Экономический рост и проблемы экологии (работа 1)
КУРСОВАЯ РАБОТА
по курсу «Экономическая теория»
тема: Экономический рост и проблемы экологии
Выполнил:
Проверил: ____________________________________
____________________________________
Введение
Процесс взаимодействия человека с природой есть содержание любого производства. Экономика поэтому представляет собой искусство рационального и эффективного управления этим процессом, иначе, как показывает мировой и наш опыт хозяйствования, природопользования, неизбежны экономические и экологические кризисы. Понятия, процессы «экономика» и «экология» (от греческого эйкос - дом, жилище, местопребывание и логия – наука об отношениях растительных и животных организмов, их сообществ с окружающей средой) неразделимы, тесно взаимосвязаны между собой, обуславливают друг друга. Эта объективная необходимость и реальность. Понимать ее человек, общество начали всерьез с развитием научно-технической революции конца XIX века, когда на смену примитивным орудиям труда пришли более совершенные. Термин «экология» впервые появился в 60-х годах XIX столетия и был предложен в 1866 году немецким биологом-эволюционистом, сторонником и пропагандистом учения Ч. Дарвина Эрнстом Геккелем.
Однако наш век – это век научно-технических, технологических, экономических и социально-политических революций и кризисов, что, с одной стороны, неизбежно обогатило и усложнило экономико-экологические связи. Термин «экология» узкоприродного происхождения, содержание приобретает новые социальные (человек не только продукт природы, но и общества) окраски – философские, социологические, экономические, географические, этические и другие. Поэтому сегодня мы рассматриваем практические проблемы – экологические экспертизы технических проектов, экологические кризисы городов, экологическая культура и т. д. С другой стороны, обострилась проблема экологизации природопользования, что поставило под угрозу существование нынешнего и будущего поколения мировой цивилизации. Современная экологическая ситуация свидетельствует о том, что антропогенное воздействие человека на окружающую среду достигло такого уровня когда ее дальнейший рост при прежних условиях может привести к необратимым изменениям, ставящим под угрозу нормальную жизнедеятельность общества.
Снижение качества природной среды оборачивается ростом заболеваемости населения, сокращением продолжительности жизни, увеличением числа детей с врожденными заболеваниями. Ухудшение экологических условий подрывает основу воспроизводства главной производительной силы – человека. Загрязнение окружающей природной среды сужает возможности экономического развития, требует отвлечения дополнительных средств для восстановлении природных объектов, имеющих хозяйственное значение, а так же компенсации ряда других проблем, связанными с экологическими нарушениями. В итоге конечные результаты производственной деятельности, каждый процент экономического роста сопровождаются все возрастающим ущербом и затратами на его предотвращение и ликвидацию.
Становится очевидным тот факт, что качество природной среды во все большей мере превращается в один из регламентирующих факторов экономического развития. Это обуславливает органичное сочетание производственных и природоохранных процессов в едином воспроизводственном процессе, переход к качественно новому, более эффективному взаимоотношению общества и природы. Интенсификация производства на основе достижений научно-технического прогресса при одновременном снятии экологических проблем возможна лишь на пути формирования и развития природосохраняющей формы воспроизводства, выступающей органичной составной частью интенсивного типа воспроизводства.
Становление и развитие природосохраняюшей формы интенсивного типа расширенного воспроизводства есть процесс формирования всех его фаз и прежде всего экологизации общественного воспроизводства. Последняя предполагает достижение возможно полного соответствия всех компонентов трудового процесса (предмета труда, средств труда, рабочей силы, применяемых технологий), способов организации производства общим условиям сохранения природной среды.
В данной курсовой работе рассмотрены такие вопросы и понятия как:
1.Экономический рост, его сущность, типы, факторы, модели.
2.Экстенсивный и Интенсивный типы экономического роста.
3. Анализ экономического роста.
4.Экономика и проблемы окружающей среды.
5.Экологические ограничения развития экономики
6.Экологически значимые мероприятия и их экономическая оценка
Необходимо раскрыть само понятие экономического роста, а так же эффективность экономического роста, предусматривающего развитие общества, экономики, а также минимизации негативного воздействия деятельности человека на окружающую среду.
Основными целями исследования данной темы являются:
1.Выявить основные понятия, цели, сущность, расчетную методику данных вопросов
2.Проанализировать основные проблемы.
3.Рассмотреть взаимосвязь с природой.
Основная часть
Глава 1. Экономический рост.
1.1.Понятие экономического роста.
Экономический рост – одна из основополагающих проблем, стоящих перед всеми странами. По его динамике судят о развитии национальных экономик, о жизненном уровне населения, о том, как решаются проблемы ограниченности ресурсов. Экономический рост является важнейшей характеристикой общественного производства при любых хозяйственных системах.
Экономический рост- это количественное и качественное совершенствование общественного продукта за определенный период времени. Экономический рост означает, что на каждом данном отрезке времени в какой-то степени облегчается решение проблемы ограниченности ресурсов и становится возможным удовлетворение более широкого круга потребностей человека. В общем виде экономический рост означает количественное и качественное изменение результатов производства и его факторов (их производительности). Экономический рост выражается в увеличении потенциального и реального валового национального продукта (ВНП), в возрастании экономической мощи нации, страны, региона. Это увеличение можно измерить двумя взаимосвязанными показателями: ростом за определенный период времени реального ВНП или ростом ВНП на душу населения. В связи с этим статистическим показателем, отражающим экономический рост, является годовой темп роста ВНП в процентах.
1.2.Типы экономического роста.
Отмечают экстенсивный, интенсивный и смешанный типы экономического роста.
При экстенсивном росте увеличение общественного продукта происходит за счет количественного увеличения факторов производства: вовлечение в производство дополнительных ресурсов труда, капитала (средств производства), земли, технологическая база производства остается неизменной. При этом типе экономического роста прирост продукции достигается за счет количественного роста численности и квалификационного состава работников и за счет увеличения мощности предприятия, т.е. увеличения установленного оборудования. В результате выпуск продукции в расчете на одного работника остается прежним.
При интенсивном типе роста главное - повышение производственной эффективности, рост отдачи от использования всех факторов производства, хотя количество применяемого труда, капитала и др.может оставаться неизменным. Главное здесь- совершенствование техники и технологии производства, повышение качества основных факторов производства. Важнейший фактор интенсивного экономического роста- повышение производительности труда. Этот показатель можно представить в виде дроби:
ПТ=П/Т
где ПТ- производительность труда,
П- созданный продукт в натуральном или денежном выражении,
Т- затраты единицы труда (например, человеко-час).
Интенсивный тип экономического роста характеризуется увеличением масштабов выпуска продукции, который основывается на широком использовании более эффективных и качественно совершенных факторов производства.
В реальной жизни не существует либо того, либо другого типа роста. Они переплетены и представлены смешанным типом. Смешанный (реальный) рост – это увеличение производственных мощностей в результате увеличения количества используемых факторов производства и совершенствования техники и технологии.
1.3.Факторы экономического роста.
Экономический рост можно оценить с помощью системы взаимосвязанных показателей, отражающих изменение результата производства и его факторов.
В условиях рыночной экономики для обеспечения производства товаров и услуг необходимы три фактора производства: труд, капитал и земля (природные ресурсы). Следовательно, совокупный продукт Y есть функция от затрат труда (L), капитала (K), и природных ресурсов (N):
Y=f(L,К,N)
Для характеристики экономического роста используется множество факторов, важнейшими из которых являются:
Факторы предложения:
а) количество и качество природных ресурсов, чем лучше природные условия, тем больше у страны возможностей для экономического роста;
б) количество и качество трудовых ресурсов, зависимость и в этом случае прямая;
в) объем основного капитала;
г) уровень научно- технического прогресса (технология).
Факторы спроса.
К ним относятся такие, которые повышают совокупный спрос общества на производимую продукцию и этим стимулируют ее рост:
а) заработная плата – чем она выше тем выше спрос;
б) фискальная политика государства – чем выше налоги, тем ниже заработная плата, следовательно, ниже спрос и экономический рост;
в) склонность населения к сбережению – тоже снижает реальный спрос, а значит, экономический рост.
От факторов совокупного спроса зависит реализация выросшего национального продукта, т.е. все элементы совокупного спроса должны обеспечивать полную занятость всех увеличивающихся ресурсов.
Факторы распределения.
Распределение ресурсов должно быть организовано наилучшим для прироста продукции (экономического роста) образом.
Затраты труда. Этот фактор определяется прежде всего численностью населения страны. Однако часть населения не включается в число трудоспособных и не выходит на рынок труда, к ней относятся учащиеся, пенсионеры, военнослужащие и т.д. Желающие работать образуют так называемую рабочую силу. Кроме того, в составе рабочей силы выделяются безработные, т.е. те, кто имеет желание работать, но не может найти работу.
Однако изменение затрат труда числом занятых не в полной мере отражает действительное положение вещей. Наиболее точным измерителем затрат труда является показатель количества отработанных человеко-часов, позволяющий учесть суммарные затраты рабочего времени. Увеличение затрат рабочего времени зависит от ряда факторов: от темпов прироста населения, от желания работать, от уровня безработицы, уровня пенсионного обеспечения и т.п. Все факторы меняются во времени и по странам, создавая исходные различия в темпах и уровнях экономического развития.
Наряду с количественными факторами важную роль играет качество рабочей силы и соответственно затрат труда в процессе производства. По мере возрастающего образования и квалификации работников происходит повышение производительности труда, что способствует повышению уровня и темпов экономического роста. Иначе говоря, затраты труда могут расширятся без какого-либо увеличения рабочего времени и численности занятых, а лишь за счет повышения качества рабочей силы.
Капитал- это оборудование, здания и товарные запасы. Основной капитал включает и жилой фонд, потому что люди, живущие в домах, извлекают выгоду из услуг, предоставляемых домами. Фабричные здания и конторы с их оборудованием являются факторами производства, потому что работники, вооруженные большим количеством машин, будут производить больше товаров. Товарные запасы также вносят свой вклад в производство. Затраты капитала зависят от величины накопленного капитала. В свою очередь, накопление капитала зависит от нормы накопления: чем выше норма накопления, тем больше (при прочих равных условиях) размеры капиталовложений. Прирост капитала также зависит и от размаха накопленных активов- чем они больше, тем меньше, при прочих равных условиях, скорость увеличения капитала, темп его роста. При этом следует иметь в виду, что объем основного капитала, приходящего на одного работника, т.е. капиталовооруженность, является решающим фактором, определяющим динамику производительности труда. Если за определенный период возрастал объем капиталовложений, а численность рабочей силы увеличилась в большей степени, то производительность труда будет падать, так как сокращается капиталовооруженность каждого работника.
Земля, а точнее, количество и качество природных ресурсов. Очевидно, что большие запасы разнообразных природных ресурсов, наличие плодородных земель, благоприятные климатические и погодные условия, значительные запасы минеральных и энергетических ресурсов вносят весомый вклад в экономический рост страны. Однако наличие обильных природных ресурсов не всегда является самодостаточным фактором экономического роста, только эффективное использование ресурсов ведет к экономическому росту.
Научно-технический прогресс - важным двигатель экономического роста. Он охватывает целый ряд явлений, характеризующих совершенствование процесса производства. Научно- технический процесс включает в себя совершенствование технологий, новые методы и формы управления и организации производства. Научно-технический прогресс позволяет по-новому комбинировать данные ресурсы с целью увеличения конечного выпуска продукции. При этом, как правило, возникают новые, более эффективные отрасли. Увеличение эффективного производства становится основным фактором экономического роста.
1.4.Модели экономического роста.
В зависимости от факторов роста строятся модели экономического роста. Их две: многофакторная и двухфакторная.
Многофакторная модель предполагает воздействие нарост всех перечисленных факторов. Общее представление о взаимодействии всех этих факторов дает кривая производственных возможностей. Она показывает, как разное сочетание факторов воздействует на количество вариантов производимой продукции.
Двухфакторная модель включает только труд и капитал. Возможны два варианта построения двухфакторной модели: в первой НТП не учитывается; во второй – учитывается. Если НТП отсутствует, то постепенное накопление капитала приведет к снижению конечной продуктивности и к замедлению экономического роста. В условиях использования НТП капитал и труд становятся более продуктивными – НТП вызывает рост инвестиций. Инвестиции могут по разному воздействовать на экономический рост. Одни из них ведут к экономии затрат труда и к росту затрат в капитал. Их называют трудосберегающими. Другие инвестиции сокращают приложение капитала в большей степени, чем труда. Их называют капиталосберегающими. При равной экономии труда и капитала инвестиции называются нейтральными.
1.5.Теоретический анализ экономического роста.
Под экономическим ростом понимается увеличение реального объема национального производства в долгосрочном периоде, когда изменяются факторы производства. Экономический рост измеряется:
1)темпами прироста ВНП (ВВП)
2)темпами прироста национального дохода на душу населения
Равновесный экономический рост – экономический рост, при котором реальный объем национального производства и объем применяемого труда и капитала растут одинаковым постоянным темпом. Множество равновесных состояний, которые реальная экономика может проходить в течение долгосрочного периода, называется равновесной траекторией развития (рис.1) Развитие реальной экономики, как правило осуществляется не по траектории, а в результате колебаний вокруг нее. Основной задачей при исследовании экономического роста является теоретическое изучение равновесных траекторий и факторов, определяющих их характер. Различают устойчивый и неустойчивый вид траекторий.
1.При устойчивой равновесной траектории (рис.2): если экономика находится на этой траектории, то она будет развиваться по ней сколь угодно долго, если не будет каких-либо экзогенных шоков.
2.При отклонении от траектории экономика будет вновь стремиться к состоянию равновесия, где бы она не находилась. При этом государственное вмешательство в регулирование не требуется.
3.при неустойчивой равновесной траектории (рис.3): если в результате экзогенных факторов произойдет отклонение от траектории, то в процессе развития экономика будет все больше и больше откланяться от траектории.



Теорию неустойчивого равновесия исследует Кейнсианское направление.
Кейнсианские модели построены на следующих постулатах:
экономический рост связан с процессом накопления;
факторы производства не взаимозаменяемы;
I=S
рост национального дохода определяется только нормой накопления капитала;
цены гибкие;
ожидания субъектов статичны;
капиталоемкость определяется лишь техническими условиями производства.
Модель Харрода.
Основное назначение – выработать условия по обеспечению равновесного роста. В модели представлены домашние хозяйства и фирмы.
Харрод предложил формулу:
S=C>r >x G>w >, где
S – сбережения;
С>r>> >– капиталоемкость;
G>w>> >– темп роста НД в длительном периоде.
Из этой формулы выводится уравнение динамического равновесия. Если величина капиталоемкости постоянна, доля S в длительном периоде имеет тенденцию оставаться постоянной. Тогда темп роста НД тоже будет постоянен: G>w>> >=S/C>r>.
Темп роста, обеспечивающий динамическое равновесие, Харрод назвал гарантированным темпом роста. Он обеспечивает полное использование всего прироста капитала. Харрод отметил так же естественный темп роста капитала, при котором уровень инвестиционных расходов достаточе для обеспечения рабочими местами всего прироста трудовых ресурсов. Если гарантированный темп меньше естественного, то инвестирование возможно. Повышение фактического темпа над гарантированным может привести к отклонению от динамического равновесия. Если гарантированный темп выше естественного, то прирост населения недостаточен, чтобы создать динамическое равновесие. Если фактический темп роста ниже гарантированного, то это приведет к падению объемов производства.
Модель Домара.
Назначение ее в том, чтобы определить величину инвестиций и ее рост и тем самым сделать прирост дохода равным приросту производственных мощностей. Прирост совокупного спроса в текущем периоде предопределяется приростом инвестиций в текущем периоде (> >AD>t>= I>t>/S>y>).
Прирост предложения благ в текущем периоде обеспечивается приростом инвестиций в предыдущем периоде AS>t>= I >t>>-1 > , где - константа, называемая коэффициентом капиталоотдачи.
Таким образом, S>y>= I> >>t>/I >t>>-1> представляет условие динамического равновесия. Если темп прироста инвестиций будет равен произведению предельной производительности капитала и предельной склонности к сбережению, то рост будет равномерным. Поскольку, устойчивость динамического равновесия зависит от решения предпринимателей, инвестиционный спрос которых нестабилен, то для достижении динамического равновесия необходимо вмешательство государства.
Классическое направление исследует теорию устойчивой равновесной траектории.
Основные постулаты данного направления:
каждый фактор производства обеспечивает соответствующую долю произведенного продукта;
экономика обладает необходимыми предпосылками для автоматического восстановления в процессе свободной конкуренции.
При этом:
исследуется роль отдельных факторов роста с позиции количественного подхода (рост численности рабочих, основного капитала);
изучаются факторы производства в свете качественного подхода ( научные достижения, совершенствование образования, улучшения размещения организации производства.)
Инструментом анализа является производственная функция:
Y = W >1> L + W >2 >K + W >3> n + a , где:
Y – темп прироста совокупного продукта;
W> 1, >W >2> , W> 3> – доля L, K и природных ресурсов в совокупном продукте;
L, K, n – темп роста затрат труда, капитала, природных ресурсов;
А – темп роста научно-технического прогресса.
Цель анализа – выбор наиболее эффективной структуры и определение оптимального направления экономического роста.
Модель Солоу
Наиболее простая модель экономического роста в классическом направлении. Экономическими субъектами являются домохозяйства и фирмы. В качестве постоянных параметров рассмотрим: долю работающих в общей численности населения, темп роста населения ( N/N=n), доля амортизации – dK, удельный вес сбережений в национальном доходе S>y>. Поскольку все факторы производства взаимозаменяемые, то капиталовооруженность меняется в различные временные лаги.
В условиях, когда технология производства неизменна, рассмотрим производственную функцию, отражающую изменение объема производства в расчете на душу населения:
y >i >=f (k >t >), где
k >t>> >=K >t>> >/N >t>> >– капиталовооруженность труда на одного работника;
y >t> = Y >t>> >/N >t> – производительность труда в период t на одного работника.
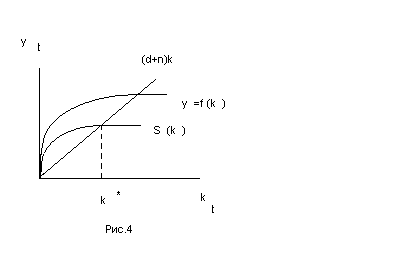
Бозовое уравнение накопления капитала в модели Солоу (рис.4)
k >t> = S >y >y >t> – (d+n)k >t> , где
k >t>> > - изменение капиталовооруженности труда в момент t
S >y>> >y >t>> >– доля сбережений на одного занятого в период t
nk >t> – прирост капитала, обусловленный приростом населения и занятых
dk >t> – доля обновляемого капитала на одного занятого в период t

В модели отражается концепция устойчивого стационарного состояния, когда при отсутствии технического прогресса и постоянной доли обновляемого капитала равновесие обеспечивает некоторый равновесный уровень капиталовооруженности (k >t> ); при динамическом равновесии прирост капиталовооруженности должен быть равен нулю. Тогда S> >>y>> >f(k >t> ) = ( d=n) k >t>> >.
Любое изменение удельного объема сбережений, связанное с приростом населения, должно соответствовать удельному приросту инвестиций S> >>t>> >/ N >t>> >= I> >>t>> >/ N >t>> >. Данное условие соответствует динамическому равновесию при полной занятости.
Из модели Солоу можно выделить ряд положений, которые выступают либо условиями экономического роста, либо критериями оптимальности.
При устойчивом состоянии темп экономического роста определяется темпом роста трудовых ресурсов.
Технологические изменения в модели приводят к увеличению темпов экономического роста.
Уровень сбережений оказывает влияние на темпы роста в коротком периоде, в долгосрочном периоде, как правило, этого влияния может не быть.
Критерием оптимальности темпов экономического роста служит максимизация среднедушевого потребления ( «Золотое правило» накопления). Экономический рост является эффективным, только если он приводит к максимальному из возможных уровней потребления. Однако, выбирая наибольшее потребление, необходимо найти варивнты, которые не нарушают устойчивости стационарного состояния.
Для обеспечения оптимальных темпов экономического роста вся прибыль должна быть задействована в производстве.
Глава 2. Экология и экономика.
2.1.Экологизация экономики
Самую идеальную экономику невозможно представить себе без отходов и НИВС (неосознанные человеком изменения внешней среды). Прекратить данный процесс нельзя, можно лишь замедлить его или ускорить. Если объемы формирующихся отходов, их токсичность и скорость превращения в НИВС растут, то обострение экологических проблем неизбежно. Можно выделить две формы экологизации:
воздействие на общеэкономические пропорции до превращения отходов в НИВС
воздействие на них после такого превращения.
Экологизация включает в себя следующие элементы:
экологизация рабочей силы (ЭРС)
экологизация изменения внешней среды (ЭИВС)
экологизация производственных отношений (ЭПО)
ЭРС – самый важный элемент экологизации, он предполагает следующие методы:
- рост способности получать и перерабатывать экологическую информацию
- экологическое преобразование и просвещение
- экологическое воспитание
В методах ЭИВС выделяют:
- ресурсосберегающие технологии (снижение материалоемкости продукции, безотходные и малоотходные технологии)
- природоохранные технологии (выявление, складирование, утилизация отходов)
ЭПО предполагает:
- перераспределение объектов собственности между хозяйствующими субъектами
- изменение характера управления объектами собственности.
Единой оценки экологизации экономики в обществе нет, и наверное никогда не будет. Преобладают полярные точки зрения.
1.Экологические проблемы – неизбежное зло, решать их надо так же, как и экономические.
2. Экологизация экономики – единственное спасение человечества от катастрофы, и ради него можно пойти на любые меры.
Представляется, что истина лежит где-то посередине, универсальной формулы экономической эффективности не существует.
2.2. Экологические ограничения развития экономики.
Особенностью современного производства является то, что технология все больше удаляется от использования природных материалов и циклов естественного круговорота веществ в природе. В процессе производства и потребления в окружающую природную среду вносятся огромные, все возрастающие количества таких веществ, которые чужды биогеохимии экологических систем и природных ландшафтов – синтетических пластиков, детерогентов, фреонов, пестицидов. Вместе с ксенобиотиками в окружающую среду попадают и биогенные элементы в количествах, превосходящих ассимиляционную и самоочищающую способность природных систем.
Антропогенное воздействие можно сгруппировать по следующим видам загрязнений:
ингридиентное загрязнение как совокупность веществ, количественно или качественно чуждых естественным биогеоценозам;
параметрическое загрязнение, приводящее к изменениям качественных параметров окружающей среды;
биоценотичное загрязнение, заключающееся в воздействии на состав и структуру популяции живых организмов;
стационально-деструкционное загрязнение, представляющее собой изменение ландшафтов и экологических систем в процессе природопользования.
Экологическая емкость территорий является пределом, который не должен быть нарушен в процессе производства и расселения людей. Без оценки экологической емкости территорий невозможна выработка научно обоснованных рекомендаций по развитию производительных сил страны и разработки как чисто природоохранной стратегии, так и стратегии устойчивого развития.
Экологическая емкость территории определяется, с одной стороны, совокупностью природных компонентов – воздушного бассейна, водоемами, земельными площадями и запасами почвы, флорой и фауной, с другой – мощностью потоков биогеохимического круговорота, скоростью атмосферного газообмена, пополнения объемов чистой воды, процессов почвообразования, продуктивностью биоты.
Для того, чтобы было обеспечено устойчивое развитие, суммарная антропогенная нагрузка не должна превышать самовосстановительный потенциал природных систем. В свою очередь антропогенное влияние складывается из двух основных факторов: плотности населения и техногенной насыщенности территории. Показатель для классификации территорий – эргодемографический индекс (ЭДИ):
ЭДИ = 7 х 10 -6 х / R >s>> >S , где
- средняя плотность населения территорий, чел./км2 ;
- средняя плотность населения страны, чел./км2;
- общий расход топлива и топливных эквивалентов электроэнергии на рассматриваемой территории, тут/год;
R> >>s> – суммарная солнечная радиация, тут/км 2 год;
S - площадь территории, км 2.
В понятие экологической емкости территории входит экологическая техноемкость территории – обобщенная характеристика территории, количественно соответствующая максимальной техногенной нагрузке, которую может выдержать и переносить в течении длительного времени совокупность реципиентов и экологических систем территории без нарушения их структурных и функциональных свойств. Экологическая техноемкость территории (ЭТТ) количественно определяется суммой экологических техноемкостей компонентов природного комплекса (атмосферы i=1, гидросферы i=2, и педосферы, т.е. сочетание почвы и биоты – i=3). При расчете показателя ЭТТ необходимо знание пороговых эффектов и длительность воздействия техногенных факторов. Расчет ЭТТ основан на допущении, согласно которому ЭТТ составляет долю общей экологической емкости территории, определяемую коэффициентом вариации отклонения состава среды от его естественного уровня и его колебаний. Превышение данного уровня изменчивости считается полученным за счет антропогенных воздействий, достигших предела устойчивости природного комплекса рассматриваемой территории. Оценка экологической техноемкости территории рассчитывается по формуле
, где
- коэффициент перевода массы в условные тонны или, иначе говоря, коэффициент относительной опасности примесей;
Э >i> – оценка экологической емкости i-й среды т/год;
Х >i>> – >коэффициент вариации для естественных колебаний содержания основной субстанции в среде.
Рассчитанная величина ЭТТ является компромиссом между социально-экономическими и социально-экологическими требованиями. С позиций экоразвития такой компромисс недопустим.
Более объективный показатель – норматив предельно допустимой нагрузки (ПДНТ). Он отличается от ЭТТ тем, что в первом учитывается еще и социальная ценность объектов, испытывающих техногенную нагрузку. Расчет основан на ограничении техногенной нагрузки предельной возможностью природного комплекса территории сохранять целостность экосистем и качество среды путем преобразования солнечной энергии для процессов самоочищения и регенерации. Энергетический эквивалент суммарной величины ПДНТ определяется по формуле
,где
Е- предельно допустимое потребление топлива и энергии на рассматриваемой территории на нужды производства и транспорта, тут/год;
- коэффициент, учитывающий антропогенную насыщенность территории
R – радиационный баланс территории, ккал/см2год;
W – средний модуль поверхностного стока, м3/га сут;
Р – удельная продукция сухого вещества биомассы т/км2год;
S – площадь территории, км2;
k >e> – нормативный минимум бытового расхода энергии на одного человека, тут/чел. в год;
N – общая численность населения на рассматриваемой территории.
Очевидно, если природоемкость производственного комплекса территории не превышает ПДНТ, то рассматриваемую территорию можно считать благополучной. В противном случае происходит разрушение природной среды территории.
2.3. Принципы и методы оценки эффекта и экономической эффективности экологически значимых мероприятий.
К числу экологически значимых относятся самые разнообразные мероприятия, непосредственно влияющие на экологические характеристики среды, а так же на процессы взаимодействия человека и тех объектов, которые имеют хозяйственную, социальную или биоресурсную ценность, с элементами окружающей среды.
Все подобные мероприятия на стадии их проектирования нуждаются в экономической оценке, особенно при наличии нескольких конкурирующих вариантов, а процессы, отражающиеся на состоянии природных ресурсов и параметрах окружающей среды, требуют применения экономических средств регулирования, различных экономических стимулов и санкций (платежей, штрафов), рыночных механизмов регулирования и т.д. Принципы оценки эффективности проектных вариантов, даже резко отличающихся по степени экологической значимости мероприятий, во многом сходны.
Экологически значимые, в том числе экологически ориентированные, мероприятия и программы различаются по видам головных заказчиков – федеральные или местные органы, фирмы (корпорации) и т.д. и по источникам финансирования – федеральный бюджет, внебюджетные фонды – экологические и иные, средства различных фирм, компаний, заемные средства и субсидии, в том числе внешние и др.
Природопользователи (в широком смысле) – это федеральные и региональные органы, корпорации, фирмы всех форм собственности, а так же физические лица, реализующие экологически и ресурсозначимые мероприятия, эксплуатирующие природные ресурсы и воздействующие на параметры окружающей среды.
Ресурсно- и экологически значимые мероприятия целесообразно разделить на три группы:
А) целевые;
Б) многоцелевые;
В) мероприятия с побочными ресурсными (или, соответственно, побочными экологическими) последствиями
Целевые экологически значимые мероприятия направлены на достижение только экологических или социально-экологических позитивных результатов.
Многоцелевые экологически значимые мероприятия направлены на достижение как экологических, так и иных позитивных результатов (например производственно-хозяйственных, социальных и т.п.).
Мероприятия с побочными экологическими последствиями направлены на достижение не экологических, а иных позитивных экономически значимых (производственных, социальных) результатов, но влияют на параметры окружающей среды. Возникающие в результате их реализации экологические последствия могут быть как позитивны, так и негативны.
Общие принципы экономического анализа эффективности любых мероприятий одинаковы – это сравнение результатов (R) мероприятий с затратами на них (Z). Все компоненты вектора затрат Z имеют, как правило, «негативную» с общественной точки зрения природу – в том смысле, что чем меньше их численные значения (затраты ресурсов), тем лучше. В противоположность этому компоненты вектора результатов R могут быть как «позитивны», так и «негативны». В связи с этим вместо вектора результатов R следует рассматривать два вектора: вектор позитивных результатов P и вектор негативных результатов N (сумма их размерностей равна, разумеется, размерности вектора R). Величина экономического эффекта Э от реализации мероприятия вводится равенством
Э=R-Z=P-N-Z.
Мероприятие экономически эффективно, если Э > 0, и экономически неэффективно в противном случае. Если результат R представляет собой оценку изменения чисто экологических факторов вследствие реализации мероприятия, то оно экологически эффективно, если R>0. Экологически эффективное мероприятие может быть экономически неэффективным, т.е. может оказаться, что для него Э<0.
Глава 3. Экономический рост и проблемы экологии (на примере республики Карелия)
3.1. Политика правительства Республики Карелия в области экологии.
Правительством Республики Карелия поставлена цель стабилизации экологической ситуации, повышения эффективности охраны окружающей среды, обеспечение конституционных прав граждан на благоприятную окружающую среду.
Среди основных задач в этом направлении присутствуют такие:
- обеспечение минимального воздействия производства и потребления на окружающую природную среду и население
- создание системы переработки и утилизации отходов производства и потребления
- увеличение бюджетных и частных ассигнований на охрану окружающей природной среды, природно-культурных комплексов и обеспечение их целевого использования.
Разработаны механизмы реализации для их решения:
- обеспечение целевого использования средств, полученных от платежей за загрязнение окружающей природной среды, при условии обязательного их направления на мероприятия по восстановлению и охране окружающей природной среды.
- содействие разработке и внедрению механизмов компенсации потерь, связанных с ухудшением здоровья людей, экологическими нарушениями.
- повышение качества экологической и комплексной эколого-культурной экспертизы.
- содействие техническому перевооружению производства, модернизации действующих и внедрению новых технологий и процессов, обеспечивающих минимальное воздействие на окружающую природную средую.
- разработка и реализация республиканской целевой комплексной программы «Отходы производства и потребления».
- реализация системы комплексного мониторинга состояния окружающей природной среды
- принятие республиканских нормативно-правовых актов в области охраны окружающей природной среды в рамках компетенции Республики Карелия.
3.2. Влияние хозяйственной деятельности на окружающую среду в Республике Карелия.
Устойчивое развитие региона предполагает не только экономически эффективное, но и экологически допустимое развитие. Характер такого эколого-экономического взаимодействия показателей роста можно установить путем сопоставления динамики индексов годового физического объема валового регионального объема продукта (ВРП) – суммы фонда оплаты труда с единым социальным налогом, чистой прибыли, налогов и амортизационных отчислений – с индексами обобщающих экологических показателей развития региона.
Таблица 1
Сравнительная динамика валового регионального продукта и воздействия народного хозяйства на природную среду в Республике Карелия за 1996-2000 гг.
|
Показатели |
1996 г. |
1997 г. |
1998 г. |
1999 г. |
2000 г. |
|
1.Валовой региональный продукт (ВРП) в текущих ценах, млн. руб. ВРП в сопоставимых ценах 1996 г., млн. руб. |
8960,9 8960,9 |
10066,5 8441,2 |
11381,8 7858,7 |
20382,3 8715,3 |
28508,5 9444,8 |
|
Индекс физического объема ВРП к 1996 г., % |
100 |
94,2 |
87,7 |
97,3 |
105,4 |
|
2.Потреблено ресурсов: Потреблено электроэнергии, млн. кВт ч |
6866,8 |
6756,7 |
6817,0 |
7292,7 |
7651,7 |
|
Индекс к 1996 г., % |
100 |
98,4 |
99,3 |
106,2 |
111,4 |
|
Забрано воды из природных водных объектов, млн. м3 |
224,0 |
215,51 |
201,1 |
206,16 |
212,5 |
|
Индекс снижения к 1996 г., % |
100 |
96,2 |
89,8 |
92,0 |
94,8 |
|
Удельный расход электроэнергии на 1 руб. ВРП, кВт ч |
0,766 |
0,800 |
0,867 |
0,837 |
0,810 |
|
Индекс роста к 1996 г., % |
100 |
104,4 |
113,2 |
109,2 |
105,8 |
|
Удельный расход воды на 1 руб. ВРП, л |
25,0 |
25,5 |
25,6 |
23,6 |
22,5 |
|
Индекс к 1996 г., % |
100 |
102,1 |
102,4 |
94,6 |
90,0 |
|
3.Воздействие на природную среду: Сброшено сточных вод в поверхностные водные объекты, млн. м3 |
214,9 |
209,4 |
211,0 |
204,0 |
215,0 |
|
Индекс снижения к 1996 г., % |
100,0 |
97,5 |
98,2 |
94,9 |
100,1 |
|
Выбросы вредных веществ в атмосферный воздух, тыс. т |
182,1 |
148,0 |
146,5 |
153,25 |
148,9 |
|
Индекс снижения к 1996 г., % |
100 |
81,3 |
80,5 |
84,2 |
81,8 |
|
Удельный сброс сточных вод на 1 руб. ВРП, л |
24,0 |
24,8 |
26,8 |
23,9 |
22,8 |
|
Индекс к 1996 г., % |
100 |
103,4 |
111,9 |
99,8 |
95,0 |
|
Удельный выброс вредных веществ в атмосферный воздух на 1 млн. руб. ВРП, т |
20,3 |
17,5 |
18,6 |
17,6 |
15,8 |
|
Индекс снижения к 1996 г., % |
100 |
86,3 |
91,8 |
86,6 |
77,8 |

Рис.5
Сравнительная динамика валового регионального продукта и потребления ресурсов в Республике Карелия, % к 1996 г.
Сравнение динамики полученного ВРП Республики Карелия в сопоставимых ценах 1996г. за 1996 – 2000 гг. с индексами потребленных хозяйством республики природных ресурсов (воды и электроэнергии) выявило существенные диспропорции экономического роста за этот период (таб.1, рис.5). Рост объема ВРП, сопровождающийся ростом удельного расхода энергетических ресурсов, свидетельствует о преимущественно экстенсивном экономическом развитии республики в эти годы.
Позитивные тенденции обнаруживаются при сопоставлении динамики ВРП и индексов воздействия хозяйства республики на природную среду (таб.1, рис.6). При том же увеличении ВРП сброс сточных вод практически не изменился, в результате чего удельный сброс сточных вод на 1 руб.ВРП уменьшился, так же уменьшились удельные выбросы вредных веществ в атмосферу. Выявленные позитивные тенденции изменения абсолютных, относительных и удельных экологических показателей производства свидетельствуют о снижении воздействия хозяйства республики на природную среду в 2000 г. по сравнению с 1996 г.

Рис.6
Народное хозяйство республики включает целый ряд отраслей (промышленность, сельское хозяйство, транспорт, строительство, жилищно-коммунальное хозяйство и др.) и межотраслевых комплексов (лесопромышленный, агропромышленный и др.), которые по разному воздействуют на окружающую среду.
Промышленность.
Промышленность является основным источником загрязнения атмосферного воздуха и поверхностных водных объектов Карелии. На ее долю приходится 81% валовых выбросов загрязняющих веществ и 66% сброса загрязненных сточных вод в поверхностные водные объекты республики. На промышленных предприятиях республики общее количество источников выбросов составляет 4097, в том числе организованных 2862. Оборудовано газоочистными и пылеулавливающими установками 1002. Наибольший «вклад» в загрязнение атмосферы (по объему выбросов) внесли предприятия деревообрабатывающей и целлюлозно-бумажной промышленности (45,9%), черной (34,7%) и цветной (7,6%) металлургии. Из общего объема сточных вод сбрасываемых промышленностью Карелии в водные объекты, 84,3% приходится на деревообрабатывающую и целлюлозно-бумажную отрасли, 10.4% на черную металлургию.
Транспорт.
Транспортная отрасль республики представлена железнодорожными, речными предприятиями и автотранспортом. Наибольшее загрязнение атмосферного воздуха среди предприятий транспорта приходится на железнодорожный транспорт и предприятия, обслуживающие дорожное хозяйство. Автомобильный парк республики насчитывает более 14 тысяч передвижных источников загрязнения атмосферного воздуха. Вклад автотранспорта в загрязнении воздушного бассейна в целом по республике составляет 23%.
Жилищно-коммунальное хозяйство
На территории республики расположено 72 объекта жилищно-коммунального хозяйства. В среднем по республике процент уловленных загрязняющих веществ составляет 54,1%. Предприятия ЖКХ являются основными источниками поступления загрязненных сточных вод в поверхностные водные объекты республики. На долю ЖКХ приходится 34% от общего сброса загрязненных сточных вод и 12,6% выбросов в атмосферу. Наибольшие объемы сброса сточных вод имеют МУП «Петрозаводскводоканал», МП ГКХ г. Костамукши, МП «Водоканал» г. Сортавалы и г.Лахденпохьи. Без очистки в поверхностные водные объекты сбрасываются сточные воды в городах Беломорске, Кеми, Медвежьегорске, Пудоже, п.Калевале и п.Лоухи. Несмотря на то, что их объем составляет 1,8% от суммарного водоотведения по Карелии, их влияние негативно сказывается на состоянии водоемов, являющихся источниками питьевого водоснабжения населения.
Агропромышленный комплекс.
Агропромышленный комплекс Карелии представлен сельским хозяйством, пищевой и комбикормовой промышленностью, заготовительно-сбытовыми предприятиями, системами производственного, мелиоративного и водохозяйственного строительства, материально-технического снабжения, производственно-технического, агрохимического, и других видов обслуживания. АПК производит пятую часть суммарной валовой (товарной) продукции промышленности и сельского хозяйства. Вредные вещества улавливаются в целом по отрасли на 9,8% к общему объему отходящих газов, а твердые вещества на 38,9%. До середины 90-х годов наблюдалась негативная тенденция роста удельного забора воды, сброса загрязненных сточных вод и выбросов вредных веществ в атмосферный воздух на 1 руб. продукции как в сельском хозяйстве, так и в целом по АПК. Начиная с 1996 года эти показатели стали снижаться и уменьшились в 2000 году в 1,3-1,9 раза по сравнению с 1990 годом.
Заключение
На основании всего вышеизложенного нужно сказать, что экономический рост требует к себе значительного внимания, т.к. стремление к развитию и росту непосредственно влияет на окружающую среду и в большей степени это влияние – загрязнение и уничтожение природы, среды в которой живет сам человек.
Данный вопрос встает очень остро и поэтому страны на мировом уровне стараются найти оптимальные пути решения этих проблем, связанных с экономическим ростом (увеличивающимся производством) и удовлетворением бесконечных потребностей человека, а также при росте в мире общего числа населения.
Для решения многих проблем нужна материальная база, которую многие еще не развившиеся страны не имеют. А увеличить доходы и средства страны, т.е. увеличить темп экономического роста без сильного воздействия на среду требует много средств.
Экономический рост непосредственно влияет на окружающую среду и это влияние имеет негативный характер за счет ряда причин:
- нерациональное использование природных ресурсов;
- безграничное потребление человечества;
- стремление получить быстрые экономические прибыли, не взирая на состояние экологии;
- содержание в мире большого количества развивающихся стран, которые не имеют средств ликвидации антропогенных воздействий на природу;
- за счет преобладания экстенсивного типа экономического развития.
Несмотря на экологичность отдельных элементов процесса производства, в целом процесс производства не может быть экологизированным, если не будет в необходимой степени преобразована технология. Сегодня особое значении приобретают разработка и внедрение новых видов технологий, которые обеспечивают многократное использование предметов труда, утилизацию их компонентов , отходов, выбросов. Сегодня мы вправе говорить, во-первых, об «экологизации» современной науки; во-вторых, о формировании экологической науки как теории и практики; в-третьих, об актуализации решения теоретических и практических проблем экологии и, наконец, о программно-целевом и комплексном подходе к этим вопросам, учете мирового опыта.
Список использованной литературы:
Гукасьян Г., Маховикова Г., Амосова В. «Экономическая теория», СПб, «Питер» 2003г.
Ломакин В. К. Мировая экономика. Москва, ЮНИТИ, 2000 г.
Райзберг Б., Лозовский Л. Учебный экономический словарь. Москва, Рольф: Айрис-пресс. 1999.
Акулов В., Акулова О. «Экономическая теория» Петрозаводск, Издательство ПГУ, 2001г.
Марченков П.Е. «Экологизация экономики: политэкономический аспект», Петрозаводск, КГПИ, 2000г.
Чепурных Н.В., Новоселов А.Л., Дунаевский Л.В. «Экономика природопользования», Москва, «Наука», 2000г.
Лаптев А.А., Жуков А.Г., Чаженгин А.В., Монаков И.А., Мишарев А.А. «Методологические аспекты анализа проблем рационального природопользования», Петрозаводск, Издательство ПГУ, 1992 г.
Концепция социально-экономического развития Республики Карелия на период 2002-2006-2010 г.г., Петрозаводск, 2003 г.
Государственный доклад о состоянии окружающей природной среды Республики Карелия в 2001 году., Петрозаводск, 2002 г.
http://www.gov.karelia.ru
http://www.aport.ru