Бетонні роботи в зимових умовах
Бетонні роботи в зимових умовах
Які особливості бетонування при негативних температурах
Від вигляду і мінералогічного складу цементу залежить швидкість і глибина гідратації його зерен і, отже інтенсивність твердіння і кінцева міцність цементного каменя. Ці залежності будуть особливо великими за різних температурно-вологих умов, які мають місце при бетонуванні взимку. Тому раціональний вибір методу мал. 2.3.1 і режиму витримки| бетону в зимовий час треба проводити з урахуванням вигляду і мінералогічного складу цементу, а також вживаних добавок.
Гідратація цементу належить до екзотермічних, тобто супроводжується виділенням тепла, що при зимовому бетонуванні має велике практичне значення. Чим вищі активність цементу, його питома витрата і початкова температура бетону, тим при твердінні більше виділяється тепло. Чим конструкція масивніше, тим відносно менше буде втрата тепла через поверхню, вище температура і тривалість охолодження. У масивних конструкціях тепловиділення дуже тривале, а кількість виділеного тепла настільки велика, що обігрівати бетон не потрібно (до 50° С).
Шкідливий вплив заперечливих температур на бетон в ранньому віці позначається в наступному.
По-перше, при замерзанні вода, що міститься в бетоні, вільна, замерзає, і, як тверде тіло, в хімічну сполуку з цементом не вступає; тому реакція гідратації, а отже, і твердіння бетону не відбувається. Якщо до замерзання твердіння не розпочалося воно не розпочнеться і після замерзання, а якщо почалося, то припиняється на якийсь час, доки вільна вода в бетоні перебуватиме в твердій фазі; у бетоні настає так званий анабіоз.
По-друге, замерзаюча вода на 9 % збільшується в обсязі; у порах бетону розвивається великий тиск, чому структура бетону порушується.
По-третє (найголовніше), вода, що скоплюється на поверхні крупного заповнювача, при замерзанні утворює тонку крижану плівку, яка порушує зчеплення між заповнювачем і розчином, необхідне для монолітності бетону.
При відтаванні замерзла вільна вода перетворюється на рідину, твердіння бетону поновлюється, і в ньому відбуваються ті ж процеси, що і до замерзанні, але вже при його структурі, що змінилася.
Зниження кінцевої міцності буде тим більше, чим в ранішому віці настало замерзання бетону. Воно найнебезпечніше в період схоплювання цементу; в цьому випадку неминуче не тільки значне зниження міцності, але і помітне порушення структури бетону. Настільки ж шкідливі і багатократні замерзання і відтавання бетону на початку твердіння, що можливо на початку і кінці зими, коли відлига змінялася заморожуваннями. Наслідки морозу особливо великі, якщо передчасно замерзлий бетон після відтавання не піддавався спеціальному догляду.
Раннє замерзання сильно знижує зчеплення бетону з арматурою, що має особливо велике значення для конструкцій, динамічних й вібраційних навантажень, що піддаються дії.
Замерзання в ранньому віці зменшує щільність бетону, чому збільшується водопроникність й знижується стійкість бетону проти вилуговування, вивітрювання і інших шкідливих дій.
Залежність між віком і міцністю бетону при замерзанні з якого видно, що при заморожуванні бетону після досягнення їм деякого віку (6 діб при 15°), що іменується критичним, втрата міцності бетоном, що тверднув потім в нормальних умовах різко знижується і складає близько 15 % від R>28>.

Мал 1. Залежність відносної міцності бетону на портландцементі| від температури| і тривалості прогрівання.
Якщо до заморожування витримувати бетон при температурі нижчої, ніж нормальна, цей термін збільшується, при вищій - зменшується. Оскільки|тому що| взимку застосовуються бетони, що готуються на цементах| з|із| різною інтенсивністю твердіння| в першу добу, те поняття про критичний вік краще замінити поняттям| критична міцність, прийнявши її в 25 % від марки бетону.

Мал. 2. Залежність відносної міцності бетону від часу витримки при заморожуванні.
Величина критичної міцності характеризує опірність бетону механічним діям що ж до щільності і водонепроникності, то порівняно невелике зниження їх буде лиш| при заморожуванні бетону після досягнення 40% міцності від марки бетону.
Технічними умовами заморожування допускається після досягнення бетоном не менше 50 % проектної міцності і не менше 5 МПа/см (для бетонів марки нижче 100), а для конструкцій пролітних будов мостів - не менше 70 % проектної міцності, якщо проектом споруди або виробництва робіт не передбачені вищі вимоги до міцності бетону до моменту його замерзання.
Основними завданнями при зимовому бетонуванні є прискорення терміну тієї, що розпалубила конструкцій й передача на них в зимових же умовах хоч би неповного розрахункового завантаження|.
Видалення бокових щитів опалубки (при роботі в теплицях або весні) допускається після досягнення бетоном міцності 25 МПа незалежно від марки бетону; при цьому розпалублений бетон обов'язково оберігають від втрати вологи (вкривають і поливають). У інших випадках розпалубила може проводитися при тій же міцності бетону, як і що укладається в літніх умовах. Опалубку і утеплення треба знімати не раніше охолодження бетону в зовнішніх шарах до +5° С, не допускаючи примерзання опалубки до бетону. Для зниження перепаду температур в телі масивів і уникнення поверхневих тріщин в бетоні розпалублені конструкції повинні тимчасово ховатися, якщо різниця температур поверхневого шару бетону і зовнішнього повітря складає 30° С біля конструкцій з Мп > 5 і 20° для інших.
Прискорення твердіння бетону взимку має виключно велике значення. Воно може бути досягнуте за допомогою підвищення температури витримки бетону; застосування цементів підвищеної активності і відповідного мінералогічного складу; використання тих, що швидко тверднуть цементів| і бетонів; зменшення В/Ц і підвищення чистоти заповнювачів; збільшення тривалості перемішування; вібрації суміші при укладанні; використання прискорювачів твердіння|.
Взимку слід готувати бетонну суміш з мінімально допустимим за умовами легкоукладуваності водоцементним відношенням.
На інтенсивність твердіння бетону істотно впливає чистота заповнювачів. Особливо небезпечний взимку пісок, забруднений органічними домішками (звичайно гумусом), які не тільки знижують міцність розчину і бетону, але і уповільнюють твердіння в ранньому віці.
При збільшенні (до відомих меж) тривалості перемішування суміші відбувається повніша взаємодія між водою і зернами цементу, унаслідок чого прискорюється твердіння, дещо збільшується кількість того, що виділяється цементом тепла, підвищується міцність бетону, його однорідність, легкоукладуваність і водонепроникність. Тривалість перемішування суміші взимку проти норм літнього часу збільшується в середньому в 1,5 разу.
Вібрація дає можливість укладати жорсткішу суміш і при збереженні прийнятого В/Ц зменшити витрата цементу.
Прискорення твердіння найефективніше досягається введенням в бетони і розчини прискорювачів: хлористого кальцію, а також соляної кислоти.
Прискорююче дію цих добавок полягає в підвищенні розчинності вапно портландцементу і прискоренні розкладання мінералів клінкеру.
Рекомендовані методи зимового бетонування залежно від виду конструкції а табл.1
Таблиця 1
|
Конструкція |
Метод |
|
1 |
2 |
|
Масивні бетонні і залізобетонні гідротехнічні конструкції,фундаменти під доменні печі і каупери (М>п> ≤ 3) |
Метод термоса (підігрів матеріалів і укриття відкритих поверхонь бетону). При лютих морозах і вітрах під час укладання бетону влаштовуют намети. Короткочасне периферійне електропрогрівання в місцях найбільшого охолоджування конструкцій. |
|
Масивні бетонні і залізобетонні фундаменти під важке устаткування металообробних цехів, турбогенераторів, ТЕЦ,компресорів, товсті стіни(М>п >= 3...6) |
Метод термоса із застосуванням в окремих випадках теплиць на час укладання бетону і в початковий період його твердіння або з використанням периферійного електропрогрівання.Попереднє розігрівання суміші. Введення прискорювачів твердіння. |
|
Фундаменти будівель: бетонні, бутобетонні, залізобетонні, стрічкові і під основні елементи каркаса виробничих і житлових будівель, а також під легке устаткування (М>п >= 4...8) |
Фундаменти з М>п> < 5 і при заглибленні нижче за лінію промерзання - методом термоса. При температурі нижче - 20 °С - що гріють опалубки. Метод периферійного прогрівання шляхом пуску пари, теплого повітря від електронагрівальних приладів. При значній глибині заставляння використання теплоти грунту, що непромерз, в укритих котлованах. При невеликих морозах, коли грунт ще не встиг промерзнути, — метод термоса з використанням прискорювачів твердіння. Застосування|| бетонів, що тверднуть на морозі. |
|
Надземні конструкції: елементи рамних конструкцій, окремі великорозмірні, колони, стінки, свайні ростверки, прогони (М>п >= 6...10) |
Розігрівання сумішей з термосним охолодженням, іноді з прискорювачами, електропрогрівання електродами або пропарювання зсередини, в парових сорочках і що гріють опалубки, індукційний метод. |
|
Перекриття виробничих і житлових будівель з| монолітного залізобетону. |
Пропарювання в парових сорочках. За відсутності пари -электропрогрев (для балок і ригелів струнними електродами, а для плит - нагрівальними панелями, гріючими опалубками знизу і електроковдрами зверху). Укриття брезентом зверху і збоку з обігрівом знизу в приміщенні |
|
Залізобетонні стінки резервуарів, регенераторів і свиней мартенівських печей |
Пропарювання із створенням парової бані навколо конструкцій або з пристроєм капілярної сталевої опалубки. В окремих випадках - електропрогрівання за допомогою прикріплення нашивних електродів або сітчастих нагрівачів, струн, що закладаються всередину опалубки. |
|
Стіни, перегородки, тонко стінні конструкції каркасів |
Обігрів в парових сорочках або в капілярній сталевій опалубці. Електропрогрівання нашивными електродами, інфрачервоний обігрів. |
|
Пристрій бетонних підготовок, полови, доріг, аеродромів на мерзлій основі, (М>п> = 10) |
Електропрогрівання (плаваючими електродами нагрівальними панелями, термоактивним шаром ошурків), пропарювання парою під укриттям або додавання солей|, що забезпечують твердіння. |
Як проводиться приготування бетонних сумішей в зимових умовах
Приміщення для зберігання цементу повинні мати щільні огорожі, що не допускають попадання снігу. При подачі цементу стислим повітрям це-ментопровід утепляють, а повітря зневоднюють, пропускаючи через фільтри, щоб уникнути утворення конденсату і цементної кірки на стінках трубопроводів.
Заповнювачі слід зберігати на сухих, піднесених і розчищених місцях, захищених від сніжних занесень. Замерзлі заповнювачі, що прибувають по залізниці, розпушують спеціальними розпушувальними установками.
При невеликих об'ємах робіт гравій доцільно заготовляти і промивати наперед, восени. При великих обсягах рекомендується переводити на щебінь, що не вимагає промивки, особливо якщо його дробили незадовго до використання. Якщо все ж таки заповнювачі доводиться промивати, то це роблять в зачиненому приміщенні, перед самим вживанням. Коли в заповнювачах немає мерзлих грудок, а морози невеликі, промивають звичайним способом.
Взимку залежно від стану матеріалів, умов і методу робіт доводиться підігрівати воду, а іноді і заповнювачі, якщо там є замерзлі грудки, а на крупних зернах — лід. Щебінь треба підігрівати до позитивної температури, цемент і дрібномолоті добавки не нагрівають.
Воду і заповнювачі нагрівають з таким розрахунком, щоб температура бетонної суміші при укладанні була не нижче потрібною. Крім того, повинен бути деякий запас тепла, що витрачається від моменту укладання до початку обігріву в конструкції, а при методі термоса — протягом всього періоду витримки бетону.
Температура матеріалів при завантаженні в змішувач і бетонної суміші при виході з нього повинні бути не вище вказаних табл
Таблиця 2
|
Вид і марка цементу |
Температура бетонної суміші, град |
Температура складових, град |
|
|
води |
заповнювачів |
||
|
Портландцемент марки 300, шлакопортландцемент марок 300—400 |
45 |
90 |
60 |
|
Портландцемент марки 400, пуцолановий портландцемент марки 300 |
40 |
80 |
50 |
|
Портландцемент марки 500, пуццолановий портландцемент марки 400 |
35 |
60 |
40 |
|
Шлакопортландцемент марки 500 |
25 |
40 |
20 |
У змішувач одночасно з початком подачі підігрітої води завантажують крупний заповнювач, а після заливки половини необхідної кількості води і декількох оборотів барабана (чаші) змішувача — пісок і цемент. Тривалість перемішування бетонної суміші в порівнянні з літньою збільшується на 25—50 %.
Нагрів води в резервуарах звичайно проводиться пуском пари в бак з водою або передачею тепла пари через стінки труб.
Нагрів заповнювачів. У будь-яких пристроях для відтавання і підігріву матеріалів передача тепла теплоносієм відбувається шляхом контактного або конвективного теплообміну. У першому випадку тепло від теплоносія передається від частинки до частинки матеріалу і повітря, що міститься між ними. У другому випадку матеріал підігрівається шляхом безперервного зіткнення з теплоносієм, при якому інтенсивність теплообміну значно вище, ніж в першому.
Заповнювачі нагрівають парою, що пропускається через масу матеріалів, що підігріваються, або суцільними паровими трубами. Перспективний нагрів в сушильних барабанах, що обертаються, в шахтних печах, в установках з продуванням димових газів через шар заповнювача, а також гарячою водою.
Нагрів заповнювачів може бути одноступінчатим, коли проводиться одночасно відтавання і підігрів матеріалів, і двоступінчатим, коли на одних установках їх тільки відтають, а на інших — підігрівають до розрахункових температур, що застосовують на крупних гидростройках.
Приготування бетонної суміші повинне проводитися в приміщеннях, що обігріваються; у них же звичайно підігрівають матеріали, а іноді і промивають гравій. Для збереження тепла і підвищення температури розміри бетоного заводу повинні бути мінімальними, а входи і виходи влаштовані так, щоб можливо менше втрачалося тепло. На сучасних будівництвах, як правило, будують бетонні заводи збірно-розбірної конструкції, в стінах і даху яких передбачено утеплення (звичайно дерев'яними щитами).
Розрахунок температур нагріву і теплозатрат. За наявності схеми операцій, передуючих початку витримки бетону, підрахунок зводиться до встановлення приватних втрат в градусах, їх підсумовуванню і визначенню t>т> >CM >(як суми t>б.н.> всіх приватних втрат). Після цього підбирають такі значення температур матеріалів, які забезпечили б потрібну t>т.см.>. Підбір проводять по формулі Ріхмана – Ськрамтаєва
(1)
Температуру води слід призначати можливо вищої. Що ж до гравію або щебеня, то їх бажано приводити лише в талий стан, відігріваючи до 5°.
Таким чином, залишається тільки одне невідоме - температура піску, яку і знаходять по формулі
(2)
Якщо при першому підборі температура піску виявиться вище допустимою (табл.) або небажаною, то задані три температури міняють і розрахунок проводиться знову, поки не будуть отримані необхідні результати.
Наступний етап розрахунку - визначення кількості тепла, необхідного для нагріву води і заповнювачів від їх початкової температури t„ до підібраної кінцевої tK.
Температура води з водопроводу звичайно не опускається нижче 5°; її і беруть за початкову. Температура заповнювачів, що зберігаються у відкритих штабелях, приймається рівній температурі зовнішнього повітря. Кінцева температура нагріву кожного з матеріалів визначиться як сума розрахункової температури нагріву даного матеріалу по формулі (2) і зниження його температури при транспортуванні від місця нагріву до бетономішалки.
Теплозатрати на нагрів води (Q) від t„ до tK визначають по формулі
Q>в> = y>b>-c>b>(t>k>-t>h>)v, ккал, (3)
де у>в> - об'ємна вага води кГ/м3;
с>в>- питома теплоємність води
ккал/кГ- град;
v - об'єм води, що нагрівається, м3. При y>в=> 1000 и с>в>=1
Q.=(t>к>-t>н>)-1000v. (4)
Теплозатрати на нагрів мерзлих заповнювачів (Q>3>) від t>н> до t>к> в загальному випадку визначають по формулі
Q>3> = vy>в> [с>в>| -(t>к> –t>н>)+ i>3> (0,5t>h>+80 + t>k>)], ккал (5)
де v - об'єм матеріалу, що підігрівається, м3;
y>b> - об'ємна вага абсолютно сухого заповнювача, кГ/м ;
с>3>- питома теплоємність заповнювача, ккал/кГ-град;
i>3> - відносна вагова вологість заповнювача %;
0,5 - питома теплоємність льоду, ккал/кГ- град;
80 - прихована теплота плавлення льоду, ккал/кГ.
Поверхня нагрівальних приладів, через які пропускають пару або гарячі гази при нагріві води і заповнювачів, визначається по формулі
(6)
де Q>max>= Q>b> +Q>3> - максимальна годинна потреба тепла для нагріву води (Q>b>) і заповнювачів (Q>3>), ккал; k- коефіцієнт теплопередачі нагрівального приладу, ккал/м2час-град;
t>t>- температура теплоносія, визначувана для пари (по таблицях) залежно від його тиску, а для гарячих газів — як середня температура газів, що входять в нагрівальні прилади і виходять з них;
t>m>- середня температура між початковою і кінцевою температурами матеріалів, що нагріваються.
Знаючи потрібну для нагріву кількість тепла в 1 годину, витрату палива (А) визначають по формулі
(7)
де Q - кількість необхідного тепла, ккал/година;
έ- теплотворна здатність палива, ккал/кГ (береться з таблиць);
η — коефіцієнт корисної дії нагрівального пристрою

Мал. Підігрів топковими газами заповнювача в штабелі;
а - у відкритому штабельно-траншейному складі;
б - в напівбункерному складі;
1 - нагнітально-нагрівальний короб;
2 — відсипання з крупного заповнювача; 3 - всмоктуючий короб
Як проводиться транспортування бетонних сумішей в зимових умовах?
При транспортуванні бетонних сумішей необхідно вживати всі заходи до скорочення часу від моменту приготування замісу до надходження|вступу| бетонної суміші на місце укладання, користуючись рекомендаціями табл. 2.3.2. і не допускати розшарування суміші, втрат цементного розчину і заданої пластичності.
Таблиця 3. Гранично допустимий вік бетонної суміші до початку її укладання
|
Температура бетонної суміші в град |
Час у хвилинах |
|
20-30 10-20 5-10 |
45 90 120 |
Бетонну суміш слід транспортувати від місця приготування до місця укладання по можливості без перевантажень. Не слід допускати горизонтальних переміщень бетонної суміші, вивантаженої на місце укладання.
Максимальна висота вільного падіння суміші повинна бути не більше 3 м.
Бетонна суміш на час перевезення від вузла, бетонного розчину, до місця укладання в справу повинна бути обережена від шкідливих атмосферних дій (сніг, дощ).
При транспортуванні сумішей повинні бути прийняті заходи по оберіганню їх від охолоджування і намерзання на стінки баддь, кузовів, автосамоскидів:
тара, призначена для перевезення бетонної суміші, повинна бути ретельно утеплена, а після закінчення робіт очищатися від залишків суміші;
вантаження, перевезення і розвантаження сумішей повинні проводитися можливо швидше;
при великих морозах рекомендується використовувати гази, що відходять, для обігріву кузовів автосамоскидів і вкривати суміш, що перевозиться, утепленими покривалами;
приміщення, в яких знаходяться бетононасоси, повинні утеплятися і опалюватися;
галереї магістральних транспортерів слід утепляти і отаплювати над розподільними транспортерами бажано встановлювати брезентові покриття;
бетоноводи повинні бути утеплені на всьому протязі; утеплення рекомендується проводити повстю або шлаковатою з покриттям пергамином або толем з обмоткою дротом; відігрівання бетоноводів перед початком роботи слід здійснювати за допомогою гострої пари;
хоботи і віброхоботи, що знаходяться на відкритому повітрі, також повинні бути утеплені;
кінцева температура укладеного в конструкцію бетону або розчину залежить від стану температури зовнішнього повітря і тих тепловтрат, які матиме суміш при транспортуванні, перевантаженні і укладанні її в конструкцію.
Транспортування до місця укладання бетонної суміші, приготованої з підвищеними добавками хлористих солей, слід проводити звичайними способами, без утеплення транспортних засобів. Бетонну суміш слід захищати від попадання снігу.
Тепловтрати при перевезенні бетонної суміші в автосамоскидах і баддях можна за відсутності досвідчених даних визначати по наступній наближеній формулі:
t>б.н.>=A t>б.т.>+Bt>н.в.> (8)
де
t>б.н> - температура суміші після|потім| вивантаження з|із| транспортних засобів;
t>б.т> -температура суміші при вантаженні|навантажуванні| в транспортні засоби;
t>н.в>- температура зовнішнього повітря.


К-коефіцієнт теплопередачі суміші, завантаженої в кузов автомашини або баддю, в ккал/м2 годину град;
М>п >> >F/V- модуль поверхні завантаженої суміші;
F -поверхня завантаженої суміші в м2;
V- об'єм|обсяг| завантаженої суміші в м3;
t- тривалість транспортування.
У разі перевезення суміші на автосамоскидах звичайних марок розрахунок по формулі може бути полегшений використанням значень А до В, приведених для ряду термінів в табл. 3
Суміш занурюється на заводі в баддю, встановлену на автомашину, і в місці приймання вивантажується кранами в бункери або безпосередньо в бетоновані конструкції.
Таблиця 4. Значення А до В при перевезенні бетонної суміші в автомашинах, укритих брезентовими фартухами
|
Марка автосамосвала |
Об’єм бетону, що первозиться в м2 |
Коефіцієнти |
Час, що займає перевезення в хвилинах |
|||||
|
10 |
20 |
30 |
40 |
50 |
60 |
|||
|
Газ-536 |
1,5 |
|
|
|
|
|
|
|
|
ММЗ-555 |
2 |
|
|
|
|
|
|
|
|
Зил-585 |
2,0 |
|
|
|
|
|
|
|
|
КАМАЗ |
3 |
|
|
|
|
|
|
|
Примітка. Для інших термінів перевезення відповідні дані визначаються інтерполяцією або перерахунком.
Таблиця 2.3.4. Технічна характеристика основних типів бадьї, вживаних при перевезенні бетонної суміші
|
Тип бадьї |
Коротка характеристика конструкції бадьї |
Ємкість в м3 |
М>п> |
Характеристика теплозахисту, прийнята розрахунку |
|
1 |
2 |
3 |
4 |
5 |
|
А' Б' В' |
Бадья перекидна, прямокутної форми Баддя прямокутної форми з плоским донним затвром Баддя канонічної форми з додатковивою зовнішньою циліндричною обоймою і секторним засувом |
0,3 1,6 1,6 |
11 6 4 |
Частковий теплозахист зовнішніх поверхонь (волок, толь, фанера і т.п.). Покриття при автопервозках брезентовими фартухами; розрахункове значення К = 11 кал/м2 час ·град |
Таблиця 2.3.5. Значення А і В для основних типів баддів
|
Тип бадьї |
Коефіцієнти |
Тривалість перебування бетону в бадьї|цебрі| в хвилинах |
||||||||||
|
1 |
2 |
3 |
4 |
5 |
10 |
20 |
30 |
40 |
50 |
60 |
||
|
А' |
|
|
|
|
|
|
|
|
|
|
|
|
|
Б' |
|
|
|
|
|
|
|
|
|
|
|
|
|
В' |
|
|
|
|
|
|
|
|
|
|
|
|
У чому полягає бетонування способом термоса?
Метод термоса полягає в тому, що твердіння бетону, укладеного на відкритому повітрі і утепленого, відбувається за рахунок тепла, внесеного в нього при приготуванні і що виділяється цементом при твердіння. Причому кількість тепла і утеплення бетону повинні бути достатніми для того, щоб він встиг придбати необхідну для тієї, що розпалубила міцність, перш ніж температура в якій-небудь його частині|впаде до 0. Витримка бетону методом термоса є найбільш економічним і простим у виробництві, оскільки не вимагає пристроїв по обігріву бетону в конструкціях, їх обслуговування і витрати електроенергії пари або палива. Неможливість регулювання охолодження бетону, залежного від температури зовнішнього повітря, вимагає попереднього розрахунку тривалості цього охолодження (встановлюючого можливість застосування методу термоса) і строгого дотримання умов, передбачених розрахунком.
Тривалість охолодження бетону за інших рівних умов (склад бетону, температура його і зовнішнього повітря, утеплення і ін.) залежить від масивності конструкції, яка характеризується відношенням суми охолоджуваних (зовнішніх) поверхонь F до об'єму V - модулем поверхні:
Мп = F/V (11)
Для колон і балок Мп визначають як відношення|ставлення| їх периметра до площі поперечного перетину. Чим менше за Мп, тим конструкція масивніше.
При застосуванні методу термоса звичайні каркасні конструкції замерзають до придбання бетоном необхідної міцності; масивні конструкції і при великих морозах остигають тривалий час, досягаючи міцності, яка допускає їх распалубливание взимку. Межі застосування методу термоса лежать у області конструкцій середньої масивності (Мп = 6...8).
Розрахунок витримки бетону повинен показати, що конструкція, що витримується, при прийнятих передумовах (вигляд, марка і витрата цементу, утеплення опалубки, початкова температура бетону і температура зовнішнього повітря) остигатиме до 0° при певній середній температурі бетону необхідний час. Для визначення умов, що забезпечують таку витримку бетону, може бути використано (при t>н.в.> не вище -3°) рівняння теплового балансу, запропоноване Б. Р. Скрамтаєвим:
2400 0,25 t>н.в >+ЦЭ=М>ц >К α
де 2400 - об'ємна вага бетону, кг/м3;
0,25 - питома теплоємність бетону, ккал/кг- град;
Ц- витрата цементу на 1 м бетону, кг;
Э - тепловиділення 1 кг цементу протягом z годинника (табл. 2.3.4), ккал;
А/ц - модуль поверхні конструкції;
До - коефіцієнт загальної теплопередачі огорожі опалубки і теплоізоляції, ккал/м2- ч -град;
а- поправочний коефіцієнт, залежний від сили вітру, вологості
опалубки і утеплювача і ретельності пристрою теплозахисту;
z - тривалість охолодження бетону від температури його після
укладання до 0°, ч;
t>cp>>.б> - середня температура бетону за період охолодження до 0°;
t>н.в> - передбачувана середня температура зовнішнього повітря за період охолодження бетону до 0°.
|
Тип цементу |
Цемент |
Позначення цементу |
Выделение тепла на 1кг цемента при +150 (ккал) при продолжительности твердения бетона, в сут. |
||
|
3 |
7 |
28 |
|||
|
І |
Портландцемент |
ПЦ - І |
90 |
95 |
100 |
|
ІІ |
Портландцемент з добавками |
ПЦ ІІ/А; ПЦ ІІ/Б. |
75 |
85 |
90 |
|
ІІІ |
Шлакопортландцемент |
ШПЦ ІІІ/А; ШПЦ ІІІ/Б |
30 |
45 |
60 |
|
IV |
Пуцолановий |
ПЦЦ IV/A |
30 |
40 |
60 |
|
V |
Композицлонный |
КЦ V/A; КЦ V/Б |
80 |
85 |
95 |
Розрахунок витримки бетону рекомендується проводити в такій послідовності: встановлюємо початкову температуру охолодження бетону після укладання t>б>, максимально досяжну за умовами робіт, потім визначають середню температуру бетону за період охолодження 90° (t>cp>>.б>) по формулі
(12)
де 1,03; 0,181 і 0,006 - емпіричні коефіцієнти.
По заданій міцності бетону до кінця витримки (у % від R>28>) і набутого значення t>cp>>.б> встановлюємо по табл. 2.3 .5 необхідний термін витримки бетону в добі п. Після цього, задаючись кількістю цементу Ц (на 1 м>3> бетону), його виглядом і маркою (для обліку экзотермії згідно табл. ) коефіцієнтом а і t>н.в>, визначаємо необхідний коефіцієнт теплопередачі:
|
Продолжительность твердения, сут. |
Портландцемент ПЦ І тип І; ПЦ ІІ/А тип ІІ |
Шлакопортландцемент ШПЦ ІІІ/Б тип ІІІ |
||||||
|
Относительная прочность (% R>28>) при средней температуре среди, град |
||||||||
|
5 |
10 |
15 |
25 |
5 |
10 |
15 |
25 |
|
|
3 |
22 |
29 |
34 |
47 |
10 |
14 |
20 |
32 |
|
5 |
34 |
40 |
47 |
64 |
17 |
24 |
32 |
47 |
|
7 |
43 |
52 |
61 |
75 |
23 |
32 |
41 |
58 |
|
10 |
55 |
65 |
75 |
87 |
32 |
44 |
54 |
72 |
|
15 |
70 |
80 |
89 |
- |
45 |
58 |
71 |
88 |
|
28 |
86 |
95 |
100 |
- |
68 |
86 |
100 |
- |
(13)
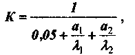
По набутого значення K відповідне йому утеплення підбираємо по таблицях або визначаємо із формули
(14)
де 0,05 - опір тепловіддачі;
а>1,> а>2> - товщина шарів опалубки і утеплення, м; λ>1,>λ>2>- коефіцієнт теплопровідності матеріалу кожного з шарів огорожі ккал/м ч град (беруть з таблиць).
Задаючись завтовшки опалубки а>1,> визначають товщину шару утеплювача >,> а>2> (тирса, соломи і т. п.). Значення λ для найбільш вживаних утеплювачів рівне: дерево сухе - 0,15 і вологе - 0,20; мох - 0,1; соломи - 0,05; комишит - 0,06; ошурки деревні - 0,08; листя або хвойні голки - 0,2; шлак котельний-0,4; пісок сухий-0,3; торф-0,1; повсть-0,04; шевелин - 0,05; толь - 0,2.
Для каркасних конструкцій слід застосовувати швидкотвердіючі (високих марок - 500 і вище) і високотермічні цементи. Для масивних конструкцій допускається портландцемент марок 400 і 300. Пуццоланові цементи марки не нижче 300 слід застосовувати тільки для великих масивів (дамб, засад мостів і т. п.), де вони іноді навіть бажані.
Температуру бетону, починаючи з укладання суміші і кінчаючи охолодженням до-2°, контролюють технічними, термометрами щодня 2 рази на добу. Для цього влаштовують свердловини завглибшки 5 - 10 см в найбільш характерних відносно охолодження шарах бетону і не менше ніж по одній в кожному з елементів. Результати спостережень заносять в журнал. По приватному від ділення суми свідчень термометра на кількість відліків встановлюють t>cp>>.б> . Міцність бетону до моменту охолодження визначають шляхом випробування кубиків, що витримуються в однакових з конструкцією умовах, чи ж таким чином. При бетонуванні конструкції з робочого складу суміші в польовій лабораторії виготовляють 3 кубики, які зберігають (при t - 15°) до того дня, коли температура бетону в конструкції знизиться до 0°. Цього дня кубики випробовують і визначають дійсну міцність бетону в контрольованій конструкції.
Після визначення міцності бетону розв'язуєтьсяпитання про распалублива-нді конструкції і можливому її завантаженню.
При методі термоса можливо використання гарячої бетонної суміші, нагрітої могутнім електричним імпульсом в бункері
Твердіння бетону при витримці його по методу термоса відбувається в процесі його повільного охолоджування до 0°С. За цей час бетон повинен придбати міцність, що дозволяє розпалубити конструкцію. Повільне охолодження бетону стає можливим дякуючи запасу теплу, який створений в ньому в результаті підігріву складових бетону і виділення тепла цементом в процесі твердіння.
Для зниження втрат тепла бетоном і подовження терміну твердіння опалубку утепляють, а укладений в конструкцію бетон зверху вкривають.
При бетонуванні каркасних конструкцій - могутніх колон, балок і ін. - повинні застосовуватися що швидко тверднуть цементи високих марок (не нижче 400), які не тільки швидко набирають міцність, але і виділяють при твердіння велику кількість тепла. Цим скорочується час, протягом якого бетон повинен бути обмежений від промерзання, а також підвищується запас тепла в ньому, тобто полегшуються умови термосної витримки бетону. Корисна добавка хлористого кальцію, завдяки якій прискорюється твердіння бетону, що дозволяє ширше використовувати метод термоса.
Утеплення опалубки призначається за розрахунком і повинно бути виконано без зазорів і щілин, особливо в кутках і місцях стиковки| теплоізоляції.
Ребра і кути охолоджуються найсильніше і повинні, мати посилену теплоізоляцію, для чого їх покривають додатковим шаром утеплювача. Додаткове утеплення кутів проводиться на відстані не менше 1,5 м від ребра. Бетон також сильно остигає в місцях стикання з раніше забетонованими ділянками, тому поверхні старого бетону у| місця стиковки з новим бетоном також утепляються (мал.)

Мал. Схема утеплення блоку масиву
l - блок, підготовлений до бетонування; 2 - старий бетон; 3 - утеплення;
Для зменшення продува утепленої опалубки і оберігання вологоємних теплоізоляційних матеріалів від зволоження слід прокладати з однією, а краще з двох сторін утеплювача шар толя, пергамина і ін.
Утеплення верхньої грані бетону, яке влаштовується негайно услід за закінченням бетонування, по своїх теплоізолюючих якостях не повинно поступатися утепленню опалубками.
Опалубка і утеплення конструкцій можуть бути зняті при температурах, що можливо більш наближаються до 0°С, але обов'язково до примерзання опалубки до бетону. При великих морозах рекомендується зняту опалубку замінити гнучкими утеплювачами з тим, щоб віддалити процес промерзання бетону.
Як проводять електропрогрівання бетону?
Електропрогрівання можна здійснювати двома шляхами: застосуванням електродів для пропускання струму безпосередньо через свіжий бетон і електричними нагрівальними приладами або термоактивним шаром ошурків.
За допомогою електродів бетон прогрівають при знижених (до 50 - 100 в), але можна і при підвищених (127 - 380 в) напругах. У першому випадку використовують знижувальні трансформатори, а в другому - включають прямо в електричну мережу. Залізобетонні конструкції слід прогрівати при зниженій напрузі, що забезпечує точніше дотримання заданого режиму, а прогрев при підвищеній напрузі допускається тільки для неармованих конструкцій.
Для конструкцій з М>п> ≤ 5 електропрогрівання, як правило, застосовувати не слід. Проте він може бути з успіхом застосований і для вказаних конструкцій, якщо не нагріваючі методи витримки бетону в короткі терміни не можуть дати необхідну міцність (наприклад, для термінового монтажу устаткування) або необхідну міцність бетону в задані терміни; у цьому випадку рекомендується периферійне електропрогрівання (прогрів тільки зовнішніх шарів конструкції), яке може проводитися струмом зниженої і підвищеної напруг. При цьому внутрішні шари інтенсивно тверднутимуть за рахунок вельми сприятливих температурних умов, що створюються в них, і экзотермії цементу. Не слід прогрівати конструкції з| Мп > 20 пропуском електричного струму через бетон.
Використання приросту міцності бетону в процесі його охолодження, а також електротермоса і периферійного електропрогрівання може значно скоротити тривалість електропрогрівання, витрата енергії і розширити область його застосування. Для прогрівання бетону застосовується одно- або трифазний змінний струм нормальної частоти (50 періодів в сік). Постійний струм не застосовний, оскільки викликає електроліз води. У міру прогрівання і твердіння бетону, в наслідок зменшення кількості вільної води (частина якої хімічно з'єднується з цементом, а також випаровується), електричний опір зростає, сила струму зменшується і в ще більшому ступені зменшується кількість тепла, що виділяється, залежна, від квадрата сили струму. Відповідно знижується і температура бетону, що прогрівається. Це небажано, оскільки отримання батоном необхідної міцності в найбільш короткий термін відбувається| при ізотермічному процесі для заданої температури. Для підтримки температури необхідно зберігати силу струму, що досягається регулюванням напруги, що підводиться, за допомогою спеціальних трансформаторів.
Підведення струму до бетону. Від джерела струму звичайно через трансформатори, електроенергія по ізольованих дротах підводиться до розподільних щитів, від них — до софітів і, нарешті, до конструкцій, що прогріваються (мал.). Струм вводиться через електроди, що розташовуються в бетоні або на його поверхні. Сусідні або такі, що протилежать електроди сполучають з дротами різних фаз; таким чином, між електродами в бетоні утворюється електричне поле.
Використовувати як арматуру електродів в монолітних конструкціях звичайно не вдається, а в збірних це можливо тільки при абсолютно симетричній арматурі без відгинів. При цьому одна фаза приєднується до робочої і монтажної арматури, а друга (при трифазному струмі) і третя — до електродів.
Електроди поверхневі (нашивні і плаваючі) і внутрішні (стрижньов| і струнні). Нашивні електроди укріплюють через 10-20 см на внутрішній стороні опалубки вертикальних поверхонь, кінці загинають і виводять назовні для приєднання до ним дротів. Плаваючі електроди втоплюють на 2 - 3 см в свіжоукладений бетон і застосовують на верхніх поверхнях бетону, що не мають опалубки. Стрижньові електроди (мал.) є короткі прутики з обрізків 6 - 10-міліметрової арматурної сталі, що вставляються в бетон перпендикулярно подовжньої осі елементів. Кінці електродів випускають на 10 - 15 см з опалубки для приєднання дротів. Струнні електроди встановлюють по довжині або висоті елементу, що прогрівається, ланками в 2,5 - 3 м, кінці загинають під прямим кутом, виводять назовні і включають в ланцюг.

Рис.Розташування стрижньових і струнних електродів при прогріванні залізобетонних колон і балок:
В цілях усунення небезпеки місцевих перегрівів бетону і досягнення більш рівномірної його температури електроди розміщують групами: у кожну фазу включається не один, а група з декількох електродів. Одиночні електроди рекомендуються при прогріванні густо армованих конструкцій, перетинів і вузлів (див. мал), де групове розміщення важко здійсненно. Відстань між одиночними електродами повинна бути не менше 20 - 25 см при напругах до 65 в і 30 - 40 см - при вищих напругах.
Вибрана система електродів повинна забезпечувати такий опір в бетоні, при якому наявна шкала напруг дозволяла б пропускати через рябо необхідну кількість перетворюваної в тепло електроенергії. Не можна допускати стикання електродів з арматурою щоб уникнути короткого замикання. Робочі шви при бетонуванні розміщуються від ряду електродів, що знаходяться в бетоні, на відстані не більше 100 мм.
Режим прогрівання треба призначати з урахуванням конструкції, виглядуі активності цементу, необхідної міцності бетону і можливості накопичення її за час охолодження.
Підйом температури бетону при прогріванні монолітних бетонних і залізобетонних конструкцій повинен проводитися з інтенсивністю не зверху: 15° в годину — каркасних і тонкостінних конструкцій завдовжки до 6 м і конструкцій, що зводяться в ковзаючій опалубці; 10° в годину - конструкцій з М>п> = 6; 8° в годину - конструкцій з М>п> від 6 до 2.
Температура бетону при прогріванні не повинна перевищувати: при поверхневому і внутрішньому електропрогріванні 80°С; при периферійному електропрогріванні конструкцій з М>п> < 6 - температури 40° С.
Безтрансформаторний електропідігрів безпосередньо від мережі|сіті| можна здійснювати за допомогою електродів, нагрівальних приладів і термоактивного шару.
При напрузі 120 - 220 В допускається електродний прогрів| неармованого бетону і лише у виняткових випадках - з насиченням арматурою не більше 50 кГ на 1 м3. Якщо напруга рівне 220 і 380 В, електроди сполучають з нульовим дротом, дякуючи чому воно в бетоні в першому випадку знижується до 127 В, в другому - до 220 В.
Нагрівальними приладами є відбиті печі. Тепло розжареної спіралі, що поміщається у фокусі дзеркала печі, відображається від його параболічної поверхні паралельними променями і рівномірно нагріває поверхню бетону (звичайно тонких плит перекриттів).
Термоактивним шаром може служити шар ошурків в 15-20 см, який примикає до опалубки або толю, що покриває бетон. У товщі ошурків розташовують електроди (що підключаються до струму напругою 120 - 220 В), що нагрівають їх до 80 - 90°. Для підвищення електропровідності ошурки зволожують розчином будь-якої солі. Температура бетону регулюється періодичним включенням струму і повторним при цьому зволоженням ошурків.
Включення і виключення струму, спостереження за прогріванням, зміна напруги, усунення неполадок і вимірювання температури бетону здійснюється цілодобово черговими електромонтерами і контролерами температури. Автоматизація електропрогрівання дозволяє значно зменшити кількість чергових електриків і контролерів температури, а головне точно витримувати заданий режим прогрівання. Міцність бетону визначається згідно температурному режиму прогрівання.
Виробництво робіт на ділянках, що прогріваються, допускається тільки при напрузі не понад 60 В і в строгому дотриманні правил електробезпеки.
Як прогрівають бетон інфрачервоними променями
У технології зимового бетонування все більш широке застосування знаходить інфрачервоний нагрів.
В умовах будівельного майданчика переважні металеві і кварцеві трубчасті електричні випромінювачі. Разом з тим є вдалі приклади застосування газових пальників інфрачервоного випромінювання, які відрізняються довговічністю, високою щільністю і рівномірністю опромінювання, економічністю.
При інфрачервоному нагріві міцність наближається до міцності бетону нормального твердіння. Морозостійкість при обігріві не знижується, а усадка на 15 - 20 % менше ніж у бетону нормального твердіння. Набір міцності відбувається інтенсивно. Так, при 80° С - оптимальному значенні температури для портландцементу - за 6 год. вдається одержати 70 % необхідної міцності.
При прогріванні інфрачервоними випромінювачами, втім, як і у разі|в разі застосування| інших способів штучного прогрівання, необхідно стежити за втратами вологи. У бетону, що втратив більше 35 % волога, надалі зростання міцності не спостерігається.
Наявні відомості підтверджують високі техніко-економічні показники даного способу. При прогріванні інфрачервоними променями бетону, що укладається в ковзаючій опалубці, були забезпечені оптимальні терміни бетонування і в 2 рази скорочені витрати на виконання робіт в зимовий час. Бетон прогрівали відразу на виході з опалубки за допомогою трубчастих електронагрівачів (ТЭНов), що добре працюють в умовах підвищеної вологості|. Для його оберігання від пересихання поверхню конструкції в зоні термообробки захищали полиамидной| плівкою, створюючою навколо бетону пересувну микропаронадійну камеру.
У зимовий час ТЭНи успішно застосовували при прогріванні тонкостінних конструкцій монолітних будівель, що зводяться в об'ємно-переставній опалубці. Нагрівачі встановлювали із зазором 5 мм позаду опалубки, а потім укладали шар термоізоляції, яку із зовнішньої сторони закривали захисним кожухом з фанери.
Дослідження показали, що для конструкції завтовшки 40 - 60 мм якнайкращими є режими: 2 + 4 + 2 г, при ізотермічному прогріванні 95 - 98°С які були виготовлені на шлакопортландцементі і 3 + 5+2 г, при температурі ізотермії 80 - 85°С які були виготовлені на портландцементе причому до моменту распалубливания досягається 65 - 83 % проектної міцності і усадка бетону менше, ніж у бетону нормального твердіння|.
Джерелом інфрачервоних (теплових) променів служать ТЭНи потужністю 06... 1,2 кВт з робочою напругою 127; 220 і 380 В, керамічні стрижньові випромінювачі діаметром 6...50 мм, потужністю 1...10 кВт, кварцеві трубчасті випромінювачі і інші засоби.
Для створення направленого потоку інфрачервоних променів застосовують відбивачі параболічного, сферичного або трапецеїдального типа. Інфрачервоні установки в комплекті з відбивачами і підтримуючими пристроями використовують для прогрівання конструкції, елементів стін, підготовки під підлоги плиткових конструкцій, стиків великопанельних будівель, що зводяться в ковзаючій опалубці, тонкостінних.

Мал. Схеми інфрачервоних установок:
При зведенні стін в щитовій і об'ємно-переставній опалубці застосовують односторонній обігрів випромінювачами сферичного типа (мал). Для забезпечення прогрівання всієї площини стіни відбивачі розташовують на різних рівнях на телескопічних стійках 4 і на розрахунковій відстані від стіни.
При зведенні конструкцій в ковзаючій опалубці бетон, що виходить з опалубки, прогрівають двостороннім розташуванням інфрачервоних випромінювачів (мал.). Їх підвішують до щитів опалубки або розміщують на підвісних опорах. Щоб виключити втрати теплоти, що зводяться конструкції ізолюють від навколишнього середовища брезентовим чохлом, що виконує роль теплиці.
Для прогрівання стиків збірних залізобетонних конструкцій великопанельних будівель застосовують різні типи нащілинників (мал.) у вигляді прямокутних коробів (при пристрої плоских стиків елементів) або сегментних (для стиків, розташованих під прямим кутом).
Для кращого поглинання інфрачервоного випромінювання поверхню опалубки покривають чорним матовим лаком. Температура на поверхні бетону не повинна перевищувати 80...90° С.
Інфрачервоні установки розташовують на такій відстані один від одного, щоб прогрівалася вся поверхня бетону.
Інфрачервоний обігрів забезпечує хорошу якість термообробки бетону за умови дотримання теплового режиму витримки бетону.
Як прогрівають бетони індуктивним методом
Ідея індукційного прогрівання залізобетонних конструкцій в зимових умовах заснована на добре відомому в електротехніці явищі. Якщо в струмопровідну котушку-індуктор помістити сталевий сердечник і пропускати по котушці змінний струм, навколо неї виникає електромагнітне поле. Пронизуючи сталевий сердечник воно порушує в ньому вихрові струми. Оскільки сталевий сердечник володіє електричним опором, енергія вихрових струмів, згідно закону Джоуля-Ленца, перетворюється на тепло.
Індукційний прогрів знаходить вдале застосування при прогріванні колон, рам, окремо вартих балок, ригелів, прогонів, особливо в сталевій опалубці, стиків і інших конструкцій.
Для прогрівання застосовують дротяні і інвентарні роз'ємні індуктори. За наявними даними, на установку дротяного індуктора потрібно більше 0,4 на 1 м2 поверхні бетонованої конструкції. Висока трудомісткість пристрою дротяних індукторів зажадала створення індустріальних конструкцій обігрівачів.
Індукційний прогрів ведеться в діапазоні напруг 50 - 121 В. Для пониження напруги застосовують зварювальні або масляні знижувальні трансформатори.
Розроблені рекомендації, що обмежують значення максимально допустимих швидкостей підйому температури при індукційному прогріванні (табл.).
Технологія виробництва робіт із застосуванням індукційного прогрівання, особливо при використанні інвентарних індукторів, достатньо проста. До бетонування, у разі потреби, може бути обігрітий арматурний каркас для видалення нальоту.
Таблиця 2.3.6. Максимально допустимі швидкості підйому температури
|
Опалубка |
Вид армування |
Максимальні швидкості підйому температури град С|із|, при модулі конструкції |
||
|
6 |
6-10 |
10 |
||
|
Неметалічна Металічна |
Пруткова арматура Жорсткий каркас Пруткова арматура жорсткий каркас Пруткова арматура Жорсткий каркас Пруткова Арматура і жорсткий карка |
5 5 8 5 8 8 |
8 8 10 8 10 10 |
10 10 15 10 15 15 |
Укладати і ущільнювати бетонну суміш рекомендується після установки індуктора, щоб уникнути зайвого охолоджування свіжоукладеного бетону.
Після бетонування відкриті поверхні конструкції, а у разі потреби і опалубку, вкривають теплоізоляційним матеріалом. Потім влаштовують свердловини для виміру температури і приступають до прогрівання.
Після нагріву бетону до розрахункової температури прогрів припиняють або переходять на ізотермічний режим з подальшим охолодженням.
Ізотермічний прогрів забезпечують шляхом перемикання індуктора на нижчу напругу або періодичного включення і відключення напруги
У всіх випадках необхідно, забезпечувати строгий контроль за коливаннями температури, яка не повинна перевищувати розрахункову більш ніж на +5° С. После закінчення прогрівання треба стежити за швидкістю охолодження бетону, яка не повинна бути більше 5 град/ч для конструкцій з|із| модулем поверхні від 6 до 10, 12 град/ч — при модулі більше 10 і 15 град/ч — для густоармированных конструкцій з модулем поверхні більше 10. При великих швидкостях охолодження необхідно додатково утепляти опалубку або періодично включати струм.
Витримку бетону при низькій позитивній температурі (+5° С) з метою підвищення його якості організовується при індукційному прогріванні таким чином: для підтримки необхідної температури протягом часу витримки (2— 3 ч) включають індуктор періодично через кожну годину на 15— 20 мин.

Мал. Схема індукційного прогрівання
Індукційний прогрів особливо ефективний при прогріванні каркасних конструкцій, густо насичених арматурою, а також конструкцій, що бетонуються в сталевій опалубці.
При індукційному прогріванні по зовнішній поверхні опалубки елементу (наприклад, колони) укладається послідовними витками ізольований дріт-індуктор (мал.). При пропусканні через індуктор змінного струму навколо нього створюється змінне электромагнітне поле, що індукує в сталевій арматурі і опалубці (із сталі) струми, що нагрівають сталь, а від неї - за рахунок теплопроводности і бетону.
Крок витків дроту і кількість витків визначаються розрахунком, відповідно до якого виготовляються шаблони з пазами для укладання витків індуктора. Попередній прогрів арматури не потрібен. За умовами техніки безпеки прогрів ведуть при знижених напругах (36 - 120 В).
Як проводять паропрогрів бетону в умовах негативних температур?
Паропрогрев полягає в створенні за допомогою пари сприятливих тепловологих умов витримки бетону, сприяючих прискореному його твердінню. Піддавати пропарюванню можна бетони будь-яких видів. Паропрогрев проводиться при відносній вологості середовища 95 -100%, що досягається подачею пари від казана низького тиску, а при тиску в казані більше 0,7 в- пропуском пари через воду для зволоження. Паропрогрев монолітних: конструкцій доцільний лише за наявності дешевої пари, неможливості здійснення електропрогрівання або неприпустимості його із-за висушування бетону (для тонкостінних конструкцій). Ефективність пропарювання в значній мірі залежить від мінералогічного складу цементного клінкеру і властивостей введених добавок.
При обігріві монолітних конструкцій температуру в бетоні треба піднімати з швидкістю не більше: 5° в годину — конструкцій з М>п> < 6; 8° в годину конструкцій з Мп > 6; 15° в годину (сильно армованих конструкцій довжиною до 6 м. Температура бетону при паропрогріві не повинна перевищувати 70°; 80° - при застосуванні портландцемента і 95° - шлакопортландцементної і оберіганні бетону від зайвої втрати вологи. Швидкість охолодження монолітного бетону після закінчення прогрівання не повинна перевищувати 10° в час.
Монолітні конструкції можна прогрівати за допомогою парової лазні, парових сорочок, капілярної опалубки (вертикально розташованих елементів) і труб, що закладаються в бетон.
Паропрогрев фундаментів в окремих, котлованах (при дренуючих грунтах) може здійснюватися пуском пари в укриті котловани, що називається паровою лазнею.
Паровими сорочками є огорожі, що створюють навколо пропарюваної конструкції замкнутий простір, в який пускають пару. Огорожі сорочок повинні бути щільними, паронепроникними, малотеплопровідними і відстояти від опалубки або бетону не більше ніж на 15 см. Сорочки роблять з щитів і забезпечують відведення конденсату. Парові сорочки колон і стін через 3 - 4 м розділяють на відсіки з подачею пари в кожний з них. Введення пари в сорочки балок і арок здійснюється через 2 - 3 м по їх довжині, а в сорочки плит - на кожні 5 - 8 м2 поверхні.

Мал. Пристрій парової сорочки при складному перетині ступінчастого перекриття і окремих балок:
Капілярна опалубка (мал.) - видозмінена звичайна опалубка, в якій із сторони, зверненої до бетону, у дощок скошують кромки і одержують вузькі трикутні пази - капіляри, що перекриваються смужками покрівельної сталі. Останні щільно пришивають до дощок 25-міліметровими цвяхами через кожні 15 см. У ці пази і пропускається пара.
Пара з паропроводу поступає в розподільні коробки внизу колон або стін, а звідти через просвердлені в опалубці отвори - в капіляри, по яких рухається у вертикальному напрямі. Верхні кінці капілярів щоб уникнути попадання в них бетону закривають дерев'яними пробками, а для виходу пари просвердлюють отвори в опалубці зверху капілярів. При введенні пари зверху конструкції конденсаційна вода рухається в одному напрямі з парою і не заважає йому проходити по капілярах. Якщо колони вище 4 м, влаштовують| додаткове введення пари по середині колон. Таким чином, виключаються громіздкі, малоефективні і дорогі парові сорочки і досягається вище використання пари.
Паропрогрев трубами, що закладаються в бетон (мал.), забезпечує максимальне використання теплотворної здатності пари. Замість пари можна використовувати гарячу воду.
Паропрогрев нетранспортабельних збірних конструкцій, що виготовляються у місця установки або на будівельних майданчиках, може здійснюватися в переносних збірно-розбірних камерах.

Мал. Паропрогрев бетону через закладені всередину труби: 1 - труби; 2 - ошурки; 3 - гумові шланги.
Використання теплоти грунту. Влітку грунт накопичує випромінюване сонцем тепло, а взимку віддає його повітрю. Тому у виритому в першу половину зими і укритому котловані під фундамент-черевик унаслідок притоки тепла (через талі дно і частина стінок) тривалий час тримається позитивна, порядку+ l -s- 3°, температура (мал), при якій і витримується бетон, що укладається з температурою не нижче за 10°. Мінімальне заглиблення котловану повинне бути не менше, чим на 30% більше максимальної глибини промерзання грунту в даному районі.
Після закінчення бетонування котлован негайно вкривають. У люті морози бетонувати слід в закритому котловані.
Як проводиться бетонування в теплицях?
Тепляки допустимі лише у виняткових випадках і за умови техніко-економічного обгрунтування. Вони об'ємні і плоскі. Теплиці повинні бути легкими, розбірними, секційними і мінімальних розмірів.
Об'ємні теплиці звичайно застосовують при бетонуванні тунелів, трубопроводів, невисоких підпірних стін і мостових опор.
Плоскі теплиці влаштовують для витримки бетону в перекриттях, що спираються по периметру на стіни. При закритті отворів в стінах під перекриттям утворюється замкнутий простір, зручний для обігріву. Після укладання суміші в перекриття над ним влаштовують повітряний прошарок заввишки 20 см.
Бетонування в теплицях (замкнутих огорожах) проводять для створення температурно вологих умов, необхідних для витримки бетону багатоярусних конструкцій (по висоті розташування блоків бетонування) і конструкцій, що мають значні розміри в плані.
Огорожі простору, що обігрівається, повинні мати хорошу теплоізоляцію і не пропускати вологу, що випаровується з бетону, при його обігріві. Для підвищення вологості повітря в просторі, що обігрівається, в тепляки поміщають судини з водою або змочують водою забетоновану конструкцію. У середині теплиць розміщують нагрівальні прилади: печі, калорифери і ін.
Для бетонування використовують звичайні бетонні суміші. Зводять теплиць до почала бетонування конструкцій, його розміри в цілях економії тепла і будівельних матеріалів приймають мінімальними. Останніми роками успішно використовують надувні теплиці.
Вибір методу зимового бетонування проводять залежно від очікуваних температур зовнішнього повітря, вживаних цементів, наявність на будівництві джерел тепла, хімічних добавок, а також від розмірів і призначення конструкцій (з урахуванням можливості виготовлення їх на заводі або полігоні).
При виборі раціональних методів витримки бетону з числа технічно можливих в першу чергу розглядають найбільш економічний метод «термоса». При неможливості отримання вказаним методом необхідної міцності бетону в задані терміни послідовно розглядають можливість застосування методів «термоса із застосуванням протиморозних добавок», «гарячого термоса», електротермообробки, обігріву пором, гарячим повітрям або в теплицях.
Критерієм оцінки ефективності методу зимового бетонування є приведені до 1 м укладеного бетону витрати по всіх наявних статтях і економічний ефект від скорочення тривалості будівництва об'єкту.
Для попереднього вибору методу витримки бетону можна користуватися даними, приведеними табл.
Таблиця 2.3.7 Рекомендовані методи витримки бетону
|
Тип конструкції |
Модуль поверхні М>п>, м-1 |
Рекомендований метод |
|
Масивні бетонні і залізобетонні конструкції |
До 3 |
Метод «термоса» Метод «термоса» із застосуванням прискорювачів твердіння бетону, пристрій теплиць при температурі зовнішнього повітря нижче - 20 °С Укладання бетонної суміші з протиморозними добавками |
|
Фундаменти під конструкції будівель і устаткування, масивні стіни і т.п. |
3-6 |
Метод «термоса» Метод «термоса» із застосуванням прискорювачів твердіння (бетонні суміші з протиморозними добавками) При необхідності отримання заданої міцності бетону в короткі терміни при температурі зовнішнього повітря нижче -15 °С - попереднє електророзігрівання бетонної суміші, периферійне електропрогрівання |
|
Колони, прогони, елементи рамних конструкцій, свайні ростверки, стіни, перекриття і т.п. |
6-10 |
Укладання бетонної суміші з протиморозними добавками Попереднє електророзігрівання бетонної суміші Електродний прогрів Електрообігрів із застосуванням гріючих опалубок |
|
Підлоги, перегородки, плити, перекриття, тонкостінні конструкції каркасів |
10-20 |
Електродний прогрів Контактний обігрів за допомогою гріючої опалубки Укладання бетонної суміші з| протиморозними добавками (для полови) |
|
Підливки під підлоги| і устаткування |
20 - 100 |
Електродний прогрів Індукційний прогрів Застосування| добавок поташу і нітриту натрію Інфрачервоний обігрів Термоактивні опалубки |
Бетонування конструкцій в більшості випадків прагнуть здійснювати безперервно, на невеликих по довжині і ширині ділянках, щоб кожен укладений шар швидше перекривався подальшим і бетон не встигав придбати температуру нижче передбаченої розрахунком, а також у зв'язку з тим, що підготовка замерзлих робочих швів вельми трудомістка.
Товщину шарів бетонної суміші, що укладаються, для кращого збереження нею тепло при укладанні приймає максимально допустимою за умовами ущільнення (30 - 35 см) залежно від довгі булави глибинного вібратора. Укладати бетонну суміш рекомендується цілодобово до закінчення бетонування всього масиву або його частини - блоку. Висоту вільного падіння бетонної суміші обмежують до 1 - 1,5м.

Мал.Тепляки:
Укладання бетонної суміші при бетонуванні монолітних конструкцій і пристрій робочих швів при прогрівних методах витримки бетону повинні здійснюватися відповідно до вимог і виключати виникнення температурних напруг, що перевищують розрахункові.
Ущільнення бетонної суміші є основною технологічною операцією при бетонуванні, від якості якої залежить щільність і однорідність бетону, а отже, його міцність і довговічність. Ущільнення
бетонній суміші проводять звичайними способами. Ретельніше ущільнюють суміш в місцях робочих швів, в кутках бетонованих блоків.
Як проводиться бетонування із застосуванням протиморозних добавок
Застосування в зимових умовах бетонів з протиморозними добавками дозволяє обійтися без обігріву укладеного бетону. Як добавки використовуються різні солі: хлористі солі - хлористий кальцій і хлористий натрій (тобто куховарська сіль), нітрит натрію і вуглекислий калій (поташ).
Хлористі солі підсилюють корозію арматури, тому застосовуються тільки при бетонуванні неармованих конструкцій, а інші - в залізобетонних конструкціях з обмеженнями, вказаними в ДБН.
Солі металів залежно від концентрації їх в йоді зачиннення (тобто від кількості добавки цих солей| до води) знижують температуру замерзання води (точніше, водного розчину цих солей) і тим самим забезпечують твердіння бетону при температурах нижче 0° С. Общєє кількість хлористих солей, що вводяться в бетонну суміш, не повинна перевищувати 7,5 % маси цементу (вважаючи на безводі солі), нітриту натрію — 10%, а поташа- 15 % маси цементу (табл.).
Таблиця 2.3.8. Рекомендовані кількості протиморозних добавок
|
Температура бетону °С, до |
Кількість безводной солі|соль| в % массы| цементу | |
||
|
Хлористий кальцій плюс хлористий натрій |
нітрит натрия1 |
поташ1 |
|
|
-5 |
3+0 або 0+3 |
4-6 |
5-6 |
|
-10 |
1,5+3,5 |
6-8 |
6-8 |
|
-15 |
4,5+3 |
8-10 |
8-10 |
|
-20 |
- |
- |
10-12 |
|
-25 |
- |
- |
12-15 |
1 Конкретне дозування добавок у вказаних межах встановлюється у будівельній лабораторії.
Міцність бетону з підвищеними добавками хлористих солей повинна до моменту замерзання складати не менше 5,0 МПа за умови додаткової витримки відкритих поверхонь конструкцій під укриттям до досягнення распалубочной міцності (щоб уникнути виморожування вологи з бетону). Витримка «холодного» бетону без подальшого обігріву (з укриттям відкритих поверхонь) допускається при температурі в бетоні не нижче за розрахункову для прийнятої концентрації солей, що додаються в бетонну суміш (див. табл). При максимально допустимій добавці хлористих солей і нітриту натрію холодний бетон може витримуватися без обігріву при температурах до - 15° С, а при добавці поташу - до - 25° С. Прі нижчих температурах слід утеплити опалубку і укриття, тобто створити для бетону умови термоса, або поєднувати витримка по методу термоса з паро- або електропрогріванням.
Бетонна суміш з підвищеним вмістом добавок солей може мати при виході з бетоносмесителя негативну температуру. Для приготування суміші можуть застосовуватися холодні матеріали, що не містять сніги: щебінь (гравій) з температурою не нижче - 15° С і пісок, що не містить грудок.
Бетонна суміш для холодного бетону може мати після виходу з бетонозмішувача і позитивної температури; в цьому випадку, щоб уникнути надмірно швидкого схоплювання суміші із-за великих добавок хлористих солей, приготування суміші ведуть роздільним способом. Спочатку перемішують цемент, пісок і щебінь з 70 % води зачиннення і лише після цього додають решту води з розчиненими в ній хлористими солями необхідної концентрації. У момент укладання температура бетонної суміші повинна перевищувати температуру замерзання розчину зачиннення не менше ніж на 5° С.
Бетони з добавками солей. Можливість твердіння бетону при негативних температурах має большое практичне значення і може бути досягнута приготуванням його на підігрітих матеріалах з невеликими добавками солей або на холодних матеріалах з підвищеними добавками солей.
Бетон, що готується на підігрітих матеріалах, можна застосовувати з добавками:
а) 3% NaCl + 2% NaN0>2 >- бетон твердне при його температурі до - 5°;
б) 3% СаС12 + 5% NaN0>2 >- бетон твердне при його температурі до - 8°;
в) 3% СаС12
+ 5% NaCl - бетон
твердне при його температурі до -
10°.
Бетон з добавками, вказаними в пп. а) і б), дозволяється застосовувати в залізобетонні, а з добавкою, вказаною в п. в), тільки в неармовані конструкції (щоб уникнути корозії арматури).
Якщо на свіжоукладений бетон впливає нижча, ніж вказано, температура, відбудеться часткова втрата їм кінцевої міцності. Щоб уникнути цього необхідно шляхом утеплення зберегти в бетоні (укладеному з|із| температурою не нижче за 20° і при морозах не більше - 15°) середню температуру протягом першої доби 15° або на дві доби 7°. Утеплення рекомендується зберігати до тієї, що розпалубила бетону. Після укладання такого бетону відбувається його термосне охолодження до мінус 5 - 10° з накопиченням міцності. Зачиняючи бетон з підвищеними добавками солей і готуючи його на холодних матеріалах, можна знизити температуру твердіння -15°.
Солі, введені в підвищених кількостях, надають наступну дію: сильно пластифікують суміш, що дозволяє укладати її з відємною|| (до —5°) температурою. Можливість приготування суміші на щебені або гравії, без полоу і примергшигся грудок, з температурою не нижче -15° і відталому піску спрощує і здешевлює виробництво робіт; значно знижують температуру замерзання бетону, зберігаючи в ньому воду в рідкій фазі.
Кількість добавки безводих солей указується у відсотках від ваги води зачиннення (включаючи вологу заповнювачів).
Такий «холодний» бетон можна застосовувати тільки в неармованих конструкціях з наступними добавками солей:
3% СаС12 + 7% NaCl — для твердіння| бетону при температурі його до -10°;
9% СаС12 + 6% NaCl — для твердіння| при температурі його до -15°.
Для масивів з Мп до 2 загальна кількість солей не повинні перевищувати 10 %.
При пониженні температури «холодного» бетону після його укладання нижче за розрахункову, прийняту при встановленні концентрацію водних розчинів солей, укладений бетон необхідно протягом перших 15 діб утепляти або застосувати штучний обігрів з подальшою витримкою методом термоса.
При нижчих, ніж -15°, температурах зовнішнього повітря суміш треба готувати на підігрітих соляному розчині і воді і після укладання негайно вкривати, щоб температура бетону в перші 15 діб не була нижча -15°. При приготуванні такої суміші солі додають у вигляді концентрованих водних розчинів після попереднього перемішення цементу 70% води, піску і щебеня.
Міцність бетону до моменту замерзання повинна бути не нижче 25% проектної і не менше 50 МПа. Поверхні бетону, не захищені опалубкою, ховаються щоб уникнути виморожування з нього вологи; це укриття зберігається на бетоні ще протягом 10-15 днів після досягнення їм вказаної міцності.
Даний метод раціональний, коли звичайні методи зимового бетонування здійсненні або невигідні.
Всі виробничі вказівки по застосуванню описаних бетонів даються в «Інструкції по застосуванню бетону з добавками солей, що твердне на морозі».
У чому полягає бетонування в термоактивній опалубці?
Сталеву опалубку із змонтованими на ній нагрівальними елементами і зовнішньою теплоізоляцією називають термоактивною. Нагрівачами служать електричні дроти і кабелі, що працюють як опори, ткані сталеві і латунні сітки, нихромовая або сталевий вуглецевий дріт і ТЭНи. Утеплювачами можна застосовувати будь-які теплоізоляційні матеріали, проте найбільш зручні шлакоповстяні і стеклоповстяні мати завтовшки 40 - 60 мм.
Нагрівачі кріплять безпосередньо у поверхні опалубки, застосовуючи в необхідних випадках електроізоляцію, а потім вкривають їх шаром термоізолюючого матеріалу. Рекомендується, особливо при вітрі, додатково вкривати опалубку брезентом або повітронепроникною плівкою.
У виробництві застосовують уніфіковану розбірно-переставну опалубку «моноліт», розроблену в ЦНИИОМТП, або опалубці Мінмон-тажспецстроя.
Питома потужність нагрівальної опалубки залежить від масивності конструкції, температури зовнішнього повітря, швидкості вітру, конструкції самої опалубки і теплотехнічних властивостей утеплювача (табл.).
Таблиця 2.3.9 Рекомендована потужність нагрівачів щитів термоактивної опалубки
|
Розрахункова температура повітря, град С|із| |
Питома потужність нагрівачів, вт| на 1 м2, при модулі опалубної |поверхні |
||||
|
2-4 |
4-6 |
6-8 |
8-10 |
понад 10 |
|
|
-20 |
600 |
700 |
800 |
900 |
1000 |
|
-25 |
650 |
750 |
850 |
950 |
1100 |
|
-30 |
700 |
800 |
900 |
1000 |
1100 |
|
-35 |
800 |
900 |
1000 |
1100 |
1200 |
Примітка: Рекомендації розроблені стосовно утеплювачів з коефіцієнтом теплопередачі, рівним 2,85 - 3,1 ккал/ч град м2.
При прогріванні залізобетонних конструкцій в термоактивній опалубці застосовують бетони на основі портландцементу, швидкотвердіючого портландцементу і шлакопортландцементу. У бетон можна вводити добавки -ускорители твердения; проте у випадку вони викликають корозію металу, необхідно ретельно змащувати палуби і ребра каркаса опалубки.
Температура бетонної суміші перед укладанням в термоактивну опалубку повинна бути не нижче за 5° С.
Перед укладанням бетонної суміші грунтову підставу прогрівають до температури 5 - 10° С. Кам'яну або бетонну підставу, що промерзла, відігрівають до температури бетонної суміші у момент укладання. При використанні заздалегідь розігрітої суміші температура підстави повинна бути не нижче за 15° С. Сопрікасающиеся з бетоном конструкції, що знов укладається, перекривають щитами термоактивної опалубки на висоту, рівну половині її більшого розміру, але не менше 300 і не більше 600 мм.
При прогріванні конструкцій з використанням термоактивної опалубки найбільш ефективний пилкоподібний режим, що включає періоди розігрівання, умовного ізотермічного прогрівання і охолодження. В період ізотермічного прогрівання нагрівачі включають при надмірному зниженні температури бетону в периферійних ділянках конструкції, що прогрівається. Температурні параметри режиму залежать в основному від модуля і виду опалубливаемої конструкції (табл. 2.3.10).
Для практичних цілей розраховані типові режими обігріву різних конструкцій - залізобетонних стін, фундаментів стовпчастого типа і подколенників заввишки більше 1 м і східчастих фундаментів з висотою рівнів 500 мм. Перерви між укладанням попереднього і подальшого шарів бетонної суміші не повинні перевищувати 1,5 - 2 ч при температурі бетонної суміші 5° С.
Таблиця 2.3.10 Температурні параметри прогрівання бетонних і залізобетонних конструкцій
|
Параметри |
Модуль конструкції |
||||
|
до 4 |
4-6 |
6-8 |
8-10 |
10 |
|
|
Максимальна швидкість підйому температуры|, град С/ч |Те ж, температура пристенного| шару бетону, град З|із| Те ж, швидкість охолоджування конструкции | | (по вимірах на її поверхности|), град С/ч | |
5 35 5 |
5 45 5 |
6 55 6 |
8 60 8 |
10 60 8 |
При бетонуванні масивних конструкцій з дотриманням безперервності укладання суміші і необхідності включення опалубки під напругу інтервали між укладанням суміжних шарів не повинні перевищувати 1 ч, а різниця температури порцій бетонної суміші 10° С.
Для прискорення оборотності термоактивної опалубки її демонтують після завершення ізотермічного прогрівання. Охолодження бетону в цьому випадку повинне проходити під укриттям з шлакоповстяних ковдр, брезенту, поліетиленової плівки або інвентарних теплицях.
Витримку бетону припиняють після того, як він набере не менше 50% проектної міцності для звичайних конструкцій або вищої міцності, якщо до конструкції пред'являються підвищені вимоги. Знімати утеплення можна тільки тоді, коли різниця температури відкритої поверхні конструкції і навколишнього повітря при модулі 5 не перевищує 20° С і понад 5 - 30° С.
Досвід застосування термоактивної опалубки показує, що в певних умовах вона достатньо ефективна. Вартість виробництва робіт, зокрема за рахунок зниження витрати електроенергії, зменшується на 2,5—3 грн. на 1 м3 в порівнянні з методом електродного прогрівання. На 1,2— 1,5 чіл.-ч. на 1 м3 знижуються трудовитрати при зимовому бетонуванні.

Мал Сітчастий нагрівач в гріючій опалубці
1 - аркуш з металу або фанери; 2 - електроізоляція з азбесту; 3 - болти для кріплення; 4 - розводящі шини; 5 — утеплювач; 6 — сітчастий нагрівач.

Мал. Конструкції термоактивних гнучких покриттів (ТАГП|):
У чому полягає бетонування і обігрів за допомогою ТЕМов
Для бетонування перекриттів, підготовок під підлоги, дорожніх покриттів і інших подібних їм конструкцій при температурі зовнішнього повітря до - 40°С можна застосовувати електрообігрів за допомогою термоелектричних матів ( ТЕМов).
ТЕМ складається із зовнішньої захисної оболонки, теплоізоляційного шару і нагрівального елементу, що виготовляється з голого нихромового дроту діаметром 0,8 мм, укладеного «змійкою» в чохлі з скляної або азбестової тканини чи ж запресованого в термостатичну гуму. Потужність нагрівального елементу при напрузі 36 В повинна бути не менше 100 Вт на 1 м2. Розмір ТЕМа 3,2х 1,6 м; обігрів проводять при напруженн 36 - 42 В.
Бетон під ТЕМамі через добу набирає понад 25 % марочної міцності, через три доби - 50 %, а через 5-7 діб - 70 %. При цьому якість бетону в цілому досить висока.
Даний спосіб вимагає в 3 - 5 разів менше витрат, ніж при використанні протиморозних добавок або застосуванні електророзігрівання бетонної суміші для отримання 50 - 70 % проектної міцності бетону. На 10 - 20 % знижується витрата цементу за рахунок застосування літніх норм витрати. Це пояснюється тим, що ТЕМи створюють нормальні температурно вологогої умови для твердіння бетону аналогічно найбільш сприятливим літнім умовам. На контакті з бетоном підтримується температура 20 - 22°С і відносна вологість 70 - 90 %.
Застосування ТЕМов забезпечує ряд переваг. По-перше, дозволяє индустриализировать роботи і організувати достатньо високу якість контролю процесу обігріву. На базі причепа-фургона створена установка, обладнана двома-трьома однофазними трансформаторами типу ТИ-20А3, одним трифазним типу ТНТ35-ВО2 і 30 - 50 ТЕМамі, що дозволяє одночасно вести обігрів 150 - 250 м2 поверхні. Причому розгортання устаткування в робоче положення здійснюється порівняно швидко.
Роботи з підготовки до обігріву виконують в такій послідовності.
На поверхню бетону укладають дерев'яні прокладки так, щоб між обігрівачем і конструкцією залишався зазор 2 - 10 см., укладають ТЕМи так, щоб вони приблизно на 20 см перекривали один одного. Конструкції, що примикають до тих, що обігріваються, повинні бути також на 30 см укриті ТЕМамі. Потім обігрівачі підключають до електричної мережі і розігрівають. Після ізотермічної витримки охолодження з швидкістю до 6°С в час.
Разом з обігрівачами застосовують тепловологоізоляційні мати (ТВІМи). По конструкції вони аналогічні ТЕМам, але позбавлені нагрівальних елементів. ТВІМи використовують для укриття бетону в період його охолодження після прогрівання. Їх застосовують також для посилення теплоізолюючої здатності ТЕМов - укладають поверх нагрівачів - при температурі повітря нижче - 30° С і вітрі із швидкістю більше 6 м/сек. При температурі зовнішнього середовища вище - 10°С ТЕМи і ТВІМи в період обігріву укладають в шаховому порядку. Це дозволяє в два рази збільшити розміри поверхні, що обігрівається. До речі, ТВІМи використовують при перевезенні і зберіганні бетонної суміші до моменту її укладання в конструкцію.
До цементів, заповнювачів і води для бетону, що прогрівається за допомогою ТЕМов, які-небудь особливі вимоги не пред'являються.
При транспортуванні бетонної суміші на дальню відстань в люті морози рекомендується вводити при приготуванні нітрит натрію в кількості до 2 % від маси цементу.
Бетонну суміш можна доставляти і укладати в конструкції будь-яким способом, але так, щоб перед укриттям ТЕМамі бетон мав температуру не нижче за 2-3° С.
Щоб уникнути перегріву і пересушування конструкції, бетон бажано поливати водою із загальною витратою 300 - 500 г/м2 або встановлювати під ТЕМамі дрібні відкриті ємності з водою. Загальна поверхня випаровування місткостей повинна складати до 10 % площі, що обігрівається.
Необхідно стежити, щоб перепад температури в різних точках бетону в період прогрівання і охолодження не перевищував 10°С по висоті і 15 - по довжині конструкції, що обігрівається.
Електричне живлення ТЕМов в період розігрівання забезпечують напругою 36 - 42 В при модулі М„ < 20 і 42 - 60 в при Мп > 20. Причому ізотермічний прогрів здійснюють напругою 36 В при температурі зовнішнього повітря до -20° С, 42 В - до -30° С і 60 В - нижче -30° С.
По техніко-економічних міркуваннях спосіб бетонування за допомогою ТЕМов доцільно використовувати для отримання 50 - 70 % проектної міцності бетону. Така міцність може бути досягнута протягом 1,5 - 3 діб залежно від виду вживаного цементу.
1



















































