Показатели эффективности инвестиционного проекта
Что такое инвестиционный проект.
Инвестиционный проект (investment project) — проект, предусматривающий (в числе других действий) осуществление инвестиций. Естественно, что проектные материалы в данном случае должны содержать информацию о том, кто осуществляет инвестиции, в какой форме они осуществляются, каков объем этих инвестиций и как они распределены во времени. Инвестор (investor) — участник инвестиционного проекта, в числе действий которого предусмотрено осуществление инвестиций. Инвестиционные проекты преследуют цель получения доходов от производства некоторой продукции или услуги. Объект, на котором будет осуществляться такое производство, мы называем "предприятие" и предполагаем, что в его рамках ведется учет связанных с его созданием и функционированием доходов и расходов (хотя такое предприятие может не быть юридическим лицом, а являться, скажем, подразделением какой-либо фирмы). Инвестиционный проект вовсе не обязательно предусматривает капитальное строительство, поскольку инвестиции могут осуществляться и в прирост оборотного капитала или инвестор может в качестве своего вклада внести в проект готовое здание или имеющееся оборудование. Далее, в качестве инвестора в проекте, в принципе, могут выступать почти все участники. Например, пусть проект предусматривает строительство нового здания на условиях "под ключ". Заказчик строительства является инвестором — тут проблем не возникает, поскольку он оплачивает работу и принимает здание на свой баланс. Но строительная организация — тоже инвестор, поскольку вынуждена вначале вкладывать свои средства в приобретение строительных материалов, перебазировку строительных машин, оплату труда своих рабочих и т. д. При этом ее расходы в отличие от расходов заказчика отражаются в увеличении текущих активов (статьи "Запасы материалов" и "Незавершенное строительное производство"). Однако такие вложения — это тоже инвестиции, а, следовательно, строительная организация — тоже инвестор. Характерно, что многие проекты, предусматривающие реальные инвестиции, неделимы, и нетиражируемы. Нельзя реализовать проект наполовину. Это не значит, что в проект нельзя вложить меньше средств, просто в этом случае остальные средства должен вложить какой-то другой участник (для большинства финансовых проектов положение иное — за меньшие средства можно приобрести меньше акций и получить соответственно меньший доход). Однако за половину средств нельзя построить объект половинной мощности и получать половинный доход. С другой стороны, подобные проекты обычно нельзя и автоматически удваивать — за вдвое большие средства можно построить два однотипных объекта, но эти объекты будут в разных местах, они будут конкурировать между собой за рынок сбыта и в общем случае суммарные затраты и результаты по двум таким проектам не станут вдвое больше. Как правило, за вдвое большие средства нельзя построить и объект вдвое большей мощности — сказывается эффект концентрации производства. Другими словами, изменение масштабов инвестиций не приводит к пропорциональному увеличению затрат и результатов, оно должно рассматриваться как самостоятельный новый проект и требует разработки самостоятельных проектных материалов.
Инвестиционный проект предполагает удачное использование сложившейся или ожидающейся в перспективе рыночной конъюнктуры и, как правило, "выводит из игры" конкурентов (например, потому что на одном и том же месте в одно и то же время нельзя построить два предприятия по одному и тому же проекту; если же строить предприятия в разных местах и/или в разное время, то это будут два разных проекта, а не повторение одного и того же — эффективность этих проектов будет разной). Уникальность проектов обусловливает необходимость индивидуального подхода к оценке эффективности каждого из них. В любом проекте может быть своя "изюминка", обеспечивающая эффективность проекта и требующая индивидуального подхода. В то же время принципы, на базе которых должна быть учтена эта "изюминка" при оценке эффективности проекта, достаточно общие.
Реализуемость и эффективность проектов
На практике проекты оценивают с разных точек зрения, и эта работа обычно называется анализом или экспертизой проекта. Предметом такого анализа или экспертизы может быть и очень часто бывает и эффективность проекта, однако анализировать эффективность проекта можно лишь после того, как проанализированы некоторые другие его аспекты. При оценке эффективности мы исходим из той информации о проекте, которая содержится в проектных материалах, принимая ее обычно как полную, точную и достоверную. При экспертизе или анализе проекта задача обратная — выяснить, насколько полна, точна и достоверна приведенная в этих материалах информация (включая и информацию о параметрах проекта, его реализуемости и связанном с ним риске). Говорить об эффективности проекта можно, лишь когда содержащаяся в проектных материалах информация подтверждает реализуемость проекта. Реализуемость проекта может оцениваться с разных точек зрения — технической, технологической, оборонной, экологической и т. п. Наиболее важна для нас реализуемость проекта с финансовой точки зрения. Финансовая реализуемость (financial feasibility) — свидетельство наличия финансовых возможностей реализации проекта. Финансовая реализуемость имеет место при достаточных объемах финансирования инвестиционного проекта. При выявлении финансовой нереализуемости схема финансирования и, возможно, отдельные элементы организационно-экономического механизма проекта должны быть скорректированы.
Эффективность проекта оценивается определенными количественными характеристиками — показателями эффективности, отражающими (хорошо или плохо, точно или неточно) указанное соответствие в том или ином аспекте, "выгодность" реализации проекта для каждого из его участников, а также некоторыми качественными характеристиками. Чтобы рассчитать показатели эффективности, надо не только знать, какие действия выполняет участник, но и то, каких затрат это требует и к каким результатам приводит. Это означает, что предметом оценки эффективности может быть лишь такой проект, в котором указаны затраты и результаты каждого участника.
1) каждый участник проекта сам устанавливает свои цели, интересы и систему показателей, по которым он оценивает соответствие проекта своим целям и интересам. Какой-либо системы показателей, пригодной для оценки эффективности проекта с точки зрения всех его участников, которую можно было бы "утвердить" как обязательную для разработчиков любых инвестиционных проектов, просто не существует;
2) разработчик проекта должен по возможности понимать цели и интересы участника и обосновывать выгодность его участия в проекте теми показателями, которые эти цели и интересы выражают. Лучше всего, если соответствующую систему показателей он просто согласует с участниками.
Чтобы обеспечить соответствие проекта целям и интересам определенного участника, в рыночной экономике выработано много различных механизмов. Об одном из них мы уже говорили — это цены. Повысив цену работ или продукции, можно сделать проект более выгодным для производителя этих работ (изготовителя продукции). Но того же можно добиться и "корректировкой" проекта, изменив требования к объемам, срокам и качеству поставляемой продукции, пересмотрев строительные решения сооружаемых зданий, технологию и организацию строительства и т. п. Как категория эффективность проекта имеет много разных видов. В общем случае она включает:
• экономическую эффективность, отражающую соответствие затрат и результатов проекта целям и интересам его участников в денежной форме;
• социальную эффективность, отражающую соответствие затрат и социальных результатов проекта целям и социальным интересам его участников (включая государство и общество);
• экологическую эффективность, отражающую соответствие затрат и экологических результатов проекта интересам государства и общества;
• оборонную эффективность, отражающую соответствие затрат и результатов проекта интересам безопасности страны;
• другие виды эффективности.
Рекомендуется оценивать следующие виды экономической эффективности инвестиционных проектов:
• эффективность проекта в целом;
• эффективность участия в проекте (эффективность инвестиций для участников проекта, эффективность собственного капитала).
Рассмотрим каждый из этих видов эффективности отдельно, обратив внимание на содержание тех показателей, которыми они характеризуются.
Эффективность проекта в целом подразделяется на общественную (социально-экономическую) и коммерческую. Показатели общественной эффективности проекта учитывают допускающие стоимостное измерение последствия осуществления инвестиционного проекта для рассматриваемой общественной системы, включая затраты и результаты в смежных областях, в предположении, что все результаты инвестиционного проекта используются этой общественной системой и за счет ее ресурсов производятся все затраты, необходимые для реализации проекта.
Показатели коммерческой эффективности проекта в целом учитывают финансовые последствия его осуществления для реализующей его коммерческой структуры и определяются в предположении, что все необходимые для реализации проекта затраты производятся за счет ее средств.
Эффективность участия в проекте может определяться по отношению к различным типам участников. Соответственно в расчетах может оцениваться:
• эффективность участия предприятий в реализации проекта;
• эффективность проекта для акционеров акционерных предприятий—участников инвестиционного проекта;
• эффективность (инвестиций) для структур более высокого уровня по отношению к предприятиям—участникам проекта (народного хозяйства, регионов, отраслей);
• бюджетная эффективность проекта, отражающая эффективность проекта с точки зрения бюджетов различных уровней.
Зачем оценивают инвестиционные проекты
Оценка инвестиционных проектов (investment projects evaluation) производится обычно при их разработке или экспертизе для решения трех типов задач:
1) оценка конкретного проекта;
2) обоснование целесообразности участия в проекте;
3) сравнение нескольких проектов (вариантов проекта) и выбор лучшего из них.
Оценка конкретного проекта предусматривает
• оценку финансовой реализуемости проекта;
• оценки выгодности реализации проекта или участия в нем с точки зрения участников проекта, государства и общества. Соответствующие расчеты носят название расчетов абсолютной эффективности;
• выявление граничных условий эффективной реализации проекта;
• оценку риска, связанного с реализацией проекта, и устойчивости проекта (сохранения его выгодности и финансовой реализуемости) при случайных колебаниях рыночной конъюнктуры и других изменениях внешних условий реализации.
По результатам такой оценки принимается решение о реализации проекта или о его отклонении (отказе от реализации).
Обоснование целесообразности участия в проекте выполняется обычно для внешних инвесторов, кредиторов, государства и других потенциальных участников проекта. Внешним инвесторам необходимо обосновать объем потребности в инвестициях и размеры доходов от этих инвестиций, кредиторам — потребность в кредите и сроки его погашения, государству — предусмотренные в проекте размеры, сроки и формы государственной поддержки проекта. По результатам такой оценки участники принимают решение о своем участии в проекте или об отказе от такого участия. При наличии нескольких альтернативных проектов или вариантов проекта (в том числе различающихся организационно-экономическим механизмом реализации) важной становится задача их сравнения и выбора лучшего из них. Соответствующие расчеты носят название расчетов сравнительной эффективности. При решении большей части этих задач используются прежде всего интегральные показатели эффективности проектов.
Приведенный выше перечень включает различные типы задач. Однако при оценке конкретного проекта не обязательно решать все эти задачи.
Основные принципы оценки эффективности
Несмотря на существенные различия между типами проектов и многообразие условий их реализации, оценки эффективности проектов и их экспертиза должны производиться в определенном смысле единообразно, на основе единых обоснованных принципов. Их можно разделить на три группы:
1) методологические, наиболее общие, обеспечивающие при их применении рациональное поведение экономических субъектов независимо от характера и целей проекта;
2) методические, обеспечивающие экономическую обоснованность оценок эффективности проектов и решений, принимаемых на их основе;
3) операциональные, соблюдение которых облегчит и упростит процедуру оценок эффективности проектов и обеспечит необходимую точность оценок.
Таблица 1 ПРИНЦИПЫ ОЦЕНКИ ЭФФЕКТИВНОСТИ ИНВЕСТИЦИЙ
|
Методологические |
Методические |
Операциональные |
|
1.Измеримость 2.Сравнимость 3.Выгодность 4.Согласованность интересов 5.Платность ресурсов 6.Неотрицательность и максимум эффекта 7.Системность 8.Комплексность 9.Неопровергаемость методов |
1.Сравнение ситуаций "с проектом" и "без проекта" 2.Уникальность 3.Субоптимизация 4.Неуправляемость прошлого 5.Динамичность 6.Временная ценность денег 7.Неполнота информации 8.Структура капитала 9.Многовалютность |
1.Взаимосвязь параметров 2.Моделирование 3.Организационно-экономический механизм реализации проекта 4.Многостадийность оценки 5.Информационная и методическая согласованность 6.Симплификация |
Наряду с ними существуют еще и "частные" принципы, а точнее — правила, в соответствии с которыми осуществляются отдельные этапы оценки или учитываются отдельные специфические для конкретного проекта обстоятельства. Такие правила, иногда основанные на практическом опыте, иногда конкретизирующие общие принципы применительно к определенной ситуации, в случае необходимости излагаются при описании соответствующих этапов расчета.
Общая схема оценки эффективности
В большинстве или, по крайней мере, во многих случаях процесс оценки эффективности проекта осуществляется в два этапа:
1) общая оценка проекта в целом и определение целесообразности его дальнейшей разработки;
2) конкретная оценка эффективности участия в проекте каждого из участников.
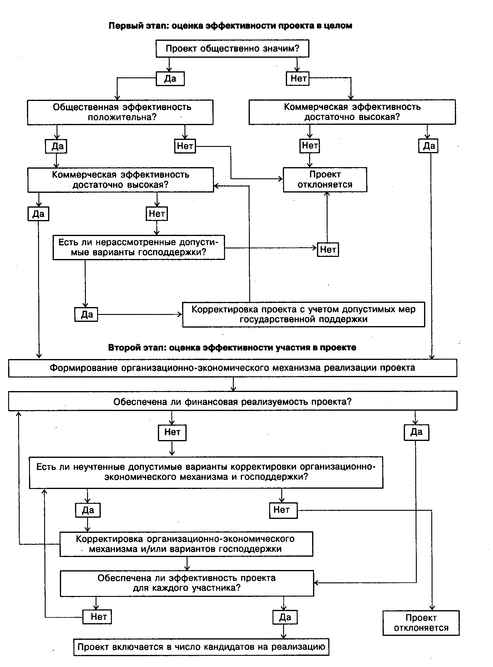
На первом этапе организационно-экономический механизм реализации проекта (и, в частности, схема его финансирования) неизвестен или известен только в самых общих чертах, состав участников проекта также не определен. В этих условиях о "привлекательности" проекта можно судить только по показателям общественной и коммерческой эффективности проекта в целом. Какому из этих показателей отдать приоритет, зависит от общественной значимости (масштаба) проекта, от того, оказывает ли реализация проекта (или отказ от него) существенное или, по крайней мере, заметное влияние на социально-экономические параметры внешней среды (эффективность работы других предприятий, экологическую обстановку, уровень безработицы и т. п.). Для локальных проектов оценивается только их коммерческая эффективность (если она оказывается приемлемой, можно переходить ко второму этапу оценки). Для крупномасштабных, народнохозяйственных и глобальных проектов в первую очередь оценивается их общественная эффективность. Если она неудовлетворительна, то проект не рекомендуется к реализации и не может претендовать на государственную поддержку. Если общественная эффективность положительна, то оценивается коммерческая эффективность. Здесь также возможны два случая. Если коммерческий эффект положителен, то проект остается для дальнейшего рассмотрения на втором этапе. Но как поступить, если коммерческая эффективность такого проекта оказалась отрицательной? В "нормальных" условиях такой проект невыгоден для коммерческих инвестиций. Однако поскольку в данном случае речь идет о крупных проектах, их можно "превратить в выгодные" за счет государственной поддержки в разумных пределах и в рациональной форме. В этой связи на данном этапе рекомендуется рассмотреть некоторые меры государственной поддержки, применяемые обычно для подобных проектов. Если хотя бы некоторые из таких мер обеспечивают положительную коммерческую эффективность проекта, то он может быть оставлен для рассмотрения на втором этапе и для более тщательного обоснования размеров и форм государственной поддержки. Если же проект остается коммерчески неэффективным при всех рассмотренных мерах государственной поддержки, то он должен быть отвергнут как нецелесообразный. Указанная "философия оценки" составляет содержание верхней половины концептуальной схемы, приведенной на рисунке 1.
На втором этапе, представленном нижней половиной концептуальной схемы, оценка эффективности проекта производится для каждого участника проекта уже при определенном организационно-экономическом механизме его реализации. Одновременно проверяется и финансовая реализуемость проекта. При получении негативных результатов производится "корректировка" организационно-экономического механизма реализации проекта, в том числе состава участников, схемы финансирования и мер государственной поддержки проекта, если таковые необходимы. Здесь следует учитывать четыре обстоятельства.
1. Структура участников проекта может быть сложной. В общем случае она может помимо "явных" участников (инвесторов, фирм-производителей конечной и промежуточной продукции, акционеров и др.) включать и "неявных", на деятельность которых проект оказывает влияние (например, Федерация и субъекты Федерации). При этом интересы разных участников не всегда совпадают. Поэтому они могут использовать разные критерии оценки эффективности и по-разному оценивать риск, связанный с их участием в проекте (на схеме это не отражено).
2. Для локальных проектов на этом этапе определяются финансовая реализуемость и эффективность участия в проекте отдельных предприятий, эффективность инвестирования в акции таких акционерных предприятий, а также эффективность проекта с точки зрения бюджета (бюджетная эффективность). Для "общественно значимых" проектов на этом этапе в первую очередь определяется народнохозяйственная, региональная и, при необходимости, отраслевая эффективность. При получении удовлетворительных результатов дальнейший расчет производится так же, как и для локальных проектов.
3. Участие в проекте для каждого участника — дело добровольное, приказать участвовать, как правило, нельзя. Поэтому проект может быть выполнен, только если организационно-экономический механизм реализации проекта устроит его участников и каждому из них участие в проекте будет выгодно (точнее — выгоднее, чем отказ от такого участия), в противном случае "состав участников рассыпается".
4. Если в процессе расчетов выяснится, что проект оказывается финансово нереализуемым или неэффективным для какого-либо участника, то производится корректировка организационно-экономического механизма реализации проекта, начиная от изменения размеров финансирования и кончая пересмотром состава участников и взаимоотношений между ними. При этом следует учесть, что каждый участник предъявляет свои требования к организационно-экономическому механизму реализации проекта и поэтому при изменении состава участников "портфель допустимых организационно-экономических механизмов" может измениться.

рисунок 1
Показатели эффективности ИП
В качестве основных показателей, используемых для расчетов эффективности ИП, рекомендуются:
- чистый доход (ЧД);
- чистый дисконтированный доход (ЧДД);
- внутренняя норма доходности (ВНД);
- потребность в дополнительном финансировании (другие названия - ПФ, стоимость проекта, капитал риска);
- индексы доходности затрат и инвестиций (ИДДЗ и ИДДИ);
- срок окупаемости (СО);
- группа показателей, характеризующих финансовое состояние предприятия - участника проекта.
Условия финансовой реализуемости и показатели эффективности рассчитываются на основании денежного потока Фm.
Чистый доход и ЧДД
Чистым доходом (другие названия — ЧД, Net Value, NV) называется накопленный эффект (сальдо денежного потока) за расчетный период:
ЧД= ∑Фm
m
где суммирование распространяется на все шаги расчетного периода.
Важнейшим показателем эффективности проекта является чистый дисконтированный доход (другие названия -- ЧДД, интегральный эффект, Net Present Value, NPV) — накопленный дисконтированный эффект за расчетный период.
ЧДД рассчитывается по формуле:
ЧДД = ∑Фm *am
m
ЧД и ЧДД характеризуют превышение суммарных денежных поступлений над суммарными затратами для данного проекта соответственно без учета и с учетом неравноценности эффектов (а также затрат, результатов), относящихся к различным моментам времени.
Разность ЧД - ЧДД нередко называют дисконтом проекта.
Для признания проекта эффективным с точки зрения инвестора необходимо, чтобы ЧДД проекта был положительным.
Критерий ЧДД:
a)отражает прогнозную оценку изменения экономического потенциала предприятия в случае принятия проекта;
b)аддитивен в пространственно-временном аспекте, т.е. ЧДД зависит от длительности периода расчета, а ЧДД различных проектов можно суммировать для нахождения общего эффекта.
Проект считается эффективным, если ЧДД от его реализации положителен. Чем больше значение ЧДД, тем эффективнее проект. При отрицательном значении ЧДД проект убыточный. ЧДД является основным показателем эффективности проекта. Критерий ЧДД предполагает дисконтирование денежного потока по цене капитала проекта Е, а критерий ВНД — по норме, численно равной ВНД(Ев), при котором ЧДД=0.
При расчете ЧДД, как правило, используется постоянная норма дисконтирования, но могут использоваться и разные нормы по шагам расчёта.
Внутренняя норма доходности
Внутренняя норма доходности (другие названия — ВНД, внутренняя норма дисконта, внутренняя норма рентабельности, Internal Rate of Return, IRR). В наиболее распространенном случае ИП, начинающихся с (инвестиционных) затрат и имеющих положительный ЧДД, внутренней нормой доходности называется положительное число Е>в>, если:
- при норме дисконта Е - Е>в> чистый дисконтированный доход проекта обращается в О,
- это число единственное.
Для оценки эффективности ИП значение ВНД необходимо сопоставлять с нормой дисконта Е. Инвестиционные проекты, у которых ВНД > Е, имеют положительный ЧДД и поэтому эффективны. Проекты, у которых ВНД < Е, имеют отрицательный ЧДЦ и потому неэффективны (реализовывать данный про нецелесообразно, так как возникнут проблемы с возвратом кредита).
Для оценки эффективности ИП за первые k шагов расчетного периода рекомендуется использовать следующие показатели:
-текущий чистый доход (накопленное сальдо):
> >>k>
ЧД(к)= ∑Фm
m=0
-текущий чистый дисконтированный доход (накопленное дисконтированное сальдо):
> >>k>
ЧДД(к)= ∑Фm*аm
m=0
- текущую внутреннюю норму доходности (текущая ВНД), определяемая как такое число ВНД(к), что при норме дисконта Е = ВНД(k) величина ЧДД(k) обращается в 0, при всех больших значениях Е — отрицательна, при всех меньших значениях Е — положительна.
Срок окупаемости
Сроком окупаемости с учетом дисконтирования называется продолжительность периода от начального момента до «момента окупаемости с учетом дисконтирования». Моментом окупаемости с учетом дисконтирования называется тот наиболее ранний момент времени в расчетном периоде, после которого текущий чистый дисконтированный доход ЧДД(к) становится и в дальнейшем остается неотрицательным.
Логика критерия СО такова:
* он показывает число базовых периодов (шагов расчета), за которое исходная инвестиция будет полностью возмещена за счет генерируемых проектом притоков денежных средств:
* можно выделять и дробную часть периода расчета, если абстрагироваться от исходного предположения, что приток денежных средств осуществляется только в конце периода.
Критерий СО:
а) не учитывает влияние доходов последних периодов, выходящих за предел срока окупаемости;
б) в отличие от других критериев позволяет давать оценки, хотя и грубые, о ликвидности и рискованности проекта.
Потребность в дополнительном финансировании
Потребность в дополнительном финансировании с учетом дисконта (ДПФ) максимальное значение абсолютной величины отрицательного накопленного дисконтированного сальдо от инвестиционной и операционной деятельности. Величина ДПФ показывает минимальный дисконтированный объем внешнего финансирования проекта, необходимый для обеспечения его финансовой реализуемости.
Индексы доходности
Индексы доходности (ИД) характеризуют (относительную) «отдачу проекта» на вложенные в него средства. Они могут рассчитываться как для дисконтированных, так и для недисконтированных денежных потоков. При оценке эффективности часто используются:
- индекс доходности дисконтированных затрат — отношение суммы дисконтированных денежных притоков к сумме дисконтированных денежных оттоков.
- индекс доходности дисконтированных инвестиций (ИДДИ) — отношение суммы дисконтированных элементов денежного потока от операционной деятельности к абсолютной величине дисконтированной суммы элементов денежного потока от инвестиционной деятельности. ИДДИ равен увеличенному на единицу отношению ЧДД к накопленному дисконтированному объему инвестиций.
При расчете ИДДИ могут учитываться либо все капиталовложения за расчетный период, включая вложения в замещение выбывающих основных фондов, либо только первоначальные капиталовложения, осуществляемые до ввода предприятия эксплуатацию (соответствующие показатели будут, конечно, иметь различные значения).
Индексы доходности дисконтированных затрат и инвестиций превышают 1, если для этого потока ЧДД положителен.
Вопрос о реализации проекта рассматривается при ИД > 1, в противном случае проект убыточный.
Логика критерия ИД такова:
- он характеризует доход на единицу затрат;
- этот критерий наиболее предпочтителен, когда необходимо упорядочить независимые проекты для создания оптимального портфеля в случае ограниченности общего объёма инвестиций.
Рентабельности инвестиций
В ряде случаев определяется показатель рентабельности инвестиций (РИ), показывающий, сколько денежных единиц чистого дохода принесет с учетом дисконтирования одна денежная единица, инвестированная в проект:
РИ=ЧДД/К
Взаимосвязь показателей эффективности
Показатели ЧДД, ВНД, ИД и Е связаны очевидными соотношениями:
- если ЧДД > 0, то одновременно ВНД>Е и ИД>1;
- если ЧДД<0,то ВНД<Е, ИД<1;
- если ЧДД = 0,то ВНД = Е, ИД = 1;
Основной недостаток ЧДД — это абсолютный показатель, он не может дать информацию о «резерве безопасности проекта» (при ошибке в прогнозе денежного потока насколько велика вероятность того, что проект окажется убыточным).
ВНД и ИД — дают такую информацию. При прочих равных условиях, чем больше ВНД по сравнению с ценой капитала (Е), тем больше «резерв безопасности проекта».
Для анализа проектов используют график ЧДД =f(E). График — нелинейной зависимость, пересекает ось X в точке ВНД, а ось Y - в точке равной сумме всех элементов недисконтированного денежного потока (включая величину исходных инвестиций). Для неординарных потоков может иметь несколько точек пересечения.
Социальная эффективность
Социальные результаты проектов в большинстве случаев поддаются стоимостной оценке и включаются в состав общих результатов проекта в рамках определения его экономической эффективности. При определении коммерческой и бюджетной эффективности проекта социальные результаты проекта не учитываются.
Основными видами социальных результатов проекта, подлежащих отражению в расчетах эффективности, являются:
изменение количества рабочих мест в регионе;
улучшение жилищных и культурно-бытовых условий работников;
изменение условий труда работников;
изменение структуры производственного персонала;
изменение надежности снабжения населения регионов или населенных пунктов отдельными видами товаров;
изменение уровня здоровья работников и населения;
экономия свободного времени населения.
Пример
В этом примере таблица потока реальных денег считается заданной (с шагом расчета 1 год). В практических ситуациях эта таблица, в известном смысле, является завершающей. При ее создании должен учитываться весь план осуществления проекта, зависящий от результатов маркетинговых исследований (объем реализации и условия продаж: в кредит, с авансовыми платежами и т.д.), расчетов производственных и иных издержек, приобретения и изменения активов, условий образования средств для осуществления проекта и т.д.
Таблица потока реальных денег состоит из трех частей:
потока реальных денег от операционной или производственной деятельности;
потока реальных денег от инвестиционной деятельности;
потока реальных денег от финансовой деятельности.
В разделе "Поток реальных денег от инвестиционной деятельности" отображаются платежи за приобретенные активы, а источником поступлений служат поступления от реализации активов, которые не используются в производстве. В этом разделе должны быть указаны не только затраты на вновь приобретаемые активы, но и балансовая стоимость имеющихся в собственности предприятия активов на дату начала проекта. Затраты на приобретение активов в будущие периоды должны быть указаны с учетом инфляции на основные фонды. Как было указано в основном тексте Рекомендаций, основным условием осуществимости проекта является положительность сальдо реальных денег на любом шаге расчета. Если на некотором шаге сальдо реальных денег становится отрицательным, это означает, что проект в данном виде не может быть осуществлен независимо от значений интегральных показателей эффективности. Если подобная ситуация возникает при расчете эффективности реального инвестиционного проекта, его необходимо будет изменить (увеличив доходную часть и / или уменьшив расходную и / или найдя дополнительные источники финансирования) и после этого вновь повторить расчет.
Рассмотрим пример.
Для примера расчета принимаем норму дисконта Е = 20% (Е = 0,2).
Как видно из таблиц 1,2 и графика 1
ЧД= 152243,8
ЧДД = 41638,98
ВНД=52,4%
СО=2,7 года
ИДДИ= ЧДД + 1=(41638,98/26435)+1=2,575
Дисконтированные
инвестиции
Таблица1 Отчет о движении денежных средств(коммерческая эффективность проекта)
|
|
Показатели |
Шаги расчета |
||||||||||
|
|
0 |
1 |
2 |
3 |
4 |
5 |
6 |
7 |
8 |
9 |
10 |
|
|
1 |
Выручка от продаж |
0 |
110000 |
110000 |
110000 |
110000 |
110000 |
110000 |
110000 |
110000 |
110000 |
110000 |
|
2 |
Переменные издержки |
0 |
51000 |
51000 |
51000 |
51000 |
51000 |
51000 |
51000 |
51000 |
51000 |
51000 |
|
3 |
Постоянные издержки |
6000 |
29000 |
29000 |
29000 |
29000 |
29000 |
29000 |
29000 |
29000 |
29000 |
29000 |
|
4 |
Маркетинговые издержки |
|
2100 |
1000 |
1000 |
1000 |
1000 |
1000 |
1000 |
1000 |
1000 |
1000 |
|
5 |
Налоги |
|
6960 |
9067 |
9654 |
10240 |
10240 |
10240 |
10240 |
10240 |
10240 |
10240 |
|
6 |
Сальдо потока от опера- ционной деятельности |
-6000 |
20940 |
19933 |
19346 |
18760 |
18760 |
18760 |
18760 |
18760 |
18760 |
18760 |
|
7 |
Доходы от реализации активов |
|
|
|
|
|
|
|
|
|
|
1260 |
|
8 |
Затраты на прирост оборотного капитала |
6000 |
|
|
|
|
|
|
|
|
|
-6000 |
|
9 |
Затраты на приобретение активов |
20000 |
|
|
|
|
4000 |
|
|
|
|
|
|
10 |
Сальдо потока от инвестиционной деятельности |
-26000 |
0 |
0 |
0 |
0 |
-4000 |
0 |
0 |
0 |
0 |
7260 |
|
11 |
Собственный капитал |
16000 |
|
|
|
|
|
|
|
|
|
|
|
12 |
Займы |
16000 |
|
|
|
|
|
|
|
|
|
|
|
13 |
Выплаты погашениий по займам |
|
|
|
16000 |
|
|
|
|
|
|
|
|
14 |
Выплаты процентов по займам |
|
3518,4 |
4691,2 |
2345,6 |
|
|
|
|
|
|
|
|
15 |
Выплаты дивидендов |
|
|
|
|
|
|
|
|
|
|
|
|
16 |
Сальдо потока от финансовой деятельности |
32000 |
-3518,4 |
-4691,2 |
-18346 |
0 |
0 |
0 |
0 |
0 |
0 |
0 |
|
17 |
Общее сальдо потока |
0 |
17422 |
15242 |
1000,4 |
18760 |
14760 |
18760 |
18760 |
18760 |
18760 |
26020 |
|
18 |
Сальдо потока нарастающим итогом |
0 |
17422 |
32663 |
33664 |
52424 |
67184 |
85944 |
104704 |
123464 |
142224 |
168244 |
|
19 |
Дисконтированные инвестиции |
-26000 |
|
|
|
|
-1608 |
|
|
|
|
1173 |
Таблица 2 Расчет чистого дисконтированного дохода
|
|
Показатели |
Шаги расчета |
||||||||||
|
|
0 |
1 |
2 |
3 |
4 |
5 |
6 |
7 |
8 |
9 |
10 |
|
|
1 |
Результаты по шагам |
0 |
110000 |
110000 |
110000 |
110000 |
110000 |
110000 |
110000 |
110000 |
110000 |
110000 |
|
Доход от продаж |
0 |
110000 |
110000 |
110000 |
110000 |
110000 |
110000 |
110000 |
110000 |
110000 |
110000 |
|
|
2 |
Затраты по шагам |
32000 |
92578,4 |
94758,2 |
92999,6 |
91240 |
95240 |
91240 |
91240 |
91240 |
91240 |
83980 |
|
Инвестиции в основной капитал |
20000 |
0 |
0 |
0 |
0 |
4000 |
0 |
0 |
0 |
0 |
-1260 |
|
|
Прирост оборотного капитала |
6000 |
0 |
0 |
0 |
0 |
0 |
0 |
0 |
0 |
0 |
-6000 |
|
|
Переменные издержки |
0 |
51000 |
51000 |
51000 |
51000 |
51000 |
51000 |
51000 |
51000 |
51000 |
51000 |
|
|
Постоянные издержки |
6000 |
29000 |
29000 |
29000 |
29000 |
29000 |
29000 |
29000 |
29000 |
29000 |
29000 |
|
|
Маркетинговые издержки |
0 |
2100 |
1000 |
1000 |
1000 |
1000 |
1000 |
1000 |
1000 |
1000 |
1000 |
|
|
Налоги |
0 |
6960 |
9067 |
9654 |
10240 |
10240 |
10240 |
10240 |
10240 |
10240 |
10240 |
|
|
Выплаты процентов по займам |
0 |
3518,4 |
4691,2 |
2345,6 |
0 |
0 |
0 |
0 |
0 |
0 |
0 |
|
|
3 |
Эффект по шагам |
-32000 |
17421,6 |
15241,8 |
17000,4 |
18760 |
14760 |
18760 |
18760 |
18760 |
18760 |
26020 |
|
4 |
Дисконт (Е=20%) |
-32000 |
14518,00 |
10584,58 |
9838,19 |
9047,07 |
5931,71 |
6282,69 |
5235,57 |
4362,98 |
3635,81 |
4202,38 |
|
5 |
Коэффициент дисконтирования |
1 |
0,833333 |
0,694444 |
0,5787 |
0,48225 |
0,40188 |
0,3349 |
0,27908 |
0,232568 |
0,19381 |
0,16151 |
|
6 |
ЧДД |
-32000 |
-17482,00 |
-6897,42 |
2940,78 |
11987,85 |
17919,56 |
24202,24 |
29437,82 |
33800,79 |
37436,61 |
41638,98 |
График 1 Расчет ВНД

ЛИТЕРАТУРА:
“Экономическая оценка инвестиций” Методическое пособие для студентов экономических специальностей
П.Л. Виленский, В.Н. Лившиц, С.А. Смоляк “Оценка эффективности инвестиционных проектов”
2