Внутренние силы и напряжения, возникающие в поперечных сечениях бруса при растяжении и сжатии
МИНИСТЕРСТВО ОБРАЗОВАНИЯ И НАУКИ УКРАИНЫ
ПОЛТАВСКИЙ НАЦИОНАЛЬНЫЙ ТЕХНИЧЕСКИЙ УНИВЕРСИТЕТ им. Ю. Кондратюка
РЕФЕРАТ
ТЕМА: Внутренние силы и напряжения, возникающие в поперечных сечениях бруса при растяжении и сжатии
Выполнила: студентка V курса
Группа ЕФ145
Михайлова Виктория
Полтава 2009
Под растяжением, понимается такой вид нагружения, при котором в поперечных сечениях бруса (стержня) возникают только нормальные силы, а все прочие внутренние силовые факторы (поперечные силы, крутящий и изгибающий моменты) равны нулю.

Обычным является растяжение стержня силами, приложенными к его концам. Передача усилий к стержню может быть осуществлена различными способами, как это показано на рис. 15. Во всех случаях, однако, система внешних сил образует равнодействующую Р, направленную вдоль оси стержня. Поэтому независимо от условий крепления растянутого стержня расчетная схема в рассматриваемых случаях оказывается единой. Она показана на рис. 15, г.
Если воспользоваться методом сечений, то становится очевидным, что во всех поперечных сечениях стержня возникают нормальные силы N, равные силе Р (рис. 16),

Сжатие отличается от растяжения, формально говоря, только знаком силы N. При растяжении нормальная сила N направлена от сечения, а при сжатии — к сечению. Таким образом, при анализе внутренних сил сохраняется единство подхода к вопросам растяжения и сжатия. Вместе с тем между этими двумя типами нагружения могут обнаружиться и качественные различия, как, например, при изучении процессов разрушения материалов или при исследовании поведения длинных и тонких стержней, для которых сжатие сопровождается, как правило, изгибом.

Рассмотрим напряжения, возникающие в поперечном сечении растянутого стержня. Нормальная сила N является равнодействующей внутренних сил в сечении (рис. 17). Естественно предположить, что для однородного стержня внутренние силы распределены по сечению равномерно. Тогда нормальное напряжение для всех точек сечения будет одним и тем же:
(1.1)
где Р — площадь поперечного сечения.
Понятно, что высказанное предположение о равномерном распределении внутренних сил в поперечном сечении справедливо лишь постольку, поскольку из рассмотрения исключаются особенности конкретно взятого стержня в связи с условиями его закрепления на концах. Здесь руководствуются правилом, которое принято называть принципом Сен-Венана, по имени известного французского ученого прошлого века. Принцип Сен-Венана является общим, но применительно к стержням он может быть сформулирован следующим образом. Особенности приложения внешних сил к растянутому стержню проявляются, как правило, на расстояниях, не превышающих характерных размеров поперечного сечения стержня. Это значит, исключение составляют тонкостенные стержни (см, гл. XI).
Что при изучении растянутого стержня достаточно принимать во внимание только равнодействующую внешних сил Р, не интересуясь особенностями приложения нагрузки. Для этого надо исключить из рассмотрения часть стержня, расположенную в зоне приложения внеших сил. На рис. 15 это как раз и показано. Отбрасывая части стержня, примыкающие к его концам, получаем единую расчетную схему (рис. 15, г), независимо от способа приложения внешних сил.

Приведенные рассуждения могут быть отнесены также и к особым участкам стержня, содержащим резкое изменение геометрических форм. Например, для ступенчатого бруса, показанного на рис. 18, следует исключить из рассмотрения зону скачкообразного перехода от одного диаметра к другому и зоны, примыкающие к отверстиям. Во всех остальных участках напряжения в поперечных сечениях будут распределены равномерно и определяются по формуле (1.1).
Для однородного, растянутого, нагруженного по концам стержня напряжения остаются постоянными как по сечению, так и по длине, т. е. сохраняются неизменными для всех точек объема, занимаемого телом. Такое напряженное состояние называется однородным. При однородном напряженном состоянии все точки тела находятся в одинаковых условиях. Понятие однородного напряженного состояния тесно связано с понятием сплошной среды. Ясно, что распределение внутренних сил в реальных условиях не может быть равномерным из-за неоднородности кристаллических зерен металла и молекулярного строения вещества. Поэтому, когда говорят о равномерном распределении внутренних сил по сечению, имеют в виду распределение без микроскопической детализации в пределах площадок, существенно превышающих размеры сечений кристаллических зерен. Сделанная оговорка относится не только к растяжению и сжатию, но и вообще ко всем другим видам нагружения, которые будут рассмотрены в дальнейшем.

При растяжении, однако, не всегда возникает однородное напряженное состояние. Так, например, у стержня с переменной площадью поперечного сечения (рис. 19, а) напряжения меняются по длине и напряженное состояние не однородно. То же самое имеет место и для стержня, нагруженного собственным весом (рис. 19, б).
Размеры
растянутого стержня меняются в зависимости
от величины приложенных сил. Если до
нагружения стержня его длина была равна
/, то после нагружения она станет
равной
(рис.
20).
Величину А называют абсолютным удлинением стержня.

Будем считать, что абсолютное удлинение и деформации связаны только с напряжениями, возникающими в стержне. В действительности имеются и другие факторы, влияющие на величину деформаций. Так, например, деформации зависят от температуры и от времени действия нагрузки. Величина неупругих деформаций зависит от «истории» нагружения, т. е. от порядка возрастания и убывания внешних сил. Пока, однако, этих вопросов мы касаться не будем.
Поскольку у нагруженного стержня (рис. 20) напряженное состояние является однородным и все участки растянутого стержня находятся в одинаковых условиях, деформация е по оси стержня остается одной и той же, равной своему среднему значению по длине l:

Эта величина называется относительным удлинением стержня.
Если бы в стержне (рис. 20) возникало неоднородное напряженное состояние, деформация в сечении А определялась бы путем предельного перехода к малому участку длиной dz и тогда

Заметим,
что вследствие равномерного распределения
напряжений по сечению удлинения для
всех элементарных отрезков аЬ
(рис. 20), взятых
на участке
,
оказываются одинаковыми. Следовательно,
если концы отрезков до
нагружения образуют плоскость, ТО и
после нагружения стержня они образуют
плоскость, но смещенную вдоль оси
стержня. Это положение может быть взято
в основу толкования механизма растяжения
и сжатия и трактуется как гипотеза
плоских сечений (гипотеза
Бернулли). Если эту гипотезу принять
как основную, то тогда из нее, уже как
следствие, вытекает высказанное ранее
предположение о равномерности
распределения напряжений в поперечном
сечении.
В пределах малых удлинений для подавляющего большинства материалов справедлив закон Гука, который устанавливает прямую пропорциональность междунапряжениями и деформациями:

Величина Е представляет собой коэффициент пропорциональности, называемый модулем упругости первого рода. Модуль упругости является физической, константой материала и определяется путем эксперимента. Величина Е измеряется в тех же единицах, что и а, т. е. в кГ/см2. Для наиболее часто применяемых материалов модуль упругости имеет следующие значения в кГ/см2:
0100090000032a0200000200a20100000000a201000026060f003a03574d4643010000000000010000540000000001000000180300000000000018030000010000006c0000000000000000000000350000006f00000000000000000000003e260000c908000020454d460000010018030000120000000200000000000000000000000000000061130000681b0000d2000000290100000000000000000000000000005034030028880400160000000c000000180000000a00000010000000000000000000000009000000100000000909000015020000250000000c0000000e000080250000000c0000000e000080120000000c00000001000000520000007001000001000000a4ffffff00000000000000000000000090010000000000cc04400022430061006c006900620072006900000000000000000000000000000000000000000000000000000000000000000000000000000000000000000000000000000000001100b0ae11001000000014b2110094af11005251603214b211000caf1100100000007cb01100f8b111002451603214b211000caf11002000000049642f310caf110014b2110020000000ffffffff6c0ad800d0642f31ffffffffffff0180ffff0180efff0180ffffffff0000000000080000000800004300000001000000000000005802000025000000372e9001cc00020f0502020204030204ef0200a07b20004000000000000000009f00000000000000430061006c006900620072000000000000000000d4af1100dee32e31e88d083234b3110040af11009c38273106000000010000007caf11007caf1100e878253106000000a4af11006c0ad8006476000800000000250000000c00000001000000250000000c00000001000000250000000c00000001000000180000000c0000000000000254000000540000000000000000000000350000006f00000001000000e1748740397687400000000057000000010000004c0000000400000000000000000000000909000013020000500000002000b8a03600000046000000280000001c0000004744494302000000ffffffffffffffff0a09000015020000000000004600000014000000080000004744494303000000250000000c0000000e000080250000000c0000000e0000800e000000140000000000000010000000140000000400000003010800050000000b0200000000050000000c0248003901040000002e0118001c000000fb020200010000000000bc02000000cc0102022253797374656d0000000000000000000000000000000000000000000000000000040000002d010000040000002d01000004000000020101001c000000fb02f4ff0000000000009001000000cc0440002243616c6962726900000000000000000000000000000000000000000000000000040000002d010100040000002d010100040000002d010100050000000902000000020d000000320a0c00000001000400000000003901480020af0700040000002d010000040000002d010000030000000000
Закон Гука является приближенным. Для некоторых материалов, таких, как, например, сталь, он соблюдается с большой степенью точности в широких пределах изменения напряжений. В некоторых же случаях наблюдаются заметные отклонения от закона Гука. Например, для чугуна и некоторых строительных материалов даже при малых напряжениях закон Гука может быть принят только в грубом приближении. В тех случаях, когда закон Гука явно не соблюдается, деформацию задают в виде некоторой нелинейной функции от напряжения

с таким расчетом, чтобы эта функция отвечала кривой, полученной из испытания материала.
Вернемся к выражению (1.4) и заменим
в нем о на
,
а е на
Тогда
получим

Абсолютное удлинение стержня на длине l будет равно

В том случае, когда стержень нагружен только по концам, нормальная сила N = Р не зависит от г. Если, кроме того, стержень имеет постоянные размеры поперечного сечения Р, то из выражения (1.5) получаем

При
решении многих практических задач
возникает необходимость наряду с
удлинениями, обусловленными напряжением
учитывать также удлинения, связанные
с температурным воздействием. В этом
случае пользуются способом наложения
и деформацию е рассматривают как сумму
силовой деформации и чисто температурной
деформации:

где а — коэффициент температурного расширения материала.
Для однородного стержня, нагруженного по концам и равномерно нагретого, получаем, очевидно,

Таким
образом, силовая и температурная
деформации рассматриваются как
независимые. Основанием к этому служит
экспериментально установленный факт,
что модуль упругости Е при
умеренном нагреве слабо меняется с
температурой, точно так же как и величина
а практически не зависит от напряжения
Для
стали это имеет место до температуры
порядка 300—400° С. При более высоких
температурах необходимо учитывать
зависимость
Рассмотрим примеры определения напряжений и перемещений в некоторых простейших случаях растяжения и сжатия.
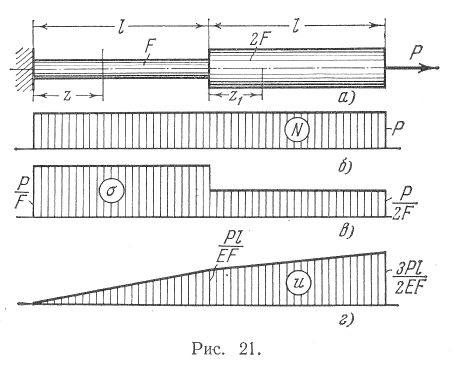
Пример
1.1. Требуется выявить закон изменения
нормальных сил, напряжений и перемещений
по длине ступенчатого стержня, нагруженного
на конце силой Р (рис.
21, а), определить
числовые значения наибольшего напряжения
и наибольшего перемещения, если
Материал
— сталь,
Поскольку сила Р
велика, собственный вес
стержня не имеет значения.
Из
условий равновесия любой отсеченной
части стержня вытекает, что нормальная
сила N в каждом
сечении стержня численно равна внешней
силе Р. Построим
график изменения силы N
вдоль оси стержня. Графики
подобного рода называются
в сопротивлении материалов эпюрами.
Они Дают наглядное
представление о законах изменения
различных исследуемых величин. В данном
случае эпюра
нормальной силы представлена на рис.
21, б прямоугольником, поскольку
На
рисунке эпюра N заштрихована
линиями, которые проведены в направлении
откладываемой на графике величины N.
В данном случае значение
силы N откладывается
вверх, следовательно, штриховка проведена
Вертикально.

Для того чтобы получить эпюру напряжений 0, надо ординаты эпюры N изменить обратно пропорционально величине Р (рис. 21, е). Большее значение о равно

Определим,
на какую величину и (см)
переместится каждое сечение
стержня по направлению силы Р.
Перемещение
сечения
равно удлинению отрезка
Длиной
Следовательно, согласно формуле (1.6)

Таким
образом, на участке изменения
перемещение и пропорционально
г (рис. 21, г).
На втором участке стержня
перемещение равно

Зависимость
также
будет линейной. Наибольшее перемещение
имеет торцевое сечение стержня

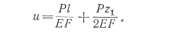
Пример
1.2. Построить эпюры нормальных сил,
напряжений и перемещений для свободно
подвешенного цилиндрического стержня,
нагруженного силами собственного веса
(рис. 22). Длина стержня
площадь поперечного сечения Р,
удельный вес материала
Нормальная
сила в сечении
равна
весу нижележащей части стержня:
Следовательно, нормальная сила
пропорциональна
Эпюра.
А в данном случае штрихуется горизонтальными
линиями, поскольку величины N
откладываются в горизонтальном
направлении. Напряжение в сечении равно
(см. эпюру на рис. 22).

Перемещение
и в сечении г
равно удлинению верхнего участка
стержня.По формуле (1
.5).
Таким образом, закон изменения и
изображается квадратичной
функцией
Наибольшее перемещение
имеет нижнее торцевое сечение

Пример1.3.
Колонна (рис.23) нагружена силой Р

Такими
силами собственного веса. Требуется
подобрать такой закон изменения площади
поперечного сечения
чтобы напряжения во всех сечениях были
одинаковы и равны
Построить
эпюры нормальных сил, напряжений и
перемещений.
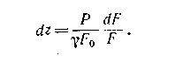
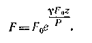
На расстоянии г от торца нормальная сжимающая сила N равна

По условию задачи

откуда
Дифференцируя
обе часта этого равенства
по г, получим
Или

После интегрирования находим

или
При
следовательно,
и
тогда искомый закон изменения
площади
Г принимает
вид
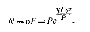
Построение эпюр удобнее всего начинать с эпюры напряжения а, которое вдоль оси колонны по условию не меняется (рис. 23). Поскольку напряжение постоянно, то постоянным будет и относительное удлинение е. Поэтому перемещение и возрастает пропорционально расстоянию от основания колонны.
Нормальная
сила в сечении
равна

Эпюра Л показана на рис. 2.3.
Рассмотренная задача относится к числу часто встречающихся в сопротивлении материалов задач на отыскание условий равнопрочное™. Если напряжение в некотором теле (в данном случае в колонне) будет постоянно для всех точек объёма, такую конструкцию называют равнопрочной. В подобных конструкциях материал используется наиболее эффективно.

Пример 1.4. Кронштейн АВС
нагружен на конце силой Р
(рис. 24). Требуется подобрать
поперечное сечение стержней А
В и ВС с
таким расчетом, чтобы возникающие в них
напряжения имели одинаковую заданную
величину а. При
этом угол
должен
быть выбран из условия минимального
веса конструкции при заданном
вылете кронштейна
Из условий равновесия узла В (рис. 24) находим нормальные силы в стержнях:

Далее определяем площади поперечного сечения стержней по величине заданного напряжения о:

Вес конструкции кронштейна пропорционален объему

Подставляя длины и площади стержней, находим

Величина V имеет минимум при

Использованная литература
1. Феодосьев В. И. Сопротивление материалов. – 8-е изд., стереотип – М.:
Наука. Главная редакция физико –математической литературы, 1979. – 560 с.