Особенности эмоциональной сферы детей с нормальным и аномальным развитием
Особенности эмоциональной сферы детей с нормальным и аномальным развитием
Никишина В.Б., (ЯрГУ)
Обращение к патологии развития является одной из реальных возможностей понимания закономерностей психической нормы. Поэтому изучение различных форм психического дизонтогенеза может быть полезно для выявления причин, вызывающих те или иные отклонения от нормы. С этим связано обращение исследования к возможно наиболее распространенной и разнообразной по механизмам формирования формы аномалии психического развития -умственной отсталости.
После введения в научную литературу понятия «олигофрения» (Крепелин Э., 1915) появилось множество подходов к изучению умственной отсталости. Одним из наиболее распространенных в отечественной дефектологии и специальной психологии является определение Г.Е.Сухаревой (1965). «Олигофрения - это группа различных по этиологии и патогенезу болезненных состояний, объединенных общим признаком - все они представляют собой проявление дизонтогенеза головного мозга». [2].
Современные оценки содержания умственной отсталости можно согласовать с международной классификацией болезней 10-го пересмотра, так, в части, касающейся психических расстройств у детей и подростков, умственная отсталость выделена как отдельная группа психического дизонтогенеза и включает легкую умственную отсталость, тяжелую умственную отсталость, глубокую умственную отсталость, другую умственную отсталость и неуточненную умственную отсталость. [3].
Основные проблемы изучения ребенка с умственной отсталостью достаточно системно представлены в области исследования когнитивной стороны, как области первичного дефекта. Вместе с тем, сосредоточенность в поиске первичного дефекта в области какой-то одной психической функции длительное время не позволяла исследователям очертить целостную картину и выделить общую специфику аномалии развития.
В современных исследованиях наметились тенденции, с одной стороны, поиска самых прямых и прагматических решений проблем социальной адаптации умственно отсталого ребенка, с другой - рождало постепенное осознание того, что специфика умственной отсталости не поддается расшифровке при изолированном рассмотрении когнитивных трудностей.
Целью проводимого нами исследования стало изучение легкой степени умственной отсталости как нарушения когнитивной сферы, через оценку изменений в структуре и содержании эмоциональной сферы умственно отсталого ребенка. Исследование опирается на разработанную психологическую традицию понимания конструктивной роли аффекта. Как известно, Л.С.Выготский (1982, 1983, 1984) проводит мысль о единстве интеллектуального и аффективного в организации самых простых и самых сложных форм психической жизни. С.Я.Рубинштейн (1946, 1957) считает, что единица психического всегда включает в себя единство компонентов интеллектуального и аффективного.
Л.С.Выготский указывает на то, что развитие познавательной деятельности у детей связано с динамично изменяющейся эмоционально-волевой сферой. [1].
Несформированность или нарушения эмоционально-волевых особенностей вызывает у ребенка в затруднении интеллектуальных заданий, что в свою очередь оказывает отрицательное влияние на развитие личности ребенка. Расстройства в эмоциональной сфере детей не только снижают интеллектуальные возможности, но и могут приводить к нарушению поведения, а также вызывать явления социальной дезадаптации. Проводимые исследования указывают на то, что среди подростков с умственной отсталостью процент различных девиантных форм поведения составляет от 20 до 40%. [8].
Анализируя особенности эмоциональной сферы, С.Я.Рубинштейн [4] указывает, что незрелость личности умственно отсталого ребенка, обусловленная, в первую очередь, особенностями развития его интеллекта, проявляется в ряде особенностей его эмоциональной сферы: недостаточная дифференцированность эмоциональных реакций, их амбивалентность, примитивность, неадекватность; эмоциональные реакции непроизвольны воздействиям; для эмоциональных реакций характерна раздражительность, склонность к агрессии.
Следует отметить и то, что чем выраженнее нарушения в умственном развитии, тем очевиднее рассогласование в эмоциональной сфере. [4].
Исследование особенностей эмоциональной сферы умственно отсталых детей в нашей работе представлено изучением уровня тревожности (личностной) и уровня агрессивности.
Тревожность - это эмоциональное состояние целесообразного подготовительного повышения сенсорного внимания и моторного напряжения в ситуации возможной опасности, обеспечивающей соответствующую реакцию на страх. [5].
В целом тревожность - субъективное проявление неблагополучия личности. Уровень тревожности обычно повышен:
при заболеваниях нервно-психических и тяжелых соматических;
у здоровых людей, переживающих последствия травмы психической;
у людей с отклоняющимся поведением.
Агрессия - свойство личности, характеризующееся наличием деструктивных тенденций, в основном в области субъективно-субъектных отношений. [5].
Отмечая, рассогласования в эмоциональной сфере детей с умственной отсталостью мы предположили, что у детей с умственной отсталостью уровень личностной тревожности ниже, чем у детей с умственной отсталостью уровень личностной тревожности ниже, чем у детей с нормальным развитием. Тогда как, уровень агрессивности у детей с умственной отсталостью выше, чем у детей с нормальным развитием.
В исследовании принимали участие дети с умственной отсталостью в возрасте 11-12 лет (в заключении ПМПК - легкая умственная отсталость), объем выборки составил 30 человек, в контрольную группу вошли дети с нормальным развитием - 30 человек. Выборки формировались методом рендомизации.
В пакет психологических методик вошли методики - Ч.Д.Спилбергера, Ю.Л.Ханина: шкала личностной тревожности [6]; шкала самооценки, агрессивности и ригидности [ 9]. Выбор методик определялся следующими основаниями: учет уровня развития испытуемых; методика должна соответствовать требованиям выдвинутой гипотезы, т.е. регистрировать зависимую переменную; возможности методик позволяют избежать перегрузки испытуемых в процессе исследования; содержание методик доступно для выполнения определенной группы испытуемых.
Планирование исследования необходимо для обеспечения внешней и внутренней валидности эксперимента. Для контроля внешних переменных в исследовании применялись следующие способы:
1) создание константных условий:
а) уравнивание групп испытуемых по значимым для исследования индивидуальным характеристикам (уровень образования - возраст);
б) стандартизированная техника и оборудование (стандартный бланк ответов, инструкция одинаковая для всех испытуемых).
2) балансировка: состоит в том, что в дополнение к экспериментальной группе в план эксперимента включена контрольная группа. Экспериментальное исследование контрольной группы проводилось в тех же условиях, что и исследование экспериментальной.
В исследовании был использован план ex-post-facto или эксперимент, на который ссылаются. Так как в качестве независимой переменной выступает реальное событие из жизни испытуемых (данные ПМПК о наличии олигофрении в легкой степени).
Отбор группы (экспериментальной) осуществлялся на основании данных протоколов ПМПК.
Статистические оценки дают информацию не о наличии, а о достоверности сходств и различий результатов контрольных и экспериментальных групп.
Прежде, чем применить статистический метод обработки результатов, проведен качественный анализ, обработаны результаты тестирования в соответствии с инструкцией методик.
Руководствуясь алгоритмом выбора критерия оценки достоверности различий между независимыми выборками по ровню признака, учтя количество и объем выборок определила статистические критерии для обработки полученных результатов (7, с. 71).
Обработка провелась по критериям:
1. Критерий Манна-Уитни (И)
2. Угловое преобразование Фишера (ф*).
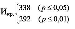
Следуя алгоритму, применялся критерий Манна-Уитни (И), согласно полученным результатам, значение Иэмп. составило 167.
и 338 (p≤0,05) [292 (p ≤ 0,01)
Сравнивая Икр. и Иэмп., Иэмп.< Икр., можно сделать вывод, что показатель личностной тревожности детей с умственной отсталостью ниже показателей личностной тревожности детей с нормальным развитием (аналогичным образом расчеты были получены по результатам личностной тревожности по второй



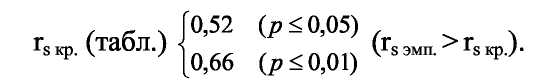
Учитывая требования статистической проверки значимости различия, используем критерий Фишера ф .
По показателям личностной тревожности ф эмп. > Ф кр., т.к. ф ЭШ1= 2,3

фэмп. находится в зоне неопределенности, однако ближе к зоне значимости различий. Аналогично значения ф распределились и с показателями агрессивности (ф* = 2,28).
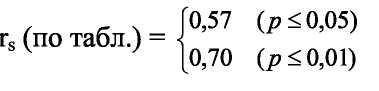
В результате обработки информации с использованием критериев Манна-Уитни и Фишера ф были выявлены значимые различия в показателях уровня тревожности и агрессивности у детей с умственной отсталостью и детей с нормальным умственным развитием. Таким образом, появилась необходимость выявить: существует ли связь между показателями агрессивности и тревожности. Для определения тесноты (силы) и направления корреляционной связи между двумя признаками использовала критерий коэффициент ранговой корреляции rs Спирмена (отдельно у детей с нормой в умственном развитии и у детей с умственной отсталостью).
Для детей с умственной отсталостью проранжировав значения показателей личностной тревожности и агрессивности, подсчитана разность между рангами по каждому испытуемому.
Эмпирическое значение rs = 0,43.
Критическое значение


следовательно, показатель корреляции между значениями уровня
тревожности и агрессивности у детей с умственной отсталостью отсутствует, тогда как для детей с нормальным развитием существует очевидная корреляция между показателями уровня тревожности и агрессивности и составляет Эмпирическое значение rsэмп. = 0,99

Итак, на основании полученных результатов можно сделать вывод о существовании прямой линейной зависимости между показателем агрессивности и тревожности у детей с нормальным развитием и отсутствием корреляционной связи между показателями тревожности и агрессивности у детей с умственной отсталостью.
Таблица 1.
Показатели уровня тревожности и агрессивности детей с умственной отсталостью и нормальным развитием
|
Объект исследования |
Показатель тревожности |
Показатель агрессивности |
||||
|
низкий |
средни и |
высок ий |
низкий |
средни и |
высок ий |
|
|
Дети с умственной отсталос-тью |
30,7 |
61,8 |
7,7 |
10,7 |
25,3 |
64,0 |
|
Дети с нормальным развитием |
26,7 |
46,7 |
26,7 |
35,0 |
45,7 |
19,3 |
Анализ полученных результатов, проведенный на основании статистической обработки, дает возможность делать вывод об очевидном рассогласовании структуры эмоциональной сферы детей с умственной отсталостью. Так, во-первых, у детей с умственной отсталостью показатели личностной тревожности значимо ниже, нежели у детей с нормальным развитием, т.е. наблюдается очевидная тенденция к снижению тревожности в зависимости от уровня интеллектуального развития.
По показателям личностной тревожности можно оценить параметры активности личности в плане ее характерологических свойств. В целом тревожность - субъективное проявление неблагополучия личности. Тревожность возникает, прежде всего, в силу нарушения форм внутриличностного и межличностного общения - например, между родителями и детьми.
Во-вторых, анализ результатов показателей агрессивности позволяет сделать вывод о том, что данные показатели детей с умственной отсталостью значимо выше, чем у детей с нормой в умственном развитии. Высокий уровень агрессии свидетельствует о готовности к агрессивному поведению, в частности направленному и на самого себя. При обработке выявилось преобладание агрессивности у детей с умственной отсталостью, т.к. контроль за аффективной сферой у данной категории детей снижен.
В-третьих, полученные результаты свидетельствуют о том, что если у детей с нормальным развитием выявлена прямая корреляционная зависимость между показателями тревожности и агрессивности, то детей с умственной отсталостью корреляционная связь показателей тревожности и агрессивности выявлена не была.
Таким образом, если рассматривать результаты, представленные в данной работе как части системного анализа особенностей эмоциональной сферы детей с нарушением умственного развития, то с очевидностью можно принять положение о том, что недостаточность развития когнитивной сферы определяет рассогласование эмоциональной сферы ребенка.
Список литературы
1. Выготский Л.С. Проблема умственной отсталости. Собр. соч., т. 5. - М., 1983.
2. Сухарева Г.Е. Лекции по психиатрии детского возраста. - М.: Медицина, 1974.
3. МКБ - 10. Международная классификация психических заболеваний и поведенческих расстройств. Указание по диагностике. / Под ред. С.Ю.Циркина. - СПб., 1994.
4. Рубинштейн С.Я. Экспериментальные методики патопсихологии. - М.: ЗАО «ЭКСМО-Пресс», 1999.
5. Изард К.Э. Психология эмоций. - СПб., 1999.
6. Менделевич В.Д. Клиническая и медицинская психология. - М., 1998.
7. Сидоренко Е.В.Методы математической обработки данных в психологии-Социально-психол.центр.-1996.
8. Дозорцева Е.Г. Аномальное развитие личности у подростков июношей с деликвентным и криминальным поведением.-Автореферат дисс. доктора психол наук .-С-Пб.-2000.
9. Елисеев О.П. Практикум по психологии личности. - СПб., 2000.
Для подготовки данной применялись материалы сети Интернет из общего доступа