Расчет показателей разработки элемента трехрядной системы
ведение……………………………………………………………………………………………….1
2. Геологическая характеристика месторождения
2.1 Нефтеносность…………………………………………………………………………………. 5
2.2 Характеристика продуктивных пластов……………………………………………………... 6
2.3 Физико-химические свойства пластовых флюидов…………………………………………..8
2.4 Особенности разработки Приобского месторождения……………………………………….9
2.5 Геолого-физические критерии применимости различных методов воздействия на Приобском месторождении………………………………………………………………… 11
3. Заводнение пластов…………………………………………………………………………… 12
4. Расчет показателей разработки месторождения при трехрядной схеме расположения скважин……………………………………………………………………………………………..16
4.1 Методика расчета дебитов воды и нефти в элементе трехрядной системы разработки……………………………………………………………………………….. 17
4.2 Расчет показателей разработки элемента трехрядной системы………………………….. 17
4.3 Определение показателей разработки месторождения…………………………………….20
5. Список литературы…………………………………………………………………………….. 25
1. Введение
В отечественной и зарубежной практике разработки нефтяных месторождений широко используются различные методы воздействия на пласт, различающиеся механизмами воздействия на пласты и используемыми рабочими агентами. Наиболее распространенными методами воздействия являются:
заводнение (включая различные гидродинамические методы воздействия);
разновидности заводнения с использованием химических реагентов (физико-химические методы воздействия):
полимерное,
с применением ПАВ,
мицеллярное,
щелочное,
растворами кислот,
агентами на спиртовой основе,
агентами на других основах,
карбонизированной водой,
заводнение с потокоотклоняющими технологиями на основе химических
реагентов;
газовые методы:
смешивающиеся вытеснение нефти углеводородными газами, несмещивающиеся вытеснение нефти углеводородными газами, вытеснение нефти неуглеводородными газами, водогазовая репрессия;
нагнетание оторочек жидких растворителей, тепловые методы;
нагнетание пара, нагнетание горячей воды, внутрипластовое горение.
микробиологические методы.
Выбор метода воздействия на нефтяные залежи определяется рядом факторов, наиболее существенными из которых являются геолого-физические характеристики залежей, технологические возможности осуществления метода на данном месторождении и экономические
критерии. Перечисленные выше методы воздействия на пласт имеют многочисленные модификации и, в своей основе, базируются на огромном наборе составов используемых рабочих агентов. Поэтому при анализе существующих методов воздействия имеет смысл, в первую очередь, использовать опыт разработки месторождений Западной Сибири,- а также месторождений других регионов с аналогичными Приобскому месторождению свойствами коллекторов (в первую очередь низкую проницаемость коллекторов) и пластовых флюидов.
2. Геологическая характеристика месторождения 2.1 Нефтеносность
На Приобском месторождении этаж нефтеносности охватывает значительные по толщине отложения осадочного чехла от среднеюрского до аптского возраста и составляет более 2,5км. Непромышленные притоки нефти и керн с признаками углеводородов получены из отложений тюменской (пласты K)i и Юз) и баженовской (пласт Юо) свит. Из-за ограниченного числа имеющихся геолого-геофизических материалов, строение залежей к настоящему времени не достаточно обосновано.
Промышленная нефтеносность установлена в неокомских пластах группы АС, где сосредоточено 90% разведанных запасов. Основные продуктивные пласты заключены между пимской и быстринской пачками глин. Залежи приурочены к линзовидным песчаным телам, сформировавшихся в
шельфовых и клиноформных отложениях неокома, продуктивность которых не контролируется современным структурным планом и определяется практически только наличием в разрезе продуктивных пластов-коллекторов. Отсутствие при многочисленных испытаниях в продуктивной части разреза пластовой воды доказывает, что залежи нефти, связанные с пластами этих пачек, представляют собой замкнутые линзовидные тела, полностью заполненные нефтью, а контуры залежей для каждого песчаного пласта определяются границами его распространения. Исключение составляет пласт АС7, где получены притоки пластовой воды из песчаных линз, заполненных водой.
В составе продуктивных неокомских отложений выделено 9 подсчетных объектов: AC>12>3, АС>12>2, АС>11>2-4, АС>11>1, АС>11>0, АС>10>1-2, АС>10>0, АС>9>, АС>7>. Залежи пластов АС >7>, АС>9> промышленного интереса не представляют.
2.2 Характеристика продуктивных пластов
Основные запасы нефти на Приобском месторождении сосредоточены в отложения неокомского возраста. Особенностью геологического строения залежей, связанных с неокомскими породами является то, что они имеют мегакосослоистое строение, обусловленное формированием их в условиях бокового заполнения достаточно глубоководного морского бассейна (300-400м) за счёт выноса обломочного терригенного материала с востока и юго-востока. Формирование неокомского мегакомплекса осадочных пород происходило в целой серии палеогеографических условий: котинентального осадконакопления, прибрежно-морского, шельфового и очень замедленного осаждения осадков в открытом глубоком море.
По мере продвижения с востока на запад происходит наклон (по отношению к баженовской свите, являющейся региональным репером) как глинистых выдержанных пачек (зонального репера), так и содержащихся между ними песчано-алевролитных пород.
Согласно определениям, выполненным специалистами ЗапСибНИГНИ по фауне и споропыльце, отобранным из глин в интервале залегания* пимской пачки, возраст этих отложений оказался готеривским. Все пласты, что находятся выше пимской пачки. Проиндексированы как группа АС, поэтому и на Приобском месторождении пласты BCi.5 были переиндексированы на АС>7-12 >.
При подсчёте запасов в составе мегакомплекса продуктивных неокомских отложений выделено 11 продуктивных пластов: АС12/3, АС12/1-2, АС12/0, АС11/2-4, АС11/1,
Сводная таблица параметров продуктивных пластов в пределах
эксплуатационного участка.
|
Пласт |
Средняя глубина |
Средняя толщина |
Открытая пористость. % |
Нефтенасыщенность. % |
Коэффициент песчанистости |
Расчлененность |
|
|
Общая, М |
Эффект, М |
||||||
|
АС>10>0 |
2529 |
10,2 |
1,9 |
17,6 |
60,4 |
0,183 |
1,8 |
|
АС>10>1-2 |
2593 |
66,1 |
13,4 |
18,1 |
71,1 |
0,200 |
10,5 |
|
AC>10>0 |
2597 |
20,3 |
1,9 |
17,2 |
57,0 |
0,091 |
2,0 |
|
AC>10>1-2 |
2672 |
47,3 |
6,4 |
17.6 |
66,6 |
0,191 |
6:1 |
|
AC>11>0 |
2716 |
235,3 |
4,9 |
17,6 |
67,2 |
0,183 |
4,5 |
|
AC >11 >1 |
2752 |
26,7 |
4,0 |
17,7 |
67,5 |
0,164 |
3,3 |
|
AC>12>3-4 |
2795 |
72,8 |
12,8 |
18,0 |
69,8 |
0,185 |
9,3 |
2.3 Физико-химические свойства пластовых флюидов
Пластовые нефти по продуктивным пластам АС 10, АС 11 и АС 12 не имеют значительных различий по своим свойствам. Характер изменения физических свойств нефтей является типичным для залежей, не имеющих выхода на поверхность и окружённых краевой водой. В пластовых условиях нефти средней газонасыщенности, давление насыщения в 1,5 -2 раза нижепластового ( высокая степень пережатия).
Экспериментальные данные об изменчивости нефтей по разрезуэксплуатационных объектов месторождения свидетельствуют онезначительной неоднородности нефти в пределах залежей.
Нефти пластов АС 10, АС 11, и АС 12 близки между собой, более лёгкая нефть в пласте АС 11, молярная доля метана в ней 24,56%, суммарное содержание углеводородов С2Н6 -С5Н12 - 19,85%. Для нефтей всех пластов характерно преобладание нормальных бутана и пентана над изомерами.
Количество лёгких углеводородов СН4 - С5Н12 , растворённых в разгазированных нефтях, составляет 8,2-9,2%. Нефтяной газ стандартной сепарации высокожирный (коэффициент жирности более 50), молярная доля метана в нём составляет 56,19(пластАС 10)- 64,29(пластАС12). Количество этана намного меньше, чем пропана, отношение С2Н6 /СЗН8 равно 0,6, что характерно для газов нефтяных залажей. Суммарное содержание бутанов 8,1-9,6%, пентанов 2,7-3,2%, тяжелых углеводородов С6Н14 + высшие 0,95-1,28%. Количество диоксида углерода и азота невелико, около 1%.
Разгазированные нефти всех пластов сернистые, парафинистые, малосмолистые, средней плотности.
Нефть пласта АС 10 средней вязкости , с содержанием фракций до 350_С больше 55%, нефти пластов АС 11 и АС 12 вязкие, с содержанием фракций до 350 С от 45% до 54,9%.
Технологический шифр нефтей пласта АС 10 - II Т1П2, пластов АС 11 и АС12-П Т2П2.
Оценка параметров, обусловленных индивидуальными характеристикми нефтей и газов, выполнена в соответствии с наиболее вероятными условиями сбора, подготовки и транспорта нефти на месторождении. Условия сепарации следующие:
1 ступень - давление 0,785 Мпа, температура 100С;
2 ступень - давление 0,687 Мпа, температура 300С;
3 ступень - давление 0,491 Мпа, температура 400С;
4 ступень - давление 0,103 Мпа, температура 400С. Приобское месторождение разрабатывается в сложных условиях, обусловленных особенностями его географического расположения и геологического строения продуктивных пластов.
2.4 Особенности разработки Приобского месторождения
Месторождение удаленное, труднодоступное, 80% территории находится в пойме реки Обь и затопляется в паводковый период. Месторождение отличается сложным геологическим строением - сложное строение песчаных тел по площади и разрезу, пласты гидродинамически слабо связаны. Для коллекторов продуктивных пластов характерны:
низкая проницаемость;
низкая песчанистость;
повышенная глинистость;
высокая расчлененность.
До 1996 года месторождение разрабатывалось по технологической схеме "Уточненные технологические показатели разработки первоочередного участка Приобского месторождения (Левобережная часть)", составленной СибНИИНП в 1990 году. Разработка каждого эксплуатационного объекта АС>10>, АС>11>, AC>12> проводилась при размещении скважин по линейной трехрядной треугольной схеме с плотностью сетки 25 га/скв, с бурением всех скважин до пласта АС >12>.
В 1997 г. СибНИИНП было подготовлено "Дополнение к технологической схеме опытно-промышленной разработки левобережной части Приобского месторождения, включая пойменный участок N4", в котором были даны
коррективы по разработке левобережной части месторождения с подключением в работу новых кустов N140 и 141 в пойменной части месторождения. В соответствие с этим документом предусматривается реализация блоковой трехрядной системы (плотность сетки - 25 га/скв) с переходом в дальнейшем на более поздней стадии разработки на блочно-замкнутую систему.
Месторождение отличается низкими дебитами скважин. Основными проблемами разработки месторождения явились низкая продуктивность добывающих скважин, низкая естественная (без разрыва пластов нагнетаемой водой) приемистость нагнетательных скважин, а также плохое перераспределение давление по залежам при осуществлении ППД (вследствие слабой гидродинамической связи отдельных участков пластов). В отдельную проблему разработки месторождения следует выделить эксплуатацию пласта АС>12.> Из-за низких дебитов многие скважины этого пласта должны быть остановлены, что может привести к консервации на неопределенный срок значительных запасов нефти. Одним из направлений решения этой проблемы по пласту АС>12> является осуществление мероприятий по интенсификации добычи нефти.
Приобское месторождение характеризуется сложным строением продуктивных горизонтов как по площади, так и по разрезу. Коллектора горизонтов АС>10> и АС>11> относятся к средне и низкопродуктивным, а АС>12> - к аномально низкопродуктивным. Геолого-физическая характеристика продуктивных пластов месторождения указывает на невозможность освоения месторождения без активного воздействия на его продуктивные пласты и без использования методов интенсификации добычи. Это подтверждает опыт разработки эксплуатационного участка левобережной части.
2.5 Геолого-физические критерии применимости различных методов воздействия на Приобском месторождении
Основными геолого-физическими характеристиками Приобского месторождения для оценки применимости различных методов воздействия являются :
глубина продуктивных пластов- 2400-2600 м,
залежи литологически экранированные, естественный режим - упругий
замкнутый,
толщина пластовАС>10>, АС>11> и АС>12>соответственно до 20,6 , 42,6 и 40,6 м.
начальное пластовое давление- 23,5-25 МПа,
пластовая температура- 88-90°С,
низкая проницаемость коллекторов, средние значения по результатам
исследования керна - по пластам АС>10>, АС>11> и АС >12> соответственно 15,4,
25,8, 2,4 мd
высокая латеральная и вертикальная неоднородность пластов,
плотность пластовой нефти- 780-800 кг/м3,
вязкость пластовой нефти- 1,4-1,6 мПа*с,
давление насыщения нефти 9-11 МПа,
нефть нафтенового ряда, парафинистая и малосмолистая.
Сопоставляя представленные данные с известными критериями эффективного применения методов воздействия на пласт можно отметить, что, даже без детального анализа, из перечисленных выше методов для Приобского месторождения могут быть исключены: тепловые методы и полимерное заводнение (как метод вытеснения нефти из пластов). Тепловые методы применяются для залежей с высоковязкими нефтями и на глубинах до 1500-1700 м. Полимерное заводнение предпочтительно использовать в пластах проницаемостью более 0,1 мкм для вытеснения нефти с вязкостью от 10 до 100 мПа*с и при температуре до 90°С (для более высоких температур применяются дорогостоящие, специальные по составам полимеры).
3. Заводнение пластов
Опыт разработки отечественных и зарубежных месторождений показывает, что заводнение оказывается довольно эффективным методом воздействия на низкопроницаемые коллектора при строгом соблюдении необходимых требований к технологии его осуществления. В числе основных причин, вызывающих снижение эффективности заводнения низкопроницаемых пластов оказываются:
ухудшение фильтрационных свойств породы за счет:
набухания глинистых составляющих породы при контакте с закачиваемой водой,
засорения коллектора мелкодисперсными механическими примесями, находящимися в закачиваемой воде,
выпадением в пористой среде коллектора осадков солей при химическом взаимодействии нагнетаемой и пластовой воды,
уменьшение охвата пласта заводнением вследствие образования вокруг нагнетательных скважин трещин-разрыва и распространения их в глубь
пласт (для прерывистых пластов, возможно также некоторое увеличения охвата пласта по разрезу),
значительная чувствительность к характеру смачиваемости пород нагнетаемым агентом значительное снижение проницаемости коллектора засчет выпадения парафинов.
Проявление всех этих явлений в низкопроницаемых коллекторах вызывает более существенные последствия, чем в высокопроницаемых породах.
Для устранения влияния на процесс заводнения указанных факторов используются соответствующие технологические решения: оптимальные сетки скважин и технологические режимы эксплуатации скважин, нагнетание в пласты воды необходимого типа и состава, соответствующая ее механическая, химическая и биологическая очистка, а также добавка в воду специальных компонентов.
Для Приобского месторождения заводнение следует рассматривать в качестве основного метода воздействия .
Применение растворов ПАВ на месторождении было отвергнуто, в первую очередь, по причине низкой эффективности этих реагентов в условиях низкопроницаемых коллекторов.
Для Приобского месторождения и щелочное заводнение не может быть рекомендовано по следующим причинам:
- основной из них является преимущественная структурная и слоистая глинистость коллекторов. Глинистые агрегаты представлены каолинитом, хлоритом и гидрослюдой. Взаимодействие щелочи с глинистым материалом может привести не только к набуханию глин, но и к разрушению породы. Щелочной раствор низкой концентрации увеличивает коэффициент набухаемости глин в 1,1-1,3 раза и снижает проницаемости породы в 1,5-2 раза по сравнению с пресной водой , что является критичным для низкопроницаемых коллекторов Приобского месторождения. Применение растворов высокой концентрации (снижающих набухаемость глин) активизирует процесс разрушения породы. Кроме того, глины с высокой способностью к ионному обмену могут отрицательно воздействовать на оторочку щелочного раствора в результате замены натрия на водород.
- сильно развитая неоднородность пласта и большое число пропластков, приводящие к низкому охвату пласта раствором щелочи. Для заводнения нефтяных пластов в Среднем Приобье широко используются подземные воды апт-сеноманского комплекса, сложенного толщей слабосцементированных, рыхлых песков, песчаников, алевролитов и глин уватской, ханты-мансийской и викуловской свит, хорошо выдержанных по площади, довольно однородных в пределах участка. Воды отличаются малой коррозийной способностью из-за отсутствия в них сероводорода и кислорода.
Расчет показателей разработки месторождения при трехрядной схеме расположения скважин.
|
Исходные данные Исходные данные |
||||
|
9 |
||||
|
№ |
Наименование параметра |
Еденица |
Символ |
Значения |
|
п/п |
измерения |
|||
|
1 |
Площадь нефтеносности |
М2 |
S |
2000*109 |
|
2 |
Плотность сетки скв-н |
М2/СКВ |
S>c> |
25*104 |
|
3 |
Расстояние м/д линией нагнетания и линией отбора |
М |
1 |
500 |
|
4 |
Расстояние м/д сквжинами (ширина элемента) |
М |
b |
500 |
|
5 |
Абсолютная проницаемость пласта |
М2 |
К>абс> |
0,17*1012 |
|
6 |
Общая толщина пласта |
М |
h>o> |
20.6 |
|
7 |
Коэффициент охвата |
К>охв> |
0.7 |
|
|
8 |
Вязкость нефти в пластовых условиях |
Па* с |
µ>H> |
1,54*10-3 |
|
9 |
Вязкость воды в пластовых условиях |
Па* с |
µ>B> |
0,36*10-3 |
|
10 |
Относительная проницаемость |
|||
|
11 |
пласта для нефти |
М2 |
k>n> |
0,85 |
|
11 |
Относительная проницаемость |
|||
|
пласта для воды |
М2 |
k>н> |
0,32 |
|
|
12 |
Толщина пласта, охваченного заводнением |
М |
h |
14,4 |
|
13 |
Пористость пласта |
m |
0,19 |
|
|
14 |
Начальная насыщенность связанной водой |
S>CB> |
0,1 |
|
|
15 |
Остаточная нефтенасыщенность |
S>H>> >>OCT> |
0,27 |
|
|
16 |
Перепад давлений м/д линиями нагнетания |
. |
||
|
и отбора |
Па |
|
0,476* 106 |
Месторождение вводится в разработку в течение шести лет. При этом ежегодно разбуривается и вводится в эксплуатацию по 60 элементов
(60 скважин).
Разработка осуществляется при постоянном перепаде междулиниями нагнетания и отбора.
Предполагается, что за весь рассматриваемый период ни один
элемент системы не выбывает из разработки. Требуется рассчитать
изменение в течение 12 лет следующих показателей разработки
месторождения: 1) добычи нефти, обводненности продукции и текущей нефтеотдачи для одного элемента системы разработки;
2) добычи нефти, обводненности продукции и текущей нефтеотдачи для месторождения в целом.
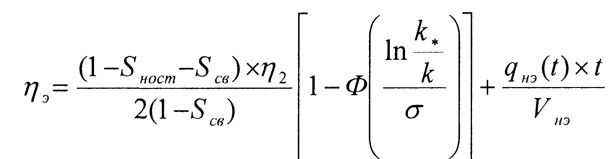
4.1 Методика расчета дебитов нефти и воды в элементе трехрядной системы разработки месторождения при логарифмически нормальном законе распределения абсалютной проницаемости представлена в источнике ((1), задача 3.7).
4.2 Расчет показателей разработки элемента трехрядной системы.
По формуле (13) из (1) определяют проницаемость к* пласта, обводнившегося ко времени t=t*.
Например, при t*=3J5*10 ≈365 сут



Для вычисления дебита нефти и воды
необходимо определять значение интеграла

Можно при этом использовать также таблицы интеграла вероятности

помещенные в справочнике (2).
Имеем соотношение:

Обозначим

тогда





Таким
образом, обводненность v=v(t)
будем вычислять по формуле (21) из ист.(1)
преобразованной к виду



Приведем
к виду, удобному для вычислений,
зависимость k>*>=k>*>(t)

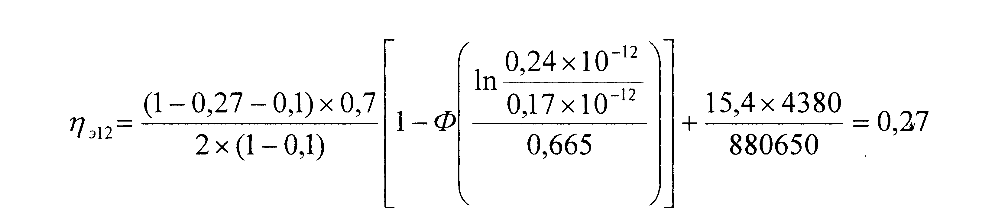
Например, при t= 3,15·107≈365сут k>* >=2.9·10-12


По таблицам Ф(3,59)=0,99. Отсюда при t=3 515*107с значение v>э>=0,005 Результаты вычислений изменения во времени обводненности продукции, а также дебита нефти и воды при постоянном дебите жидкости для элемента
пласта приведены в таблице при ряде значений времени t==t>*>
|
Т , годы |
К>*>, 10-12м2 |
X |
Ф(X |
Vэ(t) |
q>нэ>, м3/сут |
q>вэ> м3/сут |
η>э> |
|
1 |
2,9 |
3,59 |
0,99 |
0,005 |
34,83 |
0,17 |
0,138 |
|
2 |
1,46 |
2,5 |
0,9874 |
0,0063 |
34,78 |
0,22 |
0,154 |
|
3 |
0,97 |
1,9 |
0,9426 |
0,029 |
34 |
1,0 |
0,166 |
|
4 |
0,73 |
1,53 |
0,9164 |
0,04 |
33,6 |
1,4 |
0,189 |
|
5 |
0,58 |
1,05 |
0,7062 |
0,147 |
29,8 |
5,2 |
0,193 |
|
6 |
0,49 |
0,9 |
0,6318 |
0,18 |
28,7 |
6,3 |
,0,208 |
|
7 |
0,42 |
0,69 |
0,5098 |
0,24 |
26,6 |
8,4 |
0,224 |
|
8 |
0,37 |
0,45 |
0,3472 |
0,33 |
23,45 |
11,55 |
0,235 |
|
9 |
0,32 |
0,3 |
0,2358 |
0,38 |
21,7 |
13,3 |
0,244 |
|
10 |
0,29 |
0,13 |
0,1034 |
0,45 |
19,25 |
15,75 |
0,258 |
|
11 |
0,26 |
-0,02 |
-0,016 |
0,5 |
17,5 |
17,5 |
0,262 |
|
12 |
0,24 |
-0,15 |
-0,1192 |
0,56 |
15,4 |
19,6 |
0,270 |
Дебит жидкости, получаемый из элемента
разработки q>ж>
согласно (20) не изменяется со временем
при
p>c>=const.
По формуле (20) имеем







согласно источнику (1).

Изменение во времени нефтеотдачи показано на графике 1 ,откуда видно что через 12 лет после начала разработки элемента его нефтеотдача станет равной Г1э=0,27.
4,3 Определение показателей разработки месторождения.
Согласно плану разбуривания и обустройства месторождения ежегодно в течение шести лет, т.е. в течение срока ввода месторождения в разработку в эксплуатацию передается по 60 элементов. Всего за 6 лет введено в эксплуатацию 360 элементов. Для простоты будем считать, что добыча нефти с разбуриваемых элементов будет происходить с начала каждого года.
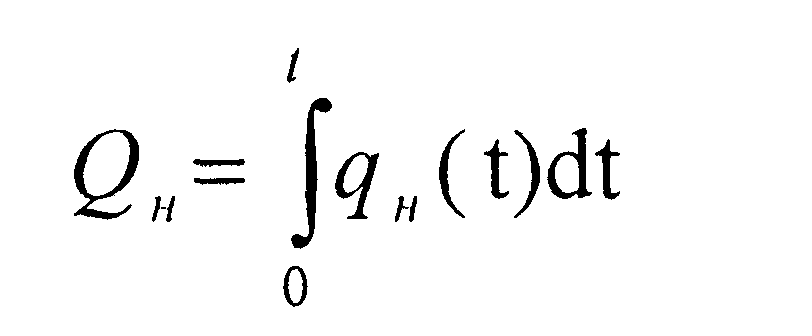
Для определения изменения во времени добычи нефти по месторождению в таб. 2 приведены данные о добыче нефти из элементов, вводимых в действие за каждый год. Для определения добычи нефти в целом по месторождению добыча нефти по группам элементов суммируется по каждой горизонтальной строке таблицы. Аналогичным образом строится таблица 3 для расчета добычи воды.
Обводненность добываемой из месторождения продукции вычисляют по формуле

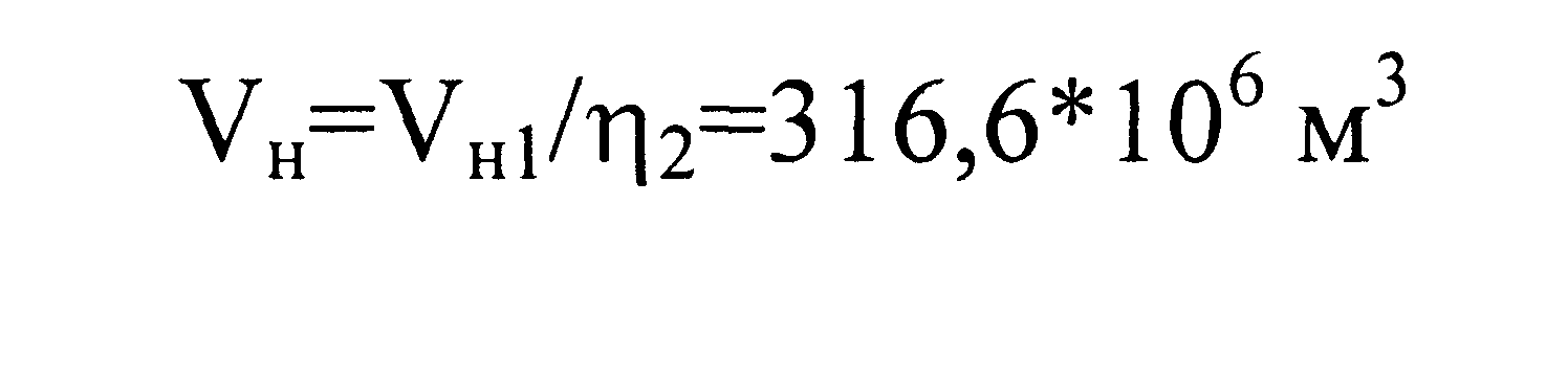
Всего по месторождению в разработку вовлекается объем нефти в пластовых условиях

Коэффициент охвата по месторождению в целом η>2>=0,7. Поэтому общий объем нефти в пласте


Нефтеотдача по месторождению в целом определяется как отношение объема накопленной добычи нефти

к первоначальному объему нефти в пласте Vн
