Определение современной и будущей величины денежных потоков
Определение современной и будущей величины денежных потоков
Олег Лытнев
Основные правила процентных вычислений, рассмотренные нами ранее, остаются неизменными и для совокупности платежей, однако возникает необходимость ввести несколько дополнительных понятий. В финансовом анализе для обозначения денежных потоков в наиболее общем смысле используется термин рента. Каждый отдельный рентный платеж называют членом ренты. Частным случаем ренты является финансовая рента или аннуитет – такой поток платежей, все члены которого равны друг другу, так же как и интервалы времени между ними. Часто аннуитетом называют финансовый актив, приносящий фиксированный доход ежегодно в течение ряда лет. В буквальном переводе “аннуитет” подразумевает, что платежи происходят с интервалом в один год, однако встречаются потоки с иной периодичностью выплат. Очевидно, что рента – это более широкое понятие, чем аннуитет, так как существует множество денежных потоков, члены которых не равны друг другу или распределены неравномерно.
В данном параграфе будут рассмотрены примеры и таких неравномерных денежных потоков, но основное внимание будет уделено аннуитетам, ввиду наибольшей методической разработанности именно этого вида рент. Форму аннуитетов имеют многие финансовые потоки, например выплата доходов по облигациям или платежи по кредиту, страховые взносы и др. Можно сказать, что финансы тяготеют к упорядочению денежных потоков. Это и понятно, так как равномерность любых процессов связана с их упорядоченностью, а следовательно – предсказуемостью и определенностью. И хотя риск как мера неопределенности постоянно присутствует в финансах, однако с увеличением этого риска происходит трансформация финансовой деятельности в индустрию азартных игр. Различие между двумя ценными бумагами (облигацией, имеющей высокий рейтинг, и лотерейным билетом) состоит именно в том, что первая из них с достаточно высокой вероятностью гарантирует ее владельцу возникновение упорядоченного положительного денежного потока (аннуитета).
Принцип временной ценности денег делает невозможным прямое суммирование членов ренты. Для учета влияния фактора времени к каждому члену ренты применяются рассмотренные выше правила наращения и дисконтирования. Причем в анализе денежных потоков применяется техника вычисления только сложных процентов, то есть предполагается, что получатель потока имеет возможность реинвестировать получаемые им суммы.. Если бы размеры рент всегда ограничивались двумя-тремя членами, то необходимость создания специальных способов расчета денежных потоков, возможно, и не возникла. Ни в теории ни на практике таких ограничений нет, наоборот, существуют большие, очень большие и даже бесконечные денежные потоки (вечные ренты), поэтому были разработаны специальные методы, позволяющие анализировать ренту не по каждому ее члену в отдельности, а как единую совокупность – рассчитывать ее будущую и приведенную величины, а также определять размеры других важных параметров ренты.
Как уже отмечалось ранее, в процессе начисления сложных процентов на единичную сумму P возникает геометрическая прогрессия со знаменателем (1 + i), наращенная сумма S представляет собой последний член этой прогрессии P * (1 + i)n. Денежный поток представляет собой совокупность таких единичных сумм Pk, поэтому наращение денежного потока означает нахождение суммы всех k последних членов геометрических прогрессий, возникающих по каждому из них. В случае аннуитета задача упрощается, т.к. Pk в этом случае будет постоянной величиной = P. То есть возникает одна геометрическая прогрессия с первым членом P и знаменателем (1 + i). Отличие от сложных процентов для единичного платежа здесь заключается в том, что требуется найти не последний член прогрессии, а ее сумму. В случае дисконтирования аннуитета меняется лишь знаменатель прогрессии – он будет равен не (1 + i), а 1 / (1 + i). Приведенная стоимость аннуитета находится как сумма вновь полученной геометрической прогрессии.
Наряду с членом ренты (обозначим его R) любой денежный поток характеризуется рядом других параметров: период ренты (t) – временной интервал между двумя смежными платежами; срок ренты (n) – общее время, в течение которого она выплачивается; процентная ставка (i) – ставка сложного процента, используемая для наращения и дисконтирования платежей, из которых состоит рента; число платежей за 1 период ренты (p) – используется в том случае, если в течение 1 периода ренты, производится больше, чем 1 выплата денежных средств; число начислений процентов в течение 1 периода ренты (m) – при начислении (дисконтировании) по номинальной процентной ставке (j).
В зависимости от числа платежей за период различают годовые и p-срочные ренты. В первом случае за 1 период ренты (равный, как правило 1 году) производится 1 выплата; во втором, в течение периода производится p выплат (p > 1). В случае очень частых выплат, рента может рассматриваться как непрерывная (p → ∞); значительно чаще в финансовом анализе имеют дело с дискретными рентами, для которых p – конечное целое число. Так же как и при использовании сложной процентной ставки для единичных сумм, наращение (дисконтирование) рент может производиться 1 раз за период, m раз за период или непрерывно. По величине членов денежного потока ренты могут быть постоянными (с равными членами) и переменными. По вероятности выплат ренты делятся на верные и условные. В случае условной ренты выплата ее членов ставится в зависимость от наступления какого-либо условия. По своей общей продолжительности (или по числу членов) различают ограниченные (с конечным числом членов) и бесконечные (вечные, бессрочные) ренты. По отношению к фиксированному моменту начала выплат ренты могут быть немедленными и отложенными (отсроченными). Ренты, платежи по которым производятся в конце периода называются обычными или постнумерандо; при выплатах в начале периода говорят о рентах пренумерандо.
Рассмотрим пример определения будущей величины ограниченной постоянной ренты (аннуитета) постнумерандо которая выплачивается 1 раз в год (p = 1) и проценты по которой начисляются по сложной эффективной процентной ставке i 20% годовых также 1 раз в год (m = 1). Размер годового платежа R составляет 3 тыс. рублей, общий срок ренты n равен 5 годам.
Наращение денежного потока
Таблица 2.3.1
|
№ периода |
1 |
2 |
3 |
4 |
5 |
Итого |
|
1.Член ренты, тыс. руб. |
3 |
3 |
3 |
3 |
3 |
15 |
|
2.Время до конца ренты, периодов (лет) |
4 |
3 |
2 |
1 |
0 |
– |
|
3.Множитель наращения |
(1+0,2)4 |
(1+0,2)3 |
(1+0,2)2 |
(1+0,2)1 |
(1+0,2)0 |
– |
|
4.Наращенная величина, тыс. руб. (стр.1*;стр.3) |
6,22 |
5,18 |
4,32 |
3,6 |
3 |
22,32 |
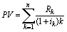
Полученное значение (22,32 тыс. руб.) заметно больше арифметической суммы отдельных членов ренты (15 тыс. руб.), однако она значительно меньше той гипотетической суммы, которая могла быть получена, если бы мы захотели нарастить по ставке 20% все 15 тыс. руб. за весь срок ренты (15*; 1,25). Наращенная сумма ренты S получена путем последовательного начисления процентов по каждому члену ренты и последующего суммирования полученых результатов. Введя обозначение k = номеру периода ренты, в наиболее общей форме данный процесс можно выразить следующей формулой:
(1)
В нашем примере член ренты R неизменен в течение всего срока, процентная ставка i также постоянна. Поэтому наращенную величину ренты можно найти как сумму геометрической прогрессии с первым членом 3000 и знаменателем (1 + 0,2):

Следовательно, от общей формулы наращения ренты (1) можно перейти к ее частному случаю – формуле наращения аннуитета:
(2)
Второй сомножитель этого выражения – ((1 + i)n – 1) / i – называется множителем наращения аннуитета. Так же как и в случае с начислением процентов на единичные суммы, значения таких множителей табулированы, что позволяет облегчить процентные вычисления денежных потоков.
Наращение денежных потоков имеет место при периодическом внесении на банковский депозит фиксированных сумм с целью накопления финансового фонда к определенному моменту времени. Например, разместив долгосрочный облигационный заем, предприятие готовится к погашению суммы основного долга в конце срока займа путем периодического внесения на банковский счет фиксированных платежей под установленный процент. Таким образом к моменту погашения облигационного займа у предприятия накопятся достаточные средства в этом фонде. Аналогичные задачи решаются в ходе формирования пенсионного фонда или при накоплении суммы для оплаты обучения детей. Например, заботясь о своей старости, человек может наряду с обязательными отчислениями в государственный Пенсионный фонд, вносить часть своего ежемесячного заработка на банковский депозит под проценты. Наращение суммы такого вклада будет происходить по описанному выше алгоритму. Таким же путем предприятия могут формировать амортизационный фонд для плановой замены оборудования.
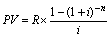
Обратный по отношению к наращению процесс – дисконтирование денежного потока имеет еще большую важность для финансового менеджмента, так как в результате определяются показатели, являющиеся в настояее время основными критериями принятия финансовых решений. Рассмотрим этот процесс более подробно. Предположим, что рассмотренный в нашем примере денежный поток характеризует планируемые поступления от реализации инвестиционного проекта. Доходы должны поступать в конце периода. Так как эти поступления планируется получить в будущем, а инвестиции, необходимые для выполнения проекта, должны быть произведены уже сегодня, предприятию необходимо сопоставить величину будущих доходов с современной величиной затрат. Как уже было сказано выше, использование для сравнения арифметической суммы членов потока (15 тыс. руб.) бессмысленно, так как эта сумма не учитывает влияние фактора времени. Для обеспечения сопоставимости данных величина будущих поступлений должна быть приведена к настоящему моменту, иными словами данный денежный поток должен быть дисконтирован по ставке 20%. Предприятие сможет определить сегодняшнюю стоимость будущих доходов. При этом процентная ставка будет выступать в качестве измерителя альтернативной стоимости этих доходов: она показывает, сколько денег могло бы получить предприятие, если бы разместило приведенную (сегодняшнюю) стоимость будущих поступлений на банковский депозит под 20%.
Дисконтирование денежного потока предполагает дисконтирование каждого его отдельного члена с последующим суммированием полученных результатов. Для этого используется дисконтный множитель математического дисконтирования по сложной процентной ставке i. Операции наращения и дисконтирования денежных потоков взаимообратимы, то есть наращенная сумма ренты может быть получена начислением процентов по соответственной сложной ставке i на современную (приведенную) величину этой же ренты (S = PV*; (1+i)n).
Таблица 2.3.2
Дисконтирование денежного потока
|
№ периода |
1 |
2 |
3 |
4 |
5 |
Итого |
|
1.Член ренты, тыс. руб. |
3 |
3 |
3 |
3 |
3 |
15 |
|
2. Число лет от начальной даты |
1 |
2 |
3 |
4 |
5 |
|
|
3.Множитель дисконтирования |
1/(1+0,2)1 |
1/(1+0,2)2 |
1/(1+0,2)3 |
1/(1+0,2)4 |
1/(1+0,2)5 |
– |
|
4.Приведенная величина, тыс. руб. (стр.1*; стр.3) |
2,5 |
2,08 |
1,74 |
1,45 |
1,21 |
8,98 |
Из таблицы видно, что при альтернативных затратах 20% сегодняшняя стоимость будущих доходов составляет 8,98 тыс. руб. Именно эта величина и должна сравниваться с инвестициями для определения целесообразности принятия проекта или отказа от его реализации. Обобщая алгоритм, по которому выполнялись расчеты, получаем общую формулу дисконтирования денежных потоков:
(3)
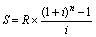
Так как в нашем примере i и R постоянные величины, то снова применяя правило суммирования геометрической прогрессии, получим частную формулу дисконтирования аннуитета:
(4)
Второй сомножитель этого выражения – (1 – (1 + i)-n) / i – называется дисконтным множителем аннуитета.
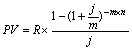
Формулы (2) и (4) описывают наиболее общие случаи наращения и дисконтирования аннуитетов: рассматриваются только ограниченные ренты, выплаты и начисление процентов производятся 1 раз в году, используется только эффективная процентная ставка i. Так же как и в случае единичных сумм все эти параметры могут меняться. Поэтому существуют модифицированные формулы наращения и дисконтирования аннуитетов, учитывающие особенности отдельных денежных потоков. Основные из них, относящиеся к ограниченным денежным потокам, представлены в табл. 3.3.3.
Таблица 2.3.3
Основные формулы наращения и дисконтирования ограниченных аннуитетов
|
Виды рент |
Наращение |
Дисконтирование |
|
Годовая с начислением несколько раз в году (p = 1, m > 1) |
|
|
|
p-срочная с начислением 1 раз в году (p > 1, m = 1) |
|
|
|
p- срочная с начислением несколько раз в году (p > 1, m > 1, p = m) |
|
|
|
p- срочная с начислением несколько раз в году (p > 1, m > 1, p ≠ m) |
|
|
|
Годовая с начислением непрерывных процентов (p = 1, d) |
|
|
|
p-срочная с начислением непрерывных процентов (p > 1, d) |
|
|
В табл. 2.3.3 не нашли отражения формулы расчета неограниченных денежных потоков, т.е. вечных рент или перпетуитетов. Существуют финансовые инструменты, предполагающие бессрочную выплату доходов их держателям. Одним из примеров таких ценных бумаг являются т.н. консоли (консолидированные ренты), эмитируемые британским казначейством начиная с XVIII века. В случае смерти владельца они передаются по наследству, обеспечивая тем самым действительную “бесконечность” денежного потока. Очевидно, что будущую стоимость ренты такого рода определить невозможно – ее сумма также будет стремиться к бесконечности, однако приведенная величина вечного денежного потока может быть выражена действительным числом. Причем, формула ее определения очень проста:
(17)
где R – член ренты (разовый платеж),
i – сложная процентная ставка.
Например, по условиям страхового договора компания обязуется выплачивать 5 тыс. рублей в год на протяжении неограниченного периода, т.е. вечно. Чему должна быть равна стоимость этого перпетуитета, если уровень процентной ставки составит 25% годовых? В соответствии с (17) текущая стоимость всех предстоящих платежей по договору будет равна 20 тыс. рублей (5 / 0,25).
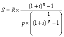
Если неограниченная рента выплачивается p раз в году, и начисление процентов по ней производится m раз за год, причем m = p, то формула расчета ее приведенной стоимости принимает вид:
,
(18)
где j – номинальная процентная ставка.
Предположим, рассмотренный выше перпетуитет будет выплачиваться дважды в год по 2,5 тыс. рублей, столько же раз будут начисляться проценты (25% в этих условиях становится номинальной ставкой). Его стоимость останется неизменной 20 тыс. рублей ((2,5 + 2,5) / 0,25).
В наиболее общем виде (m > 1, p > 1, m ≠ p) формула приведенной стоимости перпетуитета записывается следующим образом:
(19)
В принципе, ее можно использовать во всех случаях, подставляя соответствующие значения параметров m, p, j, или i. Если предположить четырехразовое начисление процентов по рассматриваемому перпетуитету, то в соответствии с (19) его текущая стоимость составит: 19,394 тыс. рублей (5 / (2 * ((1 + 0,25 / 4)4/2 – 1))).
Интересно отметить связь существующую между годовой вечной и годовой ограниченной рентами (аннуитетами). Преобразовав правую часть формулы (4), получим:
(20)
То есть современная величина конечной ренты, имеющей срок n периодов, может быть представлена как разница между современными величинами двух вечных рент, выплаты по одной из которых начинаются с первого периода, а по второй – с периода (n+1).
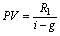
В случае, если член вечной ренты R ежегодно увеличивается с постоянным темпом прироста g, то приведенная стоимость такой ренты определяется по формуле:
,
(21)
где R1 – член ренты в 1-м году.
Данная формула имеет смысл при g < i. Она применяется в оценке обыкновенных акций.
При сравнении приведенной стоимости различных аннуитетов можно избежать громоздких вычислений, запомнив следующее правило: увеличение числа выплат по ренте в течение года (p) увеличивает ее текущую стоимость, увеличение числа начислений процентов (m), наоборот, уменьшает. При заданных значениях R, n, i (j, d) наиболее высокий результат даст дисконтирование p-срочной ренты с 1 начислением процентов в год (m = 1). Самый низкий результат при этих же условиях будет получен по годовой ренте (p = 1) с непрерывным начислением процентов. По мере увеличения p современная величина ренты будет расти, по мере роста m онна будет снижаться. Причем изменение p дает относительно больший езультат, чем изменение m. То есть любая p-срочная рента даже с непрерывным начислением процентов (m → ∞) будет стоить дороже, чем годовая рента (p = 1) с 1 начислением процентов в год (m = 1). Например, по облигации предусмотрена ежегодная выплата 1 тыс. рублей в течение 5 лет. Процентная ставка составляет 20%. При начислении декурсивных процентов 1 раз в год стоимость этой ренты по базовой формуле (4) составит 2,99 тыс. рублей. Если выплаты будут производиться 2 раза в год по 500 рублей, то по формуле (12) стоимость ренты будет равна уже 3,13 тыс. рублей. Но если по последнему варианту начислять проценты 2 раза в год (13), текущая величина ренты снизится до 3,07 тыс. рублей. Если же двукратное начисление применить к исходному варианту при p = 1 (11), то приведенная стоимость ренты станет еще меньше 2,93 тыс. рублей. Самым дешевым будет вариант годовой ренты (p = 1) с непрерывным начислением прцентов (15) – 2,86 тыс. рублей.
Список литературы
Для подготовки данной применялись материалы сети Интернет из общего доступа
(5)
(11)
(6)
(12)
(7)
(13)
(8)
(14)
(9)
(15)
(10)
(16)