Вероятностные сетевые модели в средней школе
Вероятностные сетевые модели в средней школе
Н.В.Березина, Е.Р. Матвеев, Т.Л. Трошина
Работа посвящена применению сетевого планирования к оптимизации учебного процесса в средней школе. Принципиальная схема учебного процесса заключается в следующем: каждое изучаемое в школе понятие базируется на совокупности умений и навыков, составляющих его фундамент и формирующих устойчивую основу для глубокого усвоения. Актуальной проблемой для учителя в данном контексте является распределение отведенных на каждую тему часов на формирование умений и навыков, которые в целом составляют базу получаемого математического знания.
Сложность реализации учебной схемы заключается в неодинаковой скорости усвоения фундаментальных понятий для различных категорий учащихся, поэтому в реальной практике учитель ориентируется на «среднего» ученика. Это делает процесс обучения в школе неинтересным для сильного ученика и непосильным для слабого. Открытым остается также вопрос о числе академических часов, которое потребуется для усвоения учебного материала в данном конкретном классе.
В начале работы мы сделали попытку структурировать учебный процесс, определив для каждого навыка среднее время на его изучение в классе с учетом числа учеников различной степени обучаемости. Это может быть использовано для составления оптимального годового учебного плана с соответствующим распределением контролирующих мероприятий. Затем мы изучили расчет временных характеристик с учетом качественного состава класса. Вместо фиксированного времени на усвоение темы мы использовали его математическое ожидание, а соответствующие вероятности рассчитали по доле хороших учеников, троечников и двоечников в классе. Разработанную методику расчета мы продемонстрировали на конкретных примерах моделирования изучения понятий «Многочлен» в 7 классе и «Производная» в 10 классе.
В основе учебного плана лежит построение сетевого графика и расчет его временных характеристик. Сетевой график представляет собой ориентированный граф, в котором дуги соответствуют изучаемым темам, а вершины (называемые событиями) -контролирующим мероприятиям, завершающим эти темы. Сетевые графики составляются на начальном этапе планирования. Первоначально изучаемая тема разбивается на отдельные этапы, представляющие набор умений и навыков, продумываются их логические связи и последовательность выполнения, оценивается трудоемкость получения каждого навыка. На основе полученных данных составляется сетевой график. После его построения рассчитываются параметры событий и этапов работы, определяются резервы времени и критический путь.
В нашем случае в качестве этапов работы мы выбираем приобретение умений и навыков, необходимых для получения итоговых знаний. В качестве примера рассмотрим построение сетевого графика для изучения темы «Многочлены» в 7 классе. Необходимый материал выбран из учебника «Алгебра-7» [3].
Таблица 1
|
№ п/п |
Тема |
Продолжительность изучения (час) |
Предшествующая тема |
|
|
Название темы |
Обозначение темы |
|||
|
1 |
Многочлен и его стандартный вид |
а1 |
2 |
- |
|
2 |
Сложение и вычитание многочленов |
а2 |
3 |
а1 |
|
3 |
Умножение одночлена на многочлен |
а3 |
4 |
а1 |
|
4 |
Вынесение общего множителя за скобки |
а4 |
3 |
аьа3 |
|
5 |
Умножение многочлена на многочлен |
а5 |
3 |
ai,a3 |
|
6 |
Разложение многочлена на множители способом группировки |
а6 |
3 |
ai,a2,a4,a5 |
|
7 |
Возведение в квадрат суммы и разности двух выражений |
а7 |
3 |
а3)а5 |
|
8 |
Разложение на множители с помощью формул квадрата суммы и разности |
а8 |
2 |
а7 |
|
9 |
Умножение разности двух выражений на их сумму |
а9 |
3 |
а3)а5 |
|
10 |
Разложение разности квадратов на множители |
а1 |
3 |
а9 |
|
11 |
Разложение на множители суммы и разности кубов |
а1 |
2 |
а3)а5 |
|
12 |
Применение различных способов для разложения многочлена на множители |
а12 |
2 |
а4, а6, а9, аю, аи |
Построим сетевой график по следующей схеме:
1. Построим вершину, соответствующую исходному событию - началу работы класса над темой «Многочлены».
2. От исходного события проведем дуги, соответствующие темам, не требующим предварительных знаний в рамках изучаемой темы.
3. Изученные навыки обведем в столбце «Название темы» и подчеркнем в столбце «Предшествующая тема».
4. Построим дуги, соответствующие названиям тем, для которых в столбце «Предшествующая тема» подчеркнуты все предварительно изученные темы.
5. Если какая-либо тема имеет несколько предшественников, то изображаем дуги, соответствующие фиктивно изученным темам.
Завершаем построение сетевого графика, соединяя висячие вершины с вершиной, соответствующей последней теме. Затем разбиваем график на слои и нумеруем вершины и рассчитываем временные характеристики - ранние и поздние сроки изучения каждой темы и резервы времени, которыми мы при этом располагаем. Ранний срок изучения темы определяется минимальным количеством часов, которое требуется для получения всех навыков, необходимых для усвоения всех предшествующих тем, включая данную. Поздний (или предельный) срок для усвоения темы равен максимальному количеству часов, которое можно отвести на изучение предшествующих тем вместе с данной без увеличения отведенного числа часов по учебному плану. Резерв времени при изучении темы равен разности позднего и раннего сроков, он показывает, сколько часов дополнительно мы можем отвести на изучение этой темы, не увеличивая общее отведенное число часов. Если тема имеет нулевой резерв времени, то любая задержка при изучении данной темы вызовет такое же увеличение общего числа часов. Навыки с нулевым резервом времени образуют набор критических навыков, необходимых для изучения данной темы.
Разобьем каждую вершину построенного графа на четыре части; в северную часть поместим номер изучаемой темы, в западную - ранний срок изучения темы, в восточную - поздний срок изучения темы, а в южную - резерв времени.
Критический путь построенного сетевого графика содержит 17 часов и состоит из вершин 0→1→3→5→7→ 12 → 16 → 19 → 21 → 22 → 23 → 24 и 0 -> 1 → 3 → 12 → 16 → 19 → 21 → 22 → 23 —→ 24 и указан на рисунке двойными стрелками. В критический путь входят следующие темы: а1, а3, а5, а9, а10, а11.

Рис. 1. Сетевой график по теме «Многочлены»
При определении временных параметров сетевого графика до сих пор предполагалось, что время, отведенное на изучение каждой темы, точно известно. Однако число уроков на усвоение темы часто заранее трудно предположить, и поэтому вместо точного числа часов мы зададим его математическое ожидание.
Будем рассматривать продолжительность изучения темы как случайную величину, для которой распределение вероятностей определяется долей хороших учеников, троечников и двоечников в классе. Предположим, что в классе из 20 человек 4 человека учатся на «пять», 5 человек - на «четыре», 8 человек - на «три» и 3 человека - на «два». Тогда ожидаемое время изучения темы определяется по формуле
tож(i,j)=0,2t5(i,j)+0,25t4(i,j)+0,4t3(i,j) +0,15t2(i,j),
где t5(i,j), t4(i,j), t3(i,j), t2(i,j) - время для прохождения (i,j)-й темы для каждой категории учащихся.
Для характеристики степени разброса ожидаемого уровня будем использовать показатель дисперсии
S2(i,j) = 0,2(t5(i,j) - tож(i,j))2 + 0,25(t4(i,j) - tож(i,j))2 + 0,4(t3(i,j) -ж(i,j))2+ 0,15(t2(i,j) - tож(i,j))2.
На основе этих оценок можно рассчитать все характеристики изучения темы. Однако они будут иметь иную природу и выступать как средние характеристики. При достаточно большом количестве работ можно считать, что общая продолжительность любого, в том числе и критического пути, имеет нормальный закон распределения со средним значением, равным сумме средних значений продолжительности составляющих его работ, и дисперсии, равной сумме дисперсий этих же работ. Кроме обычных характеристик при вероятностном задании продолжительности работ можно решить две дополнительные задачи. Первая - определить вероятность того, что продолжительность максимального времени на изучение темы не превысит заданного директивного уровня. Вторая -определить максимальное время для усвоения темы при заданном уровне вероятности.
Рассчитаем математическое ожидание и дисперсию продолжительности изучения каждого раздела изучаемой темы. Данные представим в форме таблицы:
Таблица 2
|
Раздел (i,j) |
Продолжительность |
Ожидаемая продолжительность |
Дисперсия S2(i,j) |
|||
|
t5(i,j) |
t4(i,j) |
t3(i,j) |
t2(i,j) |
|||
|
(0;1) |
1 |
1,5 |
2 |
3 |
1,825 |
≈0,38 |
|
(1;3) |
2 |
3 |
4 |
5 |
3,5 |
0,95 |
|
(3;5) |
0 |
0 |
0 |
0 |
0 |
0 |
|
(5;7) |
1 |
2 |
3 |
4 |
2,5 |
0,95 |
|
(7;12) |
0 |
0 |
0 |
0 |
0 |
0 |
|
(12; 16) |
1,5 |
2 |
3 |
4 |
2,6 |
0,69 |
|
(16;19) |
1,5 |
2 |
3 |
4 |
2,6 |
0,69 |
|
(19;21) |
0 |
0 |
0 |
0 |
0 |
0 |
|
(21;22) |
0 |
0 |
0 |
0 |
0 |
0 |
|
(22;23) |
0 |
0 |
0 |
0 |
0 |
0 |
|
(23;24) |
0,5 |
1 |
2 |
3 |
1,6 |
0,69 |
|
Всего |
14,6 |
2,1 |
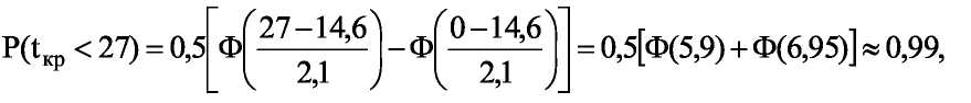
Полагая t^ случайной величиной, имеющей нормальное распределение, со средним значением tкр=14,6 и средним квадратичным отклонением, равным σ=2,1, получаем, что вероятность того, что общая продолжительность для изучения темы «Многочлены» не превысит, к примеру, T=27, равна

где Ф - интегральная функция Лапласа. Таким образом, вероятность усвоения всей темы в модельном классе не более чем за 27 часов составляет примерно 0,99.
В качестве второго примера рассмотрим изучение темы «Производная» в 10 классе по учебнику «Алгебра и начала анализа, 10-11» [2]. Необходимый перечень умений и навыков приведен в следующей таблице:
Таблица 3
|
№ п/п |
Тема |
Продолжительность изучения (час) |
Предшествующая тема |
|
|
Название темы |
Обозначение темы |
|||
|
1 |
Приращение функции |
а1 |
2 |
- |
|
2 |
Понятие производной |
а2 |
2 |
а1 |
|
3 |
Понятие о непрерывности функции и предельном переходе |
а3 |
2 |
ai,a2 |
|
4 |
Правила вычисления производных |
а4 |
4 |
а2 |
|
5 |
Производная сложной функции |
а5 |
2 |
а2,а4 |
|
6 |
Производные тригонометрических функций |
а6 |
3 |
а2, а4, а5 |
|
7 |
Применение непрерывности |
а7 |
4 |
а3 |
|
8 |
Касательная к графику функции |
а8 |
3 |
а2, а7 |
|
9 |
Производная в физике и технике |
а9 |
2 |
а8,а2 |
|
10 |
Применение производной к исследованию функции |
а1 |
14 |
а2, а3, а4, а8, а5, |
Полученный сетевой график с расчетом временных характеристик и разбиения на слои выглядит следующим образом:

Рис.2. Сетевой график по теме «Производная»
Критический путь состоит из 30 часов и содержит темы:
1) аь а3, а7, а8, а9, а10;
2) а1, а2, а9, а10;
3) аь а2, а3, а7, а8, а9, а10.
Расчет математического ожидания и дисперсии приведен в следующей таблице:
Таблица 4
|
Раздел (i,j) |
Продолжительность |
Ожидаемая продолжительность ж(i,j) |
Дисперсия S2(i,j) |
|||
|
t5(i,j) |
t4(i,j) |
t3(i,j) |
t2(i,j) |
|||
|
(0;1) |
2 |
3 |
4 |
5 |
3,5 |
0,95 |
|
(1;2) |
1 |
1,5 |
2 |
3 |
1,825 |
≈0,38 |
|
(2;3) |
0 |
0 |
0 |
0 |
0 |
0 |
|
(3;7) |
1 |
1,5 |
2 |
3 |
1,825 |
≈0,38 |
|
(7;9) |
2 |
3 |
4 |
5 |
3,5 |
0,95 |
|
(9; 13) |
0 |
0 |
0 |
0 |
0 |
0 |
|
(13;15) |
1 |
2 |
3 |
4 |
2,5 |
0,95 |
|
(15;17) |
0 |
0 |
0 |
0 |
0 |
0 |
|
(17;18) |
2 |
3 |
4 |
5 |
3,5 |
0,95 |
|
(18;19) |
0 |
0 |
0 |
0 |
0 |
0 |
|
(19;20) |
0 |
0 |
0 |
0 |
0 |
0 |
|
(20;21) |
0 |
0 |
0 |
0 |
0 |
0 |
|
(21;22) |
12 |
13 |
14 |
15 |
13,5 |
0,95 |
|
Всего |
30 |
5,51 |
Вероятность того, что максимальный срок, необходимый для усвоения темы, не превысит, к примеру, 28 часов, равна:

то есть вероятность усвоения всей темы в модельном классе не более чем за 28 часов составляет примерно 0,21.
Список литературы
1. Карасев А.И., Кремер Н.Ш., Савельева Т.И. Математические методы и модели в планировании: Учебное пособие. М.: Экономика, 1987.
2. Колмогоров А.Н., Абрамов А.М., Дудницын Ю.П. и др. Алгебра и начала анализа 10-11/ Под ред. А.Н.КолмогороваМ.: Просвещение, 1990.
3. Макарычев Ю.Н., Миндюк Н.Г., Нешков К.И., Суворова С.Б. Алгебра - 7/ Под ред. С.А. Теляковского М.: Просвещение, 1991.
4. Половников В.А., Орлова И.В., Федосеев В.В., Гармаш А.Н. Экономико-математические методы и модели. М.: Финстатинформ, 1997.
5. Таха Х. Введение в исследование операций. М., 1985.
Для подготовки данной применялись материалы сети Интернет из общего доступа