Информационно-энтропийная и физиологическая оценки типов морфофункциональных изменений сердца
Информационно-энтропийная и физиологическая оценки типов морфофункциональных изменений сердца в процессе долговременной адаптации человека к физическим нагрузкам
Доктор биологических наук, профессор Г.С. Козупица, Доктор физико-математических наук, профессор Ю.Л. Ратис, Е.В. Ратис, Самарский государственный медицинский университет, Самара
Согласно современным представлениям здоровье человека в значительной степени определяется возможностями адаптации организма к тем или иным факторам внешней среды, а также к физическим нагрузкам [1, 4]. Сердечно-сосудистая система при этом играет ключевую роль [6, 7]. Потребность в значительном увеличении систолического и минутного объёмов крови при физических нагрузках и связанная с этим гиперфункция сердца приводят к его увеличению [5, 7]. Однако вопрос о биологической целесообразности тех или иных изменений сердца в процессе адаптации к мышечной деятельности до настоящего времени не решен. При этом центральной проблемой становится проблема "нормы" [3], которая отождествляется со среднестатистическими показателями и в связи с этим подвергается резкой критике [14]. К.С. Симонян [11] впервые выдвинул идею применения "золотого сечения" в качестве показателя "идеальной нормы". К.Д. Чермит с соавт. [16], А.Г. Суббота [13] частично проверили гипотезу, согласно которой оптимум здоровья приходится на значение энтропии H=0,618. Альтернативный подход, основанный на использовании информационной энтропии Шеннона в качестве интегральной оценки медицинской информации, впервые применил Э.М. Сороко [12]. Информационно-энтропийный подход [13, 15, 17] в отличие от традиционных статистических методов позволяет дать количественную интегральную оценку гармонии человеческого организма.
В связи со сказанным целью настоящего исследования явилось определение (выделение) и оценка типов морфофункциональных изменений сердца в процессе возрастной адаптации организма к физическим нагрузкам, развивающим преимущественно выносливость, и оценка физиологической целесообразности этих изменений с использованием информационно-энтропийного подхода.
Для реализации цели работы было обследовано 439 спортсменов -пловцов (мужского пола) в возрасте 8-25 лет. Спортивный стаж обследуемых составлял от 1 года до 15 лет, спортивная квалификация - от новичков до заслуженных мастеров спорта, призеров и чемпионов мира и олимпийских игр. Участники исследования были объединены в следующие возрастные группы: младший школьный возраст (8-11 лет), средний школьный возраст (12-15 лет), старший школьный возраст (16-17 лет), юношеский возраст (18-25 лет - спортсмены высшей квалификации). Морфофункциональные показатели сердца изучались при помощи эхокардиографии по общепринятой методике. Статистическая обработка результатов осуществлялась с применением вариационного, факторного, кластерного, дискриминантного анализов [2]. Сравнение средних величин проводилось с применением t-критерия Стъюдента. Различия считались достоверными при р<0,05.
.jpg)
.jpg)
.jpg)
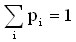
Рис. 1. Типы изменений морфологических структур сердца в процессе адаптации организма к физическим нагрузкам, развивающим выносливость у спортсменов различного возраста.
Для
количественной оценки связи между
априорной информаци ей о случайной
величине и видом функции распределения
(x1
, x2,...,
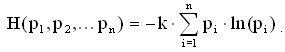
xn)=(p1
,p2,...,
pn)
рассчитывалась энтропия вероятностного
распределения Шеннона:

Если о случайной величине нет никакой дополнительной информации, то условие максимума энтропии Н(p1 ,p2,..., pn) вместе с требованием нормировки:

дает оптимальное распределение pi = 1/n , что вполне совпадает с качественными представлениями о неопределенности. Более подробное описание метода представлено в работе Г.С. Козупицы, Ю.Л.Ратиса, Е.В.Ратис [9].
Для достижения цели был проведен кластерный анализ результатов эхокардиографического исследования левого желудочка (ЛЖ) (рис. 1). В качестве группирующих переменных были выбраны рост, масса тела (МТ), общие размеры сердца (ОРС), диаметр корня аорты (ДА); параметры, характеризующие размеры полости ЛЖ сердца: конечно-диастолический размер (КДР), конечно-систолический размер (КСР); параметры, характеризующие мышечную массу ЛЖ: толщина миокарда в диастолу (ТМД), толщина миокарда в систолу (ТМС), толщина межжелудочковой перегородки в диастолу (ТМЖПД). Выбор этих показателей был обусловлен тем, что при факторном анализе они имели наибольшие факторные значения.
Как следует из рис. 1, во всех возрастных группах выделено по два типа изменений морфологических структур сердца в процессе возрастной адаптации организма к физическим нагрузкам.
В табл. 1 приведены результаты антропометрических и эхоморфометрических исследований параметров сердца выделенных типов адаптации.
Можно отметить, что подавляющее большинство размеров сердечных структур было статистически достоверно больше при 1-м типе адаптации по сравнению со 2-м. Вместе с тем в зависимости от возраста и стажа занятий спортом изменяется соотношение размеров миокарда и полости ЛЖ. В младшем и среднем школьном возрасте толщина мышечной стенки и линейные размеры полости ЛЖ были больше при 1-м типе адаптации по сравнению со 2-м. В старшем школьном возрасте толщина миокарда преобладает при 1-м типе, а величина полости ЛЖ - при 2-м типе адаптации.
Таким образом, возрастная адаптация к физическим нагрузкам у пловцов связана с увеличением размеров ЛЖ. На разных этапах онтогенеза меняются соотношения показателей, характеризующих массу миокарда и полости ЛЖ.
Какой же тип изменений ЛЖ в процессе адаптации к физическим нагрузкам более целесообразен?
Для ответа на этот вопрос в каждой возрастной группе были рассчитаны значения энтропии Шеннона. Для расчета энтропии использовались показатели, характеризующие размеры ЛЖ (КДР, КСР, ТМД, ТМС, ТМЖПД); центральную гемодинамику (ЧСС, артериальное давление, общее периферическое сосудистое сопротивление, удельное периферическое сосудистое сопротивление, среднее динамическое давление); сократительную способность миокарда (коэффициент систолического утолщения миокарда, скорость утолщения миокарда в систолу, объемная скорость изгнания, линейная скорость изгнания - Vл и др.); интракардиальную гемодинамику (ударный объём сердца, минутный объем кровообращения, ударный индекс, сердечный индекс); эффективность работы миокарда (фракция изгнания, интенсивность функционирования структур, внутримио кардиальное напряжение, показатель напряжения, показатель расслабления, критерий эффективности); биофизические показатели (статическая работа миокарда, мощность сокращения, индекс ударной работы).

Рис. 2. Энтропия Шеннона для типов морфофункционального состояния сердца на разных этапах возрастной адаптации к физической нагрузке у спортсменов-пловцов
Обозначения: 1 - младший школьный возраст, 2 - средний школьный, 3 - старший школьный, 4 - юношеский
Таблица 1. Динамика размеров сердечных структур при различных типах возрастной адаптации к тренировочным нагрузкам у спортсменов-пловцов
|
Параметры |
Типы адаптации |
Младший школьный возраст |
Средний школьный возраст |
Старший школьный возраст |
Юношеский возраст |
|
МТ, кг |
1 |
39,450±5,69* |
57,08±8,86* |
75,12±8,09* |
80,67±6,13* |
|
2 |
31,9±3,81 |
41,96±6,178 |
68,76±9,69 |
73,79±6,45 |
|
|
Рост, см |
1 |
150,96±5,53* |
172,42±27,08* |
182,53±6,98* |
187,02±5,89* |
|
2 |
139,88±5,93 |
154,97±7,33 |
176,48±7,49 |
179,78±5,77 |
|
|
ОРС, см |
1 |
8,67±0,51* |
9,89±0,70* |
11,05±0,74* |
10,72±0,86 |
|
2 |
7,67 ±0,51 |
8,49±0,59 |
10,24±0,65 |
10,65 ±0,91 |
|
|
КДР.см |
1 |
4,50±0,33* |
4,99±0,44* |
5,28±0,36 |
5,04±0,38* |
|
2 |
3,95 ±0,29 |
4,43±1,37 |
5,15±0,41 |
5,56 ±0,35 |
|
|
КСР, см |
1 |
3,07±0,37* |
3,41±0,42* |
3,38 ±0,41* |
3,17±0,44* |
|
2 |
2,66 ±0,37 |
3,04±0,36 |
3,59±0,39 |
3,78 ±0,43 |
|
|
ДА, см |
1 |
2,50±0,22* |
2,79±0,26* |
2,99±0,26 |
3,12±0,23 |
|
2 |
2,28 ±0,19 |
2,49±0,23 |
2,87±0,24 |
2,98 ±0,29 |
|
|
ТМД, см |
1 |
0,67 ±0,12 |
0,82±0,14* |
1,04±0,13* |
0,99 ±0,14 |
|
2 |
0,64 ±0,13 |
0,66±0,10 |
0,84±0,15 |
0,92 ±0,11 |
|
|
ТМС, см |
1 |
1,36±0,23* |
1,49±0,21* |
1,79±0,20* |
1,84±0,24* |
|
2 |
1,19±0,21 |
1,22±0,17 |
1,48±0,17 |
1,64 ±0,14 |
|
|
ТМЖПД, см |
1 |
0,69 ±0,15 |
0,81±0,17* |
1,03±0,12* |
0,96 ±0,20 |
|
2 |
0,64 ±0,13 |
0,68 ±0,11 |
0,85±0,19 |
0,93 ±0,14 |
* - различия достоверны по отношению ко 2-му типу адаптации, р<0,05
Результаты расчета энтропии Шеннона для двух типов морфофункционального состояния сердца в процессе возрастной адаптации к физическим нагрузкам представлены на рис. 2.
Характерно, что при 1-м типе адаптации энтропия Шеннона остается практически без изменений во всех возрастных группах и более близка к "золотому числу" - 0,618 (от 0,587 в младшем школьном до 0,546 в юношеском возрасте). При 2-м типе адаптации этот интегральный показатель менее устойчив (от 0,691 в младшем школьном до 0,489 в юношеском возрасте).
Таблица 2. Скоростные показатели миокарда при двух типах морфофункционального состоя-ния сердца в процессе возрастной адаптации к физическим нагрузкам
|
Показатели |
Типы адаптации |
Младший школьный возраст |
Средний школьный возраст |
Старший школьный возраст |
Юношеский возраст |
|
Ууголщ, см/с |
1 |
2,72±0,09* |
2,69±0,09* |
2,64 ±0,18 |
3,64±0,32* |
|
2 |
2,28 ±0,09 |
2,17±0,06 |
2,45 ±0,13 |
2,97 ±0,29 |
|
|
|
2 |
6,45±0,13 |
6,28 ±0,09 |
8,66±1,21 |
8,91±0,50 |
|
СЦУ, с-1 |
1 |
1,25±0,02* |
1,23 ±0,02 |
1,30±0,04* |
1,57±0,14* |
|
2 |
1,34±0,03 |
1,19±0,02 |
1,16±0,04 |
1,32±0,09 |
|
|
Ve,мл/с |
1 |
218,56±5,13* |
272,55±6,27* |
317,60±12,57* |
342,02±33,37 |
|
2 |
168,62±3,53 |
202,37±4,22 |
278,55±11,36 |
367,11±21,65 |
|
|
va,мл/с |
1 |
66,39±1,88* |
66,40±1,67* |
67,04±2,89 |
66,99±6,54* |
|
2 |
61,59±1,78 |
61,53±1,38 |
63,93±2,85 |
78,22±4,83 |
|
|
|
2 |
436,93±17,14 |
573,31±17,75 |
745,38±39,09 |
873,27±63,34 |
* - различия достоверны по отношению ко 2-му типу адаптации, р < - 0,05 Обозначения: Vутолщ - скорость утолщения задней стенки ЛЖ в систолу, СЦУ- скорость цирку-ляторного укорочения волокон миокарда, Ve - объёмная скорость изгнания ЛЖ, va - линейная скорость изгнания
Поскольку энтропия - это мера хаоса и в нашем случае используется как интегральный показатель "упорядочения" работы системы в целом, можно предположить, что 1-й тип морфофункционального состояния сердца в процессе возрастной адаптации спортсменов к физическим нагрузкам, развивающим преимущественно выносливость, характеризуется более устойчивым функционированием системы по сравнению со 2-м типом адаптации и, следовательно, физиологически более целесообразен.
Для подтверждения сделанных на основе энтропийно-информационного подхода выводов мы провели анализ функциональных особенностей сердца при разных типах адаптации с применени ем традиционных методов математической статистики.
Сравнительные характеристики скоростных показателей миокарда представлены в табл. 2. Анализ показывает, что при 1-м типе адаптации функциональное состояние ЛЖ более предпочтительно по сравнению со 2-м типом во всех возрастных группах.
При этом спортсмены первой группы достигли и больших успехов в плавании, поскольку спортивный разряд и уровень спортивных результатов, соотнесенных друг с другом, у представителей плавания на различные дистанции по специальной шкале (S. Schneider, K. Wagner, 1988) в первой группе были достоверно выше по сравнению со второй.
Резюмируя изложенное, можно отметить, что при 1-м типе адаптации сердце работает в покое более экономично и эффективно, при этом имеет лучшую сократительную способность, а спортсмены с этим типом адаптации достигают более высоких спортивных результатов по сравнению со спортсменами со 2-м типом. Следовательно, 1-й тип морфофункционального состояния миокарда в процессе возрастной адаптации к физическим нагрузкам, развивающим преимущественно выносливость, физиологически более целесообразен.
Таким образом, результаты информацион но-энтропийного анализа типов морфофункционального состояния сердца вполне согласуются с данными других видов статистического анализа. Основное достоинство информационно-энтропийного метода заключается в возможности получения интегральных характеристик как отдельных систем, так и организма человека в целом.
Список литературы
1. Агаджанян Н.А. Экология человека и интегративная медицина //Материалы VIII международного симпозиума "Эколого-физиологические проблемы адаптации". М., 1998, с. 2-6.
2. Айвазян С.А., Мхитарян В.С. Прикладная статистика и основы эконометрики. - М.: ЮНИТИ, 1998. - 1022 с.
3. Амосов Н.М. Раздумья о здоровье. Кемерово, 1981. - 215 с.
4. Давиденко Д.Н. Адаптация и функциональные резервы организма //Вестник Балтийской академии. 1998, вып. 20, с. 15-31.
5. Журавлева А.И., Граевская Н.Д. Спортивная медицина и лечебная физкультура /Руководство. - М.: Медицина. 1992. - 432 с.
6. Земцовский Э.В. Спортивная кардиология. - СПб: Гиппо -крат, 1995. - 448 с.
7. Карпман В.Л., Любина Б.Г. Динамика кровообращения у спортсменов. - М.: ФиС. 1982. - 135 с.
8. Карпман В.Л., Белоцерковский З.Б., Гудков И.А. Тестирование в спортивной медицине. - М.: ФиC, 1988. - 201 с.
9. Козупица Г.С., Ратис Ю.Л., Ратис Е.В. Информационно-энтропийный подход к определению здоровья //Вестник Балтийской академии. 1999, вып. 25, c. 38-43.
10. Мухарлямов И.М., Беленков Ю.Н. Ультразвуковая диагностика в кардиологии - М.: Медицина, 1981. - 156 c.
11. Симонян К.С. Перитонит. - М.: Медицина, 1971. - 261 с.
12. Сороко Э.М. Структурная гармония систем. Минск, 1984. - 221 с.
13. Суббота А.Г. "Золотое сечение" ("Sectio Aurea") в медицине. СПб., 1996. - 167 с.
14. Трахтенберг И.М. с соавт. Проблема нормы в токсикологии. - М.: Медицина, 1991.
15. Фишер Р.А. Статистические методы для исследователей. - М.: Гостехиздат, 1958. - 648 с.
16. Чермит К.Д., Мамгетов К.Ю., Мамгетова Т.Н. Системно-cимметрийный метод оценки здоровья человека. Майкоп, 1994. - 154 с.
17. Шеннон К.Э. Работы по теории информации и кибернетике. М., 1963. - 827 с.
18. Schneider S., Wagner K. Zur Einschutzung und zum Vergleich von Schwimmleistungen unter Berecksichtigung des Weltniveaus und der Entwicklungstendenzen des Sportschwimmens in Zeitraum. - Leipzig, 1985. - 92 s.
Для подготовки данной применялись материалы сети Интернет из общего доступа