Индекс нищеты населения
1
Индекс нищеты населения
С 1997 года ПРООН использует Индекс нищеты населения (ИНН) для измерения распространения крайней обездоленности.
Для расчета ИНН существуют две методики: для промышленно развитых - ИНН-2, и для развивающихся стран - ИНН-1. По международной классификации (ООН и Всемирного Банка) страны б. СССР относятся к промышленно развитым. Однако для Кыргызстана использование методики ИНН-1 более корректно так как, сельское хозяйство является основным источником доходов большей части населения, а также и с точки зрения сопоставимости с международной статистикой (при расчете по методике ИНН-2, КР пришлось сравнивать с такими странами как США, Швеция и т.п.).
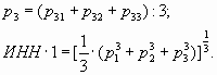
Индекс ИНН-1 представляет собой комплексный агрегированный показатель, количественно отражающий, определяемые измерения обездоленности в трех важнейших элементах жизни человека: продолжительности жизни, знаниях и достойном уровне жизни. Первое измерение касается выживания и выражается в виде ожидаемой процентной доли населения, которое не доживет до 40 лет (Р>1>). Второе отражает распространение изолированности от мира знаний и коммуникаций и измеряется долей неграмотного взрослого населения (Р>2>). Обездоленность, с точки зрения уровня жизни, выражается композитным показателем (Р>3>), рассчитываемым на основе трех составных: доли населения, использующего для питья и приготовления пищи воду из рек, родников и арыков (Р>31>), доли населения, не пользующегося услугами здравоохранения из-за их высокой стоимости, а также из-за отдаленности учреждений здравоохранения (Р>32>), и доли детей в возрасте 1-6 лет в общем числе детей в этом возрасте, страдающих отставанием в весе (Р>33>).
Агрегатный показатель Р>3> рассчитывается как среднее арифметическое трех его составляющих. Формула ИНН-1 имеет вид:
ИНН-1 = [1/3(P>1>3 + P>2>3 + P>3>3)]1/3
Для Кыргызской Республики исходные данные для расчета и итоговое значение ИНН-1 за 1996-1999 гг. приведены в Таблице.
|
|
1996 |
1997 |
1998 |
1999 |
|
P>1> |
9.6 |
10.2 |
9.6 |
9.6 |
|
P>2> |
2.7 |
2.7 |
2.7 |
1.3 |
|
P>31> |
18.7 |
17.4 |
18.3 |
14.1 |
|
P>32> |
11.8 |
8.3 |
15.9 |
14.4 |
|
P>33> |
9.3 |
5.7 |
8.9 |
7.3 |
|
P>3> |
13.3 |
10.5 |
14.4 |
11.9 |
|
ИНН-1 |
10.26 |
9.06 |
10.9 |
9.50 |
Источник: Национальный отчет по человеческому развитию Кыргызской Республики за 2000 год
Если сопоставить масштабы бедности по лишениям (ИНН-1) с другими показателями бедности (измерение бедности Нацстаткомом), обнаруживается несоответствие этих показателей. Это результат различных подходов к измерению бедности, концентрации на тех или иных ее аспектах.
Индекс нищеты населения (ИНН)
ИНН служит для определения масштабов существующих лишений, отражающихся на развитии человека. Таким образом, если ИРЧП используется для определения достигнутого страной общего уровня прогресса в области развития человеческого потенциала, то ИНН отражает структуру распределения прогресса и определяет масштабы все еще существующих лишений. ИНН рассчитывается отдельно для развивающихся стран (ИНН-1) и для промышленно развитых стран (ИНН-2). Отдельный индекс для промышленно развитых стран разработан потому, что характер лишений изменяется в зависимости от социально-экономических условий в общине, а также для того, чтобы воспользоваться более значительным объемом данных, имеющихся по этим странам.
С помощью ИНН-1 измеряются масштабы лишений по тем же основным аспектам развития человеческого потенциала, что и параметры, включаемые в ИРЧП. При его расчете используются следующие переменные: процент людей с ожидаемой продолжительностью жизни при рождении ниже 40 лет, процент неграмотных среди взрослых и недостатки в общем экономическом положении населения на общественном и индивидуальном уровне, которые отражает процент населения, не имеющего доступа к медицинскому обслуживанию и безопасной воде, и процент детей с недостаточным весом.
ИНН-2 в основном отражает масштабы лишений по тем же трем аспектам, что и ИНН-1, а также в дополнение к ним по аспекту социальной изоляции. При его расчете используются следующие переменные: процент людей с ожидаемой продолжительностью жизни при рождении ниже 60 лет, процент населения, не имеющего функциональных навыков письма и чтения, доля населения, получающего нищенские доходы (чей доход после уплаты налогов составляет менее 50 процентов среднего располагаемого дохода домашнего хозяйства), и доля безработного в течение длительного времени (12 месяцев или более) населения.
Рейтинг по индексу развития человеческого потенциала
Страны с высоким уровнем развития человеческого потенциала
|
|
|
25 Греция |
36 Кувейт |
Страны со средним уровнем развития человеческого потенциала
|
|
Индекс развития с учетом гендерного фактора
|
Страна с рейтингом |
Ожидаемая
продолжительность жизни при рождении
|
Уровень грамотности
взрослого населения |
Совокупный валовой
показатель числа поступивших в учебные
заведения 1-го, 2-го и 3-го уровней |
ВВП на душу населения
|
||||
|
женщины |
мужчины |
женщины |
мужчины |
женщины |
мужчины |
женщины |
мужчины |
|
|
1.Канада |
81.9 |
76.2 |
99.0 |
99.0 |
101 |
98 |
17,980 |
29,294 |
|
2.Норвегия |
81.3 |
75.4 |
99.0 |
99.0 |
98 |
93 |
22,400 |
30,356 |
|
3.США |
80.2 |
73.5 |
99.0 |
99.0 |
97 |
91 |
22,565 |
36,849 |
|
4.Австралия |
81.2 |
75.6 |
99.0 |
99.0 |
114 |
111 |
17,974 |
26,990 |
|
5.Исландия |
81.4 |
76.9 |
99.0 |
99.0 |
89 |
86 |
22,062 |
28,127 |
|
... |
||||||||
|
62.Россия |
72.9 |
60.7 |
99.3 |
99.7 |
81 |
75 |
5,072 |
8,039 |
|
... |
||||||||
|
В среднем |
69.1 |
64.9 |
73.1 |
84.6 |
60 |
67 |
4,435 |
8,587 |
Нищета населения
|
Страна с рейтингом |
Население с ожидаемой продолжительностью жизни до 60 лет (в %) |
Доля дохода или потребления |
Население, имеющее меньше 50% среднего дохода (в %) |
||
|
20% самых бедных |
20% самых богатых |
Самые богатые 20% к самым бедным 20% |
|||
|
1.Канада |
9.2 |
7.5 |
39.3 |
5.2 |
10.6 |
|
2.Норвегия |
8.9 |
9.7 |
35.8 |
3.7 |
5.8 |
|
3.США |
12.4 |
5.2 |
46.4 |
8.9 |
17.3 |
|
4.Австралия |
8.8 |
5.9 |
41.3 |
7.0 |
11.9 |
|
... |
|||||
|
62.Россия |
29.5 |
4.4 |
53.7 |
12.2 |
19.3 |
|
... |
Однако рассмотренные выше подходы к изучению бедности трактуют ее как недостаток дохода. Вместе с тем формируется и Другой подход к измерению нищеты, основанный на оценке не только доступности дохода, но и других ресурсов и аспектов благосостояния: состояния здоровья, доступа к чистой воде, образованию и пр.
Данный подход разрабатывается в рамках Программы развития ООН с середины 90-х гг. и характеризует уровень обездоленности в трех важнейших аспектах жизни человека: продолжительности жизни, знании и достойном уровне жизни. Оценка обездоленности проводится на основе интегрального показателя — индекса нищеты населения (ИНН), который вычисляется по различной методике для двух групп стран мира:
• для развивающихся стран — ИНН-1;
• для развитых стран — ИНН-2.
Для стран с переходной экономикой, в том числе для России, данный индекс пока не рассчитывается. Рассмотрим методику расчета ИНН.
Для
развивающихся стран обездоленность с
учетом продолжительности жизни выражается
в виде процентной доли населения,
которое, как ожидается, не доживет до
40 лет (
),
а обездоленность с учетом знаний — в
виде процентной доли неграмотного
взрослого населения (
).
Обездоленность с точки зрения достойного
уровня жизни или доступа к экономическим
ресурсам выражается сводным показателем
(
).
включающим три переменные:
—
процентную
долю населения, не имеющего доступа к,
безопасной питьевой воде;
—
процентную
долю населения, не имеющего доступа к
медицинским услугам;
процентную
долю детей в возрасте до 5 лет, страдающих
умеренным или острым отставанием в
весе.
Сводный показатель

Для
развитых стран ИНН-2 обобщает уровень
обездоленности в четырех важных аспектах
человека: продолжительности жизни,
знании, достойном уровне жизни и
социальной изоляции. Обездоленность с
учетом продолжительности жизни выражается
в виде процентной доли населения,
которое, как ожидается, не доживает до
60 лет (
).
Обездоленность с точки зрения знаний
выражается через процентную долю
функционально неграмотного населения
(
),
которая отражает изоляцию человека от
мира чтения и коммуникаций. Обездоленность
с точки зрения достойного уровня жизни
выражается через процентную долю
населения, живущего ниже черты бедности,
которая определяется в 50 % скорректированного
располагаемого личного дохода (
).
Четвертый параметр, характеризующий
бездействие или изоляцию, вычисляется
как уровень застойной безработицы (в
течение 12 мес. и более) от общей численности
рабочей силы (
).Получаем

Из 17 развитых стран, по которым рассчитывался ИНН-2, наиболее низкий уровень обездоленности зафиксирован в Швеции (в 1997 г. —6,8), самый высокий показатель—в США (16,5). Для развивающихся стран ИНН-1 имеет самое низкое значение в Чили (4,1), самое высокое значение—в Нигере (62,1% в 1995г.).