Экономико-математическое моделирование процессов инвестиционно-строительной деятельности
Экономико-математическое моделирование процессов инвестиционно-строительной деятельности
Донцова Л.В.
Экономическая среда для инвестиционно-строительной деятельности может быть оценена как неконкурентная, нестабильная, криминогенная и рискованная. Законодательная сфера является в высшей степени неустойчивой и неэффективной, позволяющей развиваться теневой экономике, а сами законы характеризуются низкой их стимулирующей ролью в развитии инвестиционно-строительной деятельности. Конкуренция до недавнего времени, до середины августа 1998 г., расширившегося рынка доходного приложения финансовых средств вне реального сектора экономики (в портфельные инвестиции), сделала долгосрочные, в том числе иностранные, финансовые ресурсы, направляемые в основной капитал, довольно редким явлением в российской экономике.
Инвестиционно-строительная деятельность реализуется определенной системой производственных, функциональных, организационных и институциональных структур, образующих инвестиционно-сттроительный сектор национальной экономики.
Функционирование инвестиционно-строительного сектора в современных условиях подвержено постоянной опасности срыва. Срыв связей между субъектами инвестиционно-строительной деятельности может осуществляться под воздействием одной или нескольких причин одновременно.
Формализация связей между инвестиционными (финансовыми), инновационными и производственными подсистемами позволила сформулировать условие эффективного функционирования инвестиционно-строительного сектора в рыночной экономике. Это условие учитывает как внутренний (эндогенный) эффект, образуемый в процессе инвестиционно-строительной деятельности, так и внешний (экзогенный) по отношению к инвестиционно-строительной деятельности эффект, возникающий в результате использования в экономике законченной строительной продукции, т.е. основных фондов производственного и непроизводственного назначения, выпускающих товары и производящих услуги.
Рассмотрим схему действия инвестиционных (финансовых), инновационных и производственных подсистем в процессе инвестиционно-строительной деятельности. Для этого вначале проанализируем в общем виде способ действия любой системы, используя методологию, изложенную в [1].
Под способом действия системы в общем случае понимается отношение между состояниями ее входов и выходов. Представим состояние входов и выходов системы с помощью чисел. Входам поставим в соответствие числа x1, x2, ... xn, образующие вектор X = (x1, x2, ... xn), который выражает состояния входов системы. Назовем его входным вектором, числа образуют его составляющие.
Подобным же образом состояниям выходов поставим в соответствие числа y1, y2, ... yn, являющиеся составляющими выходного вектора Y = (y1, y2, ... yn).
Отношение между состояниями входов и выходов (то есть способ действия подсистемы) можно выразить математически как трансформацию (преобразование) вектора X в вектор Y. Символически эта трансформация может быть записана в виде:
Y = T(X) (1)
Символ T называется оператором трансформации и выражает правило, на основе которого происходит преобразование вектора X в вектор Y.
Это правило может быть записано с помощью некоторой матрицы. Для этого обозначим через Dxi изменение значения j-й составляющей вектора X, а через Dyi – изменение значения i-й составляющей вектора Y. Допустим, что j-я составляющая вектора X изменяется на Dxi, а другие составляющие этого вектора остаются неизменными. Тогда, согласно трансформации (3), происходит определенное изменение i-й составляющей вектора Y.
Отношение
,
(i = 1,2,...n; j = 1,2,...m)
является показателем частичного воздействия изменения j-й составляющей вектора X на i-ю составляющую вектора Y и называется, в соответствии с [2], “коэффициентом частичного эффекта”. Эти коэффициенты дают в сумме матрицу A с n строками и m столбцами, называемую “матрицей трансформации”:
(2)
С помощью матрицы трансформации правило преобразования вектора X в вектор Y выражается в виде следующей системы уравнений:
(3)
или
(4)
Выражение правила преобразования в виде (3) или (4) называется, в соответствии с [1], дифференциальным видом этого правила. Если коэффициенты частичного эффекта являются постоянными, то получается следующий вид преобразования, называемый интегральным видом правила:
(5)
или Y = A * X (6)
Дифференциальный вид указывает на отношения между изменениями вектора и изменениями вектора (то есть насколько изменится , если изменится на ). Интегральный вид указывает на отношение между значениями вектора и значениями вектора (то есть при такой-то величине значение вектора такое-то). В случае, когда коэффициенты являются постоянными и интегральный вид преобразования имеет форму (5) или (6), трансформация является линейной.
Если коэффициенты не являются постоянными, то они будут функциями вектора . В этом случае матрица трансформации является функциональной матрицей.
Как следует из изложенного, трансформация (1) вектора в вектор позволяет определить состояние выходов системы на основании состояния входов. Иногда возможна обратная трансформация:
X = T-1(Y) (7),
позволяющая на основании состояния выходов системы сделать заключение о состоянии его входов. Примером обратной трансформации может служить следующий: на основе сметной стоимости строящихся объектов – выхода системы – определяются составные части входов этой системы – потребность (или сколько израсходовано) материальных, трудовых, технических и других ресурсов.
С учетом описанного в общем виде способа действия систем связи между инвестиционными (финансовыми), инновационными и производственными подсистемами в процессе инвестиционно-строительной деятельности могут быть формализованы следующим образом. Схема этих связей представлена на рис. 1.
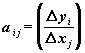
Введем обозначения. Независимо от количества выходных составляющих каждой рассматриваемой подсистемы и выходящих от них соответствующих связей, будем считать всех их вместе одним выходом соответствующей подсистемы и обозначим его через , где – номер подсистемы. Составляющие входного вектора подсистемы (также независимо от их количества) обозначим через , оператор -й подсистемы через .
Тогда выход каждой из рассматриваемых подсистем (см. рис. 1) зависит от составляющих входного вектора подсистемы и ее оператора, то есть:
Y(1) = T(1)(X(1)) (8)
Y(2) = T(2)(X(2)) , где X(2) = X1(2)+Y(1) (9)
Y(3) = T(3)(X(3)) , где X(3) = Y(1)+Y(2)+X1(3) (10)
Y(4) = T(4)(X(4)) , где X(4) = Y(1)+Y(2)+Y(3)+X1(4) (11)
Здесь – входные вектора, образуемые за пределами рассматриваемых подсистем (например, поставки технологического, энергетического и другого оборудования, внешнеэкономические поставки); – функция выходных векторов

Рисунок 1. Схема взаимосвязи инвестиционной (финансовой), инновационной и производственной подсистем в процессе инвестиционно-строительной деятельности
В произведенном описании связей экономических и производственных подсистем инвестиционно-строительной деятельности допущено определенное упрощение. Как известно, эти подсистемы имеют не один, а целую совокупность входов и выходов и их взаимодействие неизмеримо сложнее, чем оно описано. Отсюда видна вся сложность проблемы полного описания способа эффективного действия большой системы, каковой является инвестиционно-строительная деятельность.
Условие эффективного функционирования процессов инвестиционно-строительной деятельности, как совокупности инвестиционных (финансовых), инновационных и производственных подсистем в рыночной экономике, в самом общем виде может быть представлено следующим образом.
Обозначим общую (суммарную) сметную стоимость строительно-монтажных работ, выполненных в течение года на строящихся объектах, например, на комплексе жилых и общественных зданий городского микрорайона (в том числе на объектах, введенных в эксплуатацию в текущем году) через , годовые издержки в строительно-монтажных организациях по созданию строительной продукции (за вычетом стоимости материальных ресурсов, потребленных в течение года в рассматриваемой подсистеме – во избежание повторного их учета) – через , годовые издержки предприятий материально-технической базы, обслуживающих данные строительно-монтажные организации (за вычетом стоимости остатков материальных ресурсов на складах на конец года) – через , издержки инвестиционных (финансовых) структур по обслуживанию производственных подсистем – через , издержки субъектов инновационной деятельности – через .
Тогда получаем, что система инвестиционно-строительной деятельности в целом (по строящемуся микрорайону, комплексу производственных зданий, отдельному объекту) должна удовлетворять следующему неравенству:
(12)
где: – коэффициент, учитывающий внешние по отношению к инвестиционно-строительной деятельности риски, обусловленные социально-политической ситуацией в стране (регионе), другими условиями: – число коэффициентов; – коэффициент, учитывающий внутренние (специфические) для инвестиционно-строительной деятельности риски: – число коэффициентов.
В выражении (12) с учетом (8)(11):
Исходя из (12), критерий эффективного функционирования системы инвестиционно-строительной деятельности (при определенных ограничивающих условиях, здесь не рассматриваемых), описывается следующим функционалом, выражающим необходимость получения максимума прибыли:
(13)
Заметим, что приведенное выражение характеризует так называемый внутренний (эндогенный) эффект, образуемый в системе инвестиционно-строительной деятельности. Внешний (экзогенный) по отношению к субъектам инвестиционно-строительной деятельности эффект образуется в результате использования в экономике законченной строительной продукции, т.к. основных фондов производственного и непроизводственного назначения, выпускающих товары и производящих услуги.
На рис. 2 представлена обобщенная схема образования внутреннего и внешнего эффектов (экономического, социального, научно-технического и др.) в системе инвестиционно-строительной деятельности.
Объединяют всех участников инвестиционно-строительной деятельности процессы создания основных фондов, выступающих в конечном итоге в качестве источника (базы) образования и накопления капитала.
Последовательность взаимодействия участников инвестиционно-строительной деятельности приводит к рассмотрению графической модели кругооборота инвестиций, приведенной на рис. 3.
Модель представляет собой общий (концептуальный) взгляд на кругооборот инвестиций в процессе инвестиционно-строительной деятельности. Важным следствием этой модели, применительно к [3, формула 2.4, с. 8–9], являются следующие два обстоятельства:
1) суммарная величина первичных расходов (затрат) инвесторов при эффективной организации инвестиционно-строительного цикла (на базе эффективного инвестиционного проекта) должна быть меньше суммарной величины доходов (результатов), образующихся у инвесторов в период срока окупаемости капитальных вложений;
2) вторичные и последующие доходы инвесторов, получаемые ими после срока окупаемости капитальных вложений, обеспечивают возможность осуществления вторичных и последующих расходов (затрат) на цели расширенного воспроизводства основных фондов.
Построение моделей сложных систем, каковой является модель кругооборота инвестиций в основной капитал, исходит из принципов функционального подхода [4, с. 201]. Существо этого подхода заключается в том, что пространство моделируемых решений определяется совокупностью пар: вход – выход (затраты – выпуск), отображающих функциональные особенности исследуемой системы. В рассматриваемом (нашем) случае – это система: “инвестиции (вход, затраты) – строительная продукция (выход, выпуск)”, которая обобщенно описывается функцией f: A -> B.
В этой системе определенному классу входов (затрат) A1 М A ставится в соответствие определенный класс выходов B1 М B. Это соответствие реализуется посредством некоторых внутренних процессов (в исследуемом случае – инвестиционно-строительных), преобразующих входы A1 в выходы B1. Отдельные элементы b О B1 (виды строительной продукции) могут иметь существенно разные особенности с точки зрения их эффективности, назначения, воздействия на окружающую среду (экологическую, социальную, физическую и др.).
Что касается входов A1, то положение с ними как раз обратное: не важен способ (или процесс), порождающий элементы а О А1 (инвестиции, инвестиционные ресурсы), но важно, как они воздействуют на систему кругооборота инвестиций. При этом в класс A1 попадают все ресурсы (элементы), которые потребляются системой в процессе инвестиционно-строительной деятельности.

Рисунок 2. Схема образования внутреннего (эндогенного) и внешнего (экзогенного) эффектов в системе инвестиционно-строительной деятельности
Из изложенного следуют два важных вывода.
Во-первых, модель кругооборота инвестиций не может быть строго формальной, должна иметь различные степени укрупнения (агрегирования). При этом укрупнение модели порождает новые ее построения, не содержащиеся в исходной модели, что обусловливается факторами целостности проблемных ситуаций, в частности, необходимостью: а) выделения в общей модели кругооборота инвестиций той ее части, которая имеет отношение к чисто строительным процессам, реализуемым генподрядными и субподрядными (включая монтажные) строительными организациями, и б) той части модели, которая опосредуется чисто инновационными решениями.
Во-вторых, среди всех возможных способов агрегирования используемой информации следует выбрать такой, который вносит в укрупненную общую модель кругооборота инвестиций минимальные искажения и неточности и в наибольшей степени отображает сущностные инвестиционные и инновационные экономические явления.
Разработка модели кругооборота инвестиций требует определения ряда понятий и категорий, в частности, понятий субъекта и объекта инвестиционно-строительной деятельности, категорий спроса и предложения капитала, содержания и состава инвестиционно-строительного рынка.
Субъекты инвестиционно-строительной деятельности – это участники процесса материализации капитальных вложений в основные фонды.
Объекты инвестиционно-строительной деятельности – это материализованные инвестиции в виде основного капитала, в качестве которого выступают реализованные проекты (инвестиционные, инновационные и др.), то есть введенные в действие основные фонды производственного и непроизводственного назначения, включая расширение действующих предприятий, их техническое перевооружение, реконструкцию и модернизацию.

Рисунок 3. Графическая модель кругооборота инвестиций в основной капитал
Потребность в объектах инвестиционно-строительной деятельности обеспечивает на рынке спрос на капитал.
Инвестиционные возможности (намерения) субъектов инвестиционно-строительной деятельности формируют предложение капитала.
Субъекты и объекты инвестиционно-строительной деятельности реализуют инвестиционный спрос и предложение, вступая в определенные экономические отношения посредством механизмов инвестиционно-строительного рынка, который включает в свой состав рынок инвестиций (капиталов), рынок инвестиционных ресурсов и рынок инвестиционных товаров – объектов инвестирования (основные фонды, оборотные средства, ценные бумаги и др.)[5].
На инвестиционно-строительном рынке инвесторы выступают в роли покупателей строительной продукции, то есть в роли носителей инвестиционного спроса.
В качестве продавцов выступают производители строительной продукции (строительно-монтажные организации, проектные организации, предприятия промышленности строительных материалов, машиностроительные заводы, изготавливающие технологическое и т.п. оборудование).
Отношения, которые возникают в связи с осуществлением инвестиций в основной капитал, можно представить, с учетом изложенного выше функционального подхода, применительно к графической модели (рис. 3), следующим образом:
Ј ® R ® [(F),(T)] ® Д, (14)
где: Ј – инвестиции в основной капитал (денежная форма); R – инвестиционные ресурсы, в которые авансированы инвестиции; (F),(T) – объекты инвестиционной деятельности: F – основные фонды (здания и сооружения производственного и непроизводственного назначения); T – товар (если созданные основные фонды идут на продажу); Д – доход от инвестиций в основной капитал.
Главным фактором, определяющим масштабы инвестиционно-строительной деятельности, является совокупное инвестиционное предложение, которое формирует соответствующий спрос на объекты инвестиционно-строительной деятельности.
Однако равенство спроса на капитал и его предложения достигается только в масштабе инвестиционно-строительного рынка в целом, поскольку в частном (конкретном) случае спрос и предложение могут не совпадать.
Возникающие диспропорции регулируются на инвестиционно-строительном рынке посредством колебания цен в связи с недостатком или излишком Ј, R и F,T (см. формулу 14).
Таким образом, инвестиционный спрос и предложение на строительную продукцию уравновешиваются через механизм ценообразования, то есть систему равновесных цен на строительную продукцию и инвестиции в основной капитал (капитальные вложения).
Благодаря системе равновесных цен постоянно воспроизводятся макроэкономические пропорции в экономике, включая такой важный ее элемент как прирост основных фондов производственного и непроизводственного назначения.
Механизм равновесных цен возникает и действует только в условиях свободного конкурентного рынка, предполагающего обмен товарами на основе сбалансирования спроса и предложения. Необходимым условием становления рыночных отношений конкурентного типа является опережающее развитие предложения при относительно стабильном спросе, т.е. возрастающая конкуренция товаропроизводителей (продавцов).
Цена равновесия, которая складывается на свободном конкурентном рынке, служит индикатором стоимости товара, так как фиксирует изменения соотношения спроса и предложения, происходящие на основе колебаний в системе стоимостей. Если на рынке инвестиционных товаров в данный момент представлен их определенный набор (недвижимое имущество, оборудование, ценные бумаги и др.), то в такой ситуации инвестор, вкладывая средства в набор товаров, стремится максимизировать прибыль и минимизировать затраты. Среди различных видов активов предпочтение в первую очередь будет отдано наиболее высокодоходным (с наибольшей нормой прибыли на вложенный капитал) и минимальным рискам утраты таких активов.
Направление большой массы инвестиций на цели авансирования их в высокодоходные активы приведет к структурным сдвигам на рынке инвестиционных товаров2. Поэтому инвестиционный спрос на конкретный объект вложения превысит предложение. В условиях конкурентного рынка такая ситуация вызовет увеличение цен данного инвестиционного товара.
Высокая рыночная цена подтверждает привлекательность данного товара для инвесторов с позиций его высокой доходности (эффекта). Однако перелив инвестиций (капитала) в высокодоходные активы приведет в конечном итоге к расширению предложения данного инвестиционного товара и соответствующему уменьшению его цены. В таких условиях инвестиции будут направлены в новые высокодоходные активы.
Началом инвестиционно-строительного цикла является денежная форма стоимости. Сущность первой фазы кругооборота инвестиций заключается в авансировании накопленных денежных средств или выделении инвестиционных кредитов для создания основных фондов. Причем денежная форма выступает исходной базой кругооборота инвестиций не только в процессе их создания, но и в случае приватизации собственности или выкупа имущества трудовым коллективом или частным лицом. В этом случае речь идет о движении ранее авансированных денежных средств.
Обобщая и развивая особенности оборота инвестиций в форме денег, товаров и имущественных прав, изложенные в [6, с. 14-19], можно применительно к инвестициям в основной капитал (капитальным вложениям) их кругооборот в агрегированном виде в рыночном хозяйстве представить следующим образом:
,
где:
J, R – см. формулу (14);
F* – незавершенное строительство (величина связанности инвестиций в процессе воспроизводства основного капитала);
F – основной капитал (основные фонды);
P – производительная стадия оборота инвестиций в основной капитал;
T – товарная стадия оборота инвестиций в основной капитал;
Д – денежная стадия оборота инвестиций в основной капитал (цена реализации объекта инвестиционно-строительной деятельности);
C – фонд возмещения;
V – фонд оплаты труда, включая все необходимые отчисления (ПФ, ФЗ, ФМС, соцстрах и др.);
m– чистый доход в форме прибыли;
C1 – фонд возмещения материально- технических затрат (оборотных средств), включаемых в издержки производства (строительные – в процессе производства строительно-монтажных работ; эксплуатационные – в процессе функционирования объекта);
C2 – амортизационный фонд;
N – фонд накопления;
N1 – фонд накопления, направляемый на возмещение потребленных инвестиций в основной капитал;
N2 – фонд накопления, направляемый на новые инвестиции в основной капитал (капитальные вложения).
Развивая модель (15), можно следующим образом отразить специфику строительной и инновационной деятельности как составных элементов кругооборота инвестиций в основной капитал (см. формулы 15а, 16 18).
По стадиям (16) и (17) учтено предварительное авансирование инвестором (заказчиком) производственных затрат генподрядчика и, через него – субподрядчика, а по стадии (18) – предварительное инвестирование инновационной организации, внедряющей научно-техническое новшество (или продавшей ноу-хау).
Расширенная модель кругооборота инвестиций в основной капитал:

Расшифровка индексов к формулам (16-18):
Дгп - денежные средства генподрядной строительной организации, полученные ею в виде аванса от инвестора (заказчика);
Дс - денежные средства субподрядной строительной организации, полученные ею в виде аванса от генподрядчика;
Ди - денежные средства инновационной организации, полученные ею от инвестора (заказчика) на разработку и реализацию инновационного мероприятия (головного образца);
Fгп - средства, вложенные генподрядчиком в собственный основной и оборотный капитал (строительные машины, транспортные средства, строительные материалы, изделия и конструкции);
Fс - средства, вложенные субподрядной организацией в собственный основной и оборотный капитал;
Fи - средства, вложенные инновационной организацией в разработку головного образца новой техники;
Ргп - процессы технологии, организации и управления строительным производством на уровне генподрядной организации (в стоимостном выражении);
Рс - то же, на уровне субподрядной организации;
Ри - процессы разработки и внедрения головного образца новой техники, а также покупка ноу-хау, патента, лицензии и т.п.;
Тгп - готовая (товарная) строительная продукция для заказчика (сданные в эксплуатацию производственные мощности и объекты социальной сферы);
Тс - промежуточная (товарная) продукция субподрядной организации, принимаемая генподрядчиком;
Ти - готовая инновационная продукция, принимаемая заказчиком или генподрядчиком (в зависимости от условий договора);
Дгп - денежные средства, полученные генподрядчиком от инвестора (заказчика) при окончательном расчете, согласно акту сдачи-приемки введенного в действие объекта;
Дс - денежные средства, полученные субподрядной организацией от генподрядчика при окончательном расчете за выполненные и сданные генподрядчику по акту сдачи-приемки работы;
Ди - денежные средства, полученные инвестором (заказчиком), а также разработчиком от эксплуатации научно-технического новшества (инновации).
Естественно, рассмотренные процессы трансформации инвестиций в основной капитал (см. формулы (15а, 1618)), осуществляются во временном разрезе, то есть с учетом фактора времени.
Ниже излагается модель кругооборота инвестиций с учетом фактора времени применительно к [7, с.183-186], но с использованием рыночных категорий: нормы дисконта, дохода инвестора (инвесторов), расходуемого инвестиционного дохода и др. В основу модели положена схема “обрастания” капиталовложений последующим доходом, образующимся в процессе их хозяйственного применения.
Предполагается, что инвестиции I, овеществленные в основных фондах, дают поступление дохода в размере в год, где – норма дисконта, равная приемлемой для инвестора норме дохода на капитал [3, с. 8]. Получаемый доход (см. графическую модель, рис. 3), в свою очередь, используется (целиком, либо в доле ) на накопление, что дает приток вторичного дохода, соответственно, в размере или и так далее на неограниченный срок (или до окончания расчетного периода).

Рисунок 4. Принципы формирования циклов и этапов поступления дохода инвестора от использования инвестиций (фрагмент одной из ветвей кругооборота инвестиций в основной капитал)
На рис. 4 с учетом Тл > 1 (лаг капитальных вложений больше года), Тф < µ (сроки функционирования объекта конечны), J < 1 (инвестиционное накопление в размере J < 1 или полностью), Тн – начальный год вложения средств, Е – норма дисконта в размере, приемлемом для инвестора, Т – шкала времени, – приведен фрагмент одной из ветвей кругооборота инвестиций в основной капитал, из которого виден принцип формирования дохода инвестора, складывающегося из циклов и этапов.
Шестиугольниками обозначены направляемые в строительство средства (инвестиции), а прямоугольниками – доход инвестора, служащий источником новых вложений.
Таким образом, кругооборот инвестиций и доход инвестора формируется по следующей схеме:
(19)
где подчеркнуты элементы последовательных циклов дохода:
J i-1 E i I, i = 1, 2, 3, ...
В модели на рис. 4 учитывается ограниченность сроков службы основных фондов, а также сроков начисления и использования амортизационных средств на реновацию. Поэтому в схему анализа кругооборота капитальных вложений в процессе инвестиционно-строительной деятельности включаются и годовые поступления реновационных средств. Заметим, что даже если амортизационные отчисления используются в качестве капитальных вложений лишь в конце срока службы основных фондов, и притом – в прежнем виде, они являются источником расширенного воспроизводства вследствие научно-технического прогресса и роста производительности труда.
Включение в процесс кругооборота амортизационных отчислений на реновацию , формируемых в зависимости от величины материализованных в фондах инвестиционных средств () и от нормы амортизации () как , существенно усложняет модель, поскольку необходимо учитывать как доход инвестора, получаемый им в виде накопления амортизации, так и приток амортизационных отчислений, возникающих вследствие инвестиционного накопления доходов предыдущих циклов. Механизм кругооборота средств изображен на рис. 5, где также как и на рис. 4, поступающие в оборот капитальные вложения, амортизация и инвестируемая прибыль (поступающая в оборот часть дохода) показаны в шестиугольниках, а получаемый доход инвестора – в прямоугольниках. Наличие лага между инвестициями и доходом показано сплошной стрелкой, а лага между вложениями и притоком реновационных средств – штриховой стрелкой.
Как следует из рис. 5, при реализации эффективных инвестиционных проектов состав учитываемых циклов дохода, начиная со второго расширяется: если первый цикл формируется множеством элементов , то во второй наряду с входят элементы , в третий – и т.д., причем число компонент цикла равно его номеру. Заметим, что доля расходуемого инвестиционного дохода (инвестируемого накопления) может быть меньше или равна 1, т.е. , в то время как реновационные отчисления должны поступать в инвестиционный оборот полностью (хотя на практике в современной российской экономической среде реновационный доход в большей части используется на цели текущего потребления).
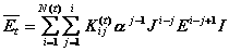
В общем виде формула годового дохода инвестора в t-м году () получается в результате суммирования всех элементов дохода (различных этапов, циклов, их компонент), возникающих в данном -м году:
,
(20)
где: I – поступающие в оборот в некотором
году tн инвестиции (в качестве начального
года расчетного периода удобно принимать
tн = 0); a– годовой уровень притока
отчислений от введенных основных фондов,
т.е. норма амортизационных отчислений
на реновацию; J – доля расходуемого
инвестиционного дохода, т.е. доля
инвестируемого накопления; i – номер
цикла дохода, представляющего собой
отдачу инвестиций I; j – номер компоненты
данного цикла дохода (j = 1;i ); E – норма
дисконта, равная приемлемой для инвестора
норме дохода на капитал;
–
элемент j-й компоненты i-го цикла
кругооборотного эффекта;
–
коэффициент, показывающий количество
получаемых в t-м году элементов j-й
компоненты i-го цикла инвестиционного
дохода; N(t) – количество возникающих в
t-м году циклов инвестиционного дохода.
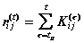
Величина накопленного к t-му году дохода (Et) определяется суммированием размеров годового дохода инвестора (инвесторов) за период:
(21)
где:
–
коэффициент, показывающий количество
накопленных к t-му году элементов j-й
составляющей i-го цикла дохода инвестора.
Коэффициенты определяются по алгоритму (здесь не рассматриваемому), который базируется на детальном анализе процедуры формирования инвестиционного дохода путем развертывания во времени схемы, представленной на рис. 4, как это показано для отдельной ветви оборота на рис. 5.
Завершая рассмотрение общей схемы кругооборота инвестиций в основной капитал, следует отметить, что она в принципе остается одинаковой для конкретного объекта (эффективного инвестиционного проекта), их совокупности, отрасли, национальной экономики в целом, а также таких естественных монополий как РАО “Газпром”, РАО “ЕЭС России” и т.п.

Рисунок 5. Механизм кругооборота инвестиций в основной капитал и других (в частности, амортизации) инвестируемых средств
Возмещение основного капитала должно совершаться в условиях постоянного азвития научно-технического прогресса. Поэтому вновь вводимые в эксплуатацию активные основные фонды (машины и оборудование) должны обладать более высокой производительностью, что предполагает снижение капитальных затрат на единицу мощности.
Накопление стоимостного износа на предприятиях происходит систематически (ежемесячно), в то время как основные производственные фонды не требуют возмещения в натуральной форме после каждого цикла воспроизводства. В результате формируются свободные денежные средства (путем включения амортизационных отчислений в издержки производства), которые могут быть направлены для расширения воспроизводства основного капитала (согласно рис. 4 и 5). Кроме того, вводятся в эксплуатацию новые объекты, на которые по установленным нормам (в процентах от балансовой стоимости) начисляется амортизация. Однако такие объекты не требуют возмещения до истечения нормативного срока службы. Общий объем амортизационных отчислений в нормально функционирующей экономике обеспечивает инвестору не только простое, но и расширенное воспроизводство основных фондов. Начисленный стоимостной износ служит одним из важнейших источников финансирования инвестиционно-строительной деятельности.
В современных условиях предприятия различных форм собственности (акционерные, частные и государственные) самостоятельно разрабатывают инвестиционно-строительные программы и обеспечивают их реализацию соответствующими финансовыми ресурсами. План финансирования инвестиций является для предприятия документом, определяющим стратегию его финансовых возможностей на предстоящий год. В табл. 1, в качестве примера, представлен план формирования источников инвестиционного фонда ОАО “Цементный завод” на 1999 г. Если собственных средств для финансирования инвестиций у предприятия недостаточно, то в этом случае средства могут быть привлечены за счет выпуска ценных бумаг и, при определенных условиях, – кредитов банка. Конкретные условия предоставления такого кредита устанавливаются кредитным договором между предприятием (заказчиком) и банком.
Таблица 1
План формирования источников инвестиционного фонда
ОАО “Цементный завод” на 1999 год (пример)
|
Наименование |
План показателей на год |
В том числе по кварталам (тыс.руб.) |
|||
|
|
(тыс.руб.) |
I |
II |
III |
IV |
|
1 |
2 |
3 |
4 |
5 |
6 |
|
I. Собственные источники |
|
|
|
|
|
|
Прибыль |
3425,0 |
787,8 |
822,0 |
856,2 |
959,0 |
|
Амортизационные отчисления |
1935,0 |
445,0 |
464,4 |
483,8 |
541,8 |
|
Мобилизация внутренних ресурсов в строительстве, осуществляемом хозяйственным способом (+), иммобилизация средств (-) |
10,0 |
2,3 |
2,4 |
2,5 |
2,8 |
|
Прибыль по строительно-монтажным работам, выполняемым хозспособом |
60,0 |
13,8 |
14,4 |
15,0 |
16,8 |
|
Прочие внутренние финансовые ресурсы - всего |
40,0 |
9,2 |
9,6 |
10,0 |
11,2 |
|
В том числе |
|
|
|
|
|
|
- доходы от попутной добычи полезных ископаемых (строительных материалов) |
15,0 |
3,4 |
3,6 |
3,8 |
4,2 |
|
- выручка от реализации основных фондов, не используемых в производстве |
25,0 |
5,8 |
6,0 |
6,2 |
7,0 |
|
Собственные средства инвестиционного фонда - итого |
5470,0 |
1258,1 |
1312,8 |
1367,5 |
1531,6 |
|
II. Корпоративные средства ОАО, включая уставный фонд |
250,0 |
57,5 |
60,0 |
62,5 |
70,0 |
|
Всего собственные инвестиционные средства |
5720,0 |
1315,6 |
1372,8 |
1430,0 |
1601,6 |
|
Потребность ОАО в инвестициях (капитальных вложениях) |
7400,0 |
1702,0 |
1776,0 |
1850,0 |
2072,0 |
|
Излишек (+), недостаток (-) инвестиционных средств (5720-7400) |
-1680,0 |
-386,4 |
-403,2 |
-420,0 |
-470,4 |
|
III. Привлеченные средства |
|
|
|
|
|
|
Выпуск ценных бумаг |
500,0 |
115,0 |
120,0 |
125,0 |
140,0 |
|
Займы, полученные от других юридических лиц (в качестве вкладов в уставный капитал) |
- |
- |
- |
- |
- |
|
Средства иностранных инвесторов |
750,0 |
172,5 |
180,0 |
187,5 |
210,0 |
|
Прочие привлеченные средства |
- |
- |
- |
- |
- |
|
Итого привлеченных средств |
1250,0 |
287,5 |
300,0 |
312,5 |
350,0 |
|
IV. Заемные средства |
|
|
|
|
|
|
Долгосрочные кредиты банка (сроком более одного года) |
430,0 |
98,9 |
103,2 |
107,5 |
120,4 |
|
Краткосрочные кредиты банка (сроком до одного года) |
- |
- |
- |
- |
- |
|
Итого заемных средств |
430,0 |
98,9 |
103,2 |
107,5 |
120,4 |
Система финансового обеспечения инвестиционного процесса складывается из органического единства источников финансирования инвестиционно-строительной деятельности (см. табл. 1) и методов инвестирования. К методам инвестирования относятся: бюджетный, кредитный, самофинансирование и комбинированный (смешанный). Бюджетный метод инвестирования в условиях российской переходной экономики применяется в основном к объектам производственной и непроизводственной сфер национальной экономики, включаемых и утверждаемых ежегодно в составе федеральных инвестиционных программ. Кредитный метод наиболее рационален (при определенных условиях), так как способствует более эффективному использованию инвестиционных средств на основе их возвратности и платности. Метод самофинансирования и кредитный метод пока не получили должного развития из-за низкой рентабельности большинства предприятий и неудовлетворительного состояния экономической и законодательной среды в стране.
Список литературы
1. Ланге О. Целое и развитие в свете кибернетики. В кн.: “Исследования по общей теории систем”. Сб. Переводов. – М.: Прогресс, 1969.
2. Лемешев М.Я., Панченко А.И. Комплексные программы в планировании народного хозяйства. – М.: Экономика, 1973. – 167 с.
3. Методические рекомендации по оценке эффективности инвестиционных проектов и их отбору для финансирования. Издание официальное. – М.: 1994. – 80 с.
4. Марков Ю.Г. Функциональный подход в современном научном познании. – Новосибирск: Наука, 1982. – 255 с.
5. Каменецкий М.И. Инвестиционная сфера и строительный комплекс: ситуация, государственное регулирование и рыночное взаимодействие//Проблемы прогнозирования. 1997. – №6. с. 91–100.
6. Бочаров В.В. Финансово-кредитные методы регулирования рынка инвестиций.- М.: Финансы и статистика, 1993. – 144 с.
7. Фактор времени в плановой экономике (инвестиционный аспект)/Под ред. В.П.Красовского – М.: Экономика, 1978. – 247 с.
Для подготовки данной применялись материалы сети Интернет из общего доступа