Вітаміноподібні сполуки
Міністерство Освіти і Науки України
Національний Університет Харчових Технологій
Кафедра біотехнології мікробного синтезу
Реферат
на тему:«Вітаміноподібні сполуки»
Виконали:
студентки БТЕК-4-4
Шитлюк О.В.
Штиволока М.М.
Перевірила:
Антонюк М.М.
Київ НУХТ 2008
Зміст
Вступ
1. Інозит
2. Карнітин
3. Ліпоєва кислота
4. Параамінобензойна кислота
5. Біофлавоноїди
6.Холін
7. Пангамова кислота
8. Оротова кислота
9. Коензим Q
10. S-метилметионін
Висновок
Список літератури
Вступ
Основні вітаміни були відкриті ще в першій половині ХХ століття. І ому історично саме за цими речовинами закріпилася назва "вітаміни". Проте з тієї пори вчені різних країн відкрили ще декілька десятків речовин з вітаміноподібною дією, які за своїми властивостями близькі до вітамінів, але такими не є. Багато які з цих речовин виявилися такими же незамінними для організму людини, як і самі вітаміни. Тому вони і були названі вітаміноподібними речовинами.
Вітаміноподібні речовини - з'єднання, активність яких проявляється в малих дозах, в порівнянні з дозами вітамінів, але все-таки значно перевищують дози останніх. Більшість з них здатні синтезуватися в тканинах людини і можуть входити до складу цих тканин як структурні компоненти. На відміну від вітамінів, вони не є строго незамінними факторами харчування, а їхній дефіцит, як правило, не супроводжується специфічними симптомами. З деякими з цих сполук ми вже зустрічалися раніше. Це ті, що або беруть участь у реалізації біологічної дії певних вітамінів (як ліпоєва кислота, холін та коензим Q), або (як параамінобензойна кислота для вітаміну В>5>) є структурними компонентами вітаміну. Деякі вітаміноподібні сполуки виявляються добрими донорами метильних груп, дефіцит яких часто стає причиною патологічних змін в організмі людини, а підвищення їхньої доступності покращує стан. До останніх належать (крім вже згаданого холіну) такі сполуки, як карнітин, пангамова кислота, вітамін U.
Всі вони володіють невеликою анаболітичною дією. Вони володіють відносною нешкідливістю та низькою токсичністю, тому їх можна приймати тривалий проміжок часу як додаткові засоби до базисної терапії "великими" анаболиками. Оскільки для більшості вітаміноподібних сполук характерна дуже складна структура, вони можуть використовуватися виключно в природній формі, тобто у вигляді рослинних екстрактів. Це стримує їх широке застосування у складі звичайних вітаміно-мінеральних препаратів. А крім того, вітаміноподібні сполуки значно підсилюють профілактичну активність вітамінів і мікроелементів. В даний час до вітаміноподібних речовин відносять близько 10 сполук: пангамову кислоту (вітамін В>15>), параамінобензойну кислоту (вітамін В>10>), холін (вітамін В>4>), інозитол (вітамін В>8>), S-метилметионін (вітамін U), ортову кислоту (вітамін В>13>), карнітин (вітамін Т), коензим Q (убіхінон) (іноді до них відносять поліненасичені омега - 3 і омега - 6 жирні кислоти).
Вітаміноподібні сполуки можна розділити залежно від рейтинга потреб:
|
Речовина |
Синонім |
Од |
Адекватний рівень |
Верхній допустимий рівень |
|
Інозит |
Вітамін B>8> |
мг |
500 |
1500 |
|
Холін |
Вітамін В>4> |
мг |
500 |
1000 |
|
L-Карнітин |
Вітамін Вт |
мг |
300 |
900 |
|
Оротова кислота |
Вітамін В>13> |
мг |
300 |
900 |
|
Метилметионінсульфат |
Вітамін U |
мг |
200 |
500 |
|
Параамінобензойна кислота |
Вітамін H>1> |
мг |
100 |
300 |
|
Біофлавоноїди |
Вітамін Р |
мг |
85 |
120 |
|
Убіхінон |
Коензим Q10 |
мг |
30* |
90 |
|
Ліпоева кислота |
Вітамін N |
мг |
30 |
70 |
|
Пангамова кислота |
Вітамін B>15> |
мг |
2,0 |
|
* - добова потреба К Q10 від 40 до 140 MГ, з їжею поступає від 5 до 15 міліграма
1. Інозит
Інозитол (інозит, вітамін В>8>) — необхідний для нормального розвитку і життєдіяльності ссавців. В організмі інозит використовується для синтезу фосфогліцеридів, а саме — фосфатидилінозитолу.
Це шестиатомний циклічний спирт, похідне циклогексану, дуже розповсюджений у тваринному і рослинному світі. Він входить до складу рослин переважно у вигляді фосфорних ефірів, зокрема, фітину, що утворюється внаслідок циклізації молекули глюкози. Фітин є сумішшю кальцієвих і магнієвих солей гексозофосфорного ефіру інозитолу. З дев'яти можливих стереоізомерів інозитолу біологічну активність має лише мезо-інозітол (міо-інозитол) — препарат, що вперше був виділений з м'язів. Властивостями вітаміну володіє фітин - сіль інозитфосфорної кислоти.
Інозит в організмі приймє участь в обміні фосфатів. Виділена ціла група інозитфосфатів. Фізіологічна дія цих речовин обумовлена наявністю в молекулі двух біологічно активних компонентів – фосфора та інозита. Інозитфосфат може утворюватись в організмі за участю АТФ, цитидінтрифосфату та цитидінмонофосфату. Показано, що фосфорильовані форми інозиту можуть бути посередниками у внутрішньоклітинній, міжклітинній передачі інформації, в реалізації дії деяких гормонів.
Температура плавлення інозита 225º, кристали розчинні у воді (10-14 г у 100 г). Вітамін стійкий до дії кислот та лугів, при нагріванні частково руйнується (до 60%).
Інозит та його похідні беруть участь в обміні вуглеводів, в метаболізмі пуринів, в біосинтезі фосфоліпідів, впливають на холестериновий обмін, призводячи до зниженню рівня холестерину в сиворотці крові. Він присутній в усіх тканинах організму людини та має здатність накопичуватися в деяких органах у великих кількостях. У спинному і головному мозку, а також в околомозковій рідині це біоактивна речовина зберігається в дуже великій концентрації – вчетверо більшою, ніж в крові. Таким чином природа створює резервні запаси на випадок, якщо в результаті стресу нам знадобиться велика кількість цієї цінної речовини.
Цей вітамін необхідний також для відтворення сперматозоїдів. У 100 грамах спермии міститься 53 міліграми інозитолу. Дефіцит цієї речовини може привести до безпліддя.
У людини недолік інозитолу, практично, не спостерігається. Дефіцит інозиту досліджувався на піддослідних тваринах. Він проявлявся послабленням процесів фосфорилювання, зменшенням використання глюкози в аеробних умовах, заторможенням інтенсивності дихання. У піддослідних тварин, в дієті яких був відсутній інозит, затримується ріст, порушується рухова функція ШКТ, зменшується лактація. Експерементальні дані також вказують на значення інозиту в функції статевих залоз.
У медицині він використовується як лінотропний фактор для лікування м'язової дистрофії. Також входить до складу лікувальних препаратів для підтримки росту волосся. Бере участь в регуляції рухової функції шлунку і кишок, підтримує нормальний функціональний стан нервової системи, стимулює ріст деяких бактерій в кишках, бере участь в профілактиці ожиріння та цукрового діабету.
Додатковим джерелом інозиту є його синтез в кишечнику. Сульфаніламіди та деякі інші лікарські речовини можуть пригнічувати його утворення.
Виведення інозиту з сечею невелике (12 мг на добу). Воно різко зростає при сахарному діабеті та хронічному нефриті. Злежність виведення інозиту з сечею від його вмісту в раціоні не спостерігається.
Джерелом інозитолу є м'ясні продукти, нирки, мозок, печінка, дріжджі. Він міститься в молоці, хлібі, картоплі, яйцях, овочах, фруктах (цитрусові, фініки, інжир), ягодах (агрус, ожина, малина), грибах, злаках; у продуктах рослинного походження інозит зустрічається у вигляді фітину. Потреба людини в інозитолі складає 1-1,5 г або 20 мг на 1 кг маси тіла на добу.
Вміст інозиту в деяких продуктах (в мг/%):
пшеничні зародки – 700-900 мг/%;
пшениця – 170-250 мг/%;
апельсин – 140-250 мг/%;
зелений горошок – 150-240 мг/%;
диня – 140 мг/%;
морква – 95 мг/%;
персики – 95 мг/%;
цвітна капуста – 95 мг/%;
полуниця – 60 мг/%;
помідори – 45-60 мг/%;
м'ясо (куряче, свинина, телятина) – 39-50 мг/%;
яйця – 33-50 мг/%;
сир – 24 мг/%;
молоко – 18 мг/%;
риба – 17 мг/%.
2. Карнітин
Карнітин (L-карнітин) — раніше розглядався як вітамін і до розшифровки хімічної структури позначався як "вітамін В>т>". Цей термін іноді використовується і в сучасній літературі. L-карнітин потрібен для забезпечення нормального обміну жирних кислот. Жирні кислоти, так само як і глюкоза, є найважливішим джерелом енергії в тканинах людини. Вони окислюються з вивільненням великої кількості метаболічної енергії у спеціалізованих клітинних "силових станціях" — мітохондріях. Однак жирні кислоти не можуть самостійно проникнути із цитоплазми в мітохондрії, і L-карнітин виступає у якості переносника комплексів жирних кислот з коферментом А (ацил-КоА) через мембрану мітохондрій. Крім того, карнітин, в молекулі якого при атомі азоту міститься три метильні групи, може брати участь у реакціях трансметилювання. Його терапевтичний ефект в організмі людей та тварин пов'язаний, частково, з його здібністю виступати донором метильних груп.
Карнітин вперше був вилучений російським вченим В.С. Рулевичем із м'ясного екстракту, що і визначило його назву (від лат. саrпіs — м'ясо). За будовою молекули ця речовина має багато спільного з холіном. Карнітин є β-окси-γ-триметиламіномасляною кислотою:


(CH3)3N+ —СН2—СН(ОН)—СН2—СОО)
В організмі людей і тварин карнітин синтезується в досить великій кількості із глютамінової кислоти, тому ця сполука не може бути віднесена до вітамінів.
Структурні ізомери карнітину

Активною формою карнітину є його L-ізомер. Тому його часто називають L-карнітином. Він утворюється в печінці і нирках з незамінних амінокислот лізину і метіоніну. Особливо високий його вміст в тих живих тканинах, де найбільш інтенсивні енерговитрати, наприклад, в м’язах. Це пов'язано з тим, що карнітин є переносником активованих жирних кислот через внутрішню мембрану мітохондрій. В мітохондріях жирні кислоти окиснюються. В результаті реакцій окиснення вивільняється енергія, необхідна для здійснення будь-яких процесів в організмі.
Карнітинова недостатність характеризується різноманітними проявами і поділяється на первинну і вторинну. Первинна карнітинова недостатність пов'язаназ генетично обумовленим порушенням транспорту карнітина в клітини. Вторинна недостатність спричиняється великою групою спадкових і придбаних захворювань. Для корекції первинної і вторинної карнітиносої недостатності ефективно використовується L-карпітин і його похідне — ацетил-L-карнітин, синтезовані хімічним шляхом.
На сьогодні L-карнітин є найбільш дослідженою біологічно активною добавкою до їжі (БАД), яка офіційно дозволена до вживання в США, Японії, країнах Європи. Протягом багатьох років L-карнітин добре знають спортсмени вищої кваліфікації багатьох країн. Він сприяє високій працездатності спортсмена та її відновленню після екстремальних навантажень. Ацетил-L-карнітин поліпшує функції мозку, значною мірою сповільнює процеси старіння, що обумовлені мітохондріальними порушеннями, і поліпшує якість життя у похилому віці. Добова потреба в карнітині складає приблизно 0,51,0 г.
Більшість з нас споживають близько 30–50 міліграма карнитина в день, що навряд чи можна назвати оптимальною кількістю. Хоча найбагатше і краще джерело карнитина – це яловичина (курятина, риба, яйця і молоко містять його в менших кількостях), ми не можемо покладатися просто на те, щоб є більше червоного м'яса. Їжа з високим вмістом білка і жиру стимулює виведення карнитина з організму.
У профілактичних цілях, щоб компенсувати цей недолік карнитина, слід щодня приймати мінімум 500–1000 міліграм добавки.
Щоб підтримати власний синтез карнитина в організмі, обов'язково приймайте додаткові кількості вітаміну С, лізину, метіоніну, заліза, вітаміну B>3> і вітаміну B>6> .
Карнітін міститься в більшості харчових продуктів, як тваринного, так і рослинного походження. Нормальний рівень концентрації карнітину в організмі забезпечується взаємопов’язаними процесами: його нормальним ендогенним синтезом з незамінних амінокислот лізину і метіоніну, його всмоктуванням з тонкої кишки, виведенням надлишку карнитіну з сечею і його реабсорбцією в нирках.
Після серцевого нападу ( інфаркту міокарду ) вельми вірогідні декілька ускладнень, зокрема болі в грудях ( стенокардія ), порушення серцевого ритму ( аритмії серця ) і серцева недостатність. Як показали клінічні дослідження, щоденний прийом 2 г карнитина протягом чотирьох тижнів удвічі скорочує кількість випадків таких ускладнень. Це кращі результати, ніж ті, що досягаються при використанні стандартної лікарської терапії. Проте показано, що прийом 900 міліграм карнитина в день покращував здоров'я групи пацієнтів із застійною серцевою недостатністю, значно підвищуючи їх рівень енергії і здатність займатися вправами.
Кожен, хто приймає карнитин, отримає від цієї амінокислоти заряд енергії, оскільки вона також допомагає перетворенню жирових тканин тіла на легко доступне паливо і підвищує рівні деяких ферментів, необхідних для переробки сахаров, крохмалів і інших вуглеводів . Неважливо, чи тренуєтеся ви час від часу або постійно, компенсація більшої втрати карнитина в результаті фізичної діяльності підвищує вашу витривалість і знижує накопичення молочної кислоти – побічного продукту фізичних зусиль, відповідального за відчуття «паління» в м'язах. Як підтвердило одне дослідження, це може дозволити таким, що вправляється «безболісно досягати успіхів». Крім того, карнитин очищає кровотік від аміаку і допомагає виробленню глікогену – речовини, у вигляді якої організм запасає глюкозу . Навіть марафонці можуть підвищити свою витривалість за допомогою карнитина. Щоденний прийом 2 г карнитина підвищував їх показники на тренажері майже на 6% – достатньо, щоб перетворити «просто учасника» в чемпіона.
Карнітін також може бути дуже важливою живильною речовиною для захисту дітей від синдрому Райса.
Люди із зниженою функцією щитовидної залози (гипотиреозом) потребують карнитине, оскільки він може допомогти їм справлятися із занепадом сил і тенденцією до набору ваги.
Добавки карнитина будуть корисні будь-якому, хто страждає на важке дегенеративне захворювання, на зразок раку або СНІДУ. Це живильна речовина грає ключову роль в запобіганні атрофії м'язів.
Інші опубліковані дослідження припускають, що карнитин може мати певну цінність при лікуванні діабету, гіпертонії, хвороб печінки і розладів імунної системи. Він також може захищати печінку від алкоголю і інших небезпек.
Частково лікарі Центра Аткинса так часто прописують карнитин тому, що він – судячи по нашому досвіду – є живильною речовиною, яка, ймовірно, здатна долати те, що отруює життя багатьом послідовникам дієт, – метаболічну опірність схудненню. Карнітін необхідний для використання жиру як паливо.
3. Ліпоєва кислота
Ліпоєва кислота - вона являє собою циклічний дисульфід, що має наступну будову.
CH>2> O
H
>2>C
CH – CH>2>
– CH>2>
– CH>2>
– CH>2>
– C
OH
S S
Ліпоєва кислота (вітамін N) раніше як один із коферментів мультиензимних комплексів, що здійснюють окислювальне декарбоксилування ά-кетокислот.
Це єдина (відома сьогодні) специфічна біохімічна функція ліпоєвої кислоти в обміні речовин.
Ліпоєва кислота є восьмивуглецевою органічною кислотою, яка містить дисульфідний місток між 6-м і 8-м, відповідно, її хімічна назва — 6,8-димеркаптооктанова або 6,8-тіоктова кислота. Синтетично отримана ά-ліпоєва кислота являє собою суміш право- та лівообертаючих ізомерів, із яких тільки перший має біологічну активність.
Ізольований
із природних джерел ізомер кристалізується
(із гексану) у вигляді жовтих пластівців,
температура плавлення 47,5 °С. Ліпоєва
кислота помірно розчинна у воді і добре
— в більшості органічних розчинників,
має характерний пік поглинання при 335
нм. Вона легко відновлюється з утворенням
дигідроліпоєвої кислоти згідно нижче
приведеної схеми:
Крім специфічної коферментної дії ліпоєва кислота спричиняє безліч неспецифічних метаболічних ефектів завдяки високої реакційної активності обох атомів сірки, що входять до її молекули. Окислювально-відновлювальні реакції, в яких бере участь ліпоєва кислота як неспецифічний агент, зокрема, як антиоксидант, стосуються переважно тіолдисульфідних перетворень активних груп найрізноманітніших білків, в тому числі й ферментних. Саме цим можна пояснити численні її терапевтичні ефекти. Є сильним відновником, запобігає швидкому окисленню вітамін Е, тобто підтримує його високий рівень.
Ліпоєва кислота виділена з дріжджів і тканин печінки. Бере участь в окислювальному декарбоксилировании піровиноградної кислоти і кетокислот, регуляції вуглеводного і жирового обміну, впливає на обмін холестерину, володіє ліпотропною дією, сприяє знешкодженню в організмі солей важких металів і інших отрут.
Для людини симптомів дефіциту ліпоєвої кислоти не встановлено. Вона широко розповсюджена в природі та синтезується мікрофлорою кишечника. В продуктах харчування ліпоєва кислота міститься переважно у зв'язаному з білками стані. Найбільш багатими на ліпоєву кислоту є дріжджі, м'ясні продукти та молоко. Орієнтовна добова потреба складає 1,0—2,5 мг.
Для застосування в медичній практиці її отримують синтетичним шляхом, найбільш розповсюдженою лікарською формою є ліпоамід. Ліпоєва кислота малотоксична. Через виявлену антиоксидантну активність вона широко використовується в медицині з метою профілактики і лікування в комплексній терапії коронарного атеросклерозу, захворювань печінки (хвороба Боткіна, хронічний гепатит, цироз печінки), діабетичних поліневритах, при променевій хворобі, інтоксикації різноманітного походження.
4. Параамінобензойна кислота
Історія відкриття і вивчення параамінобензойної кислоти як необхідного чинника розмноження мікроорганізмів тісно пов'язана з розвитком хіміотерапії, зокрема з початком практичного застосування сульфаніламідних препаратів. Рістстимулюючий чинник був виділений з екстрактів дріжджів в чистому вигляді і ідентифікований з парааміно-бензойної кислоти, яка має молекулярну масу 137,06 та наступну будову:

NH>2> COOH
Два структурних аналоги папаамінобензойної кислоти з розміщенням радикалів в орто- та мета положеннях біологічно неактивні.
Параамінбензойна кислота являється складовою фолієвої кислоти (В>с>), разом з якою утворює коферменти необхідні для синтезу нуклеїнових кислот, метіоніна, інших біологічно активних речовин. Тому в організмі людини параамінобензойна кислота (як компонент фолієвої кислоти) бере участь у всіх тих реакціях метаболізму, в яких необхідна фолієва кислота. Антимікробна дія сульфаніламідних препаратів заснована на їхній властивості включатися замість ПАБК (через подібність) у структуру фолієвої кислоти. Це приводить до блокади синтезу ДНК і, відповідно, до блокування можливості клітин мікроорганізмів ділитися. Крім цього, оскільки ПАБК має здатність активувати тирозиназу — ключовий фермент біосинтезу меланинів шкіри, то вона необхідна для нормальної пігментації волосся і шкіри.Параамінобензойная кислота альмує активність адреналіну, тироксина, володіє антигістамінним ефектом, грає роль в синтезі фолацину, пуринів, амінокислот.
Іноді її називають вітамін Bx, або «вітамін В>10>», або «вітамін Н>1>»
В рослинах і тваринних тканинах пара-амінбензойна кислота головним чином зв’язана з білками, поліпептидами та амінокислотами, а також міститься в вигляді ацетильного похідного.
Параамінобензойна кислота є кристалічною речовиною, погано розчиняється у воді, добре – в спирті та ефірі. Хімічно стійка, вона не руйнується при автоклавуванні, витримує кип'ятіння в кислому і лужному середовищах. Має точку плавлення 186-187°. У параамінобензойній кислоті мають потребу, окрім мікроорганізмів (хоча деякі з них, наприклад мікобактерії туберкульозу, здатні самі синтезувати її) також тварини. Доведено, що парааінобензойна кислота необхідна для нормального процесу пігментації волосся, шерсті, пір'я і шкіри. У організмі людини цю речовину підтримує баланс кишкової мікрофлори і бере участь у виробництві червоних кров'яних тілець. Виявлений антигістамінний ефект ПАБК, стимулююча дія на ЦНС. Показаний також активуючий вплив цього вітамину на дію тирозинази – ключового фермента при біосинтезі меланіну шкіри, що визначають її нормальне забарвлення.
Ознаки дефіциту і надлишку параамінобензойної кислоти в організмі людини схожі з ознаками дефіциту і надлишку фолієвої кислоти.
Після надходження в організм з їжею парамінобензойна кислота пасивно всмоктується головним чином в тонкій кишці і потрапляє в кров і далі відповідно в печінку. Тут вона бере участь в метаболізмі. Надлишок параамінобензойної кислоти і кінцеві продукти її метаболізму виводяться головним чином з сечею. Невеликі її кількості виводяться з іншими екскретами: жовчю, калом, потом, молоком.
Точні відомості про потреби організму в параамінобензойній кислоті відсутні. Концентрація ПАБК у крові людини складає від 2 до 70 мкг.
Параамінобензойная кислота міститься практично у всіх продуктах харчування. Найбільш багаті нею: печінка, нирки, м'ясо, молоко, яйця, дріжджі, гриби, шпинат.
Вміст параамінобензойної кислоти в деяких продуктах харчування (в мкг на 100 г продукту):
дріжджі пивні – 0,9-5,9 мкг;
яйця – 0,04 мкг;
картопля – 0,04 мкг;
овочі – 0,02 мкг;
молоко – 0,01 мкг.
Фармакологічним препаратом, що містить параамінобензойну кислоту, є її калієва сіль. У медицині ПАБК застосовують у вигляді 15% мазі при сонячних опіках, використовується в фармацевтичній промисловості при синтезі місцево анестезуючих засобів.
ПАБК також бере участь в процесах пігментації волосся і шкіри. Недостатність ПАБК викликає раннє посивіння волосся. Під впливом ультрафіолетових променів ПАБК піддається фотохімічним перетворенням, які приводять до синтезу речовин, стимулюючих утворення пігменту (меланіну), що забарвлює шкіру в темний колір «загару». Володіючи здатністю поглинати ультрафіолетові промені, як активний початок входить до складу багатьох засобів, що оберігають шкіру від сонячних опіків, причому цей захисний ефект посилюється в композиції з такими сонцезахисними засобами, як алое Вера, масло жожоба, екстракт кори білої верби . З урахуванням виражених УФ-протекторних властивостей ПАБК активно використовується в шампунях і кондиціонерах для волосся. Існує думка, що похідні ПАБК відновлюють пігментацію волосся, втрачену в процесі стресу . Успішно використовується при лікуванні вітиліго.
5. Біофлавоноїди
ВІТАМІН Р (біофлавоноїди, фактор проникності капілярів) займає особливе місце серед групи вітаміноподібних сполук. Група сполук, що об'єднуються під цією назвою, не синтезуються ні в тканинах тварин, ні кишковою мікрофлорою, вони синтезуються виключно в клітинах рослин. До недавнього часу вітамін Р зараховували до класичних вітамінів, але, згідно сучасної класифікації, його віднесено до вітаміноподібних сполук. Історія відкриття цього "вітаміну", так само як і вітаміну С, пов'язана з ім'ям угорсько-американського біохіміка Сент-Дьордьї. Коли вчений виділив кристалічний вітамін С із плодів перцю і здійснив ретельне фізіологічне дослідження, він зустрівся з цікавим фактом. Виявилося, що чистий вітамін С, звільнений від супутніх речовин, мав чудову антицинготну профілактичну дію, але при його використанні в лікуванні цинги спостерігалася деяка однобічність. Аскорбінова кислота усувала багато неприємних симптомів захворювання, повертаючи втрачену бадьорість хворому організму, але червоні висипки на тілі, що виникали внаслідок численних крововиливів, не зникали. Ніякі дози вітаміну С не могли вплинути на проникність дрібних кровоносних капілярів, порушених цингою. У той же час настої та відвари з рослинної сировини, що містить вітамін С, усували згаданий симптом. Сент-Дьордьї переконався в цьому, застосувавши для лікування піддослідних тварин водяні витяги з плодів перцю і лимона. Це незвичайне явище учений зумів правильно розтлумачити. Він вирішив, що в плодах перцю і лимона, а можливо, і в інших рослинних продуктах, міститься ще якийсь вітамін, відмінний від вітаміну С, але необхідний разом з ним для повного лікування цинги. Щоб знайти гіпотетичний вітамін, Сент-Дьордьї піддав концентрати з плодів лимона фракційній екстракції: підібравши відповідні розчинники та умови екстракції, розділив речовини, що містяться в лимоні, на декілька фракцій. Кожна з отриманих фракцій випробовувалася на здатність разом з вітаміном С повністю виліковувати цингу у піддослідних тварин. Коли черга дійшла до фракції, що містила пігментні речовини плоду лимона, загадка нового вітаміну була вирішена. Фракція флавоноїдів (так називали хіміки пігменти лимона) сприяла повному виліковуванню цинги. За спільною згодою всіх співробітників, що брали участь у цих дослідженнях, Сент-Дьордьї назвав вітамін, який доповнював дію аскорбінової кислоти, вітаміном Р (лат. реrтеаbiliti, що означає "проникати"). Минуло багато часу, поки із плодів лимона було отримано блідо-жовтий кристалічний порошок, який містив речовину, що отримала назву "цитрулін". Доведено, що вітамін Р має свою капілярозміцнюючу дію тільки при наявності вітаміну С.
Кінець-кінцем було визначено, що основою екстрактів із лимонів та інших рослин є сполуки флавоноїдної природи. Надалі було з'ясовано, що аналогічні капілярозміцнюючі властивості мають кумарини, катехіни і деякі фенолкарбонові кислоти. Це стало підставою для введення терміну "біофлавоноїди". В основі молекул флавоноїдів лежить дифенілпропіоновий скелет, що складається із 15 атомів вуглецю за зразком С>6>—С>3>—С>6>, де ароматичні групи з'єднані трьохвуглецевим аліфатичним фрагментом.

Розмаїтість природних фенольних сполук пов'язана з тим, що атоми водню в молекулі флавоноїдів заміщуються оксигрупами, а ті в свою чергу поєднуються з метилом або залишком сахарів, частіше всього це глюкоза, рамноза, рамноглюкоза та інші. В наш час число відомих біофлавінів сягає 2000.
Більшість флавоноїдів — малотоксичні речовини, які легко засвоюються зі шлунка кишкового тракту і швидко окислюються. Разом з вітаміном С вони беруть участь в окислювально-відноплювальних процесах, гальмують дію гіалуронідази, виявляють антиоксидантні властивості та захищають від окислення аскорбінову кислоту (вітамін С) і адреналін. Недостатнє надходження вітаміну Р в організм людей і тварин приводить до підвищення ламкості стінок кровоносних судин, проникності капілярів і крововиливів.
Сполуки з Р-вітамінними властивостями, розповсюджені в природі, містяться в тих самих продуктах, що і вітамін С. У фармації виробляють індивідуальні препарати кверцетину, рутину, катехіну та комбіновані препарати вітаміну Р і С замість індивідуальних. Виробляють цитрин із відходів переробки лимонів; кверцетин та його глюкозид (рутин) одержують із зеленої маси гречки; катехіни — з чайних листків. У колишньому Радянському Союзі дослідження катехінів із чаю проводились під керівництвом академіка А.А. Курсанова. Вчені розробили і втілили у виробництво технологію одержання катехінів із відходів чайного виробництва.
Біофлавоноїди широко розповсюджені у рослинному світі, часто у вигляді жовтих пігментів у листках, плодах і ягодах. Вони входять також до складу барвників багатьох квітів, коренів і стебел рослин. Частіше вони розчинені в клітинному соці, рідше знаходяться в клітинних оболонках. Вміст вітаміна Р у ряді продуктів:
вишня – 1300-2500 мг;
чорна смородина – 1000-1500 мг;
шипшина (сухий) – 680 мг;
апельсин – 500 мг;
лимон – 500 мг;
перець червоний солодкий – 500 мг;
щавель – 500 мг;
виноград (чорний) – 250-430 мг;
клюква – 240-330 мг;
гранати – 200-700 мг;
кріп – 170 мг;
петрушка – 157 мг;
персики – 80-350 мг;
картопля – 15-35 мг;
яблука - 10-70 мг.
Препарати на основі біофлавоноїдів, успішно застосовуються при лікуванні хворих, що страждають підшкірними крововиливами, кровотечами зі слизової оболонки, тобто в тих випадках, коли спостерігається порушення проникності або крихкість капілярів. У цих випадках ефективно вживати разом препарати вітаміну Р та вітамін С. Як лікувальні засоби практичне застосування мають комбіновані препарати вітамінів С і Р. Вітамін P сприяє підтримці нормального тиску крові, проявляє протизапальну і антиалергічну дію, сприяє розширенню судин, надає протинабряклу і м'яку спазмолітичну дію. Висловлюється думка, що вітамін P може м'яко стимулювати функцію кори надниркових і тим самим збільшувати синтез глюкокортикоїдів, що надають лікувально-профілактичну дію при багатьох станах. Вважають, що вітамін Р при дозах до 60 міліграма в добу (при прийомі принаймні протягом чотирьох тижнів) здатний знижувати рівень внутрішньоочного тиску, що застосовується з профілактичною метою і для допоміжної терапії глаукоми. У клінічній практиці вітамін P застосовують при геморагічному діатезі, виразковій хворобі шлунку і дванадцятипалої кишки, гіпертонічній хворобі, атеросклерозі, ревматизмі і інших патологічних станах.
Лікувальна дія багатьох лікарських рослин та різноманітних препаратів із них, а також користь вживання чаю, саме і обумовлені великим вмістом в них біофлавоноїдів.
Добова потреба у вітаміні Р не визначена. Для лікування та профілактики людині рекомендовано, наприклад у Швейцарії, вживати щоденно вітаміну Р від 10 до 20 мг, в Росії — від 50 до 100 мг.
6. ХОЛІН
Попередні назви — нейрін, нейдрін, фагін, аматін) — широко розповсюджена сполука в тканинах живих істот. Як один із компонентів він входить до складу молекули фосфоліпідів (лецитинів та сфінгомієлінів), які, в свою чергу, є структурними складовими клітинних мембран. Крім участі у синтезі фосфоліпідів, холін є, як вже згадувалось, багатим донором метальних груп, а також попередником у синтезі нейромедіатору ацетилхоліну.
Холін є гідроокисом ((β-оксиетил)-триметиламонію, який містить три метильні групи при атомі азоту:

Гідроксильна група при азоті знаходиться в іонізованому стані, внаслідок чого холін є сильною основою. Емпірична формула холіну — С>5>Н>15>О>2>N. Це безбарвна сполука, яка погано кристалізується через високу гігроскопічність, тому зазвичай зустрічається у вигляді сиропоподібної рідини. Холін має здатність утворювати солі з багатьма органічними і неорганічними кислотами. Частіше використовується його хлористоводнева сіль. Як і холін, холінхлорид гігроскопічний, легко розчиняється у воді та спирті, його розчини нейтральні. Водні розчини холіну стійкі при нагріванні до температури 70 °С.
Холін — важливий фактор у харчуванні людей і тварин. Він синтезується в організмі та міститься в тканинах у досить великих концентраціях (35—100 мг на 1 кг ваги). Теоретично у здоровому організмі при збалансованому (за основними компонентами) харчуванні і наявності достатньої кількості фолієвої кислоти і вітаміну В>12>, які є кофакторами реакцій трансметилювання, організм не потребує обов'язкового надходження холіну з їжею. Але, у зв'язку з обмеженою здатністю нашого організму до синтезу метильних груп, в багатьох випадках така потреба виникає. Активації синтезу холіну в організмі сприяє введення з їжею інших донорів метильних груп, наприклад, метіоніну, якого багато в білках м'ясних та молочних продуктів.
При звичайному харчуванні немає підстав припускати, що у людини може виникнути первинна холінова недостатність. Але вона може виникнути при нестачі в їжі білків. Це попереження для вегетаріанців! Білкова недостатність може бути не тільки екзогенної природи, пов'язаною з обмеженим надходженням білка з їжею, але і ендогенного походження, коли через будь-які патологічні процеси в організмі порушується всмоктування та засвоєння білка. Експериментально доведено, що при недостачі холіну в організмі виникає порушення структури і функції нирок та жирова інфільтрація печінки (жирове переродження печінки), патоморфологічна картина якої подібна до жирового гепатозу в людини.
Потреба дорослої людини у холіні складає 0,5 — 1,5 г на добу. Звичайний харчовий раціон забезпечує надходження щоденно від 1,5 до 4 г холіну. Основна частина холіну надходить в організм людини з їжею, але частина його ще синтезується в організмі із етаноламіну і метіоніну. Холін широко розповсюджений в тваринних і рослинних продуктах, особливо його багато в яєчному жовтку, мозку, печінці, м'ясі великої рогатої худоби, нирках та серцевому м'язі, сирі та помідорах, зародках злаків, капусті, шпинаті.
В харчових продуктах рослинного і тваринного походження холін знаходиться (в мг/%):
яєчний жовток – 800 -1700 мг/%,
печінка – 350 – 650 мг/%,
зародки пшениці - 400 мг/%,
нирки – 300 мг/%,
соєва мука – 250 – 300 мг/%,
горох – 260 мг/%,
м'ясо птиці – 299 мг/%,
риба – 85 мг/%,
м'ясо – 70 – 85 мг/%,
зернові культури (овес, пшениця, ячмінь) – 140 мг/%,
рис – 75 - 78 мг/%,
кукурудза – 70 мг/%,
молоко – 15 мг/%.
Холін частково синтезується мікрофлорою кишечника людини (знаходиться як у вільному стані, так і у вигляді ефірів). Більше всього вільного холіну знаходиться у жовчі – до 550 мг у 100 мл. В плазмі крові дорослої людини концентрація вільного холіну складає в середньому 0,44 мг у 100 мл.
У фармакології холін є одним із основних представників так званих ліпотропних речовин, які попереджають або зменшують жирову інфільтрацію печінки. Препарати холіну використовуються при лікуванні захворювань печінки та інтоксикаціях: хворобі Боткіна, гепатитах, цирозі печінки (головним чином, на ранніх стадіях), гіпотиреозі, цистинурії, атеросклерозі, хронічному алкоголізмі. У медицині використовується холін хлорид, який одержують синтетичним шляхом.
При не достатку холіну у тварин уражаються нирки, порушується лактація, у деяких випадках розвивається параліч (схоже, що це пов’язано з участю ацетилхоліну у передачі нервових імпульсів). Хронічна недостатність холіну веде до анемії та гіпопротенемії.
В звичайних умовах життя практично не відмічені випадки ні гіпо- ні гіпервітамінозу вітаміну В>4>.
7. ПАНГАМОВА КИСЛОТА
Вітамін В>15> широко розповсюджена у тваринному і рослинному світі, за що їй дали назву "пангамова" (пан—всюди, гам—насіння). Ніякої специфічної біохімічної функції для неї не знайдено. Завдяки наявності двох рухливих метильних груп пангамова кислота є активним їхнім донором у тканинах.
Пангамова кислота була вперше виділена з ядер абрикосових кісточок. Пізніше її виділили із інших рослинних та тваринних об’єктів. У 1953 р. речовині, яка була виділена із печінки, дали назву вітамін В >15>. Як виявилось, за хімічним складом, вона подібна до пангамової кислоти. Кребс і співавтори у 1955 р. розшифрували склад пангамової кислоти і здійснили її синтез. Були отримані також аналогічні за будовою сполуки, але з більшою, ніж у природної пангамової кислоти, кількістю метильних груп (4, 8 і навіть 12). Експериментально доведено, що пангамова кислота зі збільшеною кількістю метильних груп, значно відрізняється за фізіологічною дією від природної.
Пангамова кислота — це ефір D-глюконової кислоти і повністю алкілованої амінооцтової кислоти. Вона має таку структурну формулу:

Пангамова кислота має молекулярну масу 281. Солі пангамової кислоти легко кристалізуються.
Внаслідок найменшої гігроскопічності, в промисловості виробляють пангамат кальцію, який в основному і використовують в медицині. Він містить дві молекули пангамової кислоти. Його молекулярна маса 618, 7. В одній молекулі солі знаходиться чотири метильних групи. Важливою властивістю пангамової кислоти є те, що її метильні групи зв’язані з азотом. Це визначає їх лабільність, подібно метильним групам холіну та метіоніну. Кальцієва сіль пангамової кислоти також добре розчинна у воді, нерозчинна у спирті, ацетоні, органічних розчинниках, стійка в кислому середовищі.
Фармакопейні препарати пангамової кислоти позитивно впливають на обмін речовин: поліпшується ліпідний обмін, підвищується засвоєння кисню тканинами, збільшується вміст креатинфосфату в м'язах і глікогену в м'язах і печінці, усуваються явища гіпоксії. Завдяки здатності віддавати метильні групи пангамова кислота поліпшує ліпідний обмін, запобігаючи жировій інфільтрації печінки, активує детоксикацію під час отруєння хлорорганічними сполуками, антибіотиками тетрациклінового ряду, алкоголем, наркотичними речовинами.
Пангамова кислота міститься в дріжджах, крові бика, оболонках рису, печінці, бруньках, менше її в м'язах. В зв’язку з відсутністю методів визначення пангамової кислоти, більш детальні відомості про її вміст у харчових продуктах, відсутні. Потреба людини в пангамовій кислоті не встановлена, а з лікувальною метою її вводять у дозах 100—300 мг/добу.
8. ОРОТОВА КИСЛОТА
Вітамін В>13> — вихідний продукт для синтезу уридинфосфату — компонента молекули нуклеїнових кислот. Оротова кислота (4-урацилкарбонова, або 2,4-діоксипіримідинкарбонова-6) належить до похідних піримідинових основ. У вільному стані вона являє собою кристали білого кольору з температурою плавлення 345 -346 ° С (з розкладанням). Молекулярна маса – 156,1. В кислотах вона нерозчинна, але добре розчиняється в лугах та гарячій воді (розчинність у воді при 18°С становить 0,2 %). Оротова кислота інтенсивно поглинає ультрафіолетове випромінювання (при рН 2,0: λ>max>=280 нм і λ>min>=240 нм, при рН=12> > λ>max>=286 нм,> >λ>min>=243 нм) і має яскраво виражені кислотні властивості, легко утворюючи солі з металами.
Синтезується в організмі, надходить ззовні в складі молока, в якому міститься у великій кількості. Із досліджених на даний час продуктів, найбільші кількості оротової кислоти містяться у екстрактах дріжджів і печінки; вона знаходиться також у овечому молоці.
Нижче наведений вміст оротової кислоти у деяких природніх продуктах:
Екстракти з печінки – 1600 – 2000 мкг/г,
Екстракти з дріжджів – 2670 мкг/г,
Молоко овече – 324 ± 35,3мкг/мл,
Молоко коров’яче – 105 мкг/мл,
Молоко козяче – 63,1 ±12,3 мкг/мл,
Молоко кобиляче – 17,7 ± 2,9 мкг/мл,
Молоко жіноче 7,0 мкг/мл.
Аналітично оротову кислоту визначають або зо допомогою мікробіологічних методів, або хроматографією. Для мікробіологічного аналізу використовують один із штамів L. bulgaric 09. Хроматографічний аналіз на папері проводять в системі бутанол – оцтова кислота – вода (5 : 12 : 1,5). Оптична густина елюату визначається на спектрофотометрі. Препаративне виділення оротової кислоти із тканини досить утруднене.
У птахів і ссавців оротова кислота синтезується із аспарагінової килоти і карбамоїлфосфату, і бере участь в утворенні нуклеїнових кислот, являючись, таким чином, попередником піримідинових нуклеотидів.
Схематично цей процес можна описати наступними реакціями:
Аспарагінова кислота + карбамоїлфосфат → уреїдобурштинова кислота → дигідрооротова кислота → оротова кислота → оротидин – 5 – фосфат → уродин – 5 – моно-, ди- і три фосфат → цитидин.
Оротова кислота – єдина циклічна сполука, яка включається у піримідинові нуклеотиди після введення ззовні. вважають, що утворення урацилу із оротової кислоти може відбуватися або у вигляді одно стадійної реакції прямого декарбоксилювання, або через утворення оротидину, оротидилової кислоти, уридилової кислоти і т. д. Окрім участі оротової кислоти у обміні нуклеїнових кислот, є дані про роль її у перетвореннях галактози, оскільки уридин – дифосфат, який утворюється із орортової кислоти, являється попередником уродин – лифосфату – галактози. Оротова кислота впливає також на обмін галактози під час лактації, зв’язана з обміном ліпідів.
Особливість ростової дії оротової кислоти у вищих тварин є у тому, що вона проявляється при вже існуючому зсуві обміну речовин в сторону посилення асиміляції, який спостерігається , наприклад, після часткового голодування і у недоношених дітей. Ростовий ефект оротової кислоти залежить від введених кількостей препарату. Приріст маси вдається отримати від малих доз.
Окрім ростової дії, оротову кислоту зближує з вітамінами її участь у ферментативних реакціях. Наприклад, відомо, що оротова кислота впливає на активність одного із ферментів (ксантиноксидаза), особливо чутливих до кількості та якості білку в живленні. Доведений зв'язок між оротовою кислотою та вітаміном В>12>, а також фолієвою кислотою. Беручи участь у обміні одновуглецевих сполук, оротова кислота збільшувала перетворення фолієвої кислоти в цитроворум – фактор і відновлювала при недостачі вітаміну В>12> активність різних ферментів, а також вміст пантотенової кислоти та коензиму – А в печінці.
Тісний зв'язок оротової кислоти з обміном нуклеїнових кислот, пояснює її вплив на кровотворення, показане у фармакологічних експериментах. Вплив оротової кислоти розповсюджується на утворення як лейкоцитів, так і еритроцитів. Оротова кислота стимулює еритропоез після крововтрат. Оротовою кислотою можна впливати на лейкопоез при його порушеннях унаслідок проникаючої радіації. Крім того, вона діє не тільки на лейкопоез, але і на функціональний стан лейкоцитів. Оротова кислота та її натрієва сіль збільшують фагоцитарну здатність лейкоцитів, особливо їх перетравлюючу властивість.
Недостатність чи будь-які прояви дефіциту оротової кислоти не описані. У випадку введення ззовні оротова кислота підсилює анаболічні процеси і завдяки цьому стимулює ріст рослин і тварин. Позитивна дія оротової кислоти відмічена при цирозах печінки. Також, посилюючи утворення нуклеїнових кислот, позитивно впливає на м’яз серця. Використовується у вигляді оротату калію як лікувальний засіб при захворюваннях, що супроводжуються порушенням білкового обміну. Оротат калію використовують для лікування захворювань печінки, серця, деяких видів анемії. Добова потреба не встановлена.
9. УБІХІНОН
Коензим Q" або "Q" за хімічною будовою — це 2,3-диметокси-5-метил-1,4-бензохінон з поліізопреноїдним боковим ланцюгом у 6-ому положенні. Наявність у Q окислювально-відновлювальних властивостей значною мірою визначає можливість його участі в процесах окисного фосфорилювання. Q (його різні природні гомологи) має надзвичайно широке поширення серед усіх представників рослинного і тваринного світу, він дійсно "усюдисущий" (иbіhіпопе) і бере участь у процесах фотосинтезу, фотореcценції, окисного фосфорилювання. Серед гомологів Q у природі в основному поширені убіхінони від Q>6> до Q>10>. Для людей, більшості ссавців, риб і вищих рослин характерним і функціонально активним є Q>10>, що входить як коензим Q до складу сукцинат-, НАДН- Q — дегідрогеназ і цитохром-C-Q-редуктази.
Організм людини в нормальному стані здатний шляхом біосинтезу de novo забезпечити потребу в Q. Але при різних патологічних змінах організму нерідко спостерігається дефіцит убіхінону, що приводить до зниження біоенергетичного обміну і, у свою чергу, до розвитку широкого спектра патологій. В останні 10—15 років убіхінон і його похідні знайшли широке застосування в медичній практиці і ветеринарії для попередження та ефективного лікування захворювань різної етіології, в основі яких лежить порушення біоенергетичних процесів в організмі. Добова потреба не встановлена. У клінічній практиці використовуються препарати Q>10>, доза приймання від 50 до 250 мг на день протягом 1—3 місяців.
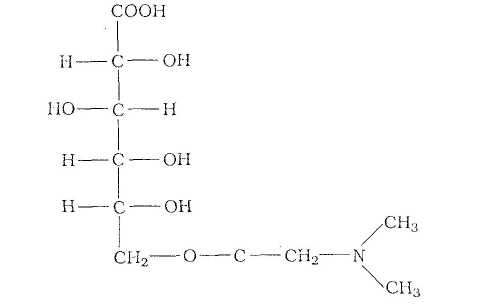
10. ВІТАМІН U
S-метилметіонін, антивиразковий фактор отримав назву від латинського слова "иlсиs" — виразка, у зв'язку з тим, що ця сполука виявилася ефективною в лікуванні виразки шлунка. Вчений Ченей та деякі співавтори у 1942 р. помітили, що деякі продукти харчування (овочі, зелень, сире молоко, печінка) запобігали або затримували розвиток виразкової хвороби шлунку. На цій підставі було вирішено, що виразкова хвороба шлунку викликається не достатком особливого, невідомого харчового фактора, який міститься у овочах (більше всього – в капусті) і який відноситься скоріш за все, до вітамінів. Ченей опублікував відомості про те, що розвиток пептичної виразки у кроликів, яка була викликана гістаміном, вдалось попередити шляхом годування їх свіжою капустою. Аналогічні дані отримані і у морських свинок, яким назначали сік свіжої капусти.
Подібно метіоніну, вітамін U є донором метильних груп у реакціях синтезу холіну і креатину, виявлена його участь у синтезі метіоніну і деяких інших сполук, що потребують метильних груп.
За хімічною структурою вітамін U є активною формою метіоніну, а саме — 5-метилметіоніном. Ця сполука добре розчиняється у воді, але нестійка, значною мірою руйнується під час варіння продуктів, особливо в нейтральному і лужному середовищі. У досить великих кількостях вітамін U міститься у соках сирих овочів (листках петрушки, капусти, цибулі, салаті, перці, моркві, ріпі, томатах), дуже багато його в спаржі (100—160 мг/100 г) і білокачанній капусті (80—85 мг/100 г).
У фармації використовуються солі метилметіоніну, насамперед, метил метіонінсульфоній хлорид. Метилметіонін поліпшує функції шлунка, кишечника, печінки і жовчного міхура, корисний при ушкодженні шлунково-кишкового тракту. Його антивиразкова активність пояснюється антигістамінними властивостями. Метилюючи гістамін, вітамін U перетворює його в неактивну форму, сприяючи таким чином зменшенню секреції шлунка та прискоренню загоєння ран. Недостатність вітаміну U у людей не описана, добова потреба не визначена.
Висновок
До вітаміноподібних сполук належить численна група сполук різноманітної хімічної природи, які в певних умовах виявляють також вітамінні властивості, але більшість з них здатні синтезуватися в тканинах людини і можуть входити до складу цих тканин як структурні компоненти. На відміну від вітамінів, вони не є строго незамінними факторами харчування, а їхній дефіцит, як правило, не супроводжується специфічними симптомами, авітамінозом. Це ті, що або беруть участь у реалізації біологічної дії певних вітамінів (як ліпоєва кислота, холін та коензим Q), або (як параамінобензойна кислота для вітаміну В>5>) є структурними компонентами вітаміну. Деякі вітаміноподібні сполуки виявляються хорошими донорами метильних груп, дефіцит яких часто стає причиною патологічних змін в організмі людини, а підвищення їхньої доступності покращує стан. До останніх належать (крім вже згаданого холіну) такі сполуки, як карнітин, пангамова кислота, вітамін U.
Деякі з них до сьогодні вважають вітамінами, деякі досить часто згадуються у зв’язку з біологічно активними сполуками, деякі є основою лікарських засобів. Але всі вони за своїми властивостями подібні до незамінних харчових речовин.
Список використаної літератури:
Васильева А. Витамины и минералы – энергия жизни. – СПб.: Издательство «Невский проспект», 2001. – 160 с.
Минделл Э. Справочник по витаминам и минеральным веществам/ Перевод с английского. – М.: Издательство «Медицина и питание», 1997. – 320с.
Пархоменко Ю. М., Донченко Г.В. Вітаміни в здоров’ї людини. – Київ : Академперіодика, 2006. – 182 с., 3 с. іл..
Романовский В. Е., Синькова Е.А. Витамины и витаминотерапия. Серия «Медицина для вас». – Ростов – на – Дону: «Феникс», 2000. – 320 с.
Смирнов М. И. Витамины. – М.: Издательство «Медицина», 1974. – 490 с.
