Водорастворимые полимеры
Содержание
1. Классы водорастворимых полимеров
2. Полиэлектролиты
3. Конфигурация полимера и свойства растворителя
3. Скейлинговые соотношения
4. Простейшая скейлинговая теория
5. Простейшая скейлинговая теория для систем в присутствии солей
1. Классы водорастворимых полимеров
Рассмотрим примеры некоторых водорастворимых полимеров, их свойства и применение. Во-первых, это не ионные водорастворимые полимеры с атомами кислорода или азота в основной цепи. Среди полиалкеноксидов только полиэтиленоксид растворим в воде. Полиметиленоксид не растворим в воде, несмотря на то, что он содержит в молекуле более высокую долю кислорода, чем полиэтилен-оксид. Этот полимер может быть синтезирован с различной молекулярной массой, вплоть до нескольких миллионов. Такие полимеры широко используются в косметических и фармацевтических композициях, в производстве керамики в качестве связующего и т.д. В случае полипропиленоксида в воде растворимы только олигомеры, а полимеры с более длинными цепями используются в качестве гидрофобных составных частей для получения поверхностно-активных веществ. Если заменить атомы кислорода в ПЭО на атомы азота, получим полиэтиленимин. Промышленные образцы этого полимера представлены разветвленными цепями, соотношение между вторичными, третичными и четвертичными атомами азота обычно составляет 1: 2:
1.

В результате адсорбции полимеров на частицах система ведет себя в растворе подобно полимеру с бесконечно большой молекулярной массой.
Во вторую группу водорастворимых полимеров входят полимеры, содержащие группы акриловой кислоты. Прежде всего это полиакриловая и полиметакриловая кислоты. Может показаться удивительным, что растворимость в воде ПМАК выше, чем у ПАК. Это связано с тем, что полиметакриловая кислота образует спирали таким образом, что гидрофобные группы оказываются внутри них. Полиакриловая кислота и полиэтиленоксид в водном растворе образуют комплексы, в которых атомы водороды ПАК присоединяются к кислороду ПЭО. Еще одним примером водорастворимого полимера с акриловой группой является полиакриламид. Это очень гидрофильный полимер, не чувствительный к добавкам солей; он часто используется в качестве флокулянта, поскольку обладает высоким сродством к поверхностям из-за катионной природы при низких рН.
Третья группа водорастворимых не ионных полимеров содержит в своем составе виниловые группы. В результате гидролиза поливинилацетата получается водорастворимый поливиниловый спирт, если степень гидролиза выше 86%. При степени гидролиза выше 90% для полного растворения продукта требуется нагревание. Будучи растворенным в горячей воде, ПВС остается в растворе и при охлаждении. Эта кажущаяся необратимость объясняется образованием внутримолекулярных водородных связей в твердом полимере. Хорошо растворяется в воде и поливинилпирролидон. Этот полимер имеет слабоосновный характер и легко ассоциируется в водном растворе с анионными поверхностно-активными веществами, например с додецилсульфатом натрия. Водные растворы ПВП используются в фармакологии, косметике и медицине, поскольку он малотоксичен и хорошо растворим в воде. Поливинилпирролидон используется также в композициях моющих средств, в которых он выполняет важную роль, предотвращая повторное осаждение загрязнений на волокнах.
Четвертую и последнюю группу водорастворимых полимеров составляют высокомолекулярные соединения природного происхождения. Прежде всего - это производные целлюлозы. Целлюлозу можно сделать водорастворимой за счет химического модифицирования. Обычно три гидроксильные группы в-ангидроглюкозы, из которой состоит полимерная цепь целлюлозы, служат местами модифицирования на начальных стадиях процесса. Глубина реакции с участием этих гидроксильных групп определяется средним числом прореагировавших групп. Карбоксиметил-целлюлозу получают в результате реакции гидроксигрупп целлюлозы с монохлорацетатом. В результате этой реакции получается натриевая соль карбоновой кислоты с СЗ от 0.4 до 1.4 КМЦ производится, как правило, в виде соли; рК>а> полимера - 4.4 и слабо зависит от СЗ. При нейтральных рН большинство карбоксильных групп находится в диссоциированном состоянии, и КМЦ не проявляет поверхностной активности. Главное применение КМЦ находит в составе моющих средств, в которых она предотвращает повторное осаждение отмытых от тканей загрязнений. КМЦ выполняет также роль диспергатора в водоосновных красках и в составах для покрытия бумаги.
Гидроксиэтилцеллюлозу получают по реакции целлюлозы, предварительно набухшей в щелочи, с этиленоксидом. Образующийся продукт является многофункциональным водорастворимым полимером, который находит широкое применение в качестве загустителя, защитного коллоида, связующего и т.д. Молярное замещение выражается молярным соотношением этиленоксидных групп к гидроксильным группам целлюлозы. Свойства водных растворов гидроксиэтилцеллюлозы зависят как от СЗ, так и МЗ. Для хорошей растворимости в воде нужно проводить процесс так, чтобы степень замещения равнялась - 0.65, а молярное замещение было равным - 1.0.
Этилгидроксиэтилцеллюлоза производится по реакции целлюлозы с этиленоксидом при последующем добавлении этиленхлорида. Структура макромолекул ЭГЭЦ показана на рис.
Полисахариды - это линейные или разветвленные полимеры, построенные из углеводных мономеров. Свойства растворов полисахаридов сильно зависят от степени замещения, степени разветвления и молекулярной массы. Полисахариды широко используются в пищевой промышленности в качестве гелеобразующих агентов.
2. Полиэлектролиты
Растворы полиэлектролитов находят широкое применение в различных технологических процессах, они используются как загустители, диспергаторы, флокулянты и т.д. Термином "полиэлектролит" иногда называют любые агрегаты, имеющие высокую плотность заряда. Однако в научной литературе этот термин принято относить к заряженным полимерам, которые и рассматриваются ниже. Для макромолекул гибких полимеров источником заряда являются карбоксилатные или сульфатные группы, а также аммониевые группы и протонированные амины. Полиэлектролиты разделяют на сильные и слабые; плотность заряда последних зависит от рН. Если полиэлектролит состоит только из мономеров одного типа, несущих функциональные ионизующиеся группы, можно определить степень ионизации просто как долю ионизованных групп от общего количества групп, способных к ионизации. Степень ионизации зависит от рН и задается следующим выражением:

где рК - константа кислотности мономера. Эта "константа" по сути таковой не является, поскольку зависит от степени ионизации. Это обстоятельство необходимо учитывать при более детальном обсуждении свойств полиэлектролитов в водных растворах.

Рис. Зависимость радиуса инерции молекул поли кислоты от степени ионизации.
Степень развернутости клубка полиэлектролита увеличивается пропорционально степени ионизации вследствие отталкивания ионизованных групп, но только до определенного предела. Рис.8 иллюстрирует изменение радиуса инерции полиэлектролита в зависимости от степени ионизации. Из рисунка видно, что радиус инерции достигает предельного значения при степени ионизации, равной - 0.3. Для удлиненных молекул полиэлектролитов нет причин для увеличения заряда выше этого значения, поскольку размеры макромолекул не будут далее заметно изменяться, если - 30% способных к ионизации групп переходят в ионизованное состояние. Это соответствует примерно половине величины рК полимера. Далее размеры макромолекул в растворе будут рассмотрены в рамках скейлинговых теорий.
3. Конфигурация полимера и свойства растворителя
Выше подчеркивалось, что низкая растворимость полимеров и связанные с этим явления обусловлены низкой энтропией полимера по сравнению со свободными мономерами. Очевидно, что различия в свойствах нейтральных полимеров и полиэлектролитов связаны с энтропией противоионов и только опосредованно с электростатическими взаимодействиями.
3. Скейлинговые соотношения
Таким образом, следует задаться вопросом, всегда ли энтропия полимера отрицательна? Безусловно, нет. Например, конфигурационная энтропия определяет физические свойства растворов полимера. Одним из концептуально простых свойств является расстояние между концами макромолекулы R>tty> обычно определяемое как среднее расстояние между первым и последним мономерным звеном в цепи. При отсутствии какого бы то ни было взаимодействия в цепи полимера, состоящей из г мономеров, скейлинговое выражение для расстояния между концами макромолекулы имеет вид

Макромолекула в состоянии гауссовского клубка хаотически блуждает, при этом каждая связь может принимать в пространстве любое направление. Уравнение аналогично результату, полученному из уравнения диффузии, если число мономеров в цепи г интерпретировать как время. Заряженные мономеры в цепи полиэлектролита испытывают дальнодействующее отталкивание, и в этом случае цепь принимает более вытянутую форму:

Уравнение 14 справедливо для полиэлектролита при бесконечном разбавлении и в отсутствие добавок солей. В этом случае дебаевский радиус экранирования

При конечной
концентрации полимера и при добавлении
соли происходит экранирование. Если
,
то расстояние между концами полимерной
цепи описывается следующим скейлинговым
выражением:

Это выражение выполняется, если для полимерной цепи характерно отталкивание на коротких расстояниях. Для макромолекулярной цепи, в которой действует притяжение, предельным случаем является плотная глобула, и расстояние между концами цепи равно

Для незаряженных полимеров можно изменять величину R>tt> путем замены растворителя. Хороший растворитель соответствует эффективному отталкиванию между мономерными звеньями. Плохой растворитель вызывает сжатие макромолекулы из-за эффективных взаимодействий притяжения. На величину R>tt> полиэлектролитов можно влиять различными способами. Например, увеличение концентрации полимера в растворе увеличивает экранирование взаимодействий и приводит к уменьшению R>tt>. То же самое наблюдается и при введении в раствор соли. Другой способ - варьирование рН, что приводит либо к нейтрализации зарядов, либо к ионизации функциональных групп мономеров. Расстояние между концами цепи в этом случае увеличивается пропорционально степени ионизации б. Для слабо заряженного полиэлектролита даже в присутствии соли расстояние между концами цепи зависит от б следующим образом:

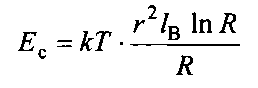
4. Простейшая скейлинговая теория
В этом разделе выведены некоторые приведенные выше соотношения для расстояния между концами полиэлектролитных цепей. Это можно сделать простым способом, рассматривая, как различные вклады в свободную энергию зависят от конфигурации цепи. Такой подход имеет ряд ограничений, но позволяет оценить некоторые важные физические свойства. Построим полиэлектролитную цепь как набор зарядов, связанных жесткими связями.
При расчете энергии электростатического взаимодействия будем считать, что заряды расположены на прямой линии длиной R = га, где а - средняя длина связи мономер-мономер. Далее суммируя все парные взаимодействия в цепи, состоящей из г мономеров, получим выражение для энергии электростатического взаимодействия:

где /в) известно как бьеррумовская длина, а пренебрежимо малый постоянный член опущен. Энтропия вытягивания цепи принимается равной энтропии идеальной цепи:

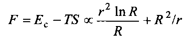
Опуская тривиальные константы, запишем выражение свободной энергии для всей цепи:

Оптимизируя уравнение, полагая R = R>ee> и пренебрегая вариацией логарифмического члена, найдем оптимальную свободную энергию из условия


Рис. Схематическая модель полиэлектролита

Рис. Степень ионизации б
Зависимость усредненного расстояния между концами полимерной цепи R>ee> от степени ионизации б по данным моделирования методом Монте-Карло. R>ee> нормировано на величину а, г = 320 откуда находим, что R>qq> изменяется по закону

Найденное выражение справедливо для полиэлектролитной цепи при бесконечном разбавлении и в отсутствие солей.
Уравнение справедливо и для слабых полиэлектролитов. Полиэлектролит в этом случае состоит из титруемой цепи, заряд которой изменяется с рН. Считая, что каждое мономерное звено несет локальный заряд, равный степени диссоциации а, энергию электростатического взаимодействия можно записать в виде

Используя ту же процедуру, найдем, что расстояние между концами полиэлектролитной цепи зависит от б в степени 2/3:

5. Простейшая скейлинговая теория для систем в присутствии солей
В реальных системах всегда присутствуют соли, которые влияют на электростатические взаимодействия, так как экранируют заряженные мономерные звенья. Взаимодействие экранируется и другими цепями, и противоионами, снижающими радиус действия электростатического взаимодействия. В первом приближении для описания взаимодействия между двумя мономерами на расстоянии г друг от друга можно использовать выражение Дебая-Хюккеля:

Взаимодействия в этом случае короткодействующие, и, по-видимому, для нахождения электростатической энергии нельзя моделировать систему прямой линией с расположенными на ней зарядами. Вместо этого принимают, что цепь усредненно можно считать сферой радиусом R. Потенциал Дебая-Хюккеля имеет громоздкий вид и его трудно использовать для оценок, но его можно упростить, полагая, что взаимодействие мономерных звеньев строго соответствует кулоновскому потенциалу, но только на расстояниях, не превышающих к~ *. Используя, как и ранее, энтропию идеальной цепи, получим следующее выражение для свободной энергии:

Оптимизируя свободную энергию по R, получим скейлинговое соотношение для нетитруемой цепи:

Можно обобщить уравнение на титруемую цепь, когда цепь растягивается при увеличении степени ионизации пропорционально а2/5. Это описывает начальное увеличение, наблюдаемое экспериментально, но при этом теряется предельное значение, отвечающее высоким значениям б. Причина в нелинейных эффектах экранирования, которые не учитываются уравнением Дебая-Хюккеля. Усложненная теория или численное моделирование также предсказывают более слабую зависимость от б. Если в системе присутствуют многозарядные противоионы, ее поведение более сложное, нежели предсказывает уравнение. Корреляция между высокозаряженными противоионами может вызывать эффективное притяжение между мономерными звеньями и, как следствие, уменьшение расстояния между концами макромолекул полиэлектролита при увеличении степени ионизации. Эта картина полностью аналогична притяжению между двойными электрическими слоями в присутствии двухзарядных противоионов.

Зависимость усредненного расстояния между концами полимерной цепи от концентрации соли в растворе по данным моделирования методом Монте-Карло, г = 320


Зависимость усредненного расстояния между концами полимерной цепи R>ee> от степени ионизации б для растворов полимеров, содержащих противоионы, несущие различные заряды. R>ee> нормировано на величину а.
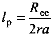
Электростатическая персистентная длина
Конфигурацию макромолекул в растворе иногда описывают в терминах персистентной длины, которую можно рассматривать как меру жесткости цепи. Эта величина связана с расстоянием между концами макромолекулы следующим соотношением:

где га - контурная длина цепи. Для полиэлектролитов иногда полезно разложить персистентную длину на электростатическую и неэлектростатическую составляющие:
где />р>,
о - персистентная длина незаряженной
цепи. Для свободносвязанной цепи, как
и в приведенном выше скейлинговом
анализе, из уравнения можно найти, что
электростатическая персистентная длина
пропорциональна к"475. Для цепи
с
моделирование
методом Монте-Карло дает зависимость,
в которой электростатическая персистентная
длина пропорциональна к-1. Для
цепи, обладающей жесткостью, обычно
выполняется условие
В
этом случае электростатическая
персистентная длина изменяется
пропорционально к-2.
Вязкость растворов полимеров является, как правило, надежной мерой геометрического размера полимерной цепи. На рис.14 показаны результаты классических измерений для протонированного поливинилпиридина с бромид-ионами в качестве противоионов при различных концентрациях полимера и соли. Из этих данных вытекают два следствия. Во-первых, эффектом экранирования обладают как сам полиэлектролит, так и противоионы. Для системы, свободной от электролита, видно, что с увеличением концентрации полимера вязкость уменьшается. Во-вторых, после введения в систему определенного количества соли вязкость изменяется очень незначительно. Это согласуется с уравнением, из которого вытекает, что величина изменяется с концентрацией по закону с~1/5.


Зависимость приведенной вязкости поливинилпиридина от концентрации полимера в растворах разного состава: 1 - в воде; 2 - в 0.001 M KBr; 3 - в 0.0335 M KBr.