Некоторые аспекты накопления 90Sr и 90Y в березовом соке
Некоторые аспекты накопления 90Sr и 90Y в березовом соке
к.с-х.н. Переволоцкий А.Н., к.с-х.н. Булавик И.М., Диденко Л.Г.
Радионуклиды в экологических исследованиях часто используются в качестве метки, с помощью которой удобно отслеживать движение их химических и изотопных аналогов. Так, 137Cs отражает миграцию калия и стабильного цезия, 90Sr v кальция и стабильного стронция. Поэтому изучение перераспределения искусственных радионуклидов в экосистемах имеет важное значение для более глубокого понимания механизмов функционирования природных сообществ.
В данном аспекте удобным объектом исследования корневого поступления радионуклидов для березы обыкновенной является ее сок в период интенсивного весеннего сокодвижения. В его составе находятся не только сахара и аминокислоты, запасенные в предыдущий вегетационный период, но и минеральные и органические соединения, поступившие из почвы. Именно это и позволяет оценить корневую доступность широкого спектра веществ. Однако, если концентрация основных минеральных элементов, имеющих биогенное значение, в соке изучена в достаточной степени /1-3/, то для радионуклидов подобные исследования начали проводится только в последние годы и связано это с радиоактивным загрязнением окружающей среды в результате аварии на ЧАЭС. Причем, при довольно подробном изучении закономерностей корневого поступления 137Сs в березовый сок /4-6/, эти вопросы для 90Sr и для его дочернего радионуклида - 90Y практически не изучены. Поэтому целью данного исследования являлось изучение особенностей накопления радионуклидов 90Sr и 90Y в березовом соке.
Объекты и методика исследований
Исследования проводились на стационарных опытных объектах сектора радиологии леса Института леса НАНБ в дальней зоне радиоактивного загрязнения в кв.340 Добрушского лесничества Гомелского лесохоза и кв.168 Ветковского лесничества Ветковского спецлесхоза (170 км северо-западнее ЧАЭС). Сосново-березовые насаждения на пробных площадях относятся к мшистому типу леса, их возраст составляет 40-60 лет. Радиометрический анализ почвы показал, что поверхностная активность 90Sr в пределах указанных кварталов составляла 24-41 кБк/м2.
На каждой пробной площади подсачивалось 3-5 деревьев. При подсочке в каждом из них специальным буравом в комлевой части просверливалось отверстие диаметром 1,5 см и на глубину 1 см непосредственно под которым закреплялся металлический желобок. В месте отбора прикреплялся полиэтиленовый пакет, что позволило до минимума сократить привнесение радиоактивности извне. Длительность отбора одной пробы составляла около 1 суток и за это время объем заготовленного сока составлял 2-3 литра. После завершения отбора пробы подкислялись, переливались в полиэтиленовые емкости и доставлялись в лабораторию. В кв. 168 отбор был произведен 8 апреля, а в кв. 340 - 13 апреля.
Определения объемной
концентрации радионуклидов в березовом
соке производилось
-радиометром
EL-1311 ?Атомтех¦. Для исследования спектров
излучения в данном приборе используется
планарный детектор типа ?Фосвич¦,
состоящий из пластикового сцинтиллятора
мм
для регистрации
-излучения
и неорганического сцинтиллятора СsI(Tl)
мм
для исследования спектра
-излучения.
Определение концентрации 90Sr
проводится методами
-радиометрии
по излучению дочернего 90Y,
причем предполагается наличие
радиоактивного равновесия между
материнским и дочерним радионуклидами
в исследуемой пробе /7/. В качестве
выходного параметра программное
обеспечение радиометра приводит величину
суммарной объемной b -активности по
смеси 90Sr+90Y.
Приборная эффективность регистрации
90Sr
и 90Y
составляет 5,1 х 10-3
л х Бк-1 х
с-1/7/.
Измерение проб проводилось в стандартных
200 мл сосудах. Время измерения каждой
пробы составляло 40-60 минут.
Результаты и обсуждение
При проведении повторных радиометрических анализов проб березового сока, отобранных в кв. 168 8 апреля, было замечено, что суммарная объемная активность 90Sr+90Y в них снизилась от 195-240 Бк/л до 105-151 Бк/л примерно за трое суток (табл.1). Схожий характер уменьшения объемной концентрации указанных радионуклидов был зафиксирован и на 10 других опытных объектах в Ветковском и Гомельском лесхозах, где нами проводятся многолетние мониторинговые исследования за накоплением радионуклидов в березовом соке. Причиной этого явления, по нашему мнению, могло быть нарушение в березовом соке радиоактивного равновесия между 90Sr и 90Y в пользу дочернего радионуклида. Для подтверждения этой гипотезы и установления временных параметров изменения объемной активности был проведен специальный эксперимент, при котором пробы сока, отобранные в кв.340, подвергались радиометрическому анализу в течение месяца. Первоначально измерения проводились ровно через сутки, а после 18 апреля через двое-трое суток. Сроки между измерениями и их результаты приведены в табл. 1.
Согласно данным, приведенным в таблице 1, суммарная объемная активность 90Sr+90Y в березовом соке из кв. 340 через 10 часов после отбора проб составляла 200-280 Бк/л. Оценивая временную динамику объемной концентрации радионуклидов, нетрудно заметить во всех пробах монотонное снижение этого показателя с последующим выходом на плато при 45-50 Бк/л по истечению 200-250 часов после отбора пробы. При этом наиболее интенсивно объемная активность уменьшается в первые трое суток.
Очевидно, что выявленное уменьшение объемной активности 90Sr+90Y в березовом соке при указанных в методике особенностях измерении данным прибором, может быть определено как раз нарушением радиоактивного равновесия между этими генетически связанными радионуклидами в сторону дочернего радионуклида. В противном случае возможны были бы два варианта:
объемная активность не претерпевала никаких изменений во времени. Этому случаю соответствовало бы поступление обоих радионуклидов из почвы в березовый сок в равных количествах;
объемная активность увеличивалась во времени с последующим выходом на плато. Этому случаю соответствует более интенсивное поступление 90Sr в березовый сок из почвы по сравнению с 90Y. В дальнейшем, по мере распада материнского радионуклида, количество дочернего будет возрастать до установления состояния радиоактивного равновесия между ними. Подобное увеличение могло быть зафиксировано радиометром при измерении одних и тех же пробы в течение длительного времени.
Можно предположить,
что корневое поступление генетически
связанных 90Sr
и 90Y
в березу происходит по различным
закономерностям, из-за чего радиоиттрий
поступает более интенсивно, чем
радиостронций. Поэтому, непосредственно
после отбора объемная
-активность
березового сока максимальна. В дальнейшем,
происходит радиоактивный распад
?избыточно¦ поступившего 90Y
и концентрация уменьшается до тех пор,
пока между материнским и дочерним
радионуклидами не установится состояние
радиоактивного равновесия.
Фактически, задача сводится к классическому в ядерной физике случаю исследования динамики объемной активности смеси материнского и дочернего радионуклидов, для которой характерно смещение радиоактивного равновесия в сторону последнего. Для более точного определения соотношения радионуклидов на момент отбора, позволяющего оценить уровни их поступления в березовый сок, динамика объемной активности для радиоиттрия была смоделирована математически:
Ac>t>Y
= Ac>0>Yexp(-0.693
t / T)+ Ac>0>Sr[1-exp(-0.693
t/T)],
(1)
где
Ac>t>Y>
>v объемная
-активность
90Y
в березовом соке в момент времени t;
Ac>0>Y
v объемная
-активность
90Y
в березовом соке в момент начала отбора;
Ac>0>Sr
- объемная
-активность
90Sr
в березовом соке в момент начала отбора,
но учитывая большой период полураспада
радиостронция, ее можно принять постоянной
в течение 720 часов измерений на протяжении
всего эксперимента;
t v время в часах с начала отбора сока;
T v период полураспада радиоиттрия в часах (64 часов).
Данное уравнение состоит из слагаемых, отражающих прохождение двух разновекторных процессов. Первый член соответствует радиоактивному распаду ?избыточно¦ поступившего в сок (по отношению к материнскому 90Sr) дочернего 90Y, второй v накоплению радиоиттрия, вызванного распадом материнского радиоизотопа.
Нетрудно заметить,
что при времени t значительно меньшем
за период полураспада материнского
радионуклида этот случай подвижного
равновесия можно рассматривать как
вековое равновесие. Необходимыми
условиями при этом является соблюдение
отношений постоянных распада
>мат>
<<
l
>доч.>
и неизменности в течение времени
эксперимента, равного многим периодам
полураспада дочернего радионуклида,
активности материнского. Важным
допущением, также, является равенство
коэффициентов счетности материнского
и дочернего радионуклидов.
На рис. 1 приведена графическая интерпретация расчета динамики активности радиоиттрия в смеси 90Y+90Sr при отношении их активностей как 50:10.
Суммарная активность 90Y (линия 4) изменяется, как уже говорилось выше, за счет прохождения двух разнонаправленных процессов. С одной стороны, избыточно поступившая в сок (по отношению к материнскому 90Sr) доля радиоиттрия претерпевает радиоактивный распад, что отмечено линией 1. Но с другой стороны, идет накопление дочернего радионуклида в соке за счет распада материнской фракции (линия 3). Суммирование этих двух разновекторных процессов, в итоге, приводят к более медленному изменению суммарной активности, отраженному линией 4. При этом нетрудно заметить, что динамика активности будет зависеть от начального соотношения активностей 90Y/ 90Sr в отобранной пробе v чем оно выше, тем более резкими будут изменения. Важность оценки этого соотношения активностей в момент отбора сока состоит в том, что оно отражает фактические концентрации радионуклидов в растении.

Рис.1. Графическая интерпретация расчетной активности смеси изотопов 90Y и 90Sr
Параметры для
уравнения 1 несложно определить из
табл.1 исходя из условия предполагаемого
радиоактивного равновесия в пробе [7].
Так, Ac>t>Y
=Ac>t>
/2 может быть вычислена из табл. 1 для
любого момента измерения t. В нашем
случае, для деревьев в кв.340, она снижается
от 100-140 Бк/л при t=10 часов до 20-30 Бк/л при
t=250-710 часов. Ac>0>Sr
также равна Ac>t>
/2, однако, эта величина может быть
корректно определена при фактически
установившемся радиоактивном равновесии
между радиостронцием и радиоиттрием,
т.е., как минимум, по истечении 250-300 часов
после отбора пробы. Для деревьев в кв.
340 она будет находится на уровне 20-30
Бк/л. В целом же, учитывая большой период
полураспада 90Sr
можно принять Ac>0>Sr=const
в течение всего времени эксперимента.
Таким образом, с помощью представленных
величин и данных табл. 1 по уравнению
(1) была рассчитана начальная объемная
-активность
радиоиттрия Ac>0>Y,
соответствующую его содержанию на
момент отбора сока t=0 (табл.2).
Начальная объемная активность радионуклидов в березовом соке, Бк/л
|
Показатели |
Номера модельных деревьев |
||||
|
¦1 |
¦2 |
¦3 |
¦4 |
¦5 |
|
|
Ac>0>Y, Бк/л |
143 |
119 |
128 |
120 |
114 |
|
Ac>0>Sr, Бк/л |
30 |
24 |
27 |
26 |
24 |
|
Отношение Ac>0>Y / Ac>0>Sr |
4,77 |
4,96 |
4,74 |
4,62 |
4,75 |
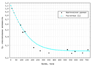
После того, как были определены все неизвестные величины в уравнении 1, Ac>t>Y была рассчитана теоретически для произвольного момента времени t. На рис. 2 приведено среднее значение, нормированных объемных активностей на момент первого измерения (примерно 10 часов после отбора).
О высокой адекватность
теоретических данных фактическим
результатам свидетельствуют высокие
значения корреляционных отношений
между ними
=0,964-0,982
при нулевом уровне значимости,
относительной ошибки аппроксимации v
8-9%, а критерия соответствия
=
4,74-9,48 при
>табл>=23,685.

Рис. 2. Динамика
объемной
-активности 90Y
в березовом соке в относительных единицах
по всем модельным деревьям
Таким образом, установленное нами отношение Ac>0>Y / Ac>0>Sr=4,6-4,9 позволяет однозначно утверждать о превышение поступления радиоиттрия в березу по сравнению с материнским 90Sr, традиционно считающимся высокомобильным в системе почва-растение. Если же рассматривать 90Y как радиоактивную метку стабильного иттрия, то становится очевидным, что потоки последнего в экосистеме березового леса могут быть достаточно интенсивными. Вероятно, подобное явление может быть связано со способностью иттрия к комплексообразованию с различными органическими веществами, обладающими высокой растворимостью и подвижностью. Кроме того, ионный радиус данного элемента ниже, чем у стронция, с чем также может быть связано несколько большее поступление в растения. Пока сложно говорить и переносимости полученных результатов на другие древесные растения, в дальнейшем планируется продолжить исследования по этой теме.
Выводы:
Измерение концентрации
90Sr
методами
-радиометрии
по излучению дочернего 90Y
в биологических объектах следует
проводить только при условии установления
радиоактивного равновесия между этими
генетически связанными радионуклидами
по истечению 200-250 часов с момента отбора
пробы.
Поступление 90Y в березовый сок происходит в 4,6-4,9 ( в среднем в 4,75) раза более интенсивно, чем, 90Sr. Это позволяет говорить о более высокой биологической активности в экосистеме березового леса радиоиттрия.
Список литературы
1. Орлов И.И., Рябчук В.П. Березовый сок. // М.: Лесная промышленность. - 1982. - 55 с.
2. Рябчук В.П. Соки лиственных деревьев (Получение и использование). // Львов: Вища школа, 1988. - 150 с.
3. Leaf A.L. Watterston K.C. Chemical analysis of sugar maple sap and foliage as related to sap and sugar yields // Foresn Science. 1964. Vol.10 ¦3. - P.228-292.
4. Кучма Н.Д., Архипов Н.П., Федотов И.С. и др. Радиоэкологические и лесоводственные последствия загрязнения лесных экосистем зоны отчуждения // Чернобыль., 1994. - 53 с.
5. Мухамедшин К.Д., Чилимов А.И., Мишуков Н.П. и др. Лесное хозяйство в условиях радиации. - М.:ВНИИХлксхоз. - 1995. - 53 с.
6. Лес, Человек, Чернобыль. Лесные экосистемы после аварии на Чернобыльской АЭС: состояние, прогноз, реакция населения, пути реабилитации.// Под общ. ред Ипатьева В.А. - Гм. 1999. - 454 с .
7. Методика выполнения измерений содержания радионуклидов стронция-90 и цезия-137 в продуктах питания, питьевой воде, почве, сельскохозяйственном сыре и кормах, продукции лесного хозяйства и других объектах окружающей среды на бета-гамма-радиометре МКС-1311 (El-1311) МВИ МН 977-99. v НПП ?Атомтех¦, утверждена 20.03.99 г. v Мн. 1999. v 36 с.