Детские дошкольные учреждения – сады-ясли
Министерство общего и профессионального образования РФ
Восточно-Сибирский Государственный Технологический Университет
Кафедра: Промышленное и гражданское строительство
Р Е Ф Е Р А Т
по специальности: «Промышленное и гражданское строительство»
на тему: Детские дошкольные учреждения – сады-ясли
Выполнил: ст-т СФ курса V гр. 315-1 Шестаков Д. В.
г. Улан – Удэ
2000 год
Содержание
Введение…………………………………………………………………...
Типы зданий детских дошкольных учреждений…………………….
Функциональный процесс…………………………………………….
Особенности объемно-планировочного решения……………………
Композиция зданий детских дошкольных учреждений………
Особенности конструктивного решения………………………………
4.1. Конструкции зданий детских дошкольных учреждений…………..
4.2. Особенности технико-экономической оценки проектов детских дошкольных учреждений…………………………………………………..
4.3. Комплексная технико-экономическая оценка
4.4. Влияние компактности зданий детских дошкольных учреждений..
Особенности технологии и организации строительства………………
Требования Гражданской обороны……………………………………..
Список литературы ……………………………………………………….
Введение
Двадцатое столетие для рядя стран Европы характерно процессами интенсивной урбанизации в связи с индустриализацией производства и соответствующим размахом градостроительной деятельности.
В нашей стране процесс урбанизации привел к исключительно острой проблеме обеспечения жилищем и общественным обслуживанием населения. Рост жилищного строительства не мог обогнать темпов роста городского населения, средняя обеспеченность которого общей площадью упала к началу 50-х гг. до 7 м2/чел. При функционально-гигиеническом нормативе 18 м2.
Строительство зданий дошкольных и школьных учреждений имеют огромное значение наряду с жилищным строительством.
Задачами общественного воспитания в детских дошкольных учреждениях являются всестороннее развитие ребенка, обеспечение охраны его здоровья, правильное физическое и умственное воспитание; нравственное и эстетическое воспитание.
Содержания и методы воспитательной и оздоровительной работы детских дошкольных учреждений построены дифференцировано для каждой возрастной группы с учетом психофизических особенностей детей каждого возраста
В данном реферате приведены характеристика и типизация зданий дошкольных учреждений.
1. Типы зданий детских дошкольных учреждений
Детские учреждения – наиболее массовый тип общественных зданий; их классифицируют по ряду признаков.
По возрастному признаку детские учреждения подразделяются на детские ясли – до 3 лет, детские сады – от 3 до 6(7) лет и объединенные детские ясли-сады. Ясли-сады имеют наибольшее распространение, т. к. в них повышается качество и обеспечивается экономия обслуживания, достигается преемственность в воспитании детей, предоставляются удобства родителям, имеющим детей разного возраста, а в некоторых сельских населенных пунктах иногда возводят здания, объединяющие ясли, сад и общеобразовательную начальную школу, обеспечивая этим неразрывность педагогического процесса, медицинское обслуживание и тд.
По величине различают здания на 1, 2, 6, 8, 10, 12 и 14 групп. Считая, что в младшей группе детей ясельного возраста 15 человек, в средней и старшей – 20 человек, а в группе детского сада – 25, величину определяют по количеству мест: 25, 50, 95, 145, 195, 240, 290 и 340.
Табл.
Возрастные группы
-
Группы
Количество мест в группе
Ясельные:
младшая (от 2 мес. до 1 года)
15
средняя (от 1 года до 2 лет)
20
старшая (от 2 до 3 лет)
20
Дошкольные:
младшая (от 3 до 4 лет)
25
средняя (от 4 до 5 лет)
25
старшая (от 5 до 6 лет)
25
Подготовительная (от 6 до 7 лет)
25
Комплексы детских яслей-садов создают на основе централизации хозяйственных помещений вместимостью 24 группы и более (560 мест и более).
По градостроительным ориентировочным подсчетам средняя по стране суммарная вместимость детских яслей-садов составляет приблизительно 70…90 мест на 1000 жителей. Однако в каждом конкретном районе, населенном пункте при установлении потребности в детских дошкольных учреждениях эта норма корректируется.
Для жилых образований с 4…5-этажной застройкой и населением более 4000 жителей наиболее приемлемы с точки зрения экономичности строительства (эксплуатации), а также затрат здания детских яслей-садов на 280 и 330 мест. При численности жителей менее 4000 целесообразны здания на 140 и 190 мест.
Здания, объединяющие детские ясли-сад и начальную общеобразовательную школу, проектируют вместимостью соответственно 25…40 и 50…80 мест.
По времени работы детские дошкольные учреждения подразделяются на дневные, с пребыванием в них детей от 9 до 14 часов в сутки, и круглосуточные, в которых дети находятся в течении 24 часов пять дней в неделю. В смешанных детских садах-яслях часть групп – дневные, часть – круглосуточные. Кроме того, различают круглогодичные с сезонные детские дошкольные учреждения (летние дачи).
По назначению выделяют детские дошкольные учреждения общего типа для детей с нормальным физическим и умственным развитием; учреждения специального назначения и санитарно-оздоровительного типа для нездоровых или ослабленных детей, а также дома ребенка для детей, лишившихся родителей.
Детские сады-ясли располагают на обособленных участках территории жилой застройки, причем так, чтобы обеспечивать нормативный радиус обслуживания населения – 300 метров. Здания детских садов-яслей должны отстоять от красной линии не менее чем на 25 м.
Детские дошкольные учреждения должны занимать лучший в природном и санитарном отношении участок: хорошо проветриваемый и инсолируемый, граничащий с озелененными территориями, не имеющий вредных соседств.
Площадь земельного участка, занимаемого детским дошкольным учреждением, определяется вместимостью и природно-климатическими условиями района строительства.
Размеры участков зависят от величины учреждения: в детских садах-яслях на 90 мест – 40 м2 на 1 место, на 140…320 мест – 35 м2, в комплексах яслей-садов на 560…640 мест – 30 м2; размеры участка могут быть уменьшены на 30…40% в климатических подрайонах IA, IБ, IГ, IД и IIA и на 15% - при строительстве на рельефе с уклоном более 20%.
2. Функциональный процесс

Здания
детских дошкольных учреждений состоят
из трех основных групп помещений:
собственно детских групп, общих для
всех детских групп и административно-хозяйственных.
К помещениям детских групп относятся
раздевальные и приемные, игральные и
групповые, спальни, туалетные, буфетные.

В
детском дошкольном учреждении ребенок
прежде всего попадает в приемную (в
ясельных группах) или в раздевальную
(в группах детского сада), в которой
детей осматривают, принимают от родителей
и переодевают; там хранится и сушиться
верхняя одежда детей.
При входах, ведущих в групповые ячейки, следует предусматривать оборудованные места для хранения колясок, санок и лыж.

Из
приемной или раздевальной ребенок
направляется в игральную (в ясельных
группах) или в групповую (в группах
детского сада). Игральные и групповые
являются главными помещениями детских
учреждений, в них дети проводят основное
время, играют и питаются. Непосредственно
к игральной или групповой примыкают
буфетная и помещение для туалета детей.
Туалетная в яслях представляет собой
одно помещение, в детских садах туалетная
состоит из двух помещений: умывальной
и уборной.
Для дневного и ночного сна детей на свежем воздухе и игр в ненастную погоду в состав помещений детских групп включены спальни, которые желательно оборудовать встроенными откидными кроватями. Между групповой и спальной делается раздвижная перегородка. Спальни младшей ясельной группы разделены на две зоны остекленной перегородкой. Из детской комнаты или групповой желательно устраивать окно в спальню для наблюдения за детьми.
В детских дошкольных учреждениях для I климатического района предусматриваются неотапливаемые прогулочные веранды из расчета 2,5 м2 на 1 место для детей ясельного возраста и 2 м2 на 1 место для детей дошкольного возраста.
Важнейшим требованием к планировке зданий детских учреждений является хорошая изоляция детских групп друг от друга. В этих целях желательно (а для ясельных групп обязательно), чтобы все помещения каждой группы были скомпонованы в самостоятельный комплекс с отдельным входом (групповая ячейка). Допускается общий вход в две ясельные группы при расположении их на втором этаже. Для групп детского сада допускается общий вход на четыре группы.


К
помещениям, общим для всех детских
групп, относятся: залы для музыкальных
и гимнастических занятий с кладовой
для хранения физкультурного инвентаря,
методический кабинет, изолятор,
медицинская комната, процедурный кабинет
с помещением для приготовления
дезинфицирующих средств. Залы для
гимнастических занятий устраиваются
во всех детских учреждениях вместимостью
4 и более групп, а начиная с 12 групп –
устраиваются еще и залы для музыкальных
занятий и проектируются из расчета
площади на одно место соответственно
не менее 2 и 4 м2.
Располагать их можно на любом этаже.
В комплексах детских яслей-садов, а также в зданиях детских дошкольных учреждений с числом детей в дошкольных группах не менее 200, в IA, IБ и IГ климатических подрайонах и в сельской местности при обслуживании группы взаимосвязанных населенных пунктах допускаются крытые плавательные бассейны с ванной 3х7 м.
Залы для музыкальных и физкультурных занятий проектируются из расчета площади на одно место соответственно не менее 2 и 4 м2.
Табл.
Площади помещений в групповой ячейке
|
Помещения |
Минимальные площади помещений на одного ребенка в учреждениях, м2 |
||
|
Дошкольного общего типа |
специализированного дошкольного |
||
|
ясли |
сад |
||
|
Раздевальная |
0,9 |
0,72 |
1,2 |
|
Групповая с зонной отдыха |
4,3 |
4,0 |
5,7 |
|
Туалет |
0,8 |
0,65 |
1,0 |
|
Буфетная |
0,15 |
0,15 |
0,2 |
|
Комната для специальных занятий |
_ |
_ |
1,6 |
Для временной изоляции заболевших детей в детских учреждениях предусматривается изолятор, состоящий из приемной, одной-двух палат, туалетной и помещения для приготовления дезинфицирующих средств. Приемная изолятора имеет непосредственную связь с общими коммуникациями детского учреждения, а также с каждой из палат и туалетной. Палаты – непроходные. Изолятор должен быть расположен смежно с медицинской комнатой на первом этаже, ориентирован желательно на юг и иметь отдельный вход.
В состав административно-хозяйственных помещений входят пищеблок, постирочная и служебно-бытовые помещения (кабинет заведующего, комнаты завхоза, персонала, кастелянши, кладовая и др.).
Пищеблок обязательно имеет самостоятельный выход наружу. Кладовые размещают рядом с кухней, они не должны быть проходными. Проход в кладовые через кухню не допускается.
Основное требование к интерьеру и оборудованию детских дошкольных учреждений заключается в необходимости обеспечения наилучших санитарно-гигиенических условий и для наибольших удобств для детей и персонала, а также высокого архитектурно-художественного и технического качества этих учреждений при экономичности в строительстве и эксплуатации.
Освещение детских дошкольных учреждений
Детские помещения должны быть светлыми: отношение площади окон к площади пола (в групповых и игральных) 1:4 – 1:5 (к. е. о. = 1,5%), со сквозными или угловым проветриванием, для II и I климатических районов допускается проветривание через спальни, приемные или раздевальные. Внутренняя отделка детских помещений – простая, без излишних архитектурных деталей в то же время должна создавать ощущение уюта, радости.
Освещение вторым светом допускается в туалетах и моечных кухонной посуды, в приемных и раздевальных в климатических подрайонах IA, IБ и IГ. Буфетные, приемные изолятора и комнаты персонала допускается проектировать без естественного освещения.
Табл.
Требования к ориентации окон помещений детских дошкольных учреждений
-
Помещения
Расчетные географические пояса с. ш.
северные 600
60…450
Южнее 450
Ориентация
оптимальная
допустимая в азимутах
оптимальная
допустимая в азимутах
оптимальная
допустимая в азимутах
Групповая, игральная
Ю
От 70 до 2900
Ю
От 85 до 2750
Ю
От 25 до 3350
Спальня
В
Любая
В
Любая
С
Любая
Зал для музыкальных и гимнастических занятий, палаты изолятора
Ю
Ю
Ю
Кухня
С
С
С
Прогулочная веранда
Ю
В
_
_
К мебели детских дошкольных учреждений предъявляются специфические педагогические, гигиенические и архитектурные требования. Мебель должна соответствовать росту и силам детей и быть такой, чтобы при использовании ею тело ребенка занимало правильное положение. Форма, конструкция и материал мебели должны обеспечивать удобство и легкость ее содержания в чистоте, исключающие возможность скопления пыли и грязи. Рекомендуется применять встроенное оборудование.
Мебель и оборудование детских помещений должны быть красивыми, иметь хорошие пропорции, гармоническую окраску, чтобы способствовать воспитанию у детей хорошего художественного вкуса.
Участок детских дошкольных учреждений
Участок – необходимая и важная часть детского учреждения; здесь дети проводят значительную часть времени, поэтому должен иметь планировку, благоустройство, оборудование и озеленение, соответствующие характеру и программе занятий с детьми. На участке выделяют следующие зоны: групповых детских площадок, общих детских площадок и хозяйственную.
Для каждой группы детей предусматривается отдельная групповая площадка величиной от 75 до 180 м2 в зависимости от возраста и количества детей. Площадка оборудуется теневым навесом площадью 40 м2 и соответствующими возрасту устройствами для игр и занятий детей – песочницами, качелями, горками и т. д. Групповые площадки должны быть изолированы друг от друга, пространственно разграничены. Общие площадки для детей 3…6(7) лет создают для занятий физкультурой, подвижных игр, выращивание культурных растений. Кроме того, на участке детского сада устраивают общую дорожку шириной 1,5 м для езды на самокатах, велосипедах, педальных автомобилях.
Хозяйственный двор должен иметь выезд на улицу или внутриквартальный проезд.
Озеленение участка детского сада включает насаждения периметральные защитной полосы, разделительные полосы и отдельные деревья и кустарники между площадками, газоны и цветники. Площадь озеленения должна составлять 50% площади участка.

3. Особенности объемно-планировочного решения
3.1. Композиция зданий детских дошкольных учреждений
Наиболее существенным фактором, определяющим основы архитектурной композиции зданий детских дошкольных учреждений, является характер взаимосвязи между отдельными группами помещений. По этому признаку здания детских дошкольных учреждений на: здания централизованного типа с внутренней связью между отдельными группами помещений; здания блокированного типа со связью между отдельными группами помещений по отапливаемому переходу; здания павильонного типа со связью через участок или по крытым не отапливаемым переходам. Существует также ряд промежуточных типов зданий, к которым относятся, например, здания галерейного типа со связью между групповыми ячейками и обслуживающими по открытой или остекленной галерее.
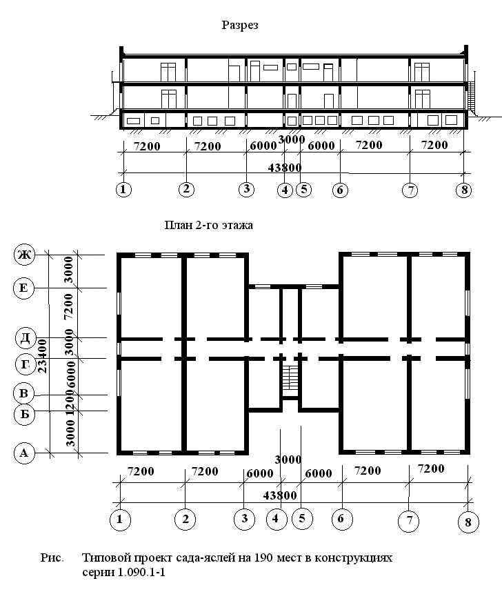
Детские дошкольные учреждения могут быть (в зависимости от числа мест) либо одноэтажными – до 150 мест, либо двухэтажными – до 190 мест, либо трехэтажными – до 350 мест.
Для трехэтажных зданий нормы предусматривают планировочное и конструктивные ограничения: на третьем этаже следует располагать помещения только для старших групп, залы для музыкальных и физкультурных занятий, а также прогулочные веранды и служебно-бытовые помещения. Трехэтажное здание должно проектироваться не ниже II степени огнестойкости независимо от числа мест в здании.
Оптимальным как по стоимости строительства и эксплуатации, так и в отношении удобства эксплуатации является централизованный тип здания. Для северных районов этот тип здания является единственно возможным.
Здания детских дошкольных учреждений централизованного типа компактны, экономичны, имеют короткие связи между помещениями. С укрупнением зданий детских учреждений и усложнением их общей планировочной структуры все более широкое распространение получают здания блокированного типа, обеспечивающие лучшие условия изоляции детских групповых ячеек и долее удобную связь с игровыми площадками по сравнению со зданиями централизованного типа, но уступающие им в экономичности и компактности. Для детских садов-яслей большой вместимостью чаще всего применяют здания блочного типа, обладающие более высокой планировочной гибкостью. Здания детских учреждений павильонного типа применяют в районах с жарким климатом, где отдельные блоки-павильоны могут быть связаны между собой открытыми галереями или дорожками. Павильонный тип обеспечивает хорошую изоляцию помещений групп и административно-хозяйственного блока, позволяет активно использовать крутой рельеф, территории с высокой сейсмичностью.
Значительное влияние на композицию здания и его градостроительную маневренность (возможность использования на различно ориентированных участках) оказывает характер взаимной ориентации основных детских помещений. В соответствии с этим признаком здания детских учреждений подразделяют на следующие типы: с ориентацией основных детских помещений на одну сторону горизонта; с ориентацией детских помещений на три стороны; с ориентацией каждого детского помещения на две противоположные стороны; с детскими помещениями, имеющими верхний свет.
Существенным фактором, влияющим на композицию зданий детских дошкольных учреждений, является этажность. Как правило, они проектируются одно- или двух этажными. Наибольшим удобством для детей, родителей и персонала обладают одноэтажные здания, в них легче предусматривать отдельные входы в детские группы, обеспечивать удобную связь с участком. Однако в строительстве наиболее распространены двухэтажные здания, как более компактные и экономичные. В ряде случаев целесообразны здания смешанной этажности – двухэтажные с одноэтажными пристройками, куда рационально выносить помещения кухонь, постирочных – для улучшения изоляции их от детских помещений. Проектирование трехэтажных зданий, как правило не рекомендуется, однако для учреждений большой вместимости в отечественной практике успешно применялись здания с обслуживающими помещениями, расположенными в цокольном или на третьем этаже.
Действующими нормами допускается проектировать здания детских дошкольных учреждений трехэтажными для условий:
сложившейся застройки;
рельефа местности, позволяющего устройство непосредственных выходов из первого и второго этажей этого здания на уровне планировочной отметки земли;
вечномерзлых, просадочных грунтов и подрабатываемых территорий:
городов-новостроек, где численность дошкольников составляет не менее 18% общей численности населения.
В результате взаимодействия рассмотренных выше факторов складывается архитектурная композиция зданий детских дошкольных учреждений. При этом надо иметь в виду, что:
архитектурно-художественная выразительность зданий как объектов массового строительства должна создаваться простыми и экономическими средствами: хорошими пропорциями здания и его отдельных частей, группировкой окон, крупными остекленными поверхностями веранд и другими элементами, органически присущими зданиям детских учреждений, а также правдивым выражением конструкций, системы разрезки крупнопанельных стен, умелым использованием фактуры и цвете строительных изделий и материалов;
здания, как правило, должны размещаться в виде свободно стоящего объема на территории озелененного участка внутри жилого микрорайона, а отсюда – характерная равнозначимость фасадов здания, необходимость строить его композицию с учетом окружения рядовой жилой застройкой.
При проектировании зданий детских дошкольных учреждений нужно использовать такие средства художественной выразительности, как входы в здания, открытые террасы, навесы, тенты, перголы, приспособления для вертикального озеленения, ящики для цветов, малые формы, а также художественную роспись, фигурную кладку, различные виды мозаики и стилизованные изображения из гнутого железа, декоративную скульптуры и т. д. Все это оживляет архитектуру зданий и способствует эстетическому воспитанию детей.
4. Особенности конструктивного решения
4.1. Конструкции зданий детских дошкольных учреждений
Объемно-планировочная
структура зданий детских дошкольных
учреждений, имеющих небольшую этажность
и состоящую из сравнительно мелких
помещений, позволяет применять весьма
разнообразные конструктивные решения:
каркасные и бескаркасные, с несущими
поперечными и продольными стенами,
крупноблочные и мелкоблочные, деревянные
брусчатые, щитовые и панельные.
В связи с тем, что здания детских дошкольных учреждений являются объектами массового строительства, во всех случаях, когда это возможно, они должны проектироваться и возводиться полносборными.
Вместе с тем при проектировании полносборных зданий следует иметь в виду, что объем их строительства в том или ином месте обычно не может оправдать создания специальной индустриальной базы, поэтому здания детских учреждений должны быть унифицированы с конструкциями других зданий.
4.2. Особенности технико-экономической оценки проектов детских дошкольных учреждений.
В основу выбора вариантов проектных решений детских дошкольных учреждений положен принцип оценки вариантов капитальных вложений по критерию их эффективности, определяемой оптимальным сочетанием затрат и получаемых на их основе результатов.
Результаты капитальных вложений, связанные с осуществлением различных проектных вариантов, являются формальным проявлением эффективности этих вложений и с этой точки зрения могут быть две основные группы – социальные и экономические. Таким образом, одной из сложностей оценки проектных решений является сложность выбора наилучшего решения: помимо критериев экономических должны быть применены критерии социальные и, поскольку вопрос касается архитектуры, эстетические.
Принято исходить из того, что строительство общественных зданий ведется для достижения определенных социальных целей, т. е. заранее установлены стандарты жизненного уровня, определены объем, очередность и пропорции капитальных вложений. В этом случае задача сводится к снижению затрат, направленных на достижение конкретной социальной цели – единовременных, текущих, затрат времени и сравнению их в оценке с существующими нормативами.
Вместе с тем известно, что социальные результаты вызывают повышение производительности общественного труда и роста национального дохода путем увеличения производительности труда и повышение квалификации работников; сокращение потерь рабочего времени путем сокращения заболеваемости; привлечение к труду дополнительного контингента населения, высвобождающегося от домашней работы и ухода за детьми, т. е. проявляются в конкретных экономических показателях.
4.3. Комплексная технико-экономическая оценка
Технико-экономичекая оценка проектов зданий детских дошкольных учреждений применяется при разработке, экспертизе и утверждении проектов с целью обеспечить наибольшую экономическую эффективность проектных решений зданий и сооружений; применение в строительстве прогрессивных технических решений. Технико-экономическая оценка типовых проектов производится как на стадии технического (технико-рабочего) проекта, так и на стадии рабочих чертежей
В качестве задач такой оценки ставится установления соответствия основных показателей проекта заданию на проектирование, а также требованиям строительных норм и правил; определение технико-экономических преимуществ нового проектного решения относительно проектов, применяемых в массовом строительстве.
Технико-экономическая оценка может осуществляться по следующим основным направлениям:
сравнение различных объемно-планировочных решений проектов зданий;
сравнение различных конструктивных решений зданий;
сравнение проектов зданий с различными системами инженерного оборудования.
Технико-экономическая оценка проектов производится при помощи системы технико-экономических показателей. При этом расчет показателей осуществляется на потребительскую единицу (единицу вместимости или пропускной способности) и на расчетную единицу (обычно 1м2 общей площади здания).
Технико-экономическая характеристика проектов зданий включает следующие показатели:
А. Объемно-планировочные:
рабочая площадь на единицу вместимости;
общая площадь на единицу вместимости;
строительный объем на единицу вместимости;
отношение рабочей площади к общей площади здания;
отношение строительного объема к общей площади здания;
отношение строительного объема к рабочей площади здания;
отношение площади наружных ограждающих конструкций к общей площади здания;
отношение площади основных помещений к рабочей площади.
Б. Показатели стоимости строительства (руб.):
1) полная сметная стоимость с учетом затрат на технологическое оборудование:
а) на расчетную единицу вместимости;
б) на 1м2 общей площади;
в) на одного человека;
2) затраты на технологическое и хозяйственно-бытовое оборудование (на те же измерители, что и в п. Б.1).
В. Показатели затрат труда на 1м2 общей площади (чел.-дни):
затраты труда в построечных условиях;
затраты труда на изготовление в заводских условиях изделий для несущих и ограждающих конструкций;
общие затраты труда.
Г. Показатели потребности в основных материалах на 1 м2 общей площади:
бетон и железобетон, м3:
а) монолитный;
б) сборный;
сталь (в натуральном исчислении м приведенная к стали класса А-I), кг;
цемент, приведенный к марке 400, кг;
лесоматериалы, в переводе на пиломатериалы, м3;
эффективные теплоизоляционные материалы, м3.
Д. Показатели текущих затрат (на единицу вместимости, на 1 м2 общей площади, на 1 чел., руб/год):
затраты на восстановление и ремонт здания;
затраты на эксплуатацию систем инженерного оборудования зданий (отопления, водоснабжения и т. п.);
затраты на содержание зданий и территорий.
Е. Показатели капитальных вложений в развитие производственной базы (руб/год):
в строительство предприятий промышленности строительных материалов, строительной индустрии и смежных отраслей промышленности;
на приобретение строительных машин, транспортных средств и других и других видов оснащения и оборудования строительных организаций.
Ж. Показатели технологичности проектных решений:
масса конструкций и материалов на 1 м2 общей площади;
число типоразмеров и марок сборных изделий;
масса монтажных элементов (наибольшая и средняя);
продолжительность строительства (объекта в целом и на 1000 м2 общей площади).
Номенклатура приведенных показателей принимается в зависимости от целей оценки и качественной характеристики сравниваемых объектов.
Решающим при выборе оптимальных вариантов проектных решений являются стоимостные показатели. Натуральные же показатели (трудоемкость, расход материалов, объемно-планировочные и др.) служат лишь дополнительными средствами экономического анализа.
В качестве критерия оценки применяется показатель приведенных затрат, характеризующий расходы по реализации проекта на трех уровнях:
на стадии, предшествующей строительству (капитальные вложения в материально-техническую базу строительства),
на стадии строительства (сметная стоимость объекта),
в сфере эксплуатации (годовые эксплуатационные расходы).
Соизмерение перечисленных показателей в формуле приведенных затрат производится при помощи коэффициента экономической эффективности:
П=Е>Н>К+С+М/Е>Н>,
где П – приведенные затраты; Е>Н> – нормативный коэффициент эффективности, равный 0,12 (для районов Крайнего Севера – 0,08); К – капитальные вложения в развитие производственной базы строительства; С – сметная стоимость строительства; М – показатель годовых эксплутационных расходов.
При равных качественных характеристиках наиболее эффективным вариантом проектного решения будет тот, который имеет минимальную величину приведенных затрат.
Недостатком показателя приведенных затрат является то, что он не отражает воздействие всех факторов, направленных на повышение экономической эффективности проектного решения; в частности, не учитывает таких факторов, как сокращение продолжительности строительства и численности рабочих, занятых на строительстве, что отображается на себестоимости строительно-монтажных работ; сокращение числа типоразмеров сборных элементов, что отражается на себестоимости их изготовления, и т. д. В связи с этим суммарный экономический эффект должен кроме эффекта по приведенным затратам учитывать также дополнительный эффект от снижения себестоимости строительно-монтажных работ и себестоимости строительных материалов и изделий.
Так, например, экономический эффект от сокращения сроков строительства объектов учитывается по двум каналам его реализации. Общий народнохозяйственный эффект может быть определен по формуле
Э = СЕ>Н>(Т>1> – Т>2>),
где С – сметная стоимость вводимых в действие основных фондов; Е>Н> – нормативный коэффициент экономической эффективности; Т>1> и Т>2> – продолжительность строительства по сравниваемым вариантам в годах. Здесь могут быть также применены соответствующие показатели нормативной продолжительности строительства и проектируемой.
Кроме этого, часть эффекта от сокращения сроков строительства получает непосредственное отражение на балансе строительных организаций за счет экономии условно-постоянной части накладных расходов. Величина этой экономии на проектной стадии рассчитывается по формуле
Э = 0,6Н(1 – Т>2>/Т>1>),
где Н – величина накладных расходов в сметной стоимости строительства; Т>1> и Т>2> – продолжительность строительства в годах по сопоставляемым вариантам проектных решений или в сравнении с нормативом.
4.4. Влияние компактности зданий детских дошкольных учреждений
Экономичность проектного решения в существенной мере зависит от компактности здания. Усложнение и изрезанность плана и объемной компоновки объекта ведет к увеличению периметра фундаментов и стен, площади ограждающих конструкций, затрудняет применение типовых конструкций и организацию производства строительных работ. Важное значение имеет и запроектированное соотношение между рабочей и подсобно-вспомогательной площадью здания. Увеличение удельного веса площади основного назначения обеспечивает более эффективное использование здания, снижает как единовременные, так и эксплуатационные затраты. В этом отношении павильонная застройка значительно увеличивает строительный объем объектов общественного назначения, площадь их застройки, протяженность внешних инженерных сетей, снижает эффективность использования городских территорий.
Для рационального решения проекта большое значение имеют блокировка зданий и правильный выбор этажности. Применительно к объектам обслуживания переход от одноэтажного решения здания к двух- и трехэтажному уменьшает площадь застройки, а следовательно, снижает стоимость фундаментов и кровли.
Важное значение для повышения эффективности капитальных вложений имеет укрупнение и кооперирование общественных зданий.
Наибольшая эффективность кооперирования достигается при объединении учреждений и предприятий, родственных по своему назначению и режиму работы. При кооперировании, например, зданий яслей на 40 мест и детсада на 100 мест в объединенное здание ясли-сад на 140 мест эксплутационные расходы сокращаются на 4%, а строительные – на 6 – 7% из расчета на 1 место.
Оценка экономической эффективности кооперирования осуществляется путем сравнения технико-экономических показателей проектов кооперированных зданий с показателями действующих типовых проектов предприятий и учреждений, размешенных в отдельных зданиях. При этом необходимо учитывать сопоставимость сравниваемых проектов как по вместимости, так и по уровню обслуживания.
Не менее важным фактором при обеспечении экономичности объекта является его укрупнение.
Содержание одного ребенка в детских садах-яслях на 80 мест обходится примерно 400 руб. в год, в аналогичных учреждениях на 140 – 280 мест – в среднем 375 руб. В детских учреждениях на 140 – 280 мест с круглосуточным пребыванием детей эксплуатационные расходы на одного ребенка на 10% больше, чем в аналогичных детских учреждениях с дневным пребыванием детей, а численность обслуживающего персонала увеличивается на 25%.
5. Особенности технологии и организации строительства
5.1. Индустриализация строительства
Основным направлением развития современного строительства является его индустриализация. Под индустриализацией понимается комплексно-механизированный процесс строительно-монтажных работ, производимых поточно и ритмично в течение круглого года на строительной площадке, в большинстве случаев предусматривающее массовое использование унифицированных деталей, конструкций, объемных блоков и узлов с высокой степенью заводской готовности. Индустриальными методами могут возводиться объекты из монолитных и сборно-монолитных конструкций при условии комплексной механизации приготовления, доставки и укладки бетонной смеси, применение индустриальных систем опалубки.
Важнейшими условиями индустриализации строительства являются:
комплексная механизация и автоматизация строительно-монтажных, погрузочно-разгрузочных и других тяжелых и трудоемких работ;
развитие материально-технической базы строительства в масштабах, опережающих рост объема строительных работ.
При конструировании (членении на элементы) зданий и сооружений следует предусматривать наименьшую разницу между массой наиболее тяжелых и легких элементов, чтобы максимально использовать грузоподъемность монтажных кранов. Одновременно конструкции должны быть технологичными, т. е. сборка и установка их в проектное положение должны происходить с минимальными затратами труда. Элементы конструкций малой массы следует укрупнять в монтажные узлы и блоки.
Рассмотрим некоторые особенности технологии производства строительных работ.
5.2. Оттаивание мерзлых грунтов
Способы оттаивания замерзших грунтов применяются, как правило, при небольших объемах земляных работ и сравнительно небольшой глубине их промерзания. В зависимости от направления теплового потока оттаивание грунта введется сверху вниз, снизу вверх и в радиальном направлении.
Наиболее распространенным способом оттаивания грунта сверху вниз является древний огневой способ. В качестве топлива используются дрова, уголь, кокс; в настоящее время все чаще применяется жидкое топливо (мазут, солярное масло). Достоинство способа – простота и малая трудоемкость, главный недостаток – непроизводительная трата тепла в окружающую среду.
Современным представителем данного способа оттаивания грунта является электроразогрев при горизонтально уложенных электродах, обсыпанных теплоизолирующим токопроводящим материалом. Трехфазный переменный ток, проходя по слою опилок, пропитанных слабым раствором соли, выделяет тепло, за счет которого и разогревается теплоизолирующая прослойка, а следовательно лежащий под ним слой мерзлого грунта. Этот способ более экономичен и менее трудоемок по сравнению с огневым, однако нуждается в продолжительной работе автономного источника электропитания или трансформаторной подстанции и линии электропередачи. Расход электроэнергии на 1 м3 составляет 60 – 100 кВт*ч при глубине промерзания грунта 60 – 70 см.
При оттаивании снизу вверх разогрев грунта производится за границей его промерзания и распространяется в направлении теплового потока. Наиболее эффективным является электроразогрев при вертикальном размещении электродов. Удельное электрическое сопротивление талого грунта значительно ниже, чем у мерзлого, поэтому при погружении электродов в мерзлый грунт до границы с талым грунтом обеспечивается быстрый его разогрев и создается мощный тепловой поток, направленный в верхние слои, выполняющие к тому же роль утеплителя. При таких условиях существенно снижаются затраты электроэнергии (на 1 м3 – 30 – 50 кВт*ч). Этот способ более электробезопасен и поддается автоматическому регулированию параметров.
В
последнее время широко применяется
разновидность данного способа –
электрохимический
способ. Сущность его заключается в том,
что сначала на поверхности оттаиваемого
грунта нарезаются неглубокие борозды
во взаимно перпендикулярных направлениях.
В местах пересечения борозд в грунт
погружают стальные электроды, а сами
борозды заполняют раствором соли. В
результате таких мероприятий происходит
разогрев грунта двумя встречными
потоками: снизу вверх за счет разогрева
талого грунта и сверху вниз за счет
выделении тепла при прохождении
электрическим током слоя раствора соли.
Основной недостаток разогрева мерзлого
грунта вертикальными электродами –
трудоемкость операции по бурению
скважин.
Оттаивание мерзлого грунта в радиальном направлении достигается при паропрогреве , теплоноситель пропускает через специальные устройства, помещенные вертикально в толщу грунта. В качестве таких устройств могут использоваться паровые или водяные иглы (закрытые трубчатые конструкции диаметром 60 – 100 мм, внутри которых пропускается водяной пар или горячая вода), ТЭНы (трубчатые элементы, внутри которых встроены электронагревательные спирали, помещенные в трансформаторное масло).
Данные конструкции, передовая через трубчатые стенки внутреннее тепло окружающему грунту в горизонтальной плоскости, оттаивают его в виде цилиндров. При удалении игл друг от друга на расстояние, не превышающее радиуса действия игл, достигается сплошное оттаивание грунтового массива.
Кирпичные стены здания в зимнее время можно возводить на всю высоту для районов со среднемесячной температурой не ниже –200С при условии выполнения кладки на растворах с противоморозными добавками. При выполнении работ надлежит руководствоваться СНиП II-3 – 79**, СНиП II-22 –81, СНиП 3.03.01 – 87.
В качестве противоморозных добавок разрешается применять поташ, нитрит натрия согласно «Руководству по применению бетонов с противоморозными добавками» Стройиздат, Москва, 1978 г.
Производство кладочных работ при температуре ниже – 300С не допускается в последующие дни твердения кладки температура наружного воздуха может иметь более низкие значения.
Марки раствора для кладочных работ в зимнее время повышается против летней на одну ступень при добавках поташа и нитрита натрия.
Температура раствора в момент выполнения кладочных работ должна быть не ниже:
50 – при добавках поташа,
150 – при добавках нитрита натрия.
Список литературы
СНиП 2.08.02 – 85. Общественные здания и сооружения. М., 1988.
СНиП II-60 – 75**. Планировка и застройка городов, поселков и сельских населенных пунктов.
СНиП 2.01.02 – 85. Противопожарные нормы. М., 1986.
Миловидов Н.Н. , Орловский Б.Я. , Белкин А.Н. Архитектура гражданских и промышленных зданий. Гражданские здания. М., Высшая школа, 1987.
Маклакова Т.Г. , Нанасова С.М. , Шарапенко В.Г. Проектирование жилых и общественных зданий. М., Высшая школа, 1998.
Под ред. Рожина И.Е. и Урбаха А.И. Архитектурное проектирование общественных зданий и сооружений. М., Стройиздат, 1985.
Блохина Н.Б. , Вихрова Л.Т. и др. Детские ясли-сады. Пособие по проектированию. М., Издательство литературы по строительству, 1966.