Расчет вакуумной ректификационной колонны для разгонки нефтепродуктов
Министерство образования Российской Федерации
Ангарская Государственная Техническая академия
Кафедра Химической технологии топлива
Пояснительная записка к курсовому проекту.
Тема проекта: “Блок ВП(м), установка ГК-3”
Выполнил: ст-нт гр.ТТ-99-1
Семёнов И. А.
Проверил: проф.., к.т.н.
Щелкунов Б.И.
Ангарск 2003
Содержание:
Введение 3
Материальный баланс 4
Определение рабочего флегмового числа и числа теоретических тарелок для 1-й секции 5
Расчёт физико-химических свойств смеси в верхней и нижней частях 9
Гидравлический расчёт колпачковых тарелок 1-й секции 11
Расчёт эффективности тарелок и высоты 1-й секции 21
Определение рабочего флегмового числа и числа теоретических тарелок для 2-й секции 23
Расчёт физико-химических свойств смеси. 26
Гидравлический расчёт колпачковых тарелок 2-й секции 27
Расчёт эффективности тарелок и высоты 2-й секции. 32
Тепловой баланс колонны 33
Расчёт штуцеров колонны 35
Расчёт теплоизоляции 37
Список литературы 38
Введение
Ректификация является одним из важнейших технологических процессов разделения и очистки жидкостей и сжиженных газов в химической, нефтехимической, фармацевтической, пищевой и других отраслях промышленности. Это массообменный процесс, который осуществляется в большинстве случаев в противоточных колонных аппаратах с контактными элементами. Ректификация – это наиболее полное разделение смесей жидкостей, целиком или частично растворимых друг в друге. Процесс заключается в многократном взаимодействии паров с жидкостью – флегмой, полученной при частичной конденсации паров. Процесс основан на том, что жидкости, составляющие смесь, обладают различным давлением пара при одной и той же температуре. Поэтому состав пара, а следовательно, и состав жидкости, получающейся при конденсации пара, будут несколько отличаться от состава начальной смеси: легколетучего компонента в паре будет содержаться больше, чем в перегоняемой жидкости. Очевидно, что в неиспарившейся жидкости концентрация труднолетучего компонента при этом должна увеличиться.
Технологический расчёт колонны
В колонну поступает 76000 кг/ч сырья (мазута).Продуктами перегонки являются:
Фракция НК-350 оС (пары и газы разложения).
Фракция 350-500 оС (вакуумный погон).
Фракция 500-КК оС (гудрон).
Давление
в колонне равно

Материальный баланс колонны
Материальный баланс колонны составляем на основе данных о выходах (табл. 1) продуктов из сырья.
Таблица 1.
|
Наименование продукта |
Выход, % масс. |
|
Вакуумный погон (фр. 350 – 500 oC) |
34,3 |
|
Гудрон (фр. свыше 500 oC) |
62,7 |
|
Газы разложения |
3 |
|
Итого: |
100 |
Расчёт:
1. Расход вакуумного погона:

2. Расход гудрона:

3. Расход паров и газов разложения:

Все результаты расчёта по колонне заносим в таблицу 2.
Таблица 2.
Материальный баланс по колонне
|
Приход |
Расход |
||
|
Наименование |
Расход, кг/ч |
Наименование |
Расход, кг/ч |
|
Мазут |
76000 |
Пары разложения |
2280 |
|
|
Вакуумный погон |
26068 |
|
|
|
Гудрон |
47652 |
|
|
Итого: |
76000 |
Итого: |
76000 |
Считаем материальный баланс по каждой секции:
Таблица 3.
Материальный баланс 1-й секции
|
Приход |
Расход |
||||
|
Наименование |
% |
кг/ч |
Наименование |
% |
кг/ч |
|
Мазут |
(пар.фаза) |
||||
|
(пар.фаза) |
Пары разложения |
37,30 |
2280 |
||
|
Пары разложения |
37,30 |
2280 |
Вакуумный погон |
26068 |
|
|
Вакуумный погон |
26068 |
(жидкая фаза) |
|||
|
Гудрон |
62,70 |
47652 |
Гудрон |
62,70 |
47652 |
|
Итого: |
100 |
76000 |
Итого: |
100 |
76000 |
Таблица 4.
Материальный баланс 2-й секции
Приход |
Расход |
||||
|
Наименование |
% |
кг/ч |
Наименование |
% |
кг/ч |
|
(пар.фаза) |
(пар.фаза) |
||||
|
Пары разложения |
8,04 |
2280 |
Пары разложения |
8,04 |
2280 |
|
Вакуумный погон |
91,96 |
26068 |
(жидкая фаза) |
||
|
|
Вакуумный погон |
91,96 |
26068 |
||
|
Итого: |
100 |
28348 |
Итого: |
100 |
28348 |
Определение рабочего флегмового числа и числа теоретических тарелок для 1-й секции.
Для выполнения расчёта заменяем имеющиеся фракции углеводородов на простые алканы нормального строения:
1. Фракция НК-350 оС. Так как данная фракция состоит преимущественно из паров диз. топлива, то за НК примем температуру равную 240 оC. Средняя температура равна: (350+240)/2=295 оС.
Принимаем: н-гексадекан (С>16>Н>34 >), t>кип>=287 оС, М=226 кг/кмоль.
2. Фракция 350-500 оС. t>ср>=(350+500)/2 = 425 оС.
Принимаем: н-гексакозан (С>26>Н>54> ), t>кип>=417 оС, М=366 кг/кмоль.
3. Фракция 500-КК оС
Принимаем: н-пентатриаконтан (С>35>Н>72>), t>кип>=511 оС, М=492 кг/кмоль.
Заменяем перегоняемую смесь углеводородов в 1-й секции на бинарную смесь. В качестве низкокипящеко (НК) компонента принимаем н-гексакозан (С>26>Н>54> ), а в качестве выкокипящего (ВК) - н-пентатриаконтан (С>35>Н>72>).
Производим расчёт мольных концентрация на входе и на выходах из секции.
Мольную концентрацию на входе определяем на основе массовой концентрации, которую рассчитали в материальном балансе 1-й секции (табл. 3).

Состав куба дистиллята определяется на основе ср. температур кипения фракции и рассчитывается по формуле:

где P>атм>- атмосферное давление, P>НК > и P>ВК >–давление насыщенных паров индивидуальных компонентов при температуре фракции, определяются по уравнению Антуана:
,
[Па.]
где A, В, С – параметры Антуана для каждого компонента. t- температура, оС.
Параметры уравнения для каждого компонента приведены в таблице 5.
Таблица 5.
Параметры уравнения Антуана
|
Наименование |
Коэф-нты |
||
|
А |
В |
С |
|
|
н-гексадекан |
7,03044 |
1831,317 |
154,528 |
|
н-гексакозан |
7,62867 |
2434,747 |
96,1 |
|
н-пентатриаконтан |
5,778045 |
1598,23 |
40,5 |
Расчёт состава куба: P>НК > и P>ВК> рассчитываются при температуре равной 500 оС.

Расчёт состава дистиллата: P>НК > и P>ВК> рассчитываются при температуре равной 425 оС.

Температуры на выходе из дистиллата и куба определяем по формуле методом последовательного приближения:

Температура на выходе из дистиллата равна: t>D>=363 оС
Температура на выходе из куба равна: t>W>=408 оС
Температура на входе равна: t>F>=376 оС
Определяем относительную
летучесть
по формуле:

При
температуре t>D>=363
оС

При температуре t>W>=408
оС

Средняя относительная
летучесть:
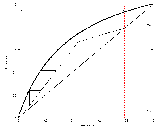
Строим кривую равновесия по формуле:


Рис.1 Кривая равновесия
Состав пара уходящего с питательной тарелки равен y>f>=0,738 мол.дол.
Рассчитываем минимальное флегмовое число:

Оптимальное
(рабочее) флегмовое число определяем
на основе критерия оптимальности :
,
где
.
Зависимость критерия оптимальности от
коэффициента избытка флегмы изображена
на рисунке 2.

Рис.2 Зависимость критерия оптимальности от коэф-та избытка флегмы
По графику
определяем что
.
Отсюда находимо рабочее флегмовое
число:

Исходя из рабочего флегмового числа строим рабочую линию и определяем теоретическое число тарелок в верхней и нижней части секции.

Рис.3 Теоретические ступени
Число теоретических тарелок N>ТТ>=6
Число теоретических тарелок в нижней части N>Н>=4
Число теоретических тарелок в верхней части N>В>=2
Расчёт физико-химических свойств смеси в верхней и нижней частях.
Расчёт средних концентраций жидкости:


Расчёт средних концентраций пара:


Средние температуры верха и низа:
Определяются по той же формуле что и температуры на выходе из дистиллата и куба.


Средние молекулярные массы пара:


Средние молекулярные массы жидкости:


Средние плотности пара:


Средние массовые доли:


Средние плотности жидкости:
Плотность НК
компонента при температур t>Н>=388
оС равна

Плотность ВК
компонента при температур t>Н>=388
оС равна


Плотность НК
компонента при температур t>В>=369
оС равна

Плотность ВК
компонента при температур t>В>=369
оС равна


Средние вязкости жидкости:
Вязкость НК
компонента при температур t>Н>=388
оС равна

Вязкость ВК
компонента при температур t>Н>=388
оС равна



Вязкость НК
компонента при температур t>В>=369
оС равна

Вязкость ВК
компонента при температур t>В>=369
оС равна



Средние коэффициенты диффузии жидкости и пара:
Для низа колонны:





Для верха колонны:





Гидравлический расчёт колпачковых тарелок 1-й секции.
Определяем количество пара поднимающегося вверх по колонне. Примем допущение, что расход пара во всей колонне является величиной постоянной и находится:

Определяем расход жидкости в верхней и нижней части колонны:


Для расчёта диапазон колебания нагрузки принимаем равными:
К>3>=0,8 – коэффициент уменьшения нагрузки
К>4>=1,1 – коэффициент увеличения нагрузки
1. Диапазон колебания нагрузки.

Такое значение приемлемо для колпачковых тарелок.
2. Расчёт оценочной скорости для нижней части:

Для верхней части:

3. Диаметр нижней части:

Верхней части:

4. Так как диаметры оказались одинаковыми принимаем колонну одного диаметра D>К>=2,4 м
Действительную скорость пара в нижней части находим:

В верхней части:

5.
По таблице 6 [1] периметр слива
и
относительное сечение перелива
.
Относительная активная площадь тарелки:

6. Фактор нагрузки для нижней части колонны:

Для верхней части:

Коэффициент поверхностного натяжения для нижней части колонны:

Для верхней части:

Принимая
минимальное расстояние между тарелками
,
по табл. 6.7 [1] определяем комплекс В>1>
для верхней и нижней частей колонны:

Допустимая скорость пара в рабочем сечении колонны для нижней части:

Для верхней части:

7. Проверяем условие допустимости скоростей пара для верхней и нижней частей колонны:


Условие не выполняется, поэтому необходимо увеличивать межтарельчатое расстояние, а при достижении максимального значения принимать тарелку большего диаметра до тех пор пока условие не сойдётся. Расчёт для нижней и верхней частей колонны ведём раздельно.
Расчёт нижней части секции:


Принимаем следующее диаметр:


Принимаем следующее диаметр:


Принимаем следующее диаметр:


Принимаем следующее диаметр:


Увеличиваем межтарельчатое расстояние:


Увеличиваем межтарельчатое расстояние:


Увеличиваем межтарельчатое расстояние:


Условие выполнилось. Продолжаем расчёт дальше.
8. Удельная нагрузка на перегородку в нижней части:


Условие не выполняется. Увеличиваем диаметр колонны:


Увеличиваем межтарельчатое расстояние:


Условие выполнилось. Продолжаем расчёт дальше.
Удельная нагрузка на перегородку в нижней части:

Условие не выполняется. Увеличиваем диаметр колонны:


Условие выполнилось. Продолжаем расчёт дальше.
8. Удельная нагрузка на перегородку в нижней части:

Условие выполнилось. Продолжаем расчёт дальше.
9. Фактор паровой нагрузки:

Подпор жидкости над сливным порогом:

10. Глубина барботажа h>б>=0,03 м (табл. 6.4. [1]), высота прорези колпачка h>3>=0,02 м (табл. 6.10. [1]), зазор установки колпачка h>4>=0,018 м (табл. 6.8. [1]).
Высота парожидкостного слоя на тарелках:

11. Высота сливного порога:

12. Градиент уровня жидкости на тарелке:

13. Динамическая глубина барботажа:

14. Значение комплекса В>2> (табл. 6.9. [1]):

Минимально допустимая скорость пара в свободном сечении тарелок:

Относительное
свободное сечение тарелок
(табл.
6.6.). Коэффициент запаса сечения тарелок:

Так как К>1> <1, то пар будет проходить лишь через отдельные колпачка. Контакт пара и жидкости окажется не достаточно эффективным, но положение можно исправить, уменьшив число колпачков.


Выбираем площадь прорезей колпачка S>3> =0,0046 м2 (табл. 6.10 [1]) и определяем скорость пара в прорезях:

Максимальная скорость пара в прорезях колпачка:

Коэффициент В>5> берётся по табл. 6.11. [1].
Степень открытия прорезей колпачка:

Условие выполняется и пар проходит через все сечения прорезей и тарелка работает эффективно.
15. Фактор аэрации:

16.
Коэффициент гидравлического сопротивления
тарелки
(табл. 6.13 [1]).
Гидравлическое сопротивление тарелок:

17. Коэффициент вспениваемости при вакуумной перегонки мазута К>5>=0,75
Высота сепарационного пространства между тарелками:

18. Межтарельчатый унос жидкости:

Величина не превышает 0,1 кг/кг. Продолжаем расчёт.
19. Площадь поперечного сечения колонны:

Скорость жидкости в переливных устройствах:

Допустимая скорость жидкости в переливных устройствах:

Действительные скорости жидкости меньше допустимых. Таким образом для нижней части 1-й секции принимаем данную тарелку.
Расчёт верхней части секции:
Для упрощения конструкции колонны в верхней части секции принимаем тарелки того же диаметра что и в нижней D>К>= 3,6 м
1.Действительную скорость пара в верхней части:

2.
По таблице 6 [1] периметр слива
и
относительное сечение перелива
.
Относительная активная площадь тарелки:

3. Фактор нагрузки для верхней части колонны:

Коэффициент поверхностного натяжения для верхней части секции:

Принимая
минимальное расстояние между тарелками
,
по табл. 6.7 [1] определяем комплекс В>1>:

Допустимая скорость пара в рабочем сечении колонны:

4. Проверяем условие допустимости скоростей пара:

Условие не выполняется, поэтому необходимо увеличивать межтарельчатое расстояние, а при достижении максимального значения принимать тарелку большего диаметра до тех пор пока условие не сойдётся.


Условие выполнилось. Продолжаем расчёт дальше.
5. Удельная нагрузка на перегородку в нижней части:

Условие выполнилось. Продолжаем расчёт дальше.
6. Фактор паровой нагрузки:

Подпор жидкости над сливным порогом:

7. Глубина барботажа h>б>=0,03 м (табл. 6.4. [1]), высота прорези колпачка h>3>=0,02 м (табл. 6.10. [1]), зазор установки колпачка h>4>=0,018 м (табл. 6.8. [1]).
Высота парожидкостного слоя на тарелках:

8. Высота сливного порога:

9. Градиент уровня жидкости на тарелке:

10. Динамическая глубина барботажа:

11. Значение комплекса В>2> (табл. 6.9. [1]):

Минимально допустимая скорость пара в свободном сечении тарелок:

Относительное
свободное сечение тарелок
(табл.
6.6. [1]). Коэффициент запаса сечения
тарелок:

Так как К>1> >1, то пар будет проходить через тарелку равномерно.


Выбираем площадь прорезей колпачка S>3> =0,0046 м2 (табл. 6.10 [1]) и определяем скорость пара в прорезях:

Максимальная скорость пара в прорезях колпачка:

Коэффициент В>5> берётся по табл. 6.11. [1].
Степень открытия прорезей колпачка:

Условие выполняется и пар проходит через все сечения прорезей и тарелка работает эффективно.
12. Фактор аэрации:

13.
Коэффициент гидравлического сопротивления
тарелки
(табл. 6.13 [1]).
Гидравлическое сопротивление тарелок:

14. Коэффициент вспениваемости при вакуумной перегонки мазута К>5>=0,75
Высота сепарационного пространства между тарелками:

15. Межтарельчатый унос жидкости:

Величина не превышает 0,1 кг/кг. Продолжаем расчёт.
16. Площадь поперечного сечения колонны:

Скорость жидкости в переливных устройствах:

Допустимая скорость жидкости в переливных устройствах:

Действительные скорости жидкости меньше допустимых.
Таким образом для верха и низа секции принимаем одинаковую тарелку.
Больше всего подходит стандартная тарелка ТСК-Р, которая имеет следующие характеристики:
Диаметр тарелки: D = 3600 мм;
Периметр слива: l>w> = 2,88 м;
Высота сливного порога:
;
;
Свободное сечение
тарелки:

Сечение перелива:

Относительная площадь
для прохода паров:
;
Межтарельчатое
расстояние:
;
;
Количество колпачков:
;
;
Работа тарелки характеризуется следующими параметрами:
Высота парожидкостного
слоя:
Фактор аэрации:
Гидравлическое
сопротивление тарелки:
Межтарельчатый
унос:
Скорость жидкости в
переливе:

Скорость пара в колонне:
Расчёт эффективности тарелок и высоты 1-й секции.
1. Определяем значение критерия Фурье для колпачковой тарелки:





2. Определяем общее числа единиц переноса:




Для верха колонны:




3. Локальная эффективность контакта:

Для верха колонны:

4. Эффективность тарелки по Мэрфи:


Для верха колонны:


5. Действительное число тарелок:

Для верха колонны:

6. Рабочая высота секции для низа:

Для верха:

Общая рабочая высота:

7. Общая высота секции:

Определение рабочего флегмового числа и числа теоретических тарелок для 2-й секции.
Расчёт второй секции колонны производим только для верхней части.
Заменяем перегоняемую смесь углеводородов во 2-й секции на бинарную смесь. В качестве низкокипящеко (НК) компонента принимаем н-гексадекан (С>16>Н>34 >), а в качестве выкокипящего (ВК) - : н-гексакозан (С>26>Н>54> ).
Производим расчёт мольных концентрация на входе и на выходах из секции.
Мольную концентрацию на входе определяем на основе массовой концентрации, которую рассчитали в материальном балансе 2-й секции (табл. 3).
Расчёт состава дистиллата: P>НК > и P>ВК> рассчитываются при температуре равной 295 оС.

Температуры на выходе из дистиллата и куба определяем по формуле методом последовательного приближения:

Температура на выходе из дистиллата равна: t>D>=235 оС
Температура на входе равна: t>F>=308 оС
Определяем относительную
летучесть
по формуле:

При
температуре t>D>=235
оС

При температуре t>W>=308
оС

Средняя относительная
летучесть:
Строим кривую равновесия по формуле:


Рис.1 Кривая равновесия
Состав пара уходящего с питательной тарелки равен y>f>=0,501 мол.дол.
Рассчитываем минимальное флегмовое число:

Оптимальное
(рабочее) флегмовое число определяем
на основе критерия оптимальности :
,
где
.
Зависимость критерия оптимальности от
коэффициента избытка флегмы изображена
на рисунке 2.

Рис.2 Зависимость критерия оптимальности от коэф-та избытка флегмы
По графику
определяем что
.
Отсюда находимо рабочее флегмовое
число:

Исходя из рабочего флегмового числа строим рабочую линию и определяем теоретическое число тарелок в верхней и нижней части секции.

Рис.3 Теоретические ступени
Число теоретических тарелок N>ТТ>=3
Расчёт физико-химических свойств смеси.
Расчёт средней концентрации жидкости:

Расчёт средней концентрации пара:

Расчёт средней температуры:
Определяются по той же формуле что и температуры на выходе из дистиллата.

Средняя молекулярная масса пара:

Средняя молекулярная масса жидкости:

Средняя плотность пара:

Средняя массовая доля:

Средняя плотность жидкости:
Плотность НК
компонента при температур t
=256 оС равна

Плотность ВК
компонента при температур t>
>=256 оС равна


Средняя вязкость жидкости:
Вязкость НК
компонента при температур t
=256 оС равна

Вязкость ВК
компонента при температур t
=256 оС равна



Средние коэффициенты диффузии жидкости и пара:
Для низа колонны:





Гидравлический расчёт колпачковых тарелок 2-й секции.
Определяем количество пара поднимающегося вверх по колонне. Примем допущение, что расход пара во всей колонне является величиной постоянной и находится:

Определяем расход жидкости в верхней и нижней части колонны:

1. Расчёт оценочной скорости:

2. Определяем диаметр:

3. Принимаем колонну диаметра D>К>=1,0 м
Действительную скорость пара в нижней части находим:

4.
По таблице 6 [1] периметр слива
и
относительное сечение перелива
.
Относительная активная площадь тарелки:

5. Фактор нагрузки:

Коэффициент поверхностного натяжения:

Принимая
минимальное расстояние между тарелками
,
по табл. 6.7 [1] определяем комплекс В>1>:

Допустимая скорость пара в рабочем сечении колонны:

6. Проверяем условие допустимости скоростей пара для верхней и нижней частей колонны:

Условие не выполняется, поэтому необходимо увеличивать межтарельчатое расстояние, а при достижении максимального значения принимать тарелку большего диаметра до тех пор пока условие не сойдётся.


Увеличиваем межтарельчатое расстояние:


Увеличиваем межтарельчатое расстояние:


Увеличиваем межтарельчатое расстояние:


Увеличиваем межтарельчатое расстояние:


Условие выполнилось. Продолжаем расчёт дальше.
7. Удельная нагрузка на перегородку:


Условие выполнилось. Продолжаем расчёт дальше.
8. Фактор паровой нагрузки:

Подпор жидкости над сливным порогом:

9. Глубина барботажа h>б>=0,03 м (табл. 6.4. [1]), высота прорези колпачка h>3>=0,02 м (табл. 6.10. [1]), зазор установки колпачка h>4>=0,01 м (табл. 6.8. [1]).
Высота парожидкостного слоя на тарелках:

10. Высота сливного порога:

11. Градиент уровня жидкости на тарелке:

12. Динамическая глубина барботажа:

13. Значение комплекса В>2> (табл. 6.9. [1]):

Минимально допустимая скорость пара в свободном сечении тарелок:

Относительное
свободное сечение тарелок
(табл.
6.6. [1]). Коэффициент запаса сечения
тарелок:

Так как К>1> >1, то пар будет проходить через тарелку равномерно.


Выбираем площадь прорезей колпачка S>3> =0,0023 м2 (табл. 6.10 [1]) и определяем скорость пара в прорезях:

Максимальная скорость пара в прорезях колпачка:

Коэффициент В>5> берётся по табл. 6.11. [1].
Степень открытия прорезей колпачка:

Условие выполняется и пар проходит через все сечения прорезей и тарелка работает эффективно.
14. Фактор аэрации:

15.
Коэффициент гидравлического сопротивления
тарелки
(табл. 6.13 [1]).
Гидравлическое сопротивление тарелок:

17. Коэффициент вспениваемости при вакуумной перегонки мазута К>5>=0,75
Высота сепарационного пространства между тарелками:

18. Межтарельчатый унос жидкости:

Величина не превышает 0,1 кг/кг. Продолжаем расчёт.
19. Площадь поперечного сечения колонны:

Скорость жидкости в переливных устройствах:

Допустимая скорость жидкости в переливных устройствах:

Действительная скорость жидкости меньше допустимых. Таким образом для 2-й секции принимаем данную тарелку.
Больше всего подходит стандартная тарелка ТСК-Р, которая имеет следующие характеристики:
Диаметр тарелки: D = 1000 мм;
Периметр слива: l>w> = 0,683м;
Высота сливного порога:
;
Свободное сечение
тарелки:

Сечение перелива:

Относительная площадь
для прохода паров:
;
Межтарельчатое
расстояние:
;
Количество колпачков:
;
Работа тарелки характеризуется следующими параметрами:
Высота парожидкостного
слоя:
Фактор аэрации:
Гидравлическое
сопротивление тарелки:
Межтарельчатый
унос:
Скорость жидкости в
переливном устройстве:

Скорость пара в колонне:
Расчёт эффективности тарелок и высоты 2-й секции.
1. Определяем значение критерия Фурье для колпачковой тарелки:


2. Определяем общее числа единиц переноса:




3. Локальная эффективность контакта:

4. Эффективность тарелки по Мэрфи:


5. Действительное число тарелок:

6. Рабочая высота секции для низа:
7. Общая высота секции:

Тепловой баланс колонны.
Для расчёта энтальпий углеводородов воспользуемся формулами:
Для жидких углеводородов:

Для газообразных углеводородов:

Расчёт 1-й секции:
Приход:
1. Паровая фаза:
а) фр. НК-350 оС


б) фр. 350-500 оС


в) Водяной пар (15 ата; t = 420 оС)


2. Жидкая фаза:
а) фр. 500-КК оС


Расход:
1. Паровая фаза:
а) фр. НК-350 оС


б) фр. 350-500 оС


в) Водяной пар (15 ата; t = 420 оС)


2. Жидкая фаза:
а) фр. 500-КК оС


Результаты расчёта заносим в таблицу 6.
Таблица 6.
Тепловой баланс 1-й секции колонны
Приход |
Расход |
||||||||
|
Наименование |
t, oC |
кг/ч |
кДж/кг |
кДж/ч |
Наименование |
t, oC |
кг/ч |
кДж/кг |
кДж/ч |
|
Мазут |
Паровая фаза: |
||||||||
|
Паровая фаза: |
нк - 350 |
385 |
2280 |
1414,163 |
3224291,24 |
||||
|
нк - 350 оС |
420 |
2280 |
1516,414 |
3457423,97 |
фр. 350 - 500 |
385 |
26068 |
1384,908 |
36101783,6 |
|
фр. 350 – 500 |
420 |
26068 |
1485,149 |
38714861,93 |
Вод. пар |
385 |
5000 |
3251,5 |
16257500 |
|
Жидкая фаза: |
Жидкая фаза |
||||||||
|
Гудрон |
420 |
47652 |
971,820 |
46309170,65 |
Гудрон |
400 |
47652 |
912,462 |
43480621,5 |
|
Вод. пар |
480 |
5000 |
3282,4 |
16412000 |
|
||||
|
Итого: |
81000 |
104893456,6 |
Итого: |
81000 |
99064196,4 |
Избыток тепла в 1-й секции составляет:

Расчёт 2-й секции производим по такой же схеме и результаты выводим в таблицу 7.
Таблица 7.
Тепловой баланс 2-й секции колонны
|
Приход |
Расход |
||||||||
|
Наименование |
t, oC |
кг/ч |
кДж/кг |
кДж/ч |
Наименование |
t, oC |
кг/ч |
кДж/кг |
кДж/ч |
|
Паровая фаза: |
Паровая фаза: |
||||||||
|
нк - 350 |
385 |
2280 |
1414,16 |
3224291,24 |
нк - 350 |
100 |
2280 |
749,797 |
1709537 |
|
фр. 350 - 500 |
385 |
26068 |
1384,91 |
36101783,6 |
Вод. пар |
100 |
5000 |
2689,9 |
13449500 |
|
Вод. пар |
385 |
5000 |
3251,5 |
16257500 |
Жидкая фаза |
||||
|
|
фр. 350 - 500 |
385 |
26068 |
941,64 |
24546565 |
||||
|
Итого: |
33348 |
55583574,8 |
Итого: |
33348 |
39705601,7 |
Избыток тепла в 1-й секции составляет:

Избытки тепла в секциях снимаются за счёт циркуляционных орошений.
В качестве НЦО примем флегму 1-й секции.
Температуру, до которой необходимо охладить флегму, найдём из энтальпии возвращаемой флегмы:


Решая уравнение получаем значение температуры

t = 255 оС
Избыток тепла во второй секции снимаем за счёт подачи охлаждённой флегмы до 40 оС, а так же за счёт ВЦО:
Расход ВЦО найдём по уравнению:

Расчёт штуцеров колонны
Расчёт диаметров штуцеров производим на основе скорости движения потоков по формуле:

1. Внутренний диаметр штуцера для входа исходного сырья:
Принимаем
скорость движения сырья



Принимаем штуцер с внутренним диаметром равным D>1>=0,4 м
2. Внутренний диаметр штуцера для входа водяного пара:
Принимаем
скорость движения сырья



Принимаем штуцер с внутренним диаметром равным D>2>=0,2 м
3. Внутренний диаметр штуцера для выхода гудрона:
Принимаем
скорость движения сырья



Принимаем штуцер с внутренним диаметром равным D>3>=0,2 м
4. Внутренний диаметр штуцера для выхода вакуумного погона:
Принимаем
скорость движения сырья



Принимаем штуцер с внутренним диаметром равным D>4>=0,15 м
5. Внутренний диаметр штуцера для входа флегмы в 1-ю секцию:
Принимаем
скорость движения сырья



Принимаем штуцер с внутренним диаметром равным D>5>=0,125 м
6. Внутренний диаметр штуцера для выхода паров углеводородов с верха колонны:
Принимаем
скорость движения сырья



Принимаем штуцер с внутренним диаметром равным D>6>=0,25 м
7. Внутренний диаметр штуцера для входа флегмы во 2-ю секцию:
Принимаем
скорость движения сырья



Принимаем штуцер с внутренним диаметром равным D>7>=0,04 м
Расчёт теплоизоляции
В качестве теплоизолирующего материала примем минеральную вату.
Принимаем
температуру окружающего воздуха t>о>=20
оС и ветер, движущийся со скоростью
w=10 м/с. Так же принимаем
коэффициент теплоотдачи от изоляционного
материала в окружающую среду
.
Температура стенки изоляционного
материала по технике безопасности не
должна превышать 45 оС. Принимаем
её равной

Тепловые потери:

Приближённо принимаем, что всё термическое сопротивление сосредоточено в слое изоляции, тогда толщина слоя изоляционного материала определяется уравнением:

где
теплопроводность изоляционного материала
при средней температуре; q
– удельная тепловая нагрузка;
- средняя температура по колонне и
температура внешней стенки изоляционного
материала.

Список литературы
Ульянов Б.А., Асламов А.А., Щелкунов Б.И. Ректификация бинарных и многокомпонентных смесей: Уч. Пособие – Иркутск: Изд-во ИрГТУ, 1999-240 с.
Ульянов Б.А., Щелкунов Б. И. Гидравлика контактных тарелок: Уч. Пособие – Иркутск: Изд-во ИрГТУ, 1996 г.
Дытнерский Ю.И. Основные процессы и аппараты химической технологии: М. 1991 г.
Татевский А.Е. Физико-химические свойства индивидуальных углеводородов: М. 1960г. –412 с.
Иоффе И.Л. Проектирование процессов и аппаратов химической технологии: М. 1991г.
Павлов К.Ф. Примеры и задачи по курсу процессов и аппаратов.: М. 1987 г.
Толчинский А.Р. Основы конструирования и расчёта химической аппаратуры.: М. 1970г.