Управление устойчивым развитием
Управление устойчивым развитием
Михаил Мажаров
Необходимость и неизбежность перехода существующих мировых систем хозяйствования на рельсы устойчивого развития не вызывает сейчас ни у кого серьезного сомнения [1,2]. Это обусловлено, прежде всего, тем, что существующая индустриальная цивилизация основана на интенсивном использовании невозобновимых минерально-сырьевых ресурсов [3]. Такая форма жизнедеятельности ставит под сомнение неотъемлемое право всех будущих поколений иметь такие же возможности по доступу к ресурсам и социальному благу, которые мы имеем сейчас. Под сомнение ставится сама ценность социального и научно-технического прогресса, развернувшегося в прошлом столетии.
Альтернативой тупиковому развитию современной индустриальной цивилизации является переход к устойчивому развитию, провозгласившему принцип равных возможностей для всех будущих поколений. Такой переход означает коренное изменение сложившихся форм взаимоотношений современного человека с окружающей средой и управления социальным развитием [1,2]. При этом эффективность управления социальным развитием будет играть решающую роль, так как имеющие место в современных общественно-экономических формациях серьезные социальные противоречия, конфликты и перекосы достигли планетарного масштаба. В условиях мировой экономической глобализации эти противоречия способны потрясти сами основы жизнедеятельности, ввергнув мировые цивилизации в длительный период деградации и регресса [2]. Конкретные исторические примеры подобных катаклизмов имели место не только в древней истории. Можно утверждать, что большинство из них, не ослабевая и трансформируясь, перешли в наше время. При этом масштаб этих потрясений постоянно увеличивался, втягивая в свою орбиту не только экономические и ресурсные, но и новые – глобальные экологические проблемы. Эти процессы затрагивают ныне всех жителей Земли. Без сомнения, события конца 2001 года стали поворотным моментом, ознаменовавшим начало кардинального изменения в экономических укладах разных стран и межгосударственных взаимоотношениях.
Новые складывающиеся реальности требуют коренного изменения системы управления социальным развитием, способным разрешить основные накопившиеся социальные проблемы и представить социальную альтернативу, обеспечивающую переход к устойчивому развитию.
В основу такой системы можно положить представление об индексе социального развития (ИСР), которое развивается в работах Института проблем природопользования и экологии НАН Украины с 1997 года [4...7] в связи с исследованием социально-экономических условий перехода регионов к устойчивому развитию. Эти работы были признаны и утверждены Постановлением Президиума НАН Украины №222 от 24.06.98 «О научных основах подхода к обоснованию критериев и показателей устойчивого развития, различных ландшафтно-климатических регионов Украины» [8].
ИСР является существенным развитием и углублением известного индекса человеческого развития (ИЧР), который используется в практике ООН [10] для ежегодной суммарной оценки достижений различных стран в области развития. Известно, что ИЧР состоит из трех равновесомых, отнормированных показателей, которые представляют: среднюю продолжительность жизни в стране, процент грамотности взрослого населения и удельный, на душу населения, произведенный ВВП. ИСР, в отличие от ИЧР, образуется в результате агрегирования разветвленной системы показателей, разбитой на следующие четыре блока: материальное развитие, развитие интеллектуальных ресурсов, защищенность жизнедеятельности и развитие человеческих ресурсов. Система промежуточных, агрегированных показателей, носящих обобщающий информационный характер, основывается на исходной группе базовых показателей, отнормированной для последующей интеграции. Эта исходная группы состоит из более чем 50-ти разноплановых базовых социометрических величин, которые призваны отражать и охватить все основные стороны социального и экономического развития населения исследуемого региона. Процедура последовательного агрегирования или интегрирования показателей проводится, в основном, методом расчета среднегеометрического взвешенного величин, каждая из которых представляет собой критическую величину по отношению ко всей системе своих сводных величин. Последнее означает, что выход любой из указанной величины за установленный критический уровень означает переход всех последующих агрегированных величин и результирующего показателя ИСР в критическое состояние [6]. Таким образом, в системе оценки социального развития реализуется принцип ответственности каждого критического звена. При этом, что немаловажно, каждый показатель имеет свою весовую степень, которая устанавливается с применением специальной процедуры, например, методом попарного сравнения.
Использование представительной номенклатуры исходных базовых социометрических величин, их нормирование по соответствующим критериям благополучия и кризиса, последующее агрегирование, с использованием весовых степеней значимости, в промежуточные информативные показатели и результирующий ИСР дают возможность получения достаточно полной и точной картины социального благополучия в исследуемом регионе. Таким образом, достигается максимальная объективизация субъективного общественного представления о социальном благе, приближенная к конкретным условиям региона и выраженная в рациональном числовом измерении. Другими словами, ИСР выступает как объективная мера нашего коллективного субъективного представления о достигнутом или прогнозируемом социальном благе. Однако такое представление существует не само по себе, оно является следствием той системы жизнедеятельности, которая разворачивается в регионе и основу которой составляет ресурсопользование.
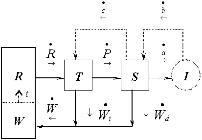
Ниже представлена упрощенная концептуальная модель жизнедеятельности, ресурсопользования и отходообразования [7], позволяющая проанализировать основные моменты систем хозяйствования и определить место ИСР в этих системах.
Основные структурные элементы и взаимосвязи в концептуальной модели жизнедеятельности, ресурсопользования и отходообразования (МЖРО)
Любая из существующих систем жизнедеятельности регионов является открытой, неравновесной системой, в основу которой положено региональное и межрегиональное ресурсопользование (см. рис.1). Эти системы существует в условиях непрерывного обмена с окружающей средой материальными, энергетическими и информационными компонентами.

Рис. 1. Концептуальная модель жизнедеятельности, ресурсопользования и отходообразования
Ресурсы R изымаются из природно-техногенной среды R|W и направляются в техносферу T. Техносфера представляет собой искусственно организованную технико-технологическую среду, где ресурсы R преобразуются в необходимые продукты P, а возникающие при этом промышленные отходы W>i> возвращаются в природно-техногенную среду. Продукты P направляются в социальную сферу S, где они перераспределяются между членами сообщества и потребляются, согласно действующим в социуме экономическим законам и правилам. Использованные или потребленные продукты также возвращаются в природно-техногенную среду в виде бытовых (коммунальных) отходов W>d>. Таким образом, преобразуемые социо-техносферами материальные ресурсно-отходные потоки замыкаются на природно-техногенной среде. Социум S существует как открытая неравновесная система, необратимо преобразующая невозобновимую часть ресурсов в накапливаемые отходы W. Следствием такого функционирования всей системы жизнедеятельности является временное изменение (R/W)•<0 (здесь и далее символ (•) обозначает производную по времени), которое по своей сути само является внутрисистемным временем, фиксирующим необратимый переход R в W (стрела t на рис.1). Описание простых открытых диссипативных структур, их временные представления, были подробно представлены в работах И.Пригожина и возглавляемой им Брюссельской школы.
Неустойчивый характер развития современной индустриальной цивилизации, возникшей в начале прошлого столетия, безусловно, связан с тем, что темпы преобразования R→W значительно опережают существовавшие до этого эволюционные изменения в биосфере в дотехногенную эпоху. И человек, как и любой биологический вид, оставаясь неразрывной частью биосферы, будучи сформированным ее эволюцией, не «успевает» за стремительным темпом изменений окружающей среды техногенного характера. Разрыв между эволюционными изменениями биосферы и «взрывоподобным» темпом развития техносферы критически обозначил двойственную суть бытия современного человека, способного разрушить не только свои собственные основы, но и увлечь за собой все биологические формы жизни.
Согласно общесистемному принципу, любая неравновесная структура, однажды возникнув вследствие качественного скачка предшествующих последовательных эволюционных изменений, способна к длительному, квазиустойчивому существованию как диссипативная система только в непрерывном материально-энергетическом потоке с производством энтропии. В этом отношении функционирование системы жизнедеятельности социума полностью подчиняется закономерностям открытых неравновесных структур. Следует особо отметить, что ключевые преобразования потоков в техносфере T и социосфере S в основном приближении описываются линейными закономерностями слабонеравновесных систем. Существует глубокая аналогия (изоморфизм) между процессами жизнедеятельности социума и такими известными явлениями как рассеивание (диссипация) и производство энергии участком электрической цепи или процессом фильтрации. Такая аналогия позволяет полнее понять и описать основные моменты функционирования системы жизнедеятельности при переходе от качественного рассмотрения к количественному анализу. В частности, при описании процессов R•→P•и R•→W•, как аналог разности потенциалов, возникает техносферная характеристика глубины и комплексности переработки ресурса. Последняя представляется в виде совокупной удельной мощности орудий производства техносферы T, выраженной как потенциальная возможность ресурсоотдачи.
Однако ключевым моментом МЖРО, представленной в [7], является введение в нее управляющего параметра I, пятого элемента среди четырех ранее известных элементов (см. рис.1), который напрямую может быть связан с ИСР в проблематике устойчивого развития.
Ноосферные и инновационные аспекты ИСР
В отличие от других элементов системы жизнедеятельности, представленных на рис.1, элемент I является не вещественным, он имеет информационную природу. Для его обозначения, равно как и для выделения иных не материальных (информационных и управляющих) связей, использованы пунктирные линии.
Элемент I обозначает в МЖРО место процедуры общественного восприятия и осознания уровня социального благополучия, которая складывается в социуме в результате удовлетворения, прежде всего, своих материальных потребностей в продуктах производства P (линия a• на рис.1). Именно здесь формируется общественно-значимое представление о достигнутом уровне благополучия и, как следствие, формируются целевые установки, сигнализирующие в социальную среду о неудовлетворенности и необходимости изменений регулирующего характера (линия b• на рис.1). Вырабатываемые в социосфере конкретные мероприятия могут носить как внутренний регулирующий характер, так и оказывать влияние на перестройку техносферы, изменяя физический характер ресурсопользования (линия c• на рис.1).
Стихийно складывающееся, не в полной мере представленное и/или искаженное отражение состояния общественного благополучия, которое имеет место в современной практике управления и регулирования жизнедеятельностью регионов, создало основу для большинства социальных коллизий, переходящих не только в социосферу, но и на базовый уровень ресурсопользования. Отсутствие четко определенного, социально-значимого ориентира общественного развития, а по сути подмена его такими узко корпоративными категориями как прибыль, банковский дивиденд и т.п., привели современную цивилизацию к системному социально-экономическому и ресурсно-экологическому кризису. Парадигма свободных рыночных отношений в духе Джона Локка полностью исчерпала себя. Экономический либерализм это не абсолютная догма, это закономерный этап начального освоения минеральных ресурсных запасов, когда их объем значительно уступает технологическим возможностям переработки. Иная реальность наступающей постиндустриальной эпохи неизбежно вызывает к жизни новые, социально-ориентированные рыночные и внерыночные отношения, в основу которых положено осознание конечности материально-ресурсных возможностей роста и полное высвобождение интеллектуальных, научно-технических и инновационных резервов развития.
С появлением ИСР процесс анализа социально-экономического состояния, разработки целевых установок и принятия управленческих решений может быть переведен на качественно новый уровень. Формализованная и структурированная процедура расчета ИСР представляет собой развернутую экспертную систему, аккумулирующую в себе опыт разнообразных экспертных групп. Такая система позволяет проанализировать все составные социально-экономического развития с единой методологической точки зрения, интегрально представленной в ИСР. Использование ИСР в качестве управляющего и оптимизирующего параметра в системе регулирования жизнедеятельности регионов означает переход на качественно новый уровень управления геопланетарными процессами. Представление о ноосфере, как о научном мышлении, превращенном в планетарную силу [10], приобретает конкретную форму и содержание.
Расчет величины I или ее изменения ∆I в связи с конкретной инновационной деятельностью в регионе позволяет выбрать оптимальный, социально-эффективный вариант из предлагаемых еще на стадии проектирования и прогнозирования или получить исчерпывающее представление о социальной эффективности на уже действующих хозяйственных объектах.
Беспрецедентные задачи, стоящие перед экспертной системой, основанной на расчете ИСР и его компонент, могут быть успешно решены только с привлечением широкого круга квалифицированных экспертов из различных областей знания и практики. Это связано, прежде всего, с необходимостью совершенствования самой структуры ИСР, с углубленной разработкой нормативов различных базовых величин, с экспертной оценкой весовых показателей, с необходимостью привлечения средств мониторинга, методов статистики и социологии. Такая система требует непрерывного обновления и сопровождения, подобно тому, как меняется общественное представление о благе и по мере продвижения к ориентирам устойчивого развития. Разработка и сопровождение экспертной системы ИСР представляется как серьезное мультидисциплинарное и междисциплинарное исследование, проводимое на постоянной основе. Для выполнения такой работы необходимо создание специального координирующего института, главным заданием которого станет выполнение основных системных исследований и координация работ специализированных институтов. Таким образом комплексное научное знание будет подготовлено к своей миссии – занять надлежащее ему место в системе управления геопланетарными процессами. Ликвидация критического разрыва между существующей системой управления и наукой придаст последней мощный импульс развития, ориентируя исследования на решение насущных проблем современности. В конечном итоге – решить важнейшие задачи национальной безопасности современных государств и мирового сообщества.
Эти изменения должны быть закреплены на законодательном уровне. На рубеже XXI века должно вызывать удивление отсутствие в законодательствах стран мира закона «О социально-экономической экспертизе» и Оценки социально-экономической эффективности ресурсопользования, подобно Закону «Об экологической экспертизе» и ОВОС. Первым шагом на этом пути должна стать успешная разработка и принятие Верховной Радой Украины «Концепции устойчивого развития Украины».
Разработка такой концепции не возможна без четкого научного и функционального определения понятия экологического пространства. Не будем подробно останавливаться на различных исторических этапах становления этого понятия, приведем ниже вариант логически вытекающий из МЖРО. Учитывая, что в основе любой жизнедеятельности лежит использование ресурсов, направленное на обеспечение некоторого уровня социального развития и вызывающее образование отходов, как следствие техногенеза, можно определить, что экологическое пространство это такая предельно допустимая интенсивность потребления ресурсов и накопления отходов, которая не ставит под сомнение право будущих поколений на достигнутый уровень социального развития и дружественная по отношение к иной биоте.
Основные элементы и их функции в системе управления устойчивым развитием
В работе [7] на основе концептуальной МЖРО было предложена аналитическая зависимость вида:
|
I = κ × R• |
(1) |
связывающее ресурсно-отходные потоки с величиной ИСР достигнутого системой жизнедеятельности. Эта зависимость представлена как линейное приближение общего соотношения I=I(R•)характерного для открытых неравновесных систем, каковой, в частности, является система жизнедеятельности.
Согласно этому соотношению важнейшей характеристикой любой систему жизнедеятельности является величина κ=|I|/|R•⊕W•| – показателя социально-экономической эффективности ресурсопользования. В числителе этого показателя мы имеем оценку достигнутого уровня социально-экономического развития, в знаменателе размешена оценка затраченных ресурсов и генерированных отходов. Таким образом, показатель κ более всего подходит на роль обобщающей характеристики экологической устойчивости систем жизнедеятельности различных уровней. Использование этого показателя позволяет перейти к разработке общей схемы управления устойчивым развитием.
На рис.2 представлена схема управления в основу которой положено представление о социально-экономической эффективности ресурсопользования.

Рис. 2. Система управления устойчивым развитием
Здесь тонкими линиями обозначены информационные потоки и управляющие воздействия, а открытые сегменты (R W и R–∆R W+∆W) представляют состояния природно-техногенной среды, соответственно, до и после завершения цикла жизнедеятельности.
Из социосферы выделены два блока: органы контроля и регулирования – собственно органы прямого управления, и органы анализа и мониторинга. Последние представляют собой специализированные центры научного прогнозирования, выполняющие две основные функции:
1) сбор и анализ данных по: социальному мониторингу (вектор I), ресурсному мониторингу (вектор R), экологическому мониторингу (вектор W), для последующей оценки социально-экономической эффективности ресурсопользования κ=|I|/|R•⊕W•| и выработки рекомендаций по текущему управлению для органов контроля и регулирования;
2) разработка планов действий достижения перспективных целей устойчивого развития для органов контроля и регулирования. Последнее осуществляется в несколько этапов:
2.1) научное прогнозирование, с использование самых разнообразных методов исследования;
2.2) стратегическое планирование, в тесной взаимной связи с разработкой целей и ориентиров устойчивого развития;
2.3) составление собственно планов действий и внедрение их в практику управления.
Оценка величин векторов |I|, |R⊕W| осуществляется на основе разнообразных процедур агрегирования с учетом экономических и внеэкономических весовых факторов.
Отметим, что уравнение (1) можно рассматривать как связывающее объективированные в ИСР человеческие потребности с приводимыми, посредством разнообразных процедур управления социальными и технологическими процессами, ресурсными потоками. Действительно, ИСР представляет собой агрегированные в интегральную величину отдельные социометрические компоненты I>k> с характерными весовыми факторами ω>k>. Иерархия социальных потребностей, в соответствии с величиной |ω>k>⊕I>k>| каждой компоненты ИСР, объективно отражает (насколько это возможно) социально-значимые приоритеты функционирования систем жизнедеятельности. Последующее действие осуществляется независимо от того, в какой степени объективным является представление об иерархии социальных потребностей в общественном сознании. «Невидимая рука» регулирования приводит в действие всю систему жизнедеятельности. Однако, и зачастую к сожалению, это ни как не исключает «искажений» целевых и программных установок процессов управления в силу их субъективистической природы. Всякое управленческое решение является «преломленной через призму субъективизма» общественной потребностью. Поэтому, задача максимальной объективизации, на основе точных научных методов, управляющих воздействий систем регулирования жизнедеятельности выходит на первый план в проблематике перехода мирового сообщества на рельсы устойчивого развития.
Основные выводы
Исторический опыт, и прежде всего современный, социально-экономического развития различных стран свидетельствует, что ключевым элементом обеспечивающим успех в продвижении к устойчивому развития является не собственно наличие богатых природных ресурсов или передовых технологий, а совершенство форм и социальная направленность систем управления доминирующих в общественной практике. Поэтому переход к устойчивому развитию представляет собой процесс вхождения систем жизнедеятельности в экологическое пространство обусловленный глобальной научно-технической и социальной инновацией в сфере управления жизнедеятельностью, которая ставит во главу угла социально-экономическую эффективность ресурсопользования. Показатель κ=|I|/|R•⊕W•| играют решающую роль в оценке степени продвижения систем жизнедеятельности в направлении устойчивого развития. При этом системы управления различных уровней, начиная от низовой – управление конкретным технологическим процессом и заканчивая взаимодействием на уровне мирового сообщества, несмотря на их относительную замкнутость и циклический характер функционирования должны быть соподчинены и гармонизированы, на сколько это необходимо и возможно, как по целевым, так и по программным установкам, образуя сквозную систему управления ноосферой.
На переходном этапе, в процессе достижения экоустойчивости, основанием для использования квоты невозобновимого ресурса и генерации отходов является не простое поддержание достигнутого уровня социоэкономического развития, а такая научно-техническая и/или социальная инновация, которая позволит компенсировать уменьшающийся физический запас природного ресурса и аккумулирующих возможностей природно-техногенной среды, сохраняя или повышая потенциальные возможности их социальной отдачи при дальнейшем использовании.
Экоустойчивость – это замкнутое или практически замкнутое, с учетом резерва повышения социо-техно-эффективности ресурсопользования, обращение веществ в геотехносфере, подобное биогеоценозу, которое сохраняет реальную возможность для возращения к исходным формам жизнедеятельности, как преодоление глобальной необратимости.
Список литературы
Повестка дня на XXI век. – М.: СоЭС, 1998. – 218с.
ЗабелинС., КортенД., МедоузД., Норберг-ХоджХ., ШубертК. Глобализация или устойчивое развитие. – М.: СоЭС, 1998. – 85с.
SpangenbergJ.H. The Study. Towards Sustainable Europe. – Wuppertal: Wuppertal Institute, 1995. – 268p.
Методические подходы к выбору стратегии устойчивого развития территорий. / В 2-х томах под общей ред. ШапаряА.Г. – Днепропетровск: ИППЭ НАН Украины, 1996. – 334с.
Методичні підходи до вибору та обґрунтуванню критеріїв і показників сталого розвитку різних ландшафтних регіонів України. – Дніпропетровськ: ІППЄ НАН України, 1999. – 88с.
МажаровМ.В. Методологические основы расчета интегрального показателя социального развития в горнодобывающих регионах. // Геотехническая механика. – Днепропетровск, 1999. – Вып. №12. – С.112...116.
МажаровМ.В. Проблемы устойчивого развития в ресурсодобывающих регионах. // Геотехническая механика. – Днепропетровск, 1999. – Вып. №13. – С.132-137.
ШапарА.Г. Від концепції – до конкретних діл. // Вісник НАН України, №4, 1999. – С.12...19.
Україна. Людський розвиток. – К.: ПРООН, 1999. – 96с.
ВернадскийВ.И. Научная мысль как планетарное явление. – М.: Наука, 1977. – 145с.