Рынок: типы, функции, структура
Центросоюз Российской Федерации
Московский Университет Потребительской Кооперации
Кафедра экономической теории
Курсовая работа по экономической теории
Рынок: типы, функции, структура
Выполнил:
Студент 1-го курса
Ф-та МЭО, группы МЭ-14
Курносов Андрей Сергеевич
Научный руководитель:
Доцент Венцкене Светлана
Александровна
Москва 2001
План:
Введение.
1.Рынок: типы, функции, структура……………………………1
2.Механизм функционирования рынка: спрос, предложение, рыночное равновесие. ………………………………………...13
3.Рынок труда. ………………………………………………...23
Заключение.
Введение:
Рынок — это не только общеэкономическая категория, присущая в той или иной степени всем этапам развития цивилизации, но это одновременно сложное социально-философское понятие. Оно вовсе не ограничивается экономической сферой. Как результат естественноисторического развития человеческого общества рынок включает исторические, национальные, культурные, религиозные, психологические особенности развития народов, вобравших в себя все богатства многовековых традиций совместного устройства культурной и экономической жизни. Это определяет особенности современного рынка и рыночной системы в различных странах. Рынок имел место во всех цивилизациях, но его роль в них значительно различается. Тот факт, что рыночные отношения и сегодня далеки от совершенства, возможно, объясняется тем, что в природе совершенство вообще недостижимо.
Цель данной курсовой работы заключается в том, чтобы рассмотреть рыночные отношения, в целом, с точки зрения современных понятий рыночной экономики, опираясь при этом на основные догматы экономической теории и опыт прошлого, учитывая мнения различных учёных в данной области науки и делая свой личный обобщённый вывод из существующих на сей день знаний в области рыночной экономики. Одним словом, основываясь на знаниях провести анализ полученной информации, рассмотреть частные случаи и, возможно, предложить своё видение существующих проблем и способ их разрешения.
Первый рассмотренный вопрос посвящён типам, функциям и структуре рынка. Это сделано для того, чтобы представить взаимосвязь между компонентами и другими составляющими рынка и дать структурное представление рыночных отношений.
Во втором вопросе идет речь о механизме функционирования рынка, спросе предложении и рыночном равновесии. Здесь более подробно раскрывается принцип работы оговоренной структуры, её отдельные механизмы. Рассматривается спрос и факторы его определяющие, эластичность спроса, основополагающие принципы рыночного равновесия и т.д.
Третий вопрос заключает в себе рассмотрение рынка труда, безработицы и методы борьбы с ней. Здесь говорится о субъектах рынка труда, и приводятся некоторые статистические данные.
1. РЫНОК: ТИПЫ, ФУНКЦИИ, СТРУКТУРА
ТИПЫ РЫНКА
История развития рынка позволяет выделить следующие типы рынка: неразвитый, свободный, регулируемыми деформированный.
Неразвитый рынок характеризуется тем, что рыночные отношения носят случайный, чаше всего товарный (бартерный) характер. Но уже и здесь рынок играет определенную роль, способствует дифференциации членов общества, усилению мотивации к развитию производства тех или иных товаров.
Свободный (классический) рынок характеризуется следующими чертами:
1) неограниченное число участников рыночных отношений и свободная конкуренция между ними;
2) абсолютно свободный доступ к любой хозяйственной деятельности всех членов общества;
3) абсолютная мобильность факторов производства; неограниченная свобода передвижения капитала;
4) наличие у каждого участника абсолютно полной информации о рынке (о норме прибыли, спросе, предложении и т.д.). Осуществление принципа рационального поведения рыночных субъектов (оптимизация индивидуального благосостояния в результате прироста доходов: продать подороже, купить подешевле) невозможно без информации;
5) абсолютная однородность одноименных товаров (отсутствие торговых марок и т.д.);
6) ни один участок свободной конкуренции не в состоянии оказать непосредственное влияние на решение другого неэкономическими методами;
7) цены устанавливаются стихийно в ходе свободной конкуренции;
8) отсутствие монополии (один производитель), монополии (один покупатель) и государственного регулирования.
Преимущества свободного рынка в том, что он функционирует на основе саморегулирующегося механизма, обращен к человеку, через цены на основе спроса создает ориентиры для капиталовложений в производство. Свободный рынок — это механизм заведомо бездефицитного рынка. Он обеспечивает эффективное распределение в обществе ресурсов; гибкость и высокую адаптивность к изменяющимся условиям; свободу выбора и действий рыночных субъектов; максимальное использование достижений НТР; способность к удовлетворению разнообразных потребностей; повышение качества товаров и услуг. Создается впечатление, что рынок функционирует почти автоматически, хотя на самом деле регулирование здесь осуществляется методом проб и ошибок.
Но свободный рынок имеет и следующие серьезные недостатки:
1) рынок приводит к дифференциации в уровне жизни населения, что не так уж и плохо, ибо обеспечивает высокую мотивацию к труду. Плохо то, что он не обеспечивает социальную «защиту» населения. Социальные последствия свободного рынка таковы: безработица, разорение, бедность отдельных групп населения. С общечеловеческих позиций рыночное распределение несправедливо, так как не обеспечивает минимальный уровень жизни всем. Следовательно, необходимо вмешательство государства для решения социальных проблем.
Распределение на рынке осуществляется на основе полученных доходов. С позиций рыночных отношений любой доход, полученный на основе свободной конкуренции, справедлив. А тот, кто не в состоянии получить этот доход (по состоянию здоровья, старости и т.д.), обречен на нищенское существование.
Рынок не может создать условия реализации права на труд для всех членов общества. Трудоустраиваются только те, на чью рабочую силу имеется спрос. Свободный рынок не гарантирует полную занятость населения, а также стабильный уровень цен;
2) механизм свободной конкуренции не обеспечивает экономику нужным количеством денег для развития-производства. Имеет место нехватка денег. Проблему эмиссии денег берет на себя государство в лице, госбанка;
3) деятельность свободных конкурентов часто приводит к нежелательным эффектам, таким, как загрязнение окружающей среды, продуктов питания пестицидами и другими вредными веществами, развитие наркомании, алкоголизма и т.д. Свободный рынок, таким образом, зачастую игнорирует потенциально негативные последствия принимаемых решений, а также не способствует сохранению не воспроизводимых ресурсов;
4) свободный рынок не создает стимулов для производства товаров и услуг коллективного пользования, не в состоянии обеспечить общество услугами, в которых нуждается любой человек и от которых никто не получает прибыли (оборона, государственное управление, охрана природы и др.);
5) рынок не обеспечивает действенную мотивацию для фундаментальных исследований. Он реализует уже имеющиеся научно-технические достижения, но не выделяет средства для фундаментальных исследований в науке и технике, а они крайне необходимы для развития общества в отдаленной перспективе;
6) экономика, функционирующая на основе свободного рынка, подвержена нестабильному развитию с соответствующими рецессионными (спад или замедление темпов роста производства) и инфляционными процессами;
7) рынок не распространяется на те виды деятельности, которые не могут быть подчинены исключительно коммерческим критериям (здравоохранение, образование, наука, культура, единая транспортная система, убыточные производства), но необходимы обществу.
Свободный рынок — это абстракция: в настоящее время, да и в прошлом (в различной мере) имело и имеет место регулирование рынка, ибо условиям свободного рынка не отвечает никакая государственность.
Сегодня у нас многие считают, что переход к рыночной экономике означает формирование свободного рынка, ибо только свободный рынок обеспечит полное раскрепощение инициативы и деловой активности людей, улучшение их жизни.
В действительности полной свободы нет и быть не может. Еще И.И. Бухарин отмечал, что хозяйствующий субъект в своих мотивах и действиях зависит от общественной среды, а Г.В. Плеханов подчеркивал, что свобода хозяйственной деятельности существует не сама по себе, а является следствием познания экономических законов и заключается в умении подчиняться им и наивыгоднейшим образом комбинировать свою деятельность в соответствии с объективными взаимосвязями. Дж. Гэлбрейт утверждает, что сегодня не может быть свободного рынка времен Адама Смита, и кто призывает к этому — человек с психическим заболеванием клинического характера.
Итак, не может быть полной экономической свободы, но должна быть достаточная экономическая свобода, которая способствует быстрому развитию экономики и которая обеспечивается развитием нормального, цивилизованного, регулируемого рынка.
Регулируемый рынок — это результат цивилизации и гуманизации общества, когда государство стремится как-то смягчить удары рынка по интересам отдельных членов общества, но не настолько, чтобы свести на нет мотивацию к творческому, инициативному труду и риску в хозяйственной деятельности. Рынок должен быть регулируемым, чтобы снять или как-то ограничить отрицательные его последствия.
• Еще ИЛ. Кондратьев отмечал, что регулирование в рамках капиталистической системы ограничено государственной собственностью и осуществляется косвенно (Кондратьев Н.Д. Проблемы экономической динамики. М.: Экономика, 1989).
Некоторые авторы до недавнего времени заявляли о недопустимости термина «регулируемый рынок» (называли его «горячим льдом», «квадратным колесом», т.е. абсурдом) на том основании, что рынок есть саморегулирующаяся система.
Дело, однако, в том, что рынок может регулироваться:
• с помощью своего собственного рыночного механизма, элементами которого являются конкуренция, прибыль, цена, спрос, предложение и др.;
• государством прямо и косвенно через госзаказы, налоги и т.д.
Для нас же сегодня крайне важно, как отмечал В. Леонтьев, найти оптимальное сочетание рыночного и государственного регулирования. Пока нет ни одного государства, которое бы идеально отвечало этому требованию.
Взаимодействие этих двух сторон регулирования рынка носит мониторинговый (т.е. напоминающий) характер, свидетельствующий об усилении либо собственного рыночного механизма, либо государственного регулирования.
Государство в определенной степени обеспечивает условия функционирования рынка и чрезмерное вмешательство государства в рыночные отношения приводим к их деформации. Наиболее ярким примером деформации рынка может служить рынок в нашей экономике.
Условия функционирования рынка у нас были таковы, что его положительная роль в развития экономики была сведена на нет, отсюда вытекают заявления об отсутствии рынка, что не совсем правильно отражает реальность, ибо акты купли-продажи существовали, что признавали и признают не только отдельные экономисты России, но и Запада (например, В. Ойкен и др.). Личное подсобное хозяйство в разные годы носило разную степень товарности, но без него крестьянин не мог бы существовать. Таким образом, рынок был и есть, но он серьезно деформирован.
Основные черты деформации рынка в условиях административно-командной или директивной системы хозяйства:
1) отсутствие многочисленных рыночных субъектов, организующих свою хозяйственную деятельность на основе разных форм собственности;
2) чрезмерная централизация в распределении товарных ресурсов и их движении, отсутствие самостоятельности в коммерческой деятельности;
3) монополизм производителя и торговца;
4) несбалансированность спроса и предложения, которая с каждым годом возрастает;
5) чрезмерный рост цен, безудержная инфляция, нарушение денежного обращения, бюджетный дефицит, огромная эмиссия денег и т.д.;
6) расцвет теневой экономики, «серого» и «черного» рынков;
7) попытка усиления региональных рынков, разгул центробежных сил;
8) расцвет бартерных сделок вместо более развитых торгово-денежных отношений;
9) деформация экономических интересов субъектов рыночных отношений (например, у торговцев возникает интерес не продать, а припрятать товар), отсутствие мотивации к эффективному труду, риску в хозяйственной деятельности;
10) отсутствие у потребителя права выбора товара.
Чтобы устранить деформацию рынка, ликвидировать болезни рыночной экономики (безработицу, инфляцию, нестабильность), необходимо создать условия для перехода к рыночному хозяйству в России и последующего его развития. Такими условиями являются:
• наличие в экономике разнообразных форм собственности (полиморфизм собственности) и многообразных форм хозяйствования, а также свободной конкуренции между ними, свобода участия, всех хозяйственников в конкуренции и выхода из неё, достаточное количество производителей, должно быть не менее 15—20 изготовителей однотипной продукции (если производителей 4—5— это олигополия, если 1—2 — монополия, что может сдерживать развитие рынка);
• обеспечение свободы хозяйственной деятельности, выбора партнеров по хозяйственным связям, самостоятельность, независимость и ответственность за хозяйственные решения рыночных субъектов, их способность самостоятельно заключать контракты, договоры, размешать и принимать заказы; способность свободно распоряжаться частью своих доходов; отсутствие жесткого административного товарного распределения (по карточкам, талонам, фондирования и др.), т.е. свободная купля-продажа;
• формирование механизма свободного ценообразования, право рыночных субъектов самим устанавливать цены. Это не жесткое условие, ибо классический рынок как бы задает извне «невидимой рукой» цену покупателям и продавцам. Наличие союзов производителей и потребителей как своеобразная реакция на цены, которая не устраняет рынок;
• свободное маневрирование ресурсами, их наличие, обеспечивающее мобильность в использовании факторов (материальных, трудовых, финансовых) производства для его развития; возможность изменить условия производства, его технологию, свободное перемещение любых капиталов в любую сферу приложения; недогрузка мощностей - это обязательное условие для функционирования здоровой рыночной экономики;
• полнота и доступ к информации о состоянии рынка всех хозяйственников;
• наличие рыночной инфраструктуры, т.е. комплекса отраслей, систем, служб, предприятий, обслуживающих рынок;
• сохранение наряду с распространением рыночных отношений значительного нерыночного сектора экономики;
• последовательная интеграция национальной экономики в систему мирохозяйственных связей;
• обеспечение со стороны государства социальных гарантий гражданам, предоставление всем равных возможностей в «зарабатывании средств» и поддержка нетрудоспособных и социально уязвимых членов общества.
ФУНКЦИИ РЫНКА
Сущность рынка находит свое выражение в его экономических и социальные функциях. Мировой и национальный опыт показывает, что рынок оказывает громадное влияние на все стороны жизни общества. Можно выделить следующие основные экономические функции рынка.
1. Информационная функция. Ее суть состоит в том, что через систему целого ряда показателей (цены, проценты, количество, качество и ассортимент товаров и услуг и т. п.) рынок, как гигантский компьютер, собирает, перерабатывает и выдает обобщенную информацию в рамках той экономической территории, которую он охватывает, информирует общество о состоянии экономики.
2. Посредническая функция. Рынок соединяет в единую систему экономически обособленных, товаропроизводителей и потребителей. В результате продавцы и покупатели находят друг друга, у каждого из них появляется возможность выбрать и подходящего покупателя, и нужного продавца.
3. Регулирующая функция. Рынок дает ответы на вопросы:
что производить? как производить? для кого производить? На основе межотраслевой и межрегиональной конкуренции идёт бесконечный перелив капиталов и ресурсов, что в конечном счёте формирует такую структуру экономики, которая отвечает требованиям рынка, требованиям потребителей.
4. Ценообразующая функция. Известно, что у каждого товаропроизводителя складываются свои индивидуальные затраты и, следовательно, индивидуальные стоимости и цены. Между тем рынок признаёт лишь общественно необходимые затраты и соответственно общественные, рыночные цены, которые одновременно отражают и потребности покупателя, и уровень предложения товарной массы.
5. Функция экономичности потребления, сокращение издержек обращения в сфере потребления (затрат покупателей на приобретение товаров) и соразмерности спроса населения с заработной платой.
6. Стимулирующая функция. Ориентир рыночных цен на общественный уровень затрат, на учет спроса потребителей побуждает каждого товаропроизводителя экономить свои индивидуальные затраты и представлять рынку те товары, которые нужны покупателю. В свою очередь рынок побуждает и Покупателя заботиться об экономичности потребления, об экономии затрат на приобретение товаров, побуждает соизмерять уровень спроса с уровнем доходов.
7. Эквивалентная функция. Рынок сопоставляет индивидуальные затраты труда отдельного производителя с общественным «эталоном», соизмеряя затраты и результаты, а также выявляя ценность товара.
8. Созидательно-разрушительная функция. Рынок обеспечивает динамичное изменение всех хозяйственных пропорций между отраслями и регионами. Он как бы взрывает старую структуру хозяйства и на каждом новом этапе развития формирует новую структуру. Разумеется, этот процесс тяжелый, мучительный, болезненный, но он - реальность. Яркий и наглядный пример тому - структурная перестройка хозяйства в современной России.
9. Санирующая, оздоровительная функция. В этом смысле рынок напоминает санитара, который убирает из хозяйства все устаревшее, больное, очищает общественное производство от устаревших отраслей, экономически нежизнеспособных хозяйствующих субъектов и даст дорогу отраслям экономичным, хозяйствам высокоэффективным. Совершенно очевидно, что и этот процесс является болезненным, мучительным, ибо он ускоряет гибель слабых хозяйств.
10. Дифференцирующая функция. Рынок расслаивает, дифференцирует товаропроизводителей, т. с. обогащает одних и разоряет других. Общеизвестно, что средний цикл жизни малого бизнеса не превышает шести лет, что, как правило, из каждых трех начинающих предпринимателей двое разоряются в сравнительно короткий период (1,5 - 2 года).
Вопрос о функциях рынка позволяет вплотную рассмотреть еще один аспект проблемы – преимущества и недостатки рыночного механизма.
Выше при анализе функций было выяснено, что рыночный механизм хозяйствования имеет целый ряд очевидных преимуществ, достоинств и оказывает на экономическую жизнь общества положительное влияние. Можно отметить следующие проявления положительного влияния рынка:
• стимулирует рост производства, ускоряет темпы его развития;
• повышает эффективность производства, побуждает экономить труд и ресурсы;
• формирует структуру хозяйства, отвечающую потребностям и запросам потребителя;
• в определенной мере рынок создает саморегулирующуюся систему хозяйства, где каждый занимает свою нишу;
• многовековой опыт использования рынка свидетельствует о его естественной природе, которая отвечает нуждам общества;
• рынок обогащает определённую часть, населения, Однако рынок не следует идеализировать, поскольку ему присущи недостатки. Можно указать наследующие проявления отрицательного, влияния рыночного механизма на экономическую и социальную жизнь общества:
• как саморегулирующаяся система рынок не является идеальной системой. Частичное и в особенности общее макроэкономическое равновесие в данной системе реализуется через постоянное нарушение этого равновесия. Иными словами, рыночная система недостаточно стабильна. Типичной формой ее нестабильности является циклический характер развития экономики;
• одной из форм нарушения равновесия и одновременно формой нестабильности экономики является инфляция, рост цен. Последствия этой формы макроэкономической нестабильности экономически разрушительны и социально опасны;
• рыночная система не обеспечивает полного использования ресурсов. Ей свойственны неполная занятость вещественных и трудовых ресурсов. Безработица - неизбежный спутник рынка, ее последствия социально-драматичны;
• рынок сам порождает факторы, которые нарушают свободу предпринимателя; Такими факторами являются различные формы Монополизма, которые деформируют правила игры на свободном, классическом рынке;
• рынок не учитывает так называемых отрицательных внешних эффектов (например, загрязнение окружающей среды). Товаропроизводители, нарушая экологическую среду, не хотят дести затраты по восстановлению сил природы, по восстановлению экологического равновесия
• рынок не в полной мере учитывает влияние положительных внешних эффектов (услуги образования, науки, здравоохранения и т. п.). Он учитывает только индивидуальный коммерческий аспект этих эффектов, но не придает значения социального воздействия этих факторов, он как бы недооценивает полную полезность этих благ и услуг;
• рынок безразличен к производству так называемых общественных благ и услуг (национальная оборона, охрана общественного порядка, воспитание детей и т. п.);
• рынок не только обогащает, но и неизбежно разоряет часть предприятий и часть домашних хозяйств;
• рынок не способен решить целый ряд социальных проблем: содержание пенсионеров, больных, инвалидов, сирот и т. п.;
• рынку чужды нравственные идеалы добра, справедливости, патриотизма и т. д. Разные народы сложили немало пословиц и поговорок по этому поводу «рынку нет дела до человека без кошелька»; «рынок - это специально отведенное место, где люди могут обманывать друг друга», «хотя честный человек может преуспеть в делах, щепетильность будет для него помехой, и тогда недостаток моральной гибкости ему придется восполнить умением».
Все вышеизложенное позволяет сделать вывод о том, что рыночный механизм нуждается в регулировании, в корректировке. Такой механизм имеет смешанная экономика.
СТРУКТУРА РЫНКА
Характеристику рынка как совокупности актов купли-продажи можно раскрыть через его структуру, систему и инфраструктуру. Становление и налаживание эффективно функционирующей системы инфраструктуры рынка является важнейшим компонентом процесса перехода экономики России на рыночные условия хозяйствования.
Структура рынка — это внутреннее строение, расположение, порядок отдельных элементов рынка, их удельный вес в общем объеме рынка.
Признаками любой структуры являются:
а) тесная связь между ее элементами
б) определенная устойчивость этих связей;
в) целостность, совокупность данных элементов.
Совокупность всех рынков, расчлененных на отдельные элементы на основе самых разнообразных критериев, образует систему рынков.
Можно выделить следующие критерии для характеристики структуры и системы рынка:
Первый — по объектам:
• рынок товаров и услуг (потребительский рынок);
• рынок факторов производства;
• финансовый рынок;
• рынок научно-технических разработок, патентов;
• рынок информации;
• рынок средств обращения;
• рынок отдельных товаров или товарных групп (мяса, одежды, обуви);
• рынок лицензий и др.
Рынок товаров и услуг (потребительский рынок). Исторически первоначально возник именно он. Описывая товарное хозяйство и рыночную систему, мы тем самым описывали историю и механизм функционирования рынка товаров и услуг. Мы можем лишь дополнительно указать на организацию самого этого рынка и конкретные, его формы. Это товарные биржи, множество других форм оптовой и розничной торговли, маркетинга и маркетинговых организаций и т. д. Исторически, развиваясь и совершенствуясь по мере созревания, объективных экономических условий, от рынка товаров и услуг отделялись рынки факторов производства. Это делало рынки целесообразнее и рациональнее, более специализированными, следовательно, более совершенными.
Рынок жилья до недавнего времени в нашей стране существовал в виде купли-продажи частных домов, дач и других владений подобного рода, а также кооперативных квартир, которые могли быть проданы и куплены. В связи с приватизацией государственного жилого сектора можно ожидать формирования полноценного, а не ограниченного узкой зоной обмена или теневой продажи «по договоренности» рынка жилья, охватывающего все виды жилой площади. Это покончит с вопиющей социальной несправедливостью, когда (зачастую обеспеченные) люди получают жилье бесплатно, а другие покупают за полную стоимость.
Рынок факторов производства. Объектами купли-продажи на этом рынке являются земля, рабочая ста в средства производства (капитал). Соответственно, можно различать и сегменты этого рынка — рынок земли, рынок труда, рывок капиталов.
На рынке земли огромную роль играет географический фактор и ограниченность самих земель, как никакого другого ресурса. В силу этого в каждой стране в зависимости от ее нахождения на планете, территории и других факторов рынок земли носит сугубо специфический характер. Он глубоко национален, исторически традиционен. Более подробно с этим видом рынка мы познакомимся в гл. XVII "Распределение доходов". Дело в том, что под землей понимается не только земля как таковая, но и те дополнительные — очень существенные — товары и услуги, которые она дает урожай, сырье, материалы, полезные ископаемые и т. д.
Рынок рабочей силы организуется в форме биржи труда, где непосредственно формируется сложная инфраструктура, позволяющая сводить вместе работодателей и наемных рабочих, продающих свою рабочую силу.
Биржа труда представляет собой целый научно-исследовательский комплекс, занимающийся регистрацией безработных и свободных рабочих мест на предприятиях. Имея полную информацию по этим аспектам, 6иржа направляет на предприятия соответствующую им по профилю и квалификации рабочую силу, занимается её переподготовкой переквалификацией. Бирка держит тесную связь с профсоюзами и предпринимателями и получает от них мощную поддержку. Хотя биржа труда в какой-то степени и ограничивает свободу товаропроизводителей нанимать рабочую силу по своему усмотрению, но она же и освобождает их от огромных издержек на содержание большого аппарата по найму, подготовке и переподготовке рабочей силы. Уже поэтому предприниматели материально поддерживают биржу труда, до 90 процентов рабочей силы нанимается исключительно по ее направлениям. С другой стороны, биржа труда опирается на мощную поддержку государства, так как, во-первых, она не может быть прибыльной организацией, во-вторых, она и не ставит себе такую цель, выполняя работу огромной социальной значимости. Именно биржа труда определяет статус безработного, выдаст пособия и занимается другими формами социального вспомоществования.
На рынке капиталов занимаются организацией купли-продажи средств производства, зданий, сооружений, станков, оборудования. Он отличается двумя особенностями.
Первая заключается в том, что спрос на капитальные средства покупатели всегда ввязывают с той прибылью, которую им могли бы принести ценные бумаги. Покупатель всегда решает вопрос, что ему выгоднее: вложить деньги в средства производства и получить определенную норму предпринимательской прибыли или купить ценные бумаги и получать потом доход в форме определенного процента. Следовательно, движение процента (финансовый рынок) и спрос на средства производства достаточно тесно связаны. Если норма ссудного процента падает, то спрос на средства производства растет, растет соответственно и цена на них. Взаимосвязь этих двух видов рынка проявляется и в том, что спрос на средства производства и их цена определяют размеры инвестиций в производство, но сами инвестиции непосредственно извлекаются из рынка финансов, где формируется норма (ставка) процента. В силу этой особенности рынок средств производства отличается среди всех остальных его видов наибольшей нестабильностью и непредсказуемостью.
Другой особенностью рынка средств производства является его высокая неоднородность и исключительное разнообразие товаров. На рынке товаров и услуг разнообразие еще больше, но здесь каждый товар или группа товаров имеет свой рынок, что отсекает его от остальной массы, позволяя учитывать все его специфические особенности. Рынок же средств производства такими возможностями не располагает.
Важной частью рывка средств производства является рынок подержанного оборудования. Сам по себе этот рынок ничем примечательным не отличается от рынка средств производства, но функционально он чрезвычайно важен, так как именно в этом секторе определяется степень износа оборудования, а следовательно, норма амортизации. Последняя же в свою очередь определяет сроки обновления средств производства и, таким образом, имеет прямое отношение к регулированию всего рынка средств производства.
Рынок инвестиций представляет собой одну из разновидностей денежного рынка, в котором объектом рыночных отношений являются капиталовложения.
Финансовый рынок — это, рынок, где покупаются и продаются финансовые средства: деньги, облигации, акции, векселя в другие ценные бумаги. На этом рынке формируются ссудный процент, курс валют и ценных бумаг. Хотя мы и; рассматриваем финансовый рынок третьим по счету, в настоящее время он является важнейшим после рынков товаров, более того, в современной рыночной инфраструктуре становится определяющей формой рынка. Дело в том, что не существует вида хозяйственной деятельности, который бы не взвешивался на финансовых весах, не был бы опосредован финансами и не проходил бы через финансовый рынок. В то же время он является наиболее чутким барометром рыночного благополучия. Реагирует на любые изменения в производстве товаров и услуг, включая и изменения на рынке средств производства.
Главным орудием финансового рынка является ссудный процент, превратившийся в универсальный критерий эффективности, вложения капитала в какую бы то ни было отрасль производства. Суть ссудного процента с этой точки зрения заключается в том, что он указывает минимальный уровень отдачи, эффективности капитальных вложений. Он как бы является пробным камнем или точкой определения прибыльности бизнеса. Если ожидаемая прибыль от капитальных вложений будет ниже ссудного процента, то предпочтительней деньги вложить в банк — вот о чем говорит ссудный процент.
С другой стороны, финансовый рынок является и самым совершенным рынком. Прежде всего потому, что обеспечивает практически единую ставку ссудного процента не только в каждой отдельной стране, но и на международном уровне. Кроме того, он отличается многочисленностью субъектов, действующих на нём. По существу, это — все субъекты экономических отношений. В то же время объекты купли-продажи здесь характеризуются однородностью товаров: деньги, акции, облигации и тому подобное, что облегчает функционирование самого рынка, увеличивает его предсказуемость. На финансовом рынке существуют развитая информационная структура и сеть, банков, широкий рынок заемных средств, в тем самым обеспечивается главное: условие существования конкурентного рынка в целом — свободный "вход" в него и свободный "выход" из него. Очевидно, что финансовый рынок является ключевым элементом в рыночной системе. Без развитого финансового рынка рыночная система вообще не может считаться полноценной. В этом нетрудно убедиться, проанализировав состояние, российского финансового рынка и в целом рыночной системы России. Они практически находятся в зачаточном состоянии, особенно финансовый рынок. Даже нет единой банковской системы на твёрдой законодательной основе, естественно, нет и единого ссудного процента в масштабах страны. Тем не менее, финансовый рынок, даже в этом состоянии, является орудием совершенствования рыночной системы, своеобразным двигателем экономики страны к этой системе.
Рынок инноваций, т.е. нововведений, изобретений, рационализаторских предложений, практически также отсутствовал в нашей экономике. Переход к рыночной экономике дает основание рассматривать инновации как товар, который целесообразно продавать по рыночным ценам, что, несомненно, должно привести к ускорению научно-технического прогресса.
Рынок информационных продуктов — это особый рынок, предметом купли-продажи здесь являются книги, газеты, картины, различного вида реклама и великое множество других предметов и видов деятельности, несущих людям необходимую информацию. Такой рынок у нас существует. Но если понимать информационный продукт в широком смысле слова, включая в него и интеллектуальный, т.е. научный, культурный, духовный, образовательный продукт, то рынок подобной продукции только формируется. Определенное распространение получают в качестве объекта купли-продажи программы для ЭВМ.
Рынок лицензий — это часть рынка инноваций. Объектом купли и продажи здесь служат патентные и беспатентные лицензии на передачу изобретений, технологического опыта, промышленных секретов и коммерческих знаний, использование товарных знаков и т.д. Это торговля технологией. В современных условиях наибольшее распространение в международной практике получили лицензионные соглашения, предусматривающие комплексный технологический обмен с предоставлением ноу-хау (информации, представляющей технические знания и практический опыт, имеющей коммерческую ценность и не обеспеченную патентной зашитой: спецификаций, формул, рецептур, документации, схем организации производства, характеристик технологического процесса и пр.) и инжиниринговых услуг по промышленной реализации передаваемой технологии.
Второй критерий — по субъектам:
• рынок покупателей;
• рынок продавцов;
• рынок государственных учреждений,
• рынок промежуточных продавцов — посредников.
На рынке покупателей предложение должно превышать спрос, тогда покупатель сравнивает между собой разные сорта товаров, их цены и оказывает предпочтение тому или иному товару. Здесь есть конкуренция производителей и торговцев, что характерно для современных развитых национальных и международных рынков.
Рынок продавца характеризует значительное превышение спроса над предложением. Здесь главную роль играет количество товаров и услуг, качеству уделяется минимальное внимание. Ни о предпродажном, ни о послепродажном сервисе не упоминается, все продается сразу, как бы «с колес», так как конкуренция между производителями отсутствует, товарный ассортимент беден. Торговля работает по принципу: «Бери, что дают!» Таков был наш рынок.
Рынок государственных учреждений включает совокупность актов купли-продажи государственных организаций, федерального правительства, штатов, местных органов власти, закупающих или арендующих товары, необходимые им для выполнения своих основных функций по отправлению власти.
Рынок промежуточных продавцов выражает совокупность экономических отношений лиц и организаций, приобретающих товары для перепродажи или сдачи их в аренду другим потребителям с выгодой для себя.
Третий критерий — по географическому положению:
• местный (локальный) рынок;
• региональный рынок;
• национальный рынок;
• мировой рынок.
Мировой рынок — это не только совокупность национальных рынков различных государств, экономические связи между которыми определены международной торговлей (в том числе торговля лицензиями, услугами, международное перемещение капиталов и т.д.), но и их качественно новый уровень. Это можно отразить в виде схемы. (Рис. 1).
Мировой
ры
нок
Внутренний рынок
Совокупность внутренних рынков
Рис. 1
Четвертый критерий — по уровню насыщения:
• равновесный рынок;
• дефицитный рынок;
• избыточный рынок.
Пятый критерий — по степени зрелости:
• неразвитый рынок;
• развитый рынок;
• формирующийся рынок.
Шестой критерий — по степени ограниченности конкуренции:
• свободный рынок;
• монополистический рынок;
• олигополистический рынок;
• смешанный рынок.
Седьмой критерий — по соответствию действующему законодательству:
• легальный рынок;
• нелегальный («черный» и «серый») рынок.
Восьмой критерий — по отраслям:
• автомобильный рынок;
• компьютерный рынок и т.д.
Девятый критерий — по характеру продаж:
• оптовый рынок;
• розничный рынок.
Десятый критерий — с учетом ассортимента товаров:
• замкнутый рынок, на котором представлены товары только первого производителя;
• насыщенный рынок, на котором множество сходных товаров многих производителей;
• рынок широкого ассортимента, на котором есть ряд видов товара, связанных между собой и направленных на удовлетворение одной или нескольких связанных между собой потребностей;
• смешанный рынок, на котором имеются разнообразные товары, не связанные между собой.
В зарубежных странах выделяют также аукционы, долгосрочные контракты, телефонно-телексный рынок, разовые сделки, биржевую торговлю.
Тендеры (торги) — это распространенная форма торговли, при которой покупатель объявляет конкурс для продавцов на товар с определенными технико-экономическими характеристиками с помощью тендерных комитетов, в которые входят технические и коммерческие эксперты, представители администрации, покупатели, принявшие решение о размещении заказов через торги, и другие участники.

Рис. 2. Рыночная инфраструктура
2. МЕХАНИЗМ ФУНКЦИОНИРОВАНИЯ РЫНКА: СПРОС, ПРЕДЛОЖЕНИЕ, РЫНОЧНОЕ РАВНОВЕСИЕ
Рыночный механизм — это механизм взаимосвязи и взаимодействия основных элементов рынка:
предложения, спроса и цены. Рассмотрим более подробно каждый элемент рыночного механизма.
СПРОС И ФАКТОРЫ ЕГО ОПРЕДЕЛЯЮЩИЕ
Цены на товары и услуги складываются на рынке, где действуют спрос и предложение. В аспекте этих соображений рассмотрим последовательно проблемы, относящиеся к спросу и предложению.
Спросом называется количество товаров и услуг, имеющееся на данном рынке, которое покупатель готов приобретать по определенной цене независимо от того, действует он рационально или под влиянием среды.
Спрос на какой-либо продукт представляет собой спрос в отношении какой-то отрасли экономики. Практика показывает наличие значительного разнообразия продукции, предназначенной для удовлетворения запросов потребителей. Все виды продукции обладают различной степенью взаимозаменяемости.
Комбинированная продукция отрасли может рассматриваться как товар или благо. Однако общим критерием принадлежности какого-либо продукта к той или иной отрасли могут служить определенные признаки (форма, качество, степень рекламирования и т.д.). Высокая заменяемость предполагает, что товары удовлетворяют одну и ту же потребность, но изменение цены на взаимозаменяемые товары может повлечь за собой изменение спроса от одного продукта к другому. Следовательно, механизм рынка позволяет удовлетворять только те потребности, спрос на которые растет.
Индивидуальный и совокупный рыночный спрос на товар
Рассмотрим ситуацию, складывающуюся на рынке какого-нибудь товара А. Предположим, что при цене 30 $ за одну условную единицу покупатель готов купить лишь 1 единицу блага А, при цене 15 $ — 3 единицы и т.д. Зависимость количества проданных благ от уровня цен может быть представлена графиком (Рис. 3.1).
Анализируя полученный график, легко заметить, что между рыночной ценой и количеством реализованного товара существует определенная обратная связь. Высокая цена товара ограничивает спрос на него, уменьшение же цены, как правило, обусловливает возрастание спроса на него. Изображенная кривая спроса характеризует состояние цен и объема продукции А на определенный момент времени. Данная кривая иллюстрирует закон изменения спроса. Она имеет отрицательный наклон, что свидетельствует о желании потребителей купить большее количество благ при меньшей цене. В общем виде Q>D>=F(P), где Q>D> — величина спроса (demand), Р — цена (price). Однако спрос — величина переменная. При этом следует различать изменение величины спроса, или объема опросов, и изменение характера спроса. Величина спроса меняется тогда, когда переменна только цена данного товара. Характер же спроса меняется тогда, когда изменяются факторы, имевшие ранее постоянные величины. Графически изменения объема спроса выражаются в "движении" по кривой спроса вниз или вверх (Рис. 3.1). Изменение же спроса выражается в "движении" кривой спроса, в ее смещении вправо или влево (Рис. 3.2). Представленная функция носит название функции спроса — функции, определяющей спрос в зависимости от влияющих на него различных факторов.
Выше мы определили влияние ценового фактора. Однако на спрос оказывают влияние и иные факторы:
=> величина и динамика изменения дохода потребителя;
=> изменение вкусов и предпочтений;
=> размер рынка;
=> ценовые и дефицитные ожидания;
=> наличие товаров - субститутов и др.

Рис. 3.1 Кривая спроса
Спрос является функцией всех этих факторов: Q>D>=F(f>1>,f>2>,...,f>n>).

Рис. 3.2 Движение кривой спроса
Эти факторы способствуют сдвигу кривой индивидуального спроса вправо или влево. Так, изменение денежных доходов потребителей предполагает сдвиг кривой в положение D’ (в случае их увеличения) и в положение D” (в случае их снижения).
Эластичность спроса
Понятие эластичности связано со спросом на товары в зависимости от их стоимости. Мерой такого измерения служит коэффициент эластичности спроса. А. Маршалл, развивавший эту тему, писал в своих "Принципах экономической науки", что "эластичность (responsiveness) может быть большей или меньшей в зависимости от того, сильнее или слабее возрастает приобретаемое количество товаров при данном снижении цен, и в большей или меньшей степени падает при данном повышении цен".
Эластичность спроса определяется как отношение между процентной величиной изменений запрашиваемого количества товара и величиной колебаний цен.

где ED>P> — эластичность спроса по цене; ΔQ — изменение объема спроса, %; ΔР— изменение цены, %.
Форма кривой спроса может быть различной в зависимости от характера потребности в данном товаре. Существуют товары низкой эластичности, спрос на которые стабилен, и товары высокой эластичности, спрос на которые резко меняется при изменении цены.
Если, например, повышению цены на 1 % соответствует снижение спроса более чем на 1 %, то говорят, что спрос эластичен (коэффициент эластичности больше 1); если повышению цены на 1 % соответствует понижение спроса на 1 %, то спрос нейтрален (коэффициент эластичности равен 1); если повышение цены на 1 % влечет за собой понижение спроса менее чем на 1 %, то спрос неэластичен (коэффициент эластичности находится в интервале от 0 до 1).
Существуют различные варианты проявления эластичности (рис. 3.3).
Знак эластичности будет отрицательным, т.к. цена и объем продукции изменяются в противоположных направлениях.
Спрос на любой товар зависит не только от его цены, но и от уровня цен на другие товары. Для учета влияния сопутствующих и заменяющих товаров используют перекрестные коэффициенты эластичности, показывающие, на сколько процентов изменяется спрос на другой товар при условии, что остальные цены и доходы потребителей остаются прежними.
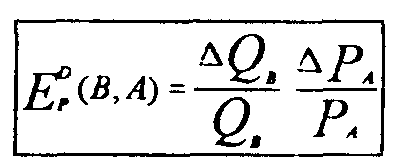
Перекрестная эластичность выражается в двух товарах — А и В.

где ΔQ>B> — изменение объема спроса на благо В; Q>B>> >— объем спроса блага В; ΔP>A>— изменение иены блага А; Р>A> — цена блага А.
Перекрестная эластичность спроса показывает тенденцию покупателей к перемещению своего спроса от одного товара к другому в том случае,
если цена на первый из них сильно меняется. Если ED>P>>0, то блага взаимозаменяемые, если ED>P><0 — взаимодополняемые.
Ценовая неэластичность товара означает, что изменение цен не вызывает значительных изменений в объеме продаж. Эффект изменения цен на неэластичном рынке проявляется в двух формах: при снижении цены теряется часть прибыли; при увеличении цены резко вырастает объем продаж и прибыли.
Ценовая эластичность товара означает, что небольшие изменения цены вызывают значительные изменения продаж. Объем прибыли может увеличиваться при уменьшении цен и уменьшатся при их увеличении. Главная особенность эластичного рынка заключается в наличии высокой ценовой конкуренции, когда незначительные изменения цен вызывают существенные изменения объемов продаж, а следовательно, и валового объема прибыли. Поэтому любые повышения цен, даже очень незначительные, на эластичном рынке требуют проведения большого количества различных исследований для определения количественных характеристик таких соотношений, как "объем продаж - цена", "объем продаж - себестоимость", "емкость рынка - цена", с целью принятия окончательного решения.



E>p>=∞
Полностью -∞<E>p><-1
E>p>=1
эластичный спрос Эластичный спрос Спрос равен единице


-1<E>p><0 E>p>=0
Жесткий спрос Неэластичный спрос
Рис. 3.3 Графики Эластичности спроса
В современной экономической науке используется также показатель эластичности
спроса относительно дохода (income clasticuty of demand).

где ΔQ — изменение объема спроса; Q — объем спроса; ΔI— изменение величины дохода; I— величина дохода.
ПРЕДЛОЖЕНИЕ
Предложение товара — это количество данного товара, которое могут и намерены сбыть производители на рынке по данной цене.
Положение производителей на рынке не является постоянным и одинаковым (масса предлагаемого товара, различные издержки производства, количество затраченного труда и т.д.). Однако, все они стремятся максимизировать свой доход, т.е. получить самую высокую цену.
Как и для спроса, рассмотрим ситуацию, складывающуюся на рынке со стороны предложения. Например, при цене 20 S производитель согласен продать лишь 1 единицу блага, при цене 30 S — 4 единицы, а при цене 50 $ — 7 единиц блага А. Диаграмма может быть графически представлена кривой предложения, направленной вверх слева направо: это типичная кривая предложения (см. рис. 3.4). Совокупное предложение на рынке представляется аналогичной кривей предложения, направленной таким же образом, показывающей отношение между пеной товара и количеством этого товара, которое отрасль плова продать на рынке в целом. В общем виде Qs=F(P), где Qs — величина предложения (supply), Р — цена.
В экономической теории принято откладывать независимую переменную (Р) по вертикальной, а зависимую переменную (Qs) — по горизонтальной оси. Кривая имеет положительный наклон, что свидетельствует о желании производителя продать большее количество благ по более высокой цене. Однако, кроме цены, на предложение оказывают влияние и другие факторы:
=> цены факторов производства;
=> технология;
=> количество производителей-продавцов;
=> ценовые и дефицитные ожидания агентов рыночной экономики;
=> размер налогов и т.д.
Предложение является функцией всех этих факторов — Qs=F(f>1>,f>2>,...,f>n>).
Зависимость предложения от влияющих на него факторов называется функцией предложения.

Рис. 3.4 Кривая предложения
Форма кривой предложения товара обусловлена во многом технологией его производства, доступностью ресурсов, Используемых при изготовлении данного товара. Если мобильность производства и используемых в нем ресурсов высока, то кривая предложения имеет более пологий вид, т.е. незначительное изменение цен означает существенное увеличение предложения товара. Когда же увеличение производства требует больших затрат ресурсов, кривая предложения более крутая.
Кривая предложения строится при соблюдении ряда условий.
=> издержки производства известны, если они уменьшаются, производители согласны предложить то же количество товара, что и раньше, но по пониженным ценам, или больше — по текущим ценам;
=> цены на товары-заменители установлены;
=> предполагается, что изменение цены — единственно возможный путь.
Если перечисленные условия меняются, то кривая предложения перемещается: рост предлагаемого количества товара по различным ценам вызывает ее перемещение вправо и вниз, его сокращение — вызывает перемещение этой кривой влево и вверх.
Если условия постоянны, то изменение цены означает движение вдоль кривой предложения.
Степень реакции предложения на колебания цен измеряется эластичностью предложения, которая представляет собой отношение изменения предложения в процентах к процентной величине колебания цен.

где Es>p> — эластичность предложения по цене; ΔQ — изменение объема предложения, %; ΔР — изменение цены, %.
Поскольку изменение объема предлагаемого товара и цен происходит в одном направлении, эластичность предложения всегда позитивна.


Es =∞ 1<Es<∞ Es=1

Полностью эластичное Относительно элас- Эластичность
предложение тичного предложение равна единице


0<Es<1 Es=0
Относительно неэластич- Жесткое предложение
ное предложение
Рис. 3.5 Графики эластичности предложения
Различают пять вариантов эластичности предложения (см. Рис. 3.5). Для понимания функции предложения важное значение имеет фактор времени. Обычно различают ряд периодов:
кратчайший (все факторы постоянны);
краткосрочный (отдельные факторы переменны);
долгосрочный (все факторы переменны).
Эта периодизация была предложена А. Маршаллом для анализа предложения. Рассматривая категорию спроса и предложения, можно заметить, что спрос более подвижен во времени, чем предложение. Это вызвано тем, что спрос в большинстве случаев сразу сокращается при существенном повышении цен. Напротив, рост цены является лишь первым сигналом для производителей расширить мощности, вовлечь в производство дополнительные ресурсы и на этой основе увеличить предложение товара.
На рынке конкретное соотношение спроса и предложения зависит от размеров запасов товаров, динамики цен на них и денежных доходов населения, организации торговли, рекламы и др. факторов. Оно может приобретать три возможных варианта. Один из них характеризуется превышением предложения товара над спросом покупателей. Такой случай может быть результатом не только излишнего производства товара, но и непомерного вздувания цен на товары невысокого качества, дефицита денег у населения и других обстоятельств.
Второй вариант отличается от первого превышением спроса над предложением товара. В этом случае имеет место неудовлетворенный спрос, товарный дефицит. Рынок реагирует на дефицит прямым или скрытым ростом цен. Выходом из этой ситуации могут быть увеличение производства товаров, пользующихся спросом, повышение цен и уменьшение роста денежных доходов населения.
Третий вариант соотношения спроса и предложения характеризуется соответствием между величиной и структурой спроса на товары, с одной стороны, и величины и структуры их предложения с другой, равновесием спроса и предложения.
РЫНОЧНОЕ РАВНОВЕСИЕ
В условиях рыночной экономики конкурентные силы способствуют синхронизации цен спроса и цен предложения, что приводит к выравниванию объемов спроса и предложения. Эта цена представляет собой величину, которая является обязательной для всех продавцов и покупателей.
Рассмотренные нами, в предыдущих параграфах функции спроса и предложения позволяют сделать вывод, что кривые спроса и предложения зеркально похожи друг на друга (см. Рис. 3.6).
Равновесная цена (Pg) — цена, уравновешивающая функцию спроса и функцию предложения, в результате действия конкурентных сил.
Однако, равновесие может быть нарушено в силу действия определенных факторов. В этих случаях реальная цена будет отличаться от равновесной цены.
Различают устойчивое равновесие и неустойчивое равновесие.
Равновесие называется устойчивым, если отклонение от него сопровождается возвращением к первоначальному состоянию. В противном случае имеет место, неустойчивое равновесие.

Рис. 3.6. График рыночного равновесия
Рассмотрим сначала устойчивое равновесие. Существуют два основных подхода к анализу поведения покупателей и продавцов: гипотезы Вальраса-Хикса и гипотеза А. Маршалла.
Гипотеза Вальраса-Хикса
В

тех случаях, когда преобладает спрос,
покупатели стремятся увеличить
закупки, и цена растет. В этих условиях
рынок стабилизируется, если рост цены
сокращает избыточный спрос. И обратно:
если спрос меньше предложения, то
продавцы стремятся снизить свои цены
и избыток предложения исчезает. Все
зависит от соответствующего наклона
кривых спроса и предложения.
а) б) в)
Рис. 3.7 Перемещение кривой спроса
На графике (рис. 3.7) кривая спроса перемещается от DD’ к положению D>1>D>1>’. При цене P>1> спрос будет избыточным — P>1>M. P>2> станет новой ценой, ведущей к равновесию. Процесс адаптации на рынке вызовет одновременно рост цен и увеличение количества товара. Это положение устойчивого равновесия. Как видно на рисунке, кривая предложения имеет позитивный наклон. Однако у кривой предложения возможны варианты негативного наклона.
На Рис. 6.7,б кривая спроса перемещается из положения DD’ к положению D>1>D>1>’. Количество запрашиваемого товара по старой цене P>1> равно OQ>2>, в то время как предлагаемое количество равно OQ>1>. Избыток спроса составляет Q>1>Q>2>.
Новая цена (равновесная), будет равна Р>2>, что ниже, чем P>1>. Как видно из рисунка, избыток спроса не ликвидируется. Линии, отражающие состояние цен и объемы товара, перемещаются в сторону от этой точки. Возникает положение неустойчивого равновесия.
На Рис 3.7, в кривая спроса перемещается из положения DD’ к положению D>1>D>1>’. В этом случае при пене P>1 >сохраняется избыток спроса Q>1>Q>2>. В соответствие с гипотезой Вальраса-Хикса цена начнет повышаться. Новой точкой пересечения кривых спроса и предложения будет P>2>. Эта цена станет ценой стабильного равновесия.
Гипотеза Амфреда Маршалла
В том случае, когда цена, по которой покупатели готовы заплатить за данное количество товара, выше цены, приемлемой для продавца, производство расширяется, и наоборот. Равновесие будет устойчивым, если увеличение объема выпускаемой продукции сокращает разрыв между теми и другими ценами.
Рассмотрим изменение наклона кривой спроса и кривой предложения.
Перемещение кривой спроса вправо (от DD’ к D>1>D>1>) вызовет увеличение выпуска продукции, если наклон кривой предложения будет позитивным (Рис. 3.7,а). При избыточной цене спроса P>1>N рост производства выразится в перемещении от OQ>1> к OQ>2>. В данном случае на лицо устойчивое равновесие.
Динамичный анализ стабильности учитывает развитие процесса адаптации спроса и предложения на рынке от одного периода к другому. Равновесие будет стабильным в том случае, если с течением времени рыночная цена будет приближаться к цене равновесия (гипотеза Вальраса-Хикса) или количество товара будет приближаться к количеству равновесия (гипотеза А. Маршалла).
Выше были рассмотрены проблемы рыночного равновесия в тех случаях, когда происходят относительные изменения величины спроса и предложения. Рассмотрим ситуацию, с точки зрения временных характеристик. Таким примером является паутинообразная модель (Рис. 3.8).
Теория паутины обращена к ситуациям, когда проходит известный срок между изменением цены и связанными с этим переменами в масштабах производства.
Возможно несколько вариантов:
1. Наклон кривой предложения такой же, как и наклон кривой спроса.

а) б) в)
Рис. 3.8 Графики паутинообразной модели
На Рис. 3.8,а — DD’ показывает цены, по которым реализовывались в течение периода t>1> различные количества товаров. ОО’ показывает количество товара, имевшееся в периоде t>1> и продававшееся по различным ценам в течение периода t>1>. DD’ — кривая, показывающая движение цен. ОО’ — кривая, показывающая изменения в объеме выпускаемой продукции.
В периоде t>1> предлагалось количество товара OQ>1> по сравнительно низкой цене P>1>.
Эта низкая цена стимулирует производство в периоде t>2> сравнительно небольшого количества товара, которому впоследствии соответствует цена Р>2>, более высокая, чем P>1>
Годы Годы Годы

а) Равномерные колебания б) Расширяющиеся коле- в) Затухающие колебания
цен бания цен цен
Рис. 3.9 Графики колебания цен относительно цены равновесия
Цена P>2> побуждает производить больше товаров О>3>, которым соответствует уже более низкая цена Р>3>. Данный процесс повторяется от одного периода к другому. Производство и цены проходят через стадии О>2>Р>2>О>3>Р>3>. Такая ситуация характеризует случай — равновесие никогда не будет достигнуто. Происходят постоянные колебания цен относительно цены равновесия (Рис 3.9, а).
2. Наклон кривой предложения круче кривой спроса.
Рис. 3.8, б показывает, что в этих условиях положение становится все более нестабильным, цена опускается настолько низко, что производство прекращается или не растет.
Происходят расширяющиеся колебания цен: от одного периода к другому цены все более удаляются от цены равновесия (Рис 3.9, б).
3. Наклон кривой предложения меньше наклона кривой спроса.
В этом случае, как показано на Рис. 3.8, в, и объем производства, и цена все более приближаются к уровню равновесия. Происходит сужающееся колебание цен (Рис 3.9, в).
Паутинообразная модель может с достаточной степенью точности применяться лишь к определенной продукции, так как не учитывает ряд важных факторов (например, влияние климатических условий, изменение спроса потребителей и т.д.). Однако, она обладает достоинством, так как показывает зависимость функционирования рынка от времени реакции в сфере предложения и формы кривой предложения и спроса.
3. РЫНОК ТРУДА
Рынок труда - это рынок ресурсов труда как товара, равновесная цена и количество которого определяются взаимодействием спроса и предложения. Это такая экономическая среда или пространство, на котором в результате конкуренции между экономическими агентами (предприниматели и трудоспособное население) через механизм спроса и предложения устанавливается определенный объем занятости и уровень оплаты труда.
Использование рабочей силы осуществлялось за то или иное вознаграждение, плату в натуральной или денежной форме. Совокупность товарно-денежных отношений, охватывающая спрос и предложение рабочей силы, ее найм, (распределение работников по видам деятельности) и обмен на жизненные средства представляет собой рынок рабочей силы. Вознаграждается не потенциальная, а функционирующая рабочая сила; не вся совокупность способностей, а только первичные, профессиональные востребованные способности к труду. Это и есть рынок функционирующей рабочей силы.
Рынка труда определяется разными признаками. Рассмотрим его исходя из критерия минимума числа компонентов, необходимых для возникновения и начала функционирования современного цивилизованного рынка труда в широком смысле.
По указанному критерию можно выделить следующие компоненты:
1) субъекты рынка труда;
2) экономические программы, решения и юридические нормы, принятые субъектами;
3) рыночный механизм (спрос и предложение рабочей силы, цена рабочей силы, конкуренция);
4) безработица и социальные выплаты, связанные с ней;
5) рыночная инфраструктура.
Первый компонент - субъекты рынка труда — это наемные работники (и их объединения - профсоюзы), работодатели (предприниматели) и их союзы, государство и его органы - абсолютное большинство занятых (около 90%).
Рабочие - наибольшая часть наемных работников. Они составляют более 60% численности всех наемных работников. Мужчин в этой группы больше, чем женщин. Второе место по численности занимают специалисты. Среди специалистов большой удельный вес занимают женщины. Более стабильна третья группа — наемные руководители. Среди мужчин доля руководителей выше, чем среди женщин. И незначительной является четвертая группа — другие служащие.
Работодатель — это индивидуум, работающий самостоятельно, и постоянно нанимающий на работу одного и более человек.
Государство как субъект рыночных отношений представлено федеральными, региональными органами власти, отраслевыми органами управления и местным самоуправлением. В качестве субъекта оно выполняет следующие функции:
— социально-экономические, связанные с обеспечением полной занятости путем стимулирования создания рабочих мест во всех секторах экономики;
— законодательные, связанные разработкой основных юридических норм и правил;
— регулирования рынка труда косвенными методами;
— защиты прав всех субъектов рынка труда;
— ролевые (функции работодателя на государственных предприятиях).
Второй компонент — юридические нормы и экономические программы. Для нормального функционирования рынка необходимы законодательные акты, нормы, правила, которые бы регулировали взаимоотношения между субъектами рынка, четко определяли их права, создавали равные возможности для реализации способностей к труду всех участников рыночных отношений, предусматривали социальное страхование на случай потери работы и т.д. Такие нормы предусмотрены в Конституции Российской Федерации, в Законе «О занятости населения Российской Федерации», других законах. Законодательные нормы и экономические программы создают основу для более полного и цивилизованного действия третьего компонента рыночного механизма, т.е. взаимосвязи и взаимодействия спроса и предложения как реакции на информацию рыночной цены труда и конкуренцию.
Четвертый компонент современного рынка труда - безработица и социальные выплаты, связанные с ней. Действие рыночного механизма ведет к высвобождению части работников, к появлению безработицы. Чтобы поддержать высвобождаемый персонал в период отсутствия работы, создать условия для их переподготовки и повторное вовлечение в трудовой процесс, законом о занятости населения предусматриваются выплаты пособий по безработице, компенсаций при увольнении, при переезде к новому месту работы, выплаты стипендий во время учебы и др.
Пятый компонент - рыночная инфраструктура - это совокупность институтов содействия занятости, профориентации, профподготовки и переподготовки кадров; сеть фондов, центров занятости (бирж труда), центров подготовки и переподготовки рабочей силы и т.д.
В конечном счете, взаимодействие всех компонентов нацелено на создание и поддержание баланса интересов всех субъектов рынка труда.
Рынок труда в России окончательно в развитом виде не сформировался, но имеются все его основные компоненты. Поэтому можно утверждать, что рынок труда, хотя и несовершенный в России есть. О нем можно составить определенное представление по масштабам и структуре движения рабочей силы в экономике.

В 2001 г. по данным Госкомстата РФ по указанному признаку безработные распределялись следующим образом (в %).
Безработные — всего 100
в том числе имеют опыт работы 86,5
из них оставили прежнее место работы:
в связи с высвобождением, ликвидацией пред- 34,4
приятия или собственного дела
по собственному желанию 30,4
ранее не имели работы 13,5

В результате действия механизма спроса и предложения рынок труда выполняет следующие функции:
регулирование спроса и предложения труда; обеспечение встречи между продавцами рабочей силы и покупателями (работодателями) для заключения договоров в целях соединения рабочей силы со средствами производства (капиталом);
обеспечение конкуренции между работниками за рабочее место, а между работодателями за наем рабочей силы;
установление равновесной (доминирующей) цены;
содействие полной, но экономически эффективной занятости.
Одной из главных особенностей рынка труда является заработная плата. Заработная плата образует большую часть доходов потребителей и поэтому оказывает существенное влияние на размер спроса на потребительские товары и на их цены.
Современная экономическая теория определяет заработную плату как цену труда.
В узком смысле слова под заработной платой понимается ставка заработной платы, т. е. цена, выплачиваемая за использование единицы труда в течение определенного времени. Различают номинальную и реальную заработную плату.
Под номинальной заработной платой понимается сумма денег, которую получает работник наемного труда за свой дневной, недельный, месячный труд. По величине номинальной заработной платы можно судить об уровне заработка, дохода, но не об уровне потребления и благосостояния человека. Для этого надо знать, какова реальная заработная плата. Реальная заработная плата — эта та масса жизненных благ и услуг, которые можно приобрести за полученные деньги. Она находится в прямой зависимости от номинальной зарплаты и в обратной — от уровня цен на предметы потребления и платные услуги. Спрос на труд находится в обратной зависимости от величины заработной платы.
Если предложение труда превышает спрос на него вследствие установления заработной платы выше равновесного уровня, появляются безработные, готовые предложить свой труд по более низкой цене, на которую вынуждены согласиться и те, кто занят в производстве, чтобы не потерять свои рабочие места. Предприниматели готовы занять большее количество труда, но при условии снижения заработной платы. Таким образом, тенденция к снижению заработной платы складывается как в сфере предложения труда, так и в сфере спроса на труд. В том же случае, когда спрос на труд превышает его предложение из-за снижения заработной платы по сравнению с ее равновесным значением, наблюдается иная картина. Работодатели, чтобы заполнить пустующие рабочие места, готовы повысить заработную плату. Благодаря такому повышению расширяется круг работников, готовых при более высокой заработной плате предложить свой труд. Как в первом, так и во втором случаях равновесие на рынке труда восстанавливается, и этот рынок приходит в состояние полной занятости.
Размер заработной платы зависит от качества труда, квалификации и профессиональной подготовки; например, наиболее высокие заработки у таких специалистов, как врачи, преподаватели, гористы: их труд требует больших затрат на обучение, и заработная плата должна компенсировать эти затраты. Различные виды работ могут быть более или, например, менее привлекательными для человека — значит заработная плата должна стимулировать выполнение менее приятных (грязных, тяжелых), но необходимых для общества работ.
Дифференциация в размерах заработной платы — явление объективное, поскольку расширяется профессиональный состав работников и миграция между группами лиц разных профессий не может быть абсолютно беспрепятственной.
Наличие устойчивой безработицы может свидетельствовать лишь об одном - о том, что на рынке труда присутствуют внеконкурентные факторы, которые способствуют устойчивости отклонения заработной платы вверх от ее равновесного значения, при этом часть трудящихся оказывается в положении безработных.
Внеконкурентные факторы – это: прежде всего, государство, активно регулирующее рынок труда, законодательно лишая заработную плату рыночной гибкости. Государство в различных странах устанавливает минимально гарантированный уровень заработной платы, индексацию доходов; тормозящее влияние на колебание цены труда оказывают в ряде случаев и другие направления социальной политики государства; профсоюзы, содействующие длительному и устойчивому отклонению рынка труда от состояния полной занятости.
Безработица
Безработица является следствием нарастания экономической нестабильности, которая углубляет спад производства. Она связана с ухудшением уровня жизни и самих безработных, и работающих, ибо избыток предложения рабочей силы становится благоприятным фоном для уменьшения цены труда. Создается и реальная угроза социальных конфликтов, что еще больше снижает стимулы деловой активности.
Безработицу можно рассматривать в двух разных аспектах: 1)как благо или 2) как потери для общества.
1) Безработица представляет собой резерв незанятой рабочей силы, который можно задействовать при последующем расширении производства или при структурных перестройках. Наличие безработицы ограничивает агрессию профсоюзов и их требования повышения заработной платы и тем самым усиливает стимулы предпринимательской деятельности. Боязнь потерять работу и влиться в число высвободившихся из сферы производства является самым лучшим организатором дисциплины труда и, кроме того, создает условия для поддержания необходимого качества затрат труда.
2) При безработице недоиспользуется экономический потенциал общества. При продолжительной безработице теряется квалификация высвободившихся работников. Рост безработицы, как показала медицина, подрывает психическое здоровье нации. Рост безработицы служит фактором роста преступности.
Виды безработицы: фрикционная, структурная, институциональная, циклическая, добровольная.
Фрикционная безработица отражает текучесть кадров, связанную с переменой рабочих мест, места жительства. Среди совокупной рабочей силы какая-то часть постоянно находится в движении, перемещаясь на новые рабочие места. В период внедрения новых достижений технического прогресса такое движение рабочей силы становится не только неизбежным, но и более интенсивным.
Структурная безработица по существу является углублением фрикционной безработицы. Когда в стране происходят глобальные структурные перестройки, меняется взаимосвязь между отраслями, естественно, усиливается текучесть рабочей силы, ибо создаются новые пропорции в межотраслевом распределении рабочих мест.
Институциональная безработица возникает, когда сама организация рынка труда недостаточно эффективна. Допустим, неполна информация о вакантных рабочих местах. Уровень безработицы был бы ниже при налаженной работе системы информации. В этом же направлении действуют завышенное пособие по безработице или заниженные налоги на доходы. Возрастает продолжительность безработицы, т.к. гасятся стимулы для энергичных поисков работы.
Циклическую безработицу вызывает спад производства во время промышленного кризиса и депрессии. С переходом к оживлению и подъему безработных обычно становится меньше.
Добровольная безработица. В любом обществе существует прослойка людей, которые по своему психическому складу или по иным причинам не хотят работать. У нас хорошо знают, что усилия по принудительному трудоустройству так называемых бомжей не привели к переориентации этой категории населения.
Таким образом, безработица является характерной чертой рыночной экономики. Полная занятость — нонсенс, не совместимый с идеей развитого рыночного хозяйства. Но безработица должна быть поставлена в определенные рамки, в пределах которых достигается режим эффективного роста и состояние экономической стабильности.
Методы борьбы с безработицей определяет концепция, которой руководствуется правительство конкретной страны.
Современные мальтузианцы предлагают поддерживать стабильность на рынке труда с помощью государственной политики ограничения рождаемости.
А. Пигу и его последователи, считающие, что корень зла — в высокой заработной плате, предлагают:
содействовать снижению заработной платы;
разъяснять профсоюзам, что рост заработной платы, которого они добиваются, оборачивается ростом безработицы;
государству трудоустраивать работников, претендующих на невысокий доход, в частности поощрять развитие социальной сферы.
Из рекомендаций Пигу широко применяется деление ставки заработной платы и рабочего времени между несколькими работниками. Использование частичного рабочего дня сокращает безработицу даже при сохранении неблагоприятной конъюнктуры.
Кейнсианские программы борьбы с безработицей предполагают использование двух блоков мероприятий. Первый блок нацелен на ослабление безработицы в краткосрочном периоде, когда положительные сдвиги в экономике еще не ощущаются. Его содержанием становятся общественные работы, которые должно организовать и оплатить государство за счет своего бюджета. Рекомендуется сосредоточить эти работы в области формирования производственной и социальной инфраструктуры (строительство дорог, больниц и т.д.). Второй блок охватывает систему стратегических мер, способных оживить конъюнктуру рынка, сформировать инвестиции и как следствие — потребительский спрос, что должно увеличить товарную массу и занятость населения. Этот блок включает два рычага: государственный заказ крупным фирмам и уменьшение учетной ставки за счет увеличения государственных расходов (возможно, и при росте дефицитного бюджетного финансирования). Предполагается осуществить государственный заказ крупным фирмам, имеющим большую сеть хозяйственных связей. Такой заказ значительно расширит поле инвестиционной деятельности поставщикам и смежникам. Приводится в действие не одна фирма, получившая государственный заказ, а целая их сеть, что, безусловно, увеличивает спрос на рабочую силу и соответственно рассасывает безработицу.
Индикаторы труда в России в 1992—1999 гг.
|
Показатели |
1992 г. |
1995 г. |
1997 г. |
1999 г. |
|
1. Численность занятых в экономике, млн. чел. |
72,1 |
67,1 |
85,8 |
83,7 |
|
2. Среднемесячная заработная плата, руб. |
6000 |
430 |
599,3 |
975,7 |
|
3. Численность безработных (по методике МОТ), млн. чел. |
3,7 |
5,7 |
7,9 |
9,0 |
Показатели |
2000 г. |
2005 г. |
|
1 . Трудовые ресурсы |
88,2 |
91 |
|
2. Экономически активное население |
75,8 |
78,5 |
|
3. Запятые в экономике |
68,3 |
70,5 |
|
4. Учащиеся |
5,6 |
5,8 |
|
5. Запятые в домашнем хозяйстве, военнослужащие и служители религиозного культа |
7 |
7,2 |
|
6. Незанятые трудовой деятельностью и учебой |
7,5 |
8 |
|
В том числе имеющие статус безработного |
3 |
3,2 |
|
7. Удельный вес незанятых в численности экономически активного населения, % |
9,9 |
10,2 |
|
В том числе имеющие статус безработного |
4 |
4 |
Сегодня Россия переживает спад производства. Объемы производства сокращаются в результате структурных изменений. Казалось бы, спад производства должен сопровождаться ростом зарегистрированной безработицы и адекватным перераспределением рабочей силы по отраслям. Однако ожидаемые процессы не происходят.
Предприятия, находящиеся в кризисных условиях, пытаются лавировать и сохранить свой коллектив. Практикуется система длительных административных отпусков и частичная занятость (работа в течение неполного рабочего времени). Фактически сформировалась скрытая безработица. Масштабы ее возрастают по мере свертывания производства.
Следует иметь в виду, что квалифицированные работники с таких предприятий уходят, что ведет к снижению квалификационного уровня производственных коллективов. В связи с этим курс реформ встает перед проблемой цены, которую общество за них платит. А она говорит о себе сразу же, ибо первые шаги перехода к рынку значительно снизили уровень потребления населения. Продвижение в направлении реформ ставит и другую проблему сопоставления: во что обходится поддержка неэффективных рабочих мест и сколько стоит открытая безработица по сравнению с финансированием содержания безработных, их переобучения и содействия в трудоустройстве.
ЗАКЛЮЧЕНИЕ
Формирование рыночной экономики — сложный, противоречивый процесс. Рыночная экономика может разрушительно воздействовать на общественные структуры (вспомним мировой кризис 30-х годов XX в.), и тогда необходимо вмешательство государства. Чрезмерное же огосударствление экономики вызывает обратную тенденцию, характерную для преобразования современного российского общества.
Рынок как социальная форма организации экономики, с одной стороны, вызывает в человеке активность (предприимчивость), а с другой — порождает социальное расслоение населения, безработицу, не всегда управляемый рост цен. Вот почему крайне необходимы культура экономики, культура рынка и соответствующее развитие их субъектов. Поэтому программа экономических реформ в России должна учитывать эти моменты и отражать определенную логику и следующие элитные задачи формирования рыночной экономики в России:
1) разгосударствление экономики, приватизация, развитие предпринимательства; поиск и использование резервов и возможностей;
2) формирование рынка и его инфраструктуры, установление хозяйственных связей рыночного типа и становление новых мотивационных механизмов развития предпринимательства;
3) демонополизация экономики и устранение организационных структур, сложившихся в рамках административно-командной системы и препятствующих развитию рынка;
4) постепенное ограничение государственного контроля над ценами, переход к свободному ценообразованию;
5) осуществление жесткой кредитно-денежной и финансовой политики, направленной на ограничение денежной массы в обращении;
6) создание сильной системы социальных гарантий и поддержки населения, облегчающей людям адаптацию к условиям рыночной экономики;
7) осуществление активной структурно-инвестиционной политики, которая, опираясь преимущественно на экономические методы, обеспечила бы необходимые структурные сдвиги в народном хозяйстве в направлении социальной переориентации.
Таким образом, экономические реформы в России должны быть «настроены» на человека, на удовлетворение его потребностей, развитие его личности.
Список литературы
Общая экономическая теория. Баликов В.З. - Новосибирск 1998 г.
Основы экономической теории. Борисов Е.Ф., Волков Ф.М. 1999 г.
Основы современной экономики: учебник для вузов. – 2-е издание перераб. И дополненное. М., 2000 г. - Козырев В.М.
Теоретическая экономика. Политэкономия. Под. ред. Г.П. Журавлёвой и Н.Н. Мильчаковой. – М., 1997 г.
Основы учений об экономике. Зайдель Х., Геммен Р., - М., 1997
Экономическая теория: учебное пособие. Борисов Е.Ф. – М., 1999 г.
Рыночная система и её функционирование. Макконелл К.Р., Брю С.Л.
Микроэкономика. Рубенфельд Д. и Пендайк Р., М., -1993
Рынок – микроэкономическая модель. – С.П. 1998. Долан Э.Д., Линдсей Д.Е.
Экономика труда. Рощин С.Ю., Разумова Г.О.
Экономика: учебник. Под ред. доц. А.С. Булатова. М., -1996
Журналы:
Вопросы статистики № 2,6,7, Основные социально-экономические показатели, 2001г., с.77-79
Экономист № 4, Р. Сейтмуратов, И. Юлдашев,Стимулирование производительности труда, 2001г., с.55
Управление персоналом № 12, Е.Комаров ,Человек и труд и его заработная плата, 2000г., с.33
МЭИМО № 7, Вишневская Н., Проблемы и перспективы рынка рабочей силы, 2000г., с. 20
1