Ландшафтный парк сохраняет степные эфемероиды
Ландшафтный парк сохраняет степные эфемероиды
С.А. Решетов (Клуб "Белые Вороны", Днепрорудный), Ю.В. Солоп (РЛП "Панай", Днепрорудный)
О, сколько их на полях!
И каждый цветет по своему, -
В этом высший подвиг цветка.
Мацуо Басё
Анализируя Красную книгу Украины, можно сделать грустный вывод о катастрофическом состоянии популяций эфемероидов в регионе Нижнего Приднепровья в целом и на территории Регионального ландшафтного парка "Панай" в частности.
Работа, проведенная на протяжении 1998-2004 гг. сотрудниками парка и членами молодежной общественной организации "Клуб "Белые Вороны", показала, что ситуация совсем не так плоха. В ходе полевых обследований рекреационной и заповедной зон парка были обнаружены, картографированы и нанесены на картосхему значительные популяции брандушки разноцветной, тюльпанов гранитного, дубравного и Шренка, птицемлечника Буше.
В период создания регионального ландшафтного парка "Панай" (1996-1998 гг.) первоначальные исследования показали присутствие в его биоценозах эфемероидов, занесенных в Красную книгу Украины. Систематическое научное изучение состояния популяций первоцветов в нашем регионе совпало с началом общественной кампании "Первоцветы Запорожья", инициированной Ассоциацией экологического образования (В.И. Шелегда). Клуб "Белые Вороны" и научный отдел РЛП "Панай" образовали удачный тандем, в котором объединились опыт научных сотрудников и энтузиазм молодежи города Днепрорудного.
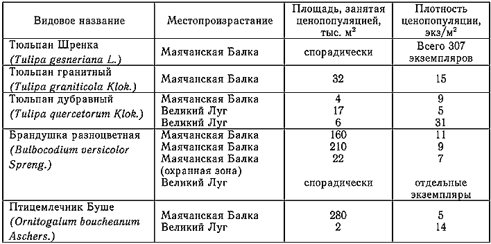
Для изучения популяций эфемероидов был избран случайно-регулярный способ. Он состоит в том, что пробные площадки закладываются по сторонам и диагоналям каждой конкретной ценопопуляции. Это дает приемлемую оценку численности, поскольку растения сравнительно равномерно распределены на значительной территории. Для исследования ценопопуляций на склонах трансекты закладывались поперек склона. В качестве счетной единицы использовалась особь (экземпляр). Некоторые результаты учетов приведены в таблице внизу страницы.
Данные таблицы, на наш взгляд, опровергают положения Красной книги Украины о редкости и малочисленности эфемероидов в нашем регионе.
Кроме этого, четко прослеживается тенденция к увеличению ценопопуляций первоцветов после введения режима абсолютной заповедности. Так, в заповедной Маячанской Балке ценопопуляция тюльпана Шренка выросла с 9 экземпляров (1996 год) до 307 экземпляров (2004 год), наблюдается постоянный рост популяций брандушки разноцветной и птицемлечника Буше. Помимо упомянутых в таблице, на территории РЛП "Панай" поддерживаются популяции таких видов, как гиацинтик бледноватый, птицемлечник Гуссона, гусиный лук луковиценосный.

На сопредельных территориях, не включенных в природоохранный фонд, учеты не проводились, но наблюдения показали значительную деградацию популяций первоцветов. Главными факторами уменьшения численности степных эфемероидов в нашей местности являются береговая абразия Каховского водохранилища, водная эрозия, ведущая к резкому росту оврагов и, особенно, антропогенное давление (самовольные свалки, перевыпас домашнего скота, огородное хозяйство).
Таким образом, мы считаем, что резко сократить отрицательное воздействие человека на состояние популяций эфемероидов и степей Нижнего Приднепровья в целом можно, только создав на базе РЛП "Панай" национальный природный парк "Великий Луг", территория которого включит все основные местообитания этих видов.
Важной задачей для нас остается решение острой проблемы пресечения незаконного сбора, транспортировки и продажи первоцветов. Мы с гордостью можем сказать: в городе Днепрорудном уже три года первоцветами не торгуют! Рейдовые бригады работников РЛП "Панай", "Белых Ворон", милиции полностью контролируют ситуацию на рынках города на протяжении с января по март - то есть тех месяцев, на которые приходится львиная доля незаконного оборота первоцветов. Традиционными для нас стали городские конкурсы рисунка, плаката, стихотворения экологической тематики. Дважды, в 2002 и 2003 годах, клуб "Белые Вороны" становился победителем Всеукраинского конкурса "Первоцветы Украины". Приятным фактом признания наших усилий стала довольно значительная финансовая поддержка клуба "Белые Вороны" горсоветом и райгосадминистрацией в последние годы.
Таким образом, комплексное решение проблемы сохранения и приумножения популяций эфемероидов на территории РЛП "Панай" позволяет нам делать оптимистические выводы и прогнозы.
Список литературы
Для подготовки данной применялись материалы сети Интернет из общего доступа