Курсовая работа по теории электрических цепей
Часть 1.
Анализ цепи во временной области методом переменных состояния при постоянных воздействиях.
Д

ано:
Для схемы:
U>0>(t)= U>0>=const U>0>=5 В
i>0>(t)=I>0>>1>(t) I>0>=2 A
Составить уравнения состояния для цепи при t0.
П
еременными
состояния для данной схемы будут являться
напряжения на емкостях С>1>
и С>4>. Для нахождения уравнений
состояния запишем уравнения по I
и II
законам Кирхгофа:
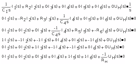
(1)
Для нахождения производных переменных состояния решим следующую систему, полученную из системы (1), приняв за неизвестные все токи, участвующие в системе (1) и первые производные переменных состояния. Переменные состояния примем за известные величины для получения их в правой части уравнений состояния:

(2)
Решаем эту систему в матричном виде с помощью MathCad:
Т
аким
образом, уравнения состояния будут
иметь вид:

1.2 Найти точные решения уравнений состояния.
Сначала найдем корни характеристического уравнения как собственные числа матрицы, составленной из коэффициентов при переменных состояния в уравнениях состояния:
О
бщий
вид точных решений уравнений состояния:
В
ынужденные
составляющие найдем как частное решение
уравнений состояния, учитывая то, что
если в цепи включены только постоянные
источники питания, значит, и принужденные
составляющие будут константами,
соответственно производные принужденных
составляющих будут равны нулю. Учитывая
выше сказанное, найдем их из уравнений
состояния следующим способом:


Начальные условия (находятся из схемы):
Для нахождения постоянных интегрирования A>1>, A>2>, A>3>, A>4> требуется 4 уравнения. Первые два уравнения получим из выражений точного решения уравнений состояния, учитывая законы коммутаций: переменные состояния не меняют своего значения в момент коммутации.


При t=0:
Далее найдем значения производных переменных состояния при t=0 из уравнений состояния:
В
ыражения
эти производных найденные из выражений
решения уравнений состояния:


При t=0:
Таким образом имеем 4 уравнения для нахождения постоянных интегрирования, находим их:
Т
очные
решения уравнений состояния:

Найти решения уравнений состояния, используя один из численных методов.
Для численного решения уравнений состояния воспользуемся алгоритмом Эйлера:
П
одставляя
выражения производных из уравнений
состояния:
h
– шаг расчета =2*10-6
с. i=1…100.
Переменными с нулевыми индексами
являются значения начальных условий.
1
.2.2
Найти точные решения уравнений
состояния.(второй способ)
e


(A)t
= a>0
>+ a>1>(A)
e(A)t=
(X) = [e(A)t-1][A]-1[B][V]

1.4 Построить точные и численные решения уравнений состояния, совместив их попарно на одном графике для каждой из переменной состояния.

Часть 2.
Анализ цепи операторным методом при апериодическом воздействии.
Анализу подлежит следующая цепь:
П
араметры
импульса: U>m>=10
В t>u>=6*10-5
c
Форма импульса:
2
.1
Определить функцию передачи: 
воспользуемся методом пропорциональных величин и определим u(t)=1(t), его Лапласово изображение U>0>(s)=1/s.
Запишем уравнения по законам Кирхгофа в операторной форме, учитывая, что начальные условия нулевые:

Решаем эту систему:
Т
аким
образом:
Ф
ункция
передачи:
2
.2
Найти нули и полюсы функции передачи и
нанести их на плоскость комплексной
частоты.Полюсы:

Нули:
П
лоскость
комплексной частоты:
2
.3
Найти переходную и импульсную
характеристики для выходного напряжения.
И
мпульсная
характеристика:
Выделим постоянную часть в H>U>(s):
Ч
ислитель
получившейся дроби:
У
прощенное
выражение H>U>(s):
Д
ля
нахождения оригинала воспользуемся
теоремой о разложении. Для этого найдем
производную знаменателя:
К
оэффициенты
разложения:
О
ригинал
импульсной характеристики:


Переходная характеристика:
Этим же методом находим оригинал характеристики:


2.4 Определить изображение по Лапласу входного импульса.
Изабражение по Лапласу фукции f(t):
В
ходной
импульс представляет собой функцию
Поэтому изображение входного сигнала будет


2.5 Найти напряжение на выходе схемы, используя H>U>(s).
И
зображение
выходного сигнала:
Найдем
отдельно оригиналы части выражения при
и при части, не имеющей этого множителя:
Д
ля
части выражения при
,используя
теорему о разложении:
Д
ля
части выражения не имеющей множителя
,используя
теорему о разложении:
Функция напряжения на выходе схемы, получена с использованием теоремы о смещении оригинала:

2.6 Построить на одном графике переходную и импульсную характеристики цепи, на другом – входной и выходной сигналы.
Переходная h>1>(t) и импульсная h(t) характеристики.
В
ходной
и выходной сигналы.

Часть 3.
Анализ цепи частотным методом при апериодическом воздействии.
3.1 Найти и построить амплитудно-фазовую (АФХ), амлитудно-частотную (АЧХ) и фазо-частотную (ФЧХ) характеристики функций передачи H>U>(s).
амплитудно-фазовая характеристика:

амплитудно-частотная характеристика:
ф
азо-частотная
характеристика:
Г
рафик
АЧХ:
Г
рафик
ФЧХ:
3.2
Определить полосу пропускания цепи по
уровню 0.707

.
Из
графика АЧХ находим полосу пропускания
цепи:

с-1.
3.3
Найти и построить амплитудный и фазовый
спектры входного сигнала по уровню
0.1
.
Амплитудный спектр входного сигнала:
Ф
азовый
спектр входного сигнала:
Г
рафик
амплитудного и фазового спектра входного
сигнала:
Ш
ирина
спектра
с-1
.
3.4 Сопоставляя спектры входного сигнала с частотными характеристиками цепи, дать предварительные заключения об ожидаемых искажениях сигнала на выходе цепи.
Существенная часть амплитудного спектра входного сигнала укладывается в полосу пропускания, исключая полосу 0-5*104 с-1, где и будут наблюдаться основные амплитудные искажения. Фазо-частотная характеристика цепи нелинейна, поэтому здесь будут иметь место фазовые искажения, что видно на рис.
3.5 Найти и построить амплитудный и фазовый спектр выходного сигнала.
Получаются по формулам:


3
.6
Определить выходной сигнал по вещественной
частотной характеристике, используя
приближенный метод Гиллемина.
Вещественная характеристика:

Существенную часть этой характеристики кусочно-линейно аппроксимируем. Начертим первую и вторую производную кусочно-линейной аппроксимирующей функции.
Г

рафик
вещественной характеристики:
Т
огда:

График напряжения, вычисленного по этой формуле, и полученный в ч.2.
Часть 4.
Анализ цепи частотным методом при периодическом воздействии.
Дано: T=18*10-5c. U>m>=10 В. t>u>=6*10-5c.
форма сигнала u>0>(t):
4
.1
Разложить в ряд Фурье заданную
периодическую последовательность
импульсов и построить ее амплитудный
и фазовый спектры.
Коэффициенты ряда Фурье для u>0>(t) найдём из следующего соотношения:

где >1> = 2/Т , k=0, 1, 2, ... >1=>3.491*104с.
Значения A>k> и >k> приведены в табл. ,на рис. , построены соответственно амплитудный и фазовый спектры заданной периодически последовательности сигналов u>0>(t).
|
k |
A>k> |
>k> |
|
0 |
0 |
0 |
|
1 |
2.067 |
0.524 |
|
2 |
3.308 |
-0.524 |
|
3 |
2.774 |
-1.571 |
|
4 |
2.363 |
-2.618 |
|
5 |
1.034 |
2.618 |
|
6 |
0 |
1.571 |
|
7 |
0.413 |
-2.618 |
|
8 |
0.301 |
2.618 |
|
9 |
0 |
1.571 |
Т
аким
образом, в соответствии с шириной спектра
.


4.2 Построить на одном графике заданную периодическую последовательность импульсов и ее аппроксимацию отрезком ряда Фурье, число гармоник которого определяется шириной амплитудного спектра входного сигнала, найденной в п 3.3.
4
.3
Используя рассчитанные в п. 3.1 АЧХ и ФЧХ
функции передачи цепи, определить
напряжение или ток на выходе цепи в виде
отрезка ряда Фурье.
Для определения коэффициентов ряда Фурье выходного напряжения вычислим значения АЧХ и ФЧХ функции передачи для значений k>1>, k=0, 1, 2, ..., 8. Тогда



|
k |
A>k> |
>k> |
|
0 |
0 |
0 |
|
1 |
0.208 |
1.47 |
|
2 |
0.487 |
-0.026 |
|
3 |
0.436 |
-1.355 |
|
4 |
0.361 |
-2.576 |
|
5 |
0.15 |
2.554 |
|
6 |
0 |
1.443 |
|
7 |
0.054 |
-2.785 |
|
8 |
0.037 |
2.429 |
|
9 |
0 |
1.371 |
В итоге получим:
4.4 Построить напряжение на выходе цепи в виде суммы гармоник найденного отрезка ряда Фурье.



Курсовая работа по теории электрических цепей
ХГТУ УИТС-71 Буренок Н.Н.
Вариант 3
Лист