Вклад в органічний синтез реакцій Чичибабина
ЗМІСТ
Вступ 3
РОЗДІЛ 1. Науковий шлях в органічній хімії Чичибабина 5
1.1. Початок наукового шляху 5
1.2. Наукова робота на початку ХХ століття 6
Розділ 2. Реакції Чичибабина 10
2.1. Розвиток хімії піридинових сполук 10
2.2. Реакції з одержання діазосполук та гетероциклів 13
2.3. Реакції Чичибабина в апротонних розчинниках 15
2.4. Синтез індолізину та піридину 16
Висновки 18
Список використаних джерел 19
Вступ
Органічна хімія – один з найважливіших розділів хімії, який вивчає структуру та властивості органічних сполук.
Органічна хімія – галузь науки, яка займається розробленням методів синтезу та вивченням будови, властивостей, реакційної здатності органічних сполук різних класів.
Вважається, що органічна хімія як наукова дисципліна почалася в 1828 році коли німецький дослідник Фрідріх Велер вперше синтезував сечовину (яка є біологічно важливою органічною речовиною) шляхом випаровування водного розчину ціанату амонію NH>4>OCN. Назва «органічна хімія» походить з припущення що органічні сполуки можуть бути синтезовані тільки в живих організмах. Пізніше цю ідею було спростовано, але назва залишилася.
Олексій Євгенович Чичибабин – людина неординарного мислення і неординарної долі. Один з перших лауреатів премії ім. В.І. Леніна (1926), Чичибабин був великим ученим, організатором післявоєнної фармацевтичної галузі промисловості в 1920 х рр. Несподівана еміграція ученого у Францію в 1930 р. привела, на жаль, до переоцінки його творчої спадщини на його батьківщині. Навколо імені вченого сформувалася своєрідна «стіна забуття». Лише в 1990-і рр. стали з'являтися окремі історіографічні публікації, що стосуються його життя і діяльності, зі своєрідною ремаркою наприкінці кожної з них: «Про життя і діяльність Чичибабина в еміграції нічого не відомо».
Очевидно, що потрібно зняти завісу забуття з імені вченого. Зараз ми вже можемо спробувати в якомусь ступені неупереджено й у достатній мері об'єктивно освітити його життя і його творчість, заглянути в «неясний час» його еміграції, хоча це питання ще вимагає численних архівних пошуків.
Зовнішня сторона його долі здається цілком благополучною. Про нього писали при житті, і навіть після еміграції у Францію його ім'я не зникло з радянських енциклопедій і довідників. При цьому, можливо, лише деякі задавалися питанням: чому в біографічних довідниках значився: «Академік АН СРСР (1928–1936)», хоча, як відомо, дійсний член академії – це довічне звання.
Предмет дослідження: реакції Чичибабина.
Об`єкт дослідження: вклад в органічний синтез реакцій Чичибабина.
Мета роботи полягає в тому, щоб охарактеризувати особливості реакцій Чичибабина.
Основними завданнями роботи є наступні:
проаналізувати наукових доробок видатного хіміка Чичибабина;
дати характеристику реакцій, які були здійснені Чичибабиним.
1. Науковий шлях в органічній хімії Чичибабина
1.1 Початок наукового шляху
Олексій Євгенович Чичибабин народився 29 (17) березня 1871 р. у містечку Куземино Зеньковского повіту Полтавської губернії в родині чиновника. У 1874 р. родина переїхала в м. Лубни тієї ж губернії. Його батько був призначений секретарем земської управи, але незабаром умер, залишивши дружину із шістьма дітьми у важкому матеріальному становищі. Мати Чичибабина, а також його старша сестра багато працювали, щоб молодші діти змогли одержати утворення.
У Лубнах Чичибабин учився в гімназії, відрізняючись при цьому гарною старанністю і великою допитливістю. Уже в гімназичні роки в нього проявився інтерес до хімії.
Початок творчого шляху Чичибабина сягає до часу його навчання в Московському університеті, де він слухав курс хімії в професора В.В. Марковникова. Свої перші наукові праці, присвячені питанням гідрогенізації похідних бензолу, він виконав під керівництвом В.В. Марковникова і приват-доцента М.И. Коновалова. Ці дослідження були поставлені в руслі вивчення Марковниковим процесів переходу від різноманітних ароматичних вуглеводнів до нафтенів (граничні вуглеводні ряду циклопентану і циклогексану і поліциклічні вуглеводні, побудовані з п'яти- і шестичленних циклів). Результати цих робіт Чичибабиним були повідомлені на засіданнях Російського хімічного товариства. 24 жовтня 1891 р. він виступив з першим повідомленням «Дія йодистого водню на пропілбензол», а 3 лютого 1894 р. – із другою доповіддю з цієї серії «Про гідрогенізації нормального пропілбензолу і про пентабромпропілбензолу».
У 1892 р. Чичибабин закінчив фізико-математичний факультет (відділення природничих наук) Московського університету з дипломом першого ступеня. Незважаючи на його успішну наукову діяльність у роки навчання, на жаль, він не був залишений при кафедрі хімії, тому що його керівник, професор Марковников, на той час вийшов у відставку, а професор Н.Д. Зелінський, що перемінив Марковникова на кафедрі хімії, відмовив у цьому проханні приват-доцентові Коновалову.
Чотири наступні роки (1892–1896) Чичибабин змушений був заробляти собі на життя приватними уроками і репортерством. Він брався за будь-яку роботу. Часом йому вдавалося попрацювати в університеті. Траплялося так, що він було улаштувався лаборантом в Александрівське комерційне училище, але в цій посаді його так і не затвердили. Якийсь час молодий учений проводив аналітичні дослідження в лабораторії Суспільства сприяння розвиткові мануфактурної промисловості (Москва). Нарешті в 1896 р. йому удалося одержати місце помічника завідувача цією лабораторією. Робота в ній сприяла придбанню їм навичок першокласного органіка.
1.2 Наукова робота на початку ХХ століття
Незважаючи на важкі життєві обставини, Чичибабин продовжував наукову працю. Він вирішив зайнятися хімією піридину:

Початок XX ст. характеризувалося пожвавленням робіт в області хімії похідних піридину в зв'язку з їх прикладним значенням, що збільшувалися, (лікарські препарати і барвники). Крім того, як писав згодом Олексій Євгенович у своїй магістерській дисертації, ці речовини представляли особливий теоретичний інтерес «у виді їхніх відносин до деяких природних алкалоїдів, які папаверин, наркотин, гідрастин […] і інші, або ж до продуктів розпаду цих алкалоїдів при різних реакціях». За пропозицією Коновалова молодий учений виконав дослідження на тему «Нітруючи дія слабкої азотної кислоти на вищі гомологи піридину» (1894). Вивчаючи реакцію Коновалова (одержання нітросполук аліфатичних граничних вуглеводнів при дії на них слабкого розчину азотної кислоти), Чичибабин у своїй роботі показав, що «у ряді похідних піридину ця реакція застосовна. Аналогічно дії слабкої азотної кислоти на вищі гомологи бензолу, виходить нітропродукт піридинового ряду, у якому група «нітро» знаходиться в бічному ланцюзі…».
У 1896 р. Коновалов перейшов у Московський сільськогосподарський інститут як професора на кафедру хімії. Імовірно, не без допомоги останнього Чичибабину в 1899 р. удалося одержати місце асистента в цьому інституті. Саме тут учений уперше за багато років одержав можливість цілеспрямовано і систематично проводити свої наукові дослідження. У 1899–1903 р. він продовжував розробляти тему нітруючої дії азотної кислоти на похідні піридину (до їхнього числа відносяться роботи «Синтез ароматичних піридинів» (1900), «a- і g бензилпіридини і деякі їхні похідні» (1901) і ін.).
Одночасно вчений приступив до вивчення питання про відновлення бензилпіридинів по методу Вишнеградського-Ладенбурга. Цим методом на той час було отримано велике число піперидинових основ і їхніх солей. У ході вивчення реакції одержання b похідних піридину Чичибабин уточнив і виправив ряд загальноприйнятих даних А. Ладенбурга. Крім того, у противагу Ладенбургу, що утверждали, що при дії галогенсодержащих з'єднань на піридин утворяться тільки його a- і g похідні (але не b похідні), Чичибабин на основі своїх експериментів показав, що в різних кількостях утворяться всі три ізомери. Для доказу він окислив отримані бензилпіридини перманганатом калію до відповідних кислот (одержав одночасно піколінову, ізонікотинову і нікотинову кислоти).
У 1901 р. за дослідження «Про дію галоїдних сполук, що містять бензольне ядро, на піридин і хінолін» і за роботу «Про одержання простих і змішаних ангідридів кислот» Чичибабину була привласнена золота медаль Суспільства аматорів природознавства.
Результати своїх експериментальних робіт учений виклав у магістерській дисертації «Про продукти дії галоїдних сполук на піридин і хінолін» (1902), що представив до захисту в Московський університет. У тому ж році він був прийнятий у число приват-доцентів по кафедрі хімії Московського університету і почав читати курс «Останні успіхи експериментальної хімії» (1901–1904). Лекції молодого приват-доцента користувалися популярністю (зокрема, на 1903/04 навчальний рік він оголосив також курс історії хімії), а от справа з захистом просувалося з працею.
У 1903 р. нарешті захист дисертації відбувся. Однак в університетському середовищі дисертацію зустріло загальне протистояння. Професор Марковников, що був його вчитель, дисертацію не підтримав. Професор 3 елинський представив на неї негативний відгук. Один з опонентів, професор А.П. Сабанеев, нелестно відгукнувся про її автора як «самоучку». Морально його підтримали лише колеги з Московського сільськогосподарського інституту. Але в цій важкій атмосфері нерозуміння і неприйняття результатів своєї наукової діяльності Чичибабин усе-таки вистояв. 31 травня 1904 р. він був затверджений у званні магістра хімії.
Очевидно, обстановка, що склалася на кафедрі після захисту дисертації, не сприяла успішної викладацької діяльності вченого в стінах Alma Mater, хоча вчений у 1904/05 навчальному році успішно прочитав свій новий курс «Хімія алкалоїдів». Тому в 1905 р. він охоче прийняв запрошення Варшавського університету на вакантну кафедру неорганічної хімії і з 1 вересня 1905 р. був зарахований при цьому університеті екстраординарним професором. Однак уже через рік, не знайшовши відповідних умов і можливостей для своєї наукової діяльності в рамках цього університету, він повернувся в Москву, у сільськогосподарський інститут. Одночасно він читав приват-доцентські курси в Московському університеті: «Основи органічної хімії» (1908–1909), «Обрані глави з органічної хімії» (1907–1911).
2. Реакції Чичибабина
2.1 Розвиток хімії піридинових сполук
Незважаючи на складні перипетії в особистій долі, Чичибабин продовжував завзяті наукові вишукування в обраній їм області досліджень. «Піридин, – відзначав він в одній зі своїх праць, – є родоначальником значної кількості природних алкалоїдів і ряду штучних речовин, що володіють сильною фізіологічною дією. Розробка хімії піридину збагатить медицину і техніку фармацевтичних препаратів поруч нових цілющих речовин. Можна сподіватися, що і ряд фарб, похідних піридину, зробивши доступними, придбає і технічне значення».
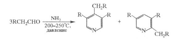
У 1903 р. учений почав цикл досліджень процесу синтезу піридинових основ з альдегідів і аміаку, першими з яких стали роботи з конденсації валеріанового (валеритрин Н.Н. Любавина) і масляного альдегідів. У ході цих експериментів у 1906 р. Чичибабин відкрив реакцію циклоконденсації альдегідів з аміаком (названу його ім'ям), що приводить до утворення ряду гомологів піридину:

В наступні роки (1906–1924) ця реакція їм (разом з учнями П.С. Панюшиним, П.А. Мошкиним, В.С. Тяжеловой, М.П. Опаріній і ін.) була детально розроблена в умовах каталізу оксидами тривалентних металів (наприклад, алюмінію, заліза, торію й ін.). На цій основі Чичибабиним був створений новий метод синтезу піридину, а також алкіл- і фенілпіридинів (конденсацією різних альдегідів і їхніх сумішей з аміаком у присутності Аl2O3 при 300–400 °С), що ліг в основу сучасного промислового синтезу алкілпіридинів.
До числа найважливіших досягнень Чичибабина відноситься відкриття (1914) і дослідження їм реакції a амінувания піридинових основ за допомогою аміду натрію:

У випадку піридину при цьому утвориться a амінопіридин з незначною домішкою g амінопіридину.
Ця реакція, розроблена вченим разом з його учнем О.А. Зейде, стала першою досить загальною реакцією, що веде до одержання похідних не тільки самого піридину, але і його гомологів і похідних (наприклад, хінолін, ізохінолін і ін.), а також з'єднань, молекули яких містять конденсовані цикли піридину. В усім світі реакція знайшла широке застосування для синтезу лікарських препаратів.
Зручність і приступність методу амінування піридинів дали можливість вивчити різні реакції заміщення піридинового циклу a амінопіридину, що для самого піридину протікають із працею.
У ході цих робіт учений відкрив і вивчив таутомерію амінопіридинів і їхніх похідних (початок 1920 х рр.). Він констатував можливість утворення похідних двох ізомерних форм амінопіридинів:


Ним були отримані різноманітні похідні обох форм (у тому числі згодом нові гетероциклічні системи піримідазолу і індоліцину).
Відкриття α-піридоніміну Чичибабиним поклало початок новому своєрідному класу органічних речовин. Це дозволило вченому перейти до біциклічних сполук, у яких у п`ятичленний цикл входять два атоми азоту (наприклад, до піримідазолу (імідазопіридин) і його гомологів):

Цю невивчену область (одержання біциклічних сполук) Чичибабин активно розвивав наприкінці 1920 х і в 1930-і рр. Багато хто із синтезованих їм подібних з'єднань, як було встановлено, володіли сильною фізіологічною активністю.
2.2 Реакції з одержання діазосполук та гетероциклів
Хотілося б також згадати і про цикл робіт Чичибабина (1915–1924), зв'язаному з одержанням діазосполук. У своїх роботах (спочатку з М.Д. Рязанцевим), виходячи з α-амінопіридину, він одержав цілий ряд раніше невідомих діазотатів піридинового α-ряду, що так само, як і ароматичні діазосполучення, здатні давати азофарби. Дослідження в цьому напрямку вчений продовжував і в період еміграції.
Роботи Чичибабина з учнями сприяли значному прогресу в області хімії похідних піридину. Завдяки дослідженням ученого картина хімічних перетворень піридину і його похідних «по ясності і рельєфності початку наближатися до картини класично розробленої хімії бензолу й ароматичних основ».
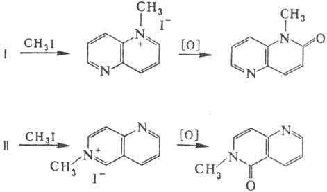
Найбільш слабкі основи, чим хінолін і ізохінолін; для 1,5 Н. рКа 2,91, для 1,6 Н. рКа 3,78. Алкілювання нафтиридину йде по одному або обом атомам N, причому у випадку 1,6- і 1,7 Н. атака насамперед направляється на так звані ізохинолінові атоми N з утворенням продуктів моноалкілювання іонов 6- і 7 алкілнафтиридину відповідно. Продукти моноалкілювання нафтиридину легко окисляються під дією K>3>Fe(CN)>6> у лужному середовищі до N алкіл-a нафтиридинів, наприклад:

Відновлення нафтиридину дією Na у спирті приводить до транс-декагідронафтиридинам, каталітичного гідрування в присутності Рt2 або Pd до тетрагідронафтиридинів (йде відновлення одного з піридинових циклів). Дія LіAl>4> на N алкіл-α-нафтиридинон дає тетрагідронафтиридини:

Нафтиридин-електронодефіцитні гетероароматичні системи. Вони з важко вступають у реакції електрофільного заміщення.
Так, для незаміщених нафтиридинів відомо лише реакція бромування, яка здійснюється при нагріванні з Вr>2> в олеумі або дії Вr>2> у ССl>4> у присутності піридину і йде в β-положення до гетеро-атому. При надлишку Вr>2> м.б. отримані дизамещені нафтиридину; напр., з 1,7 – нафтиридину – 3,5 дибром – 1,7 нафтиридин.
Бромування нафтиридину при високій температурі в газовій фазі, що йде по радикальному механізму, направляється в α-положення до гетероатому; напр., бромування 1,5 – нафтиридину при 500 °С приводить головним чином до 2,6 дибром – 1,5 нафтиридину.
Нітрування йде лише для нафтиридину, що містить електронодонорні замісники, напр. для нафтиридинонів. Нафтиридини легко реагують з нуклеофілами, напр. піддаються амінуванню по Чичибабина реакції, метилюванню метилсульфанілметильним аніоном, одержуваним дією сильних основ на, по α- і g положеннях до атомів N галогензаміщених нафтиридинів обмінюють атом галогену на різні нуклеофіли.

Амінування піридину і подібних ароматичних азогетероциклів (хінолін, ізохінолін, бензімідазол і т. п.) амідом натрію; у випадку піридину при цьому утвориться 2 амінопіридин з незначними домішками 4 амінопіридину (при підвищеній температурі і надлишку NaNH>2> можливе одержання 2,6 діамінопіридину):

2.3 Реакції Чичибабина в апротонних розчинниках
Відомо два способи проведення Чичибабина реакції в апротонних розчинниках (толуол, ксилол, n цимол, вазелінова олія й ін.) і в рідкому NH>3>. У першому випадку реакція протікає в гетерогенному середовищі, у зв'язку з чим потрібно висока температура (звичайно вище 100 °С). У рідкому NH3 процес проходить у гомогенних умовах і при низкою температурі (нижче -33 °С); замість NaNH>2> у цьому випадку переважніше використовувати KNH>2>, який у рідкому NH>3> розчиняється значно краще. Виходи реакції складають 30–90%.
Формально Чичибабина реакція нуклеофільного заміщення гідриду-іона основана на тому, що для її протікання необхідно, щоб у молекулі субстрату утримувався високо електронодефіцитний кільцевий атом С, який і атакує амід-іон. На першій стадії утвориться аніонн-комплекс (формула І), який далі ароматизується з утворенням Na солі аміну (ІІ); вільний амін виділяється при додаванні в реакційну суміш води або NH>4>C1. При високотемпературному способі проведення реакції гідрид-іон відщепляєся від комплексу мимовільно у вигляді Н>2> (другий атом Н надходить у молекулу Н>2> у вигляді протона з аміногрупи). За об`ємом Н>2>, що виділився зручно контролювати хід амінування. Однак при проведенні реакції в рідкому NH>3> гідрид-іон мимовільно відщепитися не може. У цьому випадку для ароматизації комплексу необхідно додавати в реакційну суміш окислювач (звичайно КМnО>4>). Наприклад, окислювальне амінування сим-тетразину дає 3 аминотетразин з високим виходом. Окислювальне амінування незамінно для тих азинів і азолів, які руйнуються NaNH>2> при високій температурі.
Чичибабина реакція вперше описана А.Е. Чичибабиним і О.А. Зейде в 1914. Пізніше були запропоновані її модифікації – алкіламінування гетероциклів за допомогою натрійалкіламідів, гідразинуовання гідразидом натрію, гідроксилювання нагріванням з безводним порошкоподібним лугом, відомі приклади внутрішньомолекулярного алкіламінування по Чичибабину.
2.4 Синтез індолізину та піридину
Чичибабиним були відкриті ще дві реакції, які іноді також називають його ім`ям: 1) синтез похідних індолізину дією-галогенкарбонильних сполук на 2 алкілпиридини (реакція придатна також для аннелювання піррольного кільця і до індолізин-алкілазинів і азолів):

Синтез похідних піридину шляхом термічної циклоконденсації альдегідів з аміаком:

Висновки
Олексій Євгенович Чичибабин початком творчого шляху завдячує часу його навчання в Московському університеті, де він слухав курс хімії в професора В.В. Марковникова. Свої перші наукові праці, присвячені питанням гідрогенізації похідних бензолу, він виконав під керівництвом В.В. Марковникова і приват-доцента М.І. Коновалова.
У 1906 р. Чичибабин відкрив реакцію циклоконденсації альдегідів з аміаком (названу його ім'ям), що приводить до утворення ряду гомологів піридину.
У своїх роботах (спочатку з М.Д. Рязанцевим), виходячи з α-амінопіридину, він одержав цілий ряд раніше невідомих діазотатів піридинового α-ряду, що так само, як і ароматичні діазосполучення, здатні давати азофарби. Дослідження в цьому напрямку вчений продовжував і в період еміграції. Роботи Чичибабина сприяли значному прогресу в області хімії похідних піридину.
Відомо два способи проведення Чичибабина реакції в апротонних розчинниках (толуол, ксилол, n цимол, вазелінова олія й ін.) і в рідкому NH>3>.
Чичибабиним були відкриті ще дві реакції, які іноді також називають його ім`ям: 1) синтез похідних індолізину дією-галогенкарбонильних сполук на 2 алкілпиридини та синтез похідних піридину шляхом термічної циклоконденсації альдегідів з аміаком
Список використаних джерел
Артеменко А.И. Органическая химия. – М.: Высшая школа, 1998.
Большая советская энциклопедия. В 30 тт.
Волков В.А., Вонский Е.В., Кузнецова Г.И. Выдающиеся химики мира. – М.: ВШ, 1991. – 656 с.
Грандберг И.И. Органическая химия. – М.: Высшая школа, 1980.
Гудкова А.С. От простого к сложному. – М.: Изд-во Моск. ун-та, 1983.
Марч Дж. Органическая химия. В 4 х т. – М.: Мир, 1985.
Моррисон Р., Бойд Р. Органическая химия. – М.: Мир, 1974.
Нейланд О.Я. Органическая химия. – М.: Высшая школа, 1990.
Несмеянов А.Н., Несмеянов Н.А. Начала органической химии. В 2 х кн. – М.: Химия, 1974.
Потапов В.М., Татаринчик С.Н. Органическая химия. – М.: Химия, 1980.
Робертc Дж., Касерио М. Основы органической химии. – М.: Мир, 1978. т. 1, 2.
Сайкс П. Механизмы реакции в органической химии. М.: Химия, 1991.
Справочник химика. В 6 ти томах. – Л.: Химия, 1968.
Терней А. Современная органическая химия. В 2 х томах. – М: Мир, 1981.
Тюкавкина Н.А. Органическая химия. – М: Медицина, 1998.
Химическая энциклопедия. В 5 ти томах. – М.: Советская энциклопедия – Большая Российская энциклопедия, 1988–1998.
Химический энциклопедический словарь. – М.: Советская энциклопедия, 1983.
Шабаров Ю.С. Органическая химия. В 2 х т. – М.: Химия, 1994.