Управление экономическим риском в предпринимательской деятельности
Вступление
На современном этапе становления рыночных отношений в Украине всё большее значение для экономики страны приобретает развитие предпринимательской деятельности.
Анализ принятого в мировой практике законодательства о предприятиях и предпринимательской деятельности показывает, что оно определяет предпринимательство как инициативную, самостоятельную деятельность граждан и их объединений, направленную на получение прибыли, осуществляемую на свой риск и под свою имущественную ответственность.
Новые условия хозяйствования, и, в частности конкурентная среда, делает любую предпринимательскую деятельность сложнопрогнозируемым процессом. Это означает, что предпринимателям, разрабатывающим стратегию и тактику организации и развития своего дела, крайне необходимы знания теории рисков, без которых эффективная предпринимательская деятельность не представляется возможной. В экономической теории и практике существует множество подходов к пониманию категории «риск». Одним из них является определение риска, как вероятность возникновения убытков или недополучения доходов по сравнению с прогнозируемым вариантом.
В условиях рыночной экономики, предпринимательская деятельность невозможна без риска, и поэтому, предпринимателю необходимо уметь оценивать степень риска и уметь управлять им, с целью его уменьшения. Одно из главных правил предпринимательской деятельности гласит: «Не избегать риска, а предвидеть его, стремясь снизить до возможно более низкого уровня». Особый интерес данная проблема вызывает в современной теории и практике Украины, что объясняется процессами трансформации в направлении построения рыночной экономики. Именно поэтому вопрос о разработке системы управления риском заслуживает особого внимания.
Целью данной дипломной работы является определение основных принципов выработки системы управления экономическим риском в условиях рыночной экономики.
А значит, задачи данной дипломной работы, можно сформулировать следующим образом:
расширение и углубление знаний о качественных и количественных свойствах экономических процессов с учётом риска как характерного фактора современной экономики;
представление методологии и методики построения, анализа экономического риска, а также экономико-математических моделей оценки возможных потерь.
оценка наиболее типовых примеров моделирования и измерения экономического риска в процессе принятия решений на основе использования соответствующего аппарата, с целью практического использования теоретических концепций при решении проблем, которые возникают в предпринимательской деятельности.
Данная дипломная работа состоит из вступления, трёх глав, выводов, списка использованных источников, приложений.
В первой главе представлено определение экономического риска в экономической теории и практике, причины его возникновения и классификация. Во второй – раскрываются принципы управления риском, приводятся методы оценки и пути снижения риска. В третьей главе проводится более детальное описание внутренних, на примере социально-политических и административно-законодательных рисков, и внешних, на примере производственных рисков, которые являются одними из наиболее актуальных в современной предпринимательской деятельности.
При написании данной дипломной работы использовались труды иностранных и отечественных экономистов-учёных, таких как: К. Татеиси, Дж.С. Милль, А.С. Пигу, А.Маршалл, О.Л.Устенко, В.М. Гранатуров и др.
Выводы
Исследования, проведенные в данной дипломной работе позволяют сделать следующие выводы:
Риск это всепроникающий феномен, то, что присуще всем рыночным субъектам. Его основные характеристики сводятся к тому, что:
риск присутствует всегда на всех этапах деятельности хозяйственных субъектов вне зависимости от сферы их функционирования, при этом отличие может состоять только лишь в его степени;
полное устранение риска невозможно в силу целого ряда причин как объективного, так и субъективного характера (например, отсутствие полной информации, постоянное развитие как непосредственно конкретного рынка, так и экономики страны в целом и т.п.)
Само по себе наличие риска, которое сопровождает деятельность предприятия, работающего в рыночных условиях, не является недостатком рыночной экономики. Более того, отсутствие риска, т.е. опасности возникновения непредсказуемых и нежелательных для предприятия последствий его собственных действий, как правило, вредит экономике, поскольку подрывает ее динамичность и эффективность.
Экономический риск, основным источником которого являются внутренняя и внешняя неопределенности, возможен по следующим основным причинам:
внезапно наступившие непредвиденные изменения во внешней среде, которые отражаются (либо могут отразиться) на деятельности предприятия (изменения цен, изменения в налоговом законодательстве, колебания валютного курса, изменения в социально-политической ситуации и т.п.);
изменения отношений предприятия с его контрагентами. Эти изменения могут быть вызваны как самим предприятием, так и контрагентами данного предприятия (возможность заключить более выгодный договор, удлинение или сокращение срока договора, более привлекательные условия деятельности, изменение ориентации партнеров, изменения в условиях перемещения товарных, финансовых и трудовых ресурсов между предприятиями и т.п.), что повлечет за собой изменения достигнутых ранее договоренностей либо отказа от них;
изменения, проходящие внутри самого предприятия, либо другие причины внутреннего происхождения (несоответствие уровня квалификации работников предприятия запланированным производственным заданиям, внезапный выход их строя основных производственных фондов и т.п.);
изменения, происходящие вследствие научно-технического прогресса, результатом чего является формирование новой системы ориентации (например, изменение отношения к ручному труду после возникновения машинного).
Основными функциями риска являются: инновационная, регулятивная, защитная и аналитическая.
Многообразие рисков в предпринимательской деятельности обусловило необходимость их классификации. В современной экономической теории их обычно классифицируют по следующим основным признакам: связь с предпринимательской деятельностью; принадлежность к стране функционирования хозяйственного субъекта; уровень возникновения; сфера происхождения; причины возникновения; степень обоснованности принятия риска; степень системности; соответствие допустимым пределам; реализация рисков; адекватность времени принятия решения реагирования на реализацию рисков; группа, анализирующая риск и принимающая решение о поведении в случае его реализации; масштаб влияния; возможность прогнозирования; степень влияния на деятельность.
Это позволяет разработать оптимальную систему управления риском, которая направлена на минимизацию возможных будущих потерь.
Управление рисками - это возможность экономической деятельности, использовать разнообразные подходы, процессы, мероприятия, которые позволяют в определенной степени прогнозировать наступление рискованного события, ситуации, и за счет управленческого взаимодействия добиваться снижения его степени влияния.
Главными задачами управления риском являются: обнаружение областей повышенного риска; оценка степени риска; анализ приемлемости данного уровня риска для предпринимателя; разработка в случае необходимости мер по предупреждению или снижению риска; в случае, когда рисковое событие произошло, принятие мер к максимально возможному возмещению причиненного ущерба.
Конкретные методы и приемы, которые используются при принятии и реализации решений в условиях риска, в значительной степени зависят от специфики предпринимательской деятельности, принятой стратегии достижения поставленных целей, конкретной ситуации и т.п.
Система управления риском прежде всего предполагает их оценку, результаты которой позволяют в дальнейшем выбрать наиболее оптимальный способ снижения рисков. Основными методами оценки риска являются метод экспертных оценок, метод дерева решений, метод сценариев, статистический, аналитический метод и т.д.
В предпринимательской деятельности наиболее часто используются следующие пути снижения рисков: создание совместных предприятий (СП); приобретение фирм, компаний с хорошо налаженной системой внедрения новых технологий; привлечение внешних конкурентов-экспертов с узкой специализацией; внедрение нововведений; максимальное использование прошлого опыта; диверсификация; лимитирование; страхование; страхование ответственности; сострахование и перестраховании; резервирование средств
При этом, для практики Украины наибольший интерес представляет создание СП; внедрение нововведений; диверсификация; страхование ответственности; перестрахование и т.д.
Важным при этом является методическая и финансовая помощь субъектам предпринимательской деятельности, чему должно содействовать государство через систему законодательства, нормативного и информационного обеспечения, создания благоприятного климата хозяйствования.
Приложение А
Таблица. Классификация рисков по определённым признакам
|
№ |
Классификационные признаки |
Виды рисков |
|
1. |
Связь с предпринимательской деятельностью |
Предпринимательские Не предпринимательские |
|
2. |
Принадлежность к стране функционирования хозяйственного субъекта |
Внутренние Внешние |
|
3. |
Уровень возникновения |
Фирменный (микроурсвень) Отраслевой Межотраслевой Региональный Государственные Глобальный (мировой) |
|
4. |
Сфера происхождения |
Социально-политические Административно-законодательные Производственные Коммерческие Финансовые Природно-экологические Демографические Геополитические |
|
5. |
Причины возникновения |
Неопределенности будущего Недостатка информации Субъективного воздействия |
|
6. |
Степень обоснованности принятия риска |
Обоснованные Частично обоснованные Авантюрные |
|
7. |
Степень системности |
Системные Несистемные (уникальные) |
|
8. |
Соответствие допустимым пределам |
Допустимые Критические Катастрофические |
|
9. |
Реализация рисков |
Реализованные Нереализованные |
|
10. |
Адекватность времени принятия решения реагирования на реализацию рисков |
Предупредительные Текущие Запоздалые |
|
11. |
Группа, анализирующая риск и принимающая решение о поведении в случае его реализации |
Индивидуального решения Коллективного решения |
|
12 |
Масштаб влияния |
Одноособные Многособные |
|
13. |
Возможность прогнозирования |
Прогнозируемые Частично непрогнозируемые |
|
14. |
Степень влияния на деятельность |
Отрицательные Нулевые Положительные |
Приложение Б

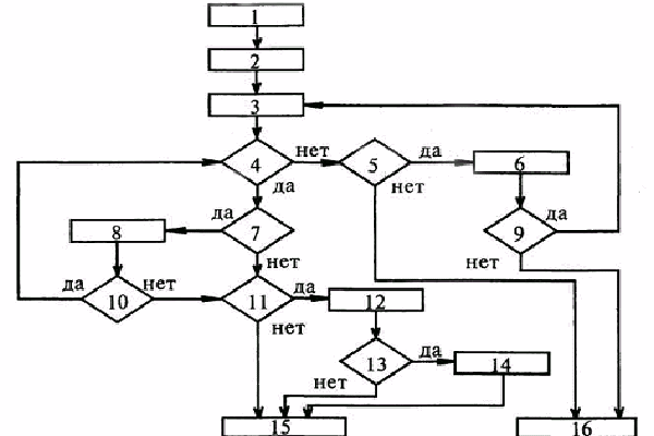
Рис. Последовательность этапов управления риском
Приложение В

Рис. Упрощенная блок-схема процесса управления риском
|
1 сбор и обработка данных |
8 формирование и выбор вариантов увеличения риска |
|
2 качественный анализ риска |
7 оценка возможности увеличения риска |
|
3 количественная оценка риска |
9,13 оценка целесообразности снижения риска |
|
4 — оценка приемлемости риска |
10 оценка целесообразности увеличения риска |
|
5,11 — оценка возможности снижения риска |
14 — выбор варианта снижения риска |
|
6, 12 — выбор методов и формирование вариантов снижения риска |
15 — реализация проекта (принятие риска); |
|
16 — отказ от реализации проекта (избежание риска). |
Приложение Г
Таблица. Схема факторов риска
-
Факторы риска
Оценка по годам
1
2
3
4
прогнозный год
ВНУТРЕННЯЯ ЭКОНОМИКА
1. Реальный прирост ВНП
*
*
*
*
*
2. Инвестиционное соотношение внутри страны
*
*
*
*
*
3.Эффективность инвестиций
*
*
*
*
*
4. Средний уровень инфляции
*
*
*
*
*
5. Рост денежных поступлений
*
*
*
*
*
6. Уровень реального внутреннего кредита
*
*
*
*
*
7. Характеристика налогово-бюджетной политики
*
*
*
*
*
ЭКОНОМИКА СТРАНЫ-ПАРТНЕРА
8. Конкурентоспособность
*
*
*
*
*
9. Торговый баланс
*
*
*
*
*
10. Экспорт товаров и услуг
*
*
*
*
*
11. Импорт товаров и услуг
*
*
*
*
*
12. Внешнеторговое сальдо
*
*
*
*
*
13. Доля экспорта в ВНП
*
*
*
*
*
14. Концентрация экспорта
*
*
*
*
*
15. Импорт в страну партнера
*
*
*
*
*
ЗАДОЛЖЕННОСТЬ
1 б. Общая сумма задолженности страны, в т.ч.: Международному Валютному Фонду Международному Банку Реконструкции и Развития
*
*
*
*
*
17. Международные резервы
*
*
*
*
*
18. Стоимость услуг по внешней задолженности
*
*
*
*
*
19. Доля внешней задолженности в объеме экспорта
*
*
*
*
*
20. Доля внешней задолженности по услугам (выплате процентов) в общем объеме экспорта
*
*
*
*
*
21. Уровень платежеспособности страны по долгам
*
*
*
*
*
22. Доля международных резервов в объеме импорта
*
*
*
*
*
23. Величина политического риска
*
*
*
*
*
24. Уровень безработицы
*
*
*
*
*
25. Рост ВНП на душу населения
*
*
*
*
*
Приложение Д
Рис. Схема воплощения рисков в плановые задания (метод сценариев)
Приложение Е
Таблица. Система оценки степени политического риска
|
Рейтинг |
Описание риска |
|
PR-1 |
Риск маловероятен в кратко, средне- и долгосрочном периодах. Ситуация в стране очень стабильная и существует благоприятное отношение к выплате внешнего долга, которое вряд ли изменится. |
|
PR-2 |
Не предвидится риска в кратко- и среднесрочном периодах. Долгосрочный риск трудно оценить, но перспективы не отрицательные. Существует достаточно времени для предсказания политического риска. Положительное отношение к выплате внешнего долга вряд ли изменится. |
|
PR-3 |
Риск маловероятен в кратко- и среднесрочном планах. Долгосрочные перспективы не ясны, но не являются отрицательными. Есть достаточно времени для того, чтобы обнаружить политический риск. Отношение к выплате внешней задолженности положительное, но может измениться. |
|
PR-4 |
Риск маловероятен в кратко- и среднесрочном периодах, но на долгосрочный период потенциально отрицательный. Достаточно времени для предсказания среднесрочного риска. Отношение к выплате внешнего долга может измениться, но вероятнее позитивное. |
|
PR-5 |
Риск маловероятен в краткосрочном периоде и есть достаточно времени для защиты. Тенденция с риском в средне- и долгосрочном периодах неясна, но вероятнее всего, что она имеет отрицательный характер. Отношение к внешней задолженности неблагоприятно. |
|
PR-6 |
Риск маловероятен в краткосрочном плане, но слишком мало времени для защиты. Средне- и долгосрочные перспективы — отрицательные. Отношение к выплате внешнего долга спорное. |
|
PR-7 |
Риск вероятен в кратко- и среднесрочном планах. Исследования на долгосрочные перспективы показывает, что возможно улучшение из-за перемены правительства или изменения отношения к внешней задолженности. |
|
PR-8 |
Риск возможен в любое время, политическая обстановка очень нестабильна и отношение к выплате внешнего долга крайне негативное. |
|
PR-9 |
Риск вполне определен. Нет никакой возможности смены политического курса или отношения к внешней задолженности. |
Раздел I. Риск как экономическая категория
Понятие риска в экономической теории
В современной экономической теории и практике риск является одной из основополагающих категорий. Это связано с тем, что именно неопределенность экономических явлений и процессов представляется распространенной характеристикой, реализация которой может привести к значительным потерям, чем к выигрышам. Актуальность данной проблемы и необходимость рационализации поведения экономических агентов обуславливают то, что вопрос неопределенности и риска является одним из основных направлений современного микроэкономического анализа.
В экономической науке основополагающими теориями экономических рисков являются: классическая и неоклассическая.
Создание классической теории экономических рисков связано с такими экономистами, как Дж. С. Милль, Н.У. Сениор, Ф.Х. Найт и др. Они выделяли в структуре предпринимательского дохода две составляющие1:
процент как долю на вложенный капитал (или заработную плату капиталиста);
плату за риск как возмещение возможного риска в предпринимательской деятельности.
Экономический риск классики рассматривают либо как возмещение возможного дохода вследствие принятого решения, либо как получение убытков (наступления неблагоприятных последствий) вследствие реализации неудачного решения. Они понимали экономический риск только как возможный ущерб вследствие экономического действия. Экономисты определяют риск, как математическое ожидание потерь. Именно ориентация экономистов данной школы на одностороннее понимание экономического риска вызывала критику ее положений и явилась причиной создания иной теории экономических рисков, получившей название неоклассической. Ее разработка связана с именами экономистов А. Маршалла, А.С. Пигу, а также экономистов скандинавской школы (Я. Магнуссен и др.)1.
Основные положения неоклассической теории экономических рисков сводятся к следующему. Экономические агенты, работающие в условиях неопределенности с прибылью как случайно-переменной величиной, должны руководствоваться двумя положениями:
размерами ожидаемой прибыли;
величиной ее возможных колебаний (отклонений от ожидаемой величины).
Поведение предпринимателя в таких условиях определяется предельной полезностью, т.е. он должен выбрать тот вариант инвестирования средств, в котором колебания прибыли будут меньшими. Из неоклассической теории риска следует, что верная прибыль всегда будет иметь большую полезность, чем прибыль ожидаемого размера, связанная с возможными колебаниями. На этом основании Маршалл сделал вывод о том, что экономический риск в целом неприемлем.
Общераспространенной теорией экономического риска является неоклассическая с теми дополнениями, которые внес известный экономист Дж. М. Кейнс. Он впервые дал подробную классификацию экономических рисков, дополнив неоклассическую теорию фактором удовольствия. Основным недостатком предыдущей неоклассической теории Дж. М. Кейнс считал недооценку склонности к азарту, часто встречающейся в практике предпринимателей. По его мнению, ради большей прибыли предприниматель, как правило, идет на больший риск.
Многоаспектность такого явления как риск обуславливает существование большого количества трактовок данного понятия. Кроме того, риск это сложное явление, имеющее множество несовпадающих, а иногда противоположных реальных основ. Это объясняет возможность существования нескольких определений понятий риска с разных точек зрения (например, с юридической, коммерческой, финансовой). Рассмотрим ряд определений риска, даваемых отечественными и зарубежными авторами:
Риск потенциальная, численно измеримая возможность потери. Понятием риска характеризуется неопределенность, связанная с возможностью возникновения в ходе реализации проекта неблагоприятных ситуаций и последствий2.
Риск – вероятность возникновения убытков или недополучения доходов по сравнению с прогнозируемым вариантом2.
Риск это неопределенность наших финансовых результатов в будущем. Дж. П. Морган определяет риск как степень неопределенности получения будущих чистых доходов3.
Риск это стоимостное выражение вероятностного события, ведущего к потерям4.
Риск шанс неблагоприятного исхода, опасность, угроза потерь и повреждений5.
Риск вероятность потери ценностей (финансовых, материальных товарных ресурсов) в результате деятельности, если обстановка и условия проведения деятельности будут меняться в направлении, отличном от предусмотренного планами и расчетами6.
Таким образом, четко заметна тесная связь таких понятий, как вероятность и неопределенность. Следовательно, чтобы наиболее точно раскрыть категорию «риск», необходимо определить «вероятность» и «неопределенность», поскольку именно эти два фактора лежат в основе рисков.
Именно вероятность представляется фундаментальным понятием для теории вероятностей и позволяет количественно сравнивать события по степени их возможности. Вероятностью события является определенное число, которое тем больше, чем более возможно событие.
Вероятность это возможность получения определенного результата, и очевидно, что более вероятным считается то событие, которое происходит чаще. Таким образом, в первую очередь понятие вероятности связано с опытным, практическим понятием частоты события7.
В качестве единицы измерения риска принимают вероятность достоверного события, т.е. такого события, которое в результате какого-либо опыта, процесса деятельности непременно должно произойти. Примером такого события может служить факт получения дохода при реализации продукции, поскольку невозможна такая ситуация, когда предприятие продавало бы продукцию, не имея на нее цены (в конце концов, цена может быть нулевой, в таком случае и доход будет нулевым).
Выделяют субъективную и объективную вероятность. Концепция объективных вероятностей строится на интерпретации понятия вероятности как предельного значения частоты при бесконечно большом числе экспериментов, и оценка вероятности производится посредством вычисления частоты, с которой происходит данное событие. Например, частота возникновения некоторого уровня потерь в процессе реализации проекта может быть рассчитана по формуле1:
f
(A)=n(A)/n,
где f частота возникновения некоторого уровня потерь;
n(А) число случаев наступления этого уровня потерь;
n общее число случаев в статистической выборке, включающее как успешно осуществленные, так и неудавшиеся инвестиционные проекты.
Точность измерения объективных вероятностей зависит от объема статистических данных и возможности их использования для будущих событий, то есть от сохранения условий, в которых происходили прошлые события.
Вместе с тем, во многих случаях при принятии решений статистические данные о частотах появления ситуации весьма малы по объему либо вообще отсутствуют. Поэтому используется второй путь измерения вероятностей ситуации, основанный на субъективных измерениях лица принимающего решение. В связи с этим измеряемые таким путем вероятности называют субъективными. При определении субъективных вероятностей на первое место выступает мнение субъекта, отражающее состояние его информационного фонда. Иначе говоря, субъективная вероятность определяется на основе предположения, основывающегося на суждении или личном опыте оценивающего (эксперта), а не на частоте, с которой подобный результат был получен в аналогичных условиях. Отсюда широкое варьирование субъективных вероятностей, которое объясняется широким спектром различной информации или различных возможностей оперирования с одной и той же информацией. Субъективные вероятности при выполнении некоторых предположений обладают свойствами обычных объективных вероятностей. Поэтому с ними можно производить обычные операции, определяемые в теории вероятностей.
Зависимость от объемов исходной информации с одной стороны и зависимость от субъекта с другой – все это ведет к тому, что к вероятностной ситуации добавляется неопределенность.
Условия неопределенности, имеющие место в экономической деятельности, являются предметом исследования и объектом постоянного наблюдения экономистов самых различных профилей, а также специалистов других областей (юристов, социологов, политологов и т.п.). Такой комплексный подход к изучению данного явления связан с тем, что хозяйственные субъекты в процессе своего функционирования испытывают зависимость от целого ряда условий. Данные условия зависимости можно классифицировать по месту их возникновения на:
социально-политические;
административно-законодательные;
производственные;
коммерческие;
финансовые.
Ориентация Украины на построение экономики рыночного типа означает появление самых различных видов неопределенности для всех субъектов ее хозяйственной деятельности. Существует несколько возможных подходов классификации неопределённости, из которых наиболее широко применим подход её характеристики с точки зрения вероятности наступления события.
По уровню вероятности наступления событий необходимо выделить три основных вида неопределенности:
полная неопределенность;
частичная неопределенность;
полная определенность.
Полная неопределенность — это такой вид неопределенности, который характеризуется близкой к 0 прогнозируемостью наступления события. Математически это выглядит следующим образом1:


где: Рi прогнозируемость наступления события i;
t время;
n конечное время прогнозирования события.
Таким образом, в условиях полной неопределенности субъекты предпринимательской деятельности полностью лишены возможности каким бы то ни было способом прогнозировать как перспективы своего собственного развития, так и рынка в целом.
Частичная неопределенность это такой вид неопределенности, который характеризуется тем, что вероятность наступления события, и степень его прогнозируемости находится в пределах от 0 до 12:
> >
Полная определенность — характеризуется близкой к 1 прогнозированностью наступления событий3, т.е.:
> >
Полная определенность, являясь противоположностью полной неопределенности, дает возможность субъектам хозяйственной деятельности со 100% вероятностью прогнозировать не только свою стратегию на рынке, а и его собственное поведение, тенденции развития и т.п.
Так же неопределенность можно классифицировать в зависимости от информации и формы этой информации, которой располагает субъект при принятии решений – начиная с полного отсутствия информации и заканчивая проблемами логического позитивизма:
неизвестность (незнание);
физическая неопределенность;
недостоверность (неполнота, недостаточность, неадекватность, расплывчатость);
неоднозначность;
лингвистическая неопределенность.
Важным при оценке неопределенности является выявление причины ее возникновения, их можно объединить в несколько основных групп:
недетерминированность процессов, проходящих в обществе в целом, и в экономической жизни в частности. При этом недетерминированность является следствием отсутствия возможности полного их предсказания и прогнозирования.
отсутствие полной информации при планировании поведения рыночного субъекта, либо ее субъективный анализ.
влияние субъективных факторов на результаты проводимых анализов (уровень квалификации работников, проводящих анализ; величина временного пространства анализируемого периода и т.п.).
Таким образом, независимо от желания, начиная свою деятельность, а значит, вступая в рынок, любому экономическому агенту придется иметь дело с неопределенностью и, как следствие этого, испытывать на себе на протяжении всей деятельности влияние тех видов рисков, которые присущи данной экономике и данному направлению деятельности.
Итак, риск как экономическая категория описывает вероятность потерь в результате неопределенности, что может привести к наступлению непредвиденных или неблагоприятных для экономической деятельности обстоятельств. В общем виде можно определить, что риск, во-первых, это возможный ущерб (финансовых, материальных и иных потерь) от реализации принятого решения и во-вторых, риск получения дохода или прибыли от реализации решения.
Необходимо различать более широкое понятие общего риска и частное понятие экономического (предпринимательского) риска. Экономический риск проявляется при принятии хозяйственных решений в условиях неопределенности и представляет совокупность экономических, политических, экологических, моральных и других последствий, которые могут произойти в результате осуществления этого решения1.
Для раскрытия содержания экономического риска обычно используют термины «ситуация риска» и «осознание риска». Каждый индивидуум в процессе хозяйственной деятельности сталкивается с ситуациями, которые не имеют однозначного решения. Неопределенная ситуация требует выбора нескольких решений, имеющих различную вероятность осуществления. Таким образом, необходимость принятия одного из нескольких решений в неопределенной обстановке обозначается понятием «ситуация риска». Если индивидуум при этом понимает, что он столкнулся с ситуацией риска, то факт такого понимания обозначает понятие осознания риска. Осознание подобной ситуации позволяет разрешить неопределенность путем принятия одного из вариантов решений.
Понятие экономического риска включает не только наличие рисковой ситуации и ее осознание, но и принятие решения на основе количественного и качественного анализа риска. Таким образом, сущность экономического риска предполагает принятие решений, отвечающих критериям оценки риска.
Наиболее удачным определением экономического риска является его трактовка как деятельности субъектов хозяйственной жизни, связанной с преодолением неопределенности в ситуации неизбежного выбора, в процессе которой имеется возможность оценить вероятности достижения желаемого результата, неудачи и отклонения от цели, содержащиеся в выбираемых альтернативах1.
Риск это всепроникающий феномен, то, что присуще всем рыночным субъектам. Его основные характеристики сводятся к тому, что:
риск присутствует всегда на всех этапах деятельности хозяйственных субъектов вне зависимости от сферы их функционирования, при этом отличие может состоять только лишь в его степени;
полное устранение риска невозможно в силу целого ряда причин как объективного, так и субъективного характера (например, отсутствие полной информации, постоянное развитие как непосредственно конкретного рынка, так и экономики страны в целом и т.п.)
Само по себе наличие риска, которое сопровождает деятельность предприятия, работающего в рыночных условиях, не является недостатком рыночной экономики. Более того, отсутствие риска, т.е. опасности возникновения непредсказуемых и нежелательных для предприятия последствий его собственных действий, как правило, вредит экономике, поскольку подрывает ее динамичность и эффективность.
Таким образом, можно обобщить, что в экономической теории под "риском" принято понимать вероятность потери рыночным субъектом части доходов в результате осуществления определённой производственной или финансовой деятельности. Такое понимание сущности риска, не является достаточно полным и должно быть дополнено тем, что риск представляет собой ситуативную характеристику деятельности любого рыночного субъекта, что является следствием неопределенности в его внутренней и внешней среде, и при его реализации для данного субъекта наступают неблагоприятные последствия. Такое понимание сущности риска является пониманием в широком смысле слова, т.е. любой рыночный субъект, будь-то независимый индивидуум либо предприятие, вынуждены работать в условиях риска.
Кроме употребления данного понятия в широком смысле, целесообразным является и его более узкое использование. При этом под риском следует понимать вероятность несения предприятием потерь в результате проведения предпринимательской деятельности. Таким образом, риск в узком смысле представляет собой экономический риск1.
В наиболее общем виде экономический риск, основным источником которого являются внутренняя и внешняя неопределенности, возможен по следующим основным причинам2:
внезапно наступившие непредвиденные изменения во внешней среде, которые отражаются (либо могут отразиться) на деятельности предприятия (изменения цен, изменения в налоговом законодательстве, колебания валютного курса, изменения в социально-политической ситуации и т.п.);
изменения отношений предприятия с его контрагентами. Эти изменения могут быть вызваны как самим предприятием, так и контрагентами данного предприятия (возможность заключить более выгодный договор, удлинение или сокращение срока договора, более привлекательные условия деятельности, изменение ориентации партнеров, изменения в условиях перемещения товарных, финансовых и трудовых ресурсов между предприятиями и т.п.), что повлечет за собой изменения достигнутых ранее договоренностей либо отказа от них;
изменения, проходящие внутри самого предприятия, либо другие причины внутреннего происхождения (несоответствие уровня квалификации работников предприятия запланированным производственным заданиям, внезапный выход их строя основных производственных фондов и т.п.);
изменения, происходящие вследствие научно-технического прогресса, результатом чего является формирование новой системы ориентации (например, изменение отношения к ручному труду после возникновения машинного).
Постоянно осуществляемый обмен информацией между предприятием и внешней средой способен свести до минимума неопределенность в деятельности предприятия. В свою очередь, на основании данного аналитического материала может быть выявлено соответствие между политикой, проводимой предприятием, и потребностями рынка, а также изменениями, проходящими на нём. Другими словами, хозяйственный субъект может быть готов к рискам, которые он принимает, либо иметь возможность отвергнуть тот или иной риск.
Как и любая экономическая категория, экономические (предпринимательские) риски выражают свою сущность в функциях. Наиболее общепринятыми считаются четыре функции: инновационная, регулятивная, защитная и аналитическая1.
Инновационную функцию хозяйственный риск выполняет, стимулируя поиск нетрадиционных решений проблем, стоящих перед предпринимателем. Анализ зарубежной литературы показывает2, что в международной хозяйственной практике накопился положительный опыт инновационного рискового хозяйствования. Большинство фирм, компаний добиваются успеха, становятся конкурентоспособными на основе инновационной экономической деятельности, связанной с риском. Рисковые решения, рисковый тип хозяйствования приводят к более эффективному производству, от которого выигрывают и предприниматели, и потребители, и общество в целом.
Регулятивная функция имеет противоречивый характер и выступает в двух формах: конструктивной и деструктивной. Риск предпринимателя, как правило, ориентирован на получение значимых результатов нетрадиционными способами. Тем самым он позволяет преодолевать консерватизм, догматизм, косность, психологические барьеры, препятствующие перспективным нововведениям. В этом проявляется конструктивная форма регулятивной функции предпринимательского риска.
Конструктивная форма регулятивной функции риска заключается в том, что способность рисковать — один из путей успешной деятельности предпринимателя. Однако риск может стать проявлением авантюризма, субъективизма, если решение принимается в условиях неполной информации, без должного учета закономерностей развития явления. В этом случае риск выступает в качестве дестабилизирующего фактора. Следовательно, хотя риск и «благородное дело», но не любые решения целесообразно реализовывать на практике, они должны быть обоснованными, иметь взвешенный, разумный характер.
К. Татеиси в своей работе «Вечный дух предпринимательства», вводит такое понятие как «разумный риск». Он пишет: "Когда дело доходило до принятия решений, то я лично всегда придерживался «правила 70/30». Скажем, вносится предложение о создании новой отрасли производства: если я на 70% уверен в успехе дела, то даю свое согласие. Оставшиеся 30% сомнений станут стимулятором для рассмотрения мер, которые следует принять в случае неудачи. Это и называется «разумным риском»". Однако К. Татеиси считает, что в некоторых случаях «правило 70/30» ограничивает свободу действия предпринимателей и иногда разумнее использовать «правило 30/70»1.
Защитная
функция риска основывается на утверждении,
что если
риск – нормальное явление
для предпринимательской деятельности,
то должно быть терпимое отношение к
неудачам. Защитная
функция риска также имеет два аспекта:
историко-генетический и социально-правовой.
Первый аспект объективно связан с тем, что для страхования рисков отдельные индивидуумы и хозяйственные организации вынуждены создавать средства защиты от негативных явлений, стихийных бедствий и т.д. в форме страховых (резервных) фондов, фондов риска, финансовых резервов предприятий.
Основное содержание социально-правового аспекта защитной функции риска состоит в необходимости обеспечения права на хозяйственный риск и закрепления его в законодательном порядке как категории правомерности экономического риска. Такая категория права предусмотрена в хозяйственном законодательстве большинства зарубежных стран и регламентирует экономические гарантии, исключающие в случае неуспеха наказание работника, пошедшего на обоснованный риск. Эти гарантии вообще рассматриваются как необходимое условие для предпринимателя на обоснованный риск. В нашем законодательстве понятие правомерности экономического риска и необходимые в этом случае гарантии пока отсутствуют, что сдерживает применение обоснованных рисковых решений в хозяйственной практике, а также размывает границы ответственности за последствия решений, принятых в результате бесхозяйственности и некомпетентности руководителей.
Следует выделить еще аналитическую функцию предпринимательского риска, которая связана с тем, что наличие риска предполагает необходимость выбора одного из возможных вариантов решений, в связи, с чем предприниматель в процессе принятия решения анализирует все возможные альтернативы, выбирая наиболее рентабельные и наименее рисковые. В зависимости от конкретного содержания ситуации риска альтернативность обладает различной степенью сложности и разрешается различными способами. В простых ситуациях, например, при заключении договора поставки сырья, предприниматель опирается, как правило, на интуицию и прошлый опыт. Но при оптимальном решении той или иной сложной производственной задачи, например, принятии решения о вложении инвестиций, необходимо использовать специальные методы анализа.
Рассматривая функции экономического (предпринимательского) риска, следует еще раз подчеркнуть, что, несмотря на значительный потенциал потерь, который несет в себе риск, он является и источником возможной прибыли. Поэтому основная задача предпринимателя не отказ от риска вообще, а выборы решений, связанных с риском на основе объективных критериев, а именно: до каких пределов может действовать предприниматель, идя на риск.
В определенной степени чувствительность к риску фирмы, имеющей большой капитал или выпускающей многономенклатурную продукцию, будет ниже, чем у небольшой фирмы. Но, с другой стороны, небольшая коммерческая организация является более гибкой и мобильной при изменении рыночной ситуации.
Причины возникновения экономического риска
Существуют три основные точки зрения, признающие или субъективную, или объективную, или субъективно-объективную природу риска. При этом преобладает последняя — субъективно-объективная природа риска.
Риск связан с выбором определенных альтернатив, расчетом вероятностей их исхода — в этом его субъективная сторона. Помимо этого, она проявляется и в том, что люди неодинаково воспринимают одну и ту же величину экономического риска в силу различия психологических, нравственных, идеологических ориентаций, принципов, установок и т.д.
Однако риск имеет и объективную сторону. Объективное существование риска обусловливает вероятностная сущность многих природных, социальных и технологических процессов, многовариантность материальных и идеологических отношений, в которые вступают субъекты социально-экономической жизни. Объективность риска проявляется в том, что это понятие отражает реально существующие в жизни явления, процессы, стороны деятельности. Причем риск существует независимо от того, осознают ли его наличие или нет, учитывают или игнорируют его.
Субъективно-объективная природа риска определяется тем, что он порождается процессами, как субъективного характера, так и такими, существование которых, в конечном счете, не зависит от воли и сознания человека.
Таким образом, основными источниками риска являются:
Спонтанность природных процессов и явлений, стихийные бедствия. Проявления стихийных сил природы — землетрясения, наводнения, бури, ураганы, а также отдельные неприятные природные явления — мороз, гололед, град, гроза, засуха и др. могут оказать серьезное отрицательное влияние на результаты предпринимательской деятельности, стать источником непредвиденных затрат.
Случайность. Вероятностная сущность многих социально-экономических и технологических процессов, многовариантность материальных отношений, в которые вступают субъекты предпринимательской деятельности, приводят к тому, что в сходных условиях одно и то же событие происходит неодинаково, т.е. имеет место элемент случайности. Это предопределяет невозможность однозначного предвидения наступления предполагаемого результата.
Весьма заметное и не всегда предсказуемое влияние на результаты предпринимательской деятельности оказывают:
различного рода аварии — пожары, взрывы, отравления, выбросы атомных и тепловых электростанций и т.п.;
выход из строя оборудования;
несчастные случаи на транспорте, производстве и многое другое.
Как показывает практика, несмотря на принимаемые обществом меры, направленные на уменьшение вероятности их появления и снижение величины причиняемого ими ущерба, указанные выше случайные события остаются возможными, их не могут исключить самые дорогостоящие инженерно-технические меры.
Наличие противоборствующих тенденций, столкновение противоречивых интересов.
Проявление этого источника риска весьма многообразно от войн и межнациональных конфликтов, до конкуренции и простого несовпадения интересов. В борьбе за покупателя конкуренты могут увеличить номенклатуру выпускаемой продукции, улучшить ее качество, уменьшить цену и т.п. Существует недобросовестная конкуренция, при которой один из конкурентов усложняет другому осуществление предпринимательской деятельности незаконными, нечестными действиями, включая подкуп должностных лиц, опорочивание конкурента, нанесение ему прямого ущерба.
Наряду с элементами противодействия может иметь место простое несовпадение интересов, которое также способно оказывать негативное воздействие на результаты предпринимательской деятельности. Например, как показывают исследования1, разные группы, участвующие в инновационном процессе, могут занимать различные, подчас противоположные позиции по отношению к своей роли к ней — инициативы, содействия, бездействия или противодействия. Позицию инициативы — разработчики, содействия — проектировщики, бездействия — пользователи. И, наконец, изготовители часто оказывают противодействие, т.к. перестройка технологических и др. процессов, требуемая нововведением, не всегда достаточным образом обеспечивается организационно-экономическими и техническими мероприятиями, соответствующими стимулами. Наличие коррумпированных структур в управленческом аппарате создает реальные возможности для яростного сопротивления, для появления особенно жестких форм противодействия, вплоть до покушения на жизнь и здоровье тех, кто пытается бороться с такими антиобщественными явлениями.
Таким образом, наличие противодействующих и противоборствующих тенденций в общественно-экономическом развитии вносит в социально-экономическую жизнь элементы неопределенности, создает ситуации риска.
На процесс воспроизводства неопределенности и риска оказывает воздействие вероятностный характер НТП. Общее направление развития науки и техники, особенно на ближайший период, может быть предсказано с известной точностью. Однако заранее во всей полноте определить конкретные последствия тех или иных научных открытий, технических изобретений практически невозможно. Технический прогресс неосуществим без риска, что обусловлено его вероятностной природой, поскольку затраты и особенно результаты растянуты и отдалены во времени, они могут быть предвидены лишь в некоторых, обычно широких пределах.
Существование неопределенности связано также с неполнотой, недостаточностью информации об объекте, процессе, явлении, по отношению к которому принимается решение, с ограниченностью человека в сборе и переработке информации, с постоянной изменчивостью этой информации.
Процесс принятия решений предполагает наличие достаточно полной и правильной информации. Эта информация включает осведомленность: о наличии и величине спроса на товары и услуги, на капитал; о финансовой устойчивости и платежеспособности клиентов, партнеров, конкурентов; о ценах, курсах, тарифах, дивидендах; о возможностях оборудования и новой техники; о позиции, образе действий и возможных решениях конкурентов и др. Однако на практике такая информация часто бывает разнородной, разнокачественной, неполной или искаженной.
Так, например, источником информации о производительности оборудования могут служить проектные, нормативные или фактические данные. Большинство из них являются укрупненными, усредненными, и между ними имеются значительные расхождения. Кроме того, многие компании намеренно искажают информацию для того, чтобы ввести в заблуждение конкурентов.
Таким образом, чем ниже качество информации, используемой при принятии решений, тем выше риск наступления отрицательных последствий такого решения.
К источникам, способствующими возникновению неопределенности и риска, относятся также:
ограниченность, недостаточность материальных, финансовых, трудовых и др. ресурсов при принятии и реализации решений;
невозможность однозначного познания объекта при сложившихся в данных условиях уровне и методах научного познания;
относительная ограниченность сознательной деятельности человека, существующие различия в социально-психологических установках, идеалах, намерениях, оценках, стереотипах поведения.
Элементы риска и неопределенности в хозяйственную деятельность вносят также:
необходимость выбора новых инструментов воздействия на экономику в условиях перехода от экстенсивных к интенсивным методам развития;
несбалансированность основных компонентов хозяйственного механизма: планирования, ценообразования, материально-технического снабжения, финансово-кредитных отношений.
Классификация рисков
Субъекты предпринимательской деятельности, которые в процессе своего функционирования испытывают влияние различных видов рисков, могут управлять им. Это означает, что есть возможность использовать разнообразные мероприятия, которые позволяют в определенной степени прогнозировать наступление рискового события и принимать меры к снижению его степени1.
Эффективность организации управления рисками во многом определяется идентификацией его местоположения в общей системе классификации. Наиболее часто встречаемая классификация рисков проводится по следующим признакам2: уровень возникновения, по сфере происхождения, по степени обоснованности их принятия, по соответствию допустимым пределам, а также по характеру происхождения рисков (степени их системности). Однако, на наш взгляд, данная классификация может быть не только дополнена целым радом признаков, а и расширена внутри некоторых из них, что позволит повысить эффективность управления фирмой вообще и в условиях кризисных ситуаций, в частности.
Итак, риски могут быту классифицированы по следующим признакам (См. Приложение А):
По степени их связи с предпринимательской деятельностью. Классификация рисков от их связи с предпринимательской деятельностью обусловлена теми отличиями, которые существуют между различными видами деятельности, которую могут проводить субъекты хозяйствования. Суть данного положения состоит в том, что не всякая деятельность рыночного субъекта является предпринимательской. Как известно, под предпринимательством понимается самостоятельная инициативная хозяйственно-финансовая деятельность граждан с целью получения прибыли (дохода) и осуществляемая от своего имени и под свою собственную имущественную ответственность либо же от имени и под ответственность юридического лица — предприятия (фирмы). В экономике существует достаточное количество фирм (организаций и частных лиц), которые работают не за прибыль (доход), а имеют совершенно другие цели. Такие организации в экономической литературе часто называются не прибыльные организации. Примером таких организаций могут служить добровольные общества содействия различным общественным движениям, многие научно-исследовательские центры, учебные заведения и т.п. Однако отказ от получения прибыли еще не означает, что данные организации не испытывают в процессе своей деятельности влияния рисков. В связи с этим целесообразным является выделение риска при проведении предпринимательской деятельности пли просто предпринимательского риска и непредпринимательского.
По принадлежности к стране функционирования хозяйственного субъекта риски могут быть разделены на:
внутренние риски, которые возникают в определенной стране и оказывают влияние на деятельность только ее хозяйственных субъектов;
внешние риски, источник происхождения которых для внутренних производителей находится за пределами их собственной страны.
По уровню возникновения риски могут быть классифицированы на:
риски, возникающие на микроуровне, т.е. непосредственно на предприятии либо у частных лиц;
риски отраслевого происхождения, которые возникают у целой группы предприятий, относящихся к определенной отрасли и, соответственно, оказывающих влияние на всю отрасль;
риски межотраслевого происхождения, наличие которых обусловлено влиянием и зависимостью отдельных отраслей и сфер экономической деятельности между собой;
региональные риски, которые могут возникать из-за наличия специфики развития и управления отдельными регионами внутри страны;
государственные риски, которые возникают на макроуровне и оказывают влияние на все хозяйственные субъекты данной страны;
глобальные (мировые) риски, которые возникают в экономике нескольких стран или всего мирового сообщества, оказывая воздействие при этом на деятельность хозяйственных субъектов этих стран. Наиболее часто данные риски могут быть представлены геополитическими рисками (например, изменение мирового равновесия, глобальные экологические и демографические проблемы и т.п.).
По сфере происхождения. Данный признак классификации позволяет объединить риски в укрупненные группы в зависимости от того, в какой сфере они возникают, что даст возможность более детально исследовать причины их возникновения и прогнозировать последствия их влияния на макро и микросреду.
По своей структуре риски, согласно данной классификации, состоят из:
социально-политических происхождение которых базируется на возможности возникновения непредвиденных ситуаций в случае изменения осуществляемого государством политического курса, а также возможного введения в действие незапланированных ранее социальных программ либо других действий, которые в основе своего происхождения имеют социальную сферу (например, забастовки, изменение психологического настроя в обществе и т.д.);
административно-законодательных — которые возникают в случае реализации незапланированных административных ограничений хозяйственной деятельности рыночных субъектов, а также изменений в законодательстве (увеличение налоговых ставок, запрет на занятие определенным видом деятельности и т.д.);
производственных — связанных с производством продукции (товаров, услуг), с осуществлением любых видов производственной деятельности (снижение предполагаемых объемов производства, рост затрат на производство продукции и т.д.);
коммерческих возникающих в процессе реализации товаров и услуг, произведенных или закупленных предприятием (снижение объемов реализации вследствие изменения конъюнктуры, повышение закупочной цены товаров, непредвиденное снижение объема закупок, потери товара в процессе обращения и т.д.). Следует отметить, что данная группа рисков может быть как самостоятельной (в том случае, если речь идет об организации, основным видом деятельности которой является коммерция), так и в составе производственных рисков (в том случае если коммерческие риски возникают у предприятий, занимающихся производственной деятельностью, в процессе ее обеспечения. Например, реализация произведенной продукции, снабжение предприятия сырьем и материалами и т.д.);
финансовых которые возникают в сфере отношений предприятия с банками и другими финансовыми институтами, а также связаны с невыполнением субъектом экономической деятельности своих финансовых обязательств (просрочка платежей, нарушение сроков возвращения кредитов и т.д.). Кроме того, данная группа рисков может являться следствием изменений, происходящих в целом в финансовой системе (например, инфляционные процессы и т.д.);
природно-экологических возникающих вследствие зависимости человека и в целом общественного производства от природно-климатических условий (например, большее по сравнению с обычным, количество осадков, и как следствие этого, снижение урожая сельскохозяйственных культур и т.д.), а также и обратной связи между общественным производством и окружающей средой (неблагоприятное воздействие вредных производств на здоровье людей и т.д.);
демографических которые возникают вследствие изменения демографической ситуации. Особенностью данных рисков является то, что они могут существовать как в форме самостоятельных рисков, так и являться причинами для возникновения других рисков (например, снижение продолжительности жизни населения может явиться следствием возникновения такого риска, который связан с реализацией продукции предприятий, ориентирующихся на достаточно старое население и т.п.);
геополитических глобального характера, таких как мировая миграция рабочей силы, появление болезней, грозящих жизни всего человечества и т.п.
По причинам возникновения могут быть выделены несколько групп риска:
риск, вызванный неопределенностью будущего, т.е. той обычной неопределенностью, которая характерна для функционирования всех субъектов рынка, и как следствие этого — сложностью в прогнозировании их поведения. Неопределенность будущего может быть вызвана как наличием неопределенности в функционировании экономической системы самого предприятия либо его ближайшего окружения (например, партнеров), так и неопределенностью окружающей среды (например, экономики страны в целом);
риск, вызванный недостатком информации для принятия решений, который связан с объективной невозможностью учёта и рассмотрения всех параметров, необходимых для принятия производственно-хозяйственных решений;
риск, вызванный личностными субъективными факторами, группы, анализирующей риск (их собственным пониманием анализируемых процессов, уровнем квалификации, соотношением количества времени, необходимого для качественного и всестороннего анализа, и предоставленный дня этого временем и т.п.).
По степени обоснованности принятия риска. Необходимость выделения данного классификационного признака обусловлена спецификой поведения предприятия при воздействии на него рисков с различными степенями обоснованности и как следствие этого — соотношение возможных результатов с затратами, необходимыми для их достижения. По данному признаку все риски могут быть сгруппированы в следующие группы:
обоснованные риски это такой вид рисков, который предприятие решает принять на себя, при этом их влияние на его деятельность будет минимальным. Таким образом, в ходе анализа абсолютно (т.е. относительно самого предприятия и внутри конкретного вида деятельности) и относительно (т.е. в сравнении с другими возможными видами деятельности и другими предприятиями) даётся аналитическая оценка прогнозируемых результатов и возможных затрат с учетом потерь;
частично обоснованные — это такой вид рисков, которые принимаются или предполагаются к приёму предприятием при равенстве результатов и затрат. Таким образом, вероятность наступления неблагоприятного события настолько велика, что в случае его наступления хозяйственный субъект может получить нулевой эффект;
авантюрные риски — содержащие значительную вероятность недостижения поставленной цели. Таким образом, хозяйственный субъект, принимающий авантюрный риск, действует без учёта реальных сил, условий и возможностей в расчёте на случайный успех.
По степени системности риски классифицируются на:
несистемные (уникальные риски) — это такие, степень которых, а следовательно, и их влияние на результаты деятельности предприятия могут быть снижены (например, при помощи производственной или финансовой диверсификации). Таким образом, это те риски, которые не присущи данной системе и их степень может быть сведена до возможного минимума (т.е. до нуля);
системные это такой вид рисков, степень которых не может быть снижена, и их наличие обусловлено самой системой. Эти риски обязательно существуют в экономике, их можно предусмотреть и оценить, но снизить их степень невозможно. Таким образом, они являются обязательным атрибутом деятельности любого хозяйственного субъекта. С точки зрения теории эффективного управления фирмой, данная группа рисков представляет собой тот максимальный набор рисков, превышение которого означает снижение эффективности деятельности организации. Однако достичь того, чтобы предприятие в своей деятельности соприкасалось только с этими рисками, не всегда возможно из-за целого ряда ограничений как объективного, так и субъективного характера (ресурсные ограничения, субъективность информации, используемой при составлении прогнозов и т.п.). Поэтому в большинстве случаев предприятия принимают на себя всю группу системных рисков плюс какую-то часть уникальных рисков.
По соответствию допустимым пределам риски подразделяются на:
допустимые риски — предполагают уровень риска в пределах его среднего уровня, т.е. среднего по отношению к другим видам деятельности и к другим хозяйственным субъектам.
Таким образом, в том случае, если1:
> >
<>
>>
>
> >— средний уровень риска в экономике;
> > — уровень допустимого риска, то должно выполняться следующее условие:
критические риски — предполагают уровень выше среднего, но в пределах допустимых значений принятых в данной экономической системе для определенных видов деятельности. Таким образом, в том случае, если:
> >— критический уровень риска определенного направления деятельности в данной экономической системе;
> >— максимально допустимый уровень риска, то должно выполняться следующее условие2:
> >
<
>
><
>
>
Следует отметить, что при этом максимально допустимый предел может превышать уровень системных рисков.
катастрофические риски — которые превышают верхнюю (максимальную) границу риска, сложившуюся в данной экономической системе. Таким образом, в том случае, если:
> >— катастрофический уровень риска определенного направления деятельности в данной экономической системе, то должно выполняться следующее условие3:
> >
>
>
>
По признаку реализации рисков можно выделить две группы:
реализованные риски — представляют собой свершившиеся неблагоприятные для предприятия события, вследствие которых может быть ухудшена его деятельность;
нереализованные риски, те, которые не свершились вопреки ожиданию.
Следует отметить, что реализованными могут быть и те риски, которые имели меньшую вероятность их возникновения по сравнению с нереализованными, что является следствием их вероятностного характера и необходимостью наличия целого ряда условий для их реализации, т.е. перехода из стадии прогнозируемых в стадию свершившихся.
По адекватности времени принятия решения о реагировании на реализованные риски можно выделить следующие группы:
риски предупредительной группы — такие, которые учтены при составлении планов развития предприятия, т.е. до момента их появления и выработана стратегия поведения предприятия в случае их возникновения;
текущие риски — такие, которые не были заранее предусмотрены, а также не была выработана стратегия поведения предприятия в случае их возникновения, и хозяйственный субъект реагирует на них в момент их возникновения (на первых стадиях);
запоздалые риски — такие, которые не были предусмотрены предприятием при составлении своих планов, и стратегия поведения предприятия при этом разрабатывается (определяется) уже после их возникновения.
По группе, анализирующей риск и принимающей решение о поведении предприятия в случае его возникновения, выделяют:
группу рисков индивидуального решения, когда анализ (решение) проводится (принимается) одним человеком (директором предприятия, его владельцем и т.д.);
группу рисков коллективного решения, когда анализ либо решение принимается группой лиц (совет директоров, группа экспертов и т.д.).
По масштабам влияния, либо по сфере охвата все риски могут быть классифицированы на:
одноособные риски, т.е. такие риски, которые оказывают влияние только лишь на данное предприятие и на его ближайшее окружение (например, банкротство предприятия, что повлекло за собой потерю заказов для его поставщиков);
многоособные, т.е. такие риски, возникновение которых отразится не только на одном предприятии и его ближайшем окружении, а и на целой группе других предприятий (например, забастовка работников угледобывающей отрасли может повлиять на деятельность обогатительной фабрики, коксохимического комбината, деятельность металлургического завода, производство электроэнергии в масштабах всей страны).
По возможности прогнозирования риски могут быть классифицированы на:
прогнозируемые те риски, возникновение которых поддается прогнозу. Этот прогноз может осуществляться с использованием самых различных методов, которые будут рассмотрены в теме, связанной с методами анализа рисков;
частично непрогнозируемые (форсмажорные риски) — те риски, которые возникают вследствие наступления форсмажорных событий, т.е. тех событий либо чрезвычайных обстоятельств, которые не могут быть полностью предусмотрены или предотвращены какими-либо мероприятиями, и которые представляют собой непреодолимое препятствие (например, стихийные бедствия, катастрофы и т.д.). Их частичная непрогнозируемость является следствием довольно низкой степени вероятности при определении возможности их свершения, что, в свою очередь, есть результатом ограниченности информации и человеческих знаний, необходимых для построения прогноза.
По степени влияния на деятельность хозяйственных субъектов, являясь вероятностной категорией, данный риск представляет собой такое событие, которое при наличии определенной совокупности условий может быть реализовано, а его воздействие на деятельность хозяйственных субъектов может быть:
отрицательным — означать проигрыш данного субъекта;
нулевым — не имеющим никакого воздействия на данный субъект;
положительным — выигрышным для данного хозяйствующего субъекта. Положительное воздействие может иметь место в том случае, если риск, реализованный для одного субъекта с отрицательным или нулевым результатом, является выгодным для другого субъекта (например, реализация риска у фирм конкурентов и т.п.).
Как было отмечено ранее, деятельность всех хозяйственных субъектов сопряжена с наличием риска. Это определяется самим существованием и развитием хозяйственного процесса. Присутствие риска как обязательного атрибута в предпринимательской деятельности является объективным экономическим законом. В условиях рыночной экономики невозможно управлять предприятием без учета влияния риска, а для эффективного управления важно не только определить его присутствие, но и правильно идентифицировать конкретный риск. С этой точки зрения, данная классификация представляет собой, практический интерес для организации и управления фирмой в условиях рыночной экономики.
1 Сумцова Н.В. Экономическая теория. М. – 2000. – С. 311
1 Там же. – С. 313
2 Поляк Г.Б. Финансовый менеджмент. Москва. 1997 г. с. 125
2 Зозулюк А.В. Хозяйственный риск в предпринимательской деятельности. М. – 1995. – С. 42
3 Лапуста М. Г., Шаршукова Л.Г. Риски в предпринимательской деятельности. М. - 1998. – С. 95
4 Райсберг Б.А. Предпринимательство и риск. М. - 1992. – С.51
5 Цветкова Е.В., Арлюкова И.О. Риски в экономической деятельности. СПб. 2002. С. 26
6 Устенко О.Л. Теория экономического риска. Киев. 1997г. с. 31
7 Гробовой П.Г., Петрова С.Н., Полтавцев С.И. Риски в современном бизнесе. Москва. 1994г. с. 29
11Вентцель Е.С. Теория вероятностей. Москва. 1999г. с. 237
1 Альгин А.П. Грани экономического риска. М. - 1997. - С. 172-174
2 Дубров А. М. - Моделирование рисковых ситуаций в экономике и бизнесе. М. – 2000 С. 212
32 Балабанов И.Т. Риск-менеджмент. М. - 1998. - С. 73
1 Райсберг Б.А. Предпринимательство и риск. М. - 1992. – С.56
1 Зозулюк А.В. Хозяйственный риск в предпринимательской деятельности. М. – 1995. – С. 111
1 Половинкин П. Д., Риск в предпринимательской деятельности. М.- 1999. - С. 128
2 Балабанов И.Т. Риск-менеджмент. М. - 1998. - С. 58
1 Кадинская О. А. Управление финансовыми рисками. М. - 2000. - 295 с.
2 Moore P.G. The business of risk. Cambridge. – 1995. – C. 261
1 Татеиси К. Вечный дух предпринимательства. Киев, 1992, с. 95
1 Грядов С.И. Риск и выбор стратегии в предринимательстве. – М. - 1994. - С. 141
1 Лапуста М. -Г., Шаршукова Л.Г. Риски в предпринимательской деятельности. М. - 1998. – С. 85
2 Устенко О.Л. Теория экономического риска. К. - 1997. – С. 127
1 Устенко О.Л. Теория экономического риска. Киев. 1997г. с. 38-40
2 Устенко О.Л. Теория экономического риска. Киев. 1997г. с. 38-40
3 Там же. с. 38-40
Раздел 2. Организационно-методологические основы управления экономическим риском
2.1 Основные принципы и этапы управления риском
Присутствие риска в процессе деятельности субъекта как обязательного атрибута является объективным экономическим законом. В условиях рыночной экономики невозможно управлять предприятием без учета влияния риска, а для эффективного управления важно не только знать о его присутствии, а и правильно идентифицировать конкретный риск.
В условиях объективного существования риска и связанных с ним финансовых, моральных и др. потерь возникает потребность в определенном механизме, который позволил бы наилучшим из возможных способов с точки зрения поставленных предпринимателем целей учитывать риск при принятии и реализации хозяйственных решений.
При достаточно большом количестве определений понятия "управление риском", все-таки большинство ученых определяют его как, такой процесс воздействия на управляемый объект, основной целью которого является поиск возможных путей снижения риска.
Управление риском можно охарактеризовать как совокупность методов, приемов и мероприятий, позволяющих в определенной степени прогнозировать наступление рисковых событий и принимать меры к исключению или снижению отрицательных последствий наступления таких событий.
Управление риском как система состоит из двух подсистем: управляемой подсистемы (объекта управления) и управляющей подсистемы (субъекта управления).
В системе управления риском объектом управления являются риск, рисковые вложения капитала и экономические отношения между субъектами предпринимательской деятельности в процессе реализации риска (отношения между: предпринимателями-партнерами, конкурентами; заемщиком и кредиторами; страхователем и страховщиком и т.п.).
Субъектом управления в системе управления риском является специальная группа людей (предприниматель, финансовый менеджер, менеджер по риску, специалисты по страхованию и др.), которая посредством различных приемов и способов управления осуществляет целенаправленное воздействие на объект управления.
Таким образом, управление рисками - это возможность экономической деятельности, использовать разнообразные подходы, процессы, мероприятия, которые позволяют в определенной степени прогнозировать наступление рискованного события, ситуации, и за счет управленческого взаимодействия добиваться снижения его степени влияния1.
Главными задачами управления риском являются: обнаружение областей повышенного риска; оценка степени риска; анализ приемлемости данного уровня риска для предпринимателя; разработка в случае необходимости мер по предупреждению или снижению риска; в случае, когда рисковое событие произошло, принятие мер к максимально возможному возмещению причиненного ущерба.
Конкретные методы и приемы, которые используются при принятии и реализации решений в условиях риска, в значительной степени зависят от специфики предпринимательской деятельности, принятой стратегии достижения поставленных целей, конкретной ситуации и т.п.
Вместе с тем, теория и практика управления риском выработала ряд основополагающих принципов, которыми следует руководствоваться субъекту управления. К ним относятся2:
Принцип максимизации, который предусматривает стремление к наиболее полному охвату возможных сфер возникновения рисков, то есть - этот принцип обуславливает сведение степени неопределенности до минимума.
Принцип минимизации означает то, что предприятия стремятся свеет к минимуму, во-первых, спектр возможных рисков, а во-вторых, степень их влияния на свою деятельность.
Принцип адекватности реакции сводится к тому, что фирма, компания должны адекватно и быстро реагировать на все изменения, которые вызываются реализацией риска и возможностью его возникновения, то есть в тех случаях, когда он становится реальностью.
Принцип принятия - только когда риск обоснован, предприятие может его принять. Для процесса управления риском необходимо, прежде всего, прогнозировать проявление тех или иных проблем и соответствующих ситуаций. Под прогнозом будем понимать научно обоснованное суждение о возможных состояниях объекта в будущем, об альтернативных путях и сроках его существования.
Исходя из значимости процесса управления рисками, определим последовательность этапов этого процесса (Приложение Б)1:
Информационно-аналитический этап дает возможность оценить возникновения всей совокупности рисков в независимости оттого, сможет ли аппарат управления или нет оказывать влияние на них в случае реализации;
Этап идентификации - устанавливаются все параметры возможных рисков с учетом специфики управленческой деятельности и направлений деятельности фирмы;
Этапы комплексного анализа - делается полный анализ риска с расчетом его уровня и степени влияния на деятельность фирмы. Решается вопрос о целесообразности занятия предполагаемым направлением деятельности при наличии информации об уже идентифицированных рисках. Можно отказаться от риска, если он не удовлетворяет стратегию фирмы;
Снижение степени риска - планирование действий. Идет поиск путей своевременной и качественной защиты от риска и разработка конкретного механизма их реализации. Планирование действий, как для профилактики, так и на случай реализации риска;
Контроль возможной или возникшей ситуации - пятый этап. Сделав все вышеизложенное, необходимо контролировать обстановку, чтобы на определенной стадии отреагировать;
Реализация программы действий при возникновении риска - шестой этап. Идет реализация плана действий;
Анализ, обобщение, выводы и предложения на перспективу - последний этап. Отрицательные и положительные действия формирует прошлый опыт, с целью учета в дальнейшей деятельности. Этим определяется эффективность в дальнейшем.
Как система управления, управление риском также предполагает осуществление ряда процессов и действий, реализующих целенаправленное воздействие на риск. К ним можно отнести: определение целей рисковых вложений капитала, сбор и обработку данных по аспектам риска, определение вероятности наступления рисковых событий, выявление степени и величины риска, выбор приемов управления риском и способов его снижения. Упрощенная блок-схема процесса управления риском представлена в приложении В. Представленные на схеме этапы процесса управления риском можно подразделить на две составляющие (группы) — анализ риска и меры по устранению и минимизации риска
Таким образом, в экономической деятельности вероятность избежания риска означает возможность предвидеть проблемы и строить свои действия так, чтобы исключить или, по крайней мере, ослабить влияние нежелательных последствий этих проблем в настоящем и будущем.
2.2 Система оценки риска и методы их определения
Целесообразность принятия какого-либо предпринимательского решения, в природе которого изначально заложена определенная степень риска, может быть выявлена путем его анализа и оценки. Это означает, что для эффективной деятельности необходимо не только знать о возможном экономическом риске и сделать его качественный анализ, а и необходимо оценить его, определить его степень.
В экономической теории и практике управление экономическим риском различают количественные и качественные методы оценки.
Количественная оценка экономического риска является дополнением качественной. Она особенно важна, когда существует возможность выбора конкретного управленческого решения из совокупности альтернативных вариантов. Ситуация, при которой хозяйствующий субъект находится перед проблемой выбора одного из двух направлений развития фирмы с разной экономической эффективностью от их реализации, не всегда решается в пользу того направления, которое имеет больший эффект (меньшие затраты и большие результаты) по сравнению с другим. Важное место при принятии решения о выборе отводится и шансам на успешную реализацию каждого из вариантов. Таким образом, возможна и ситуация, когда для предприятия будет целесообразно принять решение о развитии по варианту, экономический эффект от реализации которого будет меньший, но при этом шансы на успех большие (т.е. степень риска по данному варианту будет меньшей по сравнению с другим).
При принятии любого управленческого решения экономическая эффективность от его реализации должна быть скорректирована на степень риска его достижения.
Анализ предпринимательских рисков целесообразно проводить по нескольким основным направлениям, наличие которых обусловлено1:
специфическими особенностями непосредственно субъекта, занимающегося предпринимательской деятельностью;
особенностями внешней среды, в которой он функционирует, и которая находится в процессе постоянного развития.
В наиболее общем виде множественность принципов анализа риска может быть сведена к следующему2:
Величина потерь от разных видов риска независима друг от друга. Данный принцип означает, что в том случае, если один из видов риска переходит в категорию реализованного, то потери в случае реализации других рисков не изменяются (например, если фирма несет убытки из-за того, что было пересмотрено налоговое законодательство, то потери в случае реализации риска инфляции не изменяются);
Реализация определенного вида риска не обязательно увеличивает либо снижает вероятность возникновения другого вида (за исключением форс-мажорных обстоятельств). Взаимосвязь и взаимозависимость большинства экономических процессов не только не вступают в противоречие с этим принципом, а напротив, являются его дополнением;
Максимально возможный ущерб (потери) в случае реализации конкретного риска не должен превышать финансовых возможностей хозяйственного субъекта. Этот принцип основывается на теории оптимального риска, которая предусматривает наличие эффективного риска только в границах собственных активов3.
Потери, возникающие в процессе предпринимательской деятельности, в зависимости от их принадлежности к конкретному виду используемых предприятием ресурсов, могут быть подразделены на следующие виды (рис. 2.1):
Финансовые потери — это прямой денежный ущерб, который может быть нанесен предприятию вследствие реализации определенного риска либо группы рисков, (например, снижение объемов реализации товаров или услуг, абсолютное или относительное снижение прибыли, получаемой фирмой и т.д.);
Материальные потери — представляют собой непредусмотренные планом развития предприятия дополнительные затраты или прямые потери производственных фондов (оборудования, площадей, выпущенной продукции, сырья, энергии и т.д.);
Потери времени — это такие потери, которые связаны с нерациональным его использованием вследствие возникновения определенных видов риска. Целесообразно выделить в потерях времени две группы потерь:
Трудовые потери — потери рабочего времени, вызванные случайными обстоятельствами (например, выход из строя оборудования, болезнь работника и т.д.);
Неэффективные потери организации — такие потери, которые возникают в том случае, когда процесс предпринимательской деятельности идет медленнее, чем это было намечено ранее, или норма получения прибыли на вложенный капитал в данной фирме меньше, чем среднеотраслевая или средняя по экономике;
Социальные потери — это такие виды потерь, которые связаны с нанесением ущерба здоровью и жизни людей;
Сбытовые (репутационные) потери — которые связаны с изменением отношения покупателей (реальных или потенциальных) к производимому фирмой продукту в сторону предпочтения других продуктов (например, изменение преференций потребителей к табачной продукции и высококалорийной пище в сторону предпочтения здорового образа жизни);
Экологические потери — это нанесение вреда окружающей природной среде. Данный вид потерь целесообразно классифицировать по степени их воздействия на хозяйственный субъект на прямые и непрямые (косвенные). Тогда прямыми потерями будут те потери, которые возникают непосредственно у предприятия через короткий промежуток времени и оно испытывает на себе их влияние (например, загрязнение воды, которую предприятие потребляет в своем производственном процессе). Непрямые потери возникают в том случае, если вредное воздействие на окружающую среду будет отражено на деятельности предприятия через длительный период времени и опосредованно (например, вредные выбросы в атмосферу, и, как следствие этого, необходимость для предприятия нести большие, по сравнению с прежними периодами времени, расходы на медицинское обслуживание и отдых своих работников);
Морально-психологические потери — это потери, обусловленные тем, что любая фирма является сложной социальной системой, и нарушение равновесия этой системы может привести к нежелательным для нее последствиям (например, текучесть кадров, появившаяся вследствие нездорового психологического климата в коллективе и т.д.).

Рис. 2.1 Виды потерь, возникающие при реализации рисков
Присутствие риска в предпринимательской деятельности означает, что для ее эффективного проведения необходимо наличие предварительно разработанных и реальных планов развития фирмы с учетом вероятностного характера прохождения событий. С этой целью проводится качественный и количественный анализ рисков.
Для качественного анализа риска на практике чаще всего используется экспертные методы, основанные на субъективной оценке ожидаемых параметров деятельности. Эта субъективность является следствием того, что группа экспертов, занимающаяся анализом риска, высказывает собственные субъективные суждения как о прошлой ситуации, так и о перспективах ее развития.
Наиболее часто данный метод применяется при недостаточном количестве информации либо при определении степени риска такого направления предпринимательской деятельности, которое не имеет аналогов, что также не дает возможности анализировать прошлые показатели1.
В наиболее общем виде сущность данного метода состоит в том, что предприятие выделяет определенную группу рисков и рассматривает, каким образом они могут влиять на его деятельность. Это рассмотрение сводится к даче балльных оценок за вероятность возникновения того или иного вида риска, а также к степени его влияния на деятельность фирмы.
Анализ специальной литературы, посвященной данной теме, показал, что существует несколько широко известных и наиболее часто применяемых методик оценки степени риска на основании использования метода экспертных оценок:
методика Швейцарской банковской корпорации;
методика BERI2.
Однако следует отметить, что их специфической особенностью является определение степени риска для экономики всей страны без учета специфики различных направлений предпринимательской деятельности.
Итак, рассмотрим методику Швейцарской банковской корпорации. Данная методика состоит из четырех этапов:
определение основных направлений анализа;
сбор исходных данных, их предварительная группировка и обработка;
процесс непосредственного прогнозирования и определения степени риска по отдельным рассматриваемым элементам (направлениям предпринимательской деятельности);
определение совокупной степени риска.
Схема факторов риска, влияющих на предпринимательскую деятельность, используемая в данной методике, приведена в приложении Г. Как видно из данной таблицы, большинство показателей рассчитываются традиционным образом
Реальный прирост ВНП (валового национального продукта) рассчитывается как скорректированное отношение (на уровень инфляции) изменения ВНП.
Под инвестиционным соотношением внутри страны подразумевается отношение суммы инвестиции к стоимости ВНП. Согласно данной методике оптимальным считается соотношение в 25%.
Эффективность инвестиций или, другими словами, рентабельность инвестиций на протяжении всего анализируемого периода при оптимуме должна быть не менее 20%.
Средний уровень инфляции рассматривается с точки зрения изменения потребительских цен и состава потребительской корзины, что является отражением не только экономической, а и социально-политической ситуации в стране.
Рост денежных поступлений, так же как и остальные показатели, анализируется в динамике. При этом изучаются все денежные агрегаты: наличные средства, средства предприятий и населения на расчетных текущих счетах и депозитах в банках, страховые средства, стоимость ценных бумаг государственного займа.
При анализе уровня реального внутреннего кредита (депозиты граждан в банках) данный показатель корректируется на индекс инфляции.
Для характеристики налогово-бюджетной политики в данной методике используется модель американского математика и политолога Артура Лаффера, согласно которой усилие налогового пресса со стороны государства на предпринимателей негативно отражается на деловой активности в целом и является дестимулятором роста поступлений в государственный бюджет, а в некоторых случаях даже сокращает их.
В данной методике конкурентоспособность рассматривается довольно нетрадиционно и представляет собой конкурентоспособность национальной валюты — динамики ее обменного курса.
Следующая группа показателей связана с анализом торгового баланса по всем видам товаров и услуг (торговый баланс, экспорт товаров и услуг, импорт товаров и услуг, внешнеторговое сальдо, доля экспорта в ВНП).
Концентрация экспорта рассчитывается как доля экспорта основного товара (или группы товаров) в общем объеме экспорта. Данный показатель характеризует зависимость страны от основных потребительских рынков.
Импорт в страну-партнер рассчитывается в абсолютном выражении в тех денежных единицах, которые используются в данной методике.
Остальные показатели, которые анализируются в данной методике, представляют собой оценку возможности страны рассчитываться по своим внешним обязательствам, и являются также отражением политического риска, который определяется по десятибалльной шкале: 1 -3 балла — низкий риск; 4-6 баллов — умеренный риск; 7-9 баллов — высокий риск; 10 баллов — сверхвысокий риск.
После того, когда все показатели рассчитаны, фирма должна решить, какая база должна использоваться для сравнения. Таким образом, вся совокупность данных параметров должна быть рассчитана и для базовой экономики (например, экономики своей собственной страны), после чего и проводится сравнение. Эта идея представляется довольно интересной потому, что при наличии альтернативных вариантов развития внешнеэкономической деятельности в разных регионах есть возможность выбора оптимального варианта.
Данная методика построена таким образом, что существует возможность корректировки результатов первоначального анализа, обеспечивая таким образом ее гибкость.
Однако, основным недостатком методики Швейцарской банковской корпорации является то, что при ее использовании не учитывается специфика определенного направления деятельности. Результатом этого является то, что она может быть эффективно применена, в основном, для анализа степени риска при проведении! внешнеэкономической деятельности фирмы, и выявить риск на уровне государства. На основании данной методики можно судить о финансовой устойчивости экономики, а следовательно, и об уровне деловой активности субъектов хозяйствования.
Другая широко известная методика, для определения степени риска в целом по экономике страны разработана фирмой BERI (Германия). На основании опроса 100 независимых экспертов рассчитывается специальный индекс, на основании которого и делается вывод о степени риска экономики.
Опрос, проводимый по этой методике, состоит из 15 вопросов, каждый из которых имеет максимальный удельный вес (табл. 2.1).
Таблица 2.1
Оценочные критерии индекс BERI
|
Оценочные критерии |
Максимальный удельный вес, % |
|
1. Политическая стабильность |
12 |
|
2. Отношение к иностранным инвестициям |
6 |
|
3. Степень национализации |
6 |
|
4. Вероятность и степень девальвации внутренней валюты |
6 |
|
5. Состояние платежного баланса |
6 |
|
б. Степень развития бюрократии |
4 |
|
7. Темп экономического роста |
10 |
|
8. Конвертируемость валюты |
10 |
|
9. Качество выполнения договоров |
6 |
|
10. Уровень расходов на заработную плату и производительность труда |
8 |
|
11. Возможность пользоваться услугами внутренних и внешних экспертов |
2 |
|
12. Эффективность организации коммуникации |
4 |
|
13. Взаимоотношения между хозяйственными субъектами и государством, связь с общественностью |
4 |
|
14. Условия получения краткосрочных кредитов |
8 |
|
15. Условия получения долгосрочных кредитов |
8 |
Ответам на поставленные вопросы предшествует всесторонний, глубокий анализ. Оценка политической стабильности дается на основании методов вариационного анализа (проводится анализ частоты возникновения и специфики различного рода противоречий общества (например, локальных конфликтов, забастовок и др.). Широко применяются при использовании этого метода регрессионные модели, дисперсионный и (или) пофакторный анализ, тех составляющих, которые влияют на тот или иной параметр.
Такой показатель, как темп экономического роста ВНП, рассчитывается по отдельной шкале (рис. 2.2).
Рис 2.2Оценка темпа экономического риска для индекса Beri
Таким образом, рост ВНП менее чем на 3% в год оценивается на 2,5% в индексе BERI, от 3 до 6% на 5%, от 6 до 10% на 7,5%,более 10% на 10%.
Как и в предыдущей методике, степень развития бюрократии (степень государственного регулирования экономики) оценивается при использовании модели Лаффера. Кроме этого, в данном показателе учитываются и такие параметры, как скорость денежных переводов внутри страны и за ее пределами, осуществление таможенно-контрольных процедур и т.д.
После проведения анализа составляющих индекса BERI экономика той страны, которая имеет более высокое значение индекса, является более стабильной, а следовательно, и менее рискованной.
Объективный недостаток данной методики, также как и предыдущей, состоит в том, что она не учитывает тех рисков, которые могут возникнуть непосредственно при функционировании фирмы. Обе методики носят более глобальный характер, на основании которых можно судить о степени рискованности всей экономики, а не конкретного направления предпринимательской деятельности, которое фирма планирует развивать в данной стране. Таким образом, использовать данные методики целесообразно при проведении внешнеэкономической деятельности.
Что касается специальных методик экспертной оценки степени риска конкретного направления деятельности предприятия, то они должны разрабатываться как с учетом степени риска в данной экономике (основой для этого могут служить методики Швейцарской банковской корпорации и BERI), так и с учетом специфических особенностей данного субъекта хозяйственной деятельности и временного пространства охватываемого анализом.
Применяя метод дерева решений, оценивают значения денежных потоков по нескольким вариантам развития: оптимистический, пессимистический, нормальный. Дерево решений - это сетевые графики, отражающие моменты наступления событий и вероятность получения финансовых результатов. Каждая ветвь дерева - это различные варианты развития. Чем больше разброс значений прогнозируемых критериев, тем более рискованным кажется проект1.
По методу процентной ставки для более рискованных проектов применяют повышенную ставку дисконтирования, под более высокий процент предоставляют кредиты - с учетом премии за риск.
Метод сценариев позволяет перейти от детализированного описания стратегических и оперативных рисков, характерных для каждого вида деятельности предприятия к проработке вероятного, пессимистического и оптимистического вариантов развития. На заключительном этапе перспективного планирования такая оценка риска должна воплощаться в показателях плановых заданий: напряженных - соответствующих оптимистическому сценарию, наиболее реальных (вероятный сценарий) и заниженных (пессимистический сценарий). Кроме того, при разработке сценариев согласовываются стратегические риски развития предприятия в целом и отдельных видов деятельности с оперативными рисками - рисками управления обеспечением, производством и сбытом (Приложение Д).
Количественный анализ риска является одной из важных составляющих процесса эффективного управления фирмой.
Анализ экономической литературы, посвященной данной теме, показал, что в настоящее время наиболее распространенными методами количественной оценки степени риска являются1:
статистический метод;
метод анализа целесообразности затрат;
аналитический метод;
метод использования аналогов.
Статистический метод широко применяется в тех случаях, когда при проведении количественного анализа фирма располагает значительным объемом аналитико-статистической информации по необходимым элементам анализируемой системы за n-количество периодов времени. Во время проведения анализа используются данные, касающиеся результативности осуществления фирмой рассматриваемых действий. При использовании этого метода степень риска выражается через величину среднеквадратического отклонения от ожидаемых величин.
Математическое ожидание данного отражения представляет собой сумму произведений всех ее возможных значений на вероятность их возникновения2:


где: М(Х) — математическое ожидание;
Х1, X2, Хn — значения, которые может принимать исследуемый параметр в зависимости от конкретных условий;
P1, P2, Рn — вероятность принятия этих значений. Таким образом, вероятностный смысл математического ожидания конкретного параметра от проведения предпринимательской деятельности состоит в том, что оно приближенно равно среднему арифметическому его наблюдаемых (возможных) значений. Однако, математическое ожидание еще не является полной характеристикой случайной величины. Для более полной ее характеристики необходимо использовать и другие числовые характеристики. Так, для того, чтобы оценить, каким образом будут рассеяны значения выбранного параметра (например, прибыли) от его среднего прогнозируемого значения (т.е. от математического ожидания) целесообразно использовать такую характеристику, как дисперсия. Теория вероятностей определяет дисперсию как математическое ожидание квадрата отклонения1:


Величина, при помощи которой можно оценивать рассеяние (отклонение) возможных значений случайной величины от ее среднего значения, называется среднеквадратическим отклонением.
Среднеквадратическое отклонение представляет собой квадратный корень из дисперсии.
Таким образом, экономический смысл среднеквадратического отклонения с точки зрения теории рисков состоит в том, что оно является характеристикой конкретного риска, которая показывает максимально возможное колебание определенного параметра от его среднеожидаемого значения. Данное положение позволяет использовать среднеквадратическое отклонение как показатель степени риска с точки зрения вероятности его реализации. Причем, чем больше величина среднеквадратического отклонения, тем рискованнее данное управленческое решение и, соответственно, более рискован данный путь развития предприятия.
Продемонстрируем расчет математического ожидания, дисперсии и среднеквадратического отклонения на примере деятельности фирмы, которая стоит перед выбором конкретного направления своего развития.
Предположим, что у некоторого предприятия есть возможность выбора стратегии своего развития по одному из двух возможных направлений. При этом первый вариант характеризуется тем, что для его развития фирме необходимо сделать единоразовые инвестиции в размере 100 тыс. грн. Учитывая изменения, которые происходят на рынке, где работает данная фирма, может сложиться четыре варианта ситуаций. При первом варианте фирма может получить прибыль на вложенный ею капитал в данное направление деятельности в размере 40%. Второй и третий варианты одинаковы между собой по результатам и отличаются лишь некоторыми специфическими особенностями, связанными с рекламой. Пренебрегая этими особенностями, установлено, что при реализации данных ситуаций (второго и третьего вариантов) фирма может получить прибыль в размере 10% на вложенный капитал. При четвертом варианте фирма может понести убытки в размере 20% вложенного капитала.
Таким образом, при реализации варианта:
1 — фирма выигрывает 40%;
2 и 3 — фирма выигрывает 10%;
4 — фирма теряет 20%.
Фирма имеет шанс (вероятность) 1 из 4 (или 0,25), что она получит прибыль 40%. Шанс 2 из 4 (или 0,5) на получение 10% прибыли и шанс 1 из 4 (или 0,25), что фирма потеряет 20% вложенного капитала. Таким образом, ожидаемая прибыль от данного вида деятельности с учетом вероятности (математическое ожидание) составит 10%:
Ожидаемая прибыль = (0,25х40)+(0,5х10)+(0,25х(-20))=+10%.
Расчет дисперсии и среднеквадратического отклонения приведен в табл. 2.2
Таблица 2.2
Расчет дисперсии и среднеквадратического отклонения
-
Возможный % прибыли
Отклонение от ожидаемой прибыли
Квадрат отклонения
Вероятность
Дисперсия
+40
+30
900
0.25
225
+ 10
0
0
0,5
0
-20
-30
900
0.25
225
450
Из данной таблицы видно, что вариация процента прибыли (дисперсия) составляет 450. А квадратный корень из нее, который является среднеквадратическим отклонением, равен 21.
Если бы развитие фирмы и ее будущее было полностью определено, т.е. имело 100% гарантии выполнения, то отклонение от ожидаемой прибыли составило бы 0%. И среднеквадратическое отклонение так же равнялось бы 0. Таким образом, из данного примера видно, что среднеквадратическое отклонение и вариация являются показателями неопределенности и риска. В нашем примере этот риск составляет 21 единицу.
Второе направление развития фирмы, так же как и первое, характеризуется тем, что в ходе его реализации могут возникнуть четыре ситуации, отличие с первым направлением состоит в том, что при этом увеличивается размер прибыли по первым трем вариантам и потери по четвертому. Теперь при реализации варианта:
1 — фирма выигрывает 70%;
2 и 3 — фирма выигрывает 10%;
4 — фирма теряет 50%.
Для данного направления деятельности ожидаемая прибыль (математическое ожидание) составляет так же, как и для первого + 10%, но среднеквадратическое отклонение составляет 42 единицы, что в два раза больше предыдущего значения. Это означает, что второе направление развития фирмы в два раза рискованнее и с точки зрения эффективного управления ей следует сделать выбор первого направления деятельности.
Однако, как видно из приведенного примера, величина среднеквадратического отклонения, являясь характеристикой предпринимательского риска, еще не дает возможности проводить сравнения рискованности направлений деятельности и конкретных ситуаций по признакам (потерям), выраженным в разных единицах (например, финансовыми результатами, которые выражены в денежных единицах и объемом производства, который может быть выражен в натуральных единицах). Теория рисков разрешает данное противоречие путем введения коэффициента вариации.
Коэффициент вариации — это относительная величина, которая рассчитывается как отношение среднеквадратического отклонения к средней арифметической (математическому ожиданию)1:


где: b — коэффициент вариации,
— среднеквадратическое отклонение.
С помощью коэффициента вариации можно сравнивать даже колебания признаков, выраженных в разных единицах измерения. Коэффициент вариации может изменяться в пределах от 0 до 100%. При этом, чем меньше его значение, тем большая стабильность прогнозируемой ситуации, а, следовательно, и меньшая степень риска и, наоборот, чем больше его значение, тем более высокая степень риска данного мероприятия либо направления деятельности.
Данный пример является показательным для описания методики нахождения степени риска конкретного направления предпринимательской деятельности. Используя ее, субъекты предпринимательской деятельности могут рассчитать степень риска практически для любого направления деятельности, а также для любого портфеля инвестиций или заказов. Для расчета необходимо владеть всеми исходными данными. В большинстве случаев их поиск не представляет особых проблем, за исключением лишь такого параметра, как вероятность.
Нельзя узнать степень вероятности того или иного события, прочитав газету или посмотрев сводку новостей. Аналитическая работа по этому направлению должна начинаться с рассмотрения прошлой вероятности. Однако, при этом следует учитывать и тот факт, что, даже если событие имело большую вероятность в прошлом, это еще не означает, что оно будет иметь такую же вероятность и в будущем. Знание истории событий дает возможность первичного формирования взгляда персонала фирмы, занимающегося данным анализом, на прошлые приоритеты, что особенно важно при формировании различных новых направлений предпринимательской деятельности.
Сущность метода анализа целесообразности затрат1 основывается на том, что в процессе предпринимательской деятельности затраты по каждому конкретному направлению, а также по отдельным элементам, не имеют одинаковую степень риска. Другими словами, степень риска двух разных направлений деятельности одной и той же фирмы неодинакова; и степень риска по отдельным элементам затрат внутри одного и того же направления деятельности также неодинакова. Так, например, гипотетически занятие игорным бизнесом более рискованное по сравнению с производством хлеба и затраты, которые несет диверсифицированная фирма на развитие этих двух направлений своей деятельности, будут также отличаться по степени риска. Даже в том случае, если предположить, что размер затрат по статье "аренда помещений" будет одинаковым по обоим направлениям, то все равно степень риска будет выше в игорном бизнесе. Такая же ситуация сохраняется и с затратами внутри одного и того же направления. Степень риска по затратам, связанным с покупкой сырья (которое может быть доставлено не точно в указанный срок, его качество может не полностью соответствовать технологическим нормам или его потребительские свойства могут быть частично утеряны при хранении на самом предприятии и т.д.), будет выше, чем по затратам на заработную плату.
Таким образом, определение степени риска путем анализа целесообразности затрат ориентировано на идентификацию потенциальных зон риска. Такой подход целесообразен еще и с тех позиций, что дает возможность выявить "узкие места" в деятельности предприятия с точки зрения рискованности, а после разработать пути их ликвидации.
Обобщив накопленный мировой и отечественный опыт анализа1 степени риска при помощи использования метода анализа целесообразности затрат, можно сделать вывод о необходимости использовать при таком подходе градацию затрат на области риска.
Для анализа целесообразности затрат состояние по каждому из элементов затрат должно быть разделено на области риска, которые представляют собой зону общих потерь, в границах которых конкретные потери не превышают предельного значения установленного уровня риска:
область абсолютной устойчивости;
область нормальной устойчивости;
область неустойчивого состояния;
область критического состояния;
область кризисного состояния.
В области абсолютной устойчивости степень риска по рассматриваемому элементу затрат соответствует нулевому риску. Данная область характеризуется отсутствием каких-либо потерь при совершении предпринимательской деятельности с гарантированным получением плановой прибыли, размер которой теоретически не ограничен.
Элемент затрат, который находится в области нормальной устойчивости, характеризуется минимальной степенью риска. Для данной области максимальные потери, которые может нести субъект предпринимательской деятельности, не должны превышать границы плановой чистой прибыли (т.е. той ее части, которая остается у субъекта хозяйствования после налогообложения и всех остальных выплат, которые производятся на данном предприятии из прибыли, например, выплата дивидендов). Таким образом, минимальная степень риска обеспечивает фирме "покрытие" всех ее издержек, и получение той части прибыли, которая позволяет покрыть все налога. Как правило, в условиях рыночной экономики, как было показано ранее, направление, которое имеет минимальную степень риска, связано с тем, что государство является его основным контрагентом. Это может проходить в самых различных формах, из которых основными являются такие, как осуществление операций с ценными бумагами правительства или муниципальных органов, участие в выполнении работ, финансируемых за счет государственного или муниципальных бюджетов, и т.д.
Область неустойчивого состояния характеризуется повышенным риском, при этом уровень потерь не превышает размеры расчетной прибыли (т.е. той части прибыли, которая остается у предприятия после всех выплат в бюджет, уплаты процентов за кредит, штрафов и неустоек). Таким образом, при такой степени риска субъект предпринимательской деятельности рискует тем, что он в худшем случае получит прибыль, величина которой будет меньше ее расчетного уровня, но при этом будет возможность произвести покрытие всех своих издержек.
В границах области критического состояния, которой соответствует критическая степень риска, возможны потери в границах валовой прибыли (т.е. общей сумме прибыли, которая получена предприятием до произведения всех вычетов и отчислений). Такой риск является нежелательным, потому что при этом фирма рискует потерять не просто прибыль, а и не покрыть полностью свои издержки.
Недопустимый риск, который соответствует области кризисного состояния, означает принятие субъектом предпринимательской деятельности такой степени риска, которая предполагает наличие возможности непокрытия всех издержек фирмы, связанных с данным направлением ее деятельности.
Таблица 2.3
Области деятельности предприятия
|
Области деятельности фирмы |
Абсолютной устойчивости |
Нормальной устойчивости |
Неустойчивое состояние |
Критическое состояние |
Кризисное состояние |
|
области риска |
безрисковая область |
область минимального риска |
область повышенного риска |
область критического риска |
область недопустимого риска |
|
максимальные потери |
полное отсутствие потерь |
чистая прибыль |
расчетная прибыль |
валовая прибыль |
выручка от реализации и имущество фирмы |
|
Коэффициент b |
0 |
0-25 |
25-50 |
50-75 |
75-100 |
После того, как рассчитан коэффициент b на основании данных прошлых периодов, каждая статья затрат анализируется по отдельности на предмет ее идентификации по областям риска и максимальным потерям. При этом степень риска всего направления предпринимательской деятельности будет соответствовать максимальному значению риска по элементам затрат. Преимущество данного метода состоит в том, что зная статью затрат, у которой риск максимальный, возможно найти пути его снижения (например, в том случае, если максимальная точка риска приходится на затраты, связанные с арендой помещения, то можно отказаться от аренды и купить его и т.п.)
Основной недостаток такого подхода к определению степени риска, так же как и при статистическом методе, состоит в том, что предприятие не анализирует источники происхождения риска, а принимает риск как целостную величину, таким образом игнорируя его мультисоставляющие.
Суть аналитического метода сводится к использованию нескольких взаимосвязанных этапов. На первом этапе осуществляется подготовка к аналитической обработке информации, которая включает в себя:
определение ключевого параметра, относительно которого производится оценка конкретного направления предпринимательской деятельности (например, объем продаж, объем прибыли, рентабельность и т.д.);
отбор факторов, которые влияют на деятельность фирмы, а следовательно, и на ключевой параметр (например, уровень инфляции, политическая стабильность, степень выполнения договоров основными поставщиками предприятия и т.д.);
расчет значений ключевого параметра на всех этапах производственного процесса (НИОКР, внедрение в производство, полное производство, отмирание данного направления деятельности).
Сформированные таким образом последовательности затрат и поступлений дают возможность определить не только общую экономическую эффективность исследуемого направления деятельности, а и выявить ее значения на каждой из стадий.
На втором этапе строятся диаграммы зависимости выбранных результирующих показателей от величины исходных параметров. Сопоставляя между собой полученные диаграммы, можно выделить те основные показатели, которые в наибольшей степени влияют на данный вид (или группу видов) предпринимательской деятельности.
На третьем этапе определяются критические значения ключевых параметров. Наиболее просто при этом может быть рассчитана критическая точка производства или зона безубыточности, которая показывает минимально допустимый объем продаж для покрытия издержек фирмы.
Во время четвертого этапа анализируются на основании полученных критических значений ключевых параметров и факторов, влияющих на них, возможные пути повышения эффективности и стабильности работы фирмы, а следовательно, и пути снижения степени риска, которая определяется одним из предыдущих методов.
Таким образом, преимуществом аналитического метода является то, что он сочетает в себе как возможность пофакторного анализа параметров, влияющих на риск так и выявление возможных путец снижения его степени посредством влияния на них.
Сущность метода использования аналогов состоит в том, что при анализе степени риска определенного направления предпринимательской деятельности целесообразно использовать данные о развитии таких же и аналогичных направлений в прошлом.
Анализ прошлых факторов риска осуществляется на основании информации, полученной из самых различных источников, таких как публикуемые отчеты компаний о своей прошлой деятельности, информации, распространяемой государственными организациями, данных страховых компаний и т.д. Полученные таким образом данные обрабатываются с целью выявления зависимостей между планируемыми результатами деятельности фирмы и учетом потенциальных рисков.
На наш взгляд, объективная трудность при использовании метода аналогий для оценки степени риска состоит в том, что данные прошлых периодов должны применяться в настоящий момент времени без учета того факта, что любое направление предпринимательской деятельности находится в постоянном развитии. Эта опасность наиболее четко видна при рассмотрении производственного направления предпринимательской деятельности. Любой продукт проходит несколько жизненных стадий от его разработки до смерти (снятия с производства). На основании этого можно сделать вывод о том, что наиболее оптимальным является сравнение прошлых и настоящих показателей в границах одной стадии. В противном случае вероятность допущения ошибки при проведении анализа довольно высока.
Целесообразность использования этого метода состоит в том, что если необходимо выявить степень риска по любому инновационному направлению деятельности фирмы, когда отсутствует строгая база для сравнения, лучше знать прошлый опыт хоть и не полностью соответствующий современным условиям, чем не знать ничего.
При проведении комплексного анализа вероятностных потерь, при проведении оценки риска важно не только установить все источники риска, но и выявить, какие источники доминируют. При этом целесообразно классифицировать возможные потери по признаку влияния на деятельность фирмы на определяющие и побочные (косвенные). К определяющим потерям могут быть отнесены такие потери, которые при своем возникновении непосредственно влияют на деятельность предприятия, а к побочным — те, влияние которых на фирму осуществляется опосредованно (например, повышение жизненного уровня населения и, как следствие этого, изменение приоритетов в питании, что может повлечь снижение спроса на так называемые низшие товары).
Кроме этого, логичным является и вычленение случайных составляющих потерь, т.е. тех, расчет которых представляет наибольшую сложность из-за высокой степени неопределенности, и отделение их от систематически повторяющихся (одним из наглядных примеров систематических потерь может служить рост цен в условиях низкой инфляции).
Риск может измеряться, как было сказано ранее, в абсолютном и относительном выражениях.
В абсолютном выражении риск может быть измерен величиной прогнозируемых потерь (убытков), а в относительном выражении он может быть определен как величина убытков, отнесенная к определенной базе. База отнесения убытков может быть выбрана непосредственно самой фирмой в зависимости от ее специфики и вида оцениваемого конкретного риска. Ею могут быть затраты на производство, стоимость основных производственных фондов, активы предприятия, прибыль, численность персонала, стоимость отдельных ресурсов и т.д.
При измерении риска в абсолютном выражении в практике широко применяется упрощенный подход. Его сущность сводится к тому, что оценивается, каким образом влияет степень риска на основные показатели работы фирмы, и на основании данной информации делается вывод о целесообразности принятия данного риска и занятия данным предпринимательством.
Расчет абсолютного значения риска (абсолютного уровня потерь) можно произвести по следующей формуле1:


где: W>t> — абсолютное значение риска по i-параметру;
Рi — плановое значение i-параметра при благоприятном исходе;
b — расчетное значение степени риска.
Преимуществом данного расчета является то, что в качестве i-го параметра (Pi) можно использовать широкий спектр показателей, по которым фирма прогнозирует убытки в случае реализации определенного риска или группы рисков.
Аналогично может быть произведен и расчет абсолютного уровня нерискуемой части2:
где Li, — величина не подвергаемой риску части i-параметра или3
На практике часто могут возникнуть ситуации, когда недостаточно знать только лишь величину риска в абсолютном выражении, а его значение необходимо сравнить с определенными показателями, характеризующими деятельность фирмы.
Расчет риска в относительном выражении может быть произведен по формуле4:
где Ri — относительное значение риска по i-параметру.
Определение относительной величины риска является довольно важной задачей для хозяйственного субъекта также и в силу причин, о которых говорилось в ходе характеристики критериев, используемых при анализе рисков. Неудовлетворенность фирмы в высоком значении риска в абсолютном и относительном выражении является одной из главных причин осознанного принятия ею риска, а в ряде случаев ее отказа от занятия данным видом деятельности, либо побудительным мотивом для внесения изменений в стратегию своего развития.
2.3 Пути снижения риска в предпринимательской деятельности
Очень важно для организации эффективной предпринимательской деятельности своевременно понять и определить возможные зоны возникновения риска.
Вероятность избегания риска требует соответствующего подхода в управлении, который должен охватывать комплекс конкретных мер по необходимому и возможному изменению условии производства и перестройки на этой основе взаимодействия в пространстве и времени трудовых, материальных и других ресурсов производства, либо по перестройке взаимодействия этих ресурсов без изменения условий производства, обеспечивающей достижение требуемых результатов деятельности полразделения. Осуществление такой деятельности всегда связано с возникновением проблем, соответствующих ситуаций, что непременно приводит к риску. Поэтому очень важно попытаться заранее предусмотреть все возможные реакции на ситуацию. Это может быть разработка системы регламентации деятельности фирмы, создание комплексного набора стандартных процедур и т. п.
Экономический риск это многофакторное явление и в полной мере раскрыть эти факторы и направления снижения риска в процессе осуществления предпринимательской деятельности очень трудно. В этой связи остановимся только на основных факторах и направлениях, имеющих большое практическое применение.
Одной из разновидностей экономической деятельности является создание совместных предприятий (СП). Надо помнить и понимать, что для совместных предприятий «ассортимент» и количество рисков значительно увеличивается, так как речь идет о двух и более государствах. Поэтому на создание совместных фирм надо идти с партнерами, которые имеют технические и рыночные возможности внедрения новых технологий. Создание СП является хорошим стимулом к научно-исследовательской деятельности.
Для того чтобы правильно регулировать взаимоотношения партнеров, снизить степень риска в совместной деятельности, надо четко представлять те цели, которые преследует создание совместных предприятий. Сегодня многие специалисты сходятся во мнении, что таких целей, в основном, можно сформулировать пять. Они взаимозависимы, и их необходимо расположить в порядке значимости1:
Увеличение количества качественных товаров на внутреннем рынке с перспективой полного насыщения рынка.
Привлечение передовой зарубежной техники, технологии, использование опыта зарубежных фирм для ведения коммерческих дел на совместных предприятиях.
Значительное повышение качества выпускаемой продукции и постепенный выход на мировой рынок.
Развитие экспортного потенциала страны, создание заделов для выхода на внешние рынки с конкурентоспособными товарами.
Привлечение дополнительных финансовых и материальных ресурсов, привязка западных фирм к местному рынку.
Приобретение фирм, компаний с хорошо налаженной системой внедрения новых технологий или другими преимуществами.
Приобретение – одна из наиболее распространенных способов роста компании. Необходимо помнить, что, прежде всего, следует выделить три рациональных мотива приобретения:
Заполнение пробелов в производственной цепочке.
Инвестирование избыточных средств.
Укрепление делового партнерства.
Часто ошибка покупателей заключается в том, что они недооценивают стратегическое положение и производственные возможности приобретаемого дела. Следовательно, одна из важнейших задач, стоящих перед покупателем, заключается в том, чтобы оценить стратегическую привлекательность приобретаемого дела.
Привлечение внешних конкурентов-экспертов с узкой специализацией, именно в той области, где наиболее вероятен риск.
Внедрение нововведений - это ориентация на определенную узкую категорию потребителей, которые с удовольствием воспринимают нововведения. Это особенно актуально для малого и среднего бизнеса. Но есть исключения - это преуспевающая группа фирм так называемой нишевой (или патентной) специализации. Это поставщики узкоспециальной продукции, общий спрос на которую сравнительно невелик, то есть - ограниченный спрос.
Максимальное использование прошлого опыта, положительной практики.
В области управления слепое копирование положительного опыта, как отечественного, таки зарубежного, невозможно, поскольку для его успешного использования необходимо в первую очередь знание и учет специфики своего предприятия и своих возможностей. Только в этом случае можно избирательно почерпнуть для себя что-то полезное из знакомства с широким спектром управленческих подходов, апробированных и подтвердивших на практике свою эффективность.
Временные и информационные ограничения имеют самое важное значение при принятии решений.
Риск может быть уменьшен за счет диверсификации.
Диверсификация представляет собой процесс распределения инвестируемых средств между различными объектами вложения, которые непосредственно не связаны между собой.
Примером диверсификации может служить хранение свободных денежных средств в различных банках.
Чаще всего диверсификацию рассматривают как эффективный способ снижения рисков в процессе управления портфелем ценных бумаг. Вместе с тем этот метод имеет значительно более широкую область эффективного применения и может использоваться в различных сферах предпринимательской деятельности — промышленном производстве, строительстве, торговле и др.
Так, например, для снижения риска потерь, связанных с падением спроса на определенный вид продукции:
промышленное предприятие осваивает и осуществляет выпуск разных видов продукции;
строительная фирма наряду с основным видом работ осуществляет выполнение вспомогательных и сопутствующих работ, а также принимают меры, позволяющие максимально быстра переориентироваться на выпуск других видов строительной продукции и т.п.
В страховом бизнесе примером диверсификации является расширение страхового поля. Так страхование, например, урожая, строений и т.п. на небольшом пространстве (в случае наступления, урагана и т.п.), может привести к необходимости выплаты больших страховых сумм. Увеличение страхового поля уменьшает вероятность одновременного наступления страхового события.
Примерами диверсификации с целью снижения банковских рисков могут быть:
предоставление кредитов более мелкими суммами большему количеству клиентов при сохранении общего объема кредитования;
образование валютных резервов в разной валюте с целью уменьшения потерь в случае падения курса одной из валют;
привлечение депозитных вкладов, ценных бумаг более мелкими суммами от большего числа вкладчиков и т.п.
Выход за пределы рынка одной страны может уменьшить колебания спроса, а соответствующее увеличение клиентов уменьшает уязвимость проекта (деятельность) при потере одного или нескольких клиентов.
Следует отметить, что не любое разнообразие акций, товаров, услуг, клиентов и т.п. приводит к снижению риска.
Так, например, при снижении деловой активности автомобилестроительных фирм они уменьшат закупку металла у металлургов и т.д.
В этом случае колебания курсов акций указанных фирм будут меняться в одну и ту же сторону. Диверсификация путем приобретения акций указанных компаний бесполезна, т.к. их эффективность будет зависеть от одних и тех же факторов.
Важным условием эффективности принимаемых мер является независимость объектов вложения капитала. Так, например, при планировании разнообразия с целью снижения риска желательно выбирать производство таких товаров (услуг), спрос на которые изменяется в противоположных направлениях, то есть, при увеличении спроса на один товар спрос на другой предположительно уменьшается и наоборот.
Здесь следует помнить, что диверсификация является способом снижения несистематического риска. Как отмечалось, посредством диверсификации не может быть сокращен систематический риск, который обусловлен общим состоянием экономики и связан с такими факторами, как: война, инфляция, глобальные изменения налогообложения, изменения денежной политики и т.п.
Лимитирование представляет собой установление системы ограничений как сверху, так и снизу, способствующей уменьшению степени риска.
В предпринимательской деятельности лимитирование применяется чаще всего при продаже товаров в кредит, предоставлении займов, определении сумм вложения капиталов и т.п. В первую очередь это относится к денежным средствам — установление предельных сумм расходов, кредита, инвестиций и т.п. Так, например, ограничение размеров выдаваемых кредитов одному заемщику позволяет уменьшить потери в случае невозврата долга.
Примером лимитирования является установление высшего размера (лимита) суммы, которую страховщик может оставить на собственном удержании. Превышение этой суммы влечет за собой отказ от страхования или использование таких форм, как сострахование или перестрахование.
Страхование является одним из наиболее распространенных способов снижения рисков.
Сущность страхования состоит в передаче риска (ответственности за результаты негативных последствий) за определенное вознаграждение кому-либо другому, т.е. в распределении ущерба между участниками страхования.
Различают три отрасли страхования1: личное, имущественное и страхование ответственности. В системе страхования экономических рисков преимущественное распространение получили имущественное страхование и страхование ответственности.
Имущественное страхование — это отрасль страхования, в которой объектом страховых отношений выступает имущество в различных видах (строения, оборудование, транспортные средства, сырье, материалы, продукция, поголовье сельскохозяйственных животных, сельскохозяйственные угодья и т.п.) и имущественные интересы.
Наиболее часто имущество страхуется на случай уничтожения или повреждения в результате стихийных бедствий, несчастных случаев, пожаров, болезней, краж и т.п.
Имущественные интересы страхуются на случай недополучения прибыли или доходов (упущенной выгоды), неплатежа по счетам продавца продукции, простоев оборудования, изменения валютных курсов и др.
Одной из специфических форм страхования имущественных интересов является хеджирование — система мер, позволяющих исключить или ограничить риски финансовых операций в результате неблагоприятных изменений курса валют, цен на товары, процентных ставок и т.п. в будущем. Такими мерами являются: валютные оговорки, форвардные операции, опционы и др.
В последние годы все более широкое применение в предпринимательской деятельности находит страхование ответственности.
Страхование ответственности — это отрасль страхования, где объектом выступает ответственность перед третьими лицами за причиненный им ущерб вследствие какого-либо действия или бездействия страхователя.
Ответственность предпринимателя включает широкий спектр ситуаций — от его ответственности за непогашение кредитов до ответственности за экологическое загрязнение, причинение ущерба природе и жителям района от неправильной технологии своей деятельности.
Страхование ответственности предусматривает, в случае причинения страхователем вреда здоровью или имуществу третьих лиц, осуществление страховщиком в силу закона или по решению суда соответствующих выплат, компенсирующих причиненный вред.
Наряду со страхованием риска используются такие его разновидности, как сострахование и перестрахование.
В условиях постоянного увеличения стоимости объектов страхования повышается ценность рисков, принимаемых на страхование. Поэтому наступление страхового события может представляться крайне опасным для страховщика, так как покрытие убытков, связанных с дорогостоящим риском, может потребовать изъятия страховых резервов и даже собственного капитала , т.е. привести его к банкротству. Кроме того, большинство страховщиков не располагают достаточными для покрытия таких убытков финансовыми средствами.
В этих условиях каждый страховщик устанавливает для себя предельный размер страховой суммы, которую он может оставить на собственном удержании.
Если предполагаемая сумма страхования превосходит этот максимум, то страховщик может принять на себя только часть этой суммы, предоставляя страхователю право застраховаться на недостающую сумму у других страховщиков.
Такая форма страхования называется сострахованием.
К недостаткам такого подхода к предупреждению и снижению риска следует отнести необходимость заключения договора страхования с разными страховщиками, как правило, по разным условиям и тарифам. При наступлении страхового события страхователь должен получать от каждого страховщика в отдельности долю страхового возмещения.
Своеобразной формой страхования, на наш взгляд, является перестрахование распределение риска (передача части риска) путем привлечения к участию в содержащем риск проекте более широкого круга партнеров или инвесторов.
Таким примером передачи части риска может быть предоставление кредитов на консорциональной основе, когда для выдачи большой суммы кредита объединяются несколько банков, образуя консорциум.
Резервирование средств, как способ снижения отрицательных последствий наступления рисковых событий, состоит в том, что предприниматель создает обособленные фонды возмещения убытков за счет части собственных оборотных средств.
Как правило, такой способ снижения рисков предприниматель выбирает в случаях, когда, по его мнению, затраты на резервирование средств меньше, чем стоимость страховых взносов при страховании.
По своей сути резервирование средств представляет собой децентрализованную форму создания резервных (страховых) фондов непосредственно в хозяйствующем субъекте. Поэтому резервирование средств на покрытие убытков часто называют самострахованием.
Одной из важнейших характеристик метода резервирования средств, определяющих его место в системе мер, направленных на снижение риска, и область эффективного применения, является требуемый в каждом конкретном случае объем запасов. Поэтому в процессе оценки эффективности, выбора и обоснования вариантов снижения риска посредством резервирования средств необходимо определить оптимальный (минимальный, но достаточный для покрытия убытков) размер запасов.
Анализ рассмотренных выше характеристик различных методов снижения риска позволяет сделать вывод о том, что любое мероприятие, направленное на снижение риска имеет свою «цену». На практике наиболее эффективный результат можно получить лишь при комплексном использовании различных методов снижения риска. Комбинируя их друг с другом в самых различных сочетаниях, можно достичь так же оптимальной соотносительности между уровнем достигнутого снижения риска и необходимыми для этого дополнительными затратами.
1 Кадинская О. А. Управление финансовыми рисками. М. - 2000. – С. 57
2 Черкасов В.В. Проблемы риска в управленческой деятельности. К. 2002. - С. 74
1 Глущенко В. В. Управление рисками. Страхование. М. - 1999. – С. 105
1 Беляков А. В. Процентный риск: анализ, оценка, управление // Финансы и кредит. 2001. № 2. - С. 18
2 Хохлов Н.В. Управление риском. М. - 1999. С. 239.
3 Баканов М.И., Чернов В.А. Анализ коммерческого риска // Бух. Учет 1995г. №10
1 Гробовой П.Г., Петрова С.Н., Полтавцев С.И. Риски в современном бизнесе. М. - 1994. - С. 131
2 Устенко О.Л. Теория экономического риска. К. - 1997г. С. 61
1 Глазунов В.Н. Финансовый анализ и оценка риска реальных инвестиций. М. -1997. – С. 41
1 Гранберг А.Г. Статистическое моделирование и прогнозирование. М. – 1995 - С. 114
2 Вентцель Е.С. Теория вероятностей. М. - 1999г. - с. 135
1 Вентцель Е.С. Теория вероятностей. Москва. 1999г. с. 136
1 Гранберг А.Г. Статистическое моделирование и прогнозирование. Москва. 1995г. с. 113
1 Черкасов В.В. Деловой риск в предпринимательской деятельности. К. - 1996г. - С. 135
1 Lubatkin M., Rogers R. Systematic Risk and Shareholder Return: A Capital market // Academy of Management Journal. 1997. №4. С. 45
1 Пастюшков А.В. Об оценке финансового риска.// Бух. учет. 1999г. №1. – С. 21
2 Пастюшков А.В. Об оценке финансового риска.// Бух. учет. 1999г. №1. – С. 21
3 Там же
4 Там же
1 Черкасов В.В. Проблемы риска в управленческой деятельности. Киев. 2002г. с. 136
1 Глущенко В. В. Управление рисками. Страхование. М. - 1999. – С. 112
Раздел 3. Оптимизация экономических рисков в экономической деятельности субъектов хозяйствования
3.1 Оценка рисков в различных сферах предпринимательской деятельности
Как уже отмечалось, все виды рисков взаимосвязаны, и изменение одного вида риска вызывает изменение большинства остальных. Это затрудняет анализ и систематизацию рисков.
Упрощенная схема предпринимательских рисков представлена на рисунке 3.1

Рис. 3.1 Упрощенная схема предпринимательских рисков
Рассмотрим некоторые из приведенных в схеме внешних рисков.
Страновые риски1 это риски, которые непосредственно связаны с интернационализацией предпринимательской деятельности. Они актуальны для всех участников внешнеэкономической деятельности и зависят от политико-экономической стабильности стран — импортеров, экспортеров.
Причинами странового риска могут быть нестабильность государственной власти, особенности государственного устройства и законодательства, неэффективная экономическая политика, проводимая правительством, этнические и региональные проблемы, резкая поляризация интересов различных социальных групп и т.п.
На результаты предпринимательской деятельности могут оказывать влияние, проводимое государством торговое и валютное регулирование, квотирование, лицензирование, изменение таможенных пошлин и т.п.
Валютные риски связаны с изменением валютных курсов. Величина валютного риска связана с потерей покупательной способности валюты, поэтому она находится в прямой зависимости от разрыва во времени между сроком заключения сделки и моментом платежа. Курсовые потери у экспортера возникают в случае заключения контракта до падения курса валюты платежа, потому что за вырученные средства экспортер получает меньше национальных денежных средств. Импортер же имеет убытки при повышении курса валюты, т.к. для ее приобретения потребуется затратить больше национальных валютных средств.
Валютные риски относятся к спекулятивным рискам, поэтому при потерях одной из сторон в результате изменения валютных курсов другая сторона, как правило, получает дополнительную прибыль, и наоборот.
Налоговые риски можно рассматривать с двух позиций – предпринимателя и государства.
Налоговый риск предпринимателя связан с возможными изменениями налоговой политики (появление новых налогов, ликвидация или сокращение налоговых льгот и т.п.), а также изменением величины налоговых ставок.
Следует отметить, что уровень предпринимательского риска: увеличивают не только высокие ставки налогов, но и нестабильность налогового законодательства, когда существует высокая вероятность того, что ставки налогов могут быть изменены, как правило, в строну увеличения. Постоянно вносимые поправки и дополнения являются источником риска, лишают предпринимателей уверенности в надежности своей деятельности.
Налоговый риск государства состоит в возможном сокращении поступлений в бюджет в результате изменения налоговой политики и/или величины налоговых ставок.
Как показала практика, государство оказывается заинтересованным в установлении таких ставок налогообложения, которые бы:
с одной стороны, не препятствовали развитию предпринимательства;
с другой стороны, обеспечивали максимальное поступление средств в бюджет.
Простейшим примером, иллюстрирующим зависимость поступлений в бюджет от величины ставок налогообложения, является кривая Лаффера1 (рис. 3.2). Данная кривая наглядно показывает, что по мере роста налоговых ставок (К) общая сумма поступлений в бюджет (R) растет. При этом значению ставки К>о> соответствует максимальный объем финансовых средств, отчисляемых в виде налогов в бюджет R>o> = Q.
После прохождения значения Q= f (K>o>) последующее увеличение ставок К ведет не к росту налоговых поступлений, а к их сокращению.

Рис. 3.2 Зависимость поступлений в бюджет от величины ставок налогообложения (кривая Лаффера)
Происходит это в силу того, что дальнейшее увеличение налогов подрывает заинтересованность предпринимателей в наращивании объемов производства, увеличивает факты прямого и косвенного уклонения от уплаты налогов (сокрытие факта предпринимательской деятельности, занижение доходов и прибыли и др.), заставляет предпринимателей переносить свой бизнес в государства с более либеральным налоговым законодательством.
Для исключения подобных нежелательных для государств последствий во всех развитых странах законодательство устанавливает предельные ставки налогов на доходы предпринимателей
Конечно, модель последствий увеличения размеров налоговых ставок, которая представлена кривой Лаффера, является достаточно упрощенной. В действительности при осуществлении практики налогообложения и выработки оптимальных налоговых ставок государственным органам приходится сталкиваться с различными частными и непростыми случаями, которые учитываются при разработке налоговой сетки.
Риск форс-мажорных обстоятельств — риск стихийных бедствий (природные катастрофы: наводнения, землетрясения штормы и др. климатические катаклизмы), войны, революции путчи, забастовки и т.п., которые мешают предприниматели осуществлять свою деятельность. Поскольку наступление форс мажорных обстоятельств не зависит от воли предпринимателя в соответствии со ст. 79 Конвенции ООН о договорах купли продажи стороны освобождаются от ответственности по контрактам в случае наступления форс-мажорных обстоятельств.
Возмещение потерь, вызванных форс-мажорными обстоятельствами, осуществляется, как правило, посредством страхования сделок в специализированных страховых компаниях.
Рассмотрим некоторые из внутренних рисков, приведенных на схеме.
Наряду с внешними рисками, не зависящими от предпринимателя, существенное влияние на предпринимательскую деятельность, оказывают внутренние риски, которые в значительной степени определяются ошибочными решениями, принимаемыми предпринимателем, вследствие его некомпетентности.
Основными причинами внутренних рисков являются: отсутствие профессионального опыта предпринимателя, слабые общеэкономические знания руководства и персонала фирмы, финансовые просчеты, плохая организация труда сотрудников нерациональное использование сырья и оборудования, утечка конфиденциальной информации по вине служащих, плохая приспосабливаемость фирмы к переменам в окружающей рыночной среде, недостаток знаний в области маркетинга и др.
Влияние этих причин особенно отчетливо просматривается на примере организационного и ресурсного рисков.
Организационный риск1 — риск, обусловленный недостатками в организации работы. Основными причинами организационного риска являются:
низкий уровень организации:
ошибки планирования и проектирования;
недостатки координации работ;
слабое регулирование;
неправильная стратегия снабжения;
ошибки в подборе и расстановке кадров;
недостатки в организации маркетинговой деятельности:
неправильный выбор продукции (нет сбыта);
товар низкого качества; неправильный выбор рынка сбыта;
неверное определение емкости рынка;
неправильная ценовая политика (залеживание товара);
неустойчивое финансовое положение.
Ресурсный риск2 это такой риск, основными причинами которого являются: отсутствие запаса прочности по ресурсам в случае изменения ситуации; нехватка рабочей силы; нехватка материалов; срывы поставок; нехватка продукции.
Отсутствие запаса ресурсов в случае изменения ситуации (изменение оплаты труда, изменения пошлин и налогов, хищения, повышенный брак, порча товаров, изменения требований к ведению предпринимательской деятельности и др.) приводит к увеличению сроков реализации проекта и, как следствие, к его удорожанию, а в наиболее сложных случаях — к его провалу (ликвидации) со всеми вытекающими из этого последствиями.
Наглядными примерами такого обстоятельства дел могут служить долгострои, объекты незавершенного строительства и др.
Портфельный риск1. В процессе функционирования любой фирмы приходится решать трудную задачу определения размера и сферы приложения инвестиций. Такая задача возникает при наличии у фирмы или отдельного предпринимателя свободных денежных средств.
Основная трудность состоит в отсутствии общепринятого механизма инвестирования.
Существенную помощь в деле инвестирования предпринимателям оказывает широко применяемая западными фирмами система управления портфелями ценных бумаг.
Портфелем инвестора называется совокупность ценных бумаг, держателем которых он является.
Портфельный риск заключается в вероятности потери по отдельным типам ценных бумаг, а также по всей категории ссуд.
Для создания портфеля ценных бумаг достаточно инвестировать деньги в какой-либо один вид финансовых активов. Однако, вложив деньги в акции одной компании, инвестор оказывается зависимым от колебания ее курсовой стоимости.
Если он вложит свой капитал в акции нескольких компаний, то эффективность, конечно, также будет зависеть от курсовых колебаний, но только не каждого курса, а усредненного. Средний же курс, как правило, колеблется меньше, поскольку при повышении курса одной из ценных бумаг курс другой может понизиться, и колебания могут взаимно погаситься.
Такой портфель с разнообразными ценными бумагами носит название диверсифицированного.
Такой портфель значительно снижает диверсификационный (несистематический) риск, который определяется специфическими для данного инвестора факторами. Основными факторами, оказывающими влияние на уровень диверсификационного риска, являются наличие альтернативных сфер вложения финансовых ресурсов, конъюнктура товарных и фондовых рынков, забастовки и др.
Наряду с диверсификационным (несистематическим) существует недиверсификационный (систематический) риск, который не может быть сокращен при помощи диверсификации.
Систематический риск связан с изменением цен на акции, их доходностью, текущим и ожидаемым процентом по облигациям, ожидаемыми размерами дивиденда, вызванными обще-рыночными колебаниями. Он обусловлен общим состоянием экономики, который связан с такими факторами, как: война; инфляция; глобальные изменения налогообложения; изменения денежной политики и др.
Совокупность систематических и несистематических рисков называют риском инвестиций.
Кредитный риск1, или риск невозврата долга — это риск неуплаты заемщиком основного долга и процентов по нему в соответствии со сроками и условиями кредитного договора. Этот риск может быть связан с сомнением насчет обоснованности оказанного доверия, т.е. с недобросовестностью заемщика — с его попытками намеренного банкротства или другими попытками должника уклониться от выполнения обязательств (в т.ч. легальными способами, например: в договоре отсутствует срок платежа, платежи после поставки товара), а также с возможной недостаточностью размеров обеспечения, т.е. с опасностью невольного банкротства из-за того, что расчеты заемщика на получение дохода не оправдались.
Причинами невольного банкротства могут быть:
спад производства и (или) спроса на продукцию определенного вида;
невыполнение по каким-либо причинам договорных отношений;
трансформация ресурсов (чаще всего по времени); форс-мажорные обстоятельства.
Риск кредитования зависит от вида предоставляемого кредита:
по срокам кредиты бывают кратко-, средне- и долгосрочные; по видам обеспечения — обеспеченные и необеспеченные;
по виду дебитора — промышленные, персональные; по направлению использования — промышленные, инвестиционные, на формирование оборотных средств, сезонные, на устранение временных трудностей, на операции с ценными бумагами и др.;
по размеру — мелкие, средние, крупные.
Основным методом снижения риска является анализ финансовой состоятельности и платежеспособности заемщика, а также получение залога или других видов гарантий выполнения условий кредитного соглашения.
Инновационный риск1 связан с финансированием и применением научно-технических новшеств. Поскольку затраты и результаты научно-технического прогресса растянуты и отдалены во времени, они могут быть предвидены лишь в некоторых, обычно широких пределах.
Инновационный риск воспринимается как объективная и неизбежная реальность.
Так, мировой опыт свидетельствует2, что доля получения предполагаемых результатов на стадии фундаментальных исследований обычно не превышает 10%3. Доля прикладных научных разработок составляет 80%.
Опыт наиболее развитых стран показывает, что там нет негативного отношения к отрицательным результатам. Заранее допускается, что даже при жестком отборе, в ходе которого отвергается 80-90% предложений, все же из оставшихся проектов, получивших финансирование за счет инновационных фондов, до 15-30% проектов может закончиться неудачей.
В принципе у создателей новых видов техники и технологии есть два пути. Один — медленный и осторожный: здесь идут на минимальный риск, предпочитают путь частичной модернизации действующих конструкций и технологий. С точки зрения современных требований такой путь бесперспективен, т.к. он в конечном итоге компрометирует идею ускорения НТП и вгоняет экономику в обременительные и неэффективные расходы.
Другой путь создания новой техники — ориентация на мировой рынок. Он труден, рискован, однако ведет к созданию принципиально новых технологических систем, техники последнего поколения, дающей наивысшую производительность труда. Практика показывает, что инновационный риск неизбежен. Поэтому зачастую на западе практикуется безвозмездное пожертвование исследовательским организациям, а венчурные фирмы, занимающиеся практическим освоением новых технологий, имеют налоговые льготы, а также поощряются путем предоставления государственной помощи.
3.2 Социально-политические и административно-законодательные риски
В современных условиях развития мировой экономики особое внимание требует создание системы управления внешними рисками и, особенно, политическим риском, который представляет собой наличие вероятности возможного негативного влияния на деятельность хозяйствующих субъектов со стороны государства посредством проводимого им политического курса развития страны. Таким образом, политические риски связаны с политической ситуацией в стране и деятельностью государства.
Политические риски являются системными рисками1, т.е. субъекты предпринимательской деятельности не могут непосредственно оказывать влияние на них с целью минимизации потерь в случае их реализации и т.п. Однако данное положение не означает, что предприятия не должны учитывать их в своей деятельности.
Реализация политического риска может быть вызвана совершением определенных событий политического характера. В наиболее общем виде его источниками являются действия, при которых невозможна хозяйственная деятельность:
военные действия;
возникновение локальных конфликтов;
осуществление революций, переворотов и т. п.;
обострение внутриполитической ситуации в стране вследствие проведения глобальных политических мероприятий, таких как референдумы, выборы;
изменения в политическом курсе, проводимом государством (например, национализация, конфискация имущества, принадлежащего иностранным фирмам, отказ нового правительства выполнять те обязательства, которые были приняты на себя предшествующим и т.д.);
изменения геополитической ситуации, что может выразиться в самых различных формах (например, введение эмбарго (запрета) на отношения с производителями определенных стран, так же как и мирового сообщества по отношению к фирмам данной страны).
Пользуясь специально разработанными методиками, специалисты по определению политического риска могут выявить его степень.
Так, например, большинство международных организаций пользуется своими собственными методиками. Особенно интересной представляется система оценки степени политического риска, которая разработана специалистами Всемирного банка (Приложение Е). Данная методика довольно интересна, но в большинстве случаев может быть использована лишь теми инвесторами, которые имеют возможность вкладывать финансовые средства за пределами своей собственной страны, и, как правило, это относится к международным финансовым организациям.
Продемонстрируем возможность учета степени политического риска при расчете стратегических показателей развития конкретной фирмы.
Фирма F & Academy1, занимающаяся производством шампуней и других моющих средств, имеет свои филиалы в различных странах мира. За последние десять лет их бизнес шел настолько удачно, что сейчас менеджеры F & Academy решили открыть еще один из своих филиалов в одной из трех стран (стране А, стране В, стране С), где, по оценкам маркетологов фирмы, существует одинаковый устойчивый спрос на производимую ими продукцию.
При этом предложенный по каждой стране проект характеризуется следующими данными:
Таблица 3.1
Данные по спросу на продукцию фирмы F & Academy
|
Страна |
Объем инвестиций, в млн. долларов |
Срок окупаемости проекта, в годах |
Прибыль в течение первого года после возмещения всех затрат, необходимых для открытия предприятия, в млн. долларов |
Степень т политического риска, в % |
|
А |
5,8 |
1 |
1,2 |
10 |
|
В |
6,3 |
1 |
1,4 |
15 |
|
С |
5,5 |
1 |
1,0 |
5 |
Необходимо оценить, какой из предложенных проектов является для фирмы F & Academy наиболее выгодным.
Как видно из данного примера, объемы инвестиций, необходимых для начала производства, в каждой из трех стран отличаются по размеру, но при этом полностью одинаковы по срокам окупаемости (во всех странах этот показатель составляет один год). Прибыль, которая планируется к получению в каждой стране после открытия там своих филиалов и покрытия всех затрат, значительно отличается по каждой стране.
Эффективность каждого из предложенных проектов может быть оценена на основании анализа финансовых результатов от деятельности каждого филиала компании с учетом проинвестированных средств.
В наиболее общем виде эффективность может быть измерена как отношение результатов к затратам.
Таким образом, эффективность проекта без учета степени политического риска по:
стране А — составляет 1,2 млн. долл. / 5,8 млн. долл. = 0,207,
стране В — 1,4 млн. долл. / 6,3 млн. долл. = 0,222;
стране С — 1,0 млн. долл. / 5,5 млн. долл. = 0,182.
Полученные результаты свидетельствуют о том, что наиболее эффективным вариантом является инвестирование фирмы F & Academy в страну B.
Однако, полученный результат еще не является конечным и должен быть скорректирован на степень политического риска по каждой стране. При этом эффективность достижения запланированных финансовых показателей по стране B может быть рассчитана как произведение уже полученной эффективности и степени стабильности в достижении данного результата, т.е.:

п
о
стране A:
по стране С:

В этом примере, при прочих равных условиях, с учетом степени политического риска, более выгодным так же является инвестирование в страну В.
Политические риски тесно связаны с социальными и их особенностью является то, что они во многом обусловливают друг друга.
Социальный риск может выражаться в риске конфликтов с общественностью и риске, связанном с работниками (отдельными либо их группами) своего предприятия.
Риски конфликтов с общественностью имеют место тогда, когда стратегия предприятия, эффективная для него, идет вразрез с интересами каких-либо социальных групп, которые могут быть выражены в законах или просто в активной реакции протестующих представителей этих групп. Данный вид конфликтов, даже при условии отсутствия конфликта с законодательством (даже при исправной и предусмотренной планом выплате необходимых штрафных санкций, налогов или других форм платежей, дающих право на допустимое загрязнение окружающей среды), влечет за собой ущерб конкурентоспособности фирмы, что может выразиться в ущербе торговой марки, привлекательности фирмы и продуктов, производимых ею, затруднению отношений фирмы с органами государственной власти, что, в свою очередь, может выразиться в невозможности (или сложности) получения государственного заказа (государственного контракта), субсидий, налоговых льгот и т.п.
Возникновение такой ситуации может явиться причиной возникновения конфликтов с некоторыми или всеми работниками фирмы (например, забастовки, невыходы на работу, блокирование вывоза готовой продукции с территории предприятия и т.п.). Следствием этих конфликтов может стать и возникновение противоречий со специалистами, которых планировалось использовать как работников этой фирмы, в связи с их ориентацией на общественное мнение и т.д.
Продемонстрируем возможность расчета степени конкретного социального риска.
Компания Universal Artist Studios1, которая занимается производством фильмов, в своей повседневной деятельности довольно сильно подвержена влиянию самых различных рисков, связанных как с системой организации продаж произведенных фильмов, так и с непосредственным их производством. Кроме того, психологический климат в коллективе имеет также огромное значение для эффективной организации всего производственного процесса. Это связано с целым рядом причин, обусловленных спецификой данного вида бизнеса.
Специалисты компании поставили перед собой цель определить степень (уровень) социального риска. Другими словами, для руководства студии интересным является оценка возможности возникновения социальных рисков.
Начальная информация, которой располагают аналитики фирмы, по частоте возникновения различного рода социальных конфликтов, состоит в следующем:
Таблица 3.2
Начальная информация возникновения различного рода социальных конфликтов
|
Год |
Количество снимаемых картин |
Возникновение социальных конфликтов |
||
|
по поводу производства фильмов |
между менеджерами и работниками студии |
внутри коллектива (исключая менеджеров) |
||
|
1992 |
8 |
10 |
4 |
25 |
|
1993 |
5 |
6 |
2 |
18 |
|
1994 |
3 |
4 |
2 |
15 |
|
1995 |
6 |
7 |
3 |
17 |
|
1996 |
9 |
10 |
5 |
26 |
|
1997 |
2 |
3 |
2 |
12 |
|
1998 |
5 |
6 |
3 |
17 |
Необходимо оценить возможное количество данного рода конфликтов на планируемый год, при условии, что в 1999 году в производстве будут находиться 4 картины.
Для того, чтобы оценить количество возможных социальных конфликтов в 1999 году, необходимо рассчитать их зависимость с количеством снимаемых картин. При этом расчет должен производиться по отдельным группам.
Таким образом, в среднем на одну снимаемую киностудией картину, количество конфликтов по поводу ее производства между работниками студии может быть определено как среднее арифметическое по годам, т.е.

Таким образом, в среднем на одну снимаемую картину приходится 1,21 случая возникновения конфликтов между работниками киностудии по поводу производства фильмов. Значит, если в 1999 году планируется к производству 4 картины, то можно ожидать, что конфликтов на этой почве должно возникнуть:
4 х 1,21 = 4,84 случая
Аналогично проведенный расчет по двум другим категориям конфликтов покажет, что конфликты между менеджерами и работниками студии в среднем на одну картину возникают 0,55 раз, а между работниками, исключая менеджеров — 3,42 раза. Следовательно, в плановом 1999 году, при условии, что в производстве будет находиться четыре картины, данные конфликты могут возникнуть, соответственно, 2,2 раза и 13,68 раза.
Опыт свидетельствует, что социальные риски можно предвидеть и их уровень может быть значительно снижен при условии эффективной организации работы службы предприятия по связям с общественностью
Как частный случай социальных рисков можно рассматривать и риски демографические, которые также оказывают значительное влияние на деятельность рыночных субъектов. При этом их специфической особенностью является то, что они могут стать причиной возникновения других видов рисков (например, рисков, связанных с реализацией продукции, о чем уже говорилось при рассмотрении вопросов, связанных с общей классификацией рисков).
Вопросы, связанные с возникновением каких бы то ни было социальных рисков, тесно связаны с психологической подготовкой людей к ним. Основная закономерность состоит в следующем: чем меньше степень вовлеченности человека в событие, и чем меньше он знает о последствиях своего решения, тем больше он склонен принимать решения с риском отрицательных результатов.
Административно-законодательные риски представляют собой ту часть рисков, которые действуют на хозяйственные субъекты и возникают вследствие административных и законодательных изменений.
Источниками данной группы рисков могут быть:
введение отсрочки или моратория на разные виды платежей, включая и внешние платежи;
неблагоприятные изменения в налоговом законодательстве;
ограничения в конвертации национальной валюты (обмене ее на иностранную);
проблемы, связанные с ограничением прав собственности посоздаваемым фирмой продуктам;
вероятность возникновения конфликтов фирмы с законодательством.
Введение отсрочки или моратория на разные виды платежей, включая и внешние платежи, является причиной возникновения целой группы рисков практически для всех субъектов хозяйствования. Следует отметить, что это касается не только тех предприятий, которые занимаются внешнеэкономической деятельностью, а и всех тех, кто работает только на внутреннем рынке. Установление данного рода ограничений может происходить в различной форме (например, запрета бартерных операций, временного моратория на перевод денег в страну партнера и т.п.) и учет вероятности возникновения таких ситуаций необходим для организации эффективной деятельности фирмы.
Как свидетельствует практика, изменения в налоговом законодательстве особенно характерны для развивающихся и нестабильных экономик, что является следствием макроэкономической нестабильности, и, в частности, проблем дефицитности государственного бюджета.
В наиболее общем виде группа рисков, которая связана с данным источником, может быть реализована в двух основных формах:
увеличение уже существующих налоговых ставок на деятельность хозяйствующих субъектов и используемое ими при этом имущество;
расширение налогооблагаемой базы, что выражается в установлении налоговых отчислений на ранее не облагаемую базу.
Риски, которые имеют источником своего происхождения ограничения, вводимые государством на конвертацию национальной валюты в иностранную, могут быть реализованы по целому ряду причин, суть которых в наиболее общем виде может быть сведена к установлению ограничений с целью поддержания паритета внутренней денежной единицы. Данная группа рисков является особенно актуальной в том случае, если предприятие проводит внешнеэкономическую деятельность или значительная часть его партнеров находится за пределами государства, в котором оно работает.
Для повышения эффективности процесса управления рисками является целесообразным группу рисков, которая возникает вследствие нерешенности проблем с обеспечением прав собственности, структуризовать на следующие группы:
риски
недостаточного объема патентования
всех видов решений,
применяемых
при создании инновационных продуктов;
риски опротестования патентов, полученных фирмой;
риски необеспечения патентной чистоты;
риски, связанные с параллельным патентованием и нелегальной имитацией;
риск производственного шпионажа.
Риски, которые связаны с недостаточным объемом патентования всех видов решений, применяемых при создании инновационных продуктов, имеют целый ряд источников происхождения, из которых наиболее существенными являются:
совершенные ошибки при выборе места регистрации, в котором фирме будет обеспечена максимальная патентная защита;
вероятность недостаточно полной патентной защиты, что означает слишком узкий круг патентуемых решений (технических, дизайновых, маркетинговых), которые не охватывают все особенности конструкции, технологии, организации и сбыта продукции;
неполучение или запоздалое получение патента;
вероятность получения патента на недостаточно длительный срок, в течение которого фирма не сможет достичь запланированных ею результатов. Вероятность возникновения данной ситуации увеличивается при желании фирмы сэкономить на патентных пошлинах.
Риски опротестования патентов, полученных фирмой, состоят в опасности для фирмы понести потери вследствие объявления (например, в судебном порядке) недействительными те патентные права, на основе которых фирма осуществляет свой инновационный проект и при этом планирует получить прибыль в условиях патентной монополии. Причинами этого может быть некачественная экспертиза патентной заявки в том ведомстве, которое занимается оформлением патентов, возможные претензии от других фирм к патентовладельцам и т.д.
Риски необеспечения патентной чистоты также сводятся к опротестованию патентов или лицензий фирмы, и связанных с возможностью оказаться под санкциями по искам других патентовладельцев, которые обнаружат в продуктах и разработках фирмы нарушение имеющихся у них патентов.
Сущность рисков, которые связаны с параллельным патентованием и нелегальной имитацией, состоят, во-первых, в столкновении с обычной для конкурентов практикой повторной разработки ключевых, запатентованных фирмой решений. Сущность этого состоит в том, что конкуренты на основании той информации об инновации, которая имеется в виде описаний, в публикуемых патентных бюллетенях, журналах пытаются создать сходные технические и дизайновые решения, на которые можно было бы подать заявки с отличными от оригинальных патентов формулами предмета патентования. Это может подорвать патентную монополию фирмы, которая планировалась как основная база для получения прибыли по данному направлению своей деятельности. Во-вторых, риск, который возникает вследствие неконтролируемой нелегальной имитации инновационных решений, состоит в наличии вероятности коммерческого использования этих решений фирмами-конкурентами несмотря на имеющуюся патентную защиту. Это может явиться следствием недостатка финансовых средств у фирмы-владельца патента для организации контроля за нелегальным использованием своих патентов, а также обеспечить систематическое судебное преследование нарушителей. Данный риск особенно характерен при использовании новшеств в технологических процессах и при производстве продуктов массового потребления.
Риски, связанные с возникновением конфликтов фирмы с законодательством, обычно касаются ее инновационной деятельности и являются следствием того, что:
инновация, разработанная фирмой, предусматривает такую организацию производства, при которой загрязнение окружающей среды будет находиться на грани допустимых норм или превышать их (то же относится и к эргономическим свойствам продукта);
созданный продукт может быть в будущем запрещен к использованию в том случае, если он не пройдет государственную аттестацию;
новая технология или новый продукт могут быть квалифицированы как неявно противоречащие некоторым законам, либо неявно попадающие под действие имеющихся законодательных запретов.
Как видно из анализа рассмотренных причин возникновения рисков, связанных с введением административно-законодательных ограничений деятельности фирмы, специфика их проявления во многом зависит от специфики страны функционирования хозяйственного субъекта и месторасположения его контрагентов. При помощи специальных методов оценки1, применяемых при анализе степени рисков, можно определить меру влияния каждого из источников возникновения данной группы рисков на общую величину, а научно обоснованный подход к выбору конкретного направления деятельности из совокупности альтернативных вариантов с целью минимизации рисков может оказать существенное влияние на повышение эффективности принимаемых субъектами хозяйственной деятельности решений.
3.3 Производственные риски
При переходе от административно-командной системы к рыночной экономике большинство предприятий Украины столкнулось с проблемой производственных рисков, которые возникают в процессе научно-исследовательских и конструкторских разработок (НИОКР), производства, реализации и послереализационного обслуживания продукции (услуг).
Производственные риски относятся к внутренним рискам и могут быть подразделены на следующие категории2:
риски НИОКР. Часто эта группа производственных рисков называется техническими рисками;
непосредственно производственные риски;
транспортные риски;
реализационные риски (данная группа рисков часто называется маркетинговыми или коммерческими рисками).
Непосредственно производственные риски, которые представляют собой основную группу производственных рисков, состоят из:
Рисков в процессе разработки стратегии;
Снабженческих рисков;
Рисков нарушения плановых сроков;
Рисков конфликтов с интересами поддержания текущей деятельности фирмы и других ее направлений.
Группа рисков, возникающих в процессе разработки стратегии фирмы, состоит из таких:
риски необоснованного определения приоритетов общей экономической и рыночной стратегии фирмы;
риски неправильного прогноза конъюнктуры на всех или отдельных рынках капитальных закупок и снабжения;
риски неадекватной оценки потребности сферы потребления и собственного производства.
Снабженческие риски состоят из рисков:
ненахождения поставщиков уникальных ресурсов, требуемых для проведения данного направления предпринимательской деятельности;
ненахождения поставщиков при проектируемых ценах закупок;
отказа планировавшихся поставщиков от заключения контрактов на поставку;
необходимости заключения контрактов на условиях, которые отличаются от наиболее приемлемых либо обычных для фирмы и отрасли;
затягивания кампании по организации закупок;
заключения контрактов на объемы текущего снабжения производства, не обеспеченные сбытом готовой продукции.
Группа рисков нарушения плановых сроков состоит из рисков:
несоблюдения запланированного графика расходов;
невыдерживания намечавшегося графика доходов.
Риски, связанные с конфликтами интересов поддержания текущей деятельности фирмы и ее других направлений, состоят из несистемных рисков и будут рассмотрены позже.
Существует довольно большое количество признаков, по которым можно классифицировать транспортные риски. Однако общепринятым в мире является их деление по степени ответственности за них1. Необходимость их вычленения в самостоятельную группу обусловлена наличием транспортных операций на каждом из этапов производственного процесса.
Реализационные риски являются комплексными рисками, которые, с точки зрения предлагаемой нами классификации, можно рассматривать как часть производственных рисков, так и как совершенно самостоятельную группу рисков. Выделение их в обособленную группу целесообразно с той точки зрения, что в условиях перехода Украины к рыночной экономике появляется институт посредников, работающих с довольно высоким уровнем независимости от непосредственного производителя продукции. Таким образом, для таких специализированных посреднических фирм производственные риски существуют отдельно от реализационных и являются лишь одним из источников их возникновения.
Риски НИОКР (технические риски) базируются на том, что в ходе проведения данных работ всегда существует вероятность недостижения желаемых (запланированных ранее) результатов (потерь).
Данная группа рисков может быть вызвана двумя основными группами факторов: объективными и субъективными.
К объективным факторам, влияющим на возможные потери при проведении НИОКР, относятся те факторы, решение которых находится в компетенции фирмы (например, проблемы с финансированием лабораторных исследований, превышение сметы затрат в ходе исследования), недостаточно новое опытное оборудование и т.д.).
Субъективные факторы присутствия технического риска обусловлены причинами, не зависящими от предприятия. В наиболее общем виде причины их возникновения могут быть следующими:
получение отрицательных результатов после проведения научно-исследовательских работ, запланированных и профинансированных заинтересованной фирмой. Возникновение данной ситуации может повлечь за собой отказ фирмы заниматься запланированным ранее направлением предпринимательской деятельности. В таком случае должны быть сделаны значительные коррективы в стратегических планах данного предприятия, а в некоторых случаях и пересмотрены приоритеты;
недостижение запланированных предварительно технических параметров в ходе конструкторских и технологических разработок инноваций. Это представляет значительный риск для фирмы, но следует отметить, что уровень ее потерь при таком исходе будет ниже, чем, если бы был получен отрицательный результат. В этом случае можно говорить об относительных потерях, которые будут равны разнице потерь между отрицательным и полученным результатом;
полученные результаты опережают технические и технологические возможности производства (включая уровень подготовки и переподготовки кадров) необходимые для их освоения, т.е. уровень результатов выше уровня современного состояния производства. При таком исходе потери могут быть аналогичны потерям при отрицательном результате в том случае, если реализация результатов невозможна в максимально допустимые сроки, или, по аналогии со второй причиной, будут составлять разницу между нулевым и полученным результатом;
полученные результаты опережают технические и технологические возможности прогнозируемых потребителей новых продуктов;
возникновение при использовании новых технологий и продуктов побочных или отсроченных по времени проявлений проблем, которые не могут быть решены на современном уровне развития науки и техники (например, проблем взаимодействия с окружающей средой и человеком).
Четвертая и пятая причины возникновения потерь аналогичны по способу разрешения третьей, и уровень потерь в этих случаях будет полностью определяться наличием у фирмы запаса времени для внедрения инновации, либо возможностью ее продажи другим заинтересованным лицам (фирмам).
Следует отметить, что в большинстве случаев объективные факторы присутствия технического риска являются причиной возникновения несистемных рисков, а субъективные — системных.
Степень технических рисков может быть оценена, в основном экспертным методом. Данное заключение основывается на том, что специфика их прогнозирования состоит в недостаточном количестве информации и, как правило, отсутствии аналогичных разработок1.
Фирма «РТС», занимающаяся проведением научно-исследовательских и опытно-конструкторских разработок, решает вопрос о целесообразности инвестирования своих средств в новый проект. Предлагаемый к реализации менеджерами фирмы инвестиционный проект стоит 250 тысяч долларов. Прибыль, которая может быть получена в случае успешного завершения проекта, по предварительным оценкам, составит 130 тысяч долларов. Требуется оценить степень риска и ожидаемые результаты данного проекта на основании следующей информации1.
Таблица 3.3
Данные о степени риска прошлых проектов
|
Предыдущие проекты |
Степень риска (коэффициент b, %) |
|
А |
25 |
|
В |
30 |
|
С |
20 |
|
D |
40 |
Таким образом, в задаче, поставленной перед специалистами фирмы, требуется определить степень риска нового научно-исследовательского инвестиционного проекта при условии, что существует довольно значительное ограничение в исходной информации.
Данная задача может быть решена при помощи использования метода аналогов. Это означает, что практически любой инвестиционный проект в сфере науки трудно поддается составлению точных прогнозов по причине их инновационного характера. Другими словами, довольно трудно составить прогноз при значительном дефиците исходных данных, что обусловлено целым рядом причин объективного характера (данные разработки не проводились ранее ни этой фирмой, ни другими фирмами, работающими на данном рынке, не достаточно точно определены сроки получения искомых результатов и т.п.).
В этом случае степень риска данного инвестиционного проекта может быть определена следующим образом. Если предположить, что направленность деятельности данной фирмы практически во все периоды времени одинакова, то, следовательно, можно сделать и предположение о том, что проекты А, В, С и D, имея некоторые отличия, все же были приблизительно одинаковы с точки зрения воздействия на них различных видов рисков. Это обусловлено как сектором, в котором работает данная фирма, так и персоналом, работающим на данной фирме. То есть, в наиболее общем виде степень риска нового инвестиционного проекта может быть рассчитана как среднеарифметическое степеней риска предыдущих проектов. Таким образом, получив степень риска данного проекта 28,75%, можно оценить его предполагаемые финансовые результаты.

Степень риска нового проекта
Стоимость инвестиционного проекта должна быть скорректирована на степень риска в сторону увеличения, что будет составлять:

Прибыль от реализации проекта должна быть также скорректирована на степень риска в сторону ее уменьшения:

Следует обратить внимание на то, что полученный таким образом результат не является совершенно точным. Однако, если перед любой фирмой будет альтернатива выбора знать что-то или не знать вообще ничего, выбран будет первый вариант.
Уровень технических рисков может быть уменьшен, главным образом, за счет привлечения к инновационным проектам максимального внешнего информационного потенциала, контрагентов из числа лучших научно-технических центров, наиболее передовых производственных, инженеринговых, сервисных и консалтинговых фирм, за счет интернационализации технически рискованных проектов, а также подключения к ним правительственных и межправительственных организаций, контролирующих сферы науки, техники, образования, экологии и др.
Снабженческие риски тесно связаны с непосредственно производственными рисками, и их реализация влечет за собой потери. Далее рассмотрим их сущность и причины возникновения.
Риск ненахождения поставщиков требуемых (или уникальных) ресурсов, в большинстве случаев обусловливается технико-технологическими особенностями производства продуктов. Степень вероятности возникновения этого риска значительно возрастает при условии, если оборудование, необходимое для организации производственного процесса или нестандартные (уникальные) комплектующие изделия, материалы, услуги сами по себе еще требуют разработки и освоения.
Риск ненахождения поставщиков по запланированным ранее ценам может быть вызван несколькими основными причинами. Во-первых, в том случае, если фирма работает в условиях повышенной (более высокой по сравнению с мировым уровнем) инфляции. Во-вторых, в том случае, если происходит непредусмотренный ранее рост цены на используемые материалы (например, удорожание пшеницы вследствие ее неурожая и т.п.). Невозможность применения планируемых ранее цен может выразиться при общем непрогнозировавшемся изменении конъюнктуры на рынке данного вида ресурсов. В-третьих, если в плане деятельности фирмы вообще не проработан (или проработан недостаточно тщательно) вопрос о конкретных фирмах, к которым можно обратиться с предложениями по производству необходимого сырья или материалов.
Риск отказа запланированных ранее поставщиков от заключения контрактов на поставку может возникнуть даже в том случае, если с ними велись предварительные переговоры и была достигнута договоренность (например, подписано намерение о сотрудничестве). Данный вид риска особенно характерен при растягивании сроков переговоров с планируемыми контрагентами.
Риск заключения контрактов на определенные объемы текущего снабжения производства, а в особенности на значительные сроки вперед, при этом не обеспеченные сбытом готовой продукции, является одним из наиболее распространенных видов риска на территории Украины. Его суть состоит в том, что фирма может заказать сырья, материалов, полуфабрикатов и т.п. в количествах больших, чем потребуется для изготовления запланированного ранее объема продукции, которая может быть реализована на рынке. Следствием этого будет то, что фирма либо затоварится, понеся при этом все расходы, которые связаны с производством (подготовка сырья и материалов, затраты на электроэнергию, расходы на содержание и эксплуатацию машин и оборудования, на оплату труда своего персонала и т.д.) либо сократит запланированный ранее объем производства, не использовав всех ресурсов. В любом случае фирма-производитель понесет убытки, связанные с замораживанием ранее затраченных средств. Это особенно актуально в, распространенных у нас, материалоемких производствах с использованием дорогостоящего сырья, где такая ситуация может привести к финансовому краху.
Группа рисков нарушения плановых сроков в наиболее общем виде состоит из риска несоблюдения планового графика расходов и доходов1.
Источники риска несоблюдения планов по проведению расходов фирмы могут быть довольно разнообразными, и целесообразной представляется их классификация по времени проведения на преждевременные и задерживаемые.
Основными из источников риска невыдерживания сроков преждевременной группы являются следующие:
определенные виды расходов, предусмотренные планом развития фирмы в конкретные периоды времени, необходимо сделать ранее намеченного срока по причине возможного изменения в будущем в сторону ухудшения конъюнктуры на рынке;
в силу целого ряда объективных и субъективных причин некоторые из сотрудничающих с фирмой предприятий могут потребовать изменений в системе финансовых расчетов с ними. Требование таких изменений может касаться системы авансовых платежей, этапов оплаты и т.д. При отсутствии альтернативы фирме придется удовлетворить эти требования, что обусловит образование временного дефицита в бюджете предприятия;
Отказ от проведения фирмой данных расходов в неустановленные сроки может явиться причиной разрыва отношений с фирмами-поставщиками, контрагентами, что может довольно пагубно отразиться на деятельности фирмы. Другими словами, потери могут значительно превышать преимущества. Разумеется, что в случае возникновения такой ситуации необходим детальный анализ компенсации отклонений от графика расходов. И идти на них следует только при условии получения положительного результата.
Источники риска невыдерживания сроков расходов, которые относя к задержке реальных расходов, следует рассматривать относительно запланированного графика доходов. Наиболее вероятное время возникновения этой причины риска — это тот этап, когда в бюджет фирмы уже поступили средства, но в силу ряда причин выполнить запланированные ранее расходы не представляется возможным.
Риск невыдерживания запланированного графика доходов обусловлен, с одной стороны, риском невыдерживания графика расходов, а с другой стороны, его причинами могут быть:
ошибки при определении времени поступления доходов;
несоблюдение производственных оперативно-календарных планов;
Реализация данного вида риска способна существенно повлиять на состояние фирмы, что выразится в снижении эффективности ее работы.
1 Гробовой П.Г., Петрова С.Н., Полтавцев С.И. Риски в современном бизнесе. М. - 1994. - С. 87
1 Романов В. Понятие рисков и их классификация как основной элемент теории рисков // Деньги и кредит. 2001. - № 3. - С. 23.
1 Грядов С.И. Риск и выбор стратегии в предпринимательстве. – М. - 1994. - С. 47
2 Кабышев О. Правомерность предпринимательского риска // Хозяйство и право. 1994. № 3. - С. 47
1 Клейнер Г. Б., Тамбовцев В. Л., Качалов Р. М. Предприятие в нестабильной экономической среде: риски, стратегии, безопасность. М. - 1997. – C. 136
1 Осипенко Т. В. О системе рисков банковской деятельности // Деньги и кредит. 2000. № 4. - С. 30.
1 Боков В.В Предпринимательские риски и хеджирование в отечественной и зарубежной экономике. СПб. - 1999. - С. 286
2 Moore P.G. The business of risk. Cambridge. – 1995. – C. 261
3 Черкасов В.В. Деловой риск в предпринимательской деятельности. Киев. 1996г. с. 115
1 Цветкова Е.В., Арлюкова И.О. Риски в экономической деятельности. СПб. 2002. С. 49
1 Устенко О.Л. Теория Экономического риска. Киев. 1997г. с. 72
1 Moore P.G. The business of risk. Cambridge. – 1995. – C. 231
1 Дубров А. М. - Моделирование рисковых ситуаций в экономике и бизнесе. М. – 2000 С. 312
2 Зозулюк А.В. Хозяйственный риск в предпринимательской деятельности. М. – 1995. – С. 89
1 Лапуста М.Г., Шаршукова Л.Г. Риски в предпринимательской деятельности. Москва 1998г. с.81
1 Зозулюк А.В. Хозяйственный риск в предпринимательской деятельности. М. – 1995. – С. 113
1 Устенко О.Л. Теория экономического риска. Киев. 1997г. с. 86-87
1 Половинкин П. Д. Риск в предпринимательской деятельности. М.- 1999. С. 221
Содержание
Вступление 3-5
Раздел 1. Риск как экономическая категория 5-29
1.1 Понятие риска в экономической теории 5-16
1.2 Причины возникновения экономического риска 17-20
1.3 Классификация рисков 20-29
Раздел 2. Организационно-методологические основы в
управлении экономическим риском 30-60
2.1 Основные принципы и этапы управления рисками 30-33
2.2 Системы оценки риска и методы их определения 33-52
2.3 Пути снижения риска в предпринимательской деятельности 53-60
Раздел 3. Оптимизация экономических рисков в экономической деятельности субъектов хозяйствования 61-86
3.1 Оценка рисков в различных сферах хозяйственной деятельности 61-69
3.2 Социально-политические и административно-законодательные риски 69-78
3.3 Производственные риски 78-86
Выводы 87-90
Список использованных источников 91-92
Приложение А
Приложение Б
Приложение В
Приложение Г
Приложение Д
Приложение Е
Список использованных источников
Альгин А.П. Грани экономического риска. М. - 1997. - С. 362
Баканов М. -И., Чернов В.А. Анализ коммерческого риска // Бух. Учет 1995 №10.
Балабанов И.Т. Риск-менеджмент. М. - 1998. - С. 152
Бачкаи Т., Месена Д. Хозяйственный риск и методы его измерения. М. - 1979. – С. 364
Беляков А. В. Процентный риск: анализ, оценка, управление // Финансы и кредит. 2001. № 2.
Боков В.В Предпринимательские риски и хеджирование в отечественной и зарубежной экономике. СПб. - 1999. - С. 286
Вентцель Е.С. Теория вероятностей. М. - 1999. – С. 312
Глазунов В.Н. Финансовый анализ и оценка риска реальных инвестиций. М. -1997. – С. 330
Глущенко В. В. Управление рисками. Страхование. М. - 1999. – С. 336
Гранберг А.Г. Статистическое моделирование и прогнозирование. М. – 1995 - С. 220
Гробовой П.Г., Петрова С.Н., Полтавцев С.И. Риски в современном бизнесе. М. - 1994. - С. 292
Грядов С.И. Риск и выбор стратегии в предринимательстве. – М. - 1994. - С. 152
Дубров А. М. - Моделирование рисковых ситуаций в экономике и бизнесе. М. – 2000 – С. 310
Зозулюк А.В. Хозяйственный риск в предпринимательской деятельности. М. – 1995. – С. 184
Кабышев О. Правомерность предпринимательского риска // Хозяйство и право. 1994. № 3.
Кадинская О. А. Управление финансовыми рисками. М. - 2000. – С. 295
Клейнер Г. Б., Тамбовцев В. Л., Качалов Р. М. Предприятие в нестабильной экономической среде: риски, стратегии, безопасность. М. - 1997. – C. 136
Лапуста М. -Г., Шаршукова Л.Г. Риски в предпринимательской деятельности. М. - 1998. – С. 251
Ойгензихт В. Проблема риска в гражданском праве. М. - 1993. – С. 108
Осипенко Т. В. О системе рисков банковской деятельности // Деньги и кредит. 2000. № 4.
Пастюшков А.В. Об оценке финансового риска.// Бух. учет. 1999г. №1.
Первозванский А.А. и Первозванская Т.Н. Финансовый рынок: расчет и риск. К. - 1997. – С. 206
Половинкин П. Д. Риск в предпринимательской деятельности. М.- 1999. – С. 320
Поляк Г.Б. Финансовый менеджмент. М. - 1997. - С. 234
Райзберг. Б.А. Предпринимательство, бизнес, риск. М. - 1993г. - С. 206
Райсберг Б.А. Предпринимательство и риск. М. - 1992. – С.168
Романов В. Понятие рисков и их классификация как основной элемент теории рисков // Деньги и кредит. 2001. № 3
Степанов В.Н. Методология и практика информационно-аналитического обеспечения управления предпринимательскими рисками. М. - 1998. – С. 112
Сумцова Н.В. Экономическая теория. М. – 2000. – С. 665
Татеиси К. Вечный дух предпринимательства. К. – 1992 - С. 203
Упрунович Е. Б. Планирование рисков // Банковское дело. 2001. № 3.
Устенко О.Л. Теория экономического риска. К. - 1997. – С. 310
Хохлов Н.В. Управление риском. М. - 1999. – С. 239.
Цветкова Е.В., Арлюкова И.О. Риски в экономической деятельности. СПб. 2002. – С. 186
Черкасов В.В. Деловой риск в предпринимательской деятельности. К. - 1996г. - С. 225
Черкасов В.В. Проблемы риска в управленческой деятельности. К. 2002. - С. 317
Шумпетер Й. Теория экономического развития (исследование предпринимательской прибыли, капитала, кредита, процента и цикла конъюнктуры). - М. - 1983. – C. 223
Moore P.G. The business of risk. Cambridge. – 1995. – C. 261
Lubatkin M., Rogers R. Systematic Risk and Shareholder Return: A Capital market // Academy of Management Journal. 1997. №4.
Міністерство освіти і науки України
Одеський національний університет ім. І. І. Мечникова
Інститут математики, економіки та механіки
Кафедра теоретичної економіки
ДИПЛОМНА РОБОТА
на тему:
«Управління економічним ризиком в підприємницької діяльності»
Студентки 5 курсу Шумко Олени Анатоліївни
Спеціальність Економічна теорія
Науковий керівник,
ст. викладач Ломачинська І. А
Допущено до захисту
„ ” 2004 р.
Завідувач кафедрою
теоретичної економіки
к.э.н., доцент Доленко Л.Х. Доленко
Одеса - 2004