Анализ тепломассообмена
МОСКОВСКИЙ ГОСУДАРСТВЕННЫЙ УНИВЕРСИТЕТ ПУТЕЙ СООБЩЕНИЯ (МИИТ)
Институт транспортной техники и организации производства
Кафедра "Теплотехника железнодорожного транспорта"
Курсовая работа по дисциплине
теоретические основы теплотехники:
"Тепломассообмен"
Выполнила: ст. гр. ТЭН-312
Ибрагимов Т.Г.
Принял: проф. Минаев Б.Н.
Москва 2008
Передача теплоты через оребренную поверхность плоской стенки.
Оребрение поверхности позволяет уменьшить внешнее термическое сопротивление l/α·A за счет увеличения поверхности теплообмена А. С этой целью обычно используют оребрение внешних поверхностей. Кроме того, оребрение может непосредственно воздействовать на интенсивность теплообмена в пограничном слое и коэффициент конвективной теплоотдачи α. Рассмотрим влияние оребрения внешней поверхности на теплообмен. Схема оребрения показана на рис.1.

Рис.1. Поверхность нагрева с ребрами прямоугольного сечения: δ - толщина ребра; l - высота ребра; L – длина ребра; T>w>>2> – температура у основания ребра; T>l> – температура на вершине ребра
Площадь оребренной поверхности А>2,р> = A>р> + A>м> , где A>р> - площадь ребер, A>м> - площадь межреберного пространства, T>w>>2> - температура межреберной· поверхности, α>2> - коэффициент теплоотдачи от оребренной поверхности.
Тепловой поток с межреберной поверхности Q>м> = α>2>·А>м>·(Т>w>>2>–T>f>>2>).
Тепловой поток с поверхности ребер Q>р> =α>2>·А>р>·(Т>w>>2> – T>f>>2>)·ψ>р>.
Общий тепловой поток с оребренной поверхности Q>2,р>=α>2>·(А>м>+ψ>р>·А>р>)·(Т>w2>–T>f2>), где ψ>р> =Q/Q>max >(1). Допускаем, что коэффициент теплоотдачи α>2> одинаков для межреберной поверхности и поверхности ребер (что верно до определенного предельного расстояния между двумя соседними ребрами).
Допускаем, что коэффициент теплоотдачи α>2> одинаков для межреберной поверхности и поверхности ребер (что верно до определенного предельного расстояния между двумя соседними ребрами).
Перенос теплоты через оребренную поверхность. Paссмотрим процесс переноса теплоты через оребренную с внешней стороны стенку при граничных условиях III рода. Тепловой поток Q можно записать следующим образом:

где индексы "1" и "2" относятся, соответственно, к внутренней и внешней поверхностям; ε>ф>- коэффициент, учитывающий влияние формы стенки; для плоской стенки ε>ф>=l.
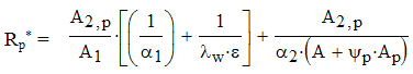
Введем полное термическое сопротивление R>р>*, м2·К/Bт, оребренной поверхности

и коэффициент теплопередачи через оребренную поверхность К>р>, Вт/(м2·К)

отнесенные к единице площади оребренной поверхности А>2,р>.
Тогда

Q = К>р>·А>2,р>·(Т>f>>1>-T>f>>2>).
Так как величина ψ>р> всегда меньше единицы, то суммарный эффект оребрения будет определяться совокупным воздействием увеличения отношения площадей теплообмена A>2,р>/А>1> и достигаемой величиной ψ>р>. По мере увеличения высоты ребра с ростом площади оребрения одновременно уменьшается средняя температура ребра и, соответственно, величина ψ>р> . Поэтому существуют оптимальные размеры оребрения (высота и толщина ребер, их число, расстояние между ними), при которых передаваемая теплота становится максимальной и делает оребрение наиболее эффективным.
Эффективность оребренuя. Так как оребрение снижает термическое сопротивление только оребренной поверхности, то оно будет эффективно лишь в том случае, если другие составляющие общего термического сопротивления (материала, неоребренной поверхности)
существенно меньше. Это означает, что чем больше l/α>2> по сравнению с 1/α>1> и δ/λ>w>·ε>ф>, тем выше эффективность оребрения.
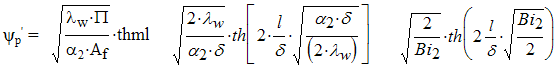
Критерий эффективности оребрения может быть приближенно найден следующим образом. Очевидно, что оребрение целесообразно лишь в том случае, если тепловой поток с боковой поверхности ребра А>р> = П·l больше, чем тепловой поток с основания ребра А>f>.
Следовательно величина ψ>р>' должна быть значительно больше единицы. Выражение для ψ>р>' можно записать в виде:

где Bi>2> = α>2>·δ/λ>w>. Практически при всех значения l/δ величина ψ>р>' > 1 при α>2>·δ/2·λ>w>=Bi>2>/2 < 1. При этом чем больше l/δ, тем больше ψ>р>'. На практике в качестве критерия используют условие Bi>2><0,2, когда величина ψ>р>' становится существенно больше единицы.
Определение температурного напора при переменных температурах. Уравнение (5) для теплового потока записано при условии постоянства температур Т>f>>1> и Т>f>>2>. Это допущение справедливо, если количество переносимой теплоты намного меньше теплосодержания охлаждаемой и нагреваемой сред. Если это условие не выполняется, то отвод теплоты от более нагретой среды будет уменьшать ее температуру, а подвод теплоты к более холодной среде будет ее температуру увеличивать. Найдем температурный напор в уравнении (5) при переменных значениях температур T>f>>1> и Т>f>>2>. Обозначим T>fI>= Т>г>, Т>f>>2>=Т>х>.
Уравнение теплового потока. Поток теплоты через единицу поверхности теплообмена dА: dQ = K>p>·(T>г >– T>x>)dA = K>p>·∆TdA (7), где К>р> – коэффициент теплоотдачи через единицу поверхности теплообмена; Т>г>, Т>х> – текущие переменные температуры греющей и нагреваемой сред (в дальнейшем индекс "г" будем относить к греющей среде, индекс "х" - к холодной).
Тепловой поток dQ при водит к увеличению температуры холодной среды и уменьшению температуры нагретой среды

d(T>г> – T>x>) = d(∆T) = - dQ·[1/(C>p>>г>·G>г>)+1/( C>px>·G>x>)]
где С>рг> , С>рх> - теплоемкость горячей и холодной среды при P=const; G>г>,G>x> - массовый расход горячей и холодной среды, кг/с.
Обозначим 1/(C>p>>г>·G>г>)+1/( C>px>·G>x>) = n. Тогда dQ = - d(∆T)/n (8).
Интегрируя последнее уравнение в пределах от начального значения ∆Т=∆Т' до конечного значения ∆Т=∆Т" при n=const, получим уравнение потока теплоты Q = (∆Т' - ∆Т")/n (9), где ∆Т' = Т>г>' – Т>х>', ∆Т" = Т>г>" – Т>х>"; Т>г>', Т>г>" – начальная, конечная температуры нагретой среды; Т>х>', Т>х>" – начальная, конечная температуры холодной среды. Тогда

Среднелогарифмический перепад температур. Подставляя значения dQ из (8) в (7), получим: - d(∆Т)/n = K>p>·∆ТdA.
Интегрируя это уравнение в пределах от начального значения ∆Т=∆Т' до конечного значения ∆Т=∆Т" по всей поверхности теплообмена А, получим: ln(∆Т'/∆Т") = K>p>·n·A. Подставляя значение n из уравнения (9) в последнее уравнение, найдем

Обозначим ∆Т>ср> = (∆Т' - ∆Т'')/ln(∆Т'/∆Т'') - среднелогарифмический температурный напор.
Введем среднеарифметический температурный напор ∆Т>ср а>: ∆Т>ср а> = (∆Т' + ∆Т'')/2.
Отношение среднеарифметического перепада ∆Т>ср а> к среднелогарифмическому ∆Т>ср> равно

∆Т>ср а>/∆Т>ср >=
При ∆Т'/∆Т''> >→1, ∆Т>ср >→∆Т>ср а> во всех других случаях ∆Т>ср >< ∆Т>ср а> . Средний перепад при переменных температурах нагретой и холодной сред используют при расчете переноса теплоты в теплообменных аппаратах.
ЗАДАНИЕ
Исследовать эффективность оребрения поверхности плоской стенки в зависимости от высоты ребра h, коэффициент теплопроводность материала λ при граничных условиях третьего рода.
Плоская стенка оребрена по высоте продольными ребрами прямоугольного сечения высотой h и толщиной 2δ. Стенка имеет размеры по высоты 800 мм и ширине 1000 мм. По ширине стенки размещено 50 ребер. Для оптимального размера ребра произвести расчеты распределения температуры по высоте ребра, определить плотность потока теплоты по высоте ребра, определить плотность потока теплоты, передаваемой ребром. Оценить вклад отвода теплоты к воздуху оребренной поверхностью стенки по сравнению с неоребренной.
Исходные данные:
Длина ребра: l = 800 мм
Высота ребра: h = 10;20;30мм
Толщина ребра: b = 1,0 мм
Материал ребра: латунь
Температура воздуха: t>в> = 20°С
Температура поверхности у основания ребра: t>с> = 100°С
Скорость движения воздуха: ω = 10;5 м/с
РЕШЕНИЕ
Заданы следующие параметры:
-
l
0,8
м
λ
100
Вт/м·К
h
0,01
м
t>в>
20
°С
b
0,001
м
t>с>
100
°С
H
1
м
ω
10
м/с
n
50
P = 2·(b + l) = 2·(0,001 + 0,8) = 1,602 м
f = b·l = 0,001·0,8 = 0,0008 м2
ν = 0,00001506 м2/с
Re = ω·l/ ν = 10·0,8/0,00001506 = 531208,5
Pr = 0,703
Nu= 0,33·Re0,5·Pr0,33·(Pr/Pr>с>)0,25
Так как (Pr/Pr>с>)0,25 для воздуха примерно равен 1, то
Nu = 0,33·(531208,5)0,5·(0,703)0,33 = 214,11
λ>в> = 0,016 Вт/м·К
α>1> = λ>в>·Nu/l = 0,016·214,11/0,8 = 4,28
α = α>1>·(S>2>/S>1>)
S>1> = H·l = 0,8·1 = 0,8 м2
S>2> = H·l + 2·h·l·n = 0,8 + 0,8 = 1,6 м2
α = 4,28·(1,6/0,8) = 8,56
Q = α·P·h·( t>с> - t>в>) = 8,56·1,602·0,01·80 = 10,97
η
= th(m·h)/m·h
m
= √α·P/λ·f = √8,56·1,602/100·0,0008 = 13,09
m·h = 13,09·0,01 = 0,1309
η = 0,00009943

Заданы следующие параметры:
-
l
0,8
м
λ
100
Вт/м·К
h
0,01
м
t>в>
20
°С
b
0,001
м
t>с>
100
°С
H
1
м
ω
5
м/с
n
50
Re = ω·l/ ν = 5·0,8/0,00001506 = 265604,25
Nu= 0,33·Re0,5·Pr0,33·(Pr/Pr>с>)0,25
Nu = 0,33·(265604,25)0,5·(0,703)0,33 = 151,4
α>1> = λ>в>·Nu/l = 0,016·151,4/0,8 = 3,03
α = α>1>·(S>2>/S>1>)
α = 3,03·(1,6/0,8) = 6,06
Q = α·P·h·( t>с> - t>в>) = 6,06·1,602·0,01·80 = 7,77
η = th(m·h)/m·h
m
= √α·P/λ·f = √6,06·1,602/100·0,0008 = 11,02
m·h = 11,02·0,01 = 0,1102
η = 0,0000996

Заданы следующие параметры:
-
l
0,8
м
λ
100
Вт/м·К
h
0,02
м
t>в>
20
°С
b
0,001
м
t>с>
100
°С
H
1
м
ω
10
м/с
n
50
Re = ω·l/ ν = 10·0,8/0,00001506 = 531208,5
Nu= 0,33·Re0,5·Pr0,33·(Pr/Pr>с>)0,25
Nu = 0,33·(531208,5)0,5·(0,703)0,33 = 214,11
α>1> = λ>в>·Nu/l = 0,016·214,11/0,8 = 4,28
α = α>1>·(S>2>/S>1>)
α = 4,28·(2,4/0,8) = 12,84
Q = α·P·h·( t>с> - t>в>) = 12,84·1,602·0,02·80 = 32,91
η
= th(m·h)/m·h
m = √α·P/λ·f = √12,84·1,602/100·0,0008 = 16,03
m·h = 16,03·0,02 = 0,3206
η = 0,000386836

Заданы следующие параметры:
-
l
0,8
м
λ
100
Вт/м·К
h
0,02
м
t>в>
20
°С
b
0,001
м
t>с>
100
°С
H
1
м
ω
5
м/с
n
50
Re = ω·l/ ν = 5·0,8/0,00001506 = 265604,25
Nu= 0,33·Re0,5·Pr0,33·(Pr/Pr>с>)0,25
Nu = 0,33·(265604,25)0,5·(0,703)0,33 = 151,4
α>1> = λ>в>·Nu/l = 0,016·151,4/0,8 = 3,03
α = α>1>·(S>2>/S>1>)
α = 3,03·(2,4/0,8) = 9,09
Q = α·P·h·( t>с> - t>в>) = 9,09·1,602·0,02·80 = 29,3
η
= th(m·h)/m·h
m = √α·P/λ·f = √9,09·1,602/100·0,0008 = 13,49
m·h = 13,49·0,02 = 0,2698
η = 0,000390569

Заданы следующие параметры:
-
l
0,8
м
λ
100
Вт/м·К
h
0,03
м
t>в>
20
°С
b
0,001
м
t>с>
100
°С
H
1
м
ω
10
м/с
n
50
Re = ω·l/ ν = 10·0,8/0,00001506 = 531208,5
Nu = 0,33·(531208,5)0,5·(0,703)0,33 = 214,11
α>1> = λ>в>·Nu/l = 0,016·214,11/0,8 = 4,28
α = 4,28·(3,2/0,8) = 17,12
Q = α·P·h·( t>с> - t>в>) = 17,12·1,602·0,03·80 = 65,82
η
= th(m·h)/m·h
m = √α·P/λ·f = √17,12·1,602/100·0,0008 = 18,52
m·h = 18,52·0,03 = 0,5556
η = 0,000817558

Заданы следующие параметры:
-
l
0,8
м
λ
100
Вт/м·К
h
0,03
м
t>в>
20
°С
b
0,001
м
t>с>
100
°С
H
1
м
ω
5
м/с
n
50
Re = ω·l/ ν = 5·0,8/0,00001506 = 265604,25
Nu = 0,33·(265604,25)0,5·(0,703)0,33 = 151,4
α>1> = λ>в>·Nu/l = 0,016·151,4/0,8 = 3,03
α = 3,03·(3,2/0,8) = 12,12
Q = α·P·h·( t>с> - t>в>) = 12,12·1,602·0,03·80 = 46,6
η = th(m·h)/m·h
m
= √α·P/λ·f
= √12,12·1,602/100·0,0008 = 15,58
m·h = 18,52·0,03 = 0,5556
η = 0,000839723

СПИСОК ИСПОЛЬЗУЕМОЙ ЛИТЕРАТУРЫ
В.Т. Кумсков, Ю.П. Сидоров. Тепломассообмен. Темы и задания на курсовую работу часть1,2.
В.П. Исаченко, В.А. Осипова. Теплопередача. – М.: изд. Энергия, 1975. – 486с.
Теплотехника: Учебник для втузов/ А.М. Архаров, И.А. Архаров, В.Н. Афанасьев и др.; Под общ. ред. А.М. Архарова, В.Н. Афанасьева. - 2-е изд., перераб. и доп. – М.: Изд-во МГТУ им. Н.Э. Баумана, 2004. – 712 с.: ил.
Теплотехника: Учебник для вузов/ В.Н. Луканин, М.Г. Шатров, Г.М. Камфер и др.; Под ред. В.Н. Луканина. – 5-е изд., стер. – М.: Высшая шк., 2006. – 617 с.: ил.
Теплотехника: Учебник для вузов/ А.П. Баскаков, Б.В. Берг, О.К. Витт и др.; Под ред. А.П. Баскакова. – 2-е изд., перераб. – М.: Энергоатомиздат, 1991. – 224 с.: ил.