Определение стоимости облигаций с фиксированным купоном
Определение стоимости облигаций с фиксированным купоном
И.Я. Лукасевич
Нетрудно заметить, что денежный поток, генерируемый подобными ценными бумагами представляет собой аннуитет, к которому в конце срока операции прибавляется дисконтированная номинальная стоимость облигации.
Определим современную (текущую) стоимость такого потока:
,
(2.6)
где F – сумма погашения (как правило – номинал, т.е. F = N); k – годовая ставка купона; r – рыночная ставка (норма дисконта); n – срок облигации; N – номинал; m – число купонных выплат в году.
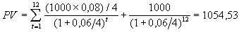
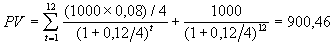
Пример 2.4
Определить текущую стоимость трехлетней облигации с номиналом в 1000 и купонной ставкой 8%, выплачиваемых 4 раза в год, если норма дисконта (рыночная ставка) равна 12%.
.
Таким образом, норма доходности в 12% по данной операции будет обеспечена при покупке облигации по цене, приблизительно равной 900,46.
Соотношение (2.6) представляет собой базовую основу для оценки инвестором стоимости облигации.
Определим текущую стоимость облигации из примера 2.4, при условии, что норма дисконта равна 6%.
.
Нетрудно заметить, что текущая стоимость облигации зависит от величины рыночной процентной ставки (требуемой нормы доходности) и срока погашения. Причем зависимость эта обратная. Из базовой модели оценки могут быть выведены две группы теорем, которые приводятся ниже без доказательств [16].
Первая группа теорем отражает взаимосвязи между стоимостью облигации, ставкой купона и рыночной ставкой (нормой доходности):
если рыночная ставка (норма доходности) выше ставки купона, текущая стоимость облигации будет меньше номинала (т.е. облигация будет продаваться с дисконтом);
если рыночная ставка (норма доходности) меньше ставки купона, текущая стоимость облигации будет больше номинала (т.е. облигация будет продаваться с премией);
при равенстве купонной и рыночной ставок текущая стоимость облигации равна номиналу.
Рассмотренный выше пример 2.4 может служить практической иллюстрацией справедливости изложенных положений.
Вторая группа теорем характеризует связь между стоимостью облигации и сроком ее погашения:
если рыночная ставка (норма доходности) выше ставки купона, сумма дисконта по облигации будет уменьшаться по мере приближения срока погашения;
если рыночная ставка (норма доходности) меньше ставки купона, величина премии по облигации будет уменьшаться по мере приближения срока погашения;
чем больше срок обращения облигации, тем чувствительнее ее цена к изменениям рыночной ставки.
Приведенные положения требуют более детального рассмотрения. Для упрощения будем полагать, что выплата купона производится раз в год.
Пример 2.5
Срок обращения облигации с номиналом в 1000,00 составляет 10 лет. Ставка купона, выплачиваемая раз в год, равна 15%. Определить стоимость облигации, если:
а) рыночная ставка (требуемая норма доходности) равна 22%;
б) рыночная ставка (требуемая норма доходности) равна 10%.
Для иллюстрации чувствительности стоимости облигации к сроку погашения воспользуемся специальным инструментом ППП EXCEL – "Таблица подстановки". Автоматизация анализа чувствительности
Пакеты прикладных программ, реализующие функции табличных процессоров, идеально подходят для анализа проблем вида "что будет, если". Наиболее развитые табличные процессоры, включают в себя специальные средства для автоматизации решения таких задач. ППП EXCEL также не является исключением и предоставляет пользователю широкие возможности по моделированию подобных расчетов. Для этого в нем реализовано специальное средство – "Таблица подстановки" .
Применение таблиц подстановки позволяет быстро рассчитать, просмотреть и сравнить влияние на результат любого количества вариаций одного показателя. В ППП EXCEL существует два типа таблиц подстановок:
с одним входом – для анализа влияния одного показателя;
с двумя входами – для анализа влияния двух показателей одновременно.
Для реализации типовой процедуры анализа чувствительности в рассматриваемом примере будет использоваться первый тип таблиц подстановок – с одним входом.
Фрагмент ЭТ для решения первого условия примера 2.5 приведен на рис. 2.2.

Рис. 2.2. Фрагмент ЭТ для первого условия примера 2.5
Для подготовки этой таблицы необходимо выполнить следующие действия.
Заполнить ячейки В3.В6 исходными данными (рис. 2.2).
Ввести в ячейку С9 формулу: -ПЗ(B6;B4;B3*B5;B3).
Заполнить ячейки В10.В20 числами от 10 до 0.
Выделить блок ячеек В9.С20.
Выбрать из темы "Данные" главного меню пункт "Таблица подстановки". На экране появится окно диалога (рис. 2.3).
Установить курсор в поле "Ячейка ввода столбца" и ввести имя ячейки, содержащей входной параметр (ячейка В4).
Нажать кнопку "ОК".
Ввести в ячейку D10 формулу: =1000-C10.
Скопировать ячейку D10 в блок D11.D20.
Аналогичная таблица, реализующая расчеты для второго случая, представлена на рис. 2.4. Вам предлагается разработать ее самостоятельно.

Рис. 2.3. Диалоговое окно "Таблица подстановки"

Рис. 2.4. Фрагмент ЭТ для второго условия примера 2.5
Приведенные таблицы наглядно демонстрирует справедливость положений первых двух теорем рассматриваемой группы. Графическая интерпретация теорем показана на рис. 2.5.

Рис. 2.5. Зависимость стоимости облигации от срока погашения
Исследования чувствительности текущей стоимости облигации к изменениям рыночной процентной ставки (нормы доходности) проведем на следующем примере.
Пример 2.6
Рассматривается возможность приобретения облигаций "В" и "С", характеристики которых приведены в табл. 2.2.
Таблица 2.2
Характеристики облигаций "В" и "С"
|
Характеристики |
Облигация "В" |
Облигация "С" |
|
Номинал |
10000 |
10000 |
|
Ставка купона |
15% |
15% |
|
Срок погашения (лет) |
8 |
12 |
|
Норма доходности |
20% |
20% |
|
Текущий курс (t=0) |
80,81 |
77,80 |
Анализ чувствительности стоимости облигаций к изменениям рыночной ставки c использованием инструмента "Таблица подстановки" приведен на рис. 2.6.

Рис. 2.6. Решения примера 2.6
Нетрудно заметить, что по мере увеличения (уменьшения) рыночной ставки, процентное изменение курсовой стоимости у облигации "С" будет выше, чем у облигации "В".
Например, при увеличении рыночной ставки до 24%, падение курса облигации "В" составит 11,61%, а облигации "С" – 12,47%. Соответственно при снижении рыночной ставки до 16%, курс облигации "В" вырастит на 14,84%, а облигации "С" – на 17%!
Дальнейшие исследования степени влияния изменения процентных ставок на цены облигаций приводят нас к одному из фундаментальных понятий инвестиционного анализа – средневзвешенной продолжительности потока платежей, или дюрации (duration).
Однако прежде чем перейти к ее рассмотрению, напомним, что при продаже (покупки) облигации в момент времени между купонными выплатами, на ее стоимость существенное влияние будет оказывать величина НКД. Механизм формирования цены облигации в этом случае был рассмотрен в процессе решения примера 2.3.
Список литературы
Для подготовки данной применялись материалы сети Интернет из общего доступа