Статистические методы анализа финансового состояния предприятия в условиях рынка (работа 1)
Статистические методы анализа финансового состояния
предприятия в условиях рынка
Содержание
1. Введение
2. Общая оценка динамики и структуры статей бухгалтерского баланса
3. Статистические методы анализа
4. Анализ финансовой устойчивости предприятия
5. Анализ ликвидности баланса
6. Анализ финансовых коэффициентов
7. Система критериев и методика оценки неудовлетворительной структуры баланса неплатежеспособных предприятий
8. Анализ взаимосвязи прибыли, движения оборотного капитала и потока денежных средств
1. Введение
Предлагаемая методика анализа финансового состояния предназначена для обеспечения управления финансовым состоянием предприятия и оценки финансовой устойчивости его деловых партнеров в условиях рыночной экономики. Она включает элементы, общие как для внешнего, так и внутреннего анализа. Рассматриваемые ниже задачи и алгоритмы их решения определяют главные направления анализа, а их углубление на базе всей достоверной информации (в том числе на базе разрабатываемых на предприятиях нормативов) проводятся в рамках внутреннего анализа. Кроме того, основы методики могут быть адаптированы к требованиям конкретного внешнего пользователя и поэтому имеют в определенной степени универсальный характер, вытекающий из универсальности рыночных отношений, объединяющих различные формы собственности и различные виды экономической деятельности.
Методика включает следующие блоки анализа: общая оценка финансового состояния и его изменения за отчетный период; анализ финансовой устойчивости предприятия; анализ ликвидности баланса, анализ деловой активности и платежеспособности предприятия.
Оценка финансового состояния и его изменения за отчетный период по сравнительному аналитическому балансу, а также анализ показателей финансовой устойчивости составляют исходный пункт, из которого должен логически развиваться заключительный блок анализа финансового состояния. Анализ ликвидности баланса должен оценивать текущую платежеспособность и давать заключение о возможности сохранения финансового равновесия и платежеспособности в будущем. Сравнительный аналитический баланс и показатели финансовой устойчивости отражают сущность финансового состояния. Ликвидность баланса характеризует внешние проявления финансового состояния, которые обусловлены его сущностью. Углубление анализа на основе данных учета приводит к задачам, относящимся преимущественно к внутреннему анализу. Так, исследование факторов финансовой устойчивости вызывает необходимость внутреннего анализа запасов и затрат, а уточнение оценки ликвидности баланса производится с помощью внутреннего анализа состояния дебиторской и кредиторской задолженности.
В ходе анализа для характеристики различных аспектов финансового состояния применяются как абсолютные показатели, так и финансовые коэффициенты, представляющие собой относительные показатели финансового состояния. Последние рассчитываются в виде отношений абсолютных показателей финансового состояния или их линейных комбинаций. Согласно классификации одного из основателей балансоведения Н.А. Блатова, относительные показатели финансового состояния подразделяются на коэффициенты распределения и коэффициенты координации.
Коэффициенты распределения применяются в тех случаях, когда требуется определить, какую часть тот или иной абсолютный показатель финансового состояния составляет от итога включающей его группы абсолютных показателей. Коэффициенты распределения и их изменения за отчетный период, как будет показано ниже, играют большую роль в ходе предварительного ознакомления с финансовым состоянием по сравнительному аналитическому балансу-нетто.
Коэффициенты координации используются для выражения отношений разных по существу абсолютных показателей финансового состояния или их линейных комбинаций, имеющих раз личный экономический смысл.
Анализ финансовых коэффициентов заключается в сравнении их значении с базисными величинами, а также в изучении их динамики за отчетный период и за ряд лет. В качестве базисных величин используются усредненные по временному ряду значения показателей данного предприятия, относящиеся к прошлым благоприятным с точки зрения (финансового состояния периодам, среднеотраслевые значения показателей, значения показателей, рассчитанные поданным отчетности наиболее удачливого конкурента. Кроме того, в качестве базы сравнения могут служить теоретически обоснованные или полученные в результате экспертных опросов величины, характеризующие оптимальные или критические с точки зрения устойчивости финансового состояния значения относительных показателей. Такие величины фактически выполняют роль нормативов для финансовых коэффициентов, хотя методики их расчета в зависимости, например, от отрасли производства пока не создано, поскольку в настоящее время не устоялся и поэтому лишен полноценной системной упорядоченности набор относительных показателей, применяемых для анализа финансового состояния предприятия. Зачастую предлагается избыточное количество показателей. Для точной и полной характеристики финансового состояния предприятия и тенденций его изменения достаточно сравнительно небольшого количества финансовых коэффициентов. Важно лишь, чтобы каждый из этих показателей отражал наиболее существенные стороны финансового состояния.
2. Общая оценка динамики и структуры статей бухгалтерского баланса
Финансовое состояние предприятия характеризуется размещением и использованием средств (активов) и источниками их формирования (собственного капитала и обязательств, т.е. пассивов). Эти сведения представлены в балансе предприятия. (табл. 1).
Основными факторами, определяющими финансовое состояние, являются, во-первых, выполнение финансового плана и пополнение по мере возникновения потребности собственного оборотного капитала за счет прибыли и, во-вторых, скорость оборачиваемости оборотных средств (активов). Сигнальным показателем, в котором проявляется финансовое состояние, выступает платежеспособность предприятия, под которой подразумевают его способность вовремя удовлетворять платежные требования поставщиков техники и материалов в соответствии с хозяйственными договорами, возвращать кредиты, производить оплату труда персонала, вносить платежи в бюджет. Поскольку выполнение финансового плана в основном зависит от результатов производственной и хозяйственной деятельности в целом, то можно сказать, что финансовое положение определяется всей совокупностью хозяйственных факторов, является наиболее обобщающим показателем. Следовательно, Отчет о финансовых результатах и их использовании также привлекается для анализа финансового состояния (табл. 2).
В 20-х годах один из создателей балансоведения Н.А. Блатов рекомендовал исследовать структуру и динамику финансового состояния предприятия при помощи сравнительного аналитического баланса. Сравнительный аналитический баланс получается из исходного баланса путем дополнения его показателями структуры, динамики и структурной динамики вложений и источников средств предприятия за отчетный период. Обязательными показателями сравнительного аналитического баланса являются: абсолютные величины по статьям исходного отчетного баланса на начало и конец периода; удельные веса статей баланса в валюте баланса на начало и конец периода; изменения в абсолютных величинах; изменения в удельных весах; изменения в % к величинам на начало периода (темп прироста статьи баланса); изменения в % к изменениям валюты баланса (темп прироста структурных изменений — показатель динамики структурных изменений); цена одного процента роста валюты баланса и каждой статьи — отношение величины абсолютного изменения к проценту абсолютного изменения на начало периода.
Сравнительный аналитический баланс замечателен тем, что он сводит воедино и систематизирует те расчеты и прикидки, которые обычно осуществляет любой аналитик при первоначальном ознакомлении с балансом. Схемой сравнительного баланса охвачено множество важных показателей, характеризующих статику и динамику финансового состояния. Сравнительный баланс фактически включает показатели горизонтального и вертикального анализа, активно используемые в практике капиталистических фирм. В ходе горизонтального анализа определяются абсолютные и относительные изменения величин различных статей баланса за определенный период, а целью вертикального анализа является вычисление удельного веса нетто. Все показатели сравнительного баланса можно разбить на три группы:
показатели структуры баланса;
показатели динамики баланса;
показатели структурной динамики баланса.
Для осмысления общей картины изменения финансового состояния весьма важны показатели структурной динамики баланса. Сопоставляя структуры изменений в активе и пассиве, можно сделать вывод о том, через какие источники в основном был приток новых средств и в какие активы эти новые средства в основном вложены.
Таблица 1
Утверждена Министерском финансов Российской Федерации
для годовой бухгалтерской отчетности за 1994 г.
БАЛАНС ПРЕДПРИЯТИЯ
Форма № 1
|
АКТИВ |
Код стр. |
На начало года |
На конец года |
|
1 |
2 |
3 |
4 |
|
1. ОСНОВНЫЕ СРЕДСТВА И ИНЫЕ ВНЕОБОРОТНЫЕ АКТИВЫ |
|||
|
Нематериальные активы: первоначальная стоимость* (04)................... |
010 |
||
|
износ* (05).................................................... |
011 |
||
|
остаточная стоимость................................... |
012 |
||
|
Основные средства: ............................................... |
|||
|
первоначальная (восстановительная) стоимость* (01, 03).............................................. |
020 |
8274 |
114852 |
|
износ* (02).................................................... |
021 |
4394 |
81836 |
|
остаточная стоимость................................... |
022 |
3880 |
33016 |
|
Оборудование к установке (07)............................... |
030 |
1112 |
4572 |
|
Незавершенные капитальные вложения (08, 61)...... |
040 |
227 |
2354 |
|
Долгосрочные финансовые вложения (06)............... |
050 |
||
|
Расчеты с учредителями (75) ................................. |
060 |
||
|
Прочие внеоборотные активы.................................. |
070 |
||
|
Итого по разделу................................. |
080 |
5219 |
39942 |
|
АКТИВ |
Код стр. |
На начало года |
На конец года |
|
1 |
2 |
3 |
4 |
|
II. ЗАПАСЫ И ЗАТРАТЫ |
|||
|
Производственные запасы (10, 15, 16).................... |
100 |
1767 |
10333 |
|
Животные на выращивании 1 откорме (11).............. |
110 |
||
|
Малоценные и быстроизнашивающиеся предметы: |
|||
|
первоначальная стоимость (12, 16)............... |
120 |
148 |
697 |
|
износ* (13)...................................................... |
121 |
83 |
81 |
|
остаточная стоимость..................................... |
122 |
65 |
616 |
|
Незавершенное производство (20, 21, 23, 29, 30, 36, 44) ..................................................................... |
130 |
1184 |
8592 |
|
Расходы будущих периодов (4)................................ |
140 |
||
|
Готовая продукция (40)............................................ |
150 |
1102 |
10517 |
|
Товары (41).............................................................. |
162 |
9 |
685 |
|
Налог на добавленную стоимость и специальный налог по приобретенным ценностям (19)................. |
175 |
24 |
271 |
|
Прочие запасы и затраты ......................................... |
176 |
||
|
Итого по разделу II............................... |
180 |
4151 |
31014 |
|
III. ДЕНЕЖНЫЕ СРЕДСТВА, РАСЧЕТЫ И ПРОЧИЕ АКТИВЫ |
|||
|
Товары отгруженные (45)......................................... |
199 |
||
|
Расчеты с дебиторами: |
|||
|
за товары, работы и услуги (62, 76)............... |
200 |
4536 |
13980 |
|
по векселям полученным (82)........................ |
210 |
||
|
с дочерними предприятиями (78)................... |
220 |
||
|
с бюджетом (68)............................................. |
230 |
792 |
4907 |
|
с персоналом по прочим операциям (73)...... |
240 |
2 |
322 |
|
с прочими дебиторами................................... |
250 |
374 |
1077 |
|
Авансы, выданные поставщикам и подрядчикам (61).......................................................................... |
260 |
||
|
Краткосрочные финансовые вложения (58)............ |
270 |
||
|
Денежные средства: |
|||
|
касса (50)...................................................... |
280 |
||
|
расчетный счет (51)....................................... |
290 |
362 |
8059 |
|
валютный счет (52)....................................... |
300 |
||
|
прочие денежные средства (55, 56, 57)......... |
310 |
409 |
59 |
|
Прочие оборотные активы....................................... |
320 |
||
|
Итого по разделу III............................. |
330 |
6475 |
28404 |
|
Убытки: |
|||
|
прошлых лет (87).......................................... |
340 |
||
|
отчетного года .............................................. |
350 |
х |
|
|
БАЛАНС (сумма строк 080, 180, 330, 340 и 350) |
360 |
15845 |
99360 |
|
ПАССИВ |
Код стр. |
На начало |
На конец |
|
1 |
2 |
3 |
4 |
|
1. ИСТОЧНИКИ СОБСТВЕННЫХ СРЕДСТВ |
|||
|
Уставный капитал (85).............................................. |
400 |
5948 |
5948 |
|
Добавочный капитал (85)........................................... |
401 |
— |
6641 |
|
Резервный капитал (86)............................................ |
402 |
||
|
Резервные фонды (86).............................................. |
410 |
||
|
Фонды накопления (88) ............................................ |
420 |
1165 |
39123 |
|
Целевые финансирование и поступления (96)......... |
430 |
227 |
227 |
|
Арендные обязательства (97)................................... |
440 |
||
|
Нераспределенная прибыль прошлых лет (87)........ |
460 |
||
|
Прибыль |
|||
|
отчетного года* (80)................................................ |
470 |
Х |
72527 |
|
использовано* (81).................................................. |
471 |
Х |
72527 |
|
нераспределенная прибыль отчетного года............ |
472 |
Х |
|
|
Итого по разделу I................................. |
480 |
7340 |
51939 |
|
II.ОСНОВНЫЕ СРЕДСТВА И ИНЫЕ ВНЕОБОРОТНЫЕ АКТИВЫ РАСЧЕТЫ И ПРОЧИЕ ПАССИВЫ |
|||
|
Долгосрочные кредиты банков (92)........................... |
500 |
3778 |
3098 |
|
Долгосрочные займы (95)......................................... |
510 |
||
|
Краткосрочные кредиты банков (90)......................... |
600 |
3600 |
11000 |
|
Кредиты банков для работников (93)........................ |
610 |
||
|
Краткосрочные займы (94)........................................ |
620 |
||
|
Расчеты с кредиторами: за товары, работы и услуги (60, 76)......................... |
630 |
5323 |
|
|
по векселям выданным (80).................................... |
640 |
||
|
по оплате труда (70)............................................... |
650 |
369 |
2915 |
|
по социальному страхованию и обеспечению (69). |
660 |
111 |
1130 |
|
по имущественному и личному страхованию (65)... |
670 |
||
|
с дочерними предприятиями (78) ........................... |
680 |
||
|
по внебюджетным платежам (67)........................... |
690 |
63 |
|
|
с бюджетом (68)...................................................... |
700 |
99 |
9507 |
|
с прочими кредиторами........................................... |
710 |
108 |
2677 |
|
Авансы, полученные от покупателей и заказчиков (64)........................................................................... |
720 |
||
|
Расчеты с учредителями (75).................................... |
725 |
||
|
Доходы будущих периодов (83) ................................ |
730 |
||
|
Фонды потребления (88)............................................ |
735 |
280 |
11771 |
|
Резервы предстоящих расходов и платежей (89)..... |
740 |
||
|
Резервы по сомнительным долгам (82) .................... |
750 |
||
|
Прочие краткосрочные пассивы................................. |
760 |
97 |
— |
|
Итого по разделу II...................................................... |
770 |
8505 |
47421 |
|
БАЛАНС (сумма строк 480 и 770)............................... |
780 |
15845 |
99360 |
* Данные по этим строкам в валюту баланса не входят.
Руководитель Главный бухгалтер
Таблица 2.
Утверждена Министерством финансов Российской Федерации для годовой бухгалтерской отчетности за 1994 г.
ОТЧЕТ О ФИНАНСОВЫХ РЕЗУЛЬТАТАХ И ИХ ИСПОЛЬЗОВАНИИ
Форма № 2
1. ФИНАНСОВЫЕ РЕЗУЛЬТАТЫ
|
Наименование показателя |
Код стр. |
Прибыль |
Убытки (расходы) |
|
1 |
2 |
3 |
4 |
|
Выручка (валовой доход) от реализации продукции (работ, услуг)....................................................... |
010 |
309639 |
Х |
|
Налог на добавленную стоимость и специальный налог........................................................................... |
015 |
Х |
65786 |
|
Акцизы......................................................................... |
020 |
Х |
|
|
030 |
X |
||
|
Затраты на производство реализованной продукции (работ, услуг).................................................... |
040 |
X |
171434 |
|
Результат от реализации......................................... |
050 |
72419 |
|
|
Результат от прочей реализации............................. |
060 |
432 |
|
|
Доходы и расходы от внереализационных операций.............................................................................. |
070 |
67 |
391 |
|
о том числе: по ценным бумагам и от долевого участия в совместных предприятиях............................. |
071 |
Х |
|
|
курсовые границы по операциям в инстран- ной валюте.................................................... |
072 |
||
|
073 |
|||
|
Итого прибылей и убытков ...................................... |
080 |
72918 |
391 |
|
Балансовая прибыль или убыток ............................ |
090 |
72527 |
2. ИСПОЛЬЗОВАНИЕ ПРИБЫЛИ
|
Наименование показателя |
Код стр. |
На конец отчетного периода |
|
1 |
2 |
3 |
|
Платежи в бюджет...................................................... |
200 |
23526 |
|
Отчисления в резервные капитал и фонды................ |
210 |
|
|
Отвлечено на: |
||
|
фонды накопления.......................................... |
220 |
35766 |
|
фонды потребления......................................... |
230 |
12500 |
|
благотворительные цели.................................. |
250 |
|
|
другие цели....................................................... |
260 |
Руководитель Главный бухгалтер
Для общей оценки динамики финансового состояния предприятия следует сгруппировать статьи баланса в отдельные специфические группы по признаку ликвидности (статьи актива) и срочности обязательств (статьи пассива). На основе агрегированного баланса осуществляется анализ структуры имущества предприятия, который в более упорядоченном виде удобно проводить по следующей форме:
|
Актив 1. Имущество 1.1. Иммобилизационные активы 1.2. Мобильные, оборотные, активы 1.2.1. Запасы и затраты 1.2.2. Дебиторская задолженность. 1.2.3. Денежные средства и ценные бумаги. |
Пассив 1. Источники имущества 1.1. Собственный капитал 1.2. Заемный капитал 1.2.1. Долгосрочные обязательства 1.2.2. краткосрочные кредиты и займы 1.2.3. Кредиторская задолженность |
Чтение баланса по таким систематизированным группам ведется с использованием методов горизонтального и вертикального анализа. Такой анализ статей актива и пассива представлен соответственно в табл. 3 и 4.
Непосредственно из аналитического баланса можно получить ряд важнейших характеристик финансового состояния предприятия. К ним относятся:
общая стоимость имущества предприятия = валюте, или итогу, баланса:
стоимость иммобилизованных активов (т.е. основных и прочих внеоборотных средств) = итогу раздела 1 актива баланса;
стоимость оборотных (мобильных) средств = сумме итогов разделов II и III актива баланса;
стоимость материальных оборотных средств = итогу раздела II актива баланса;
величина дебиторской задолженности в широком смысле слова (включая авансы, выданные поставщикам и подрядчикам) = строкам 199-260 раздела III актива баланса;
сумма свободных денежных средств в широком смысле слова (включая ценные бумаги и краткосрочные финансовые вложения) = строкам 270-310 раздела III актива баланса (так называемый банковский актив);
стоимость собственного капитала = разделу 1 пассива и строкам 725-750 раздела II пассива баланса;
величина заемного капитала = разделу II пассива баланса без строк 725-750;
величина долгосрочных кредитов и займов, предназначенных, как правило, для формирования основных средств и других внеоборотных активов = строкам 500-510 раздела II пассива баланса;
величина краткосрочных кредитов и займов, предназначенных, как правило, для формирования оборотных активов, = строкам 600-620 раздела II пассива баланса;
величина кредиторской задолженности в широком смысле слова = строкам 630-720 и 760 раздела II пассива баланса. Строки 725-750 показывают задолженность предприятия как бы самому себе, т.е. речь идет о собственных средствах предприятия, поэтому при анализе суммы по этим строкам следует прибавить к собственному капиталу.
Горизонтальный, или динамический, анализ этих показателей позволяет установить их абсолютные приращения и темпы роста, что важно для характеристики финансового состояния предприятия. Так, динамика стоимости имущества предприятия дает дополнительную к величине финансовых результатов информацию о мощи предприятия. Не меньшее значение для оценки финансового состояния имеет и вертикальный, структурный, анализ актива и пассива баланса.
Таблица 3.
Аналитическая группировка и анализ статей актива баланса
|
Актив |
На начало периода |
На конец периода |
Абсолютное от- |
Темп роста, |
||
|
баланса |
тыс. руб. |
% к итогу |
тыс. руб. |
% к итогу |
клонение, т.р. |
% |
|
1. Имущество — всего |
15845 |
100 |
99360 |
100 |
83515 |
627,1 |
|
1.1. Иммобилизованные активы |
5219 |
32,9 |
39942 |
40,2 |
34723 |
765,3 |
|
1.2. Оборотные активы |
10626 |
67,1 |
59418 |
59,8 |
48792 |
559,2 |
|
1.2.1. Запасы |
4151 |
26,2 |
31014 |
31,2 |
26863 |
747,1 |
|
1.2.2. Дебиторская задолженность |
5704 |
36,0 |
20286 |
29,4 |
14582 |
355,6 |
|
1.2.3. Денежные средства |
771 |
4,9 |
8118 |
8,2 |
7347 |
1053 |
Таблица 4.
Аналитическая группировка и анализ статей пассива баланса
|
Актив |
На начало периода |
На конец периода |
Абсолютное от- |
Темп роста, |
||
|
баланса |
тыс. руб. |
% к итогу |
тыс. руб. |
% к итогу |
клонение, т.р. |
% |
|
1. Источники имущест- ва — всего |
15845 |
100 |
99360 |
100 |
83515 |
627,1 |
|
1.1. Собственный капитал |
7620 |
48,1 |
63710 |
64,1 |
56090 |
836,1 |
|
1.2. Заемный капитал |
8225 |
51,9 |
35650 |
35,9 |
27425 |
433,4 |
|
1.2.1. Долгосрочные обязательства |
3778 |
23,8 |
3098 |
3,1 |
-680 |
82,0 |
|
1.2.2. Краткосрочные кредиты и займы |
3600 |
22,7 |
11000 |
11,1 |
7400 |
305,5 |
|
1.2.3. Кредиторская задолженность |
847 |
5,3 |
21552 |
21,7 |
20705 |
2544,5 |
Так, соотношение собственного и заемного капиталов говорит об автономии предприятия в условиях рыночных связей, о его финансовой устойчивости. Особое значение для корректировки финансовой стратегии предприятия, определения перспектив финансового положения имеет трендовый анализ отдельных статей баланса за более продолжительное время с использованием, как правило, специальных экономико-математических методов (среднее приращение, определение функций, описывающих поведение данной статьи баланса, и др.).
По данным бухгалтерского учета из раздела III актива баланса следует выделить расходы, не перекрытые средствами специальных фондов и целевого финансирования, означающие иммобилизацию оборотных активов, а из раздела II пассива баланса — неплатежи, а именно ссуды, не погашенные в срок, платежные требования поставщиков, не оплаченные в срок, недоимки в бюджет и пр.
Наряду с построением сравнительного аналитического баланса для получения общей оценки динамики финансового состояния за отчетный период производится сопоставление изменения итога баланса с изменениями финансовых результатов хозяйственной деятельности за отчетный период, например, с изменением выручки от реализации продукции, информация о которой содержится в ф. № 2 годовой отчетности (стр. 010). Сопоставление осуществляется путем сравнения коэффициентов KN и KB, которые показывают прирост соответственно выручки от реализации продукции и среднего значения итога баланса за отчетный период. Если KN > КB, то в отчетном периоде использование финансовых ресурсов предприятия было более эффективным, чем в предшествующем периоде; если КN < КB — менее эффективным.
Признаками “хорошего” баланса с точки зрения повышения (роста) эффективности можно назвать также следующие известные показатели:
коэффициент текущей ликвидности ³ 2,0;
обеспеченность предприятия собственным оборотным капиталом ³ 0,1;
имеет место рост собственного капитала;
нет резких изменений в отдельных статьях баланса;
дебиторская задолженность находится в соответствии (равновесии) с размерами кредиторской задолженности;
в балансе отсутствуют “больные” статьи (убытки, просроченная задолженность банкам и бюджету);
у предприятия запасы и затраты не превышают величину минимальных источников их формирования (собственных оборотных средств, долгосрочных кредитов и займов, краткосрочных кредитов и займов).
Анализ состояния запасов и затрат.
Для детализации общей картины изменения финансового состояния таблица, аналогичная сравнительному аналитическому балансу, может быть построена для каждого из разделов актива и пассива баланса. Так, для исследования структуры и динамики состояния запасов и затрат используется таблица 5, построенная на основе данных раздела II актива баланса.
Такие же таблицы служат для анализа структуры и динамики основных средств и вложений, денежных средств, дебиторской задолженности и прочих активов, источников собственных средств, кредитов и других заемных средств, кредиторской задолженности и прочих пассивов. Более подробный анализ по статье “Основные средства” раздела I актива проводится на основе формы № 5 годового отчета, в которой представлены подробная структура основных средств на начало и конец года, их поступление и выбытие за отчетный период.
На основе таблиц 3, 4, 5 аналитик делает общий обзор изменения финансового состояния за отчетный период. Для приведенного в таблицах числового примера можно сделать следующее аналитическое заключение.
За отчетный период имущество анализируемого предприятия увеличилось на 83515 тыс. руб., составив в конце периода 99360 тыс. руб. Данное изменение на 58,4 % обусловлено увеличением оборотных средств и на 41,6 % — увеличением основных средств и вложений. В конце периода удельный вес основных средств и вложений в имущество предприятия увеличен на 7,3 % и составил 40,2, а удельный вес материальных оборотных средств возрос на 5,0 %, составив 31,2 %. На 3,3 % увеличился к концу отчетного периода удельный вес денежных средств и ценных бумаг и равнялся 8,1 %. На 6,6 % снизился удельный вес дебиторской задолженности и прочих активов, равнявшийся к концу периода 29,4 %.
Увеличение имущества предприятия на 83515 тыс. руб. на 67,2 % было обеспечено ростом собственных средств, а на 32,8 % — покрывалось увеличением обязательств предприятия. Рост источников собственных средств на 58090 тыс. руб. повысил долю имущества предприятия, покрываемую собственными средствами, за период до 64,1 %. Удельный вес кредитных и других заемных источников уменьшился на 32,4 %, составив в конце периода 14,2 %. В то же время доля кредиторской задолженности предприятия увеличилась на 16,4 %, достигнув 21,7 %.
Увеличение запасов и затрат составило небольшую долю в росте имущества предприятия (32,2 %). Приращение материальных оборотных средств преимущественно было обусловлено ростом производственных запасов, увеличившихся на 8566 тыс. руб. и составивших в конце периода 33,3 % общей величины запасов и затрат. Незавершенное производство возросло на 425,7 %, а готовая продукция — на 654,3 %, или на 9415 тыс. руб.; ее удельный вес составил в конце периода 33,9 % стоимости материальных оборотных средств.
Таблица 5.
Анализ состояния запасов и затрат
|
Абсолютные величины |
Удельные веса |
Изменения |
|
Запасы и затраты |
на нача- ло года |
на конец года |
на нача-ло года |
на конец года |
в абсолютных величи-нах |
в удельных весах |
в % к величинам на начало года |
в % к изменению общей величины запасов и затрат |
|
Производственные запасы |
1767 |
10333 |
42,6 |
33,3 |
8566 |
-9,3 |
384,7 |
31,9 |
|
Незавершенное производство |
1184 |
8592 |
28,5 |
27,7 |
7408 |
-0,8 |
525,7 |
27,6 |
|
Расходы будущих периодов |
— |
— |
— |
— |
— |
— |
— |
— |
|
Готовая продукция |
1102 |
10517 |
26,5 |
33,9 |
9415 |
7,4 |
754,3 |
20,1 |
|
Товары |
89 |
1572 |
2,4 |
5,1 |
1474 |
2,7 |
7411 |
2,4 |
|
Прочие запасы и затраты |
— |
— |
— |
— |
— |
— |
— |
— |
|
Общая величина запасов и затрат |
4151 |
31014 |
100 |
100 |
+26863 |
0 |
+647,1 |
+100 |
3. Статистические методы анализа
Финансовое состояние — это совокупность показателей, отражающих наличие, размещение и использование финансовых ресурсов.
Основная цель анализа финансового состояния — это не только оценка текущего состояние предприятия, но и отслеживание тех или иных тенденций в изменении основных финансовых показателей, выявление слабых позиций, проведение целенаправленной работы на улучшение этих показателей.
При статистическом исследовании применяются основные статистические методы: группировок, средних и относительных величин, графический, индексный, а также метод сопоставления.
Главная цель статистического анализа финансового состояния — проследить динамику и структуру изменений финансового состояния предприятия посредством оценки изменения основных финансовых показателей.
При этом используются следующие методы статистического исследования: \
* построение динамических рядов как фактических показателях, так и в сопоставимых (относительных) показателях;
* расчет показателей динамических рядов;
* построение трендовых и регрессивных моделей;
* расчет индексов.
На мой взгляд, главенствующее место при анализе финансового состояния занимает:
1. изучение структуры того или иного показателя;
2. характеристика динамики показателя;
3. оценка и исследование факторов, влияющих на изменения основных показателей, их состав и динамику изменения.
В последнее время, в связи с повсеместным внедрением вычислительной техники процесс статистического анализа финансового положения коммерческого предприятия значительно упростился. Любой грамотный экономист в состоянии использую стандартные электронные таблицы в состоянии написать программы расчета финансовых показателей и тем самым избавить себя от монотонной расчетной части и сосредоточится непосредственно на анализе и прогнозе.
Здесь следует отметить, что успех анализа и прогноза в значительной степени зависит от полноты и достоверности информации.
Далее в курсовой работе я постараюсь на основе практического материала сделать анализ финансового состояния предприятия, акцентируя внимание не столько на сам финансовый анализ, а сколько на статистические методы, используемые при этом.
4. Анализ финансовой устойчивости предприятия
После общей характеристики финансового состояния и его изменения за отчетный период следующей важной задачей анализа финансового состояния является исследование показателей финансовой устойчивости предприятия. Для данного блока анализа имеет решающее значение вопрос о том, какие показатели отражают сущность устойчивости финансового состояния. Ответ на него связан прежде всего с балансовой моделью, из которой исходит анализ. В условиях рынка эта модель имеет следующий вид:
F + Z + Rа = ИС + КТ + Кt + Ко +Rp,
где условные обозначения имеют тот же смысл, что и в таблице 6, т. е.:
F — основные средства и вложения;
Z — запасы и затраты;
Rа — денежные средства, краткосрочные финансовые вложения, расчеты (дебиторская задолженность) и прочие активы;
ИC —источники собственных средств;
Кt — краткосрочные кредиты и заемные средства;
КT — долгосрочные кредиты и заемные средства;
КО — ссуды, не погашенные в срок;
Rр — расчеты (кредиторская задолженность) и прочие пассивы.
Таблица 6.
БАЛАНС ПРЕДПРИЯТИЯ (в агрегированном виде)
|
АКТИВ |
Условные обозначения |
ПАССИВ |
Условные обозначения |
|
I. Основные средства и вложения |
F |
I. Источники собственных средств |
Ис |
|
II. Запасы и затраты |
Z |
II. Расчеты и прочие пассивы |
Rp |
|
III. Денежные средства, расчеты и прочие активы |
Ra |
III. Кредиты и другие заемные средства |
K |
|
в том числе: |
в том числе: |
||
|
денежные средства и краткосрочные финансовые вложения |
Д |
краткосрочные кредиты и заемные средства |
Kt |
|
расчеты и прочие активы |
ra |
долгосрочные кредиты и заемные средства |
KT |
|
ссуды, не погашенные в срок |
Ko |
||
|
БАЛАНС |
B |
БАЛАНС |
B |
По сути дела, модель предполагает определенную перегруппировку статей бухгалтерского баланса для выделения однородных с точки зрения сроков возврата величин заемных средств. Прежде всего на основе агрегирования статей раздела II пассива баланса получаются величины КТ и Кt.
Учитывая, что долгосрочные кредиты и заемные средства направляются преимущественно на приобретение основных средств и на капитальные вложения, преобразуем исходную балансовую формулу:
Z + Rа = {(ИC + КT) - F] + [Kt + К°+ RP}.
Отсюда можно сделать заключение, что при условии ограничения запасов и затрат Z величиной {(ИС + КТ) — F}:
Z £ (ИC + КT) - F,
будет выполняться условие платежеспособности предприятия, т. е. денежные средства, краткосрочные финансовые вложения (ценные бумаги) и активные расчеты покроют краткосрочную задолженность предприятия (Кt + КO + RP):
Rа ³ Кt + Кo + RP.
Таким образом, соотношение стоимости материальных оборотных средств и величин собственных и заемных источников их формирования определяет устойчивость финансового состояния предприятия. Обеспеченность запасов и затрат источниками формирования является сущностью финансовой устойчивости, тогда как платежеспособность выступает ее внешним проявлением. В то же время степень обеспеченности запасов и затрат источниками есть причина той или иной степени платежеспособности (или неплатежеспособности), выступающей как следствие обеспеченности.
Наиболее обобщающим показателем финансовой устойчивости является излишек или недостаток источников средств для формирования запасов и затрат, получаемый в виде разницы величины источников средств и величины запасов и затрат. При этом имеется в виду обеспеченность определенными видами источников (собственными, кредитными и другими заемными), поскольку достаточность суммы всех возможных видов источников (включая краткосрочную кредиторскую задолженность и прочие пассивы) гарантирована тождественностью итогов актива и пассива баланса.
Общая величина запасов и затрат Z предприятия равна итогу раздела II актива баланса.
Для характеристики источников формирования запасов и затрат используются несколько показателей, отражающих различную степень охвата разных видов источников:
наличие собственных оборотных средств, равное разнице величины источников собственных средств и величины основных средств и вложений: ЕТ = ИС - F;
наличие собственных и долгосрочных заемных источников формирования запасов и затрат, получаемое из предыдущего показателя увеличением на сумму долгосрочных кредитов и заемных средств: ЕТ = (ИС + КТ) - F;
общая величина основных источников формирования запасов и затрат, равная сумме предыдущего показателя и величины краткосрочных кредитов и заемных средств (к которым в данном случае не присоединяются ссуды, не погашенные в срок): ЕS = (ИС + КТ) - F + Кt = ЕТ + Кt.
Каждый из приведенных показателей наличия источников формирования запасов и затрат должен быть уменьшен на величину иммобилизации оборотных средств в случае присутствия в разделе III актива баланса превышения расчетов с работниками по полученным ими ссудам над ссудами для рабочих и служащих (раздел II пассива). Иммобилизация может также скрываться в составе прочих дебиторов и прочих активов, но определение ее величины при этом возможно лишь в рамках внутреннего анализа на основе учетных данных. Критерием здесь должна служить низкая ликвидность или полная неликвидность обнаруженных сомнительных сумм.
В названии показателя наличия собственных и долгосрочных заемных источников формирования запасов и затрат имеется некоторая условность. Так как долгосрочные кредиты и заемные средства используются в основном на капитальные вложения и на приобретение основных средств, то фактически показатель наличия ЕТ отражает скорректированную величину собственных оборотных средств, поэтому название “наличие собственных и долгосрочных заемных источников” указывает лишь на тот факт, что исходная величина собственных оборотных средств ЕС увеличена ни сумму долгосрочных кредитов и заемных средств.
Используемый в практике капиталистических фирм показатель стоимости чистых мобильных средств, равный разности оборотных активов и краткосрочной задолженности, соответствует обсуждаемому показателю наличия собственных и долгосрочных заемных источников формирования запасов и затрат. Действительно, если краткосрочная задолженность будет перенесена в левую часть, балансовой модели, то последняя примет следующий вид:
(Z + Rа) - (Kt + К° + RP) = (ИC + KT) - F.
В левой части равенства имеем разницу оборотных средств предприятия и его краткосрочной задолженности, в правой — величину показателя Е". Таким образом, эти преобразования позволяют установить обоснованные взаимосвязи между показателями финансового состояния предприятий и фирм.
Показатель общей величины основных источников формирования запасов и затрат (ЕS) является приближенным, так как часть краткосрочных кредитов выдается под товары, отгруженные (обозначим эту часть краткосрочных ссуд, не предназначенных для формирования запасов и затрат,— (j Кt), а для покрытия запасов и затрат привлекается часть кредиторской задолженности (обозначение — >Y>> >RP), зачтенная банком при кредитовании. Величины j Кt и >Y>> >RP в балансе не отражаются, для них можно оценить лишь верхние границы. Ссуды под товары отгруженные ограничены сверху дебиторской задолженностью за товары, работы и услуги, а кредиторская задолженность, зачтенная банком при кредитовании, не превышает суммы задолженности за товары и услуги и задолженности по авансам полученным. Если величины (j Кt и >Y>> >RP определены в рамках внутреннего анализа на основе учетных данных, то показатель ЕS корректируется на величину
D
= >Y>
RP - j
Кt
следующим образом:
ЕS = ЕS + D.
Приближенность, оценочный характер показателя общей величины основных источников формирования запасов и затрат неизбежны при ограниченности информации, используемой в ходе внешнего анализа финансового состояния. Несмотря на эти недостатки показатель Е дает существенный ориентир для определения степени финансовой устойчивости.
Трем показателям наличия источников формирования запасов и затрат соответствуют три показателя обеспеченности запасов и затрат источниками их формирования:
излишек (+) или недостаток (-) собственных оборотных средств:
± ЕС = ЕС Z;
излишек (+) или недостаток (-) собственных и долгосрочных заемных источников формирования запасов и затрат:
± ЕТ = ЕТ - Z = (ЕC + КT) - Z;
излишек (+) или недостаток (-) общей величины основных источников для формирования запасов и затрат:
± ЕS = ЕS - Z = (ЕC + КT + Кt ) - Z.
Вычисление трех показателей обеспеченности запасов и затрат источниками их формирования позволяет классифицировать финансовые ситуации по степени их устойчивости.
Возможно, выделение четырех типов финансовой устойчивости:
1) абсолютная устойчивость финансового состояния, встречающаяся редко и являющая собой крайний тип финансовой устойчивости. Она задается условиями
ЕЗ < ЕС + СКК;
2) нормальная устойчивость финансового состояния предприятия, гарантирующая его платежеспособность,
ЕЗ = ЕС + СКК;
3) неустойчивое финансовое состояние, сопряженное с нарушением платежеспособности, при котором тем не менее сохраняется возможность восстановления равновесия за счет пополнения источников собственных средств и увеличения собственных оборотных средств,
ЕЗ = ЕС + СКК + СО,
где СО — источники, ослабляющие финансовую напряженность.
Финансовая
неустойчивость считается нормальной
(допустимой), если величина привлекаемых
для формирования запасов и затрат
краткосрочных кредитов и заемных средств
не превышает суммарной стоимости
производственных запасов и готовой
продукции (наиболее ликвидной части
запасов и затрат), т. е. если выполняются
условия
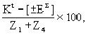
Z>1> + Z>4>> >³ Кt - [±ЕS ],
Z>2 >+> >Z>3 >£ ET,
где Z>1> — производственные запасы;
Z>2> — не завершенное производство;
Z>3> —расходы будущих периодов;
Z>4> — готовая продукция;
(Kt - [ ± ЕS ] ) — часть краткосрочных кредитов и заемных средств, участвующая в формировании запасов и затрат.
Если условия не выполняются, то финансовая неустойчивость является ненормальной и отражает тенденцию к существенному ухудшению финансового состояния. Доля покрытия краткосрочными кредитами стоимости производственных запасов и готовой продукции, определяемая величиной
фиксируется
в кредитном договоре с банком и тем
самым задает более точный критерий
разграничения нормальной и ненормальной
неустойчивости.
4) кризисное финансовое состояние, при котором предприятие находится на грани банкротства, поскольку в данной ситуации денежные средства, краткосрочные ценные бумаги и дебиторская задолженность предприятия не покрывают даже его кредиторской задолженности и просроченных ссуд,
ЕЗ > ЕС + СКК.
Наряду с оптимизацией структуры пассивов в ситуациях, задаваемых последними двумя условиями, устойчивость может быть восстановлена путем обоснованного снижения уровня запасов и затрат.
Схема, сообщающая алгоритмы расчетов показателей финансового положения предприятия, может быть представлена в таком виде (схема 1).
Каждый из 4-х типов финансовой устойчивости характеризуется набором однотипных показателей, дающих полную картину финансового состояния предприятия (см. табл. 7). К этим показателям относятся: коэффициент обеспеченности запасов и затрат источниками средств; излишек (или недостаток) средств для формирования запасов и затрат; запас устойчивости финансового состояния (в днях); излишек (или недостаток) средств на 1 тыс. руб. запасов.
Как видно из табл. 7 предприятие находится в кризисном состоянии. Запасы и затраты превышают источники формирования на сумму 4919 тыс. руб. Недостаток оборотных средств составляет почти 6-дневную потребность (LК = 5,8 дня) Этот недостаток средств покрывается за счет кредиторской задолженности, обязательств перед бюджетом, по оплате труда и т. д.
Чтобы снять финансовое напряжение предприятию необходимо выяснить причины резкого увеличения на конец года следующих статей материальных оборотных средств производственных запасов, незавершенного производства, готовой продукции и товаров Это уже задачи внутреннего финансового анализа.
В рамках внутреннего анализа осуществляется углубленное исследование финансовой устойчивости предприятия на основе построения баланса неплатежеспособности, включающего следующие взаимосвязанные группы показателей:
1. Общая величина неплатежей:
просроченная задолженность по ссудам банка;
просроченная задолженность по расчетным документам поставщиков;
недоимки в бюджеты;
прочие неплатежи, в том числе по оплате труда;
2. Причины неплатежей:
недостаток собственных оборотных средств,
сверхплановые запасы товарно-материальных ценностей;
товары отгруженные, не оплаченные в срок покупателями;
Схема 1. Схема анализа показателей финансового положения предприятия.
товары на ответственном хранении у покупателей ввиду отказа от акцепта;
иммобилизация оборотных средств в капитальное строительство, в задолженность работников по полученным ими ссудам, а также в расходы, не перекрытые средствами специальных фондов и целевого финансирования.
3. Источники, ослабляющие финансовую напряженность:
временно свободные собственные средства (фонды экономического стимулирования, финансовые резервы и др.);
привлеченные средства (превышение нормальной кредиторской задолженности над дебиторской);
кредиты банка на временное пополнение оборотных средств и прочие заемные средства.
|
Тип ситуации (критерий оценки) |
Коэффициент обеспеченности запасов и затрат источниками средств |
Излишек (+) или недостаток (-) средств |
Запас устойчивости финансового состояния (в днях) |
Излишек или недостаток средств на 1 тыс. руб. запасов |
|
1. Абсолютная устойчивость E3 < Ec + CKK |
|
|
|
|
|
2. Нормальная устойчивость E3 = Ec + CKK |
|
|
|
|
|
3. Неустойчивое (предкризисное) состояние E3 = Ec + CKK + C° |
|
|
|
|
|
4. Кризисное состояние E3 > Ec + CKK |
|
|
|
|
|
(КК=0,84) |
(DК = - 4919) |
(LК = - 5,8 дн.) |
(ZК = - 0,16) |
При полном учете общей величины неплатежей и источников, ослабляющих финансовую напряженность, итог по группе 2 должен равняться сумме итогов по группам 1 и 3. Для анализа финансового состояния, платежной дисциплины и кредитных отношений рекомендуется рассматривать данные показатели в динамике (например, поквартально).
Наряду с источниками формирования запасов и затрат важное значение для финансового состояния имеет оборачиваемость как всего оборотного капитала (активов), так и особенно оборотных товарно-материальных ценностей, что выражается в относительном (против оборота) снижении запасов и затрат.
Углубленный анализ состояния запасов и затрат выступает в качестве составной части внутреннего анализа финансового состояния, поскольку предполагает использование информации о запасах и затратах, не содержащейся в бухгалтерской отчетности и в известной мере относящейся к области коммерческой тайны.
Вернемся к основной балансовой модели, имеющей следующий вид:
F +Z + Rа = ИC + КT + Кt + КO + RP,
где условные обозначения соответствуют принятым ранее.
Опираясь на внешние признаки финансового благополучия, мы определили необходимые критерии и типы финансовой устойчивости предприятия. Сущность финансовой устойчивости определялась как обеспеченность запасов и затрат источниками формирования средств, т. е.
Z £ (ИC + KT) - F.
Однако совершенно очевидно, что из условия платежеспособности предприятия в действительности вытекает не одно, а два направления оценки финансовой устойчивости предприятия, а именно:
1. Оценка финансовой устойчивости предприятия исходя из степени покрытия запасов и затрат источниками средств, т. е. из условия
Z £ (ИC + KT) - F.
2. Оценка финансовой устойчивости предприятия исходя из степени покрытия основных средств и иных внеоборотных активов источниками средств, т. е. из условия
F £ (ИC + KT) - Z,
где (ИC + КT) представляет собой величину перманентного, т.е. постоянного капитала предприятия. Собственный капитал и долгосрочные кредиты и займы являются стабильными источниками финансирования деятельности предприятия;
Оба направления оценки финансовой устойчивости вытекают из общей формулы устойчивости, т.е. из условия
F + Z £ ИС + KT,
которое означает, что вложения капитала в основные средства и материальные запасы не должны превышать величины перманентного капитала.
В таблице 8 приводится классификация типов финансовой устойчивости для условий второго направления оценки. Ограничения для F легко выводятся из основной балансовой модели и приведенных в табл. 8 неравенств.
Таблица 8.
Классификация типов финансовой устойчивости для условия F £ (ИС + KT) - Z
|
Устойчивость |
Текущая |
В краткосрочной перспективе |
В долгосрочной перспективе |
|
1. Абсолютная |
Д ³ Rp + Ko |
Д ³ Rр + К° + Кt |
Д ³ Rp +К° +Кt +КT |
|
2. Нормальная |
RA ³ Rp +Ko |
RA ³ Rp + К° +Кt |
RA ³ Rp + K° + Кt +КT |
|
3. Предкризисная (минимальная устойчивость) |
RAE + Z ³ Rp + K° |
RA + Z ³ Rp + K° + Kt |
RA + Z ³ Rp + К°+Кt +KT |
|
4. Кризисная |
RA + Z ³ Rp + Ko |
RA + Z < Rp + К° + Kt |
RA +Z < Rp + К°+Кt +KT |
Финансовая устойчивость — это определенное состояние счетов предприятия, гарантирующее его постоянную платежеспособность. В результате осуществления какой-либо хозяйственной операции финансовое состояние предприятия может остаться неизменным, либо улучшиться или ухудшиться. Поток хозяйственных операций, совершаемых ежедневно, является как бы “возмутителем” определенного состояния финансовой устойчивости, причиной перехода из одного типа устойчивости в другой. Знание предельных границ изменения источников средств для покрытия вложений капитала в основные фонды или производственные запасы позволяет генерировать такие потоки хозяйственных операций, которые ведут к улучшению финансового состояния предприятия, к повышению его устойчивости.
5. Анализ ликвидности баланса
Потребность в анализе ликвидности баланса возникает в условиях рынка в связи с усилением финансовых ограничений и необходимостью оценки кредитоспособности предприятия. Ликвидность баланса определяется как степень покрытия обязательств предприятия его активами, срок превращения которых в денежную форму соответствует сроку погашения обязательств. Ликвидность активов — величина, обратная ликвидности баланса по времени превращения активов в денежные средства. Чем меньше требуется времени, чтобы данный вид активов обрел денежную форму, тем выше его ликвидность. Анализ ликвидности баланса заключается в сравнении средств по активу, сгруппированных по степени их ликвидности и расположенных в порядке убывания ликвидности, с обязательствами по пассиву, сгруппированными по срокам их погашения и расположенными в порядке возрастания сроков. Приводимые ниже группировки осуществляются по отношению к балансу.
В зависимости от степени ликвидности, т. е. скорости превращения в денежные средства, активы предприятия разделяются на следующие группы:
А1) наиболее ликвидные активы — денежные средства предприятия и краткосрочные финансовые вложения (ценные бумаги);
А2) быстро реализуемые активы — дебиторская задолженность и прочие активы. Итог группы получается вычитанием из итога раздела III актива величины наиболее ликвидных активов. Желательно также, использовав данные бухгалтерского учета, вычесть расходы, не перекрытые средствами фондов и целевого финансирования, и расчеты с работниками по полученным ими ссудам.
Расходы, не перекрытые средствами фондов и целевого финансирования, а также превышение величины расчетов с работниками по полученным ими ссудам над величиной ссуд банка для рабочих и служащих представляют собой иммобилизацию оборотных средств (часть превышения расчетов над ссудами банка, обусловленная выдачей ссуд работникам за счет средств специальных фондов предприятия, сокращается при вычитании иммобилизации из величины источников собственных средств). В случае обнаружения в ходе внутреннего анализа иммобилизации по статьям прочих дебиторов и прочих активов на ее величину также уменьшается итог быстро реализуемых активов;
A3) медленно реализуемые активы — статьи раздела II актива “Запасы и затраты” (за исключением “Расходов будущих периодов”), а также статьи из раздела 1 актива баланса “Долгосрочные финансовые вложения" (уменьшенные на величину вложений в уставные фонды других предприятий) и “Расчеты с учредителями”;
А4) труднореализуемые активы — статьи раздела I актива баланса “Основные средства и иные внеоборотные активы”, за исключением статей этого раздела, включенных в предыдущую группу.
Поскольку из итога раздела I вычитается только часть суммы, отраженной по статье “Долгосрочные финансовые вложения”, в составе труднореализуемых активов учитываются вложения в уставные фонды других предприятий.
Пассивы баланса группируются по степени срочности их оплаты:
П1) наиболее срочные обязательства — к ним относятся кредиторская задолженность (статьи раздела II пассива баланса “Расчеты и прочие пассивы”), а также ссуды, не погашенные в срок из справки 2 ф. № 5.
В составе наиболее срочных обязательств ссуды для рабочих и служащих учитываются лишь в размере превышения над величиной расчетов с работниками по полученным ими ссудам — это превышение означает использование целевых ссуд банка не по назначению и поэтому должно быть обеспечено наиболее ликвидными активами для срочного погашения;
П2) краткосрочные пассивы — краткосрочные кредиты и заемные средства;
ПЗ) долгосрочные пассивы — долгосрочные кредиты и заемные средства;
П4) постоянные пассивы — статьи раздела 1 пассива баланса “Источники собственных средств”. Для сохранения баланса актива и пассива итог данной группы уменьшается на сумму иммобилизации оборотных средств по статьям раздела III актива и величины по статье “Расходы будущих периодов” раздела II актива и увеличивается на стр. 725 — 750.
Для
определения ликвидности баланса следует
сопоставить итоги приведенных групп
по активу и пассиву. Баланс считается
абсолютно ликвидным, если имеют место
соотношения:
А1 ³ П1
А2 ³ П2
A3 ³ ПЗ
А4 £ П4
Выполнение первых трех неравенств с необходимостью влечет выполнение и четвертого неравенства, поэтому практически существенным является сопоставление итогов первых трех групп по активу и пассиву. Четвертое неравенство носит “балансирующий” характер, и в то же время оно имеет глубокий экономический смысл: его выполнение свидетельствует о соблюдении минимального условия финансовой устойчивости — наличии у предприятия собственных оборотных средств.
В случае, когда одно или несколько неравенств имеют знак, противоположный зафиксированному в оптимальном варианте, ликвидность баланса в большей или меньшей степени отличается от абсолютной. При этом недостаток средств по одной группе активов компенсируется их избытком по другой группе, хотя компенсация при этом имеет место лишь по стоимостной величине, поскольку в реальной платежной ситуации менее ликвидные активы не могут заместить более ликвидные.
Анализ ликвидности баланса оформляется в виде таблицы (см. табл. 9.) В графах 2, 3, 5, 6 этой таблицы даны итоги групп актива и пассива, вычисляемые на начало и конец отчетного периода.
Таблица 9.
Анализ ликвидности баланса
|
АКТИВ |
На начало |
На конец |
ПАССИВ |
На начало |
На конец |
Платежный излишек или недостаток |
|
периода |
периода |
периода |
периода |
на начало периода |
на конец периода |
||
|
1 |
2 |
3 |
4 |
5 |
6 |
7 |
8 |
|
1. Наиболее ликвидные активы |
771 |
8118 |
1. Наиболее срочные обязательства |
845 |
21552 |
-76 |
-13434 |
|
2. Быстрореализуемые активы |
5704 |
20286 |
2. Краткосрочные пассивы |
3600 |
11000 |
+2104 |
+9286 |
|
3. Медленно реализуемые активы |
4151 |
31014 |
3. Долгосрочные пассивы |
3778 |
3098 |
+373 |
+27916 |
|
4. Трудно реализуемые активы |
5219 |
39942 |
4. Постоянные пассивы |
7620 |
63710 |
-2401 |
-23768 |
|
БАЛАНС |
15845 |
99360 |
БАЛАНС |
15845 |
99360 |
х |
х |
В графах 7 и 8 представлены абсолютные величины платежных излишков или недостатков на начало и конец отчетного периода.
Сопоставление наиболее ликвидных средств и быстро реализуемых активов с наиболее срочными обязательствами и краткосрочными пассивами позволяет выяснить текущую ликвидность. Сравнение же медленно реализуемых активов с долгосрочными и среднесрочными пассивами отражает перспективную ликвидность. Текущая ликвидность свидетельствует о платежеспособности (или неплатежеспособности) предприятия на ближайший к рассматриваемому моменту промежуток времени.
Перспективная ликвидность представляет собой прогноз платежеспособности на основе сравнения будущих поступлений и платежей (из которых в соответствующих группах актива и пассива представлена, конечно, лишь часть, поэтому прогноз достаточно приближенный).
Проводимый по изложенной схеме анализ ликвидности баланса является приближенным и по той причине, что соответствие степени ликвидности активов и сроков погашения обязательств в пассиве намечено ориентировочно. Это обусловлено ограниченностью информации, которой располагает аналитик, проводящий внешний анализ на основе бухгалтерской отчетности. Для уточнения результатов анализа требуются поэтому специальные методы, корректирующие показатели представленной методики. В 20-е годы в аналитической практике использовался метод нормативов скидок. Посредством нормативов скидок осуществлялось перераспределение величин балансовых статей между группами активов и пассивов в соответствии со среднестатистическими оценками ликвидности активов и сроков погашения обязательств.
Сопоставление итогов первой группы по активу и пассиву, т.е. А1 и П1 (сроки до 3-х месяцев), отражает соотношение текущих платежей и поступлений.
Сравнение итогов второй группы по активу и пассиву, т.е. A2 и П2 (сроки от 3-х до 6-ти месяцев), показывает тенденцию увеличения или уменьшения текущей ликвидности в недалеком будущем. Сопоставление итогов по активу и пассиву для третьей и четвертой групп отражает соотношение платежей и поступлений в относительно отдаленном будущем. Анализ, проводимый по данной схеме, достаточно полно представляет финансовое состояние с точки зрения возможностей своевременного осуществления расчетов.


где: A >¼>, П >¼> — итоги соответствующих групп по активу и
пассиву,
a >¼> — весовые коэффициенты.
Общий показатель ликвидности баланса показывает отношение суммы всех ликвидных средств предприятия к сумме всех платежных обязательств (как краткосрочных, так и долгосрочных и среднесрочных) при условии, что различные группы ликвидных средств и платежных обязательств входят в указанные суммы с весовыми коэффициентами, учитывающими их значимость с точки зрения сроков поступления средств и погашения обязательств. Данный показатель позволяет сравнивать балансы предприятия, относящиеся к разным отчетным периодам, а также балансы различных предприятий и выяснять, какой баланс более ликвиден.
6. Анализ финансовых коэффициентов
Финансовые коэффициенты представляют собой относительные показатели финансового состояния предприятия. Они рассчитываются в виде отношений абсолютных показателей финансового состояния или их линейных комбинаций. Согласно классификации Н.А. Блатова, относительные показатели финансового состояния подразделяются на коэффициенты распределения и коэффициенты координации.
Коэффициенты распределения применяются в тех случаях, когда требуется определить, какую часть тот или иной абсолютный показатель финансового состояния составляет от итога включающей его группы абсолютных показателей.
Коэффициенты координации используются для выражения отношений разных по существу абсолютных показателей финансового состояния или их линейных комбинаций, имеющих различный экономический смысл.
Анализ финансовых коэффициентов заключается в сравнении их значений с базисными величинами, а также в изучении их динамики за отчетный период и за ряд лет. В качестве базисных величин используются усредненные по временному ряду значения показателей данного предприятия, относящиеся к прошлым благоприятным с точки зрения финансового состояния периодам; среднеотраслевые или средненароднохозяйственные значения показателей; значения показателей, рассчитанные по данным отчетности наиболее удачливого конкурента. Кроме того, в качестве базы сравнения могут служить теоретически обоснованные или полученные в результате экспертных опросов величины, характеризующие оптимальные или критические с точки зрения устойчивости финансового состояния значения относительных показателей. Такие величины фактически выполняют роль нормативов для финансовых коэффициентов, хотя методики их расчета в зависимости, например, от отрасли производства пока не создано, поскольку в настоящее время не устоялся и поэтому лишен полноценной системной упорядоченности набор относительных показателей, применяемых для анализа финансового состояния предприятия. Зачастую предлагается избыточное количество показателей. Для точной и полной характеристики финансового состояния предприятия и тенденций его изменения достаточно сравнительно небольшого количества финансовых коэффициентов. Важно лишь, чтобы каждый из этих показателей отражал наиболее существенные стороны финансового состояния.
Система относительных финансовых коэффициентов по экономическому смыслу может быть подразделена на ряд характерных групп:
показатели оценки рентабельности предприятия;
показатели оценки эффективности управления или прибыльности продукции;
показатели оценки деловой активности или капиталоотдачи;
показатели оценки рыночной устойчивости;
показатели оценки ликвидности активов баланса как основы платежеспособности.
Рассмотрим основные из каждой группы финансовые коэффициенты и проиллюстрируем расчет их по отчетности предприятия (см. табл. 1,2). Предупредим читателя, что их названия в специальной литературе не стандартизированы, поэтому важно понять, суть показателя.
1. Оценка рентабельности предприятия
1.1. Общая рентабельность предприятия =
1.2. Чистая рентабельность предприятия =
1.3. Чистая рентабельность собственного капитала =
чистая прибыль предприятия
1.4. Общая рентабельность производственных фондов =
(Расчет дан в табл. 3)
В российской практике особенное значение имеет последний показатель. Показатель 1.2 характеризует экономическую рентабельность всего используемого капитала (собственного и заемного), а показатель 1.3 — финансовую рентабельность, т.е. рентабельность собственного капитала. Показатели рентабельности являются наиболее обобщенной характеристикой эффективности хозяйственной деятельности. На них оказывают влияние показатель рентабельности продукции (его принято называть эффективностью управления) и показатель капиталоотдачи (его принято называть деловой активностью). Эту зависимость покажем на примере чистой рентабельности предприятия (в коэффициентах):
2. Оценка эффективности управления
2.1. Чистая прибыль на 1 руб. оборота =
2.2. Прибыль от реализации продукции на 1 руб. реализации продукта (оборота) =
2.3. Прибыль от всей реализации на 1 руб. оборота =
2.4. Общая прибыль на 1 руб. оборота =
Различие всех показателей эффективности управления — в
числителях формул, т.е. в финансовых результатах, отражающих определенную сторону хозяйственной деятельности.
3. Оценка деловой активности
3.1. Общая капиталоотдача (фондоотдача) =
3.2. Отдача основных производственных средств и нематериальных активов =
3.3. Оборачиваемость всех оборотных активов =
3.4. Оборачиваемость запасов =
3.5. Оборачиваемость дебиторской задолженности =
3.6. Оборачиваемость банковских активов =
3.7. Оборот к собственному капиталу =
Относительные финансовые показатели могут быть выражены как в коэффициентах, так и в процентах. Показатели деловой активности нагляднее представлять в коэффициентах. В развитой рыночной экономике по наиболее важным показателям деловой активности устанавливаются нормативы по народному хозяйству в целом и по отраслям. Как правило, такие нормативы отражают средние фактические значения этих коэффициентов. Так, в большинстве цивилизованных рыночных стран нормативом оборачиваемости запасов являются 3 оборота, т.е. примерно 122 дня, нормативом оборачиваемости дебиторской задолженности — 4,9, или примерно 73 дня. Следует заметить, что среднюю стоимость активов и пассивов за период, например, год, рассчитывают как среднюю хронологическую по месячным данным, если нет такой возможности — то по квартальным данным, а если в распоряжении финансового аналитика имеется лишь годовой баланс, то применяется упрощенный прием: средняя из суммы данных на начало и конец периода (года).
ы
4. Оценка рыночной устойчивости
Финансовые коэффициенты рыночной устойчивости во многом базируются на показателях рентабельности предприятия, эффективности управления и деловой активности. Их следует рассчитывать на определенную дату составления балансов и рассматривать в динамике. Предоставим возможность рассчитать эти показатели читателю по данным баланса предприятия.
4.1. Одной из важнейших, характеристик устойчивости финансового состояния предприятия, его независимости от заемных источников средств является коэффициент автономии, равный доле источников средств в общем итоге баланса.
Нормальное минимальное значение коэффициента автономии (К>А>) оценивается на уровне 0,5. Нормальное ограничение
К >А >³ 0,5
означает, что все обязательства предприятия могут быть покрыты его собственными средствами. Выполнение ограничения важно не только для самого предприятия, но и для его кредиторов. Рост коэффициента автономии свидетельствует об увеличении финансовой независимости предприятия, снижении риска финансовых затруднений в будущих периодах. Такая тенденция с точки зрения кредиторов повышает гарантированность предприятием своих обязательств.
4.2. Коэффициент автономии дополняет коэффициент соотношения заемных и собственных средств (К>З/С>), равный отношению величины обязательств предприятия к величине его собственных средств. Взаимосвязь коэффициентов К>З/С> и К>А>:
откуда следует нормальное ограничение для коэффициента соотношения заемных и собственных средств:
K>З/С> £ 1.
4.3. При сохранении минимальной финансовой стабильности предприятия коэффициент соотношения заемных и собственных средств должен быть ограничен сверху значением отношения стоимости мобильных средств предприятия к стоимости его иммобилизованных средств. Этот показатель называется коэффициентом соотношения мобильных и иммобилизованных средств (К>М/И>) и вычисляется делением оборотных активов (разделы II и III актива) на иммобилизованные активы (раздел I актива).
В случае наличия в разделе III актива баланса иммобилизации оборотных средств его итог уменьшается при расчете на ее величину, а знаменатель показателя (иммобилизованные средства) увеличивается, так как отвлечение мобильных средств из оборота снижает реальное наличие собственных оборотных средств предприятия.
4.4. Весьма существенной характеристикой устойчивости финансового состояния является коэффициент маневренности, равный отношению собственных оборотных средств предприятия к общей величине источников собственных средств. Он показывает, какая часть собственных средств предприятия находится в мобильной форме, позволяющей относительно свободно маневрировать этими средствами. Высокие значения коэффициента маневренности положительно характеризуют финансовое состояние, однако каких-либо устоявшихся в практике нормальных значений показателя не существует. Иногда в специальной литературе в качестве оптимальной величины коэффициента рекомендуется 0,5.
4.5. В соответствии с той определяющей ролью, какую играют для анализа финансовой устойчивости абсолютные показатели обеспеченности предприятия средствами источников формирования запасов и затрат, одним из главных относительных показателей устойчивости финансового состояния является коэффициент обеспеченности собственными средствами, равный отношению величины собственных, оборотных средств к стоимости запасов и затрат предприятия (К>О>).
Его нормальное ограничение, получаемое на основе статистических усреднений данных хозяйственной практики, имеет следующий вид:
К>О>
³
0,6>
>
0,8.
4.6. Важную характеристику структуры средств предприятия дает коэффициент имущества производственного назначения, равный отношению суммы стоимостей (взятых по балансу) основных средств, капитальных вложений, оборудования, производственных запасов и незавершенного производства к итогу баланса (К>П.ИМ>).
На основе данных хозяйственной практики нормальным считается следующее ограничение показателя:
К>П.ИМ> ³ 0,5.
В случае снижения значения показателя ниже критической границы целесообразно привлечение долгосрочных заемных средств для увеличения имущества производственного назначения, если финансовые результаты в отчетном периоде не позволяют существенно пополнить источники собственных средств.
4.7. Для характеристики структуры источников средств предприятия наряду с коэффициентами автономии, соотношения заемных и собственных средств, маневренности следует использовать также частные показатели, отражающие разнообразные тенденции в изменении структуры отдельных групп источников. К таким показателям в первую очередь относится коэффициент долгосрочного привлечения заемных средств, равный отношению величины долгосрочных кредитов и заемных средств к сумме источников собственных средств предприятия и долгосрочных кредитов и займов.
Коэффициент долгосрочного привлечения заемных средств позволяет приближенно оценить долю заемных средств при финансировании капитальных вложений.
4.8. Коэффициент краткосрочной задолженности выражает долю краткосрочных обязательств предприятия в общей сумме обязательств.
4.9. Коэффициент автономии источников формирования запасов и затрат показывает долю собственных оборотных средств в общей сумме основных источников формирования запасов и затрат.
4.10. Коэффициент кредиторской задолженности и прочих пассивов выражает долю кредиторской задолженности и прочих пассивов в общей сумме обязательств предприятия,
Ссуды для рабочих и служащих в составе итога раздела II пассива баланса включены лишь в размере превышения над расчетами с работниками по полученным ими ссудам по разделу III актива баланса.
5. Оценка ликвидности активов предприятия
Рассмотренный выше общий показатель ликвидности баланса выражает способность предприятия осуществлять расчеты по всем видам обязательств — как по ближайшим, так и по отдаленным. Этот показатель не дает представления о возможностях предприятия в плане погашения именно краткосрочных обязательств. Поэтому для оценки платежеспособности предприятия используются три относительных показателя ликвидности, различающиеся набором ликвидных средств, рассматриваемых в качестве покрытия краткосрочных обязательств. Приводимые ниже нормальные ограничения показателей ликвидности получены на основе статистической обработки эмпирических данных, экспертных опросов, математического моделирования и т.д. и соответствуют в основном хозяйственной практике зарубежных фирм. В качестве ориентиров они могут служить и при анализе финансового состояния отечественных предприятий.
5.1. Коэффициент абсолютной ликвидности (К >ал>)
Данный коэффициент равен отношению величины наиболее ликвидных активов к сумме наиболее срочных обязательств и краткосрочных пассивов. Под наиболее ликвидными активами, как и при группировке балансовых статей для анализа ликвидности баланса, подразумеваются денежные средства предприятия и краткосрочные ценные бумаги. Краткосрочные обязательства предприятия, представленные суммой наиболее срочных обязательств и краткосрочных пассивов, включают: кредиторскую задолженность и прочие пассивы (с учетом замечания к коэффициенту кредиторской задолженности и прочих пассивов; это замечание относится также к коэффициенту краткосрочной задолженности); ссуды, не погашенные в срок; краткосрочные кредиты и заемные средства.
Коэффициент абсолютной ликвидности показывает, какую часть краткосрочной задолженности предприятие может погасить в ближайшее время. Нормальное ограничение данного показателя следующее:
К
>ал>
³
0,2 >
>
0,5.
Коэффициент абсолютной ликвидности характеризует платежеспособность предприятия на дату составления баланса.
5.2. Для вычисления коэффициента критической ликвидности (К >КЛ>) (другое название — промежуточный коэффициент покрытия) в состав ликвидных средств в числитель относительного показателя включаются дебиторская задолженность и прочие активы. Таким образом, величина ликвидных средств в числителе равна итогу раздела III актива баланса за вычетом иммобилизации оборотных средств по статьям данного раздела (т.е. расходов, не перекрытых средствами фондов и целевого финансирования, и т.д.). Коэффициент ликвидности отражает прогнозируемые платежные возможности предприятия при условии своевременного проведения расчетов с дебиторами.
Оценка нижней нормальной границы коэффициента ликвидности выглядит так:
К >КЛ> ³ 1.
Коэффициент критической ликвидности характеризует ожидаемую платежеспособность предприятия на период, равный средней продолжительности одного оборота дебиторской задолженности.
5.3. Наконец, если в состав ликвидных средств включаются также запасы и затраты (за вычетом расходов будущих периодов), то получается коэффициент текущей ликвидности (K >ТЛ>), или коэффициент покрытия. Он равен отношению стоимости всех оборотных (мобильных) средств предприятия к величине краткосрочных обязательств. Коэффициент покрытия показывает платежные возможности предприятия, оцениваемые при условии не только своевременных расчетов с дебиторами и благоприятной реализации готовой продукции, но и продажи в случае нужды прочих элементов материальных оборотных средств.
Уровень коэффициента покрытия зависит от отрасли производства, длительности производственного цикла, структуры запасов и затрат и ряда других факторов. Нормальным для него считается ограничение
К тл ³ 2.
Коэффициент текущей ликвидности характеризует ожидаемую платежеспособность предприятия на период, равный средней продолжительности одного оборота всех оборотных средств.
Различные показатели ликвидности не только дают разностороннюю характеристику устойчивости финансового состояния предприятия при разной степени учета ликвидных средств, но и отвечают интересам различных внешних пользователей аналитической информации. Так, для поставщиков сырья и материалов наиболее интересен коэффициент абсолютной ликвидности. Банк, кредитующий данное предприятие, больше внимания уделяет коэффициенту критической ликвидности. Покупатели и держатели акций и облигаций предприятия в большей мере оценивают финансовую устойчивость предприятия по коэффициенту текущей ликвидности.
Из расчетов и анализа финансовых коэффициентов следует вывод, что каждая группа коэффициентов отражает определенную сторону финансового состояния предприятия. Нельзя забывать, что относительные финансовые показатели являются только ориентировочными индикаторами финансового положения предприятия и его платежеспособности. Сигнальным показателем финансового состояния предприятия является его платежеспособность, которая характеризуется абсолютными данными, рассмотренными в балансе неплатежей и их причин.
Указом Президента Российской Федерации “Об улучшении расчетов в хозяйстве и повышении ответственности за их своевременное проведение” ("Российская газета", 1993, 26 окт.) восстановлены в банках учет просроченных платежей, календарно-целевая очередность платежей, вводятся в оборот простые финансовые и товарные векселя с обязательным указанием сроков платежа. Первоочередными платежами при наличии неплатежей являются платежи в бюджет, платежи за товары и, наконец, ссуды банков.
С учетом наличных неплатежей, а также нарушений внутренней финансовой дисциплины и внутренних неплатежей финансовое состояние предприятия может быть охарактеризовано следующим ранжированием:
абсолютная и нормальная устойчивость финансового состояния характеризуется отсутствием неплатежей и причин их возникновения, т.е. работа высоко или нормально рентабельна, отсутствуют нарушения внутренней и внешней финансовой дисциплины;
неустойчивое финансовое состояние характеризуется наличием нарушений финансовой дисциплины (задержки в оплате труда, использование временно свободных собственных средств резервного фонда и фондов экономического стимулирования и пр.), перебоями в поступлении денег на расчетные счета и платежах, неустойчивой рентабельностью, невыполнением финансового плана, в том числе по прибыли;
кризисное финансовое состояние характеризуется, кроме вышеуказанных признаков неустойчивого финансового положения, наличием регулярных неплатежей, по которым кризисное состояние может классифицироваться: первая степень (наличие просроченных ссуд банкам); вторая степень (наличие, кроме того, просроченной задолженности за товары); третья степень (наличие, кроме того, недоимок в бюджеты), которая граничит с банкротством.
7. Система критериев и методика оценки неудовлетворительной структуры баланса неплатежеспособных предприятий
Одной из категорий рыночного хозяйствования является банкротство или несостоятельность хозяйствующих субъектов.
Под банкротством предприятия понимается его неспособность финансировать текущую операционную деятельность и погасить срочные обязательства. Банкротство является следствием разбалансированности экономического механизма воспроизводства капитала предприятия, результатом неэффективной ценовой, инвестиционной и финансовой политики. Массовое банкротство предприятий может вызвать серьезные негативные социальные последствия, поэтому в странах рыночной экономики выработан механизм учреждения и защиты предприятий от полного краха. Основными его элементами являются:
правовое регулирование банкротства;
наличие организационного, экономического и нормативно-методического обеспечения процессов принятия решения при реализации актов о несостоятельности (банкротстве) предприятий;
меры государственной финансовой поддержки неплатежеспособным предприятиям в целях сохранения перспективных товаропроизводителей;
финансирование реорганизационных и ликвидационных мероприятий;
экономическая защита интересов всех участников процедуры банкротства;
ведение реестра неплатежеспособных предприятий, обеспечение гласности информации о банкротах для широкой общественности.
Действующим в Российской Федерации порядком установлено, что решения о несостоятельности (банкротстве) предприятий принимаются:
в добровольном порядке самим предприятием;
по заключению арбитражного суда;
Федеральным управлением по делам о несостоятельности (банкротстве) при Госкомимуществе.
Основание для принятия решения о несостоятельности (банкротстве) предприятия является система критериев для определения неудовлетворительной структуры баланса неплатежеспособных предприятий, утвержденная Постановлением Правительства Российской Федерации от 20 мая 1994 г. № 498.
Показателями для оценки удовлетворительности структуры баланса предприятия являются:
1) коэффициент текущей ликвидности, определяемый по формуле:
где: IIa — итог раздела II актива баланса;
IIп — итог раздела II пассива баланса;
IIIа — итог раздела III актива баланса;
500, 510, 730, 735, 740 — соответствующие строки пассива баланса.
Коэффициент текущей ликвидности характеризует степень общего покрытия всеми оборотными средствами предприятия суммы срочных обязательств (суммы краткосрочных кредитов, а также кредиторской задолженности).
2) коэффициент обеспеченности собственными средствами, определяемый по формуле:
где: Ia — итог раздела I актива баланса;
Iп — итог раздела I пассива баланса;
IIа — итог раздела II актива баланса;
IIIа — итог раздела III актива баланса;
Коэффициент обеспеченности собственными средствами характеризует наличие собственных оборотных средств у предприятия, необходимых для его финансовой устойчивости.
3) коэффициент восстановления (утраты) платежеспособности, определяемый по формуле:
где: К>тлк> — значение коэффициентов текущей ликвидности в конце отчетного периода;
К>тлн> — значение коэффициентов текущей ликвидности в начале отчетного периода;
Т — продолжительность отчетного периода в месяцах;
У — период восстановления (утраты) платежеспособности.
При расчете коэффициента восстановления платежеспособности У = 6 мес.
При расчете коэффициента утраты платежеспособности У = 3 месяцам.
По результатам расчетов и полученным значениям перечисленных показателей (критериев) может быть принято одно из следующих решений:
о признании структуры баланса предприятия неудовлетворительной, а предприятия неплатежеспособным;
о наличии реальной возможности у предприятия-должника восстановить свою платежеспособность;
о наличии реальной возможности утраты платежеспособности предприятием, когда оно в ближайшее время не сможет выполнить свои обязательства перед кредиторами.
Принятое решение является основанием для подготовки предложений по оказанию финансовой поддержки неплатежеспособным предприятиям, их приватизации, либо иных действий в пределах полномочий Федерального управления по делам о несостоятельности (банкротстве).
Основанием для признания структуры баланса предприятия неудовлетворительной, а предприятия — неплатежеспособным, является выполнение одного из следующих условий:
коэффициент текущей ликвидности на конец отчетного периода имеет значение менее 2;
коэффициент обеспеченности собственными средствами на конец отчетного периода имеет значение менее 0,1.
При неудовлетворительно структуре баланса для проверки реальной возможности у предприятия восстановить свою платежеспособность рассчитывается коэффициент восстановления платежеспособности сроком на 6 месяцев. Если значение коэффициента К>3> больше 1, то может быть принято решение о наличии у предприятия реальной возможности восстановит свою платежеспособность и решение о признании структуры баланса неудовлетворительной может быть отложено на срок, определяемый Федеральным управлением по делам о несостоятельности (банкротстве).
Результаты расчетов оформляются в таблицу 10. Одной из частых причин неплатежеспособности предприятия является задолженность государства перед ним. Под задолженностью государства перед предприятием понимаются не исполненные в срок обязательства полномочного органа государственной исполнительной власти России или субъекта Российской Федерации по оплате заказа, размещенного на предприятии, от исполнения которого предприятие не вправе отказаться в соответствии с законодательством. Наличие задолженности государства перед предприятием определяется на основании справки о структуре государственной задолженности (договоров, распоряжений, приказов и т.д.).
На основании представленных документов по каждому из неисполненных в срок гособязательств, определяются объемы государственной задолженности и сроки их возникновения. При наличии государственной задолженности оценка текущей ликвидности осуществляется по скорректированной формуле:
где: К>1>* — скорректированный коэффициент текущей ликвидности;
P>i> — объем государственной задолженности по i-му не исполненному в срок обязательству государства;
å P>i> — суммарная задолженность;
Z — сумма платежей по обслуживанию задолженности государства перед предприятием, рассчитываемая по формуле:
Z = å P>i> ´ t>i> ´ S>i> /100/360,
где: t>i> — период задолженности по i-му не исполненному в срок обязательству государства
S>i> — годовая учетная ставка ЦБ на момент возникновения задолженности. Датой возникновения задолженности считается дата оплаты размещенного государственного заказа, установленная соответствующим договором или иным документом. В случае отсутствия указанной даты моментом возникновения государственной задолженности считается дата окончания исполнения заказа (или этапа работ по госзаказу).
Таблица 10.
Оценка структуры баланса
|
Показатели |
На
|
На момент установления неплатежеспособности |
Норма коэффициента |
Возможное решение (оценка) |
|
1. Коэффициент текущей ликвидности (К>тл>) |
2,39 |
1,82 |
не менее 2,0 |
Структура балан- |
|
2. Коэффициент обеспеченности собственными средствами (К°) |
0,20 |
0,20 |
не менее 0,20 |
са неудовлетворительная |
|
3. Коэффициент восстановления платежеспособности (КЗ*) |
х |
0,77 |
Больше 1,0 |
У предприятия в ближайшее время нет реальной воз- |
|
4. Коэффициент утраты платежеспособности предприятия (КЗ**) |
х |
х |
х |
можности восстановить платежеспособность |
Примечание:
КЗ* — рассчитывается в случае, если хотя бы один из коэффициентов К>тл>, К>о> принимает значение, меньше предусмотренного критерием;
КЗ** — рассчитывается в случае, если оба коэффициента К>тл>, К>о> принимают значение, не менее предусмотренного критерием.
По значению скорректированного коэффициента текущей ликвидности определяется зависимость неплатежеспособности предприятия от задолженности государства перед ним, если
К1* ³ 2.
Неплатежеспособность предприятия считается не связанной непосредственно с задолженностью государства перед ним, если:
значение скорректированного коэффициента текущей ликвидности ниже предусмотренного критерием, т.е.
К1* < 2,
зависимость неплатежеспособности предприятия от задолженности государства перед ним признается неустановленной.
После принятия решения о признании структуры баланса неудовлетворительной, а предприятия — неплатежеспособным у предприятия запрашивается дополнительная информация и проводится углубленный анализ его финансово-хозяйственной деятельности в целях выбора варианта проведения реорганизационных процедур для восстановления его платежеспособности или ликвидационных мероприятий.
8. Анализ взаимосвязи прибыли, движения оборотного капитала и потока денежных средств
Результаты анализа финансовых результатов должны быть согласованы с общей оценкой финансового состояния предприятия, которое в большей степени зависит не от размеров прибыли, а от способности предприятия своевременно погашать свои долги, т.е. от ликвидности активов. Последняя зависит от реального денежного оборота предприятия, сопровождающегося потоком денежных платежей и расчетов, проходящих через расчетный и другие счета предприятия. Поэтому желательная эффективность хозяйственной деятельности, устойчивое финансовое состояние будут достигнуты лишь при достаточном и согласованном контроле за движением прибыли, оборотного капитала и денежных средств.
Основным источником информации для проведения анализа взаимосвязи прибыли, движения оборотного капитала и денежных средств является баланс (ф. № 1), приложение к балансу (ф. № 5), отчет о финансовых результатах и их использовании (ф. № 2). Особенностью формирования информации в этих отчетах является метод начислений, а не кассовый метод. Это означает, что полученные доходы, или понесенные затраты могут не соответствовать реальному “притоку” или “оттоку” денежных средств на предприятии.
В отчете может быть показана достаточная величина прибыли и тогда оценка рентабельности будет высокой, хотя в то же время предприятие может испытывать острый недостаток денежных средств для своего финансирования. И наоборот, прибыль может быть незначительной, а финансовое состояние предприятия — вполне удовлетворительным. Показанные в отчетности предприятия данные о формировании и использовании прибыли не дают полного представления о реальном процессе движения денежных средств. Например, достаточно для подтверждения сказанного сопоставить величину балансовой прибыли, показанной в ф. № 2 отчета о финансовых результатах и их использовании с величиной изменения денежных средств в балансе (стр. 270-310). Прибыль является лишь одним из факторов (источников) формирования ликвидности баланса. Другими источниками являются кредиты, займы, эмиссия ценных бумаг, вклады учредителей, прочие.
Поэтому в некоторых странах в настоящее время отдается предпочтение отчету о движении денежных средств как инструменту анализа финансового состояния фирмы. Например, в США с 1988 года введен стандарт, по которому предприятия, вместо составлявшегося ими до этого отчета об изменениях в финансовом положении, должны составлять отчет о движении денежных средств. Такой подход позволяет более объективно оценить ликвидность фирмы в условиях инфляции и с учетом того, что при составлении остальных форм отчетности используется метод начисления, то есть он предполагает отражение расходов независимо от того, получены или уплачены соответствующие денежные суммы.
Отчет о движении денежных средств — это документ финансовой отчетности, в котором отражаются поступление, расходование и нетто-изменения денежных средств в ходе текущей хозяйственной деятельности, а также инвестиционной и финансовой деятельности за определенный период. Эти изменения отражаются так, что позволяют установить взаимосвязь между остатками денежных средств на начало и конец отчетного периода.
Отчет о движении денежных средств — это отчет об изменениях финансового состояния, составленный на основе метода потока денежных средств. Он дате возможность оценить будущие поступления денежных средств. проанализировать способность фирмы погасить свою краткосрочную задолженность и выплатить дивиденды, оценить необходимость привлечения дополнительных финансовых ресурсов. Данный отчет может быть составлен либо в форме отчета об изменениях в финансовом положении с заменой показателя “чистые оборотные активы” на показатель “денежные средства”), либо по специальной форме, где направления движения денежных средств сгруппированы по 3-м направлениям: хозяйственная (операционная) сфера, инвестиционная и финансовые сферы.
В сфере производственно-хозяйственной деятельности отражаются статьи, которые используются при расчете чистой прибыли в отчете о прибылях и убытках. Сюда включаются такие поступления, как оплата покупателями товаров и оказанных услуг, проценты и дивиденды, уплаченные другими компаниями, поступления от реализации необоротных активов. Отток денежных средств вызывается такими операциями, как выплата заработной платы, выплата процентов по займам, оплата продукции и услуг, расходы по выплате налогов и другие. Эти статьи корректируются на поступления и расходы начисленные, но не оплаченные или начисленные, но не требующие использования денежных средств. Кроме того, исключаются во избежание повторного счета статьи, влияющие на чистую прибыль, которые рассматриваются в разделах финансовой и инвестиционной деятельности.
Таким образом, для расчета прироста или уменьшения денежных средств в результате производственно-хозяйственной деятельности необходимо осуществить следующие операции:
1) Рассчитать оборотные активы и краткосрочные обязательства, исходя из метода денежных потоков. При корректировке статей оборотных активов следует их прирост вычесть из суммы чистой прибыли, а их уменьшение за период прибавить к чистой прибыли. это обусловлено тем, что оценивая оборотные активы по методу потока денежных средств, мы завышаем их сумму, то есть занижаем прибыль. На самом деле прирост оборотных средств не влечет за собой увеличения денежных средств в такой же степени, что и прибыли.
При корректировке краткосрочных обязательств, наоборот, их рост следует прибавить к чистой прибыли, так как этот прирост не означает оттока денежных средств; уменьшение краткосрочных обязательств вычитается из чистой прибыли.
2) Корректировка чистой прибыли на расходы, не требующих выплаты денежных средств. Для этого соответствующие расходы за период необходимо прибавить к сумме чистой прибыли. Примером таких расходов является амортизация материальных необоротных активов.
3) Исключить влияние прибылей и убытков, полученных от неординарной деятельности, таких как результаты от реализации необоротных активов и ценных бумаг других компаний. Влияние этих операций, учтенное также при расчете суммы чистой прибыли в отчете о прибыли, элиминируется во избежание повторного счета: убытки от этих операций следует прибавить к чистой прибыли, а прибыли — вычесть из суммы чистой прибыли.
Инвестиционная деятельность включает в основном операции, относящиеся к изменениям в необоротных активах. Это — “Реализация и покупка недвижимости”, “Продажа и покупка ценных бумаг других компаний”, “Предоставление долгосрочных займов”, “Поступление средств от погашения займов”.
Финансовая сфера включает такие операции, как изменения в долгосрочных обязательствах фирмы и собственном капитале, продажа и покупка собственных акций, выпуск облигаций компании, выплата дивидендов, погашение компанией своих долгосрочных обязательств. В каждом разделе отдельно приводятся данные о поступлении средств и об их расходовании по каждой статье, на основании чего определяется общее изменение денежных средств на конец периода как алгебраическая сумма денежных средств на начало периода и изменений за период.
Рассмотрим алгоритм работы с отчетом о движении денежных средств.
В разделе производственно-хозяйственной деятельности сумма чистой прибыли корректируется на следующие статьи:
1) прибавляются к чистой прибыли: амортизация, уменьшение счетов к получению, увеличение расходов будущих периодов, убытки от реализации нематериальных активов, увеличение задолженности по уплате налога.
2) вычитаются: прибыль от продажи ценных бумаг, увеличение авансовых выплат, увеличение МЗП (материально-производственных запасов), уменьшение счетов к оплате, уменьшение обязательств, уменьшение банковского кредита.
В разделе инвестиционной деятельности:
1) прибавляются: продажа ценных бумаг и материальных необоротных активов,
2) вычитаются: покупка ценных бумаг и материальных необоротных активов.
В сфере финансовой деятельности:
1) прибавляются эмиссия обычных акций.
2) вычитаются: погашение облигаций и выплата дивидендов.
В завершение анализа производится расчет денежных средств на начало и конец года, позволяющий говорить об изменениях в финансовом положении фирмы.
Факторами изменения прибыли являются затраты, включаемые в себестоимость продукции, изменение объема продаж в кредит, начисление налогов и дивидендов и др.
Отчетная прибыль корректируется также на величину поправок, не отражающих движение денежных средств:
а) амортизация основных средств и нематериальных активов;
б) убыток от реализации основных средств и нематериальных активов;
в) прибыль от реализации основных средств;
г) затраты на научно-исследовательские и опытно-конструкторские работы.
Сумма корректировки отчетной прибыли составит величину DР:
DР = а + б - в - г
Итого “денежная” прибыль или реальный приток наличности составит величину Д:
Д = Р + DР
где: Д — изменение денежных средств по балансу;
Р — прибыль отчетная по ф. № 2;
DР — сумма корректировки.
Причиной расхождения между величинами Р и Д является, как отмечалось выше, метод учета доходов.
Важной компонентой финансового состояния является движение оборотного капитала или текущих активов предприятия. С оборота мобильных активов как бы начинается весь процесс обращения капитала, приводится в движение вся цепочка хозяйственной деятельности предприятия. Поэтому факторам ускорения оборотных средств, синхронизации движения оборотного капитала с прибылью и денежными средствами следует уделять максимум внимания.
Факторами “притока” оборотного капитала являются:
реализация товаров,
реализация имущества,
рост дебиторской задолженности,
реализация акций и облигаций за наличные.
Факторами “оттока” оборотного капитала являются:
закупки сырья и материалов,
приобретение объектов основных средств,
выплата заработной платы,
уплата % за кредиты,
увеличение резерва по сомнительным долгам,
списание запасов товарно-материальных ценностей как потери,
начисления на заработную плату.
Для увязки изменений прибыли, оборотного капитала и денежных средств необходимо выполнить несколько предварительных расчетов.
Первый расчет — это определение объема закупок материалов за отчетный период:
М = Rп + D KZ,
где: М — объем закупок материалов за отчетный период;
Rп — расчеты с поставщиками (погашенная в отчетном периоде кредиторская задолженность);
D KZ — изменение остатков кредиторской задолженности.
Второй расчет — это определение суммы материальных затрат, включаемых в себестоимость продукции:
MZ = M - D Z,
где: MZ — материальные затраты, включаемые в себестоимость продукции;
D Z — изменение остатков производственных запасов и затрат.
Третий расчет — это определение суммы денежных поступлений от дебиторов:
DZ = N - D RA,
где: DZ — денежные поступления от дебиторов;
N — выручка от реализации продукции без налога на добавленную стоимость, акцизов и спецналога;
D RA — изменение остатков дебиторской задолженности за отчетный период.
Методику анализа изменений прибыли, оборотного капитала и денежных средств рассмотрим на примере следующих исходных данных (табл. 11):
Таблица 11.
Исходные данные для анализа движения денежных средств
|
Показатели |
Сумма, тыс. руб. |
Источник информации |
|
Состояние на начало отчетного периода |
||
|
Запасы |
600 |
ф. № 1 |
|
Дебиторы |
85 |
ф. № 1 |
|
Кредиторы |
160 |
ф. № 1 |
|
Основные средства |
1137 |
ф. № 1 |
|
Операции за отчетный период |
||
|
Реализация |
4137 |
ф. № 2 |
|
Расчеты с поставщиками |
438 |
ф. № 2 |
|
Расходы по оплате труда |
1950 |
ф. № 2 |
|
Приобретение основных средств |
889 |
ф. № 5 |
|
Начислено амортизации |
969 |
ф. № 5 |
|
Состояние на конец периода |
||
|
Запасы |
653 |
ф. № 1 |
|
Дебиторы |
94 |
ф. № 1 |
|
Кредиторы |
284 |
ф. № 1 |
|
Основные средства |
1304 |
ф. № 1 |
Пользуясь приведенными выше формулами, вычислим:
1) объем закупок материалов
562 = 438 + (284 - 160).
2) Объем материальных затрат, включаемых в себестоимость продукции
509 = 562 + (653 - 600).
3) Денежные поступления от дебиторов
4128 = 4137 + (94 - 85).
В таблице 12 даны результаты балансировки движения денежных средств.
Таблица 12.
Анализ движения денежных средств
|
Прибыли и убытки |
Оборотный капитал |
Денежные средства |
|
|
1. Поступления средств: |
|||
|
реализация продукции |
4137 |
4137 |
— |
|
прирост запасов |
— |
53 |
— |
|
денежные средства |
— |
— |
4128 |
|
2. Расходы: |
|||
|
материальные затраты |
509 |
— |
— |
|
закупки материалов |
— |
562 |
— |
|
оплата материалов |
— |
— |
438 |
|
оплата труда |
1950 |
1950 |
1950 |
|
приобретение основных средств |
— |
889 |
889 |
|
амортизация |
969 |
— |
— |
|
3. Чистые поступления |
|||
|
(расход) средств |
709 |
789 |
851 |
Итоги чистых поступлений средств балансируются между собой следующей системой расчетов:
789 = 709 + 969 - 889
789 = 851 + (653 - 600) + (94 - 85) - (284 - 160)
851 = 709 +969 - 889 - (653 - 600) - (94 - 85) + (284 - 160).
В рассматриваемом примере приток оборотного капитала является результатом полученной прибыли — 709 тыс. руб. плюс начисленной амортизации 969 тыс. руб. минус затраты на приобретение основных средств в сумме 889 тыс. руб.
Чистый приток денежных средств в сумме 851 тыс. руб. образовался в результате сальдирования сумм притока и оттока средств. Приток средств образовался за счет прибыли 709 тыс. руб.), амортизации (969 тыс. руб.), роста кредиторской задолженности (124 = 284 -160).
Отток денежных средств вызван приобретением основных средств (889 тыс. руб.), ростом запасов на сумму 53 тыс. руб. (653-600), ростом дебиторской задолженности на сумму 9 тыс. руб. (94-85).
Заключение
Из выполненной курсовой работы можно сделать следующие выводы:
* Статистика финансовой деятельности предприятия изучает качественную сторону показателей в неразрывной связи с качественной стороной.
* Основная ценность статистического анализа заключается в том, что он позволяет проследить влияние различных факторов на конечный показатель или результат.
* В условиях нестабильной экономики и высокой инфляции анализ финансового положения несколько затруднен, т.к. некоторые финансовые показатели не всегда адекватно отражают действительное финансовое положение предприятия. Поэтому анализ динамики некоторых финансовых показателей следует производить с использованием так называемых дефилирующих коэффициентов, которые рассчитываются в зависимости от среднего индекса цен (на потребительские товары или товары производственного назначения) в тот период времени, когда рассчитываются финансовые коэффициенты. Тем самым убирается так называемая инфляционная составляющая.
Литература
1. Баканов М.И., Шеремет А.Д. Теория экономического анализа.— М.: Финансы и статистика, 1993.— 288 с.
2. Бухгалтерский анализ. (Рекомендовано институтом банковского дела). Перевод с англ. / Под ред. М.А. Гольцберга и Л.М. Хасан-Бек. Киев, 1993.—428 с.
3. Патров В.В., Ковалев В.В. Как читать баланс.— М.: Финансы и статистика, 1993.— 256 с.
4. Финансовый менеджмент.— Под ред. Е.С. Стояновой.— М.: Перспектива, 1993. — 268 с.
5. Четыркин Е.М. Методы финансовых и коммерческих расчетов.— М.: Дело, 1992.— 320 с.
6. Шеремет А.Д. и др. Методика финансового анализа предприятия.—М.: Дело, 1992.— 320 с.
7. Статистика. Курс лекций. Л.П. Харченко, В.Г. Ионин и др. Новосибирск, НГАЭиУ, 1997.















