Моделирование состава машинно-тракторного парка
Лаптева В.М. «Моделирование состава машинно-тракторного парка». 1999 г.
Министерство сельского хозяйства и продовольствия
Российской Федерации
ТЮМЕНСКАЯ ГОСУДАРСТВЕННАЯ СЕЛЬСКОХОЗЯЙСТВЕННАЯ АКАДЕМИЯ
КАФЕДРА ИНФОРМАТИКИ
Курсовой проект по моделированию:
МОДЕЛИРОВАНИЕ СОСТАВА
МАШИННО-ТРАКТОРНОГО ПАРКА
Выполнила:
Студентка IV курса заочного
экономического факультета
В.М.Лаптева,
Шифр: Э-990348
Проверила:
Е.Г.ПУТИЛОВА
Тюмень – 1999 г.
Содержание проекта
|
Стр. |
|
|
Введение………………………………………………………………………… |
3 |
|
Ситуация с сельхозтехникой в южных районах области…………………... |
3 |
|
Значимость машинно-тракторного парка……………………………………... |
4 |
|
Основные задачи машинно-тракторного парка …………………………….. |
5 |
|
Рекомендуемый состав МТП……………………………………………………. |
6 |
|
Экономико-математическое моделирование состава МТП……………….. |
7 |
|
Характеристика изучаемого хозяйства …………………………………… |
11 |
|
Динамика производственной деятельности………………………………….. |
12 |
|
Основные производственные показатели……………………………………. |
13 |
|
Себестоимость продукции в хозяйстве……………………………………….. |
14 |
|
Моделирование структуры машинно-тракторного парка в изучаемом хозяйстве…………………………………………………………… |
15 |
|
Заключение и выводы………………………………………………………… |
22 |
|
Список использованной литературы………………………………………….. |
24 |
ВВЕДЕНИЕ
За последние годы произошло значительное сокращение количества сельскохозяйственной техники в стране. Тяжелое финансовое положение предприятий, нарушенный паритет цен на машины, горюче-смазочные материалы, запасные части и выращиваемую продукцию, и, в особенности, топливный кризис, охвативший государство в апреле-июле текущего года, не позволяют приобретать новую технику и эффективно эксплуатировать имеющуюся.
В этих условиях государство должно выступить гарантом перед банками для предоставления фермерам и коллективным сельскохозяйственным предприятиям долгосрочных кредитов на льготных условиях, организации продажи сельскохозяйственной техники на условиях лизинга.
Ситуация с сельхозтехникой
в южных районах области.
В настоящее время в южных районах Тюменской области создано 1600 фермерских хозяйств и сельскохозяйственных предприятий, за которыми закреплено 18 тыс. га пахотных земель, кроме этого, многие фермеры арендуют в коллективных хозяйствах незанятую землю и тем самым вовлекают в производство дополнительные площади.
Фермы, специализирующиеся на выращивании зерновых культур, в среднем имеют наделы земли 50-70 га.
Минимальный набор сельскохозяйственной техники, выпускаемой на российских заводах, для такого хозяйства может состоять из: колесного трактора ЮМЗ-6Л или ЧТЗ-60м, плуга, дискового лущильщика, культиватора, комплекта зубовых борон, сеялки, опрыскивателя, тракторного прицепа, косилки. Стоимость такого комплекта - около 300000 рублей, что эквивалентно приблизительно 200 т пшеницы III класса. Приобретать зерноуборочный комбайн СК-5М "Нива", стоимостью около 1000000 рублей для одной фермы нецелесообразно. Выгоднее привлекать на уборку комбайны коллективных предприятий или машинно-тракторных станций, отдавая за услуги 15-20% собранного зерна.
Если набор техники будет приобретен по лизинговой форме с выплатой их стоимости в течение 5 лет, то хозяйству придется ежегодно отдавать в погашение долга 50000-70000 рублей или 35-45 т пшеницы III класса.
Для выполнения сельскохозяйственных операций на площади 50га потребуется израсходовать 2,5 т дизельного топлива и моторного масла стоимостью в текущих ценах болеее 12000 рублей. Расходы на текущий ремонт и техническое обслуживание техники составит в год около 30000 рублей.
Таким образом, ориентировочно общие расходы на выращивание зерновых на площади 50 га за год составят (без учета амортизации техники и расходов на уборку зерна) 85000-95000 рублей. При средней урожайности 3,0 т/га, фермер со своего участка получит 150 т зерна, из которых 32 т отдаст за работу зерноуборочного комбайна, 10 т - за семена, из оставшегося зерна (108 т) стоимостью 120000 рублей оплатит расходы на текущий ремонт и техническое обслуживание и получит прибыль в размере 30000-40000 рублей.
На 6-й год после выплаты полной стоимости техники доход несколько увеличится, но возрастут затраты на ремонт и амортизацию машин.
Значимость машинно-тракторного парка
В связи с тем, что в настоящее время государство не в состоянии выделить средства на приобретение техники для всех фермерских хозяйств, а в коллективных сельскохозяйственных предприятиях и совхозах парк машин значительно сократился, и также отсутствуют средства на приобретение новой техники, государство должно выступать гарантом для предоставления банками фермерам и коллективным хозяйствам долгосрочных кредитов на льготных условиях, организации продажи сельскохозяйственной техники на условиях лизинга.
Следует также создать специальные предприятия - машинно-тракторные станции (МТС) для оказания помощи и услуг хозяйствам в производстве сельскохозяйственной продукции. МТС могут иметь форму акционерных обществ (компаний) открытого или закрытого типа с привлечением средств частного капитала, коммерческих структур, предприятий с государственной и смешанной формами собственности.
Очень активно машинно-тракторные станции создавались в конце 20-х - начале 30-х годов. Однако, в начале 50-х годов, в ходе реформирования сельскохозяйственного производства, большая часть машинно-тракторных станций была реорганизована в различного рода мастерские, заводы и другие производства, а, зачастую, просто расформированы.
В настоящее время внось возникли экономические предпосылки, обоснованные нами выше, для создания машинно-тракторных станций.
Машинно-тракторные станции (МТС), по нашему мнению, целесообразно создавать в отдельных административных районах области на базе ремонтно- транспортных предприятий, райснабов, предприятий агросервиса и райсельхозхимии.
Основные задачи парка
машинно-тракторных станций
Основными задачами МТС являются:
•помощь в выполнении сложных механизированных процессов в фермерских и арендных хозяйствах, коллективных сельскохозяйственных предприятиях, совхозах;
•ремонт и техническое обслуживание сельскохозяйственной техники;
•обучение фермеров и арендаторов передовым технологиям и методам работы;
•консультативная помощь в освоении новой сельскохозяйственной техники, новых технологий, средств химизации.
Рекомендуемый состав парка
машинно-тракторных станций
В составе МТС следует иметь мобильные отряды:
• по основной обработке почвы, оснащенные энергонасыщенными тракторами со шлейфом почвообрабатывающих машин;
• по внесению минеральных и органических удобрений;
• по борьбе с сорными растениями, вредителями и болезнями сельскохозяйственных культур, оснащенные колесными тракторами, опрыскивателями, опыливателями, агрегатами для приготовления рабочих жидкостей;
• по заготовке сена, сенажа, силоса, укомплектованные самоходными прицепными и навесными косилками-плющилками, косилками- измельчителями и пресс-подборщиками;
• по уборке зерновых и технологических культур, оснащенные высокопроизводительной техникой.
Состав и структура машинно-тракторного парка станции (МТС) должны определяться в зависимости от возможных объемов работ и сроков их выполнения. При этом следует учитывать, что дорогостоящие сельскохозяйственные тракторы и машины должны эксплуатироваться в пределах оптимальных агротехнических сроков выполнения технологических операций не в одном, а в разных хозяйствах. Учитывая особенности Тюменской области - как территории с резко континентальными климатическими условиями, при комплектовании парка обязательно должны учитываться возможные отрицательные климато-географически факторы воздействия.
Принимая во внимане то, что технологические отряды будут перемещаться как в пределах административного района, так и в соседних районах, при выборе техники должны быть учтены расходы на переезды из одного хозяйства в другое.
Для оптимизации состава и структуры парка тракторов, комбайнов, орудий машинно-тракторной станции (МТС) следует использовать методы экономико-математического моделирования.
Экономико-математическое моделирование
состава машинно-тракторного парка
Отправным пунктом при расчетах должна служить производственная программа обслуживаемых хозяйств, технологическая карта на возделывание основных культур, при выращивании и уборке которых будет применяться техника МТС.
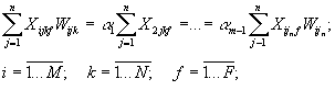
Математическая модель оптимальной структуры МТП в общем виде может быть сформулирована следующим образом:
Найти число агрегатов Хijkf, удовлетворяющее следующими ограничениям:
•требование выполнения технологических, транспортных и вспомогательных операций в наиболее целесообразные агротехнические сроки:
•ограничение непрерывного выполнения технологических операций в пределах агросрока:
•ограничение согласования операций:
Требования к выполнению объемов работ и количеству машин в составе МТП:

Ограничение экологического воздействия (разового и суммарного) на природную сферу:

Ограничения неотрицательных переменных:

где:
Хj - количество агрегатов j-типа в составе МТП;
Хijk - количество агрегатов j-типа, используемых на i-операции, в k-период;
Wijk - производительность агрегата j-типа, i-операции, k- период;
bikf - объем работ на i-операции, k-период при возделывании f-культуры;
a - коэффициент согласования технологических и взаимосвязанных работ;
lijr - количество машин r-типа, входящих в состав j- агрегата при выполнении i-операции;
I -количество рассматриваемых типов агрегата;
K - количество рассматриваемых периодов годового цикла работ;
J - количество рассматриваемых операций; N - количество типовых вариантов погодных условий.
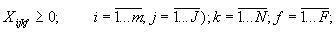
Критерий оптимальности - минимум интегральных затрат, включаяющий:
1) затраты на приобретение и содержание парка машин:

где
Сj - затраты, связанные с приобретением и содержанием техники j- типа (включая нормативную эффективность капитальных затрат), в расчете на N годовых циклов выполнения работ;
2) прямые (эксплуатационные) затраты на выполнение операций по возделыванию сельскохозяйственных культур:

где
Сir - прямые затраты на выполнение единицы объема работ по i-той операции, j-того типа за один час работы;
Pirkn - объем работ.
3) экономическая оценка невосполнимых экологических нарушений при использовании отдельных машин:

где
Uij - снижение урожая культуры при использовании на ее возделывании машин j-того типа в течение t лет;
Ri - стоимость единицы продукции урожая l - культуры; nj - количество машин j-го типа в определении состава МТП в расчете на 1000 г земли в обработке;
xl - коэффициенты объема l-ой культуры в структуре площадей хозяйства.
Коэффициент
- устанавливается для различной
интенсивности использования машин (в
основном тракторов) определенных типов.
4) Потери части урожая культуры из-за использования агрегатов определенными экологическими отклонениями
|
|

где
-
стоимость потерянной части урожая
определенной культуры (исходя из номера
операции i), при выполнении единицы
объема работ по i-той операции j-м
агрегатом;
Pi - стоимость единицы продукции l-й культуры.
Функционал рассматриваемой оптимизационной задачи:


Сбор исходной информации для решения задачи должен проводиться с учетом использования зарубежной техники, которая поступает на рынок Тюменской области. Планируется провести решение задачи на компьютере, для чего следует подготовить каталог, в который должны войти технико-экономические показатели сельскохозяйственной техники, стоимостные показатели горюче-смазочных материалов, стоимость тракторов, комбайнов, и сельхозмашин с учетом процентных ставок на кредиты для приобретения техники.
Для сокращения расходов материальных и финансовых средств на перемещение отряда из одного хозяйства (района) в другой следует оптимизировать и решить транспортную задачу, составить на основе ее решения маршруты и графики переездов с учетом транспортных возможностей агрегатов.
Характеристика изучаемого хозяйства
Изучаемое хозяйство расположено в центральной части Тюменского района, находящегося на западе Тюменской области. Тюменский район относится географически к лесной (таежной) зоне, к подзоне осиново-березовых лесов, располагаясь в Затобольской провинции этой подзоны.
На отдельных площадях хозяйства сохранились березовые рощи с травянистой растительностью, угнетенной систематическим выпасом скота. На других участках травянистая растительность представлена злаками и лесным разнотравьем с примесью клевера.
По агроклиматическому районированию – это район теплой, умеренно-увлажненной зоны. Континентальный климат (по отдельным источникам – резко континентальный) формируется под влиянием воздушных масс азиатского материка. Беспрепятственное проникновение арктических масс воздуха с севера и сухих воздушных потоков из Казахстана обуславливает резкие колебания погодных условий, что приводит, в результате, к общей неустойчивости климата. Это особенно выраженно суровой холодной зимой, неплым. Но непродолжительным летом, короткой весной.
Средняя температура января: -16,7оС; июля: +16,6 оС. Устойчивый снежный покров образуется в первой декаде ноября, причем его высота достигает 35 см. Период с температурой воздуха выше +10 оС продолжается 125-130 дней, выше +15 оС – 70-85 дней, безморозный период всего 115-125 дней.
Годовое количество осадков – 412 мм. Гидротермический коэффициент ~1,1-1,2. При общей удовлетворительной обеспеченности влагой возможен период ее недостатка для растений (атмосферные засухи составляют, в среднем, 24-27 дней ежегодно).
Преобладающее направление ветра – юго-западное. Весна – сухая и ветренная, снеготаяние - интенсивное. Начало полевых работ, в среднем, происходит 29 апреля.
Хозяйство расположено на Западно-Сибирской плите (плато), в районе лесо-степной равнинной части низменности. Территория хозяйства представлена слабо расчлененной равниной с едва заметными уклонами. В северной части землепользования протекает река. Долина реки пойменная, шириной до 2500 м, местами заболочена.
Почвенный покров - однотипный. Преобладают черноземные выщелоченные и темносерые лесостепные почвы. Эти виды занимают основныую часть пахотных угодий. По механическому составу – почвы среднесуглинистые, реже – легкосуглинистые разновидности. В долине реки – супесчанные.
Пахотные земли хозяйства по плодородию и свойствам благоприятны для возделывания всех видов культур данной климатической зоны.
Производственное направление хозяйства – элитно-семеноводческое с развитым молочным скотоводством.
Динамика производственной деятельности
|
Показатели |
1981 |
1991 |
1998 |
В среднем |
|
Общая земельная площадь, га |
6954 |
6815 |
4896 |
6251 |
|
Площадь сельхозугодий, га |
4936 |
4746 |
4324 |
4668 |
|
Площадь пахотных земель, га |
3744 |
3688 |
3544 |
3658 |
|
Урожайность зерновых культур, ц/га |
29,3 |
21,3 |
24,1 |
24,9 |
|
Валовый сбор зерновых, тонн |
5847 |
3519 |
4100 |
4488 |
|
Заготовка кормов, ц |
- |
- |
55491 |
18497 |
|
Продажа элитных семян, тонн |
157,5 |
132,8 |
984,0 |
424,8 |
|
Поголовье КРС, гол. |
1791 |
2056 |
1929 |
1925 |
|
Поголовье свиней, гол. |
585 |
535 |
485 |
535 |
|
Среднегодовой удой на 1 фуражную корову, кг |
4177 |
5220 |
5388 |
4928 |
|
С/суточный привес КРС, грамм |
626 |
671 |
615 |
637 |
|
С/суточный привес свиней, грамм |
311 |
398 |
386 |
365 |
|
Валовое производство молока, тонн |
2722 |
3461 |
3541 |
3241 |
|
Валовое производство мяса. Тонн |
328 |
387 |
354 |
356 |
Наряду с растениеводством в хозяйстве уделяется существенное внимание развитию кормовой базы животноводства. Имеется 2427 га естественных сенокосов и пастбищ. Под сенокосами занято 1437 га, из них пойменных – 350 га, суходольных – 386 га, заболоченных – 611 га.
При низкой урожайности сена (8-10 ц/га), его себестоимость. По данным 1998 г., довольно высокая – 5,73 руб.
Пастбища занимают 1080 га. Вследствие бессистемности выпаса скота урожайность пастбищ низкая – 25-30 ц/га зеленой массы.
Основные показатели по отрасли растениеводства
|
Показатели |
1996 |
1997 |
1998 |
В среднем |
|
Общая площадь, га |
4986 |
4896 |
4896 |
4896 |
|
Площадь сельхозугодий, га |
4324 |
4324 |
4324 |
4324 |
|
Пахотные земли, га |
3544 |
3544 |
3544 |
3544 |
|
Зерновые, га |
1700 |
1700 |
1700 |
1700 |
|
Валовый сбор зерна, тонн |
4628 |
4505 |
4100 |
4411 |
|
Урожайность, ц/га |
27,2 |
26,5 |
24,1 |
25,9 |
|
Производство кормов, ц |
48124 |
40128 |
55491 |
47914 |
|
Пр-во зерна на 100 га сельхозугодий, ц |
10,7 |
10,4 |
9,5 |
10,2 |
|
Пр-во зерна на 100 га пашни, ц |
12,1 |
12,7 |
11,6 |
12,1 |
|
Рентабельность, % |
143 |
106 |
- |
83 |
Удельный вес продуктов растениеводства составил 32%, а животноводства – 68%.
Продукция животноводства распределяется следующим образом: скотоводство – 83,3%; свиноводство – 13,6%, прочее производство – 3,1%.
Скотоводство развивается в цельно-молочном направлении. Тем не менее, хотя этот вид продукции и занимает большую долю в общей ее реализации, это направление является дотационным.
Основные показатели по отрасли животноводства
|
Показатели |
1996 |
1997 |
1998 |
В среднем |
|
Поголовье КРС, гол. |
1950 |
1961 |
1929 |
1946 |
|
Поголовье СТФ, гол |
486 |
486 |
419 |
463 |
|
Удой на 1 корову, кг |
5271 |
5387 |
5388 |
5348 |
|
Валовый надой, ц |
35266 |
35936 |
35412 |
35538 |
|
Выход телят на 100 голов, гол. |
84 |
82 |
80 |
82 |
|
Рентабельность, % |
12 |
3 |
2 |
6 |
На отрасль животноводства приходится большой удельный вес в затратах труда.
На норму рентабельности производства всех видов сельскохозяйственной продукции оказывает влияние себестоимость производства , которая состоит из двух основных элементов – затрат материальных средств и затрат на оплату труда.
Приведенная нами ниже разработка по моделированию состава МТП имеет своей направленностью как раз снижение себестоимости производства за счет рационального подхода к структуре МТП.
Себестоимость продукции в хозяйстве
|
Показатели |
1996 |
1997 |
1998 |
В среднем |
|
Валовая продукция в сопоставимых ценах |
2214965 |
2154410 |
2150868 |
2173414 |
|
- в том числе, растениеводства |
709580 |
612536 |
621068 |
647728 |
|
- в том числе, животноводства |
1505385 |
1541874 |
1529800 |
1525686 |
|
Среднегодовая численность рабочих |
231 |
240 |
233 |
234 |
|
Производительность труда на 1 рабочего |
9580 |
8976 |
9231 |
9262 |
|
Средняя заработная плата |
1035 |
1150 |
1210 |
1131 |
|
Рентабельность растениеводства |
143 |
106 |
- |
83 |
|
Рентабельность животноводства |
12 |
3 |
2 |
5 |
Моделирование структуры МТП
изучаемого хозяйства
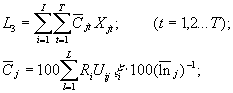
Для создания гипотетической модели структуры машинно-тракторного парка нами применялась статистическая программа «Мастер функций» из стандартного пакета программ MSOffice98.
В качестве вводных данных при расчетах, проходивших с применением вышеприведенных формул и электронных таблиц MSExel, нами использовались материалы, полученные в изучаемом хозяйстве и представленные в предыдущих разделах и нижеприведенном каталоге.
Каталог, составленный по данным 1-го полугодия 1999 г.
|
№ |
Наименование агрегата |
Кол-во |
Время использования (час) |
|
|
В месяц |
В год |
|||
|
1 |
Трактор К-700 + телега |
1 |
22 |
264 |
|
2 |
Трактор К-700 + ПН-8-35 |
2 |
118,7 |
1424 |
|
3 |
Трактор К-700А + С3с-2 |
3 |
16,9 |
203 |
|
4 |
Трактор К-700А + БДТ-2 |
4 |
9,6 |
115 |
|
5 |
Трактор К-701 + РЖТ |
1 |
17,2 |
206 |
|
6 |
Трактор К-701 + КУН-10 |
11 |
56,3 |
676 |
|
7 |
Трактор К-701 + С3с-2 |
4 |
24,0 |
288 |
|
8 |
Трактор К-701 + лопата |
2 |
66,6 |
799 |
|
9 |
Трактор К-701 + телега |
3 |
52,5 |
630 |
|
10 |
Трактор Т-150 + РУМ-8 |
3 |
67,0 |
804 |
|
11 |
Трактор Т-150 + СП-16 |
1 |
30,8 |
369 |
|
12 |
Трактор Т-150 + СП-3,6 |
9 |
37,1 |
445 |
|
13 |
Трактор Т-150 + МВУ-8 |
2 |
22,9 |
445 |
|
14 |
Трактор Т-150 + С-11 |
4 |
28,3 |
339 |
|
15 |
Трактор Т-150 + КПКУ-75 |
1 |
0,7 |
8 |
|
16 |
Трактор Т-150 + С-15 |
1 |
1,3 |
16 |
|
17 |
Трактор Т-150 + БДТ-3 |
4 |
4,1 |
49 |
|
18 |
Трактор Т-150 + СЗС-2,1 |
1 |
9,7 |
116 |
|
19 |
Трактор Т-150 + КПС-4 |
1 |
33,4 |
401 |
|
20 |
Трактор Т-150 + лопата |
3 |
33,4 |
401 |
|
21 |
Трактор Т-150 + телега |
2 |
113 |
1356 |
|
22 |
Трактор Т-150 + РЖТ |
2 |
2,0 |
24 |
|
23 |
Трактор Т-170 + лопата |
3 |
50,3 |
604 |
|
24 |
Трактор ДТ-75 + С-11 |
11 |
52,0 |
624 |
|
25 |
Трактор ДТ-75 + СП-16 |
1 |
0,7 |
8,0 |
|
26 |
Трактор ДТ-75 + ПН-8-35 |
9 |
10,2 |
122 |
|
27 |
Трактор МТЗ-80 + ККШ-6а |
2 |
35,1 |
421 |
|
28 |
Трактор МТЗ-80 + ПРП-1,6 |
1 |
57,9 |
695 |
|
29 |
Трактор МТЗ-80 + ПРП-8-35 |
1 |
1.3 |
16 |
|
30 |
Трактор МТЗ-80 + ЛДГ-4а |
1 |
0,3 |
4 |
|
31 |
Трактор МТЗ-80 + КУН-10 |
5 |
49,7 |
596 |
|
32 |
Трактор МТЗ-80 + РЖТ |
1 |
3,3 |
40 |
|
33 |
Трактор МТЗ-80 + лопата |
1 |
4,0 |
48 |
|
34 |
Трактор МТЗ-80 + телега |
2 |
94,3 |
1132 |
|
35 |
Трактор МТЗ-80 + ОП-2000 |
1 |
1,7 |
20 |
|
36 |
Трактор МТЗ-82 + РМГ-4 |
1 |
2,0 |
24 |
|
37 |
Трактор МТЗ-82 + СП-5 |
1 |
1,3 |
16 |
|
38 |
Трактор МТЗ-82 + КСС-2,6 |
1 |
9,3 |
112 |
|
39 |
Трактор МТЗ-82 + ККШ-6 |
3 |
25,9 |
311 |
|
40 |
Трактор МТЗ-82 + СУПН-8 |
1 |
10,0 |
120 |
|
41 |
Трактор МТЗ-82 + СЗП-3,6 |
1 |
24,7 |
296 |
|
42 |
Трактор МТЗ-82 + ОП-2000 |
4 |
43,2 |
518 |
|
43 |
Трактор МТЗ-82 + КРН-5,6 |
1 |
0,7 |
8 |
|
44 |
Трактор МТЗ-82 + «Полесье» |
1 |
4,0 |
48 |
|
45 |
Трактор МТЗ-82 + КТУ-10 |
1 |
15,3 |
183,9 |
|
46 |
Трактор МТЗ-82 + ПРП-1,6 |
6 |
10,2 |
124,4 |
|
47 |
Трактор МТЗ-82 + КУН-10 |
18 |
29,6 |
355 |
|
48 |
Трактор МТЗ-82 + СЗС-2,1 |
1 |
0,7 |
8 |
|
49 |
Трактор МТЗ-82 + КПС-4 |
4 |
8,9 |
107 |
|
50 |
Трактор МТЗ-82 + ЛДГ-4а |
2 |
9,2 |
110 |
|
51 |
Трактор МТЗ-82 + телега |
2 |
40,0 |
960 |
|
52 |
ЮМЗ-6 + ПЭ-96 |
1 |
4,5 |
54 |
|
53 |
ЮМЗ-6 + ОП-2000 |
1 |
2,0 |
24 |
|
54 |
ЮМЗ-6 + КРН-2,1 |
1 |
9,0 |
108 |
|
55 |
ЮМЗ-6 + СЗП-3,6 |
1 |
1,0 |
12 |
|
56 |
ЮМЗ-6 + РЖТ |
1 |
1,3 |
16 |
|
57 |
Е-280 |
1 |
2,0 |
24 |
|
58 |
Е-281 |
1 |
7,8 |
94 |
|
59 |
Е-303 |
1 |
20,5 |
486 |
|
60 |
Е-302 |
1 |
8,4 |
101 |
|
61 |
Е-302 + ворошитель |
3 |
8,3 |
100 |
|
62 |
СК-5 |
1 |
46,3 |
556 |
|
63 |
СК-5 + ЖВН-6 |
4 |
8,3 |
100 |
|
64 |
СК-5 + ППТ-6 |
3 |
8,5 |
102 |
|
65 |
СК-5 + ЖБР-4,2 |
1 |
7,0 |
84 |
|
66 |
ЗАВ-40 |
3 |
27,0 |
324 |
|
67 |
ЗАВ-40 + ОВС-25 |
5 |
32,4 |
289 |
|
68 |
ОВС-25 |
1 |
26,4 |
317 |
|
69 |
ДОН-1500 + ЖУ-7 |
3 |
15,6 |
187 |
Объем работ для МТП
|
№ |
Наименование операции |
Ед.изм. |
Объем |
|
1 |
Перевозка грузов |
Час |
7 |
|
2 |
Вспашка |
Га |
35 |
|
3 |
Предпосевная культивация |
Га |
30 |
|
4 |
Боронование |
Га |
37 |
|
5 |
Вывоз навозной жижи |
Час |
7 |
|
6 |
Погрузка сена |
Тонн |
16 |
|
7 |
Уборка снега, мусора, буртовка |
Час |
7 |
|
8 |
Транспортировка и внесение удобрений |
Га |
40 |
|
9 |
Ранне-весеннее боронование |
Га |
36 |
|
10 |
Уборка кукурузы на силос |
Га |
6,7 |
|
11 |
Подбор и измельчение однолетних трав |
Тонн |
65 |
|
12 |
Погрузка семян |
Тонн |
40 |
|
13 |
Прикатывание |
Га |
35 |
|
14 |
Прессование соломы |
Тонн |
16 |
|
15 |
Лущение |
Га |
27 |
|
16 |
Обработка посевов ядохимикатами |
Га |
43 |
|
17 |
Широкорядный посев кукурузы |
Га |
13 |
|
18 |
Междурядная обработка кукурузы |
Га |
21 |
|
19 |
Скашивание однолетних трав |
Га |
10 |
|
20 |
Транспортировка однолетних трав |
Тонн |
2 |
|
21 |
Погрузка соломы |
Час |
7 |
|
22 |
Скашивание многолетних трав на сено |
Га |
10 |
|
23 |
Ворошение валков |
Га |
15 |
|
24 |
Обкос полей |
Га |
6 |
|
25 |
Подбор валков |
Тонн |
21 |
|
26 |
Скашивание в валки |
Га |
7 |
|
27 |
Сушка зерна |
Тонн |
45 |
|
27 |
Сортировка зерна |
Тонн |
40 |
|
28 |
Прямое комбайнирование |
Тонн |
30 |
Затраты на приобретение и содержание некоторых составляющих МТП (по данным за 1-е полугодие 1999 г. до удорожания ГСМ)
|
Марка |
Всего затрат, в рублях |
Себестоимость 1 этал. Га, в рублях |
Часы в работе |
Себестоимость 1 часа работы, руб. |
|
К-700А |
91805 |
42,30 |
788 |
119,71 |
|
К-701 |
196198 |
37,23 |
1684 |
134,20 |
|
Т-150 |
321091 |
69,78 |
3000 |
147,70 |
|
МТЗ-80 |
141533 |
69,55 |
5048 |
33,61 |
|
МТЗ-82 |
204928 |
45,26 |
5752 |
36,50 |
|
ЮМЗ-6 |
34168 |
76,05 |
984 |
34,72 |
|
ДТ-75 |
97769 |
146,34 |
936 |
104,45 |
|
Т-40 |
5733 |
32-21 |
280 |
20,48 |
|
Т-170 |
16573 |
41,43 |
232 |
71,44 |
|
ИТОГО: |
1109798 |
52,43 |
18704 |
81,88 |
Стоимость ГСМ на момент моделирования принята за 4,2 руб/литр дизельного топлива.
Транспортная схема перемещения по хозяйству предусматривает радиусы холостых пробегов техники не более 12,6 км за машино-смену.
Результаты моделирования
График 1.
Зависимость состава МТП
от стоимости ГСМ
График 2.
Зависимость состава МТП
от транспортной схемы
График 3.
Зависимость структуры МТП
о
т
времени использования техники
График 4.
Зависимость структуры МТП
от комплексных факторов
Заключение и выводы
Анализ материалов, полученных в хозяйстве, по структуре машинно-тракторного парка и механизмам его эксплуатации, позволяет нам, с достаточной долей достоверности определить, что в изучаемом хозяйстве структура машинно-тракторного парка является нерациональной.
Так, из представленных материалов, очевидно, что некоторые агрегаты используются крайне не эффективно, большой частью – простаивают. Прицепные агрегаты не имеют свойств подвижных модулей. Себестоимость использования большинства механизмов чрезвычайно высока, и, в связи с удорожанием ГСМ, продолжает нарастать.
Наши вычисления показали, что эффективность использования МТП в изученном хозяйстве достигает лишь 47,3%, что ведет к неоправданным затратам и повышению себестоимости (на ~ 16,8%) продукции хозяйства.
При существующих площадях, способах их использования и объемах производства сельскохозяйственной продукции, оптимальных для изучаемого хозяйства, в сочетании с прогрессирующим ростом цен на ГСМ, наша модель МТП, в соответствии с представленными выше графическими фантомами, предусматривает наличие в данном хозяйстве:
Гусеничной техники – 19 единиц,
Колесной техники – 24 единицы,
Навесных агрегатов различного типа – 44 единицы.
Нам представляется возможным дать следующие рекомендации изучаемому хозяйству:
Довести в течение текущего года структуру МТП до рассчетной модели с реализацией, либо раскомплектацией «лишней» техники.
Разработать и внедрить схему сменяемости навесных агрегатов в зависимости от функциональной необходимости.
Усовершенствовать транспортную схему перемещения техники по хозяйству.
Сократить простои техники с достижением максимальной насыщенности каждой машино-смены производственными заданиями.
Список использованной литературы
Абалкин Л.И. Курс переходной экономики. 640 с., изд-во «Финстатинформ», 1997 г.
Ведута Е.Н. Государственные экономические стратегии. 440 с., изд-во Росс. Экономической академии, 1998 г.
Горфинкель В.Я. Экономика предприятия. Учебник. 432 с., изд-во «Экономика», 1996 г.
Гребенников П.И. Микроэкономика. 352 с., изд-во «СПбУЭФ», 1996 г.
Гребенников П.И., Леусский А.И. Микроэкономика. Учебник. 447 с., изд-во «СПбГУЭФ», 1998 г.
Доугерти К. Введение в экономику. 402 с., изд-во «Инфра-М», 1999 г.
Зайцев В.И. Экономика предприятия. 234 с., изд-во «АКДИ», 1998 г.
Захарченко А.Н., Калинников В.В. и др. Методика и некоторые результаты эксплуатационных исследований влияния различных ходовых систем тракторов класса 3,0 на уплотнение почвы и урожайность сельскохозяйственных культур // Тр. МСХА/ Оптимизация машинотракторного парка - М, 1990, - с. 86-96.
Лаптева В.М. Моделирование состава машинно-тракторного парка. 1999 г.
Леонтьев В.В. Межотраслевая экономика (сельское хозяйство). 479 с., изд-во «Экономика», 1997 г.
Меньшиков С.М. Новая экономика. 400 с., изд-во «Международные отношения», 1999 г.
Пахунова Р.Н. Определение оптимального состава машинно-тракторного парка сельскохозяйственных предприятий с учетом экологических факторов //Тр. ЧИМЭСХ/. Интенсификация сельскохозяйственного производства в колхозах и совхозах. - Челябинск, 1990.
Савицкая Г.В. Анализ хозяйственной деятельности в АПК. 494 с., изд-во «Экоперспектива», 1999 г.
Стражев В.И. Анализ хозяйственной деятельности в промышленности. 398 с., изд-во «Высшая школа», 1998 г.
Томас Р. Количественные методы анализа хозяйственной деятельности. 432 с., изд-во «ДИС», 1999 г.
Хазанова Л.Э. Математическое моделирование в экономике. 141 с., изд-во «БеК», 1998 г.
«Экономика и жизнь», журнал. №№22,23,24, 1998 г.

