В 1997 г. в результате деятельности областного центра занятости увеличилось трудоустройство мужчин на 27%, женщин - на 2%. Количество работников, уволенных по сокращению - 25%, по собственному желанию - 51%. Тревожащим фактором явилось то, что на 81,3% увеличилось число безработных, которые не могут подобрать работу в течение года, т.е. безработица приобретает застойный характер. Увеличилась доля лиц, имеющих общее среднее образование - на 1,3% [47].
Рынок труда Тюменской области в 1998 г.
В 1998 г. в областной центр занятости населения обратилось на 20% больше, чем в 1997 г., при этом 30% обратившихся имеют высшее и среднее специальное образование. 60% обратившихся - женщины, таким образом, произошло увеличение доли женщин [31]. Уровень безработицы в целом по области составил 3,83 %, в т.ч. :
-Ханты-Мансийский автономный округ - 4,1%;
-Ямало-Ненецкий автономный округ - 3,5%;
-Юг области - 3,9% [31].
Из общего числа высвобожденных работников 49% уволились по собственному желанию, 42% - по сокращению численности [53].
В конце года несколько увеличилась количество обратившихся, имеющих высшее и среднее специальное образование, в то же время 80-90% вакансий предлагаются на рабочие специальности [31], следовательно имеет место несоответствие структуры спроса на рабочую и ее предложения.
Исходя из вышеизложенного, отметим основные тенденции на рынке труда Тюменской области (необходимо подчеркнуть, что речь идет только об официально зарегистрированных безработных) :
1.Уровень безработицы имеет устойчивую тенденцию к повышению, за период с 1995 по 1998 гг. он увеличился в 1,5 раза, с 2,5 до 3,83% (рис. 1),. В 1998 г. уровень безработицы по сравнению с уровнем 1997 г. увеличился на 0,62%, тогда как в 1997 г. только на 0,09%, такая ситуация объясняется увеличением числа сокращаемых работников во второй половине 1998 г.
2.В общем количестве безработных доля женщин существенно больше доли мужчин, но в то же время нужно отметить, что в последние годы количество безработных мужчин несколько увеличивается. Возможно, это связано с тем, что женщины быстрее адаптируются к ситуации. В 1997 г. количество мужчин и женщин было приблизительно одинаковым - 49,1% и 50,9% соответственно, но в 1998 г. произошло резкое увеличение доли женщин на 9,1% по сравнению с 1997 г. Такое изменение ситуации можно объяснить тем, что начиная с августа 1998 г. на многих предприятиях увеличилось количество сокращаемых работников, большую часть из которых составляют женщины (рис. 2). Таким образом, кризис августа 1998 г. повлиял не только на общий уровень безработицы, но и на ее структуру.
3.Относительно образовательного состава работников на рынке труда отметим следующее: происходит постепенное снижение доли работников с высшим образование - с 10,8% в 1994 г. до 6,5% в 1997г.; можно предположить, что работники с высшим образованием предпочитают искать работу самостоятельно, без помощи службы занятости. В 1994-1995гг. доля работников с средним специальным образованием практически не изменялась, но в 1996 г. произошло ее увеличение на 8%, а в 1997 г. - снижение на 13,5%. В то же время наблюдается рост доли имеющих общее среднее образование - в 1997 г. она увеличилась до 60%, и лишь в 1996 г. произошло некоторое ее падение на 5,6% по сравнению с 1995 г (рис. 3). Возможно, увеличение числа работников, имеющих только общее среднее образование произошло вследствие подорожания стоимости обучения.
4. Возрастной состав работников с 1994 по 1997 гг. оставался относительно стабильным: доля работников в возрасте 18-29 лет колеблется от 31 до 30%, несколько увеличивается доля работников в возрасте 30-55 лет (на 4,6%) с 64,0 до 68,6% (рис. 4).
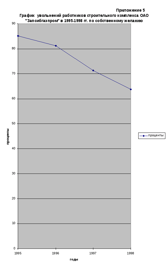
5.Наблюдается устойчивый рост количества работников, уволенных по сокращению численности, что происходит вследствие падения объемов производства; их доля с 1996 по 1998 гг. увеличилась в два раза - с 20 до 42%. В то же время приблизительно 50% высвобождаемых работников уволены по собственному желанию (рис. 5), в основном это происходит в отраслях с низким уровнем оплаты труда и большими задержками в оплате.
6.Происходит постепенное увеличение времени поиска работы - с 4,8 до 6-7 месяцев, также возрастает коэффициент напряженности на рынке труда - с 5,4 человек в 1995 г. до 8,1 человек в конце 1996 г. на одно рабочее место.
7.Необходимо отметить, что в службы занятости обращается каждый второй человек из ищущих работу. Общая ситуация на рынке труда характеризуется невысоким уровнем официально зарегистрированной безработицы.
Общий вывод- за последние пять лет ситуация на рынке труда Тюменской области становится все более сложной и напряженной, что в целом отражает общую тенденцию по России.

Рис.1. Диаграмма изменения уровня безработицы
2.СТРУКТУРА ВЫСВОБОЖДАЕМЫХ ТРУДОВЫХ РЕСУРСОВ ОАО "ЗАПСИБГАЗПРОМ"
Сущность движения трудовых ресурсов
Как уже было отмечено выше, в современных условиях существует острая необходимость формирования рациональной занятости населения.
Что же понимается под движение трудовых ресурсов? Движение - распределение, перераспределение, высвобождение, подготовка и переподготовка трудовых ресурсов. Это постоянное изменение количественных и качественных признаков, характеризующих ту часть населения, которая выступает носителем рабочей силы [26]. Виды движения трудовых ресурсов:
-естественное
-территориальное
-отраслевое
-профессинальное
-квалификационное
-социальное.
При этом территориальный, отраслевой и профессиональный виды движения представляют собой экономическое движение, иными словами движение трудовых ресурсов внутри народного хозяйства или переходы работников с одних рабочих мест на другие. Для обозначения движения могут также быть использованы термины «подвижность», «мобильность», «передвижение», «перемещение», «перелив».
При исследовании движения трудовых ресурсов используются следующие принципы:
-исследование движения населения и трудовых ресурсов как единого социально-экономического процесса;
-исследование движения населения и трудовых ресурсов и рабочих мест согласованно, учитывая производственно - экономические и социальные интересы общества, личные интересы работников;
-исследование движения населения и трудовых ресурсов на уровне всей экономики с последующей детализацией до уровня рабочего места;
-рассмотрение единства взаимосвязи и взаимообусловленности всех форм движения;
-взаимосвязанное изучение актов приема и увольнения работников, перерыва в трудовой деятельности, поиск нового места работы, новую трудовую деятельность;
-совместное изучение как двигающегося, так и занятого населения [26].
Задача изучения движения трудовых ресурсов - разработка системы мероприятий и методов, позволяющих придать движению организованный и целенаправленный характер, учитывая при этом личные интересы людей и интересы общества.
Первоначально интерес к движению трудовых ресурсов проявился в изучении текучести кадров как конкретного проявления экономического движения на уровне предприятий. Текучесть всегда связана со сменой рабочего места, отрасли, сферы деятельности. На уровне хозяйства страны текучесть - часть единого процесса движения кадров. С таких позиций проблема ликвидации излишней текучести превратилась в проблему научного управления движением трудовых ресурсов.
В настоящее время также изучается экономическое движение в его территориальной форме, то есть миграции между различными районами страны. При изучение этого вида движения необходимо учитывать и воздействовать на реально существующие миграционные процессы: миграционные потоки, их интенсивность, направления. В рамках этой работы изучается взаимосвязь миграции и текучести кадров.
Сложность процесса изучения движения трудовых ресурсов предполагает использование экономико-математических методов и моделей, комплексного исследования и прогнозирования.
Основной метод изучения движения населения и трудовых ресурсов - балансовый. Суть его состоит в согласованном определении плановых потребностей в трудовых ресурсов на уровне региона, отрасли, предприятия и источников их удовлетворения. При использовании этого метода сначала определяются резервы рабочей силы региона, не участвующей в общественном производстве - естественный прирост населения в трудоспособном возрасте, численность выпускников учебных заведений, пенсионеров, которые могли бы принять участие в экономической деятельности. Но при этом не учитываются сложившиеся в регионе процессы межотраслевого, межпрофессионального и других видов движения трудовых ресурсов. В результате предполагается, что потребность в рабочей силе должна быть удовлетворена за счет местных источников и с помощью территориального перемещения населения, что обеспечит соответствие численности трудоспособного населения и числа рабочих мест.
Балансы движения трудовых ресурсов отображают не только отдельные формы движения, но и весь процесс движения, его количественные характеристики, трактуют движение во взаимосвязи его различных форм, показывают изменение отраслевой, териториальной, возрастной, профессиональной, квалификационной, социальной структуры трудовых ресурсов в качестве результата такого движения. В итоге баланс дает возможность показать единство социально-экономических и демографических процессов, связанных с изменениями за определенный период численности населения и трудовых ресурсов и соответствующих их структур (возрастной, территориальной, отраслевой и др.). Это создает основу планирования трудовых ресурсов.
Балансы позволяют также оценить важность отдельных потоков движения трудовых ресурсов. Используемый при этом критерий их важности - количественная оценка роли потоков с точки зрения значения их изменения для формирования структуры занятости населения региона. При этом балансы естественного и территориального движения населения и трудовых ресурсов базируются на статистической отчетности и данных переписи населения, а дригие виды балансов - на специальных обследованиях движения трудовых ресурсов.
При составлении балансов используются следующие показатели:
-общий объем поступления людей в каждое из состояний;
-общий объем увольнений людей в каждом из состояний;
-коэффициент интенсивности пополнения населения в данном состоянии;
-коэффициент интенсивности выбытия населения в данном состоянии;
-другие показатели [26].
С помощью балансов делаются прогнозы движения трудовых ресурсов и населения, общих объемов прибытия и выбытия работников в различных отраслях экономики.
Рассмотрим баланс естественного движения населения и трудовых ресурсов (см. табл. 5). Первый раздел - численность трудовых ресурсов, во втором и третьем разделе балансовой таблицы - данные о внешних взаимосвязях региона, к которым относятся процессы рождаемости и смертности, а также миграционные связи. Слева и справа расположены столбцы, содержащие сведения о распределении населения и трудовых ресурсов региона на начало и конец рассматриваемого периода по их классификационным группам (состояниям). Составление баланса происходит с помощью компьютерных программ экономико-математическими методами с использованием системы сложных расчетов.
Таблица 1
Схема баланса движения населения и трудовых ресурсов
|
Численность населения и трудовых реурсов в системе на начало периода |
Внутрисистемные направления выбытия (в соответствии с классификацией населения и трудовых ресурсов на отдельные группы) |
Внешние направления выбытия умерли выбыли прочие за пре- делы системы |
Численность населения и трудовых ресурсов в системе на конец периода |
||
|
1 |
2 |
3 |
4 |
5 |
6 |
|
Источники поступления (состояния) |
Внутрисистемные (в соответствии с классификацией населения и трудовых ресурсов на отдельные группы) |
Первый раздел |
Второй раздел |
||
|
Внешние Родились Прибыли в систему Прочие |
Третий раздел |
2.2. Характеристика ОАО "Запсибгазпром"
История создания ОАО «Запсибгазпром» берет начало в 1973 году, когда был образован трест «Тюменьстройгаздобыча» и связана с интенсивным развитием газовой промышленности в Тюменской области. ОАО «Запсибгазпром» было создано в 1993 году на базе государственного проектно- промышленно- строительного предприятия «Запсибгазпромстрой».
Сегодня ОАО «Запсибгазпром» (далее Общество) - многопрофильное предприятие, одно из крупных подразделений РАО «Газпром», в состав которого входят 16 дочерних акционерных обществ, 11 филиалов и 10 обществ с ограниченной ответственностью, кроме того, 45 предприятий с участием Общества. Целью создания предприятий является обеспечение развития внутреннего рынка работ и услуг по газификации, а также освоение нефтяных и газовых месторождений. Кроме традиционного вида деятельности - строительства жилья, объектов соцкультбыта и промышленных объектов, появились и стали приоритетными: строительство газопроводов среднего и низкого давления из полиэтиленовых труб; налажено производство по выпуску полиэтиленовых труб, сварочных электродов, газовых приборов, инфракрасных излучателей, керамической облицовочной плитки, сборных железобетонных конструкций, дорожных и тротуарных плит и многое другое. В 1997 году приступили к выполнению программы по освоению Южно-Русского нефтегазового месторождения.
В 1997 году ОАО «Запсибгазпром» удалось завершить широкомасштабную региональную программу газификации южных сельскохозяйственных районов Тюменской области. В настоящее время активно ведутся работы по газификации в 18 регионах России. Всего проложено 45000 км. полиэтиленовых газопроводов. Несмотря на резкое падение объемов работ в целом по России, Обществу удалось с 1992 года увеличить объемы строительно-монтажных работ с 269,6 до 727 млрд.рублей, строительство газопроводов со 168 до 1300 км., значительно увеличить реализацию газа, газифицировать квартир до 5000 штук в год, увеличить строительство котельных с 11 до 70.
С 1996 года начат выпуск фасадных термоизоляционных панелей - 40 тысяч м2 в год, металлической черепицы - 30 тысяч м2 в год [36]. В феврале 1998 года запущена первая линия по выпуску экологически чистой минеральной ваты и стеновых панелей типа «сэндвич». Выпуск этих изделий позволит решить вопросы тепловой изоляции зданий и сократить сроки строительства объектов почти в 1,5 раза [37].
Свое дальнейшее развитие ОАО «Запсибгазпром» связывает также с созданием автономных локальных систем по выработке электроэнергии и тепла для собственных нужд и продажи потребителям. С 1996 года силовая газовая станция в Тюмени обеспечивает стабильное снабжение электроэнергией и теплом всех заводов и промышленных объектов ОАО «Запсибгазпром». Эта станция работает на природном газе давлением 3 атмосферы и, являясь экологически чистой, соответствует всем мировым стандартам. Идет подготовка к пуску таких станций для обеспечения постоянной электроэнергией и теплом объектов Южно-Русского месторождения и оздоровительного комплекса «Ямал» Краснодарского края.
Продолжает развиваться и традиционная для ОАО «Запсибгазпром» сфера: проектирование, строительство, реконструкция производственных объектов и объектов соцкультбыта. В 1996 году сданы «под ключ» такие престижные объекты социальной сферы как ресторан «Седьмое небо» и гостиница «Кволити Отель «Тюмень» в центре города, в 1998 г. построена вторая очередь оздоровительного комплекса «Ямал» на черноморском побережье [36].
В 1997-1998 гг. введены в эксплуатацию:
-две новые линии по производству полиэтиленовых труб и соединительных деталей на заводе «Сибгазаппарат», что позволит выпускать до 17 тыс. тонн указанной продукции в год;
-технологическая линия мощностью 5 тыс. тонн электродов в год;
-производственные площади в размере 5,9 тыс. м2 на заводе «Тюмень-
Дизель» ;
-бетоно-смесительный узел и склад готовой продукции на заводе «Мобиль» [37].
В течении 1997 года завершена начатая в 1996 году работа по организации дочерних закрытых акционерных обществ и филиалов в их составе. В частности таких как: «ДСК - 1», «Запсибстройдизайн», «Тюменское объединение по газификации», «Запсибгазсервис», «Тюмень-Бойлер», «Запсибгазстрой» в городе Новый Уренгой, «Северстройгаздобыча» в городе Губкинский, «Восточное объединение по газификации» в городе Ишим. А также созданы на базе филиалов общества: ООО НИПИ «Газпроект», ООО «Восток», ООО «Теплогазсистем», ОАО «Стадион» [36].
В 1997 году была проведена большая работа по реструктуризации Общества с целью концентрации производства и совершенствования структуры управления в связи с расширением географии деятельности и ростом объемов работ по строительству и газификации, созданы новые предприятия, в 1998 г. эта работа была продолжена.
На 1.01.99 организационная структура ОАО «Запсибгазпром» характеризуется схемами рис 2.
Постоянное совершенствование структуры Общества, появление новых видов деятельности позволило увеличить число рабочих мест Общества по сравнению с 1992 годом в 2,2 раза. На 01.01.1999 г. численность работающих в Обществе составила 10494 человека [37].
Для обеспечения работы предприятий, занимающихся основными для Общества видами деятельности, в 1998 г. в Москве, Тюмени, на черноморском побережье созданы пять обществ с ограниченной ответственностью со 100% Уставным капиталом Общества по следующим видам деятельности: стройиндустрия, коммерческие операции, индустрия отдыха.
В связи с дальнейшим расширением географии и наращиванием объемов работ по газификации в конце 1998 г. создано три дочерних акционерных общества в разных регионах России: ДЗАО "Брянскзапсибстрой" в г. Брянск, ДЗАО "Восточно-Сибирское объединение по газификации" в г. Томск, ДЗАО "Южное объединение по газификации" в г. Ставрополь" [37].
За 1998 г. Обществом выполнено работ на сумму 1590 млрд. руб.; введено 17,3 тыс. м2 жилья, 815,6 км газопроводов, что в 1,8 раза больше объема предыдущего года; газифицированно 5,5 тыс. шт. квартир, в 6,6 раза больше, чем в предыдущем году [37].
Прибыль от реализации работ и услуг составила 32 млрд. руб. С учетом прочих операционных, внереализационных доходов и расходов, связанных с арендой основных средств, налогами, относимых на финансовый результат, штрафами за нарушение договоров и прочими, в целом по Обществу получена балансовая прибыль 45,6 млрд. руб. После начисления налога на прибыль с учетом 50% льготы прибыль в распоряжении предприятия составила 31,3 млрд. руб. [37].
Так как в 1999 г. планируется рост объемов работ Общества по газификации, во многих регионах России будет расширена сеть предприятий по эксплуатации и сервисному обслуживанию газового оборудования, организованны промышленные предприятия и предприятия стройиндустрии.
В Обществе ведется постоянная и планомерная работа с персоналом, постоянно увеличиваются выделяемые для этого средства. Работа основана на признании целесообразности капиталовложений, связанных с набором персонала, поддержанием его в трудоспособном состоянии, непрерывном обучении и выявлении потенциальных способностей и возможностей работника. Постоянно ведется обучение персонала, особое место отводится экономической учебе, в аппарате управления нет специалистов, не прошедших повышения квалификации за последние четыре года; при этом используются следующие виды обучения:
1.внутрипроизводственное обучение,
2.обучение по централизованному графику ОАО "Газпром",
3.дистанционное обучение,
4.обучение по программе Президента,
5.обучение в других учебных центрах,
6.обучение иностранному языку,
7.профессиональное обучение рабочих.
Становится приоритетным такое направление, как работа с резервом; в 1998 г. разработана комплексная система оценки персонала, проведена аттестация.
Без внимания не остаются и молодые специалисты Общества: каждый год проводятся Конференции молодых специалистов, на которые приглашаются преподаватели вузов.
Организационная структура ОАО “ЗАПСИБГАЗПРОМ” на 1.01.1999г.
Генеральный директор
ОАО “Запсибгазпром”
Аппарат управления
ОАО“Запсибгазпром”
Первый замести-тель генерального директора
Идрисов А.З.
Зам.ген. директора
Облетов А.В.
строительная сфера
Заместитель генерального директора
Левин Д.Б.
Заместитель генерального директора
Смышляева И.А.
Заместитель генерального директора
Мухаметкулов В.А.
Заместитель генерального директора
Данильченко С.И.
Заместитель генерального
директора
Дремов М.В.
Заместитель генерального директора Нурбаев Б.А.
Заместитель генерального директора
Сафронов О.Л.
Заместитель генерального директора
Козодоев Л.В.
НИС
г.Тюмень
(филиал)

Дирекция по
строительству
объектов
г.Тюмень (филиал)
РТП
п.Омутинское
(филиал)
ДЗАО Тюмен-ское объеди-нение по гази-фикации
г.Тюмень
РЭУ
г.Тюмень
(филиал)
Оздоровитель-ный комплекс “Ямал” п.Небуг
(филиал)
Дирекция
«Янгана-Пэ»
г.Лабытнанги
(филиал)
ЗАО «Сельку-
пгазпром»
г.Тюмень

ОИ «Омскгаз-технология» Омск
(филиал)
ООО «Запсиб-газкомплект»
г.Тюмень
ДЗАО «Цент-ральное объе-динение по газиф.»
г.Саратов
ДЗАО «Тюмень-
Бойлер»
г.Тюмень
Центр общест-венного пита-ния
(филиал)
ДЗАО «Тюме-нстройгаздо-быча»
г.Тюмень
ДЗАО «Восто-чное объедине-ние по газифи-кации»
г.Ишим
ЗАО «Газкон»
г.Н. Уренгой
ООО «Газавтоцентр»
г.Москва
ООО НИПИ
«Газпроект»
г.Тюмень
Служба безопасности
п.Небуг
(филиал)
ООО «Пла- мет» Тюм.обл.
ООО
«Запсибгаз-пром-Трейд»
г.Тюмень
ДОАО
«Юггазифика
ция» г.Туапсе
ООО «Серви-сный центр»
г.Тюмень
ЗАО «Исетс-кий нефтепе-прерабатыва-ющий завод»
с.Исетское

ДЗАО ДСК-1
г.Тюмень


ЗАО «Запсиб-
газагроторг»
г.Тюмень
ДЗАО «Орел-
газсибстрой»
г.Орел
ДЗАО «Запсибгаз-центр»
г.Москва
ООО «Универ-салюгсервис»
п.Небуг
ЗАО «Газ-
Туапсе» г.Туапсе
ООО «Запсибрургаз Инжиниринг»
г.Тюмень
ДЗАО «Запси-бгазстрой»
г.Новый Урен-
гой
ООО «Тепло-газсистем»
г.Тюмень
ЗАО Футболь-ный клуб «Тюмень»
г.Тюмень
ОАО «Стадион»
г.Тюмень
ООО «Восток»
п.Исетский
ДЗАО «Зап-сибгазсервис» г.Тюмень
ООО «Пансионат
Молния»
п.Небуг
ЗАО «ТАТЭ»
г.Тюмень
ДЗАО «Север-
стройгаздобы-ча» г.Губкин-ский
ОАО «Между-народный спо-
ртивный центр»
г.Тюмень
ЗАО
«Гольф-клуб»
г.Тюмень
ТЦ Запсибтех-автосервис
г.Тюмень
(филиал)
Управление службы безопасности
г.Тюмень
(филиал)
ДЗАО «Зап-сибстрой-
дизайн» г.Тюмень
ЗАО «Пурнеф-тегазгеология»
п.Тарко-Сале
ОАО«Урен-гойнефтегаз-геология»
г.Н. Уренгой
ОАО«Иртыш-нефтегаз»
г.Омск
ООО «Запсиб-болгарстрой»
г.Тюмень
ЗАО «Полимергаз»
г.Москва
ООО «Забсиб-стройсервис»
г.Тюмень
ООО «Запсиб-
тасис»
г.Х.-Мансийск
ООО «Мобиль»
г.Тюмень
ОАО «Тюмень-
Дизель»
г.Тюмень
ЗАО «Сибмет»
г.Тюмень
ЗАО «Запсиб-теплокерами-ка» г.Тюмень
АО «Орелсиб-
газаппарат»
г.Орел
ЗАО «Сибита-лтехногаз»
г.Тюмень
ЗАО «Сибгазприбор» г.Тюмень
ООО «Запсиб-газомикрон»
г.Тюмень
ЗАО«СИБЭС»
г.Тюмень
ЗАО «Сиб-газаппарат»
г.Тюмень
ЗАО «Тюмен-ский завод ке-
рамических изделий»
г.Тюмень
ЗАО «Сибшванк»
г.Тюмень
ЗАО«Сибфин» г.Тюмень
ЗАО
«Сибтехмаш» г.Тюмень
ОАО «Запсиб-газификация»
г.Тюмень
ЗАО «Строй-машсервис»
г.Тюмень
ОАО «Омскга-зификация»
г.Омск
ЗАО «Экспотехгаз»
г.Москва
ОАО «Газ-ресурсы»
г.Омск
Списочная численность (без совместных предприятий) на 1.01.99 г. - 10494 чел.
ЗАО Гостиница
«Тюмень» г.Тюмень
ООО
«Тюменпетрол»
г.Тюмень
ОАО «ТюменьОЙЛ»
г.Тюмень
АО «Тюменская регистрацион-ная компания»
г.Тюмень
ООО «Вега»
с. Армизонское
Тюмен. обл.
ООО «Северне-фтегазпром"
п.Уренгой
ООО «Ишимский кирпичный завод» г.Ишим
ДЗАО «Восто-чно-Сибирс-кое объеди-нение по га-зификации»
г.Томск
ДЗАО «Брянс-кгазсибстрой» г. Брянск
ООО «Ишимский машиностроите-льный завод» г.Ишим
ДЗАО «Южное объединение по газифика-ции» г.Ставро-
поль

Рис.2
2.3. Структура высвобождаемых трудовых ресурсов строительной сферы ОАО "Запсибгазпром"
Вопросами учета высвобождаемых трудовых ресурсов в ОАО «Запсибгазпром» занимается Служба управления персоналом, входящая в управление по кадрам и социально правовым вопросам. Служба управления персоналом (далее СУП) состоит из начальника, заместителя начальника, группы подготовки кадров, работников личного стола и группы по труду и заработной плате. Уровень квалификации работников СУП периодически повышается благодаря постоянному обучению. Наряду с характерной для всех СУП деятельностью СУП ОАО «Запсибгазпром» занимается:
1)выявлением перспективных специалистов, которое производится по результатам аттестации и повышения квалификации, по умению временно заменить отсутствующего начальника или специалиста, по результатам особо важных заданий, при подведении итогов и анализе ведения работ на производственных участках;
2)составлением списков перспективных специалистов и формированием резерва кадров на выдвижение, которые регулярно корректируются и обновляются. С каждым новым специалистом, включенным в резерв составляется личный карьерный план, где поставлены реальные задачи по устранению пробелов в подготовке и повышении квалификации в области организации производства и управления коллективом;
3)организацией и проведением аттестаций, оценкой персонала.
В обществе ведется постоянная работа по закреплению высококвалифицированных специалистов с помощью мер социальной защиты: решение жилищных вопросов, выделение путевок в летние лагеря, дома отдыха, санатории. Но, к сожалению, приходится отметить высокий уровень текучести кадров в 1996-1998 гг., хотя в 1998 г. наблюдается снижение текучести на 3,1% по сравнению с 1996 г. [33] :
1996 г. - 42,6%;
1997 г. - 33,5%;
1998 г. - 39,5%.
Как уже было сказано выше, ОАО "Запсибгазпром" - многопрофильное предприятие. Рассмотрим структуру высвобождаемых кадров в 1995-1998 гг. по одному из основных видов деятельности - строительство и строительное производство. К данному комплексу относятся девять предприятий (см. прил. 1). Необходимо отметить, что структура строительного комплекса постоянно расширялась, т.е. в 1995 г. в комплекс входили четыре крупных предприятия с общей численностью 1998 г. 2455 человек [37]:
ДЗАО "Тюменстройгаздобыча";
ДЗАО ДСК-1;
ДЗАО "Северстройгаздобыча";
ДЗАО "Запсибгазстрой".
В настоящее время шесть предприятий комплекса находятся в г. Тюмени, три - на севере Тюменской области. В составе комплекса два завода строительной индустрии, комбинат промышленных производств, асфальто-бетонный завод. Слияние в единый комплекс службы заказчика, проектных институтов и строительно-монтажных организаций позволяет сдавать объекты под ключ.
За 1998 г. фактически освоено капитальных вложений 94 тыс. руб., из них промышленное строительство - 517,6 тыс. руб., непромышленное строительство - 185 тыс. руб.[37]
Структуру высвобождаемых кадров рассмотрим по следующим критериям:
общее количество уволенных за год по категориям работников;
соотношение мужчин и женщин;
квалификационный состав высвобождаемых кадров;
возрастной состав высвобождаемых кадров.
При этом необходимо подчеркнуть, что при анализе причин увольнений рассматривались основные: увольнение по собственному желанию, в том числе из-за неудовлетворенности заработной платой, увольнение по сокращению штатов, увольнение за нарушение трудовой дисциплины.
Выделим общие тенденции, характерные для строительного комплекса ОАО «Запсибгазпром» и наблюдавшиеся в рассматриваемом периоде в структуре высвобождамой рабочей силы.
1.Половой состав высвобождаемых работников.
Особенностью строительного комплекса является большая доля рабочих (в среднем 77,1%), среди которых преобладают мужчины. Данная ситуация обусловлена характером работ в строительстве. Таким образом, мужчины занимают ведущее место в общем составе высвобождаемых работников. В кадровых службах исследуемых предприятий не рассматривается динамика полового состава увольняемых работников, но по наблюдениям специалистов кадровых служб доля мужчин составляет примерно 70% общего числа, доля женщин соответственно 30%. Кроме того, заработную плату нельзя назвать очень высокой, существую задержки по ее выдаче. Естественно, что в такой ситуации мужчины, содержащие семьи, вынуждены увольняться в поисках лучших условий оплаты труда.
2.Возрастной состав высвобождаемых работников.
Среди работников, увольняемых по сокращению штатов, преобладают лица пенсионного возраста, их доля в разные годы колеблется от 55% до 60%. Это обусловлено тем, что администрация предприятий стремится освободить рабочие места для более молодых и более квалифицированных работников.
В то же время около 70% работников, увольняемых по собственному желанию, находятся в возрасте от 30 до 50 лет, также достаточно велика доля молодых специалистов в возрасте до 30 лет - в среднем 28%, что по большей части происходит вследствие неудовлетворенности оплатой труда; работники предпенсионного возраста редко увольняются по собственному желанию, их количество составляет около 2%.
Квалификационный состав высвобождаемых работников.
Большую часть вывобождаемого персонала составляют рабочие, среди них, как показал анализ личных дел уволенных работников, преобладают люди с общим средним или средне-специальным образованием, их доля - 90%.
2.3.1.Общее количество уволенных за год по категориям работников и основные причины увольнения в 1995 г. [33].
Таблица 2
Характеристика движения кадров по категориям работников в 1995 г.
|
показатели |
всего |
руководи-тели |
специа-листы |
служа-щие |
рабо-чие |
|
1 |
2 |
3 |
4 |
5 |
6 |
|
принято |
1453 |
63 |
52 |
11 |
1327 |
|
уволено |
1365 |
61 |
79 |
10 |
1215 |
|
по собственному желанию, в т.ч. |
1162 |
52 |
59 |
8 |
1043 |
|
из-за неудовлетворенности заработной платой |
745 |
26 |
37 |
3 |
679 |
|
за нарушение трудовой дисциплины |
59 |
1 |
- |
- |
58 |
|
по сокращению штатов |
60 |
2 |
15 |
- |
43 |
|
среднесписочная численность за год |
1999 |
213 |
174 |
17 |
1595 |
Исходя из данных таблицы можно сделать вывод, что большая часть увольнений происходит по собственному желанию - 85,1%, при этом основной причиной увольнения по собственному желанию явилась неудовлетворенность заработной платой - 54,6% общего числа.
Кроме того, 4,3% увольнений произошло вследствие нарушений трудовой дисциплины; 4,4% общего количество уволенных было высвобождено по сокращению штатов.
Текучесть кадров в целом по комплексу составляет 71,2%, количество принятых превысило количество уволенных на 88 человек. Далее рассмотрим соотношение работников всех категорий. Из общего количества уволенных доля руководителей составляет 4,5%, специалистов - 5,8%, служащих - 0,7%, рабочих - 89%. Приблизительно то же соотношение сохраняется при анализе соотношения уволенных по собственному желанию, из-за неудовлетворенности заработной платой, за нарушение трудовой дисциплины, по сокращению штатов.
Рассмотрим структуру высвобождаемых работников по категориям.
Руководители: 85,2% общего числа руководителей уволились по собственному желанию, 42,6% из-за неудовлетворенности заработной платой. 3,3% было уволено по сокращению штатов, 1,6% - за нарушение трудовой дисциплины.
Специалисты: 74,7% уволились по собственному желанию, 46,8 вследствие неудовлетворенности заработной платой. 18,9% уволено по сокращению штатов. Среди специалистов не было увольнений за нарушение трудовой дисциплины.
Служащие: 80% уволились по собственному желанию, 30% из-за неудовлетворенности заработной платой. Не было увольнений за нарушение трудовой дисциплины и по сокрашению штатов.
Рабочие: 85,8% уволенных по собственному желанию, 55,9,1% - из-за неудовлетворенности заработной платой, 3,5% - по сокращению штатов, 4,8% за нарушение трудовой дисциплины. Таким образом, наиболее сильное недовольство заработной платой наблюдалось среди рабочих, у служащих данный показатель был самым низким.
2.3.2.Общее количество уволенных за год по категориям работников и основные причины увольнения в 1996 г.
Таблица 3
Характеристика движения кадров по категориям работников в 1996 г. [33].
|
показатели |
всего |
руководи-тели |
специа-листы |
служа-щие |
рабо-чие |
|
1 |
2 |
3 |
4 |
5 |
6 |
|
принято |
2165 |
257 |
265 |
29 |
1614 |
|
уволено |
2105 |
212 |
71 |
24 |
1798 |
|
по собственному желанию, в т.ч. |
1710 |
57 |
67 |
9 |
1577 |
|
из-за неудовлетворенности заработной платой |
1203 |
24 |
36 |
7 |
1136 |
|
за нарушение трудовой дисциплины |
89 |
1 |
2 |
1 |
85 |
|
по сокращению штатов |
83 |
2 |
2 |
1 |
78 |
|
среднесписочная численность за год |
2155 |
252 |
221 |
26 |
1656 |
Анализируя полученные за 1996 г. данные, отметим следующее:
Общее количество принятых превысило количество уволенных на 60 человек, т.е. наблюдается картина, обратная 1995 г.
В структуре уволенных 81,2% уволилось по собственному желанию, из-за неудовлетворенности заработной платой - 57,1%.
По сокращению штатов было высвобождено 3,9%, из-за нарушений трудовой дисциплины было уволено 4,2% общего числа.
Текучесть кадров по комплексу составила 68,2%. По сравнению с предыдущим годом наблюдается рост увольнений по собственному желанию, вследствие неудовлетворенности заработной платой, а также рост доли рабочих по этим показателям. Произошло некоторое снижение доли работников, уволенных по сокращению штатов, но в их составе значительно возросло количество рабочих - на 23,8%.
В общем количестве уволенных рабочие занимают лидирующее положение-85,4%, специалисты 3,4%, служащие 1,1%, руководители 10,1%, т.е. произошел резкий рост увольнений среди руководителей. При рассмотрении причин увольнений соотношение меняется незначиетльно, кроме руководителей, доля которых составляет в среднем 2%.
Относительно структуры высвобождаемых работников по категориям отметим следующее:
Руководители:26,9% общего числа уволились по собственному желанию, 11,3% из-за неудовлетворенности заработной платой. По сокращению штатов - 0,9%, за нарушение трудовой дисциплины - 0,5%.
Специалисты:94,4% общего числа уволились по собственному желанию, 50,7% из-за неудовлетворенности заработной платой. По сокращению штатов - 2,8%, за нарушение трудовой дисциплины - 2,8%.
Служащие: 37,5% общего числа уволились по собственному желанию, 29,2% из-за неудовлетворенности заработной платой. По сокращению штатов - 4,2%, за нарушение трудовой дисциплины - 4,2%.
Рабочие: 87,7% общего числа уволились по собственному желанию, 63,2% из-за неудовлетворенности заработной платой. По сокращению штатов - 4,3%, за нарушение трудовой дисциплины - 4,7%.
2.3.3.Общее количество уволенных за год по категориям работников и основные причины увольнения в 1997 г.
Таблица 4
Характеристика движения кадров в 1997 г. [33].
|
показатели |
всего |
руководи-тели |
специа-листы |
служа-щие |
рабо-чие |
|
1 |
2 |
3 |
4 |
5 |
6 |
|
принято |
2194 |
172 |
183 |
31 |
1808 |
|
уволено |
1927 |
122 |
123 |
16 |
1666 |
|
по собственному желанию, в т.ч. |
1376 |
77 |
83 |
9 |
1203 |
|
из-за неудовлетворенности заработной платой |
952 |
43 |
36 |
7 |
866 |
|
за нарушение трудовой дисциплины |
123 |
2 |
3 |
4 |
114 |
|
по сокращению штатов |
87 |
5 |
3 |
2 |
77 |
|
среднесписочная численность за год |
2984 |
378 |
331 |
38 |
2237 |
Выводы по данным таблицы 3.
Отметим некоторое снижение увольнений по собственному желанию - 71,4%, 49,4% - из-за неудовлетворенности заработной платой. Возрос процент увольнений за нарушение трудовой дисциплины - 6,4%; 4,5% общего количество уволенных было высвобождено по сокращению штатов.
Текучесть по комплексу - 66,5%, т.е. произошло снижение текучести; количество принятых превысило количество уволенных на 267 чел.
Соотношение увольняемых работников по категориям: среди общего количества уволенных руководителей 6,3%, специалистов 6,4%, служащих 0,8%, рабочих 86,5%; среди уволившихся по собственному желанию соотношение примерно то же, но среди уволившихся из-за неудовлетворенности заработной платой доля специалистов уменьшилась до 3,4%, а доля руководителей - до 4,5%, при этом доля рабочих возросла до 91%. Руководителей почти не увольняли за нарушение трудовой дисциплины - 1,6%, в то время как в составе уволенных по той же причине доля рабочих 92,7%. Относительно уволенных по сокращению отметим, что в 1997 г. 5,7% общего числа уволенных по сокращению штатов составили руководители, доля специалистов и служащих невелика - 3,4 и 2,3% соответственно.
Рассмотрим подробнее структуру высвобождаемых работников:
Руководители: 63,1% уволились по собственному желанию, 35,2% из-за неудовлетворенности заработной платой, по сокращению штатов - 4,1%, за нарушение трудовой дисциплины - 1,6%.
Специалисты: 67,5% общего числа уволились по собственному желанию, 29,3% вследствие неудовлетворенности заработной платой; высвобождение за нарушение трудовой дисциплины - 2,4%, по сокращению штатов- 2,4%
Служащие: 56,3% уволились по собственному желанию, 43,8% из-за неудовлетворенности заработной платой; по сокращению штатов- 12,5%, за нарушение трудовой дисциплины - 25% общего числа увольнений.
Рабочие: 72,2% увольнений произошло по собственному желанию, 52% из-за неудовлетворенности заработной платой.
2.3.4.Общее количество уволенных за год по категориям работников и основные причины увольнения в 1998 г.
Таблица 5
Характеристика движения кадров по категориям работников в 1998 г. [33].
|
показатели |
всего |
руководи-тели |
специа-листы |
служа-щие |
рабо-чие |
|
1 |
2 |
3 |
4 |
5 |
6 |
|
принято |
1762 |
166 |
109 |
19 |
1468 |
|
уволено |
2218 |
201 |
166 |
33 |
1818 |
|
по собственному желанию, в т.ч. |
1413 |
103 |
76 |
15 |
1219 |
|
из-за неудовлетворенности заработной платой |
881 |
53 |
37 |
9 |
782 |
|
за нарушение трудовой дисциплины |
124 |
5 |
1 |
1 |
117 |
|
по сокращению штатов |
73 |
8 |
15 |
1 |
49 |
|
среднесписочная численность за год |
2455 |
256 |
290 |
25 |
1884 |
Рассмотрим данные табл. 4.
Процент увольнений по собственному желанию - 63,7%, 39,7% увольнений - из-за неудовлетворенности заработной платой. По сокращению штатов произошло 3,3% увольнений, за нарушение трудовой дисциплины - 5,6%. Текучесть кадров по комплексу -66,8%, количество уволенных превысило количество принятых на 456 человек.
Соотношение в общем составе уволенных в рассматриваемом году сложилось следующее: из всего количества уволенных руководителей 9,1%, специалистов 7,5%, служащих 1,5%, рабочих 82%. В том числе среди уволенных по собственному желанию доля руководителей снизилась до 7,3%, а доля специалистов до 5,4%, в то же время доля рабочих составила 86,3%. Соотношение уволенных из-за неудовлетворенности заработной платой оставалось примерно таким же. Специалистов и служащих почти не увольняли за нарушение трудовой дисциплины, их общая численность менее 2%, руководителей 4,03%, рабочих 94,4%. Соотношение уволенных по сокращению штатов в 1998 г. значительно изменилось: руководителей 11,1%, специалистов 20,5%, служащих 1,4%, рабочих 67,1%.
По категориям работников:
Руководители: 51,2% руководителей уволилось по собственному желанию, 26,4% вследствие неудовлетворенности заработной платой. По сокращению штатов - 4%, за нарушение трудовой дисциплины - 2,5%.
Специалисты: 45,8% уволилось по собственному желанию, 22,3% вследствие неудовлетворенности заработной платой.По сокращению штатов было уволено 9%, за нарушение трудовой дисциплины 0,6%.
Служащие: 45,4% уволилось по собственному желанию, 27,3% из-за неудовлетворенности заработной платой. По сокращению штатов - 3,03%, за нарушение трудовой дисциплины - 3,03%.
Рабочие: по собственному желанию уволилось 67,05%, 43% из-за неудовлетворенности заработной платой. По сокращению штатов - 2,7%, за нарушение трудовой дисциплины - 6,4%.
Рассмотрим графическое изображение описанных процессов за рассматриваемый период.

Рис. 3. Диаграмма распределения высвобождаемых работников по категориям
2.3.5. Основные тенденции движения трудовых ресурсов
На основании вышеизложенного выделим основные тенденции процесса высвобождения рабочей силы, получившие развитие за последних четыре года.
1.Преобладание рабочих по всем показателям, что, как было указано выше, обусловлено особенностями строительного комплекса.
2.Большая часть увольнений работников происходит по собственному желанию, в том числе основная причина увольнения - из-за неудовлетворенности заработной платой.
Рассмотрим тенденции увольнения работников по категориям. За рассматриваемый период не произошло больших изменений в соотношении увольняемых работников по категориям (рис. 3), за исключением руководителей, их доля резко увеличилась в 1996 г. с 4,5% до 10,1%, в целом наблюдается тенденция к плавному росту.
Средний показатель по руководителям - 7,5% в общем количестве уволенных. Основной причиной роста увольнений руководителей и специалистов можно считать растущую неудовлетворенность заработной платой, а также большие возможности работников такого уровня и квалификации найти другую работу с более удовлетворительными условиями оплаты.
Также в 1996 г. произошло небольшое снижение доли специалистов на 2,4%, но данный показатель, тем не менее, увеличивается за последние два года, с 1996 г. по 1998 г. на 4,1%. Средний процент увольнений специалистов - 5,8%.
С 1997 г. по 1998 г. произошло увеличение доли служащих почти в два раза, с 0,8% до 1,5%, средний процент увольнений - 1%.
В среднем доля увольняемых рабочих составляет 85,7%, самым высоким данный показатель был в 1995 г. - 89%, в 1996 г. произошло его снижение на 3,6%, в 1997 г. - незначительное увеличение; за последний год произошло снижение этого показателя на 4,5%, что, возможно, связано с боязнью остаться без работы, а также с тем, что рабочим труднее найти новое место работы с лучшими условиями оплаты.
Рассмотрим соотношение причин увольнения работников за рассматриваемый период. Большая часть увольнений работников происходит по собственному желанию (см. прил. 5), средний показатель за четыре года - 76,4% общего числа увольнений. В то же время наметилась стойкая тенденция к его снижению. Так, с 1995 по 1998 гг. показатель снизился на 21,4% - с 85,1% до 63,7%, в среднем на 5,35% в год. По нашему мнению, это свидетельствует о желании работников сохранить рабочее место, о растущей боязни безработицы.
Как было сказано выше, основная причина увольнения - неудовлетворенность заработной платой, в связи с этим в среднем происходит 50,2% всех увольнений (см. прил. 6) и 65,5% увольнений по собственному желанию. При этом недовольство заработной платой наиболее сильно проявляется среди рабочих - средний показатель 53,5% всех увольнений, у руководителей данный показатель минимален - 28,9% увольнений в среднем. Хотя нужно отметить, что за описываемый период происходили значительные колебания данного показателя у этой категории работников от 42,6% до 11,3%. В 1996 г. произошло увеличение числа увольнений из-за неудовлетворенности заработной платой на 2,5%, но, начиная с 1996 г., кривая увольнений из-за неудовлетворенности заработной платой постояннно снижается, за три года на 17,4%, а именно с 57,1% до 39,7%. Возможно, это также связано с трудностями поиска нового рабочего места с более удовлетворительной оплатой.
Вторая по значимости причина увольнения - нарушения трудовой дисциплины, в результате которых происходит в среднем 5,2% увольнений в год (см. прил. 7). В целом по всем категориям данный показатель нестабилен, но изменения не слишком значительны, от 1 до 2%. В 1996 г. - снижение на 0,1%, в 1997 г. - рост на 2,2%, затем снова снижение на 0,8%. Наиболее высок процент у рабочих - 5,7% общего объема увольнений. Преобладание рабочих по данному показателю можно объяснить невысоким уровнем культуры, пьянством и др. традиционными для России причинами.
Наиболее низок показатель увольнений по сокращению штатов - в среднем 4% общего числа увольнений (см. прил. 8). По сравнению с 1995 г. рост наблюдался в 1997 г., падение в 1996 и 1998 гг. Показатель колеблется в пределах 3,3-4,5%, при этом в 1998 г. он был самым низким, несмотря на рост увольнений по сокращению штатов в других отраслях, его невысокий уровень в целом по комплексу обусловлен большими объемами работ в строительстве. Первенство в данном случае принадлежит специалистам - 8,3% в среднем, далее следуют рабочие - 5,7%, при этом по данным категориям работников в последние годы наметился рост увольнений по этой причине.
Текучесть кадров в целом по строительному комплексу остается достаточно высокой, в среднем 68,2% (см. прил. 9). За период с 1995 по 1997 гг. произошло снижение текучести на 4,7%, но в 1998 г. вновь наметился небольшой рост на 0,3%.
Таким образом, принимая во внимание все перечисленные выше тенденции, можно представить образ среднего работника, высвобождаемого в строительном комплексе ОАО «Запсибгазпром»:
1.Пол - мужчина
2.Возраст - 30-50 лет
3.Категория - рабочий
4.Образование - общее среднее или средне-специальное
5.Увольнение - по собственному желанию
6.Основная причина увольнения - неудовлетворенность заработной платой
Основываясь на данных таблиц 1,2,3,4 и на отмеченных ранее тенденциях относительно полового, квалификационного и возрастного состава высвобождаемых работников отметим, что в среднем количество уволенных, соответствующих вышеперечисленным признакам, составляет в год 31,8% общего числа уволенных по комплексу.
3.СОВЕРШЕНСТВОВАНИЕ ДВИЖЕНИЯ КАДРОВ В РЫНОЧНЫХ УСЛОВИЯХ НА ПРИМЕРЕ ПРЕДПРИЯТИЙ СТРОИТЕЛЬНОЙ СФЕРЫ ОАО «ЗАПСИБГАЗПРОМ»
3.1. Возможности влияния на движение трудовых ресурсов в масштабах всей экономики России
В начале этой главы необходимо сделать оговорку, что в дальнейшем мы будем рассматривать высвобождение трудовых ресурсов как одного их видов проявления движения, а именно ситуацию, сложившуюся в связи с крупномасштабным высвобождением кадров и их выходом на рынок труда.
На сегодняшний день ситуация такова, что, если не принять каких-либо мер, безработица превратится в угрожающий источник социального напряжения и, по прогнозам специалистов, может превысить 20% численности трудоспособного населения [39]. Безработица, включая и открытую и скрытую - источник не только социальных, но и финансовых потерь, т.к. задержки заработной платы, вынужденные неоплачиваемые отпуска, страх потери рабочего места заставляет людей мириться с малыми заработками, что лишает работников стимулов к неоплачиваемому труду; неиспользованный труд большого числа трудоспособного населения приводит к значительным экономическим потерям, как было указано в первой главе дипломной работы.
Для ослабления влияния безработицы необходимо развитие средне-и долгосрочных стратегий, нацеленных на регулирование рынка труда, которое сделает его подвижным, улучшит качество рабочей силы и ускорит процесс поиска рабочего места. Учитывая, что состояние рынка труда, динамика безработицы будут в дальнейшем оказывать все возрастающее влияние на экономическое оздоровление и его скорость, этот вопрос приобретает особую важность. Решающую роль здесь играет макроэкономическая политика, ее задача - поддержание высокой способности экономики к увеличению занятости, повышение и поддержание высокой способности к занятости рабочей силы и поддержка благоприятной рабочей среды, позволяющей реализовать эту способность и сохранить уже имеющуюся занятость. Необходимо отметить также, что проблема занятости зависит с одной стороны от динамики платежеспособного спроса предприятий и населения, с другой - от способности производства адекватно реагировать на этот спрос.
Одной из ключевых проблем занятости в современном периоде является трансформация рабочей силы со старых рабочих мест на новые или вытеснение работников. С сожалением приходится отметить, что судя по состоянию рынка труда и падению объемов производства имеет место в основном второе из указанных явлений. Так как в ближайшие годы не ожидается улучшение ситуации, трубуются изменения в государственной социальной политике и ее приоритетах. Для периода с 1996 по 1998 гг. характерно снижение доли затрат на проведение активной политики занятости в общем объеме средств Государственного фонда занятости населения России: в 1996 г. выделено 33,9%, в 1997 г.-22,7%, в 1998 г. - 20% [9]. Таким образом, налицо уменьшение финансирования при общем ухудшении ситуации на рынке труда.
В современных условиях становится очевидным, что структура и динамика занятости должны быть управляемыми, занятость должна сдвигаться в сторону приоритетных отраслей, развитие которых обеспечит конкурентоспособность отечественных товаров. Сейчас в России большая часть трудовых ресурсов занята в сырьевых отраслях экономики, в то время как в наукоемких отраслях, которые позволяют государству двигаться вперед, произошло наибольшее сокращение численности. В развитых странах в сфере обслуживания работают 70% занятых а экономике, в России - только 34%. По прогнозам Минтруда к 2000 году произойдет увеличение числа занятых в сфере обслуживания лишь на 1%, если в сфере материального производства будет происходить уменьшение занятых на 1% в три года, мы достигнем структуры занятости развитых стран через 100 лет. Также прогнозируется дальнейшее сокращение числа работающих в наукоемких отраслях, увеличение занятых в сельском хозяйстве, хотя в России в этой отрасли занято в три раза больше работников, чем в развитых странах [50]. Таким образом, в настоящий момент не видно перспектив совершенствования структуры занятости.
Но все же эту задачу необходимо решать, и для этого, по мнению ведущих экономистов России, прежде всего необходимо внести изменение в существующее законодательство о труде, так как в настоящее время оно неадекватно потребностям увеличения гибкости рынка труда. Целесообразно повысить ответственность работодателей и профсоюзов за состояние рынка труда, расширить полномочия регионов относительно функционирования местных рынков труда. К таким мерам можно отнести:
включение в коллективный договор обязательства работодателей по своевременной уплате страховых взносов в фонд занятости населения, предусмотрев личную административную ответственность руководителей предприятия в случае их невыполнения;
стимулирование работодателей, создающих дополнительные рабочие места - освобождение их полностью или частично от взносов в фонд занятости после предъявления ими документов о произведенных расходах;
введение санкций к работодателям, имеющим необоснованно высокую текучесть кадров, в том числе, увеличение страховых взносов в фонд занятости в установленных законодательством пределах.
В коллективном договоре можно предусмотреть финансовую поддержку части уволенных работников, желающих заняться предпринимательской деятельностью (например, мастеров по ремонту квартир, автомашин, бытовой техники ит.д.), оказать им помощь с заключением договоров о найме помещения, принадлежащего предприятию, использования свободного оборудования, транспорта.
В общегосударственных масштабах необходимо избежать «квалификационной петли», или разрыва профессионально-квалификационной структурой спроса на рабочую силу и структурой ее предложения. В рамках решения этой задачи могут быть сделаны следующие шаги:
1.сохранение и модернизация рабочих мест, создание новых, ликвидация излишков рабочих мест;
2.создание рабочих мест на основе развития предпринимательства;
3.организация оплачиваемых общественных работ;
4.создание рабочих мест для инвалидов;
5.повышение качества рабочей силы;
6.развитие самозанятости;
7.регулирование продолжительности рабочего времени;
8.регулирование миграционных процессов.
Вышеуказанные задачи решаются, но совершенно очевидно, что в недостаточном объеме.
В целях снижения числа сокращаемых работников при массовых увольнениях могут быть предприняты следующие меры:
ограничение приема новых работников;
резервирование мест уволившихся на пенсию за работниками предприятия;
изменение режима работы и/или сокращение часов работы, если это представляется возможным и способствует избежанию увольнений, введение гибкого графика работы;
введение с согласия работников гибких режимов работы;
упреждающая переподготовка и переквалификация высвобождаемых работников с использованием учебной базы предприятия, службы занятости, учебных профсоюзных центров;
предоставление работникам, намеченным к высвобождению, 4 часа в неделю на поиск новой работы с сохранением заработной платы.
Также в целях улучшения использования трудовых ресурсов и совершенствования их структуры возможно изменение содержания выполняемых работ и функций, совмещение должностных обязанностей и взаимозаменяемость исполнителей, рассмотрение возможности перестановок работников внутри подразделений или их перевода в другие структурные звенья, установление очередности увольнений отдельных работников в целях облегчения проводимых изменений в структуре персонала, содействие добровольному или досрочному уходу и реализации индивидуальных планов и другие меры.
Далее, к задачам Министерства относятся: обеспечение финансирования политики занятости, координация деятельности всех заинтересованных структур, связанных с регулированием рынка труда. Кроме того, исходя из прогнозируемой ситуации, характеризующейся увеличением численности безработных, необходимо обеспечить взвешенность в политике занятости, чтобы с одной стороны не допустить массовой безработицы, а с другой стороны, не препятствовать высвобождению излишков рабочей силы в связи со структурной перестройкой экономики.
Состояние общеросиийского рынка труда в целом и регионального в частности во многом зависит от состояния внутренних рынков труда предприятий как наиболее значимых источников пополнения рядов безработных. В связи с этим представляется необходимым начинать работу по совершенствованию движения и использования трудовых ресурсов прежде всего с предприятий. При этом происходит выявление имеющегося дисбаланса между платежеспособным спросом и предложением рабочей силы; выявление скрытых безработных; определение возможностей обеспечния эффективной занятости этой категории работников; выявление работников, подлежащих сокращению и работников, дополнительно требующихся предприятию; установление причин повышенной текучести и мер, которые могли бы этому воспрепятствовать. В общем случае для анализа состояния рынка труда предприятия используется следующая схема :
Состояние внутреннего рынка труда предприятия



С<П
С=П
С>П





Наличие излишней рабочей силы, по причинам, зависящим от предприятия
Изменение общей экономической ситуации (в основном внешние причины)
Из-за недостаточного использования возможностей имеющихся работников
Из-за отсутствия нужных работников на предприятии




Разработка программ улучшения занятости и преодоления скрытой безработицы на предприятии.
Увеличение платежеспособного спроса на рабочую силу, сохранение и создание рабочих мест
Ограничение предложения рабочей силы, ее качественная адаптация, применение гибких форм занятости, обучение и переобучение работников
Рис. 4
Далее разрабатывается программа мероприятий по улучшению занятости, уменьшению скрытой безработицы, снижению текучести. В зависимости от состояние спроса и предложения рабочей силы на предприятии используются две группы мер:
1.меры, направленные на увеличение платежеспособного спроса на рабочую силу, а именно сохранение и создание рабочих мест, организация оплачиваемых общественных работ;
2.меры, направленные на ограничение предложения рабочей силы и ее адаптацию к изменившимся условиям, а именно обучение и переобучение работников, регулирование продолжительности рабочего времени;
Для осуществления этих мер необходимо использование специальных фондов, формируемых из средств фонда занятости, развитие предпринимательства, образования, социального обеспечения, регулирование налогообложения, предоставление льготных кредитов.
Таким образом, во-первых, макроэкономическая политика и политика предприятий в области совершенствования движения и использования трудовых ресурсов тесно взаимосвязаны, а во-вторых, осуществление вышеперечисленных мероприятий возможно только при поддержке региональных органов управления.
СПИСОК ПРИЛОЖЕНИЙ
Диаграмма распределения работников на рынке труда Тюменской области в 1994-1998 гг. по полу
Диаграмма распределения работников на рынке труда Тюменской области в 1994-1997 гг. по образованию
Диаграмма распределения работников на рынке труда Тюменской области в 1994-1997 гг. по возрасту
Структура высвобождаемых работников строительного комплекса ОАО «Запсибгазпром» по основным причинам увольнений в 1996-1998 гг.
График увольнений работников строительного комплекса ОАО «Запсибгазпром» в 1995-1998 гг. по собственному желанию
График увольнений работников строительного комплекса ОАО «Запсибгазпром» из-за неудовлетворенности заработной платой
График увольнений работников строительного комплекса ОАО «Запсибгазпром» в 1995-1998 гг. за нарушение трудовой дисциплины
График увольнений работников строительного комплекса ОАО «Запсибгазпром» по сокращению штата
График текучести кадров строительного комплекса ОАО «Запсибгазпром»


Приложение 3




Приложение 7

Приложение 8

Приложение 9
