Анализ зависимости условного периода, логарифмического декремента затухания и добротности контура от его параметров (L,C,R)
Курсовая работа
по физике
на тему: Анализ зависимости условного периода, логарифмического декремента затухания и добротности контура от его параметров (L,C,R)
Введение
Некоторые значения установки:
С1 = 260 пФ
С2 = 140 пФ
С3 = 230 пФ
С4 = 430 пФ
Логарифмический декремент затухания вычислим по следующей формуле:
,
где А1, А2, А3 и А4 – значения последовательных амплитуд, определенных по графику.
Задание 1. Проверка зависимости периода колебаний от ёмкости и определения индуктивности катушки
Установим переключатели магазина сопротивлений в нулевое положение.
Установим значение ёмкости С1 и получим на экране устойчивую картину затухающих колебаний.
Измерим
логарифмический декремент затухания
и проверим выполнение условия
.
Если условие выполнено, измерьте период
колебаний.
Включим ёмкость С1+ С2 и повторим п.3.
Повторим все измерения для всех возможных ёмкостей. В результате получим набор пар соответствующих значений (Сi, Тi), где i – номер опыта.
Теория предсказывает зависимость между переменными:

Располагая измеренными значениями Тi при различных Сi вычислим y и по формулам найдём a и b.
Найдём индуктивность.
Найдём паразитную ёмкость С0 .
Вычислим 2
Установим с помощью магазина дополнительное сопротивление контура 1000-3000 Ом.
Повторим пункты 2-11, определяя значение L. Оно отличается от найденного в начале из-за того, что проволочные катушки магазина сопротивления также имеют заметную индуктивность.
|
№ п/п |
Значение емкости контура С |
А1 |
А2 |
А3 |
А4 |
|
Т |
|
1. |
С1 |
20.0 |
13.0 |
10.5 |
6.0 |
0.71 |
12.0 |
|
2. |
С1 + С2 |
20.0 |
12.5 |
9.5 |
4.5 |
0.88 |
14.0 |
|
3. |
С1 + С3 |
19.5 |
11.5 |
9.0 |
4.5 |
0.85 |
15.5 |
|
4. |
С1 + С2 + С3 |
18.5 |
11.0 |
8.0 |
4.0 |
0.92 |
17.0 |
|
5. |
С1 + С4 |
18.5 |
10.5 |
8.0 |
3.5 |
0.97 |
18.0 |
|
6. |
С1 + С2 + С4 |
18.0 |
9.5 |
7.5 |
3.5 |
0.94 |
19.0 |
|
7. |
С1 + С3 + С4 |
18.0 |
9.5 |
7.0 |
3.5 |
0.97 |
19.5 |
|
8. |
С1 + С2 + С3 + С4 |
17.0 |
9.0 |
6.5 |
3.0 |
0.98 |
21.0 |
пишешь для каждого случая(1-8)
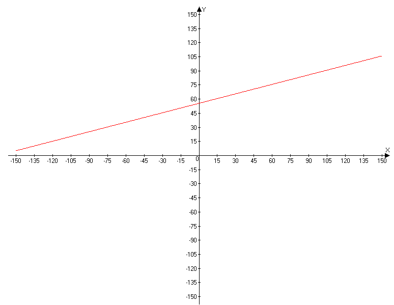
y = 0.336x + 55.55
А = 0.013 Гн
В = 9.21 мкс2
L = 9.3 мГн
L = 0.3 мГн
С0 = 151.9 пФ
С0 = 25.8 пФ
2 = 0.0
Построим график зависимости y(x).


Задание 2. Проверка зависимости логарифмического декремента затухания от сопротивления контура
Установим все переключатели магазина сопротивлений в нулевое положение.
Установим значение ёмкости С1 и получим на экране устойчивую картину затухающих колебаний. Затем измерим период колебаний.
Измерим
логарифмический декремент и проверим
выполнение условия
.
Установим
на магазине сопротивлений 300 Ом и повторим
измерение периода колебаний и
логарифмического декремента, опять
проверив условие
.
Повторим измерения периода логарифмического декремента при сопротивлении магазина 600 Ом, 900 Ом.
Убедимся в независимости периода колебаний от сопротивления
Теория
предсказывает линейную зависимость
между величиной сопротивления магазина
при постоянном токе (x=R) и логарифмическим
декрементом y=
:

Вычислим 2
Найдём сопротивление катушки.
Включим в контур ёмкость С1+ С2 и повторим пункты 1-9.
|
№ п/п |
Значение активного сопротивления R |
А1 |
А2 |
А3 |
А4 |
T |
|
1. |
300 |
18.0 |
11.0 |
8.5 |
4.0 |
12.0 |
|
2. |
600 |
16.5 |
9.0 |
7.0 |
3.0 |
12.0 |
|
3. |
900 |
15.0 |
8.0 |
5.5 |
2.5 |
12.5 |
|
4. |
1200 |
14.0 |
6.5 |
5.0 |
2.0 |
11.5 |
|
5. |
1500 |
12.5 |
5.5 |
4.0 |
1.5 |
11.5 |
|
6. |
1800 |
11.0 |
4.0 |
3.5 |
1.0 |
11.0 |
|
7. |
2100 |
10.0 |
3.5 |
3.0 |
0.5 |
10.5 |
|
8. |
2400 |
9.0 |
3.0 |
2.5 |
0.5 |
10.3 |
|
9. |
2700 |
8.5 |
2.5 |
2.0 |
0.2 |
10.0 |
|
№ п/п |
Teta |
Teta |
|
1. |
0.8810 |
0.0558 |
|
2. |
0.9780 |
0.0714 |
|
3. |
1.1948 |
0.0909 |
|
4. |
1.2480 |
0.100 |
|
5. |
1.4221 |
0.1250 |
|
6. |
1.6123 |
0.1429 |
|
7. |
1.5749 |
0.1667 |
|
8. |
1.8829 |
0.210 |
|
9. |
1.9040 |
0.2213 |
y = 0.45x + 0.74 (y – Teta, x – R)
А = 0.03 1/кОм
В = 0.05
2 = 1.34
Построим график зависимости y(x).


Задание 3. Проверка зависимости сопротивления катушки от периода колебаний
Установим в магазине сопротивлений все переключатели в нулевое положение.
Установим
значение ёмкости С1 получим на экране
устойчивую картину затухающих колебаний
и измерим период Т и логарифмический
декремент
.
По формуле

вычислим сопротивление катушки.
Повторим измерения и вычисления сопротивления катушки при всех возможных значениях ёмкости контура.
На координатной плоскости по оси x откладываем значения
,
а по оси y – R.
Убедимся в линейной зависимости между x и y.
|
№ п/п |
Значение емкости контура С |
А1 |
А2 |
А3 |
А4 |
|
Т |
R |
|
1. |
С1 |
20.0 |
13.0 |
10.5 |
6.0 |
0.71 |
12.0 |
1.100 |
|
2. |
С1 + С2 |
20.0 |
12.5 |
9.5 |
4.5 |
0.88 |
14.0 |
1.169 |
|
3. |
С1 + С3 |
19.5 |
11.5 |
9.0 |
4.5 |
0.85 |
15.5 |
1.020 |
|
4. |
С1 + С2 + С3 |
18.5 |
11.0 |
8.0 |
4.0 |
0.92 |
17.0 |
1.006 |
|
5. |
С1 + С4 |
18.5 |
10.5 |
8.0 |
3.5 |
0.97 |
18.0 |
1.002 |
|
6. |
С1 + С2 + С4 |
18.0 |
9.5 |
7.5 |
3.5 |
0.94 |
19.0 |
0.920 |
|
7. |
С1 + С3 + С4 |
18.0 |
9.5 |
7.0 |
3.5 |
0.97 |
19.5 |
0.925 |
|
8. |
С1 + С2 + С3 + С4 |
17.0 |
9.0 |
6.5 |
3.0 |
0.98 |
21.0 |
1.089 |

пишешь для каждого случая(1-8),потом расписываешь R
Значения сопротивлений найдем с помощью формулы:

-
№ п/п
Teta
Teta
1.
0.709
0.048
2.
0.833
0.053
3.
0.856
0.056
4.
0.925
0.063
5.
0.968
0.063
6.
0.937
0.067
7.
0.971
0.071
8.
1.030
0.077
y = 3.45x + 0.16 (y – R)
А = 0.744 Оммкс
В = 0.191 Ом
2 = 1.50
Построим график зависимости y(x).


