Основные подходы к классификации банковских рисков, методы управления ими, а также определение путей их минимизации
СОДЕРЖАНИЕ
Введение |
3 |
|
1. Сущность и роль управления рисками коммерческого банка |
5 |
|
1.1. Понятие и классификация банковских рисков |
5 |
|
1.2. Роль управления банковскими рисками в современных условиях |
12 |
2. Анализ банковских рисков на примере ОАО «Белагропромбанк» |
16 |
|
2.1. Состояние рисковой ситуации в деятельности белорусских банков |
16 |
|
2.2. Краткая экономическая характеристика ОАО «Белагропромбанк» |
22 |
2.3. Система управления банковским кредитным риском наОАО «Белагропромбанк» |
24 |
|
3. Основные пути минимизации банковских рисков |
31 |
|
3.1. Хеджирование |
31 |
|
3.2. Аналитический метод |
33 |
|
3.3. Некоторые пути минимизации банковских рисков |
38 |
|
Заключение |
42 |
|
Список использованных источников |
44 |
|
Приложения |
46 |
ВВЕДЕНИЕ
Умение разумно рисковать - один из элементов культуры предпринимательства в целом, а банковской деятельности - в особенности.
В условиях рынка каждый из его участников принимает некие правила игры и в определенной степени зависит от поведения партнеров. Одним из таких правил можно считать готовность принять на себя риск и учитывать возможность его реализации в своей деятельности.
В условиях кризиса проблема профессионального управления банковскими рисками, оперативный учет факторов риска приобретают первостепенное значение для коммерческих банков.
Общее экономическое положение Республики Беларусь характеризуется сокращением инвестиций в реальный сектор экономики на фоне увеличивающегося роста общего объема неплатежей. Все это приводит к сокращению ресурсной базы коммерческих банков, возрастанию рисковоности операций, уменьшению банковской маржи и уровня прибыльности, значительному усилению конкуренции между банками.
В связи с этим весьма актуальным выглядит проблема эффективного управления банковскими рисками.
Так, создание системы управления рисками – жизненная необходимость в деятельности любого банка. Главной целью деятельности коммерческого банка является прибыль. Однако все усилия банка по достижению данной цели легко могут быть сведены на нет реализацией любого из видов рисков, сопровождающего банковскую деятельность. При этом может оказаться, что банк рискует не просто размером прибыли, а собственным выживанием. В результате пострадает не только банк, но его клиенты и собственники. Поэтому управление рисками – важная и неотъемлемая часть стратегии любого банка [1, c.39].
Кроме того, международная практика свидетельствует о том, что отсутствие надлежащего корпоративного управления в банках, проблемы внутреннего контроля и управления рисками зачастую приводят к возникновению кризисов отдельных банков, так и к угрозе финансовой стабильности банковского сектора. Об этом говорит история системных кризисов последних 20-30 лет в таких развитых странах, как США, Франция, Швеция, Финляндия [14, c.8].
Целью курсовой работы является раскрытие основных подходов к классификации банковских рисков, методов управления ими, а также определение путей их минимизации.
Основными задачами написания данной курсовой работы является:
Определение сущности банковских рисков;
Раскрытие видов банковских рисков, а также их особенностей;
Анализ системы управления банковскими рисками на примере ОАО «Белагропромбанк»;
Характеристика основных методов управления рисками
Отражение основных путей минимизации банковских рисков.
В первой главе раскрываются некоторые теоретические аспекты управления банковскими рисками, приведена классификация банковских рисков в зависимости от факторов внешней и внутренней среды банков, а также раскрыта сущность процесса управления банковскими рисками.
Во второй главе рассмотрена проблема управления банковскими рисками на примере ОАО «Белагропромбанк».
В третьей главе раскрыты основные методы и направления минимизации рисков.
При написании работы были использованы научные труды, монографии, книги, а также статьи, заметки следующих авторов: Севрука В.Т., Аленичева В.В., Белых Л.П., Шипилова А.Е., Поморина М.А., Галанова В.А. и др.
1. Сущность и роль управления рисками коммерческого банка
Понятие и классификация банковских рисков
В процессе своей деятельности банки сталкиваются с совокупностью различных видов рисков, отличающихся между собой местом и временем возникновения, внешними и внутренними факторами, влияющими на их уровень, и, следовательно, на способы их анализа и методы их описания. Все виды рисков взаимосвязаны и оказывают воздействие на деятельность банка. Многие финансовые операции связаны с существенным финансовым риском. Они требуют оценить степень риска и определить его величину. Это возможно с помощью теории вероятностей, которая прогнозирует случайные события, дает количественную и качественную оценку. При этом уровень неопределенности и степень риска уменьшается [3, c.17].
Под риском принято понимать вероятность, а точнее угрозу потери банком своих ресурсов, недополучения доходов или произведения дополнительных расходов в результате осуществления определенных финансовых операций.
Все финансовые риски можно подразделить на два вида: чистые и спекулятивные. Чистые риски означают возможность получения убытка или нулевого результата. Спекулятивные риски выражаются в вероятности получить как положительный, так и отрицательный результат.
Финансовые риски относятся к спекулятивным. Особенностью финансового риска является вероятность наступления ущерба в результате проведения каких-либо операций финансово-кредитной и биржевой сферах, совершение операций с фондовыми ценными бумагами, то есть риска, который вытекает из природы этих операций [12, c.54].
Ведущим принципом в работе коммерческих банков является стремление к получению максимальной прибыли. Оно ограничивается возможностью понести убытки. Иными словами, риск - это стоимостное выражение вероятностного события ведущего к потерям. Риски тем больше, чем выше шанс получить прибыль. Риски образуются в результате отклонений действительных данных от оценки сегодняшнего состояния и будущего развития. Этих отклонения могут быть как позитивными, так и негативными. В первом случае речь идет о шансах получить прибыли, во втором - о риске иметь убытки.
Таким образом, получать прибыль можно только в случаях, если возможности понести потери (риски) будут предусмотрены заранее (взвешены) и застрахованы. Поэтому проблемам экономических рисков в деятельности коммерческих банков должно уделяться первостепенное внимание. К основным проблемам относятся: разработка классификации банковских рисков, основ оценки и методов их расчета [12, c.56].
В мировой практике существует множество классификаций банковских рисков. Наиболее известная из них – это деление риска на систематический и несистематический.
Систематический риск:
Риск кризиса финансового рынка в целом. Этот вид риска является недиверсифицируемым. Анализ систематического риска сводится к оценке того, стоит ли вообще иметь дело с портфелем ценных бумаг и проводить операции с иностранной валютой, не лучше ли вообще вложить средства в другие формы активов.
Несистематический риск.
Этот риск связан с конкретным финансовым инструментом, данный вид риска может быть минимизирован за счет диверсификации. Исследования показали, что если портфель состоит из 10-20 различных видов финансовых инструментов, включенных с помощью случайной выборки из имеющегося на финансовом рынке набора, то несистематический риск может быть сведен к минимуму. Уровень несистематического риска – это оценка качества данного финансового инструмента [10, с.14].
Анализируя возможный риск, следует установить:
относится ли он к финансовому рынку в целом или имеет отношение только к его сектору;
характерен он для биржевого рынка в целом или имеет место только в отдельных регионах, областях, т.е. привязан к географическому нахождению;
присущ ли он конкретному финансовому инструменту или имеет отношение к ним ко всем;
вызван ли он сервисным (техническим) обслуживанием биржевых операций.
Таким образом, финансовые риски коммерческих банков неизбежны, однако их последствия можно предотвратить с помощью определенных методов, используемых в процессе управления банковскими рисками.
В зависимости от факторов, оказывающих влияние на размер банковских рисков, они подразделяются на внешние и внутренние.
Коммерческие внешние риски могут быть: страновыми; валютными; рисками стихийных бедствий (форс-мажорных обстоятельств).
Страновые риски, непосредственно связанные с интернационализацией деятельности банков и банковских учреждений, наличием глобального риска, зависят от политико-экономической стабильности стран-клиентов и/или стран-контрагентов, импортеров или экспортеров. Они актуальны для всех банков, созданных с участием иностранного капитала, и банковских учреждений, имеющих генеральную лицензию. Одним из рекомендуемых способов анализа уровня странового риска является индекс БЕРИ, регулярно публикуемый германской фирмой БЕРИ. С его помощью заранее определяется уровень странового риска. Страновой риск может быть структурирован на риски конвертируемости, риски трансферта или моратория платежа.
Валютный риск, или риск курсовых потерь, связан с интернационализацией рынка банковских операций, созданием транснациональных (совместных) предприятий и банковских учреждений и диверсификацией их деятельности и представляет собой возможность денежных потерь в результате колебаний валютных курсов [17, c.72].
Со своей стороны, валютные риски структурируются следующим образом:
а) коммерческие, т.е. связанные с нежеланием или невозможностью должника (гаранта) рассчитаться по своим обязательствам;
б) конверсионные (наличные), т.е. риски валютных убытков по конкретным операциям. Эти риски структурируются на риски конкретных сделок.
в) трансляционные (бухгалтерские) риски, которые возникают при переоценке активов и пассивов балансов и счета “Прибыли и убытки” зарубежных филиалов клиентов, контрагентов.
Риски форфетирования, которые возникают когда форфетер (часто им является банк) берет на себя все риски экспортера без права регресса.
И наконец, к внешним рискам относится риск стихийных бедствий или как его еще называют форс-мажорных обстоятельств (РФО), который зависит как от наличия или отсутствия стихийных явлений природы и связанных с ними последствий, так и от разного рода ограничений со стороны государства [17, c.73].
Внутренние риски зависят от вида и специфики банка, характера его деятельности (операций) и состава его партнеров (клиентов и контрагентов).
Риски, связанные с видом банка. Банки и банковские учреждения могут быть государственными и частными (негосударственными), которые со своей стороны делятся на кооперативные и коммерческие. Существуют три типа коммерческих банков — специализированные, отраслевые и универсальные. В каждом из них присутствуют все виды рисков, но вероятность частоты их возникновения и специфика зависят от типа самого банковского учреждения.
Деятельность универсальных коммерческих банков также универсальна. Они занимаются практически всеми видами банковских услуг (кредитными, расчетными и финансовыми). Кроме того, в последнее время универсальные коммерческие банки все активнее осуществляют нетрадиционные операции, такие, как операции с различными видами ценных бумаг, лизинг, факторинг, клиринг и др.
Специализированные коммерческие банки ориентируют свою деятельность на предоставление в основном каких-то конкретных услуг, т.е. имеют четко выраженную товарную ориентацию. Например, инновационные, инвестиционные, ссудосберегательные, ипотечные, депозитные, клиринговые и прочие банки.
Уровень и вид внутренних рисков, с которыми сталкиваются различные виды коммерческих банков, в основном зависят от специфики их деятельности.
В специализированных коммерческих банках причинами повышенного риска могут быть:
* использование новой технологии начато преждевременно, еще до того, как затраты на производство приведены в соответствие с реальным уровнем рыночных цен;
* продукция, выпущенная до того, как покупатель готов платить за новшества, т.е. объем потенциального спроса недостаточен для того, чтобы окупить затраты. Следовательно, реальный спрос еще ниже;
* число поставщиков и посредников, привлеченных с перспективой на рост спроса, избыточно для конкретного рынка (рыночного сегмента, окна, ниши), что приводит к удорожанию конкретного банковского товара [17, c.74].
Риски, связанные с характером банковских операций. В зависимости от характера банковских операций риски могут быть связаны со спецификой балансовых или забалансовых операций; и те, и другие подразделяются на риски активных и риски пассивных операций.
Операционный риск – это риск возникновения у банка убытков в результате несоответствия установленных порядков и процедур совершенствования банковских операций (сделок) действующему законодательству или их нарушения, некомпетентности или ошибок сотрудников банка, недостаточности функциональных возможностей (характеристик) применяемых кредитной организацией информационных, технологических и других систем, а также в результате воздействия внешних неблагоприятных событий неэкономического характера [20, c.17].
Риски пассивных операций. Именно с помощью пассивных операций банк регулирует свои ресурсы для осуществления активных банковских операций. К пассивным операциям коммерческих банков относят отчисления от прибыли на формирование (увеличение) уставного капитала; величину кредитов, полученных от прочих юридических лиц; депозитные операции. Только первая группа пассивных операций формирует собственные средства банков. Получение банковских ссуд от других юридических лиц необходимо чаще всего для оперативного регулирования ликвидности балансов банков или выдачи непредвиденных кредитов.
Депозитные операции — это операции по привлечению средств юридических и/или физических лиц во вклады либо до востребования, либо на определенный срок. Риски пассивных операций связаны с возможными затруднениями в обеспечении активных операций ресурсами. Чаще всего это риск, связанный с эффективностью деятельности определяющего вкладчика (один производитель или группа "породненных" компаний).
Риски активных операций. Процентный риск. Риски активных операций связаны с уровнем так называемого процентного риска, которому банки постоянно подвергаются в процессе своей деятельности [17, c.75].
Управление процентным риском состоит из управления активами (кредитами и инвестициями) и пассивами (заемными средствами).
Управление активами зависит от уровня ликвидности самого банка и портфеля его клиентов из ценных бумаг, а также от степени существующей конкуренции (ценовой и неценовой), а управление пассивами — от доступности средств для выдачи ссуд.
Уровень процентного риска зависит от:
* изменений в портфеле (структуре) активов, включая соотношение величин кредитов и инвестиций, активов с фиксированной и плавающей ставкой, динамики их цены на рынке;
* изменений в структуре пассивов, т.е. соотношений собственных и заемных средств, срочных и сберегательных депозитов, депозитов "до востребования";
* динамики процентной ставки.
Портфельный риск. Портфельный риск заключается в вероятности потери по отдельным типам ценных бумаг, а также по всей категории ссуд. Портфельные риски подразделяются на финансовые, риски ликвидности, систематические и несистематические.
Финансовые риски могут быть определены следующим образом: чем больше заемных средств имеют банки, акционерные общества, предприятия, в том числе и совместные банки, тем выше риск для их акционеров, учредителей. В то же время заемные средства являются важным и выгодным источником финансирования, так как чаще всего обходятся дешевле, чем выпуск и продажа дополнительных тиражей ценных бумаг. Согласно принятым нормам для заемщиков соотношение между собственными и заемными средствами — коэффициент задолженности (Kg) — колеблется в рамках 0,2—0,3. Этот риск тесно связан с риском рычага (левереджа — leverage), который зависит от соотношения вложенного капитала в ценные бумаги с фиксированным уровнем дохода, с нефиксированным уровнем дохода и объема всего основного и оборотного капитала банка [17, c.75].
Риск ликвидности — это способность финансовых активов оперативно обращаться в наличность. Крупнейшие и известнейшие производители и банки, чьи акции обращаются на центральных биржах, имеют наименьший риск этого рода. Малые же фирмы — новообразованные, венчурные — более опасны в этом отношении. В данном случае особое внимание необходимо уделить выбору посредников. Основные виды финансовых посредников, специфика их прав и обязанностей оказывают большое влияние на деловую активность банков.
Системный риск связан с изменением цен на акции, их доходностью, текущим и ожидаемым процентом по облигациям, ожидаемыми размерами дивиденда и дополнительной прибылью, вызванными общерыночными колебаниями. Он объединяет риск изменения процентных ставок, риск изменения общерыночных цен и риск инфляции [13, с.19].
Несистемный риск не зависит от состояния рынка и является спецификой конкретного предприятия, банка. Он может быть отраслевым и финансовым. Основными факторами, оказывающими влияние на уровень несистемного портфельного риска, являются наличие альтернативных сфер приложения (вложения) финансовых ресурсов, конъюнктура товарных и фондовых рынков и другие.
Совокупность системных и несистемных рисков называют риском инвестиций [13, с.19].
Риск акции выражается изменением процентных ставок и возникает из-за сокращения чистой прибыли за период вследствие изменения государственных и банковских ставок.
Риск падения общерыночных цен. Это риск недополучаемого дохода по каким-либо финансовым активам. Чаще всего он связан с падением цен на все обращающиеся на рынке ценные бумаги одновременно.
В странах с развитой рыночной экономикой существуют фирмы-наблюдатели, которые постоянно анализируют уровень портфельного риска различных ценных бумаг.
Риск инфляции. Риск инфляции — это риск, который определяется жизненным циклом отраслей. Основные факторы, влияющие на развитие отрасли, следующие:
а) переориентация экономики, что связано с общей экономической нестабильностью в мире, по отдельным регионам, странам, рынкам, рыночным сегментам, нишам и окнам, с одной стороны, и ростом цен на ресурсы, с другой;
6) истощение каких-либо ресурсов;
в) изменение спроса на внутреннем и мировом рынках сбыта;
г) общеисторическое развитие цивилизации [16, с.15].
Кредитный риск. Кредитный риск, или риск невозврата долга, в одинаковой степени относится как к банкам, так и к их клиентам и может быть промышленным (связанным с вероятностью спада производства и/или спроса на продукцию определенной отрасли); риск урегулирования и поставок обусловлен невыполнением по каким-то причинам договорных отношений; риск, который связан с трансформацией видов ресурсов (чаще всего по сроку), и риск форс-мажорных обстоятельств.
Степень кредитного риска банков зависит от таких факторов, как:
* степень концентрации кредитной деятельности банка в какой-либо сфере (отрасли), чувствительной к изменениям в экономике, т.е. имеющей эластичный спрос на свою продукцию, что выражается степенью концентрации клиентов банка в определенных отраслях или географических зонах, особенно подверженных конъюнктурным изменениям;
* удельный вес кредитов и других банковских контрактов, приходящихся на клиентов, испытывающих определенные специфические трудности;
* концентрация деятельности банка в малоизученных, новых, нетрадиционных сферах;
* внесение частых или существенных изменений в политику банка по предоставлению кредитов, формированию портфеля ценных бумаг;
* удельный вес новых и недавно привлеченных клиентов;
* введение в практику слишком большого количества новых услуг в течение короткого периода) (тогда банк чаще подвергается наличию отрицательного или нулевого, потенциального спроса)14;
* принятие в качестве залога ценностей, труднореализуемых на рынке или подверженных быстрому обесцениванию [16, с.16].
Риск кредитования заемщиков зависит от вида предоставляемого кредита. В зависимости от сроков предоставления кредиты бывают кратко-, средне- и долгосрочные; от видов обеспечения —обеспеченные и необеспеченные, которые в свою очередь могут быть персональными и банковскими; от специфики кредиторов — банковские, государственные, коммерческие (фирменные), кредиты страховых компаний и частных лиц, консорциональные (синдицированные), которые структурируются на клубные (где число кредиторов ограничено) и открытые (участие в нем может принять любой банк или предприятие); от видов дебиторов — сельскохозяйственные, промышленные, коммунальные, персональные; от направления использования — потребительские, промышленные, на формирование оборотных средств, инвестиционные, сезонные, на устранение временных финансовых трудностей, промежуточные, на операции с ценными бумагами, импортные и экспортные и др.
Транспортный риск. Особый интерес представляют так называемые транспортные риски. Их классификация впервые была приведена Международной торговой палатой в Париже (1919 г.) и унифицирована в 1936 г., когда были обнародованы первые правила ИНКОТЕРМС [28, с.16].
Лизинговый и факторинговый риск. Уровень банковских рисков может возникать также при осуществлении лизинговых и факторинговых операций, бартерных и клиринговых сделок.
Для снижения риска лизинговых сделок необходимо разработать ускоренные нормы амортизационных отчислений или использовать их досрочное начисление. Лизинг считается в настоящее время операцией с повышенным риском. Поэтому целесообразно осуществлять покрытие убытков от него за счет резервного фонда банка.
Клиринг — это взаимная оплата между двумя банками, районами, экономическими единицами, государствами, при которой производится обмен товаров без перевода денег (валюты). Сущность клиринга выражается в следующем: за определенный календарный период, обычно один год, суммы взаимной торговли обращаются на конкретных банковских счетах различных торгующих стран на основании специального клирингового договора. Осуществляя клиринг, каждая сторона-экспортер получает сумму экспортируемого товара от своего банка. Банк, со своей стороны, не ждет перевода из банка-импортера, а дебетует клиринговый счет и высылает дебетовое авизо соответствующему банку, связанному с импортером.
Бартерные сделки — это форма компенсации, когда товар оплачивается не деньгами, а товаром. Бартерные сделки могут быть межфирменными и межгосударственными. Чаще всего межфирменные бартерные сделки осуществляются с помощью различных посредников.
Для уменьшения риска по факторинговым операциям следует анализировать платежеспособность заемщиков, изучать характер их хозяйственных связей и взаимоотношения с поставщиками, структуру платежей, конкурентоспособность продукции, количество случаев ее возврата. При покупке факторинговым отделом банка векселей у поставщиков появляется дополнительный риск приобретения бронзового векселя.
Одним из основных способов измерения уровня риска является анализ зависимых и независимых, внешних и внутренних факторов, оказывающих влияние в конкретной ситуации, с помощью методов экспертных оценок. Кроме того, в практике коммерческих банков стран с развитой рыночной экономикой широко используется система банковских гарантий [28, с.17].
Риски, связанные со спецификой клиента банка. По своей сути банк — это коммерческое предприятие. Основным принципом взаимоотношений "банк — клиент" является принцип получения прибыли банком при меньших затратах и принцип минимизации всех видов риска. Банк на самом деле может рисковать (и он рискует ежедневно в процессе своей деятельности) своим собственным капиталом, но не капиталом клиента, его прибылью.
Таким образом, в своей деятельности банки сталкиваются с множеством рисков, успех управления которыми зависит от уровня оценки вероятности их наступления, а также выбора метода их минимизации.
1.2. Роль управления банковскими рисками в современных условиях
Банк по своему определению должен являться одним из наиболее надежных институтов общества, представляет основу стабильности экономической системы. При этом профессиональное управление банковскими рисками, оперативная идентификация и учет факторов риска в повседневной деятельности приобретают первостепенное значение.
В связи с формированием рыночных отношений понятие риска прочно входит в нашу жизнь. Таким образом, банки в условиях такой нестабильности, быстро меняющейся ситуации вынуждены учитывать все возможные последствия от действия своих конкурентов, клиентов, а также предвидеть вероятные изменения законодательства. Именно такая неопределенность и повышенный уровень риска - это плата за полученную экономическую свободу [22, с.8].
Ведущим принципом в работе коммерческих банков в условиях перехода к рыночным отношениям является стремление к получению как можно большей прибыли. Риски тем больше, чем выше шанс получить прибыль. Риски образуются в результате отклонений действительных данных от оценки сегодняшнего состояния и будущего развития.
Высокая степень конкуренции на банковском рынке заставила руководителей банков изменить свое отношение к политике управления рисками. Тому, что когда-то считалось формальностью, теперь уделяется большое внимание. Прежде всего, речь идет о развитии подразделений, ответственных за управление рисками, систем управленческой информации, утверждении лимитов и методики измерения рисков [5, с.6].
В сложившейся ситуации становится очевидным необходимость эффективного управления системой банковских рисков. Необходимо также отметить, что в процессе своей деятельности банки сталкиваются с совокупностью различных видов рисков, отличающихся между собой по месту и времени возникновения, совокупности внешних и внутренних факторов, влияющих на их уровень, и, следовательно, по способу их анализа и методам их описания. Кроме того, все виды рисков взаимосвязаны и оказывают влияние на деятельность банков. Изменения одного вида риска вызывают изменения почти всех остальных видов. Все это, естественно, затрудняет выбор метода анализа уровня конкретного риска и принятие решения по его оптимизации ведет к углубленному анализу множества других рисковых факторов. Поэтому особенно важным видится выбор конкретного метода анализа уровня, подбор оптимальных факторов и совокупная оценка всей системы рисков.
Таким образом, управление рисками в коммерческих банках является одним из важнейших инструментов повышения их конкурентоспособности в условиях ожесточающейся конкуренции.
Качественное управление риском повышает шансы коммерческого банка добиться успехов в долгосрочной перспективе. Деятельность по управлению рисками называется политикой риска. Под политикой риска принимается совокупность различных мероприятий, имеющих целью снизить опасность ошибочного принятия решения.
Знать о возможном наступлении риска необходимо, но недостаточно. Важно установить как влияет на результаты деятельности конкретный вид риска, и каковы его последствия.
Выявление риска может осуществляться различными способами:
анализ объективных факторов (вероятностный анализ исследования операций),
анализ субъективных факторов (интуитивное предсказание тенденции поведения рынка) [23, с.12].
В настоящее время российские участники финансового рынка в управлении рисками опираются на интуицию, чей-то авторитет и на предыдущий опыт. Лишь незначительный процент руководителей способен учитывать риск, с применением математических методов.
Процесс управления риском достаточно динамичен и его эффективность во многом зависит от быстроты реакции на изменение условий рынка, экономической ситуации в целом, финансового состояния коммерческого банка. Особое значение в решении рисковых задач играет интуиция, которая представляет собой способность находить правильное решение проблемы и инсайт, т.е. осознания решения некоторой проблемы.
В процессе управления риском следует учитывать следующие правила:
нельзя рисковать больше, чем это может позволить собственный капитал,
всегда нужно помнить о возможных последствиях риска,
нельзя рисковать многим ради малого,
положительное решение, связанное с риском, принимается лишь при отсутствии сомнений,
всегда существует несколько решений рисковых задач [23, с.13].
Комплексный подход к управлению риском позволяет более эффективно использовать ресурсы, распределять ответственность, улучшать результаты работы.
Одним из традиционных методов оценки и управления риском считается статистический метод. Основными инструментами статистического анализа являются – дисперсия, стандартное отклонение, коэффициент вариации. Суть этого метода состоит в анализе статистических данных за возможно больший период времени, что позволяет сравнить частоту возникновения потерь банка с вероятностью их возникновения. Данный способ можно применять к оценке самых разных видов рисков банка, как внешних, так и внутренних. При этом частота возникновения допустимого уровня потерь для данного банка зависит от числа случаев наступления конкретного уровня потерь и общего числа случаев в статистической выборке [24, с.12].
При работе банка в безрисковой зоне потери не ожидаются, что позволяет получить хорошую прибыль. При попадании в зону допустимого риска прибыль банка превышают понесенные потери. В зоне недопустимого риска банк не получает прибыли от своей деятельности. Она направляется на покрытие возникших потерь. В зоне критического риска банк близок к банкротству. Полученной прибыли не хватает для покрытия потерь.
Статистический метод заключается в том, чтобы изучить статистику потерь и прибылей, имевших место при принятии аналогичных рений, установить величину и частоту получения той или иной экономической отдачи, а затем провести вероятностный анализ и составить прогноз будущего поведения на рынке [24, с.13].
Таким образом, управление банковскими рисками является весьма скрупулезным процессом, требующим тщательной подготовки, высокой квалификации и ответственного подхода к оценке реальных последствий наступления рисковой ситуации.
2. АНАЛИЗ БАНКОВСКИХ РИСКОВ НА ПРИМЕРЕ ОАО «БЕЛАГРОПРОМБАНК»
2.1. Состояние рисковой ситуации в деятельности белорусских банков
Рассмотрим состояние рисковой ситуации в кредитной деятельности белорусских банков начиная со второй половины девяностых годов.
Вторая половина девяностых годов стала периодом существенных изменений, значительных структурных преобразований и совершенствования деятельности банков Республики Беларусь. Целесообразно дать краткую характеристику сложившейся в последние годы рисковой ситуации в кредитной деятельности банков республики.
Начиная с 1996 года, обострилась проблема своевременного возврата банковских кредитов. По мере увеличения объёмов проводимых банками активных операций, роста кредитных вложений опережающими темпами увеличивалась просроченная задолженность по кредитам банков. Наиболее показательным в этом отношении следует считать 1998 год, когда темпы роста активов, кредитов и просроченной задолженности составили 387 %, 420 % и 510 % соответственно [7, c. 42].
Данные о невозвращенных кредитах свидетельствуют о постоянном росте доли невозвращённых кредитов в портфелях белорусских банков. Так, если на 1.01.1996 года значение этого показателя составляло 12 %, то на 1.01.1997года уже 14 %, а на 1.01.1998 года - 18 %. Максимальный процент проблемных кредитов был зафиксирован в размере 22,1 % по состоянию на 1.01.1999 г. Данные на 1.01.2000 г. отражают снижение величины этого показателя до 17 %.
В сложившейся рисковой ситуации в кредитной деятельности банков нашей республики целесообразно выделить некоторые особенности:
имеется значительная просроченная задолженность по кредитам банков;
сокращается величина собственного капитала большинства банков в валютном эквиваленте;
в объёмах невозвращённых кредитов преобладает доля валютной просрочки;
отмечается низкая доходность кредитных операций крупных банков;
формирование резервов на покрытие убытков по ссудам осуществляется не в полном объёме [7, c. 42].
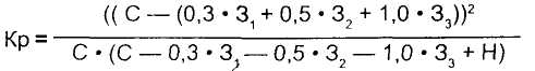
Проведенный нами анализ позволяет констатировать высокий уровень кредитного риска, сопутствующего деятельности белорусских банков. В связи с этим возникает проблема качественного измерения и прогнозирования кредитного риска адекватно потенциальным потерям. Эту задачу попытаемся решить, предложив формулу расчёта коэффициента кредитного риска, учитывающего степень полноты создания резервов на покрытие убытков по ссудам.
,
где Кр - коэффициент кредитного риска;
С - величина ссудной задолженности клиентов банка;
З>1> 3>2>, 3>3>- ссудная задолженность, отнесённая соответственно ко второй, третьей и четвёртой группам риска;
Н -сумма недоначисленного резерва на возможные потери по ссудам [7, c. 43].
Поправочные коэффициенты 0,3; 0,5; 1,0 отражают необходимую величину формирования резерва на возможные потери по ссудам в соответствии с действующим в настоящее время положением Национального банка Республики Беларусь № 775 от 19.08.1996 г.
Рассмотрим задачи, стоящие перед банковской системой по преодолению сложившейся ситуации.
Первостепенной задачей, стоящей перед банковской системой республики, является направление денежных потоков в экономику и, в первую очередь, - в реальный сектор. Валовые кредиты банков экономике за январь-июнь 2002г. увеличились на 452,3 млрд. руб. (или на 17,8%, в реальном выражении они снизились на 2%), в том числе в белорусских рублях - на 186,4 млрд. руб. (или на 14,9%) и в иностранной валюте - на 47,2 млн. USD [11, c. 31].
В 2004 г. ряд предприятий находились в сложном финансовом положении, поэтому кредитные операции не всегда являлись самыми надежными и доходными.
Увлечение высокодоходными, но спекулятивными и высокорискованными операциями, как показал российский кризис, может привести к банкротству даже самый надежный банк, а банковскую систему - к глубокому кризису. Учитывая это, банки должны учиться работать с реальным сектором экономики в любых макроэкономических условиях, поддерживать тесную связь с производительным капиталом. Это является залогом, может быть, не самого быстрого, но надежного роста и укрепления как предприятий реального сектора, так и банков.
Процесс кредитования, особенно в странах с переходной экономикой, непрерывно связан с действием многочисленных факторов риска, способных повлечь за собой непогашение кредита в обусловленный договором срок. Предоставляя кредиты, банк должен всесторонне изучить и проанализировать те факторы, которые могут привести к непогашению кредитов. Такое изучение именуют анализом кредитоспособности [11, c. 32].
Существующие на сегодняшний день в Республике Беларусь методики определения финансового состояния кредитополучателя, его платежеспособности и кредитоспособности не в полной мере отвечают сложившейся экономической ситуации. Трудно найти предприятие, которое по данным методикам «вписывалось бы» в рамки финансово устойчивого. Большинство из них находится в кризисном состоянии, и надежных кредитополучателей сегодня практически не существует. Положение ряда предприятий настолько тяжело, что из-за нехватки средств на оплату суммы обязательных страховых взносов в Фонд социальной защиты юридические лица не получали кредиты на заработную плату. В соответствии с Декретом Президента Республики Беларусь от 06.08.2002г. №19 «О некоторых мерах по обеспечению своевременной уплаты подоходного налога и обязательных страховых взносов в Фонд социальной защиты населения Министерства труда и социальной защиты» в суммы кредитов, выдаваемых банками для выплаты заработной платы, включаются суммы обязательных страховых взносов в Фонд социальной защиты и подоходного налога, исчисленного из размера данной заработной платы. Однако Указом Президента Республики Беларусь от 15 июля 2002г. №376 при наличии у юридических лиц, их обособленных подразделений и индивидуальных предпринимателей неисполненных обязательств по уплате платежей, производимых в первоочередном порядке, запрещается осуществление ими вне очереди платежей в счет погашения задолженности по выплате заработной платы, в т.ч. в счет погашения банковских кредитов, выданных для этой цели выше размера бюджета прожиточного минимума.
Одной из ключевых проблем для банковской системы страны продолжает оставаться низкий уровень возвратности кредита. Рассмотрим динамику изменения объема проблемных кредитов (пролонгированных, просроченных и сомнительных) по отношению к общим кредитным вложениям.
Доля проблемных кредитов в кредитных вложениях составляет 14,4%. В январе-июне 2002г. на 0,2 процентного пункта повысился удельный вес проблемных кредитов, проблемная задолженность увеличилась на 66,7 млрд. рублей (или на 18%) и на 1 июля 2002г. составила 436,9 млрд. рублей, в том числе в национальной валюте - 144,9 млрд. рублей, увеличившись на 84,5%, и в иностранной валюте -162,2 млн. USD, снизившись на 12,1%. В практике ведущих стран мира считается, что проблемные кредиты не должны превышать 5% кредитного портфеля [11, c. 36].
Особенно критическое положение сложилось с возвратом кредитов в иностранной валюте. Банки должны активизировать работу по взысканию просроченных валютных кредитов, используя права, предоставленные им Указом Президента Республики Беларусь от 10 марта 2000 года №124 «О направлении представителей банков в качестве наблюдателей за хозяйственной деятельностью юридических лиц, не обеспечивающих своевременного возврата кредитов и выполнения договоров залога. Высвобождение ресурсов, отвлеченных в проблемные кредиты, позволило бы банкам направить данные средства на кредитование эффективных производств. Именно эта проблема сдерживает банки в процессе кредитования.
Доля проблемных активов в активах, подверженных кредитному риску, на 1 октября 2006 г. составила, по официальным данным, всего 3,66% (это составляет 496,6 млрд. р.). Фактически созданный резерв по активам, подверженным кредитному риску, составил 197 млрд. р. Под кредитным риском здесь понимается риск возникновения у банка потерь (убытков) вследствие неисполнения, несвоевременного либо неполного исполнения должником финансовых обязательств перед банком в соответствии с условиями договора или законодательством. К активам, подверженным кредитному риску, относятся: кредиты, выданные юридическим и физическим лицам; средства, размещенные в других банках; финансовая аренда (лизинг); операции с использованием векселей, приобретенные векселя; исполненные банковские гарантии и поручительства в денежной форме; финансирование под уступку денежного требования (факторинг); иные активные операции, подверженные кредитному риску. Проблемные (субстандартные, сомнительные и безнадежные активы) - это активы, подверженные кредитному риску, классифицированные по II-IV группам риска (субстандартные - II группа, сомнительные - III группа, безнадежные - IV группа риска). Порядок классификации активов, подверженных кредитному риску, определяет Инструкция о порядке формирования и использования специального резерва на покрытие возможных убытков по активам банка и небанковской кредитно-финансовой организации, подверженной кредитному риску, утвержденная постановлением Правления Национального банка Республики Беларусь от 29 сентября 2004г. №148 (с изменениями и дополнениями).
По представленным банками данным лучшие показатели по кредитному портфелю имеют: Белагропромбанк, Славнефтебанк, Приорбанк, Абсолютбанк, СОМБелБанк, Белинвестбанк, Белвнешэкономбанк, Белгазпромбанк. (табл. 2.1).
Таблица 2.1. Рейтинг белорусских банков на 01.04.07
|
Rating |
Наименование банка |
Индекс качества кредитного портфеля |
|||
|
01.04.07 |
01. 04. 06 |
Место |
Балл |
||
|
1 |
65,46 |
1 |
Приорбанк |
3 |
78,74 |
|
2 |
51,20 |
3 |
Белагропромбанк |
1 |
93,28 |
|
3 |
49,13 |
2 |
Белвнешэкономбанк |
7 |
73,30 |
|
4 |
46,82 |
4 |
Бслинвестбаяк |
6 |
75,31 |
|
5 |
45,55 |
5 |
Белпромстройбанк |
10 |
68,28 |
|
б |
41,36 |
6 |
Беларусбанк |
9 |
70,28 |
|
2 |
57,22 |
3 |
Славнефтебанк |
2 |
83,05 |
|
3 |
51,41 |
4 |
Белгазпромбанк |
8 |
71,97 |
|
4 |
50,72 |
5 |
СОМБелБанк |
5 |
77,08 |
|
7 |
44,95 |
7 |
Абсолютбанк |
4 |
77,10 |
Следует также добавить, что банковская система Республики Беларусь не может развиваться изолированно от мирового банковского сообщества. Разумное использование зарубежного опыта всегда полезно, возможности применения на практике современных форм банковского предпринимательства, мер стимулирования, регулирования и контроля во многом зависят от состояния белорусской экономики и банковской системы.
Как свидетельствует мировая практика, модернизация банковской отрасли рыночной экономики возможна лишь в результате ее формирования как системы в течение длительного времени, с учетом всех сложившихся традиций, особенностей и национального менталитета.
При этом чрезвычайно велико значение кредитных бюро, их существование позволяет кредитным организациям выдавать кредиты клиентам, которые ранее в этой организации не обслуживались. Кроме того, общепризнанной является ценность предыдущей кредитной истории для прогнозирования вероятности дефолта.
Кредитные бюро выступают в качестве информационных посредников, учрежденных и принадлежащих либо самим кредиторам, либо действующих независимо и получающих прибыль от своей деятельности. Кредиторы снабжают данными о своих клиентах бюро, которое сопоставляет их с информацией, полученной из других источников (суды, государственные регистрационные и налоговые органы и т.д.), и формирует картотеку на каждого заемщика. Кредиторы при условии регулярности и достоверности предоставления информации о своих клиентах могут постоянно получать из бюро отчеты о кредитных операциях потенциальных заемщиков.
При создании кредитного бюро достигаются следующие результаты.
Во-первых, расширяется уровень сведений банков о потенциальных заемщиках и дается возможность более точного прогнозирования возвратности ссуд. Это позволяет кредиторам эффективно определять направление и цену кредита, уменьшая риск возникновения проблемы неблагоприятного выбора.
Во-вторых, уменьшается плата за поиск информации которую взимали бы банки со своих клиентов. Это ведет к выравниванию информационного поля внутри кредитного рынка и заставляет кредиторов устанавливать конкурентные цены на кредитные ресурсы. Более низкие процентные ставки увеличивают чистый доход заемщиков и стимулируют их деятельность.
В-третьих, формируется своего рода дисциплинирующий механизм для заемщиков. Каждый из них знает, что в случае невыполнения обязательств может лишиться репутации в глазах потенциальных кредиторов, в результате чего заемные средства станут для него недоступны или намного дороже. Этот механизм также повышает стимул заемщика к возвращению кредита, уменьшая риск недобросовестного поведения.
К настоящему времени сформировались два принципиальных подхода к организационно-правовой форме кредитного бюро, а именно:
1. Кредитное бюро создается либо при Национальном банке Республики Беларусь, либо при его решающем участии.
2. Кредитное бюро создается в качестве самостоятельной коммерческой или некоммерческой организации. При этом желательна поддержка Национального банка Республики Беларусь. Кроме того, не исключается вариант участия государства в уставном капитале этой организации.
Основные аргументы в пользу первого варианта сводятся к тому, что Национальный банк Республики Беларусь:
располагает структурой, объединяющей подразделения центрального аппарата и территориальные учреждения, которые обеспечивают контроль за деятельностью всех без исключения кредитных организаций Республики Беларусь;
законодательно уполномочен на получение отчетов о деятельности кредитных организаций по широкому спектру вопросов;
имеет развитую телекоммуникационную сеть, объединяющую все регионы Республики Беларусь, позволяющую получать, обрабатывать и передавать значительные объемы информации в электронном виде, то есть обеспечивать и решать задачи по управлению базой данных;
в Национальном банке уже имеется достаточный материал по кредитным историям различных клиентов, т.к. все банки предоставляют ему информацию о выданных кредитах, и о дальнейшей их «судьбе», осталось только сгруппировать полученную информацию и предоставить доступ соответствующим службам банков к этой информации.
Для обеспечения деятельности кредитного бюро на первом этапе достаточно использования отчетности кредитных организаций, установленной Национальным банком Республики Беларусь, что не требует внесения каких-либо изменений и дополнений в действующее законодательство. Контроль за достоверностью информации может быть обеспечен путем дистанционного надзора и проверок состояния кредитного портфеля.
В то же время имеются и определенные минусы в создании кредитного бюро при Национальным банком Республики Беларусь. Это прежде всего то, что Национальный банк Республики Беларусь выступает органом банковского надзора. В ряде случаев раскрытие информации о качестве кредитного портфеля, составе заемщиков и клиентов конкретно взятой кредитной организации может быть использовано третьей стороной в целях недобросовестной конкуренции, что вступает в противоречие с задачей Национального банка Республики Беларусь по обеспечению стабильности банковской системы страны в целом.
Данные кредитного бюро помогут банкам более точно определять кредитоспособность клиента, который обращается в этот банк за кредитом впервые. Такая проблема конечно же остро не стоит в таких небольших городах как Пинск, где «все всех знают». Данные кредитных бюро более важны для филиалов банков в больших городах (Брест, Минск и т.п.), где достаточно большое количество филиалов банков и юридических лиц. Важнейший фактор успешной работы кредитного бюро — обеспечение максимальной защиты информации от несанкционированного доступа. В целях пресечения недобросовестного использования информации кредитное бюро уведомляет о поступившем запросе владельца кредитной истории. Если информация предоставляется по просьбе заемщика, то кредитное бюро устанавливает регламент ее последующего раскрытия и распространения.
2.2. Краткая экономическая характеристика ОАО «Белагропромбанк»
Открытое акционерное общество «Белагропромбанк» является одним из крупнейших универсальных кредитно-финансовых учреждений Республики Беларусь. Банк предлагает своим клиентам широкий спектр банковских услуг, объём которых постоянно растет как за счет расширения, качественного обновления и комплексного подхода к традиционно представляемым банковским продуктам, так и увеличения доли Банка на потенциально перспективных рынках банковских услуг.
Система Белагропромбанка включает 6 областных управлений, Минскую городскую дирекцию и 125 отделений во всех районах страны, 140 расчётно-кассовых центров, 62 участка инкассации, 337 пунктов, совершающих валютно-обменные операции. Банк обеспечивает обслуживание свыше 25 тысяч субъектов хозяйствования и более 600 тысяч физических лиц.
Основным направлением деятельности Белагропромбанка является обеспечение комплексного обслуживания предприятий и организаций, прежде всего входящих в агропромышленный сектор экономики, содействие деньгами и кредитом экономическому развитию своих клиентов.
По объёму уставного фонда, собственного капитала, величине активов Белагропромбанк занимает ведущие позиции среди коммерческих банков Республики Беларусь.
ОАО «Белагропромбанк» осуществляет свою деятельность на основании следующих лицензий:
Общая лицензия Национального банка Республики Беларусь №20 от 1апреля 2002 года на осуществление банковских операций в белорусских рублях;
Генеральная лицензия Национального банка Республики Беларусь №9 от 1 апреля 2002 года на осуществление банковских операций в иностранной валюте;
Лицензия Национального банка Республики Беларусь №20 от 11 мая 2001 года на привлечение во вклады средств физических лиц в белорусских рублях и иностранной валюте;
Специальное разрешение (лицензия) № 04120/0058704 от 18 июля 2002 года на право осуществления профессиональной и биржевой деятельности, выданная комитетом по ценным бумагам при Совете Министров Республики Беларусь.
По итогам работы за 2006 г. банком получена прибыль в размере 52 млрд. руб., что в 3,4 раза превышает финансовый результат за аналогичный период прошлого года. Рентабельность деятельности банка составила 13,3% - рост по сравнению с соответствующим периодом 2005 года в 2,6 раза. Рентабельность активов - 1,26% при 0,6% на 1.10.2005г.
За 2006 г. ресурсная база банка выросла на 1,7 трлн. руб. или на 52% и достигла 5,1 трлн. руб. При этом необходимо отметить рост ее валютной составляющей на 460 млрд. руб. или в 3,3 раза, который во многом определялся активной работой банка с международными кредитно-финансовыми организациями. За 9 месяцев т.г. банком привлечено кредитов инобанков на сумму 188,7 млн. долларов, в том числе несвязанных в виде синдицированного кредита в объеме 30 млн. евро.
Предложение физическим лицам ряда новых продуктов, в числе которых системы вкладов «Линия роста», дисконтных облигаций на предъявителя, расширение спектра услуг и инфраструктуры обслуживания держателей карточек «Белкарт» позволило увеличить объем аккумулированных банком средств физических лиц до 783 млрд. руб. или в 1,3 раза. В результате системной работы с ресурсоемкими отечественными предприятиями и бюджетными организациями, располагающими временно свободными денежными средствами, банк дополнительно привлек 312 млрд. руб. ресурсов и увеличил данную составляющую ресурсной базы в 1,6 раз.
Рост привлеченных средств клиентов, а также увеличение заимствований на внешнем рынке позволили обеспечить необходимую кредитную поддержку обслуживаемым субъектам хозяйствования, в результате чего объем валовых кредитов, предоставленных банком, вырос на 59% и превысил 4 трлн. руб. При этом доля проблемной задолженности в кредитном портфеле банка составила 1,5%.
Результаты проведенных аудиторских процедур показали, что проводимые банком операции в течение 2006 года осуществлялись в соответствии с Уставом, лицензиями, выданными Национальным банком Республики Беларусь, а также законодательством, регулирующим банковскую деятельность.
2.3. Система управления банковским кредитным риском на ОАО «Белагропромбанк»
Основной локальный нормативный правовой акт, определяющий принципы построения системы внутреннего контроля, - Положение по организации системы внутреннего контроля в ОАО «Белагропромбанк», утвержденное Правлением банка 13.01.05 г. (протокол № 2); новый вариант - 22.09.05 г. (протокол № 50).
Положением определен перечень рисков, контролируемых банком, основные методы управления ими, структурные подразделения центрального аппарата, осуществляющие контроль за рисками, перечень локальных нормативных правовых актов по вопросам, связанным с осуществлением внутреннего контроля.
Наиболее значимыми для банка видами рисков являются: кредитный риск, риск ликвидности, рыночный (процентный, фондовый, валютный, товарный) и операционный.
Управление рисками в ОАО «Белагропромбанк» организуется органами управления Банка в соответствии с их полномочиями, определенными Уставом ОАО «Белагропромбанк».
Кредитный и Финансовый комитеты Банка осуществляют управление рисками в пределах полномочий, наделяемых Правлением Банка.
Департаменты (самостоятельные управления) центрального аппарата Банка - кредитный, международных проектов, кредитования населения, ценных бумаг, финансово-экономический, международных и межбанковских расчетов, валютного контроля и регулирования, вкладных и расчетных операций, внутреннего аудита, ревизий, расчетный центр пластиковых карт, организационно-методологический департамент, Казначейство, информационных технологий, юридический, управление по работе с юридическими лицами по направлениям деятельности:
участвуют в разработке общей стратегии управления рисками;
проводят оценку рисков банковских операций;
совершенствуют методы и механизмы управления рисками;
участвуют в разработке автоматизированных форм, улучшающих процессы управления рисками, позволяющих сделать экспертную оценку риска до совершения той или иной банковской операции;
обеспечивают хеджирование рисков с помощью производных финансовых инструментов;
готовят в соответствии со стратегией управления рисками локальные нормативные правовые акты и другие документы;
готовят информацию по вопросам управления рисками для рассмотрении на заседаниях Правления, Кредитного, Финансового комитетов Банка;
информируют руководство о происходящих изменениях на курируемом сегменте банковского рынка и связанного с этим повышением риска для Банка;
проводят мониторинг, оценку и контроль управления рисками;
принимают участие в разработке кредитной, процентной и других политик Банка;
обеспечивают своевременное создание специального резерва на покрытие возможных убытков по активам подверженным кредитному риску;
обеспечивают использование единых алгоритмов расчета показателей деятельности банка;
информирование заинтересованных служб банка о готовящихся проектах нормативных правовых актов, касающихся банковской деятельности;
обеспечивают надлежащее исполнение банком принятых на себя обязательств;
организуют работу по осуществлению внутреннего контроля, обеспечивающего недопущение вовлечения банка в финансовые операции, имеющие незаконный характер;
организуют защиту банка от противоправных действий, дестабилизирующих экономическую, финансовую, коммерческую деятельность учреждений банка;
обеспечивают выполнение рекомендаций, представленных в ходе аудиторских и других проверок в части минимизации рисков, связанных с банковскими операциями.
На уровне учреждений Банка в организационную структуру управления рисками включаются руководство управлений (филиалов), Советы управлений, Кредитные комитеты управлений (филиалов) и службы в соответствии с их задачами и функциями. Филиалы – областные (Минское) управления организуют мониторинг, оценку и контроль рисков по филиалам с обеспечением механизма обратной связи.
К подверженным кредитному риску активам банка относятся:
все виды кредитов юридическим и физическим лицам, включая межбанковские кредиты и депозиты;
средства до востребования в банках и остатки на корреспондентских счетах;
финансовая аренда (лизинг);
операции по предоставлению векселя в заем, акцептам и авалям векселей, предоставлению отсрочки оплаты при выдаче векселя банка (далее – операции с использованием векселей), учет векселей;
исполненные банковские гарантии и поручительства в денежной форме;
финансирование под уступку денежного требования (факторинг);
Факторы, повышающие кредитный риск:
недостаточное или низколиквидное обеспечение активов, подверженных кредитному риску;
значительный размер активов, подверженных кредитному риску, предоставленных клиентам, функционирующим в одной отрасли (промышленность, сельское хозяйство, строительство, торговля и общественное питание, транспорт, связь и т.д.);
значительный размер активов, подверженных кредитному риску, предоставленных взаимосвязанным клиентам (юридическим и физическим лицам - клиентам, связанным между собой экономически и (или) юридически, а именно, имеющим общую собственность, взаимные гарантии и (или) обязательства, основные, дочерние и зависимые общества; а также имеющим совмещение одним физическим лицом руководящих должностей таким образом, что финансовые трудности одного из клиентов обусловливают или делают вероятным возникновение финансовых трудностей для другого (других) клиента (клиентов));
несоблюдение действующего законодательства, нормативных правовых актов при выдаче и сопровождении активов, подверженных кредитному риску.
При оценке кредитного риска анализируется динамика роста объема активных операций Банка, подверженных кредитному риску, проводится качественный анализ по составу активов, подверженных кредитному риску, по группам риска, формам собственности и видам деятельности клиентов, анализ их финансового состояния, соблюдения учреждениями и центральным аппаратом Банка нормативных актов в области кредитования, осуществления лизинговых, факторинговых операций, операций с векселями.
При отсутствии оптимальной величины показателя за минимально (максимально) допустимое значение принимается показатель на начало года.
Основные принципы построения системы управления рисками банковской деятельности в ОАО "Белагропромбанк" следующие:
- коллегиальность принятия решений при проведении операций по привлечению и размещению ресурсов;
- четкая регламентация полномочий органов управления, в компетенции которых будут находиться вопросы управления рисками;
- принятие решений по операциям с наиболее высокой степенью риска на уровне центрального аппарата;
- делегирование кредитным комитетам филиалов и отделений банка прав по осуществлению рисковых операций в пределах, гарантированно защищающих банк от возможности превышения допустимых рисков и несоблюдения экономических нормативов безопасного ведения банковского дела;
- проведение централизованной лимитной политики по основным видам рисковых операций;
- детальное регламентирование внутренними нормативно-правовыми документами банка порядка проведения операций, связанных с возможностью возникновения риска.
К основным действиям Банка по управлению кредитным риском относятся:
принятие решения о размещении ресурсов в активы, подверженные кредитному риску, коллегиальным органом – Кредитным комитетом банка, учреждения;
диверсификация портфеля активов, подверженных кредитному риску, и инвестиций Банка, использование производных финансовых инструментов;
предварительный анализ финансового состояния клиента;
предоставление клиентом достаточного и ликвидного обеспечения обязательств;
установление размеров процентных ставок по выдаваемым активам, подверженным кредитному риску, и соответствующий мониторинг;
установление лимитов по активным операциям, подверженным кредитному риску;
создание специального резерва на возможные потери по сомнительным долгам;
принятие решения о направлении представителей Банка в качестве наблюдателей за хозяйственной деятельностью юридических лиц, не обеспечивающих своевременного возврата кредитов ;
соблюдение экономических нормативов, установленных Национальным банком Республики Беларусь;
контроль за структурой кредитного портфеля и его качественным составом;
анализ и регулирование деятельности клиентов в процессе кредитования;
оперативная корректировка действий банка, своевременное задействование и объединение усилий соответствующих служб банка.
Департаменты (самостоятельные управления) (кредитный, международных проектов, кредитования населения, валютного контроля и регулирования, международных и межбанковских расчетов, Казначейство, управление по работе с юридическими лицами в соответствии с функциональными обязанностями и установленными полномочиями:
готовят необходимую информацию на заседания Кредитного, Финансового комитетов Банка для принятия решения о предоставлении кредита, банковских гарантий и поручительств, заключении договора финансовой аренды (лизинга), факторинга, осуществлении операций с использованием векселей;
проводят предварительную оценку пакета документов, сформированных в установленном порядке и представленных центральному аппарату филиалами – областными (Минским) управлениями, при необходимости кредитования, выдачи банковских гарантий и поручительств, учета векселей, предоставления вексельного займа, продажи векселей с отсрочкой оплаты, осуществления факторинговых операций, финансовой аренды (лизинга) в соответствии с их полномочиями;
осуществляют совместно с юридическим департаментом и департаментом безопасности анализ финансового состояния и кредитоспособности клиента, его деловой репутации и правоспособности;
совместно с департаментом строительства и маркетинга недвижимости, департаментом безопасности осуществляют сопровождение заключенных кредитных договоров, договоров о залоге;
совместно с юридическим департаментом и службой безопасности принимают меры по своевременному возврату кредитов, взысканию проблемных долгов;
осуществляют управленческий и финансовый контроль за выполнением комплекса мер по снижению кредитного риска, вносят предложения по совершенствованию кредитного процесса в учреждениях банка;
готовят локальные нормативные правовые акты, определяющие порядок выдачи, сопровождения, погашения банковских кредитов, банковских гарантий, поручительств, осуществлении лизинговых и факторинговых операций, операций с векселями, таможенных гарантий, а также устанавливающие полномочия учреждений Банка по активным операциям, подверженным кредитному риску;
разрабатывают рекомендации по работе с проблемными к взысканию активами банка;
осуществляют контроль за работой учреждений Банка по управлению кредитным риском;
курируют другие вопросы, связанные с осуществлением активных операций, подверженных кредитному риску;
выявляют на ранних стадиях проблемные ситуации по кредитным операциям;
своевременно относят активные операции к соответствующей группе риска и создают резерв в необходимом объеме;
осуществляют контроль за реализацией предоставленных банку гарантий по возврату кредитов.
Одним из основных инструментов управления кредитным риском является установление лимитов. Максимальный размер риска на одного клиента или группу взаимосвязанных клиентов, на инсайдеров банка, максимальный размер крупных кредитных рисков, предельный размер межбанковского кредита устанавливаются Национальным банком Республики Беларусь. Лимиты на проведение операций, подверженных кредитному риску, для филиалов – областных (Минского) управлений устанавливаются Правлением Банка.
Кредитные комитеты филиалов – областных (Минского) управлений в пределах полномочий принимают решения об установлении и последующем пересмотре аналогичных лимитов для подведомственных филиалов;
Учреждения Банка проводят операции, подверженные кредитному риску в соответствии с предоставленными полномочиями;
Казначейство обеспечивает соблюдение нормативов, установленных Национальным банком Республики Беларусь по операциям межбанковского кредитования, и осуществляет сопровождение этих операций по межбанковскому кредитованию;
Финансово-экономический департамент ежемесячно проводит анализ кредитного риска в целом по активам, подверженным кредитному риску, и при необходимости подготавливает Финансовому комитету предложения с учетом оптимального значения рисков по его снижению и оптимизации структурными подразделениями центрального аппарата;
Финансово-экономический департамент при разработке Основных направлений развития Банка и расчете бюджета определяет величину доходных активов, достаточную для покрытия всех издержек Банка и образования в необходимом объеме резерва по сомнительным долгам.
Целью же управления операционным риском является поддержание принимаемого на себя Банком риска на уровне, определенном Банком в соответствии с собственными стратегическими задачами. Приоритетным является обеспечение максимальной сохранности активов и капитала на основе уменьшения (исключения) возможных убытков. Управление операционным риском осуществляется также в целях:
- выявления, измерения и определения приемлемого уровня операционного риска;
- постоянного наблюдения за операционным риском;
- принятия мер по поддержанию операционного риска на уровне не угрожающем финансовой устойчивости Банка и интересам его кредиторов и вкладчиков;
- соблюдения всеми работниками Банка актов законодательства и локальных нормативных правовых актов (положений, инструкций правил и регламентов, и др.).
Риск-менеджеры обязаны выполнять следующие действия:
|
1. проводить анализ финансового состояния клиентов (с использованием инструмента «Финансовый анализ», в том числе участвовать в оформлении заявки на установление лимита в соответствии с Порядком проведения финансового анализа юридических лиц; |
|
2. производить расчет (определение) рейтинга клиента и рейтинга обеспечения (с использованием каталога обеспечения займов), общего рейтинга клиента; |
|
3. участвовать в проверке предмета залога на стадии оформления кредитной заявки и производить оценку залога в соответствии с каталогом обеспечения для присвоения залогового рейтинга; |
|
4. проверять подготовленную менеджером заявку на предмет: соответствия оформления заявки с приложениями к ней установленным требованиям; установления сроков проведения review; оценки риска предлагаемой кредитной операции; |
|
5. подготавливать рекомендации, условия одобрения либо заключение с указанием причин отказа по заявке, а также рекомендации по снижению, повышению рейтингов клиента, подписывать заявку; |
|
6. 6. проверять кредитную документацию (кредитные договоры, договоры залога, иные договоры) на предмет: наличия и соблюдения в ней условий, утвержденных в заявках, либо установленных уполномоченными органами; соответствие утвержденным типовым формам как на стадии их заключения, так и в процессе сопровождения кредитной операции, и визировать их; |
|
7. осуществлять контроль за администрированием кредитов после заключения договоров (путем визирования документов, включая платежные инструкции, распоряжения, согласования и т.д.) на предмет: соответствия проводимых операций утвержденной структуре сделки; соответствия расчетных и иных документов условиям кредитных и иных договоров, условиям заявки на утверждение лимита; установления сроков исполнения обязательств; своевременности и полноты оформления залоговых и других обязательств; соблюдения других условий, вытекающих из требований заявки; |
|
8. хранить заявки на установление лимита c приложением решения уполномоченного органа, вести базу данных по учету заявок на установление лимитов; |
|
9. контролировать выполнение графика пересмотра лимитов (review); |
|
10. проверять правильность заполнения в базе «Кредитная подсистема» всех данных, касаемых рисков (NASE Code, рейтинги, лимиты, даты пересмотра лимитов, залоги и др.); |
|
11. нести ответственность и осуществлять контроль за соблюдением установленных лимитов. |
Для максимально полного использования возможностей системы процедур и инструментов группы по управлению кредитным риском, банк проводит масштабную перестройку своей организационной структуры.
3. Основные пути минимизации банковских рисков
3.1. Хеджирование
Хеджирование – это метод, основанный на страховании ценовых потерь на физическом рынке по отношению к фьючерсному или опционному рынку. При этом для рынка биржевых опционов физическим может быть как реальный рынок (валютный, фондовый), так и фьючерсный.
Механизм хеджирования состоит в том, что участник рынка занимает в каждый момент времени прямо противоположные позиции на фьючерсном и физическом рынке, на опционном и реальном рынке, на опционном и фьючерсном рынке. Как правило, направление движения цен на один и тот же актив на этих парах рынков совпадает. Иначе говоря, если торговец является покупателем на одном рынке, то он должен занимать позицию продавца на другом рынке, и наоборот. Поскольку, по условиям, цена и там и там движется в данном направлении, хотя и не обязательно с одинаковой скоростью, поскольку движение этих средств для хеджера будет взаимопогашающимся полностью или частично, так как на одном рынке он – покупатель, а на другом – продавец [22, C.8].
Хеджирование на фьючерсном и физическом рынке. Одним из наиболее успешных и наиболее противоречивых нововведений на мировых финансовых рынках в последние 10лет стало начало торговли финансовыми фьючерсными контрактами, в основе которых лежат финансовые инструменты с фиксированной процентной ставкой и валютные курсы.
Финансовый фьючерс – это соглашение о покупке или продаже того или иного финансового инструмента по заранее согласованной цене в определенное время в будущем.
У рынка финансовых фьючерсов есть ряд характеристик, отличающих его от других сегментов финансового рынка:
финансовые фьючерсы торгуются только централизовано на биржах с соблюдением определенных правил, посредствам открытого предложения цен голосом,
контракты сильно стандартизированы, торговля осуществляется на строго определенные инструменты с поставкой в строго определенное время,
поставка финансовых инструментов осуществляется через расчетную палату, которая гарантирует выполнение обязательств по контракту всеми сторонами,
реальной поставки финансовых инструментов по финансовым фьючерсам, как правило, не происходит,
если ликвидность того или иного фьючерса мала, то фьючерс перестает существовать,
расходы на осуществление торговли фьючерсами относительно невелики [29, c.244].
Рынок фьючерсных контрактов служит для двух основных целей: во-первых, он позволяет участникам рынка страховать себя от неблагоприятных изменений цен на рынке с немедленной поставкой в будущем (операции хеджеров), во-вторых, он позволяет спекулянтам открывать позиции на большие сумы под незначительное обеспечение. Чем сильнее колеблются цены на финансовый инструмент, лежащий в основе фьючерсного контракта, тем больше объем спроса на эти фьючерсы со стороны хеджеров. Таким образом, можно сказать, что развитие рынков фьючерсных контрактов было обусловлено сильными колебаниями цен на те или иные финансовые инструменты на рынке.
Можно выделить два основных вида пользователей рынка финансовых фьючерсов, иначе говоря, его участников: хеджеры и спекулянты.
Цель хеджеров – снижение неблагоприятного изменения уровня процентных ставок или валютных курсов посредством открытия позиции в сторону, противоположную имеющейся позиции на ранке операций с немедленной поставкой. Процесс хеджирования и стратегии по управлению рисками с помощью данного метода будут подробнее изложены ниже.
Цель спекулирования – получение прибыли путем открытия позиций в том или ином фьючерсном контракте в ожидании благоприятного для спекулянта изменения цен этого контракта в будущем. Как правило, спекулянты не имеют своей целью приобретение или продажу лежащего в основе фьючерсного контракта финансового инструмента, их интересует лишь изменение цен на фьючерсы и ликвидация открытой позиции до того как истечет срок действия фьючерсного контракта [29, c.245].
Как правило, спекуляции на фьючерсном рынке делят на три типа:
арбитраж: получение прибыли при практически нулевом риске за счет временного нарушения равновесия цен между рынком операций с немедленной поставкой и рынком фьючерсов,
торговля спрэдами: получение прибыли за счет изменения разницы цен между различными фьючерсными контрактами,
открытие позиций: покупка или продажа фьючерсных контрактов с целью получения прибыли от абсолютного изменения уровня процентных ставок или валютных курсов [2, c.68].
И хеджеры, и спекулянты абсолютно необходимы для эффективного функционирования рынка фьючерсных контрактов. Спекулянты своими операциями обеспечивают ликвидность рынка, позволяя хеджерам осуществлять страхование своих операций без каких-либо сложностей.
Итак, хеджирование от снижения цены осуществляется продажей фьючерсного контракта с последующей его покупкой по более низкой цене. Хеджирование от повышения цены производится покупкой фьючерсного контракта с последующей его продажей по более высокой цене.
Хеджирование на опционном и физическом рынках. Хеджирование с помощью опционов основывается на том факты, что покупатель опциона (все равно кола или пута) рискует только уплаченной премией. Его максимальный риск – величина премии. Хеджер может быть и продавцом опциона. В этом случае его максимальный доход от опциона – всегда опционная премия, которая и несет на себе всю тяжесть хеджирования для продавца опциона. В этом смысле покупатель опциона потенциально имеет большие количественные возможности для хеджирования. Так как его прибыль от реализации опциона может быть неограничена, а значит, и пределы для хеджирования шире. Однако нельзя купить опцион, если его кто-то не продает, а потому, в конечном счете имеется какой-то баланс интересов хеджеров и спекулянтов. Опционное хеджирование в определенном смысле является конкурентом хеджирования с помощью фьючерсных контрактов:
число опционных стратегий торговли намного больше, чем у фьючерсных контрактов. Фьючерсный контракт можно либо купить, либо продать. Опционных же контрактов существует два типа: колл и пут, и при этом каждый из них можно либо купить, либо продать.
покупка опциона дает возможность заранее ограничить свой возможный риск, так как размер прибыли опциона всегда известен. Другие способы ограничения риска состоят из более сложных комбинаций опционов с различными характеристиками [2, c.69].
Таким образом, хеджирование является одним из наиболее эффективных методов снижения банковских рисков в современных условиях развития рыночных отношений.
3.2. Аналитический метод
Различают два подхода аналитического анализа финансового рынка:
фундаментальный (основан на представлении, что движение курса финансовых инструментов является отражением состояния экономики в целом),
технический (в значительной степени опирается на использование психологических индикаторов (sentiment indicators) и на анализ движения денежных средств (flow of funds analysis)) [2, c.31].
Фундаментальный анализ основывается на оценке эмитента: его доходов, положения на рынке, активов и пассивов, норме прибыли на собственный капитал и других показателях, характеризующих эффективность деятельности эмитента. К инструментарию фундаментального анализа относится метод коэффициентов, который имеет дело только с количественными данными. Поэтому использование только коэффициентов может привести к получению недостоверной информации. Наиболее часто применяются следующие коэффициенты:
коэффициент р/е – natio (отношение курсовой стоимости акции к величине чистой прибыли в расчете на одну обыкновенную акцию), коэффициент d/р – ratio (отношение дивиденда по обыкновенной акции к ее курсовой стоимости), бета-коэффициент (определяет влияние общей ситуации на рынке в целом на судьбу конкретной ценной бумаги, его принять считать мерой риска инвестиций в данные ценные бумаги), R-квадрат (R-squared) (характеризует долю риска вклада в данную ценную бумагу, вносимую неопределенностью риска в целом).
Технический анализ – это исследование динамики рынка, чаще всего с помощью графиков, с целью прогнозирования будущего направления движения цен. Технический анализ и исследование динамики рынка теснейшим образом связаны с изучением человеческой психологии. Одной из сильных сторон технического анализа является то, что его можно использовать практически для любого средства торговли и в любом временном интервале [2, c.32].
Психологические индикаторы отражают поведение различных групп участников рынка: трейдеров-одиночек, взаимных фондов, профессионалов, работающих непосредственно в торговом зале биржи. Огромное значение придается тем психологическим индикаторам, которые показывают общее настроение рынка.
Технический анализ финансового рынка представляет собой комбинацию многих различных подходов. Каждый из технических методов добавляет свой оттенок в картину рынка, предстающую перед аналитиком. Главное, таким образом, уметь выбрать те инструменты технического анализа, которые более всего подходят для данного этапа в развитии рынка.
Основными инструментами технического анализа являются:
Построение графиков: чаще всего аналитики используют столбиковые, линейные и пункто-цифровые графики.
Определение тенденции: о характере тенденции говорит направление динамики спадов и пиков. У любого трейдера, играющего на финансовом рынке, всегда есть три варианта действия: покупать (занять длинную позицию – если рынок идет вверх), продавать (занять короткую позицию - вниз) или вообще ничего не предпринимать (если рынок плоский).
Поддержка и сопротивление: уровни предыдущих спадов называются «поддержками», т.е. это уровень или область на графике ниже рынка, где стремление купить достаточно сильное, следовательно, падение приостанавливается и цены вновь растут. Сопротивление является прямой противоположностью поддержки. Трейдеры обычно видят в круглых числах некие ценовые ориентиры и в соответствии с этим взглядом предпринимают какие-то шаги. Таким образом, круглые числа становятся своеобразным «психологическим» уровнем сопротивления или поддержки [21, c.42].
Построение линии тренда представляет собой один из самых простых технических инструментов и, пока в тенденции нет перелома, может служить характеристикой направленности ее движения.
Используя основные инструменты технического анализа аналитик может строить различные ценовые модели, с помощью которых составляется прогноз динамики рынка и оптимизируется система управления рисками.
Современная теория управления финансовыми рисками неразрывно связана с портфельным подходом. Сегодня в западной экономике наблюдается высокая активность в сфере торговли индексными опционами.
Традиционный анализ финансовых рисков является преимущественно анализом отдельных финансовых инструментов: рассчитывают «внутреннюю ценность», выясняют соотношение курс/прибыль, определяют направление курса, пытаются уловить тенденции. Решающим критерием при этом является первоначально ожидаемая доходность.
Точная научная формулировка идеи диверсификации риска путем составления инвестиционного портфеля финансовых институтов предложена Гарри Марковитцем, получившем за это достижение в 1990г. Нобелевскую премию. Его сочинение «Portfolio Selection» 1952 года, вызвавшее многолетнюю интенсивную научную дискуссию было обобщено и уточнено, и составляет фундаментальную основу для развития современной теории капитала в теории экономического развития.
Для упрощения модель Марковитца полагает, что доходы по альтернативам инвестирования распределены нормально. По модели Марковитца определяются показатели, характеризующие объем инвестиций и риск, что позволяет сравнивать между собой различные альтернативы вложения капитала с точки зрения поставленных целей и тем самым создать масштаб для оценки различных комбинаций [17, c.363].
В качестве масштаба ожидаемого дохода из ряда возможных доходов на практике используют наиболее вероятностное значение, которое в случае нормального распределения совпадает с математическим ожиданием.
Для измерения риска служат показатели рассеивания, поэтому, чем больше разброс величин возможных доходов, тем больше опасность, что ожидаемый доход не будет получен. Таким образом, риск выражается отклонением значений доходов от наиболее вероятного значения.
В модели Марковитца для измерения риска вместо среднеквадратичного отклонения используется дисперсия, так как этот показатель имеет преимущества по технике расчетов.
Для дисперсии эта сумма применима с определенными ограничениями. Так как изменение курса на рынке происходит не изолированно, а охватывает весь рынок в целом. Поэтому дисперсия зависит не только от степени рассеивания отдельных инструментов, но и от степени корреляции между изменениями курсов отдельных из них. При сильной корреляции между отдельными курсами риск за счет диверсификации портфеля нельзя ни уменьшить, ни увеличить. Если же курсы абсолютно не коррелируют, то риск можно было бы исключить полностью, но при этом портфель содержит бесконечное число акций. Что на практике невозможно [17, c.364].
Из-за высоких входных требований модель Марковитца нашла применение на практике лишь в единичных случаях при управлении очень большими портфелями. Ученик Марковитца, Уильям Шарп предложил, поэтому, важное упрощение, которое хотя и является несколько менее точным, однако довольствуется менее четкими входными данными.
Исходным пунктом индексной модели Шарпа было соображение о том, что колебание доходности финансовых инструментов (или портфеля) может быть разложено на две составляющие. Большая часть этого колебания зависит от общего движения рынка (изменения рыночной доходности) и является результатом народнохозяйственного, политического, конъюнктурного и прочего развития. Этот риск, исходящий от влияющих факторов, был им обозначен как систематический риск. Количественным выражением этой составляющей риска является так называемый бета-фактор. Другая часть колебаний вызвана типичным для современного способа производства: качеством управления, набором инструментов, технологиями и т.д. Эта составляющая риска обозначается как несистематический риск, а ее количественное выражение есть так называемый альфа-фактор [17, c.365].
Поскольку рыночная доходность в общем неизвестна, вместо него выходят на широко покрывающий текущее состояние рынка индекс. Широкое применение индексной модели на практике объяснено тем, что оба фактора данного финансового инструмента оцениваются за определенный период времени в прошлом и становятся инструментом прогнозирования, причем недостаточное количество прогнозирования выявленных альфа-факторов приносит с собой определенные трудности.
Иначе с надежностью бета-фактора: он интерпретируется как степень чувствительности, которая показывает, на сколько доходность рассматриваемого финансового инструмента при заданных или ожидаемых изменениях изменит ожидаемое соответствующее значение индекса доходности. Бета-фактор играет в современном анализе центральную роль, он позволяет прямо оценить систематический риск, присущий финансовому инструменту [17, c.365].
Принимая во внимание затраты на информацию, а также поиск данных, вызванный применением индексной модели, интересно узнать, какой эффект снижения риска получатся при простом, более или менее случайном построении портфеля. Очевидно то, что по идее индексной модели несистематический риск может быть полностью устранен, если участник рынка держит портфель, если все инструменты портфеля находятся в той пропорции, что и в индексе.
Однако портфели такого рода реализуются лишь при очень большом объеме. Как высока в малом портфеле доля систематического или несистематического риска фактически, зависит от текущего состояния рынка с одной стороны, и числа содержащихся финансовых инструментов с другой. Чем больше инструментов произвольно включено, тем меньше систематический риск. Правда становится очевидным то, что вклад дополнительного финансового инструмента в снижение риска портфеля с увеличением объема портфеля сильно уменьшается.
В целом любые модели инвестиционного портфеля являются открытыми системами и соответственно могут дополняться и корректироваться при изменениях условий на финансовом рынке. Получение математической оценки состояния портфеля на различных этапах инвестирования при учете влияния различных факторов делает возможным непрерывно управлять структурой портфеля на каждом этапе принятия решения, т.е. по сути, управлять рисками [17, c.367].
В современной экономической литературе вопросам подбора и использования инструментов анализа текущей конъюнктуры финансового рынка уделено большое внимание, однако, индивидуальность потребностей каждого инвестора диктует индивидуальный же подход при решении данной проблемы. Ставя перед собой задачу разработки системы инструментов, позволяющих принимать быстрые решения при краткосрочном размещении временно свободных денежных средств коммерческого банка на российском рынке акций, делаю акцент на оценке общего состояния рынка, выборе компании - эмитента, и выборе времени осуществления операции. Проблема формирования портфеля из-за своей обширности выходит из области моего исследования.
3.3. Некоторые пути минимизации банковских рисков
По своей сути банк — это коммерческое предприятие. Основным принципом взаимоотношений "банк — клиент" является принцип получения прибыли банком при меньших затратах и принцип минимизации всех видов риска. Банк на самом деле может рисковать (и он рискует ежедневно в процессе своей деятельности) своим собственным капиталом, но не капиталом клиента, его прибылью. С целью минимизации риска банк должен:
* диверсифицировать портфель своих клиентов, что ведет к диверсификации всех видов риска, т.е. его рассредоточению;
* стараться предоставлять кредиты в виде более мелких сумм большему количеству клиентов;
* предоставлять большие суммы клиентам на консорциональной основе и пр.
Банку необходимо подбирать портфель своих клиентов таким образом, чтобы самому иметь оптимальное соотношение между активными и пассивными операциями, сохранять уровень своей ликвидности и рентабельности на необходимом для бесперебойной деятельности уровне.
Для этой цели необходимо проводить регулярный анализ уровня всех видов рисков, определять их оптимальное значение для каждого конкретного момента и использовать весь набор способов управления ими [4, c.180].
Основным методом снижения риска кредитования, к примеру, является анализ кредито- и платежеспособности заемщиков. Анализ кредитоспособности заемщика начинается с изучения следующих сторон его деятельности :
Анализ фактора С1. В социальной концепции маркетинга этим фактором обозначают возможность предприятия-производителя своими товарами удовлетворять интересы потребителей. Иньтми словами, производители существуют тогда и только тогда, когда их товар необходим потребителям. С помощью различных методов факторного (в том числе регрессионного) анализа определяют :
соответствие между спросом и предложением ;
умение производителя заинтересовать определенные социальные группы потенциальных и/или реальных потребителей ;
оптимальный выбор рыночного сегмента (окно, нишу) и пр.
Анализ фактора С2. что выражает удовлетворение интересов самого производителя, т.е. его способность получать прибыль и распоряжаться ею. Этот анализ производится по следующим направлениям :
уровень издержек производителя ;
« солидность » производителя, т.е. своевременность расчетов по ранее полученным кредитам, его капитальная база как заемщика ;
его репутация (рейтинг), его желание и решимость удовлетворить свои обязательства ;
возможность осуществления залогового права со стороны обслуживающих его банков и банковских учреждений.
Банку всегда необходимо контролировать качество залога, уровень его ликвидности, соотношение его рыночной стоимости с размером кредита.
3. Экономико-статистический анализ уровня кредитоспособности и платежеспособности клиентов по выбранной методике [4, c.183].
И, наконец, можно отметить еще несколько способов управления уровнем риска деятельности банков и банковских учреждений. К ним можно отнести:
предварительную оценку возможных потерь с помощью прогнозных методов анализа имеющейся статической и динамической достоверной информации о деятельности самих банков, их клиентов/ контрагентов, их поставщиков и посредников, конкурентов различных групп контактных аудиторий. Для этой цели коммерческим банкам необходимо создать отделы, занимающиеся анализом уровня рисков и вырабатывающие меры по управлению ими в системе маркетинга. Раз в год (полугодие, квартал) при установлении отношений между банком и новым заемщиком и/или при активной динамике макроэкономики необходимо проводить развернутый анализ кредитоспособности.
Гораздо чаще необходимо осуществлять так называемый экспресс-анализ, с помощью которого банку становится известно текущее финансовое состояние клиента [4, c.184].
Для проведения анализа кредито- и платежеспособности заемщика банку необходима следующая информация:
а) годовая, квартальная, месячная финансовая отчетность;
б) детальная структура запасов товарно-материальных ценностей, дебиторской и кредиторской задолженности, по крайней мере за последние 18 месяцев;
в) бизнес-план предприятия;
г) планы маркетинга, производства и управления;
д) анализ отрасли, к которой относится заемщик;
е) прогноз денежных потоков заемщика с его клиентами и контрагентами на период погашения займа;
динамику процентных ставок, которые при увеличении степени риска увеличиваются, и наоборот, т.е. ставки по свободно обращающимся инструментам ниже ставок по инструментам с ограниченной обратимостью; ставки по пассивным операциям и операциям на межбанковском рынке обычно ниже ставок по активным операциям и кредитным операциям с клиентурой; чем стабильнее заемщик, тем ниже процентные ставки; долгосрочные меняются более плавно (с учетом временного сглаживания), чем краткосрочные; ставки по кредитам с обеспечением и краткосрочным операциям ниже, чем ставки без обеспечения и по краткосрочным операциям;
страхование кредита как гарантию на случай неблагоприятных обстоятельств;
хеджирование (страхование риска);
отказ от предложений заемщика при слишком большом риске;
расчет условий кредита, применяемый в основном в случаях небольших займов и личного кредитования;
диверсификацию риска, представляющую собой его рассредоточение.
Она может проявляться в различных видах [4, c.185]:
а) предоставление кредитов более мелкими суммами большему количеству клиентов при сохранении общего объема кредитования;
б) предоставление кредитов на консорциональной основе, когда для выдачи большой суммы кредита объединяются несколько банков, образуя консорциум;
в) привлечение депозитных вкладов, ценных бумаг более мелкими суммами от большего числа вкладчиков;
г) получение достаточного обеспечения по выданным кредитам. Важными условиями реализации последнего требования являются наличие залогового права; умение правильно анализировать и оценивать платежеспособность заемщиков; правильная ориентация по оперативному взысканию долга; применение системы нормативов по активным и пассивным операциям. Они устанавливаются центральным банком и обязательны для выполнения.
Регулирование банковского риска базируется не на оценке финансового положения заемщика, а на установлении определенного соотношения между суммами выданных кредитов и собственных средств самого банка, т. е. предполагается создание резервного потенциала у банков для покрытия возможных убытков в случае разорения клиентов.
Количественные характеристики нормативов обусловлены состоянием экономики, уровнем централизации банковской системы и др. В развитых странах соотношение между собственным и заемным капиталом находится на уровне от 1:10 до 1:100. Например, отношение собственного капитала к заемным средствам в США — 1:15, в ФРГ — 1:30, в Швейцарии — 1:12, в Японии — 1:83.
В Австрии выдаваемый одному заемщику кредит не может превышать 50% основного капитала банка [17, c.391].
В Ирландии одному вкладчику запрещается помещать в банк депозиты, превышающие 10% общей суммы банковских депозитов, а 10 самых крупных вкладчиков не должны держать в банке более 40% суммы его депозитов.
В Великобритании коммерческие банки должны информировать Банк Англии о каждом депозите, составляющем 5% суммы всех депозитов.
В Бельгии банки сообщают банковской комиссии о состоянии депозитов, хотя регулирующих норм не предусматривается.
В США действует так называемый закон Джонсона (с 1934 г.), запрещающий предоставлять кредиты странам, не погасившим свои долговые обязательства перед правительством США и не являющимся членами Международного валютного фонда.
Таким образом, для минимизации риска банкам рекомендуется:
диверсифицировать портфель своих клиентов, что ведет к диверсификации всех видов риска, т.е. его рассредоточению;
стараться предоставлять кредиты в виде более мелких сумм большему количеству клиентов;
предоставлять большие суммы клиентам на консорциональной основе.
ЗАКЛЮЧЕНИЕ
Под риском принято понимать вероятность, а точнее угрозу потери банком своих ресурсов, недополучения доходов или произведения дополнительных расходов в результате осуществления определенных финансовых операций.
В зависимости от факторов, оказывающих влияние на размер банковских рисков, они подразделяются на внешние и внутренние. Внешние риски могут быть: страновыми; валютными; рисками стихийных бедствий (форс-мажорных обстоятельств).
Внутренние риски могут быть: риски, связанные с видом банка, риски, связанные с характером банковских операций, кредитный риск, риск инфляции, риск падения общерыночных цен, портфельный риск, лизинговый и факторинговый риски, риск, связанный со спецификой банка, транспортный риск и др.
Управление рисками в ОАО «Белагропромбанк» организуется органами управления Банка в соответствии с их полномочиями, определенными Уставом ОАО «Белагропромбанк». Кредитный и Финансовый комитеты Банка осуществляют управление рисками в пределах полномочий, наделяемых Правлением Банка.
Департаменты (самостоятельные управления) центрального аппарата Банка - кредитный, международных проектов, кредитования населения, ценных бумаг, финансово-экономический, международных и межбанковских расчетов, валютного контроля и регулирования, вкладных и расчетных операций, внутреннего аудита, ревизий, расчетный центр пластиковых карт, организационно-методологический департамент, Казначейство, информационных технологий, юридический, управление по работе с юридическими лицами по направлениям деятельности: участвуют в разработке общей стратегии управления рисками; проводят оценку рисков банковских операций; совершенствуют методы и механизмы управления рисками; участвуют в разработке автоматизированных форм, улучшающих процессы управления рисками, позволяющих сделать экспертную оценку риска до совершения той или иной банковской операции; обеспечивают хеджирование рисков с помощью производных финансовых инструментов; готовят в соответствии со стратегией управления рисками локальные нормативные правовые акты и другие документы; готовят информацию по вопросам управления рисками для рассмотрении на заседаниях Правления, Кредитного, Финансового комитетов Банка; информируют руководство о происходящих изменениях на курируемом сегменте банковского рынка и связанного с этим повышением риска для Банка; проводят мониторинг, оценку и контроль управления рисками; принимают участие в разработке кредитной, процентной и других политик Банка; обеспечивают своевременное создание специального резерва на покрытие возможных убытков по активам подверженным кредитному риску; обеспечивают использование единых алгоритмов расчета показателей деятельности банка; информирование заинтересованных служб банка о готовящихся проектах нормативных правовых актов, касающихся банковской деятельности; обеспечивают надлежащее исполнение банком принятых на себя обязательств; организуют работу по осуществлению внутреннего контроля, обеспечивающего недопущение вовлечения банка в финансовые операции, имеющие незаконный характер; организуют защиту банка от противоправных действий, дестабилизирующих экономическую, финансовую, коммерческую деятельность учреждений банка; обеспечивают выполнение рекомендаций, представленных в ходе аудиторских и других проверок в части минимизации рисков, связанных с банковскими операциями.
Основными методами управления рисками являются: статистический метод, аналитический метод, метод хеджирования.
Статистический метод заключается в том, чтобы изучить статистику потерь и прибылей, имевших место при принятии аналогичных рений, установить величину и частоту получения той или иной экономической отдачи, а затем провести вероятностный анализ и составить прогноз будущего поведения на рынке.
Хеджирование – это метод, основанный на страховании ценовых потерь на физическом рынке по отношению к фьючерсному или опционному рынку. При этом для рынка биржевых опционов физическим может быть как реальный рынок (валютный, фондовый), так и фьючерсный.
С целью минимизации риска банк должен:
* диверсифицировать портфель своих клиентов, что ведет к диверсификации всех видов риска, т.е. его рассредоточению;
* стараться предоставлять кредиты в виде более мелких сумм большему количеству клиентов;
* предоставлять большие суммы клиентам на консорциональной основе и пр.
Банку необходимо подбирать портфель своих клиентов таким образом, чтобы самому иметь оптимальное соотношение между активными и пассивными операциями, сохранять уровень своей ликвидности и рентабельности на необходимом для бесперебойной деятельности уровне.
Для этой цели необходимо проводить регулярный анализ уровня всех видов рисков, определять их оптимальное значение для каждого конкретного момента и использовать весь набор способов управления ими.
СПИСОК ИСПОЛЬЗОВАННЫХ ИСТОЧНИКОВ
Авраменко С. Раннее предупреждение и стресс-тестирование риска потери ликвидности// Банкаускi веснiк. - 2006. - №16. - С. 39-43.
Аленичев В.В., Аленичева Т.Д. Страхование валютных рисков, банковских и экспортных коммерческих кредитов -М.: Ист-сервис, 1994г. -114с.
Антипова О.Н. Регулирование рыночных рисков // Банковское дело. - 1997 г. - №4. – С.17-25
Белых Л.П. Устойчивость коммерческих банков. Как банкам избежать банкротства. -М.: ЮНИТИ, 1996г. -192с.
Гусаков Б. Удельный вес интуиции и профессионального опыта при анализе рискованной информации // Риск. - 1998г. - № 2-3. –С.6-8
Замуруев А. Минимизировать или управлять? // Риск. - 1998г. - №4. –С.11
Кабушкин С.Н. Анализ и моделирование рисковой ситуации изменения качества кредитного портфеля банка // Бухгалтерский учет и анализ. – 2000. - № 4, с. 42-46.
Кабушкин С.Н. Методы управления банковским кредитным риском. // Веснiк Беларускага дзяржаунага эканамiчнага унiверсiтэта. - 2000. - №5.-С.25-30.
Ковзанадзе И.К. Вопросы создания эффективной системы управления банковскими рисками. // Деньги и кредит. - 2001. - №3.-С.49-53.
Кудинова Т.А. Оценка финансовых рисков // Вестник С-П. Университета. - 1996г. – №3. –С.14.
Лазарева Н. Проблемы оценки банками уровня кредитоспособности на основе факторного анализа кредитополучателей // Вестник ассоциации белорусских банков. – 2002. - № 23, с. 31-37.
Лялин В.А., Воробьев П.В. Ценные бумаги и фондовая биржа. – М.: Финансы, 1998г. –302с.
Марченко А. Методы борьбы с рисками // Рынок ценных бумаг. – 1995г. - №23. –С.19
Морозова Т. Оценка системы управления рисками в банках// Банкаускi веснiк. - 2006. - №18,19 – С.8-16.
Помазанов М. Количественный анализ кредитного риска. // Банковские технологии. - 2004. - №2. - С. 22-28.
Поморин М.А. Управление рисками как состовная часть процесса управленя активами и пассивами банка // Банковское дело. - 1998г. - №3. –С.4-9
Редхерд К., Хьюс С. Управление финансовыми рисками. -М.: Инфра-М, 1996г. –413с.
Рогов М. Управление рисками // Риск. - 1995г.- №4. – С.11
Рудько-Селиванов В.В. Региональные особенности проявления банковских рисков // Деньги и кредит. - 1997г. - №7. – С.9
Сазыкин Б. Организационное управление операционными рисками банка// Банкаускi веснiк. - 2006. - №24- С. 17-24.
Севрук В.Т. Банковские риски. -М.: Экономпресс, 1994. - 72 с.
Сердюкова И.Д. Управление финансовыми рисками // Финансы. – 1995г. – №12. –С.8-10
Соколинская Н. Э. Валютные риски и методы их регулирования // Банковское дело. - 1998г. - №9. –С.12-15
Соколинская Н. Э. Валютные риски и методы их регулирования // Банковское дело. - 1998г. - №10. –С.12-14
Сорвин С.В. Управление банковскими рисками - региональный аспект // Деньги и кредит. - 1997г. - №6. –С.9-10
Супрунович Е.Б. Учет рисков при работе на межбанковском рынке // Деньги и кредит. - 1997г. - №5. –С.11-13
Супрунович Е. Управление кредитным риском. // Банкаускi веснiк. - 2004. - №25. - С. 25-31.
Сухов М.И. Управление банковскими рисками рыночной специализации // Деньги и кредит. - 1997г. - №6. –С.15-19
Финансовый менеджмент: Теория и практика. Учебник / Под ред. Стояновой Е.С. –М.: Перспектива, 1997г. –321с.
Штырова И.А. Современное состояние кредитного риск-менеджмента. // Бизнес и банки. - 2004. - ноябрь(№46).- С.1-7.
ПРИЛОЖЕНИЕ А
Таблица А1.
Основные типы риска
|
Тип риска |
Характеристика |
|
1. Кредитный риск |
Возможное падение прибыли банка и даже потеря части акционерного капитала в результате неспособности заемщика погашать и обслуживать долг (выплачивать проценты) |
|
2. Риск ликвидности банка (риск несбалансированной ликвидности) |
Возможная угроза прибыли и акционерному капиталу банка в результате затруднения в получении средств путем реализации части активов или приобретения нового займа по приемлемой цене. Риск считается наивысшим, когда банк не в состоянии удовлетворить кредитную заявку или ответить по обязательству вкладчика. Соответственно различают ликвидность активов и ликвидность пассивов |
|
3. Процентный риск |
Вероятная потеря дохода банка в результате непогашения процентных платежей заемщиком |
|
4. Риск, связанный с неспособностью банка возмещать административно-хозяйственные расходы (риск текущих расходов) |
Возможное снижение прибыли банка из-за непредвиденных расходов на содержание аппарата сотрудников и прочих расходов, обеспечивающих нормальный ритм работы учреждения |
|
5. Валютный риск |
Опасность валютных потерь, связанных с изменением курса иностранной валюты по отношению к национальной валюте при проведении международных кредитных, валютных и расчетных операций |
|
6. Риск неплатежеспособности банка |
Использование банком акционерного капитала для погашения своих обязательств при отсутствии каких-либо других источников (платежи по возвращаемым кредитам, привлечение новых займов, реализация активов). Чтобы предотвратить подобную ситуацию, важно поддерживать соотношение между акционерным капиталом и активами, так называемый коэффициент достаточности капитала |
П р и м е ч а н и е. Источник [11, c.123]
ПРИЛОЖЕНИЕ Б
Таблица Б1.
Факторы, воздействующие на величину банковского кредитного риска
Индивидуальные риски |
Совокупный риск |
|
|
Физических лиц |
Юридических лиц |
Кредитного портфеля |
|
1. Нестабильность экономической ситуации (финансовый кризис, отсутствие конвертируемости национальной валюты, сужение платежеспособного спроса населения, инфляция и др.) |
1. Нестабильность экономической ситуации (финансовый кризис, отсутствие конвертируемости национальной валюты, спад производства, неблагоприятные изменения на отдельных рынках, инфляция и др.) |
1. Нестабильность экономической ситуации (финансовый кризис, отсутствие конверти-руемости национальной валюты, неразвитость информационного рынка, неблагоприятные изменения на финансовых рынках, инфляция и др.) |
|
2. Изменение материального положения заемщика (увеличение (уменьшение) зарплаты, выход на пенсию, получение наследства и др.) |
2. Изменение финансового положения заемщика (показатели финансовой устойчивости, оборачиваемости, рентабельности, ликвидности и др.) |
2. Изменение денежно- кредитной политики центрального банка (изменение норм обязательных резервов, ставки рефинансирования, нормативов риска, государственная поддержка приоритетных отраслей и др.) |
|
3. Кредитная история заемщика (отсутствует, положительная, отрицательная) |
3. Кредитная история заемщика (отсутствует, положительная, отрицательная) |
3. Изменения в кредитной политике банка (переориентация ресурсов на другие отрасли, введение новых кредитных инструментов, изменение структуры управления и др.) |
|
4. Изменение качества обеспечения ссуды (стоимости, ликвидности) |
4. Изменение качества обеспечения ссуды (стоимости, ликвидности) |
4. Личностный фактор (недостаток квалификации и опыта, микроклимат в коллективе, злоупотребления) |
|
Окончание приложения Б |
||
|
1 |
2 |
3 |
|
5. Изменение социального положения заемщика (вступление в брак, изменение состава семьи и др.) |
5. Качество управления предприятием- заемщиком (образовательный уровень, квалификация и опыт работы в данной сфере руководящего звена и др.) |
|
|
6. Изменение условий кредитного договора (введение или отмена моратория на уплату процентов и основного долга, штрафных санкций, изменение процентных ставок, сроков погашения основного долга и др.) |
6. Изменение условий кредитного договора (введение или отмена моратория на уплату процентов и основного долга, штрафных санкций, изменение процентных ставок, сроков погашения основного долга и др.) |
|
|
7. Личностный фактор (недисциплинированность заемщика, предоставление заведомо ложной информации, препятствование банковскому контролю, мошенничество и др.) |
7. Личностный фактор (недисциплинированность заемщика, предоставление заведомо ложной информации, препятствование банковскому контролю, мошенничество и др.) |
П р и м е ч а н и е. Источник [5, c.64]
ПРИЛОЖЕНИЕ В
Разработка кредитной политики банка и определение стратегии в области риска


Реализация кредитной политики банка (тактика)






Идентификация кредитных рисков банка

Прогнозирование последствий

Разработка и применение определенных мер воздействия на кредитный риск

Анализ результатов
Положительные Отрицательные



Внесение изменений в проводимую кредитную политику, корректируя тактику
Анализ соответствия проводимой кредитной политики (стратегии), приемлемому уровню риска

Нет
Да
Рисунок В1. Процесс управления банковским кредитным риском
П р и м е ч а н и е. Источник [5, c.78]
ПРИЛОЖЕНИЕ Г
Таблица Г1.
Методы управления кредитным риском, их содержание и организационные формы
|
Методы |
Направленность |
Организационная форма |
Содержание |
|
Предупреждение риска |
Кредитный риск + операционный риск |
Косвенное воздействие |
Отбор и оценка кредитных специалистов Оптимизация кредитного процесса Развитие персонала Изучение потенциального клиента Постоянный мониторинг клиента |
|
Оценка, измерение и прогнозирование риска |
Кредитный риск |
Косвенное воздействие |
Оценка кредитоспособности заемщика Оценка качества кредитного портфеля банка Измерение кредитного риска Прогнозирование кредитного риска Отказ от кредитования ненадежного клиента Отказ от кредитования сомнительной сделки |
|
Снижение (минимизация ) риска |
Кредитный риск + риск банковской ликвидности |
Прямое воздействие |
Рационирование кредитов Диверсификация кредитов Резервирование средств Структурирование кредитов |
|
Окончание приложения Г |
|||
|
1 |
2 |
3 |
4 |
|
Страхование риска |
Кредитный риск |
Косвенное воздействие |
Перераспределение обязанностей возмещения кредитных потерь на страховую организацию Хеджирование на срочном рынке с помощью производных финансовых инструментов |
|
Удержание риска |
Кредитный риск + риск потери репутации банка |
Косвенное воздействие |
Создание структурных подразделений по работе с проблемными кредитами Приостановка кредитной деятельности в высоко рискованных отраслях Поиски новых секторов кредитного рынка и разработка новых кредитных продуктов |
П р и м е ч а н и е. Источник [5, c.107]
ПРИЛОЖЕНИЕ Д
Таблица Д1.
Перечень рисков банковской деятельности,
контролируемых в ОАО "Белагропромбанк"
|
Вид риска |
Определение риска |
Ответственный |
Ответственные
|
Инструменты
минимизации |
|
|
1 |
2 |
3 |
4 |
6 |
|
|
Кредитные
|
Кредитные
риски |
Риск
возникновения у банка |
Правление
|
КУ,
|
Установление
лимитов выдачи |
|
Кредитные
|
УВТФ,
|
||||
|
Кредитные
|
УРУ,
|
||||
|
Процентный риск |
Риск,
связанный с |
Правление
|
КУ,
|
-
централизованный подход |
|
|
ФЭУ |
-
анализ структуры |
||||
|
Рыночные риски |
Валютный риск |
вероятность
возникновения у |
Правление
|
УВРиК,
|
Ограничения:
|
|
Процентный
|
вероятность
возникновения у |
Правление
|
Казначейство,
|
-
поддержание приемлемой |
|
|
Фондовый риск |
риск
убытков вследствие |
Правление
|
УЦБ,
|
-
ограничения удельного |
|
|
Риск ликвидности |
риск
возникновения у банка |
Правление
|
Структурные
|
Система
ограничений риска |
|
|
Операционный
|
Риск
|
-
связанный с |
Правление
|
ЦИТ,
|
-
разработка и ежегодное |
|
риск
|
Риск
- связанный с |
Правление
|
УКБ,
|
-
детальное изучение |
|
|
учетный риск |
Риск
- связанный с |
Правление
|
УБУ,
|
-
детальная регламентация |
|
|
риск операции |
Риск
- связанный с видом |
Правление
|
УБУ,
|
||
|
риск
неверной |
Риск
- связанный с ошибками |
Правление
|
УРП,
|
-
распределение |
|
|
правовой риск |
риск-
связанный, с одной |
Правление
|
ЮУ |
-
необходимо строить |
|
|
риск персонала |
риск
- связанный с |
Правление
|
УРП,
|
-
организация непрерывного |
|
|
риск
|
Риск
- связанный с |
Правление
|
Все
|
-
проведение контроля |
|
|
риск
внешнего |
Риск
- связанный с кражами, |
Правление
|
УБиЗИ,
|
-
проведение проверок |
|
|
имущественный
|
Риск
- связанный с утратой |
Правление
|
УБиЗИ,
|
-
организация надежной |
|
|
Риск
потери деловой |
Риск
возникновения у банка |
Правление
|
Все
|
-
принятие совокупного |
|
|
Страновой
риск и риск |
Риск
возникновения |
Правление
|
УВТФ,
|
-
анализ отчетных данных, |
|
|
Стратегический риск |
Риск
- риск возникновения у |
Правление
|
Правление,
|
-
принятия важнейших |
Управление внутреннего аудита осуществляет последующий контроль за организацией работы по управлению рисками, контролируемыми в ОАО "Белагропромбанк"
Перечень сокращений:
УЦБ - Управление ценных бумаг
УВРиК - Управление валютного регулирования и контроля
ЦИТ - Центр информационных технологий
УМР - Управление международных расчетов
УБУ - Управление бухгалтерского учета и отчетности
УВА - Управление внутреннего аудита
УБиЗИ - Управление безопасности и защиты информации
ЮУ - Юридическое управление
УРП - Управление по работе с персоналом
ЦОП - Центр обучения персонала
УОДБ - Управление обеспечения деятельности банка
УРУ - Управление розничных услуг
КЦ - Карт Центр
УВТФ - Управление внешнеторгового финансирования
ОУ - Операционное управление
КУ - Кредитное управление
УСР - Управление стратегического развития
УДОиКР - Управление организации денежного обращения
и кассовой работы
ОАБС - Отдел проектирования и внедрения централизованной
автоматизированной банковской системы
ОКЖС - Отдел кредитования жилищного строительства
УИ - Управление инкассации
УКБ - Управление корпоративного бизнеса
ФЭУ - Финансово-экономическое управление
УКС - Управление капитального строительства