Туннельные и барьерные эффекты.
Московский Педагогический Государственный Университет
Курсовая работа по квантовой механике на тему:
Туннельные и барьерные эффекты.
Приняла:
Выполнила:
студентка 4-го курса 1-ой группы
физического факультета
Москва 2004 год.
Введение

ТУННЕЛЬНЫЙ
ЭФФЕКТ (туннелирование) — квантовый
переход системы через область движения,
запрещённую классической механикой.
Типичный пример такого процесса—
прохождение частицы через потенциальный
барьер, когда
её энергия Е
меньше
высоты барьера. Импульс частицы р
в этом
случае, определяемый из соотношения
,
где U(x)—
потенциальная. энергия частицы (т
— масса),
был бы в области внутри барьера, Е<U(x),
мнимой
величиной. В квантовой
механике благодаря
неопределённостей
соотношению между
импульсом и координатой подбарьерное
движение оказывается возможным. Волновая
функция частицы в этой области
экспоненциально затухает, и в
квазиклассичесическом случае
её амплитуда
в точке выхода из-под барьера мала.
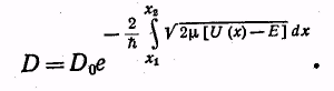
Одна из постановок задач о прохождении потенциального барьера соответствует случаю, когда на барьер падает стационарный поток частиц и требуется найти величину прошедшего потока. Для таких задач вводится коэффициент прозрачности барьера (коэффициент туннельного перехода) D, равный отношению интенсивностей прошедшего и падающего потоков. Из обратимости по времени следует, что коэффициент прозрачности для переходов в «прямом» и обратном направлениях одинаковы. В одномерном случае коэффициент прозрачности может быть записан в виде
(1)
интегрирование проводится по классически недоступной области, х>1>,>2> - точки поворота, определяемые из условия U(х>1>,>2>) = Е. В точках поворота в пределе классической механики импульс частицы обращается в нуль. Коэффициент. D>o> требует для своего определения точного решения квантово-механической. задачи.
При выполнении условия квазиклассичности
(2)
на всём протяжении барьера, за исключением непосредственной. окрестностей точек поворота х>1,2>, коэффициент D>o> слабо отличается от единицы. Существенное, отличие D>o> от единицы может быть, например, в тех случаях, когда кривая потенциальной энергии с одной из сторон барьера идёт настолько круто, что квазиклассическое приближение там неприменимо, или когда энергия близка к высоте барьера (т. е. выражение, стоящее в экспоненте, мало). Для прямоугольного барьера высотой U>o> и шириной а коэф. прозрачности определяется формулой
æ
где
,
Основание барьера соответствует нулевой энергии.
В квазиклассическом случае D мал по сравнению с единицей.
Другая
постановка задачи о прохождении частицы
через барьер состоит в следующем. Пусть
частица в начальный момент времени
находится в состоянии, близком к т. н.
стационарному состоянию, которое
получилось бы при непроницаемом барьере
(например, при барьере, приподнятом
вдали от потенциальной
ямы на
высоту, большую энергии вылетающей
частицы). Такое состояние наз.
квазистационарным. Аналогично стационарным
состояниям зависимость волновой функции
частицы от времени даётся в этом случае
множителем ехр(-iEt/
).
В качестве энергии здесь фигурирует
комплексная величина E,
мнимая часть которой определяет
вероятность распада квазистационарного
состояния в единицу времени за счёт
Туннельного эффекта.:

(3)
В квазиклассическом приближении вероятность, даваемая формулой (3), содержит экспоненциальный множитель того же типа, что и в формуле (1). В случае сферически симметричного потенциального барьера вероятность распада квазистационарного состояния с орбит, квантовым числом l определяется формулой
(4)
Здесь
r>1,2>—радиальные
точки поворота, подынтегральное выражение
в которых равно нулю. Множитель
зависит от характера
движения в классически разрешённой
части потенциала, например, он
пропорционален классической частоте
колебаний частицы между стенками
барьера.
Туннельный эффект позволяет понять механизм α-распада тяжёлых ядер. Между α-частицей и дочерним ядром действует электростатическое отталкивание, определяемое формулой U(r)=b/r. На малых расстояниях порядка размера а ядра ядерные силы таковы, что эффективный потенциал можно считать отрицательным: U(r)= - U>o>. В результате вероятность α - распада даётся соотношением

(5)
Здесь
,

Е—энергия вылетающей α -частицы.
Туннельный эффект. обусловливает возможность протекания термоядерных реакций на Солнце и звёздах при температуре в десятки и сотни млн. градусов, а также в земных условиях в виде термоядерных взрывов или УТС.
В симметричном потенциале, состоящем из двух одинаковых ям, разделённых слабопроницаемым барьером, Туннельный эффект. приводит к интерференции состояний в ямах, что приводит к слабому двойному расщеплению дискретных уровней энергии. Для бесконечного периодичного в пространстве набора ям каждый уровень превращается в зону энергий. Таков механизм образования узких электронных энергетических зон в кристаллах с сильной связью электронов с узлами решётки.
Если к полупроводниковому кристаллу приложено электрическое. поле, то зоны разрешённых энергий электронов становятся наклонными в пространстве. Тем самым уровень пост, энергии электрона пересекает все зоны. В этих условиях становится возможным переход электрона из одной энергетической зоны в другую за счёт Туннельный эффект. Классически недоступной областью при этом является зона запрещённых энергий. Это явление наз. пробоем Зинера. Квазиклассическое приближение отвечает здесь малой величине напряжённости электрического поля. В этом пределе вероятность пробоя Зинера определяется в основном экспонентой, в показателе которой стоит большая отрицательная величина, пропорциональная отношению ширины запрещённой энергетической зоны к энергии, набираемой электроном в приложенном поле на расстоянии, равном размеру элементарной ячейки.
Похожий эффект проявляется в туннельных диодах, в которых зоны наклонены благодаря полупроводникам р- и n-типа по обе стороны от границы их соприкосновения. Туннелирование осуществляется благодаря тому, что в зоне, куда переходит носитель заряда, имеется конечная плотность незанятых состояний.
Благодаря Туннельному эффекту возможен электрический ток между двумя металлами, разделёнными тонкой диэлектрической перегородкой. Эти металлы могут находиться как в нормальном, так и в сверхпроводящем состоянии. В последнем случае может иметь место Джозефсона эффект.
Туннельный эффект. обязаны такие явления, происходящие в сильных электрических полях, как автоионизация атомов и автоэлектронная эмиссия из металлов. В обоих случаях электрическое поле образует барьер конечной прозрачности. Чем сильнее электрическое поле, тем прозрачнее барьер и тем сильнее электронный ток из металла. На этом принципе основан сканирующий туннельный микроскоп - прибор, измеряющий туннельный ток из разных точек исследуемой поверхности и дающий информацию о характере её неоднородности.
Туннельный эффект. возможен не только в квантовых системах, состоящих из одной частицы. Так, например, низкотемпературное движение дислокаций в кристаллах может быть связано с туннелированием конечной части дислокации, состоя из многих частиц. В такого рода задачах линейную дислокацию можно представить как упругую струну, лежащую первоначально вдоль оси у в одном из локальных минимумов потенциала V(x, у). Этот потенциал не зависит от у, а его рельеф вдоль оси х представляет со последовательность локальных минимумов, каждый из которых находится ниже другого на величину, зависящую от приложенного к кристаллу механического напряжения. Движение дислокации под действием этого напряжения свода к туннелироваиию в соседний минимум определенного отрезка дислокации с последующим подтягиванием туда оставшейся её части. Такого же рода туннельный механизм может отвечать за движение волн зарядовой плотности в диэлектрике Пайерлса.
Для расчётов эффектов туннелирования таких многорамерных квантовых систем удобно использовать квазикласическое представление волновой функции в виде ψ~exp(iS), S—классическое действие системы. Для туннельного эффекта. существенна мнимая часть S, определяющая затухание волновой функции в классически недоступной области. Для её вычисления используется метод комплексных траекторий.
Квантовая частица, преодолевающая потенциальный барьер может быть связана с термостатом. В классической механике это соответствует движению с трением. Тем самым, ; описания туннелирования необходимо привлечение теории, получившей название диссипативной квантовой механики. Такого рода соображения необходимо использовать для объяснения конечного времени жизни токовых состояний контактов Джозефсона. В этом случае происходит туннелирование эффекта. квантовой частицы через барьер, а роль термостата играют нормальны электроны.
§ 1. Прохождение микрочастиц через потенциальные барьеры.
Постановка проблемы и простейшие случаи.
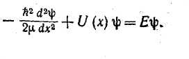
Если мы имеем две области пространства, в которых потенциальная энергия частицы меньше, нежели на поверхности, разделяющей эти области, то мы говорим, что области разделены потенциальным барьером.
Простейшим примером потенциального барьера может служить барьер в одном измерении, изображенный на рис.1. По оси ординат отложена потенциальная энергия U (х) в функции координаты частицы х. В точке х>0> потенциальная энергия имеет максимум U>m>. Все пространство - ∞ < Х < + ∞ делится в этой точке на две области; х < х>0> и х > х>0> , в которых U<U>m>. Значение термина «потенциальный барьер» сейчас же выяснится, если мы рассмотрим, движение частицы в поле U (х) на основе классической механики. Полная энергия частицы E равна
(1)
где р —импульс частицы, а μ – её масса. Решая (1) относительно импульса, получим
(2)
Знаки ± следует выбрать в зависимости от направления движения частицы. Если энергия частицы Е больше «высоты» барьера U>m>, то частица беспрепятственно пройдет барьер слева направо, если начальный импульс р>0, или в противоположном направлении, если начальный импульс р < 0.
Допустим, что частица движется слева, имея полную энергию Е, меньшую U> т>. Тогда в некоторой точке x>t> потенциальная энергия U (х>1>)=Е, p(x>1>)=0, частица остановится. Вся ее энергия обратится в потенциальную, и движение начнется в обратном порядке: х>1> есть точка поворота. Поэтому при E<.U>m> частица, движущаяся слева, не пройдет через область максимума потенциала (х = х>0>) и не проникнет во вторую область х > х>0> Подобным же образом, если частица движется справа налево, имея Е < U>m> , то она не проникнет в область за второй точкой поворота х>2>,
|
|
|
|
Рис. 1.1. Потенциальный барьер в одном измерении. |
Рис. 1.2. Самый простой потенциальный барьер |
в которой U(x>2>)=E (рис.1). Таким образом, потенциальный барьер является «непрозрачной» перегородкой для всех частиц, энергия которых меньше U>m> (напротив, он «прозрачен» для частиц, обладающих энергией Е >U>m>). Этим и разъясняется название «потенциальный барьер».
Совсем иначе протекают явления вблизи потенциальных барьеров, если речь идет о движениях микроскопических частиц в микроскопических полях, т. е. о движениях, при рассмотрении которых нельзя игнорировать квантовые эффекты. В этом случае, как мы сейчас увидим, в противоположность выводам классической механики, частицы с энергией Е, большей высоты барьера U>m>, частично отражаются от барьера, а частицы с энергией, меньшей U>m>, частично проникают через барьер.
Для того чтобы в этом убедиться, мы рассмотрим совсем простой случай барьера, изображенный на рис. 2. Именно, мы будем считать, что потенциальная энергия частицы U (х) всюду равна нулю, кроме области 0 ≤ Х ≤ l, где она имеет постоянное значение, равное U>m>. Такой барьер представляет собой, конечно, идеализацию, но на нем, особенно просто можно проследить интересующие нас стороны проблемы. Мы можем себе представить, что такой прямоугольный барьер возникает путем непрерывной деформации плавного барьера, изображенного на рис. 1.
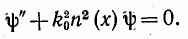
Будем искать стационарные состояния частицы, движущейся в поле такого барьера. Обозначая потенциальную энергию через U (х), мы получим уравнение Щредингера в виде
(3)
Обозначая в дальнейшем дифференцирование по х штрихом и вводя оптические обозначения
(4)
где п (х) — показатель преломления, мы перепишем уравнение (3) в виде
(5)
Уравнение (94.5) распадается на три уравнения для трех областей пространства:

(5'), (5"), (5'")
Решения в этих областях могут быть записаны сразу:
(
96.6)
(6), (6'), (6")
где А, В, α, β, a и b — произвольные постоянные. Однако это — общие решения трех независимых уравнений (5), (5'), (5") и они, вообще говоря, не образуют какой-либо одной волновой функции, описывающей состояние частицы, движущейся в силовом поле U (х). Для того чтобы они давали действительно одну функцию ψ (х), мы должны соблюсти краевые условия, которые мы сейчас установим.
Для этого будем рассматривать U (х) и, следовательно, п (х) как плавную функцию х. Интегрируя тогда уравнение (5) около точки х = 0, получим

О
тсюда
(7 (7)
Переходя к
пределу
получаем
краевое условие
(7')
Далее, согласно общему требованию о непрерывности волновых функций, имеем второе краевое условие
(7")
Точка х = 0 ничем не выделена, поэтому условия (7') и (7") должны быть соблюдены в любой точке, в частности, и при х = 1.
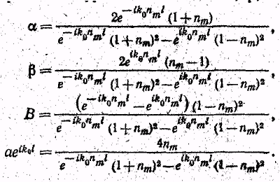
Чтобы решение (6) трех уравнений (5) можно было рассматривать как предел решения одного уравнения при переходе от плавного изменения U (х) к скачкообразному, нужно, чтобы эти решения в точках х = 0 и х = 1 удовлетворяли краевым условиям (7') и (7"), т. е.
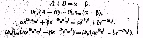
(8)
Подставляя сюда значение функций из (6), получаем
(9)
Мы имеем четыре уравнения для шести постоянных. Произвол в выборе постоянных объясняется тем, что могут быть волны, падающие на барьер слева, а могут быть — падающие на него справа.
Если мы, например, возьмем А, В≠0, b = 0, то Aeik0X может рассматриваться как падающая волна, Be-ik0X —как отраженная, аe-ik0X — как проходящая. Если бы мы взяли b ≠ 0, то это означало бы, что есть еще падающая волна с другой стороны барьера. Эти возможности соответствуют в классической механике случаям движения частиц к барьеру слева, либо справа.
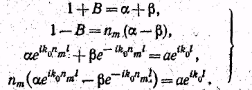
Мы рассмотрим для определенности случай падения частиц слева. Тогда, мы должны взять b = 0. Кроме того, без всяких ограничений мы можем принять амплитуду падающей волны за единицу: А=1. Уравнения (9) принимают тогда вид ' '
(10)
Из этих алгебраических уравнений находим α, β, В и a:)
(11 ), (12), (13), (14)
Если энергия частицы Е больше высоты барьера U>m>, то показатель преломления п>т> действителен. В этом случае интенсивность отраженной волны | В| 2 равна

а интенсивность проходящей волны
(15)
Вычислим по формуле для плотности тока поток частиц в падающей волне, (J>Q>), отраженной (J>r>) и проходящей (J>d> ). Получаем:
(16)
Отношение потока отраженных частиц к потоку падающих
(17)
называют коэффициентом отражения. Отношение потока проходящих частиц к потоку падающих
(18)
называют коэффициентом прозрачности барьера.
Из закона сохранения числа частиц (уравнение непрерывности для тока) следует, что
(19)
(приведенные выше выражения для R и D позволяют непосредственно убедиться в справедливости этого равенства).
По классической
механике, если E>U>m>,
должно
иметь место R=0,
D=1
барьер
совершенно прозрачен. Из (15) следует,
что | В| 2
≠0 поэтому в квантовой механике R
> О, D
< 1. Частицы
частью
отражаются так же, как отражаются
световые волны
на границе двух сред.
Если энергия частицы Е меньше высоты барьера U>m> , то по классической механике имеет место полное отражение D = 0, R=1. При этом частицы совсем не проникают внутрь барьера. В оптике такой случай отвечает полному внутреннему отражению. Согласно геометрической оптике лучи света не проникают во вторую среду.
Более тонкое рассмотрение на основе волновой оптики показывает, что в действительности световое поле при полном отражении все же проникает в среду, от которой происходит отражение и если эта среда представляет собой очень тонкую пластинку, то свет частично проходит через нее. Квантовая механика в случае Е < U>m> (случай отражения) приводит к выводу, аналогичному выводу волновой оптики. Действительно, если E < U>m>, то показатель преломления п>т> является, чисто п>т> мнимой величиной (см. 4). Поэтому мы положим
(20)
Внося это
выражение для п>т>
в (14),
вычислим теперь |а|2.
Тогда, считая
получаем
(21)
Обозначая первый дробный множитель через D>o> (он не очень отличается от 1) и имея в виду значение k>6>, получаем
(22)
Таким образом, при E<.U>m>, в противоположность выводам классической механики, частицы проходят через барьер.
Явление прохождения через потенциальный барьер получило образное название туннельного эффекта.
Очевидно, что туннельный эффект будет иметь заметное значение лишь в тех случаях, когда D не слишком мал, т. е. когда
(23)
Нетрудно
видеть, что с туннельным эффектом мы
можем встретиться лишь в области
микроскопических явлений. Так, например,
для U>m>
— E
~ 10-11
эрг (около
десяти электрон-вольт),
μ
~ 10-11
(масса
электрона) и l
~ 10-11
cм,
из (22)
получим D
~ e-1.
Но если мы
возьмем, например, l=1
см, то из
той же формулы получим,
.
Увеличение массы частицы и превышение
U>m>
над Е
еще более
уменьшат D.
Подобным же образом можно показать,
что рассмотренное выше отражение
исчезает с ростом энергии частицы —
квантовая механика переходит в
классическую.
Формулу (22) для коэффициента прозрачности D, выведенную нами для прямоугольного барьера, мы можем обобщить и на случай барьера произвольной формы. Произведем сейчас это обобщение простым путем.
Пусть имеем потенциальный барьер U(x), изображенный на рис. 1, Представим его приближенно в виде совокупности прямоугольных барьеров с шириной dx и высотой U (х). Эти барьеры на рисунке заштрихованы. Частица, имеющая энергию Е, вступает в барьер в точке х = х>1 >и покидает его в точке х = х>2>. Согласно (22) коэффициент прозрачности для одного из этих элементарных барьеров равен

(потенциальная энергия U (х) должна быть достаточно плавной, чтобы dx можно было взять достаточно большим). Коэффициент прозрачности для всего барьера должен равняться произведению коэффициентов прозрачности для всех элементарных барьеров. Тогда показатели в формуле для D' сложатся, и мы получим
(24)
§ 2. Кажущаяся парадоксальность «туннельного эффекта»
Прохождение
частиц через потенциальные барьеры
представляется на первый взгляд
парадоксальным. Эту парадоксальность
усматривают в том, что частица, находящаяся
внутри потенциального барьера при
полной энергии Е,
меньшей
высоты барьера U>m>,
должна
иметь отрицательную кинетическую
энергию
,
и полная
энергия, как это имеет место
в классической
механике, является суммой энергий
кинетической и потенциальной:

В области,
где, U
(х) >Е,
это
бессмысленно, так как импульс р
есть
действительная
величина. Как раз эти области, как мы
знаем из классической механики недоступны
для частицы. Между тем, согласно квантовой
механике, частица может быть обнаружена
и в этой «запретной» области. Таким
образом, получается, будто квантовая
механика приводит к выводу, что
кинетическая энергия частицы может
быть отрицательной, а импульс частицы
мнимым. Этот вывод и называют парадоксом
«туннельного эффекта».
На самом деле
здесь нет никакого парадокса, а сам
вывод неверен. Дело в том, что, поскольку
туннельный эффект есть
явление квантовое
(при ħ → 0 коэффициент прозрачности D
(24) стремится к нулю), постольку он может
обсуждаться лишь в рамках квантовой
механики. Полную же энергию частицы
можно
рассматривать как сумму
кинетической и потенциальной энергий
только
на основе классической механики. Формула

предполагает,
что одновременно
знаем величину как кинетической
энергии Т, так и потенциальной U{х).
Иными
словами, мы приписываем одновременно
определенное значение координате
частицы х
и ее импульсу
р, что противоречит квантовой механике.
Деление полной энергии на потенциальную
и кинетическую
в квантовой механике
лишено смысла, а вместе с тем несостоятелен
и парадокс, основанный на возможности
представить полную энергию Е
как сумму
кинетической энергии (функция импульса)
и потенциальной энергии (функция
координат).
Остается лишь посмотреть, не может ли все же оказаться так, что путем измерения положения частицы мы обнаружим ее внутри потенциального барьера, в то время как ее полная энергия меньше высоты барьера. I
Обнаружить
частицу внутри барьера действительно
можно, даже если E<.U>m>;
однако
если фиксируется координата частицы
х, при
этом создается, согласно соотношению
неопределенности, дополнительная
дисперсия в импульсе
так
что уже нельзя
утверждать,
что энергия частицы, после того как
определили ее положение, равна Е.
Из формулы
для коэффициента прозрачности следует,
что частицы проникают заметным образом
лишь на глубину I,
определяемую равенством (23). Чтобы
обнаружить частицу внутри барьера, мы
должны фиксировать ее координату с
точностью ∆x < l.
Но тогда неизбежно возникает дисперсия
импульса
Подставляя
сюда l2
из (23), находим
(2.1)
т. е. изменение кинетической энергии частицы, вносимое вмешательством измерения, должно быть больше той энергии, которой ей недостает до высоты барьера U>m>. Приведем еще пример, иллюстрирующий это утверждение. Определить координату частицы, находящейся внутри потенциального барьера таким путем, что будем посылать - узкий пучок света в направлении, перпендикулярном к направлению движения частицы. Если пучок рассеется, то значит, на его пути попалась частица.
Как объяснялось выше, точность нашего измерения должна быть такова ∆X<l; с другой стороны, нельзя создать пучок света, ширина которого была бы меньше длины световой волны λ а следовательно, длина волны света должна быть меньше l, т. е.
(2.2)
так как
>,
>где
ω—частота световых колебаний, а с-
скорость света, то
отсюда следует, что

Встречающиеся в нерелятивистской механике энергии должны быть меньше собственной, энергии частицы μс2, поэтому
(2.3)
т. е. энергия применяемых в световом пучке квантов света должна быть больше, нежели разность между высотой потенциального барьера и энергией частицы. Таким образом, этот пример иллюстрирует положение о необходимости применить для измерения координаты приборы, обладающие достаточно большой энергией, чтобы можно было локализовать частицу.
§ 3. Холодная эмиссия электронов из металла
Если к металлу приложить большое электрическое поле (порядка 106 в/см) так; чтобы он являлся катодом, то такое поле вырывает электроны; получается электрический ток. Это явление получило название «холодной эмиссии». Она может быть легко истолковано на основе квантовой теории прохождения частиц через потенциальный барьер и притом, в общих чертах, в согласии с опытом.

Рис 3.1. Поле на границе металла.
Рассмотрим теорию этого эффекта, представляющую одно из наиболее
простых приложений теории прохождения через потенциальный
барьер. Обратимся сначала к картине движения электронов в
металле в отсутствие внешнего электрического поля.
Чтобы удалить электрон из металла, необходимо затратить некоторую работу. Следовательно, потенциальная энергия электрона в металле меньше, нежели вне металла. Наиболее простым образом этот факт может быть выражен, если мы примем потенциальную энергий электрона U (х) внутри металла равной 0, а вне металла равной С>0, так что потенциальная энергия имеет вид, изображенный на рис. 1. Схематизируя таким образом истинный ход потенциальной энергии, мы в сущности оперируем со средним полем в металле. На самой деле, потенциал внутри металла меняется от точки к точке с периодом, равным постоянной кристаллической решетки. Наше приближение соответствует гипотезе свободных электронов, так как, поскольку U (х) = О, внутри металла нет никаких сил, действующих на электрон.
Здесь рассмотрим вопрос о степени правильности такого приближений. Ограничимся лишь указанием на то, что рассмотрение электронов в металле как свободно движущихся частиц («электронный газ») позволяет уяснить многие явления в металлах и поэтому, в определенных рамках, является законным. Распределение по энергиям электронов этого газа таково, что подавляющее большинство электронов имеет энергию Е < С (при абсолютном нуле температуры электроны заполняют все уровни энергии от Е = 0 до Е = ε>0 >< С> >где ε>0> есть так нулевая энергия; Поток электронов металла, падающий изнутри металла на его поверхность, обозначим через J>o>. Так как электроны имеют энергию Е < С, то этот поток полностью отражается от скачка потенциала С, имеющего место на границе металл — вакуум.
Представим теперь себе, что наложено электрическое поле ع, направленное к поверхности металла. Тогда к потенциальной энергии электрона U (х) (рис. 1) добавится потенциальная энергия электрона в постоянном поле ع, равная - е عх> >(заряд электрона равен — е). Полная потенциальная энергия электрона будет тецерь равна

(3.1)
Кривая потенциальной энергии примет теперь иной вид. Она изображена на рис. 1 пунктиром. Заметим, что внутри металла нельзя создать большого поля, поэтому изменение U (х) произойдет лишь вне металла.
Мы видим, что образуется потенциальный барьер. По классической механике электрон мог бы пройти через барьер лишь в том случае, если его энергия Е > С. Таких электронов у нас очень мало (они обусловливают малую термоионную эмиссию). Поэтому никакого электронного тока по классической механике при наложении поля получиться не, должно. Однако, если поле ع достаточно велико, то барьер будет узок, мы будем иметь дело с резким изменением потенциальной энергии и классическая механика будет неприменима: электроны будут проходить через потенциальный барьер.
Вычислим коэффициент прозрачности этого барьера для электронов, имеющих энергию движения по оси ОХ, равную Е>х>. Согласно (1.24) дело сводится к вычислению интеграла

где х>х> и х>2> — координаты точек поворота. Первая точка поворота есть (рис. 1), очевидно, х>1> = 0, так как для всякой энергии Е>х> < С горизонтальная прямая Е>х>, изображающая значение энергии движения по ОХ, пересекает кривую потенциальной энергии в точке х = 0. Вторая точка поворота х>2> получится, как видно из чертежа, при

отсюда

следовательно,
(3.2)
Введем переменную интегрирования.

Тогда мы получим
(3.3)
Таким образом, коэффициент прозрачности D для электронов, обладающих энергией движения по оси ОХ, равной Е>х>, равен
(3.4)
Коэффициент этот несколько различен для разных Е>х>, но так как С > Е>Х>, то средний (по энергиям электронов) коэффициент прозрачности будет иметь вид
(3.5)
где
и ع>0>
— константы,
зависящие от рода металлов. Ток холодной
эмиссии будет равен

Эта зависимость тока от поля вполне подтверждается экспериментами.
§4. Трехмерный потенциальный барьер. Квазнстационарные состояния.
Рассмотрение задачи о прохождении через потенциальный барьер, отличалось той особенностью, что речь шла о потоке частиц, приходящих из бесконечности и встречающих на своем пути потенциальный барьер. В дальнейшем (теория радиоактивного распада, автоионизация атомов) нам встретятся такие случаи, когда речь будет идти о потоке частиц, выходящих из некоторой ограниченной области пространства (ядро атома, атом), окруженной, потенциальным барьером. Пусть сфера с центром в 0 и радиусом r>0> (рис. 1,а)

Рис.4.1. Потенциальный барьер, ограничивающий замкнутую область (r> >< r>0>)
Есть та поверхность, на которой потенциальная энергия U (r) принимает максимальное значение, так что для r < r>0>, U < U>m> и для r > r>0>, U < U>m>. Соответствующий пример графика U(г) дан на рис. 1, б. Допустим, что нас интересует прохождение через барьер частиц, первоначально находившихся внутри него. Соответственно предположению, что частицы, падающие извне, отсутствуют (нет «бомбардировки»), мы должны взять вне барьера лишь уходящие волны.
(4.1)
Это условие мы будем называть условием излучения. Ясно, что уравнение Шредингера
(4.2)
в этом случае может иметь лишь нестационарные решения. Действительно, применим закон сохранения числа частиц к сфере радиуса r:
(4.3)
Из (4.1) имеем,
(4.4)
и, стало быть,
(4.5)
т. е. среднее число частиц в объеме сферы V убывает, так что ψ не может гармонически зависеть от времени.
Задачу об истечении частиц из барьера можно решать, исходя из уравнения (4.2) с начальным условием. таким, что функция ψ (r, 0) отлична от нуля лишь внутри барьера (чтобы выразить тот факт; что при t = 0 частица находилась внутри барьера). Можно, однако, исходить из другого условия, до некоторой степени противоположного, именно считать, что истечение частиц происходит уже давно и значительная часть их уже находится вне барьера.

Рис 4.2 Потенциальный барьер, ограничивающий замкнутую область (r < r>1>) и имеющий простую прямоугольную форму.
Такой подход к решению мы рассмотрим подробнее. Он удобен тем, что допускает разделе r и t в уравнении (4.2) Положим сразу

При этом величина Е будет комплексной, и ее нельзя рассматривать как энергию частиц. Положим
(4.7)
Тогда среднее число частиц в объеме V>0>, заключенном внутри барьера, согласно (4.6) и (4.7), будет

т.
е.
(4.8)
Величина λ - константа распада. Подстановка (46) в (4.2) дает
(99.9)
Чтобы выяснить принципиальную сторону дела, мы рассмотрим схематичный пример, взяв форму барьера U (r), изображенную на рис. 4.1. Рассмотрим далее, для простоты, состояния с орбитальным моментом, равным нулю: / = 0. Тогда, полагая
(4.10)
мы получим из (4.9)
(99.11)
Согласно нашему предположению о виде U (г) уравнение (99.11) разобьется на три;
(99.12) (99.12")(99.12'):
где:
(99.13):
Решения этих уравнений имеют вид
(99.14)
(99.14') (99.14")
Из условия конечности ψ в нуле следует, что
(99.15)
Кроме того, условие излучения дает b = 0 (только уходящие волны). Краевые условия на границах r = r> 1> и r = r> 2>, как мы установили в § 1, сводятся к равенству функций и их первых производных

(99.16) (99.16’) (99.17) (99.17')
На этот раз мы имеем четыре однородных уравнения для четырех коэффициентов A, α, β, а. Поэтому необходимо, чтобы определитель ∆ системы уравнений (4.16) и (4.17) обращался в нуль. Несложные вычисления дают
(4.18)
где l означает ширину барьера r>2> - r> 1> (4.18) есть трансцендентное уравнение для k. Определим его корни приближенно, считая ql » l. Тогда в нулевом 'приближении можно отбросить член с e -gl, и мы получаем
(4.19)
Это — точное уравнение для нахождения собственных значений потенциальной ямы (0, r>1>, U>m>), изображенной на рис. 4.2 и получаемой из потенциального барьера рис. 4.2 при r>2> = ∞. В такой потенциальной яме имеются дискретные уровни энергии (для E<.U>m>). Если корни уравнения (4.19) обозначить через k>01>, k>O>>2>,… k>n>,…, то энергия этих уровней будет (согласно (4.13)) равна
(99.20)
Корни
действительны, если λ = 0, и по порядку
величины равны
.
В этом случае мы имеем стационарные
состояния. При конечной
ширине барьера асимптотическое поведение
потенциальной энергии таково, что
U(r)>r>>→∞
>< Е,
и вместо
дискретного спектра (4.20) мы получаем
непрерывный. Однако условие излучения
выбирает из непрерывного спектра уровни,
близкие к Е>оп>,
но они не
будут теперь стационарными (
λ>п>
≠ 0). При
малых λ>п
>они
будут почти стационарными. Это —
квазистационарные
уровни. Определим величину λ>п>,
считая ее
малой. Для этого разложим член с eql
в (4.18) по
степеням ∆k
= k
— ko,
где k>0>
— один из
корней уравнения (4.19), для стационарных
состояний потенциальной ямы, а в член
с e-gl
подставим
k
= k>0>;
замечая,
что

получим

Отсюда находим ∆k
При этом малую
поправку к действительной части k>0>
мы также
можем
опустить, как не представляющую интереса.
Мнимая же
часть будет равна .
' (99.21)
Пренебрегая
также малой поправкой к действительной
части , k
в (4.13), мы
можем положить
.
Из (4.13)
получаем
.
(4.22)
Сравнивая это с предыдущим выражением для ∆k, мы находим
(4.23)
Имея в виду,
что
есть
скорость частицы v>0>
внутри
барьера и что k>0
>≈ 1/r>1
>= 1/r>0>
(r>o>>
>радиус
ямы), мы получаем из (4.23) И (4.13)
(4.24)
Эта формула
имеет простое наглядное толкование.
есть
число ударов
частицы о внутреннюю стенку барьера в
1 сек, а
экспоненциальный множитель есть
коэффициент прозрачности.
Отметим еще
некоторые особенности рассмотренной
задачи. Мнимое значение волнового
вектора к
приводит к тому, что интенсивность
излучаемой волны
неограниченно растет по мере удаления
от потенциального барьера
.
Рост ψ>111>
вытекает из требования, чтобы имелось
только, излучение, и отвечает тому факту,
что на больших расстояниях находятся
частицы, вылетевшие раньше, еще тогда,
когда интенсивность | ψ>1
>|2
внутри самого барьера была больше.
Однако в нашем методе решения мы не учли
того обстоятельства, что излучение на
самом деле когда-то началось (а не длилось
все время от t=∞)
и что к
моменту начала излучения |
ψ>1
>|2
было конечно. Поэтому наш вывод о том,
что ψ>111>
> ∞ при r
→ ∞, вывод,
относящийся к частицам, вылетевшим
очень давно, неверен, и само найденное,
решение справедливо; лишь для небольших
r,
именно для

Отметим, что в связи с формулой (4.7) в литературе часто говорят о мнимой энергии. Следует иметь в виду, что такое выражение имеет лишь чисто формальный смысл. Найденное вами состояние

не есть стационарное состояние с определенным значением энергии (стационарные состояния гармонически зависят от времени).
Чтобы определить
вероятность найти то или иное значение
энергии Е
в этом
состоянии, нужно разложить ψ (г, t)
по
собственным функциям ψ>E>>
>(r)
оператора
.
Так как U
(r)
> 0, то
собственные значения этого оператора
образуют непрерывный спектр 0 ≤ E
< +∞ ; Если положить
(4. 26)
то w (Е) dE'= | С (Е) |2 dE дает искомую вероятность. Однако мы не можем воспользоваться для вычисления С (Е) функцией ψ (r, t) (4.25), так как она правильна лишь для не очень больших r. Поэтому мы изберем обходный путь, именно, будем считать, что ψ(г, t) имеет корректное поведение в бесконечности, а начальная функций ψ (г, 0) отлична от нуля заметным образом лишь внутри барьера, так что вид функции ψ (г, 0) соответствует тому факту, что при t = 0 частица находится во внутренней области барьера. Определим амплитуду a (t)-, с которой представлено состояние ψ (r, 0) в состоянии ψ (r, t). Имеем
(4. 27)
Подставляя сюда ψ (r, t) и ψ* (г, 0) из (4.26) и пользуясь ортогональностью функций ψе (r), найдем
(4.28)
Величина Р (t) = | a (t) |2 дает, очевидно, закон распада состояния ψ{г, 0). Как видно, форма этого закона определяется распределением энергии ω (Е) dE в начальном состоянии.
Вернемся теперь к нашей задаче. Выберем ψ (г, 0) так, чтобы ψ (г, 0) = ψ (г) внутри барьера и ψ (г, 0) = 0 вне его. Подставляя теперь ψ (г, t) из (4.25) в (4.27), мы можем игнорировать возрастание ψ >0 >(г) вне барьера, так как там ψ (r, 0) = 0. В силу совпадения ψ (r, 0) и ψ (r) внутри барьера и считая, что ψ (г, 0) нормировано к 1, получим
(4.29)
На основании (4.28), теперь нетрудно убедиться, что w {E) dE должно быть равно
(4.30)
т. е. мы получаем
дисперсионную формулу для распределения
энергии. Величину
называют шириной
квазистационарного
уровня E>0>.
Если через τ = 1/λ обозначить среднюю
продолжительность жизни частицы в
состоянии ψ (г, 0) = ψ>0>
(г), то мы получаем
(4.31)
— соотношение между шириной квазистационарного уровня и длительностью жизни частицы на этом уровне.
§ 5. Теория радиоактивного α – распада
Известно, что многие радиоактивные элементы распадаются, испуская α - частицы. По вылете из атомного ядра α - частица, имея двукратный положительный заряд (+2е), ускоряется в кулоновском поле атомного ядра, заряд которого обозначим через Ze (под Z будем подразумевать номер элемента после вылета α - частица, Z = Z' — 2, если Z' есть номер элемента до радиоактивного распада).
Большая прочность α - частицы позволяет предполагать, что она существует в ядре в виде самостоятельного объекта, являясь одним из простых образований, из которых строится атомное ядро. Ясно, что α - частицы может длительно находиться в атомном ядре лишь в том случае, если область вблизи атомного ядра является минимумом потенциальной энергии α - частицы. Кулоновская потенциальная энергия α - частицы, равная 2Ze2/r, где r — расстояние от ядра до частицы, по мере приближения к ядру, как это изображено на рис. 5.1 пунктирной кривой, все время возрастает монотонно. Поэтому минимум энергии вблизи ядра может получиться лишь в том случае, если на близких расстояниях на α - частицы действуют какие-то иные силы, помимо электрических. Такими силами являются ядерные силы, действующие между нуклонами. Эти силы весьма велики и действуют лишь на очень малых расстояниях. Именно этими силами и обусловливается смена кулоновского отталкивания на резкое притяжение вблизи ядра, изображенное на рис. 5. 1 сплошной кривой. Такое поведение потенциала называют образованием потенциальной ямы или, кратера. При наличии таких сил α - частицы, находящаяся в области r < r>0>, т. е. в поле сил притяжения, будет длительно удерживаться внутри ядра.

Рис. 5. 1. Кривая потенциальной энергии α – частицы в функции расстояния от ядра (r, U>m>, r'). Та же кривая схематизирована (r, U>m>, r>0>) (резкое падение после r>0>).
Как же происходит α - распад? Долгое время это оставалось загадкой. Еще Кельвин предполагал, что частицы, испускаемые радиоактивным элементом, как бы кипят внутри потенциального кратера. Время от времени одна из частиц получает избыток - энергии над средней, преодолевает барьер и, вылетев за него, ускоряется отталкивательным полем, приобретая большую энергию.
Однако эта наглядная картина, как было показано Резерфордом, противоречит опыту. Резерфорд бомбардировал атомы радиоактивного урана α -частицами тория С'. Энергия α -частиц тория С' равна 13 · 10 -6 эрг. Такие частицы, преодолевая кулоновское отталкивание, могут весьма близко подойти к ядру. Оценим расстояния наибольшего сближения r>1>. Очевидно, что r>1> есть то расстояние, при котором потенциальная энергия частицы 2Z'e2/r>1> будет равна исходной кинетической, т.е. 2Z'e2/r>1> = 13· 10 -6 эрг, : Z' есть номер урана и равен 92.. Поэтому мы находим, что r>1> = 3-10-12см.
Наблюдение показывает, что рассеяние таких частиц строго такое, каким оно должно быть при действии на α - частицы кулоновского поля. Это означает, что ядерные силы начинают действовать на α - частицы расстояниях меньших, нежели 3 · 10 -12 см. Поэтому α -частицы, заключенные в ядре, находятся внутри области, радиус которой меньше 3 • 10-12 см.
С другой стороны, уран сам является радиоактивным элементом и испускает α -частицы. Измерение энергии этих частиц показывает, что она равна 6,6 · 10-6 эрг.
Эти α -частицы
вылетают из ядра, т. е. с расстояний,
меньших 3 · 1О-12
см. Тогда,
ускоряясь в кулоновском поле, они должны
были бы приобрести энергию, равную
высоте потенциального барьера (см. рис.
5. 1) и во всяком случае большую, нежели
,13 · 10 -6
эрг. Получается
же так, как если бы они вылетали с
расстояния r
= 6 · 10 -12
см.
Таким
образом, опыт приводил с точки
зрения классической
физики к парадоксальному положению:
нужно
было предположить, что кулоновское
электрическое поле ядра действует на
падающие извне α - частицы, но не действует
на вылетающие на ядра, либо считать, что
закон сохранения энергии не выполняется
при радиоактивном распаде.
Решение этого парадокса вытекает из квантовой механики, приводящей к возможности туннельного эффекта через потенциальный барьер, разделяющий область притяжения (r < r>0>) от области отталкивания (r > г>0>).
В самом деле, тогда парадокс полностью решается: частица, находящаяся внутри ядра, может иметь энергию, меньшую, нежели высота барьера, и все же пройти через него. Частица же, пролетающая извне, ввиду малой прозрачности барьера лишь в очень редких случаях будет захватываться ядром (так как время пребывания ее около ядра очень - мало). Поэтому рассеяние α - частиц, падающих извне, будет обусловливаться кулоновскими силами, действующими за пределами барьера. Предположенная малая прозрачность барьера, согласуется с тем фактом, что периоды радиоактивного α - распада весьма велики.
Применяя теорию прохождения через потенциальные барьеры, легко облечь изложенную идею в математическую форму и найти выражение для константы радиоактивного распада λ - эта константа определяется следующим образом. Если имеющееся к моменту времени t число нераспавшихся атомов N, то dN будет равно
(5.1)
Для вычисления константы распада λ мы можем применить квантовую теорию просачивания частиц через потенциальные барьеры, изложенную в предшествующем параграфе. Согласно этой теории α - частицу внутри ядра следует рассматривать как находящуюся в «квазистационарном» состоянии. Обозначая скорость частицы в этом состоянии через υ>i>,-, радиус барьера через r>0> и его коэффициент прозрачности через D, мы получим
(5.2)
Остается вычислить D. Ввиду более сложной формы барьера вместо (4.24) мы получим (см. (1.24))
(5.3)
Из рис. 5.1 следует, что первая точка поворота r'>1> есть г>0> (радиус ядра), вторая (г>2>) определится из условия
(5.4)
Таким образом,
(100.5)
Вводя сюда
новую переменную
%
, мы получаем
(5.5')
и,
полагая, наконец, ещеm
ξ = cos2u,
мы без труда вычислим порученный
интеграл
(5.5')
Воспользуемся
тем, что отношение
меньше, единицы, и {разложим Uо
и sin2
Uо
в ряд по степеням
(достаточно ограничиться двумя
первыми членами). Тогда мы получим
.
(5.7)
где υ
– скорость вдали от ядра, равная
.
Итак, выражение для константы распада
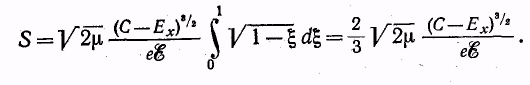
(5.3) раскрывается слёдующим образом:
(5.8)
или
(5.9)
Наиболее замечательным выводом из этой формула является зависимость между λ и скоростью λ - частицы v. Подобная зависимость еще задолго до квантовой теории этого явления была установлёна на опыте Гайгером и Нэттолом.
Далее мы видим, что 1nλ зависит от номера элемента Z (Z = Z'— 2) и радиуса ядра.
Из опыта известно, что константы распада варьируются в очень |широких пределах: от 106 сек-1 до 10-18 сек-1. Если бы в таких же пределах приходилось варьировать параметры, определяющие λ, то теория была бы наверно неправильной. Замечательным следствием формулы (5.9) является то, что если по эмпирическим данным для λ определять радиусы ядер, то окажется, что они все лежат в тесных границах, примерно от 5 · 10 -12 см до 9 · 10-12 см. Значительное различие в величине λ для разных элементов определяется не различием в радиусах ядер, а различием в энергии вылетающих частиц. Слабую зависимость λ от r>0> и резкую от v следует рассматривать как подтверждение теории.
§ 6. Ионизация атомов в сильных электрических полях
Подобно тому, как сильное электрическое поле вырывает электроны из металлов оно вырывает их также и из отдельных атомов газа. Явление это называют иногда «автоионизацией» атомов и его причину легко понять, если рассмотреть вид потенциальной энергии электрона, в атоме при наличии внешнего электрического поля. Пусть, потенциальная энергия электрона в отсутствие внешнего поля есть U (r). Внешнее электрическое поле ξ пусть направлено по оси OZ. Тогда вся потенциальная энергия электрона равна
(6.1)
.
Рис. 6.1. Сложение атомного и внешнего поля.
Рассмотрим вид потенциальной кривой на оси OZ(x = y = 0, r = | z |). В отсутствие внешнего поля (ξ = 0) U' = U (r) и имеет вид, изображенный на рис. 6.1 пунктиром. Дополнительная потенциальная энергия во внешнем поле еξz изобразится пунктирной прямой аа'. Кривая полной потенциальной энергии U, получающаяся сложением, проведена на рис. 6.1 сплошной линией а'b' и ab. Мы видим, что около точки z>0> образуется потенциальный барьер, разделяющий пространство на две области: внутреннюю z > z>0> и внешнюю z < z>0>, в каждой из которых потенциальная энергия U' меньше U' (z>0>) = U>m>. На рис. 6.1 приведены также два уровня энергии Е` и Е". Если энергия Е = Е" > U>m>, то электрон не будет удерживаться вблизи атома, а будет удаляться в область отрицательных z. Если же энергия электрона Е = Е' < U>m>, то, согласно законам классической механики, электрон останется во внутренней области. По квантовой механике в этом случае просачивание через барьер все же будет иметь, место. Таким образом, здесь создается положение вещей, вполне аналогичное тому, которое имеет место при радиоактивном распаде.
Теперь уже совсем нетрудно понять причину ионизации атомов полем. При включении поля получается барьер, через который электроны проникают во внешнее пространство. Если высота барьера U>т> меньше энергии электрона, то частицы будут проходить («над барьером») и по классической механике. Поэтому и классическая механика приводит к возможности ионизации атома внешним электрическим полем. Различие заключается лишь в том, что по законам квантовой механики эта ионизация должна наступать при меньших полях, нежели это предписывается механикой классической, так как, согласно квантовой механике, для возможности ионизации не нужно, чтобы барьер оказался ниже энергии электрона. Ясно, однако, что при малых полях барьер будет очень широким и прозрачность его будет очень мала.
Явление автоионизации можно наблюдать таким образом: допустим, что мы наблюдаем какую-либо спектральную линию, обусловленную электронным переходом из состояния Е` в Е>о >(см. рис. 6. 1). По мере увеличения электрического поля эта линия будет смещаться (Штарк - эффект), и если поле достигнет столь большой величины, что прозрачность барьера будет велика, то электрон в состоянии Е` будет чаще вылетать из атома, проходя через барьер (ионизация), нежели падать в нижнее состояние (Е>о>), излучая свет. Благодаря этому спектральная линия будет слабеть, пока, наконец, совсем не исчезнет. Это явление можно наблюдать на бальмеровской серии атомного водорода.
Для того чтобы иметь возможность проследить действие электрического поля различной напряженности, устраивают так, что различные части спектральной линии обусловливаются светом, исходящим от атомов, находящихся в полях различной силы. Именно, в объеме светящегося газа электрическое поле возрастает в направлении, параллельном щели спектроскопа (до некоторого предела, достигнув которого оно вновь

Рис 6.2 Расщепление спектральных линий бальмеровской серии при больших электрических полях
падает). На фотографии (см. рис. 6.2) рис приведены результаты подобного опыта. Буквами β, γ, δ, ε, ζ, обозначены линии серии Бальмера ( Н>β> — переход n = 4 → n = 2, Н>γ> — переход n = 5 → n = 2, Н>δ> — переход n = 6 → n = 2 и Н>ε> — переход n = 7 → n = 2 ). Приложенное электрическое поле растет снизу вверх. Белые линии на фотографии суть линии одинаковой напряженности поля. Из фотографии видно, что линии сначала расщепляются. Это расщепление увеличивается по мере роста поля (из расщепления линии Н>β> легко видеть положение линии максимальной напряженности поля). При некоторой напряженности поля спектральная линия исчезает.
Сравнение линий β, γ, δ, ε, показывает, что они исчезают в последовательности ε, δ, γ (при достигнутых полях β полностью не исчезает). Это есть последовательность возрастания энергии возбужденного состояния. Из рис, 6.1 явствует, что чем выше энергия электрона, тем меньше при заданном поле ширина и высота барьера, т. е. тем больше его прозрачность. Таким образом, наблюдающаяся последовательность в исчезновении спектральных линий вполне соответствует нашему толкованию этого явления как результата туннельного эффекта. То обстоятельство, что красные компоненты расщепленных линий исчезают раньше фиолетовых, также получает полное разъяснение при более детальном рассмотрении волновых функций электрона. Именно, состояния, отвечающие линиям, смещенным в красную сторону, обладают тем свойством, что в них интенсивность электронного облака больше в области барьера, нежели в состояниях для фиолетовых компонент. Благодаря этому ионизация протекает более благоприятным образом.
Сформулируем
несколько детальнее те условия, при
которых следует ожидать исчезновений
спектральной линии в электрическом
поле. Пусть вероятность оптического
перехода электрона в нижнее состояние
будет 1/τ (τ —время жизни в возбужденном
состоянии). Время жизни электрона в
возбужденном состоянии τ ≈ 10 -8
сек.
Вероятность
перехода электрона в нижнее состояние
в 1 сек будет
1/τ. Вероятность туннельного эффекта
(ионизации) будет равна (так же, как
и. при расчете радиоактивного распада)
числу ударов электрона о внутреннюю
стенку потенциального барьера в 1
сек,
умноженному
на коэффициент прозрачности D.
Число
ударов о барьер по порядку величины
равно v/2r>0>,
где v
— скорость электрона, а r>0>
— радиус
барьера, примерно равный радиусу орбиты
а.
Скорость равна, опять-таки по порядку
величины
,
где |Е| —энергия электрона, a
μ—его масса.
Следовательно,
сек
-1 (6.2)
(так как
.
Следовательно,
вероятность автоионизации равна
1016
D
сек-1.
Чтобы
преобладала автоионизация (условие
исчезновения спектральной линии), нужно,
чтобы 1/τ < D
· 1016,
т.е. D
>10-8.
Количественная теория автоионизации находится в хорошем согласии с опытом.
Заключение.
Список литературы
|
1. |
Физический Энциклопедический словарь Издательство «Советская энциклопедия», Т. 5, М. 1966 год. |
|
2. |
Физическая Энциклопедия Издательство «большая российская энциклопедия», Т. 5, М. 1998 год. |
|
3. |
Д. И. Блохинцев, основы квантовой механики, Издательство «Наука», М. 1976 год. |
|
4. |
|
|
5. |
|
|
6. |

