Анализ деятельности строительной компании ЗАО "Чеви Коструциони"
Содержание
Введение 2
1 Аналитическая часть 7
1.1 Краткая характеристика предприятия ЗАО «Чеви Коструциони» 7
1.2 Анализ организационной структуры 8
1.3 Анализ хозяйственной деятельности предприятия 10
1.4 Трудовые ресурсы 16
1.5 Сметная деятельность предприятия ЗАО «Чеви Коструциони» 22
2 Теоретические аспекты сметной деятельности 29
2.1 Ценообразование в строительстве 29
2.2 Структура и виды смет 40
3 Проектная разработка мероприятий на введении новой единицы сметного отдела 51
3.1 Обоснование необходимости введения сметного отдела 51
3.2 Проектные мероприятия по введению сметного отдела 53
4 Технологическая часть 58
4.1 Анализ настоящих подходов к сметному делу в организации ЗАО «Чеви Коструциони» 58
4.2 Автоматизация сметной деятельности 61
5 Охрана труда 66
6 Социально-экономическая эффективность проектных решений 72
Заключение 77
Список использованной литературы 80
Введение
Сметная документация является важным элементом проекта любого сооружения или системы, в связи с чем в проектных организациях обычно существуют специальные отделы, занимающиеся разработкой смет.
В условиях централизованной плановой системы бывшего СССР все расчеты заказчиков с подрядчиками основывались на сметах, т.е. сметная стоимость выступала в роли цены строительной продукции. В рыночных условиях РФ цена на строительную продукцию устанавливается на основе взаимного соглашения заказчика и подрядчика на равноправной основе в процессе заключения соответствующего договора. Однако в условиях рынка необходимость в сметной документации сохраняется, хотя функции смет несколько меняются. Во-первых, сметная документация становится как для заказчика, так и для подрядчика ориентиром для установления договорной цены. Во-вторых она необходима для рационального планирования и анализа затрат как у заказчика, так и у подрядчика, для проведения промежуточных денежных расчетов между ними..
При заключения договоров подряда сметная документация не является обязательной, обязателен лишь протокол соглашения о договорной цене. Однако заказчик имеет право затребовать сметную документацию в любой форме, с любой степенью детализации. Большинство заказчиков предпочитает пользоваться таким правом практически во всех случаях, особенно, когда заказчик - государственная организация.
Сметная документация, охватывающая весь комплекс строящихся объектов, именуется "сводной", так как она обычно обобщает документацию по отдельным объектам. Если же она охватывает лишь конкретный объект или его часть (вид работ), она именуется соответственно "объектной" или "локальной". Сметный документ, который рассчитывается без подробной детализации с использованием укрупненных показателей, обычно именуется "сметным расчетом". Если делается детальный расчет стоимости по рабочим чертежам без укрупнения, то получаемый документ обычно именуется "сметой".
Сметная стоимость устанавливается на каждой стадии проектирования, в связи с чем обеспечивается поэтапная ее детализация и уточнение.
На предпроектной стадии при составлении "Обоснования инвестиций" по заданию инвестора определяется предварительная (расчетная) стоимость строительства. Она составляется по предельно укрупненным показателям (на 1 га мелиорируемых земель, на 1м3 строительного объема, на 1 м2 жилой площади и т.д.), ибо проекта на этой стадии еще нет. При отсутствии таких показателей могут использоваться данные о стоимости объектов-аналогов.
На стадии Проект составляются тоже укрупненные, но более точные сметные расчеты. Они основываются на чертежах этой стадии проектирования и включают "Сводный сметный расчет стоимости строительства", объектные и локальные сметные расчеты, сметные расчеты на отдельные виды работ, в том числе изыскательские и проектные (составляются до начала этих работ) и др. При нескольких видах строительства (и соответственно нескольких источниках финансирования) составляется еще "Сводка затрат" по видам строительства (например, гидромелиоративного, промышленного, жилищного и т.д.).
Основанием для сметных расчетов на этой стадии, как отмечалось, служит проектная документация и действующая сметно-нормативная база с введением соответствующих поправочных коэффициентов. При отсутствии сметных нормативов используются индивидуальные расценки, составленные непосредственно для таких случаев.
На стадии "Рабочая документация" (РД) составляются объектные и локальные сметы, причем СНиП 11.01-95 разрешает их не составлять, если договором на выполнение РД это не предусмотрено.
В рыночных условиях РФ применяются четыре метода расчета сметной стоимости:
ресурсный
ресурсно-индексный
базисно-индексный
базисно-компенсационный
Ресурсный метод - это калькулирование в текущих (прогнозных) ценах и тарифах ресурсов (элементов затрат). При таком методе устанавливаются раз- дельно в натуральных измерениях (м3, тонна, штука, чел-час и т.д.) расходы материалов и изделий, затраты времени на эксплуатацию машин, затраты труда рабочих, а цены на эти ресурсы принимаются текущие (на момент составления смет). В качестве нормативной базы используются Нормативные показатели расхода материалов (НПРМ). Этот метод позволяет в дальнейшем достаточно точно пересчитывать сметную стоимость на новые цены.
Ресурсно-индексный метод - это сочетание ресурсного метода с системой индексов цен на ресурсы. Индексами цен называют отношения текущих цен к базовым. В качестве базовых цен, как отмечалось, принимают цены на 1.01.91 и допустимо использовать цены 1984г. с поправками.
Базисно-индексный метод - это использование системы текущих и прогнозных индексов цен по отношению к стоимости, определенной на базисном уровне или уровне предшествующего периода. В отличие от ресурсно-индексного метода, раздельного определения расхода ресурсов в натуральных показателях обычно не делается. Приведение к текущим ценам выполняется путем перемножения базисной стоимости по каждой строке сметы на соответствующий индекс.
Базисно-компенсационный метод состоит в том, что определяется базисная стоимость с учетом ожидаемых изменений цен и тарифов, а в процессе строительства она уточняется в зависимости от фактических изменений этих цен и тарифов.
Выбор метода составления сметной документации законодательством не регламентируется и осуществляется в каждом конкретном случае в зависимости от условий договора (контракта) и общей экономической ситуации. Наиболее перспективным считается ресурсный и ресурсно-индексный методы, однако, в настоящее время в строительстве преобладает базисно-индексный метод.
Сметная стоимость строительно-монтажных работ делится на три основных части:
прямые затраты
накладные расходы
сметная прибыль (плановые накопления)
Прямые затраты включают стоимость материалов, изделий, расходы на эксплуатацию машин и механизмов, зарплату рабочих. Они определяются, исходя из сметных норм и цен, объемов конструкций или видов работ, т.е. любым из названных выше методов расчета.
Накладные расходы отражают затраты, связанные с созданием общих условий строительного производства, т.е. включают расходы на организацию, управление и обслуживание стройки. Они определяются чаще всего в процентах от прямых затрат в соответствии с федеральными нормами накладных расходов, либо по индивидуальным нормам конкретной строительной организации. Возможно также их определение с помощью системы показателей накладных расходов по видам строительно-монтажных работ или укрупненным показателям на основные виды строительства.
Сметная прибыль (плановые накопления) - это сумма средств, необходимых для покрытия расходов, непосредственно не связанных с данным строительством, но нужных для дальнейшего функционирования строительной организации. Это расходы на уплату налогов, развитие производства и его инфраструктуры, на материальное стимулирование и обеспечение благоприятных условий жизни работников. Сметная прибыль обычно определяется в процентах от общих затрат или затрат на оплату труда рабочих (например, 50% от затрат на оплату труда рабочих или 12% от сметной стоимости работ). Используются для этого общеотраслевые нормативы или индивидуальные нормы конкретной организации.
Таким образом, составление сметно-нормативной документации определяет весь дальнейший ход проектного процесса, что и обусловливает актуальность темы дипломной работы.
Целью настоящей дипломной работы является разработка рекомендаций для совершенствования деятельности строительной компании. Для достижения поставленной цели в дипломной работе решены следующие задачи:
раскрыты особенности ценообразования в строительной отрасли, роль смет в ценообразовании строительной продукции;
охарактеризован порядок и основные положения составления смет;
проведен анализ хозяйственной деятельности ЗАО «Чеви Коструциони», на основе которого разработаны рекомендации по совершенствованию его деятельности;
рассчитан экономический эффект от внедренных предложений.
Таким образом, объектом исследования является ЗАО «Чеви Коструциони», предметом – сметная деятельность анализируемого предприятия.
1 Аналитическая часть
1.1 Краткая характеристика предприятия ЗАО «Чеви Коструциони»
В качестве объекта анализа выступает ЗАО «Чеви Коструциони», которое является закрытым акционерным обществом (далее общество). Оно создано в соответствии с Гражданским Кодексом РФ для организации предпринимательской деятельности и получении прибыли.
Общество действует в соответствии с законодательством РК, является юридическим лицом, имеет круглую печать, счет в банке, является истцом и ответчиком в гражданском и третейском судах. Имеет все права предприятия и несет предусмотренные законодательством обязанности.
ЗАО «Чеви Коструциони» было организовано 2 августа 1999 года с целью удовлетворения общественных потребностей и извлечения прибыли. ЗАО «Чеви Коструциони» было организовано на базе крупного строительного комбината путем выделения в самостоятельную хозяйственную единицу деревообрабатывающего производства. Общество действует на территории бывшего деревообрабатывающего комбината, арендуя у него здания и сооружения. При этом предприятие имеет собственные оборотные средства, представленные оборудованием, машинами и механизмами, как выкупленные у бывшего комбината, так и приобретенные самостоятельно.
Для обеспечения деятельности ЗАО «Чеви Коструциони» был создан Уставный капитал, который состоит из номинальных долей его участников и составляет 70 000 рублей. Уставный капитал ЗАО «Чеви Коструциони» оплачен денежными средствами.
Высшим органом ЗАО «Чеви Коструциони» является общее Собрание Участников. Собрание Участников принимает к своему рассмотрению и решению любые вопросы, связанные с деятельностью организации и не противоречащие Законодательству РФ.
Исполнительным органом организации является генеральный директор, подотчетный Собранию Участников. Генеральный директор избирается Собранием Участников сроком на один год.
В полномочия Генерального директора входит решение всех вопросов деятельности организации, если они не отнесены к исключительной компетенции Собрания Участников.
Контроль за финансово-хозяйственной деятельностью организации осуществляет ревизионная комиссия (ревизор), избираемая Собранием. Внешний контроль за финансово-хозяйственной деятельностью осуществляет аудиторская организация на коммерческой основе.
Общество как таковое несёт ответственность по своим обязательствам всем своим имуществом в порядке, предусмотренном законодательством РФ.
Для анализа финансово-хозяйственной деятельности и государственного контроля за доходами, общество осуществляет учет результатов своей деятельности, ведет бухгалтерскую и статистическую отчетность в установленном государственном порядке.
1.2 Анализ организационной структуры
Организационная структура ЗАО «Чеви Коструциони» представлена на рис. 1.1. Полная структура управления состоит из директора, главного бухгалтера, заместителей директора, энергетика и главного механика.
Директор действует без доверенности от имени общества.
Общество обязано проводить ревизию своей финансово-хозяйственной деятельности собственными силами или силами привлеченных аудиторских организаций не реже одного раза в два года, а внеочередные ревизии – по требованию хотя бы одного из участников.
ЗАО «Чеви Коструциони» является специализированной организацией промышленности строительных материалов.
Основное направление производства ЗАО «Чеви Коструциони» на сегодняшний день – производство деревянных конструкций и изделий. В настоящее время в ассортимент выпускаемой продукции ЗАО «Чеви Коструциони» входит следующая продукция.
Основным видом продукции являются столярные изделия оконные рамы и дверные блоки. Следует отметить, что предприятие выпускает как типовые оконные рамы, так и готовые деревянные стеклопакеты по европейским стандартам. В настоящий момент руководство предприятия планирует модернизировать данное производство с целью повышения его эффективности и повышения качества продукции. Предприятие выпускает и предлагает клиентам большой выбор дверей из натурального дерева разных пород.

Рис. 1.1 – Организационная структура ЗАО «Чеви Коструциони»
Предприятие имеет в штате дизайнера, который занимается разработкой различных видов и моделей дверей и прочих конструкций.
Помимо оконных и дверных блоков предприятие выпускает различные деревянные конструкции: лестницы, беседки, ограждающие конструкции, деревянные элементы внутреннего и внешнего декора, стеновые облицовочные панели, паркет и многое другое.
Предприятие работает также на заказ по изготовлению деревянных конструкций к зданиям и строениям для строительства загородных домов, бань и т.д.
Клиентами ЗАО «Чеви Коструциони» являются мелкие и крупные строительные компании, использующие продукцию ЗАО «Чеви Коструциони» в своей строительной деятельности, а также отдельные покупатели, приобретающие продукцию для личного потребления.
1.3 Анализ хозяйственной деятельности предприятия
По данным баланса динамика активов и пассивов ЗАО «Чеви Коструциони» за два отчетных года может быть охарактеризована следующим образом. Данные баланса представлены в таблицах 1.1, 1.2.
Таблица 1.1
Состав и размещение активов баланса
|
АКТИВ |
2005г. |
2006г. |
Отклонение |
|||
|
тыс.руб |
удельный вес, % |
тыс.руб |
удельный вес, % |
абсолютное, тыс.руб |
относительное, % |
|
|
I.Внеоборотные активы, всего |
15526,2 |
45,02 |
17318,4 |
43,10 |
1792 |
11,5 |
|
Основные средства |
13263,5 |
38,46 |
15891,8 |
39,55 |
2628 |
19,8 |
|
Здания, машины и оборудование |
13263,6 |
38,46 |
15891,8 |
39,55 |
2628 |
19,8 |
|
Незавершенное строительство |
2232,3 |
6,47 |
1247,9 |
3,11 |
-984 |
-44,1 |
|
Прочие основные средства |
30,37 |
0,09 |
178,7 |
0,44 |
148 |
488,4 |
|
Итого по разделу |
|
0,00 |
|
0,00 |
0 |
|
|
II. Оборотные активы всего |
18958,7 |
54,98 |
22865,9 |
56,90 |
3907 |
20,6 |
|
Запасы: |
7119,6 |
20,65 |
7619,8 |
18,96 |
500 |
7,0 |
|
НДС по приобретенным ценностям |
1592,9 |
4,62 |
2041,7 |
5,08 |
449 |
28,2 |
|
Дебиторская задолженность |
9454,3 |
27,42 |
11523,7 |
28,68 |
2069 |
21,9 |
|
Краткосрочные финансовые вложения |
|
0,00 |
1105,6 |
2,75 |
1106 |
|
|
Денежные средства |
791,8 |
2,30 |
574,9 |
1,43 |
-217 |
-27,4 |
|
Всего активов |
34484,8 |
100 |
40184,4 |
100 |
5700 |
16,5 |
За исследуемый период сумма имущества увеличилась на 5699 тыс.руб. или 16%, за счет увеличения мобильных активов на 3900 тыс.руб. или 20%. Это связано прежде всего с увеличением запасов на 500 тыс. руб. или 7% и значительным увеличением дебиторской задолженности до – 11523,7тыс. руб. или на 21,9%.
При этом произошло уменьшение доли иммобилизованных активов с 45,02 до 43,10% при общем увеличении их на 11,5%.
Активы, вложенные в денежные средства, уменьшились на 217 тыс. руб. или на 27,4%.
Вместе с тем доля мобильного имущества в валюте баланса увеличилась с 54,98% до 56,9%.
Таблица 1.2
Состав и размещение пассивов баланса
|
ПАССИВ |
2005г. |
2006г. |
Отклонение |
|||
|
тыс. руб |
уд вес % |
тыс. руб |
уд вес, % |
абсолютное, тыс. руб |
относительное, % |
|
|
3. Капитал и резервы, всего |
18405,6 |
53,4 |
18521,6 |
46,1 |
116,0 |
0,6 |
|
Уставный капитал |
7,2 |
0,0 |
7,2 |
0,0 |
0,0 |
0,0 |
|
Добавочный капитал |
9162,5 |
26,6 |
9162,5 |
22,8 |
0,0 |
0,0 |
|
Резервный капитал |
0,4 |
0,0 |
0,4 |
0,0 |
0,0 |
0,0 |
|
Нераспределенная прибыль (непокрытый убыток) прошлых лет |
9235,5 |
26,8 |
9235,5 |
23,0 |
0,0 |
0,0 |
|
Нераспределенная прибыль (убыток) отчетного года |
0,0 |
0,0 |
116,0 |
0,3 |
116,0 |
|
|
IV. Долгосрочные обязательства, всего |
8070,8 |
23,4 |
6641,5 |
16,5 |
-1429,3 |
-17,7 |
|
Займы и кредиты |
8026,6 |
23,3 |
6567,8 |
16,3 |
-1458,9 |
-18,2 |
|
Отсроченные налоговые обязательства |
44,2 |
0,1 |
73,7 |
0,2 |
29,5 |
66,8 |
|
V. Краткосрочные обязательства, всего |
8008,5 |
23,2 |
15021,3 |
37,4 |
7012,9 |
87,6 |
|
Кредиторская задолженность |
8008,5 |
23,2 |
15021,3 |
37,4 |
7012,9 |
87,6 |
|
Всего пассивов |
34484,8 |
100,0 |
40184,4 |
100,0 |
5699,6 |
16,5 |
Анализ источников имущества показывает, что собственный капитал уменьшился незначительно, и удельный вес уменьшился с 53% до 46%.
Долгосрочные обязательства в рассматриваемый период снизились на 17,7%
Краткосрочные обязательства за 2006 год резко возросли на 7012,9 тыс. руб. или почти на 50%. Увеличение произошло за счет роста кредиторской задолженности. Соответственно доля заемного капитала также увеличилась с 47% до 54% .
Такой резкий скачок заемного капитала, связан с неспособностью предприятия, погасить свою задолженность перед поставщиками, своими работниками, государственными внебюджетными фондами и перед бюджетом.
Итак, соотношение мобильных и иммобилизованных (внеоборотных) имущества отклоняется в сторону мобильных. При этом увеличение внеоборотных активов связано с вводом в производство новых фондов и уменьшением незавершенного строительства. А увеличение оборотных активов связано с увеличением запасов и дебиторской задолженности. В современных условиях «запас» является резервом, повышающим финансовую надежность предприятия при условии возможности маневрировать этим резервом. Высокий рост дебиторской задолженности свидетельствует о том, что произошло снижение оплаты выполненных работ и поэтому дебиторы, покупатели продукции компании, не могут расплатиться с предприятием. Конечно, можно ждать пока изменится ситуация и будут налажены поступления денежных средств, тогда пойдет снижение дебиторской задолженности. Однако предприятие должно вести свой внутренний контроль. Это немаловажно, т.к. это позволит увеличить финансовые возможности для его технического развития.
Соотношение собственного и заемного капиталов незначительно склонилось в сторону заемного. Увеличение заемного капитала свидетельствует об увеличении кредиторской задолженности, которая связана с неспособностью предприятия погасить за данный период свою задолженность по предъявленным счетам и требованиям.
Основная задача изучения экономического состояния предприятия состоит в выявлении тенденций и пропорций, сложившихся, в получении выручки, формирования себестоимости, показателей эффективности работы за отчетный год по сравнению с прошлым годом. По результатам анализа разрабатываются рекомендации по улучшению работы организации.
Представленные ниже показатели содержит важнейшие показатели эффективности предприятия. Одним из важнейших факторов, оказывающих влияние на эффективность работы организации, величину прибыли и уровень рентабельности является себестоимость производства продукции, которая также позволяет понять, насколько эффективно руководство ЗАО «Чеви Коструциони» распоряжалось имеющимися материальными, трудовыми и финансовыми ресурсами. Наиболее интересной для анализа является структура себестоимости. Представим структуру себестоимости в таблице 1.3.
Таблица 1.3
Структура себестоимости ЗАО «Чеви Коструциони»
|
Статья затрат |
Значение, тыс.руб. |
Доля, % |
|
Сырье и материалы |
49248,0 |
44,3 |
|
Топливо энергия |
17433,6 |
15,7 |
|
Заработная плата основных рабочих |
16172,8 |
14,6 |
|
Заработная плата дополнительных рабочих |
1568 |
1,4 |
|
Отчисления на ФОТ |
4612,608 |
4,2 |
|
Расходы на содержание и эксплуатацию оборудования |
3488 |
3,1 |
|
Цеховые расходы |
8505,6 |
7,7 |
|
Общезаводские расходы |
9468,8 |
8,5 |
|
Прочие производственные расходы |
92,8 |
0,1 |
|
Всего себестоимость произведенной продукции |
111086,2 |
100 |
Представим графическую интерпретацию структуры себестоимости (рисунок 1.3).
Таким образом, наибольший удельный вес в себестоимости продукции занимают затраты на сырье и материалы и занимают 44,3% в общей сумме затрат. Значительны также доли энергии и заработной платы работников. В целом представленная структура соответствует структуре материалоемкого производства. В данных условиях предприятию необходимо наиболее пристальное внимание уделять именно этим наиболее дорогим статьям расходов: сырье, энергия, заработная плата.

Рисунок 1.3 – Структура себестоимости
Для более полного анализа себестоимости необходимо провести анализ себестоимости в динамике. Для этого приведем таблицу данных по себестоимости за исследуемый период (таблица 1.4).
Таблица 1.4
Динамика себестоимости
|
Статья затрат |
Значение, тыс.руб. |
Отклонение от 2004 |
Отклонение от 2003 |
||
|
2003г. |
2004г. |
2005г. |
|||
|
Сырье и материалы |
39301,9 |
44631,0 |
52664,6 |
0,18 |
0,27 |
|
Топливо, энергия |
14286,6 |
15799,2 |
18429,8 |
0,17 |
0,29 |
|
Заработная плата основных рабочих |
13829,2 |
14656,6 |
17148,2 |
0,17 |
0,24 |
|
Заработная плата дополнительных рабочих |
1346,9 |
1421,0 |
1548,9 |
0,09 |
0,15 |
|
Отчисления |
3976,3 |
4180,2 |
4890,8 |
0,17 |
0,23 |
|
Расходы на содержание и эксплуатацию оборудования |
2294,7 |
3161,0 |
3097,8 |
-0,02 |
0,35 |
|
Цеховые расходы |
6467,0 |
7708,2 |
7631,1 |
-0,01 |
0,18 |
|
Общезаводские расходы |
7915,3 |
8581,1 |
9181,8 |
0,07 |
0,16 |
|
Прочие производственные расходы |
81,2 |
84,1 |
93,4 |
0,11 |
0,15 |
|
Всего себестоимость |
89891,5 |
100671,8 |
111086,2 |
0,1027 |
0,24 |
По результатам анализа данных, отметим, что в рассматриваемом периоде наметилась тенденция увеличения себестоимости. Причем себестоимость увеличивалась в основном за счет увеличения значений по статьям сырье и материалы, энергия, заработная плата. Так за весь период затраты по энергии увеличились на 29%, по сырью и материалам – на 27%, по зарплате – на 24%. При сравнении данных себестоимости за 2005 год с данными за 2003 год видно, что рост также значителен и по статьям расходы на содержание и эксплуатацию оборудования, что объясняется большими затратами, связанными с началом строительства и наладки нового оборудования. А в сравнении с данными 2004 года затраты по ряду статей даже снизились. Можно сказать, что рост этих затрат носил временный характер. Рост же затрат на материалы, энергию и заработную плату связан с ростом объема произведенной продукции.
Конечно «скачки» величины себестоимости произведенной продукции во многом обусловлены изменением объема производства, а соответственно и такими объективными факторами как потребность в сырье, механизмах, рабочей силе, сложившимся уровнем цен на эти ресурсы. Но в значительной мере уровень себестоимости определяется самой организацией, тем насколько рационально и эффективно используются ресурсы. Поэтому для удержания стабильной величины себестоимости ЗАО «Чеви Коструциони» должно уделить особое внимание вопросам, связанным с использованием имеющихся ресурсов.
1.4 Трудовые ресурсы
Трудовые ресурсы являются одним из самых важных ресурсов на предприятии любой отрасли. От их наличия и степени использования зависит во многом эффективность использования других факторов производства. Рассмотрим подробнее трудовые ресурсы ЗАО «Чеви Коструциони» и оценим эффективность из использования.
Во-первых, необходимо проанализировать структуру персонала по группам, оценить их возрастной состав, уровень образования и стажа. Данные представим в таблице 1.5.
Таблица 1.5
Структура персонала ЗАО «Чеви Коструциони»
|
Группа |
Численность группы |
|
Списочная численность |
|
|
Административно-управленческий персонал |
23 |
|
Рабочие |
127 |
|
Возрастная структура |
|
|
до 20 лет |
2 |
|
20-30 |
25 |
|
30-50 |
102 |
|
свыше 50 |
21 |
|
Уровень образования |
|
|
высшее |
40 |
|
среднетехническое |
60 |
|
среднеспециальное |
46 |
|
среднее |
5 |
Представим графически данные трудовых ресурсов (рисунок 1.4, 1.5).

Рисунок 1.4 – Структура персонала ЗАО «Чеви Коструциони»

Рисунок 1.5 – Структура персонала ЗАО «Чеви Коструциони» по уровню образования
Как видно из данных таблицы, предприятие обладает достаточно высокого качества трудовыми ресурсами. Подавляющее большинство работников находятся в самой работоспособной трудовой фазе от 30 до 50 лет. Достаточна доля молодого поколения, которое способно перенять дух и идею производства, его ценности и составить костяк коллектива в будущем. Образовательный уровень также достаточно высок. Две трети работников являются квалифицированными специалистами.
Далее необходимо оценить степень использования трудового потенциала. Проанализируем степень и динамику использования фонда рабочего времени. Для этого определим общий фонд рабочего времени и отработанное одним работником время. Данные представлены в таблице 1.6.
Таблица 1.6
Использование трудовых ресурсов ЗАО «Чеви Коструциони»
|
Показатель |
2004 |
2005 |
2006 |
|
Среднесписочная численность |
120 |
126 |
150 |
|
Отработано за год одним работником, дней |
232 |
230 |
236 |
|
Отработано за год одним работником, часов |
1828 |
1826 |
1876 |
|
Средняя продолжительность рабочего дня, ч |
7,87931 |
7,93913 |
7,949153 |
|
Фонд рабочего времени, чел-ч |
219360 |
230076 |
281400 |
Как видно, показатели использования трудовых ресурсов улучшаются за исследуемый период. Так увеличился фонд рабочего времени в 2005 году. Остальные показатели несколько колеблются, но, в целом, тенденция сохранилась, и показатели за 2006 год по отработанному времени выше аналогичных показателей за 2004 год.
Важным показателем при анализе использования трудовых ресурсов выступает показатель производительности труда. Одним из показателей, используемых для оценки производительности труда, является показатель выработки.
Рассчитаем выработку в расчете на одного рабочего и работника. Расчеты сведем в таблицу 1.7.
Самое высокое значение показателей выработки было в 2005 году. В 2006 году значения снизились. На фоне увеличения фонда рабочего времени и увеличения количества отработанных часов снижение выработки свидетельствует о снижении производительности и ухудшении и снижении эффективности использования трудовых ресурсов. При этом выработка в 2006 году ниже, чем выработка в 2004 году.
Таблица 1.7
Анализ производительности труда ЗАО «Чеви Коструциони»
|
Показатель |
2004 |
2005 |
2006 |
|
Среднесписочная численность, в том числе |
120 |
126 |
150 |
|
Административно-управленческий персонал |
20 |
21 |
23 |
|
Рабочие |
100 |
105 |
127 |
|
Удельный вес рабочих в общей численности работников, % |
83,3 |
83,3 |
84,67 |
|
Отработано за год одним работником, дней |
232 |
230 |
236 |
|
Средняя продолжительность рабочего дня, ч |
7,87931 |
7,93913 |
7,949153 |
|
Отработано часов всеми рабочими, ч |
182800 |
191730 |
238252 |
|
Объем произведенной продукции, тыс.руб. |
106924,8 |
115874,6 |
126710,9 |
|
Среднегодовая выработка одного работника, тыс.руб. |
891,0401 |
919,6397 |
844,7393 |
|
Среднегодовая выработка одного рабочего, тыс.руб. |
1069,248 |
1103,568 |
997,7236 |
|
Среднедневная выработка рабочего, руб |
4,608828 |
4,79812 |
4,227642 |
|
Среднечасовая выработка рабочего, руб |
0,701913 |
0,725236 |
0,628152 |
В свете полученных результатов, необходимо оценить еще один важный показатель производительности труда — трудоемкость. Динамика показателя представлена в таблице 1.8.
Таблица 1.8
Анализ удельной трудоемкости
|
Показатель |
2004 |
2005 |
2006 |
|
Объем произведенной продукции, тыс.руб. |
106924,8 |
115874,6 |
126710,9 |
|
Отработано часов всеми рабочими, ч |
182800 |
191730 |
238252 |
|
Удельная трудоемкость на 1 тыс.руб., ч |
1,709 |
1,654 |
1,880 |
Произведенный анализ показывает ту же картину: отмечается ухудшение использования трудовых ресурсов. На конец исследуемого периода удельная трудоемкость значительно возросла, что говорит о том, что для производства продукции требуется все большее количество рабочего времени.
Все проанализированные показатели говорят о снижении эффективности трудовых ресурсов. При увеличении общего количества рабочего времени, трудовой потенциал используется неэффективно.
Далее необходимо оценить стоимость используемых трудовых ресурсов. В данном случае речь идет о заработной плате персонала предприятия.
Необходимо произвести анализ фонда заработной платы. Результаты представим в таблице 1.9.
Таблица 1.9
Анализ фонда заработной платы ЗАО «Чеви Коструциони»
|
Показатель |
2004 |
2005 |
2006 |
|
Объем произведенной продукции, тыс.руб. |
106924,8 |
115874,6 |
126710,9 |
|
Среднесписочная численность |
120 |
126 |
150 |
|
Рабочие |
100 |
105 |
127 |
|
Фонд заработной платы всего, тыс.руб |
14711,84 |
16596,8 |
18260 |
|
в том числе рабочих |
11692,64 |
13577,6 |
15240,8 |
|
Среднегодовая заработная плата работников, руб |
122,5987 |
131,7206 |
121,7333 |
|
в том числе рабочих |
116,9264 |
129,3105 |
120,0063 |
По данным расчетов общий фонд заработной платы за период увеличился с 14,7 млн.руб. до 18,3 млн.руб. Соответственно увеличился фонд оплаты труда рабочих. При этом среднегодовая зарплата росла неоднозначно. Наиболее высокая зарплата была зафиксирована в 2005 году. Следует отметить, что доля заработной платы рабочих в общем фонде зарплаты увеличивается и среднегодовая заработная плата рабочих в 2006 году приближается к среднегодовой зарплате в целом по предприятию.
Далее сопоставим полученные данные о выработке и трудоемкости и заработной плате работников (таблица 1.10).
Таблица 1.10
Анализ сопоставления стоимости и степени использования трудовых ресурсов ЗАО «Чеви Коструциони»
|
Показатель |
2004 |
2005 |
2006 |
|
Объем произведенной продукции, тыс.руб. |
106924,8 |
115874,6 |
126710,9 |
|
Среднесписочная численность |
120 |
126 |
150 |
|
Среднегодовая выработка одного работника, тыс.руб. |
891,0401 |
919,6397 |
844,7393 |
|
Удельная трудоемкость на 1 тыс.руб., ч |
1,709613 |
1,654634 |
1,88028 |
|
Фонд заработной платы всего, тыс.руб |
14711,84 |
16596,8 |
18260 |
|
Среднегодовая заработная плата работников, руб |
122,5987 |
131,7206 |
121,7333 |
Представим графически соотношение полученных результатов (рисунок 1.6).

Рисунок 1.6 – Сопоставление показателей использования трудовых ресурсов
Увеличение фонда оплаты труда, связано, прежде всего, с ростом численности персонала. А вот колебания среднегодовой заработной платы соответствуют снижению эффективности использования рабочего времени и повышению трудоемкости, что естественно отразилось на оплате труда рабочих, имеющих сдельный характер оплаты труда.
1.5 Сметная деятельность предприятия ЗАО «Чеви Коструциони»
Планирование строительной деятельности строго регламентировано - на каждый проект (объект) разрабатывается проектно-сметная документация, в котором затраты жестко нормируются (применяются нормативные базы сметных цен и норм). Поэтому для формируемых бюджетов проектно-сметная документация может являться одним из основных источников планирования расходов по статьям и видам выполняемых работ. При планировании строительной деятельности предприятие использует следующие инструменты планирования - составление сетевого графика работ и календарное планирование ресурсов.
Сетевой график работ - это инструмент, используемый для планирования, составления расписания и мониторинга хода выполнения работ. Сетевой график отражает операции, которые необходимо выполнить, логическую последовательность и взаимозависимость этих операций, а также, в большинстве случаев, время начала и окончания цепочки операций1.
Календарное планирование ресурсов используется для увязки сроков сетевого графика с ограниченным наличием ресурсов у предприятия.
Применение календарного планирования позволяет: подсчитать сроки выполнения объектов строительства с учетом наличия ресурсов; выявить приоритеты использования имеющихся ресурсов; определить соответствие имеющихся людских и трудовых ресурсов объемам работ; оценить изменение сроков выполнения строительных работ при несвоевременной поставке ресурсов; определить неэффективное использование ресурсов.
Несмотря на то, что строительство каждого объекта в целом уникально, многие этапы работ по разным объектам могут совпадать или отличаться незначительно на вычисляемую величину (на определенный процент). Поэтому целесообразно применять так называемое аналоговое планирование. Например, при определении стоимости строительства жилого дома можно воспользоваться информацией о числе квартир в здании, стоимости квадратного метра площади в аналогичном доме, изменив эту величину на поправочный коэффициент.
Сметная деятельность в организации ведется на основе сметно-нормативной базы МТСН-98.
С момента становления инвестиционного рынка в России Москва активно включилась в разработку новых подходов к ценообразованию в строительстве по всему спектру проблем, связанных с инвестиционной деятельностью в городе. Этот процесс, начавшись в январе 1991 года, никогда не прекращался, ни на один день не уходил из-под контроля правительства Москвы и в то же время обходился без применения каких-либо незаконных или антирыночных мер по административному регулированию цен. Сметное нормирование, современное ценообразование в столице всегда развивались в рамках существующей законодательной базы, и только в отдельных, достаточно редких случаях включался административный ресурс - через решения Региональной межведомственной комиссии по ценовой и тарифной политике при правительстве Москвы, работающей на общественных началах уже более 10 лет.
Не прекращающийся в Москве строительный бум, ставший в наше время признанным феноменом, лучшее доказательство правильности принятой системы управления ценообразованием в строительстве. Она позволила сохранить производственный потенциал подрядчиков, удержать от банкротства и увеличить мощности промышленных предприятий строительной индустрии и в то же время не разорить инвесторов, сберечь и приумножить городские капитальные вложения, создать новый облик Москвы, который поражает ее гостей.
В вопросах ценообразования город занял с 1991 года свою самостоятельную, адекватную ситуации позицию, твердо ее отстаивает, как апробированную временем и показавшую налицо результат. И это тот основной стержень, на котором держится все годы экономика строительного комплекса города. А это значит, что существует рынок труда, позволяющий год от года наращивать мощности строительного комплекса, увеличивать ввод объектов даже в условиях гиперинфляции первых лет рыночных реформ.
До 1998 года в Москве поддерживалась в стабильном состоянии путем регулярной и скрупулезной индексации сметно-нормативная база 1984 года, которая также сыграла свою позитивную роль в момент обрушения цен и тарифов, “поддавалась” настройке на “микро” и “макро-” уровнях и давала реальную возможность всем участникам инвестиционного процесса не ощущать полного “дискомфорта”, связанного с инфляционными процессами.
Своевременно применяя передовые методики Госстроя РФ, касающиеся правильного исчисления в новых условиях нормативов накладных расходов и плановой прибыли, город получил с июля 1995 года возможность реальной экономии своих бюджетных ресурсов капитальных вложений (до 7% ежемесячно), при этом не разрушая экономику самих хозяйствующих субъектов подрядного рынка.
За эти годы, используя “плацдармы и полигоны” строек легендарного Главмосстроя, который устоял, сохранив все свои проектные мощности, создавалась уникальная возможность прорабатывать любые вопросы ценообразования и их увязки во всем спектре современных видов работ. Мы жили и работали как бы внутри этой “живой лаборатории”, принимая решения, воплощая их в жизнь и видя результат их применения, корректируя допуски и нормы индексации в случае их отклонения от той “золотой середины”, расчеты которой мы готовим ежемесячно.
Время само вытолкнуло на поверхность вопрос перехода на новую сметно-нормативную базу (МТСН 81-98), которая после стольких лет отслеживания нормативов в условиях рынка с учетом накопленного опыта позволила создать уникальный продукт для участников современного инвестиционного процесса. Значительно отличающаяся по своему построению от предыдущей нормативной базы, она позволяет выполнять ранее не доступные мероприятия, такие, как комплексная автоматизация процесса проектирования и одновременного выпуска сметной документации.
МТСН 81-98 – Московские Территориальные Сметные Нормативы, разработаны Моспроект. Сборники МТСН 81-98 предназначены для определения сметной стоимости работ при составлении проектно-сметной документации на строительство зданий и сооружений, ремонт, реставрацию, разработке тендерной документации, формировании договорных цен на строительную продукцию и расчетов за выполненные работы.
На рис. 1.7 представлена структурная схема базы МТСН 81-98. Как мы видим, она состоит из пяти книг, приложения и 9 дополнения. Книги состоят из глав, их 15. В книгах со второй по четвёртую представлены единичные расценки, которые делятся на строительные работы, на монтаж оборудования, на пуско-наладочные работы, на ремонтно-строительные и на реставрационно-восстановительные работы по памятникам истории культуры.
В приложении представлены ЭСН (элементные сметные нормы) также на пять видов работ. А в книге 5 главы с восьмой по двенадцатую. И в 9 дополнении 3 главы.

Рис. 1.7 – Московская территориальная сметно-нормативная база МТСН 81-98
Выход в свет МТСН 81-98 в июле 1999 года обеспечил возможность активного создания, развития и внедрения различных сметных программных комплексов, упрощающих работу сметчиков, делающих абсолютно прозрачными процессы сметного нормирования на стадии составления рабочего проекта, прохождения согласования его в Мосгорэкспертизе, ускорения расчетов за выполненные работы между заказчиками и подрядчиками. Исчезают проблемы, связанные с тем или иным применением нормативов у контролирующих органов.
МТСН 81-98 обеспечивает расчет всех ресурсов, участвующих в определении сметной стоимости на любую календарную дату в текущих ценах, фактически ресурсным методом. Она вышла в составе:
* 105 сборников, включающих в себя 23 860 единичных расценок;
* 12,0 тысяч сметных цен на материалы, изделия и конструкции;
* 750 цен эксплуатации машин и механизмов.
База активно развивается, пополнившись еще десятью Дополнениями, и сегодня насчитывает 27 400 единичных расценок, 17,0 тысяч сметных цен и 795 цен на современные строительные машины.
Все дополнения к базе содержат в себе описания новых технологий, широко применяющихся в строительстве в Москве.
Госстроем РФ и Госстандартом РФ нашему центру поручено ведение Общероссийского классификатора продукции ОКП, а по поручению правительства Москвы мы занимаемся в городе кодированием продукции, применяемой при строительстве. Эти коды являются уникальными для каждой позиции, и именно они позволяют автоматизировать и связывать процессы проектирования и сметного нормирования проектных решений. В настоящее время такими кодами закодировано более 30 тысяч наименований.
Помимо МТСН 81-98, в городе создан в 2000 году для нужд проектирования Московский территориальный строительный каталог (МТСК), связанный теми же кодами с МТСН 81-98.
Учитывая, что МТСН 81-98 создана в виде открытых расценок, а также используя все вышеперечисленные возможности, новая сметно-нормативная база Москвы может долгое время оставаться актуальной, не подвергаясь инфляционным процессам и не требуя корректировок.
Прошедшая по поручению правительства Москвы в августе 2001 года государственная экспертиза подтвердила актуальность перехода на новую территориальную московскую базу, выдав свое заключение от 30.08.2001 г. за № МГЭ-9/1156 и подтвердив тем самым ее экономическую эффективность в условиях рынка и непрекращающейся инфляции.
Цитата из заключения экспертизы гласит:
“Полученные результаты экономического анализа свидетельствуют о целесообразности перехода на определение сметной стоимости строительства в базисных ценах 1998 года по нормам и ценам МТСН 81-98, благодаря которым экономия бюджетных средств достигается от 0,63 до 11,6% по различным объектам”.
2 Теоретические аспекты сметной деятельности
2.1 Ценообразование в строительстве
В рыночной экономике цена представляет собой одну из ключевых проблем, в особенности в сфере строительства.
Рыночная экономика ориентирована на удовлетворение потребностей людей посредством обмена товарами. Рыночные законы устанавливают равновесие между экономическими категориями, регулируя цены, спрос и предложение. Цена товара, в том числе цена рабочей силы, и его полезность определяются в зависимости от спроса и предложения.
Центральной экономической категорией является цена. Цена выполняет следующие четыре функции: измерительную; стимулирующую; распределительную; функцию сбалансированности спроса и предложения.
Цены определяются в соответствии с этими функциями, в зависимости от затрат (издержек) производства (себестоимости), спроса и предложения, конкуренции и обеспечения прибыли.
В настоящее время в Российской Федерации свободные (договорные) цены устанавливаются изготовителями с учетом затрат и конъюнктуры рынка. При этом в цену включаются также некоторые налоги, например налог на добавленную стоимость (НДС).
Данная стратегия принята и в строительстве, где задачей ценообразования является определение объективной стоимости строительства, т. е. свободной (договорной) цены на строительную продукцию.
Цены делятся на оптовые, закупочные, розничные, сметные и тарифы.
В общем виде формула ценообразования имеет следующий вид:
W = c + v + m,
где W — цена продукции; с — стоимость материальных ресурсов (материалы, электроэнергия, топливо, амортизация и др., т. е. стоимость прошлого труда, овеществленная в материальных ресурсах); v — заработная плата, размер средств на оплату труда работников, участвующих в изготовлении продукции (стоимость живого труда, стоимость рабочей силы); m — прибавочный продукт, прибавочная стоимость, прибыль предпринимателя (работодателя); (v + m) — вновь созданная стоимость, добавленная живым трудом.
Отсюда формируется налог на добавленную стоимость. Одновременно в Российской Федерации предприятия отчисляют в государственные внебюджетные фонды единый социальный налог по ставке 35,6 % от начисленной оплаты труда (до 100 тыс. руб. в год на работника), а с физических лиц взимается подоходный налог в размере 13% от заработной платы. Ценообразование в строительстве исходит из общих для всех отраслей принципов. В условиях рынка оно проходит общие этапы ценообразования.
Цены и тарифы систематически повышаются (например цены в жилищном строительстве, стоимость квартплаты, тарифы на электроэнергию, телефон и т. д.). В связи с этим (но не в результате роста производительности труда) вынужденно растут заработная плата и пенсии.
Причина постоянного роста цен до сих пор остается предметом дискуссий среди специалистов и выходит за рамки данной работы. Отметим лишь, что многие ученые усматривают главную причину в спекулятивном ссудном проценте. Известно, что в современной экономике 2/3 финансов мира — это капиталы валютных операций, ценных бумаг, облигаций и пр., и только 10% мирового капитала задействовано в реальных экономических процессах.
Вернемся, однако, к ценообразованию в строительстве. Механизм ценообразования в строительстве имеет следующие специфические особенности:
в формировании цены на строительную продукцию одновременно участвуют проектировщик, заказчик и подрядчик;
характер строящихся зданий и сооружений индивидуальный;
стоимость строительной продукции зависит от местных условий строительства;
длительность производственного цикла строительного процесса;
высокая материалоемкость строительной продукции;
специфические особенности учета сметной прибыли и стоимости эксплуатации машин и механизмов;
стоимость строительной продукции определяется сметой, составляемой на основе проекта, сметных норм и других данных.
С длительностью строительного процесса связаны, в свою очередь, особенности финансирования и кредитования.
Свободная (договорная) цена на строительную продукцию обеспечивает подрядчику возврат затрат в полном объеме и причитающуюся прибыль в размере обусловленной нормы, а инвестору (заказчику) — определение объема инвестиций на строительство объекта.
Сметно-нормативная база и метод формирования цены определяются инвестором и подрядчиком и фиксируются в договоре подряда.
Цена на строительную продукцию, возводимую с привлечением средств государственного бюджета всех уровней и целевых внебюджетных фондов, формируется на основании методических документов Госстроя России, которые обязательны для всех предприятий и организаций независимо от принадлежности и форм собственности. Для подрядчика важно еще до заключения контракта определить тот диапазон цены, который позволял бы установить баланс между необходимостью возмещения затрат на строительство и получения достаточной прибыли, с одной стороны, и мотивацией потребителя к заключению сделки, с другой.
Ошибки в ценообразовании имеют самые серьезные последствия. Они могут легко трансформировать ожидаемую подрядчиком прибыль в фактический убыток, в случае установления слишком низкой цены, или привести к потере потенциального заказчика, если цена сильно завышена.
Для заказчика (инвестора) не менее важно понимать, что чрезмерная экономия средств на финансировании подрядных работ может привести к тому, что подрядная организация будет вынуждена, либо снижать качество выполняемых работ, либо задерживать сроки их завершения. Поэтому, разумный заказчик (инвестор) будет стремиться к балансу между понятным желанием сэкономить на финансировании стройки и необходимостью обеспечить подрядчика средствами, достаточными для качественной работы и своевременной сдачи ее результатов.
В сфере ценообразования в России сложилась давняя традиция (с середины 30-х и до начала 90-х гг. прошлого века), когда установление цены на строительные работы практически полностью отождествлялось со сметным нормированием. При этом конкретные нормативы в натуральном и стоимостном выражении устанавливались государством.
В условиях рынка связь цены со сметным нормированием не так однозначна, как в административно-плановой экономике.
Ценообразование для подрядчика можно рассматривать с точки зрения двух функций: внешней и внутренней.
Внешняя функция ценообразования заключается в установлении с заказчиком договорной цены на подрядные работы (рис. 1). Это осуществляется посредством, либо проведения подрядных торгов, что является обязательным в случае строительства объектов для государственных федеральных нужд, либо согласования цены непосредственно заказчиком и подрядчиком.
В качестве основы для установления договорной цены целесообразно использовать сметную стоимость, определенную согласно государственным сметным нормативам. Это позволит минимизировать возможные разногласия между заказчиком и подрядчиком. В особенности, это верно для случая применения базисно-индексного метода, при котором применяемые базисные расценки на виды работ и индексы пересчета базисной сметной стоимости в текущий уровень цен, устанавливаются централизованно, что снижает риски субъективности.
При этом, установленная договорная цена может отличаться от сметной стоимости, выступавшей в качестве ее основы.
Внутренняя функция ценообразования, скрытая от заказчика (инвестора), направлена на определение действительной структуры цены, включающей прямые и накладные расходы, а также прибыль (рис. 2.1). Осуществление внутренней функции позволяет признать ценообразование в качестве одного из элементов финансового планирования.

Рис. 2.1 – Внешняя и внутренняя функции ценообразования и механизм их реализации
Для корректного осуществления внутренней функции от ценообразования требуется точность в части планируемых затрат.
Наибольшую точность в планировании расходов на строительство могло бы обеспечить использование производственных норм, отражающих реальные условия деятельности конкретной организации.
Однако, как показывает практика, у большинства строительных компаний собственная база производственных норм отсутствует. Отсюда возникает проблема поиска механизма, который позволил бы компенсировать отсутствие норм и мог бы стать основой для их разработки.
В народном хозяйстве бывшего СССР применялись цены на продукцию, работы и услуги, устанавливаемые государством. Указанный порядок ценообразования можно называть «государственно-нормативной моделью».
В отличие от государственно-нормативной, рыночная модель предполагает свободное ценообразование, когда в качестве ограничителей выступают не государственные директивы, а рыночный механизм соотношения спроса и предложения. При этом цена определяется исключительно соглашением сторон, участвующих в сделке.
Свобода ценообразования в СССР впервые с 30-х гг. XX в. была предусмотрена ст. 26 Закона СССР «О предприятиях в СССР» от 04.06.90 № 1529-1. Согласно указанной норме основная часть продукции, работ и услуг могла быть реализована по свободным (договорным) ценам. За государством оставлялось право регулировать цены и тарифы на продукцию предприятий, занимающих доминирующее положение на рынке.
Частью первой Гражданского кодекса РФ, введенной в действие с 01.01.95 г., принцип свободного ценообразования был подтвержден.
Статьей 424 Гражданского кодекса РФ установлено, что исполнение договора оплачивается по цене, установленной соглашением сторон. Регулирование цен (тарифов, расценок, ставок и т.д.) уполномоченными на то государственными органами допускается только в случаях, предусмотренных законом.
На настоящий момент закон о регулировании цен не принят. Порядок их регулирования установлен Указом Президента РФ от 08.02.95 № 221, на основании которого Правительство РФ Постановлением от 07.03.95 № 239 утвердило перечни продукции производственно-технического назначения, товаров народного потребления и услуг, цены (тарифы) на которые на внутреннем рынке Российской Федерации подлежат государственному регулированию. Строительная продукция в указанные перечни включена не была.
К концу 90-х гг. ХХ столетия в России накопился обширный массив нормативных и технических документов, составленных на основе ресурсно-стоимостных показателей в базах 1984 г. и 1991 г., которые уже не вполне соответствовали существующим техническим, организационным и рыночным условиям выполнения строительных работ.
Для преодоления сложившейся ситуации Госстрой России осуществил, начиная с 1998 г., комплекс мероприятий по разработке и внедрению новой сметно-нормативной базы ценообразования в строительстве, сформированной на основе ресурсно-стоимостных показателей по состоянию на 01.01.2000 г. (далее по тексту – новая сметно-нормативная база).
Госстрой России стремился сблизить сметные и производственные нормы расхода трудовых и материально-технических ресурсов. Также, Госстрой России считал, что внедрение новых норм приведет к прозрачности стоимостных показателей и сделает возможным оперативно реагировать на рыночные изменения стоимости.
Принятием Постановления от 08.04.02 № 16 (далее по тексту – Постановление № 16) Госстрой России обозначил завершение этапа формирования новой сметно-нормативной базы и переход к этапу ее внедрения.
Постановлением № 16 практически в полном объеме была отменена сметно-нормативная база (сборники сметных норм и расценок на строительные работы, сметных цен на эксплуатацию строительных машин и оборудования, ценники на пусконаладочные работы и т.д.) в ресурсно-стоимостных показателях 1984 и 1991 гг.
Краткий характер Постановления № 16 потребовал разъяснений в отношении применения новой сметно-нормативной базы, которым было посвящено Письмо Госстроя РФ от 11.09.03 г. № НК-5636/10 (далее по тексту – Письмо по применению Постановления № 16).
В Письме по применению Постановления № 16 Госстрой России сообщил, что при составлении сметной документации допустимо использование как базисно-индексного, так и ресурсного метода. При этом, Госстрой России отдал предпочтение базисно-индексному методу.
Согласно п. 3.30 Методики определения стоимости строительной продукции под базисно-индексным методом понимается способ определение стоимости строительства посредством использования системы текущих и прогнозных индексов по отношению к стоимости, определенной в базисном уровне цен.
Применение базисно-индексного метода, по мнению Госстроя, целесообразно в случае наличия территориальных единичных расценок (ТЕР-2001), зарегистрированных в установленном порядке, с применением индексов пересчета сметной стоимости в текущий уровень цен.
Единая методика индексации базисной стоимости, принятие которой предусматривалось еще Постановлением № 16, на настоящий момент не разработана.
Порядок индексации базисной стоимости раскрывается в письмах Госстроя России и Минтопэнерго РФ, содержащих конкретные индексы пересчета.
Для объектов, финансируемых из средств федерального бюджета, предусмотрено применение двух видов индексов. Первый из них (укрупненные индексы) ежеквартально сообщается Госстроем и предназначается для формирования инвесторских смет, подготовки тендерной документации, а также укрупненных расчетов стоимости строительства.
В настоящий момент опубликованы укрупненные индексы по IY кв. 2004 г. включительно (для последних двух кварталов 2004 г. индексы утверждены уже не Госстроем России, а Минпромэнерго РФ).
При этом публикуются общие региональные (применяются к базисной стоимости, определенной согласно ТЕР) и федеральные (применяются к базисной стоимости, определенной согласно ФЕР) индексы по строительно-монтажным работам. Кроме того, приводятся индексы по видам затрат (материалы, оплата труда и эксплуатация машин и механизмов), которые рекомендуется применять для определения текущей стоимости ремонтно-строительных работ и для более точного определения текущей стоимости строительно-монтажных работ. При этом, посредством индексов по видам затрат рассчитываются прямые расходы. Для определения полной суммы затрат на строительные работы требуется дополнительное начисление накладных расходов и сметной прибыли в доле от фонда оплаты труда рабочих-строителей и механизаторов.
Второй вид индексов, дифференцированных по видам работ и единичным расценкам (дифференцированные индексы), разрабатывается региональными органами по ценообразованию в строительстве и утверждается администрациями субъектов РФ. Указанный вид индексов предназначается для пересчета в текущий уровень сметной стоимости отдельных видов работ с целью проведения взаиморасчетов за выполненные работы. При этом средневзвешенные величины дифференцированных индексов должны находиться в пределах значений, утвержденных по данному административному региону Госстроем РФ.
Для объектов, финансируемых за счет средств региональных бюджетов, Письмом по применению Постановления № 16 предусматривалось применение индексов, утверждаемых (согласованных) органами исполнительной власти субъектов РФ.
По объектам, финансирование которых осуществляется за счет средств федерального бюджета, Письмом по применению Постановления № 16 допускалось использование федеральных единичных расценок (ФЕР-2001) с пересчетом их в территориальный уровень по состоянию на 01.01.2000. Пересчет должен был осуществляться с применением территориальных (региональных) поправочных коэффициентов, учитывающих местные условия строительства.
Разработка поправочных коэффициентов предусматривалась Методическими рекомендациями по использованию ФЕР-2001 при определении стоимости строительной продукции на территории субъектов Российской Федерации (далее по тексту – Методические рекомендации по применению ФЕРов), утвержденными Госстроем России письмом от 30.04.2003 № НЗ-2626/10.
Однако, из писем Госстроя России (Минтопэнерго РФ), содержащих укрупненные индексы пересчета, следует, что они применяются к базисной стоимости, определенной согласно ФЕР, без предварительного пересчета этой стоимости в территориальный уровень по состоянию на 01.01.2000 посредством применения территориальных (региональных) поправочных коэффициентов. В публикуемых укрупненных индексах эти поправочные коэффициенты уже учтены.
Это же верно и в отношении дифференцированных коэффициентов, что видно на примере индексов пересчета сметной стоимости строительно-монтажных работ в г. Москве, выполняемых с привлечением средств федерального бюджета. Указанные индексы также применяются к базисной стоимости, определенной согласно ФЕР, без использования территориальных (региональных) поправочных коэффициентов.
Это означает, что использование Методических рекомендаций по применению ФЕР в целях пересчета базисной стоимости, определенной на основе ФЕР, в территориальный уровень по состоянию на 01.01.2000, потеряло смысл. Применение ФЕР будет целесообразно, в случае отсутствия ТЕР для конкретного региона.
Авторы считают, что указанный порядок в целях обеспечения единства государственной бюджетной политики следует применять и по объектам, финансируемым за счет средств региональных бюджетов, если в этих регионах отсутствуют ТЕР, утвержденные и зарегистрированные в установленном порядке.
Рассмотренный базисно-индексный метод, которому Госстроем России было отдано предпочтение, имеет существенные недостатки.
Во-первых, он недостаточно точен из-за заложенного в него механизма усреднения, заключающегося в усреднении ресурсных норм, представленных в ГЭСН, цен на ресурсы по состоянию на 01.01.2000, учтенных в ФЕР, и индексов пересчета базисной стоимости в текущий уровень цен.
Во-вторых, при этом методе на передний план выступают стоимостные показатели, тогда как натуральные показатели потребляемых ресурсов отступают на задний план.
В-третьих, данный метод расчета сметной стоимости не достаточно оперативен в отслеживании рыночных изменений, неизбежно влияющих на стоимость потребляемых ресурсов.
Все это делает нецелесообразным использование базисно-индексного метода в целях финансового планирования и управления затратами на строительство, при сохранении его роли в процессе установления договорной стоимости строительства.
Согласно п. 3.27 Методики определения стоимости строительной продукции при составлении смет (расчетов), кроме базисно-индексного метода, могут также применяться ресурсный и ресурсно-индексный методы, а также метод на основе укрупненных сметных нормативов, в т.ч. банка данных о стоимости ранее построенных или запроектированных объектов-аналогов.
2.2 Структура и виды смет
В процессе строительного производства участвуют огромное количество материальных ресурсов. Детальная выборка материалов из сметы на строительство многоквартирного жилого дома может составлять до 20-25 тысяч наименований по маркам, классам, сортаментам и т.д. Просчитать фактические цены по такой номенклатуре практически не представляется возможным. Все эти материалы делятся на две группы:
1-я группа – вспомогательные (или, как их часто называют, “прочие”) материалы. К ним относятся всевозможные метизы, мелкие металлоконструкции, электроды, добавки, лакокрасочные и битумные материалы и т.д.
2-я группа – основные (ценообразующие) материалы, конструкции и изделия. Это бетонные и железобетонные изделия, кирпич, арматура, растворы и бетоны и т.д.
Номенклатура вспомогательных материалов по сметам в несколько раз превосходит номенклатуру основных материалов, но при этом общая стоимость основных материалов составляет не менее 95% общей стоимости материалов. Влияние вспомогательных материалов составляет около 5%. Следовательно, важнейшей задачей является максимально точное определение сметной стоимости основных материалов, а вспомогательные могут быть приняты по средним ценам. Даже если при детальном расчете (как при ресурсном методе) какие-то прочие материалы окажутся дороже или дешевле среднего уровня, то в своей совокупности происходит “погашение” дешевых и высоких цен, а с учетом 5% влияния – погрешность сметных расчетов окажется ничтожной.
Система единичных расценок предусматривает, что все вспомогательные материалы просчитаны разработчиками расценок и включены по средним (средневзвешенным) базисным ценам. При составлении смет они будут проиндексированы в текущий уровень цен. Из чего следует, что составление локальных смет по единичным расценкам в новой сметно-нормативной базе предусматривает определение стоимости основных (ценообразующих) материалов. Технически такая работа хорошо знакома по сметно-нормативной базе 1984 года.
В отдельных единичных расценках (ФЕР-2001, ТЕР-2001) в графу 4 “Прямые затраты” и графу 8 “Материалы” не включена стоимость основных строительных материалов, изделий и конструкций, принимаемая исходя из проектных решений и текущих цен по условиям поставки (комплектации). Такие материалы приводятся отдельной строкой непосредственно в единичных расценках с указанием кода, наименования и расхода на измеритель расценки. Техническая характеристика принимается по проектным данным (рабочим чертежам). Такие расценки получили наименование – “открытые”.
При составлении локальной сметы и при расчетах за выполненные работы стоимость работ по таким расценкам определяется двумя строками:
в первой строке исчисляется стоимость работ по соответствующей единичной расценке;
во второй строке, стоимость не учтенных расценками материалов, изделий и конструкций.
По некоторым материалам, изделиям и конструкциям в расценках указаны только наименования, а расход их принимается по проектным данным (рабочим чертежам).
В случаях, когда на момент составления сметной документации отсутствуют данные о стоимости материалов, необходимо использовать данные о ценах, приводимые в Сборнике средних сметных цен на материалы, изделия и конструкции и другие справочно-информационные материалы о текущих ценах на строительные ресурсы. По материалам поставки заказчика сведения о ценах формируются по данным заказчика.
Позиции смет по открытым расценкам очень наглядны и легко контролируемы. Сразу виден основной материал, его расход и сметная стоимость. Закрытые расценки не обладают данным преимуществом, особенно когда потом стоимость будет индексироваться в текущий уровень цен. С другой стороны, по открытым расценкам значительно увеличивается трудоемкость сметных работ (от 30 до 50%), но преимущества получения объективной цены покрывают трудовые издержки.
Вариантность составления локальных смет по единичным расценкам базисно-индексным методом обуславливается следующими факторами: стадией проектирования и условиями разработки смет. Это может быть предварительная смета, смета в составе проекта, смета подрядчика, акт выполненных работ и т.д.
К примеру, сметчики проектных институтов при составлении смет к проекту не в состоянии формировать стоимость ресурсов по фактическим ценам и обзванивать производителей и поставщиков строительных материалов. Сметчик подрядчика, формирующий т. н. “процентовку”, уже имеет фактическую стоимость материалов от производственных служб.
Проектную документацию разрабатывают проектные, проектно-строительные организации и другие юридические и физические лица, имеющие лицензию на право выполнения проектных работ, на основе договора (контракта) с заказчиком. Договор регулирует правовые и финансовые отношения, взаимные обязательства и ответственность сторон. К разработке проекта приступают при наличии согласованного места размещения объекта, обоснования инвестиций, данных жинженерных изысканий и других проектных материалов. Неотъемлемой частью договора является задание на проектирование. Оно устанавливает основные требования к параметрам и качеству будущей строительной продукции, а также к составу и оформлению проектной документации.
Наряду с заданием на проектирование заказчик выдает проектной организации исходные материалы, состав и сроки представления которых оговариваются в договоре. К исходным для проектирования материалам относятся следующие документы:
обоснование инвестиций в строительство объекта;
решение местного органа исполнительной власти о предварительном согласовании места размещения объекта;
архитектурно-планировочное задание, составляемое в установленном порядке;
технические условия на присоединение проектируемого объекта к источникам энерго-, тепло-, водоснабжения, инженерным сетям и коммуникациям;
имеющиеся материалы топографической съемки участка строительства и данные геологических и гидрогеологических изысканий;
материалы по всей существующей и сохраняемой застройке и зеленым насаждениям;
сведения о надземных и подземных инженерных сооружениях и коммуникациях;
материалы инвентаризации, оценочные акты и решения местной администрации о сносе и характере компенсации за сносимые сооружения;
сведения о фоновом состоянии окружающей природной среды, о наличии техногенных объектов, о санитарно-эпидемиологических условиях в районе строительства;
другие материалы, необходимые для проектирования.
В проектно-технологической документации, включающей проект организации строительства (ПОС) и проект производства работ (ППР), определяются последовательность и способы возведения объектов строительства.
ПОС разрабатывается проектной организацией в составе проекта на полный объем строительства и содержит следующие разделы:
а) календарный план, в котором определяются сроки и очередность строительства зданий и сооружений, этапов и комплексов работ. Отдельно составляется календарный план на подготовительный период. В соответствии с календарным планом производится распределение капитальных вложений и объемов строительно-монтажных работ по периодам строительства;
б) строительные генеральные планы для подготовительного и основного периодов строительства, на которых показано распределение постоянных и временных зданий и сооружений, дорог, инженерных сетей и мест их подключения к действующим сетям, складских площадок, путей передвижений строительных машин и механизмов и др.; отмечены источники обеспечения стройплощадки электроэнергией, водой, теплом, паром; указаны существующие и подлежащие сносу строения. В случаях, когда организационно-техническими решениями охватывается территория за пределами строительной площадки, кроме стройгенплана разрабатывается ситуационный план строительства с расположением на нем предприятий материально-технической базы, жилых поселков, внешних путей и дорог, линий связи и электропередачи и др.
в) организационно-технологические схемы возведения зданий и сооружений, определяющие наиболее целесообразную последовательность выполнения этапов и комплексов работ;
г) ведомость объемов основных строительных, монтажных и специальных работ с распределением по периодам строительства;
д) ведомость потребности в строительных конструкциях, изделиях, материалах и оборудовании с распределением по календарным периодам;
е) график потребности в основных строительных машинах и транспортных средствах;
ж) график потребности в кадрах строителей;
з) пояснительную записку, в которой приводится характеристика района строительства, обоснование методов производства работ, расчеты потребности в трудовых и материальных ресурсах, основных жстроительных машинах и транспортных средствах, электроэнергии, воде, паре, кислороде, сжатом воздухе, временных зданиях и сооружениях; технико-экономические показатели: общая продолжительность строительства, в т.ч. подготовительного периода и монтажа оборудования; максимальная и средняя численность работающих, чел.; затраты труда на выполнение строительных и монтажных работ, чел.-дн.
ПОС является руководящим документом для заказчика и подрядной организации. Он используется при составлении сметной документации и плана финансирования строительства.
ППР разрабатывается для подрядной организации и оплачивается, как правило, за счет накладных расходов. В нем детализируются и конкретизируются организационно-технологические решения, принятые в ПОСе. Состав и степень детализации материалов ППР устанавливаются подрядной организацией исходя из специфики и объема выполняемых работ.
В составе ППР разрабатываются:
а) календарный план или комплексный сетевой график, в котором устанавливаются последовательность и сроки выполнения работ с максимальным их совмещением; подсчитываются трудовые затраты и потребность в машинах;
б) строительный генеральный план с указанием: границ строительной площадки и вида ее ограждения; действующих временных надземных, подземных и воздушных сетей и коммуникаций; постоянных и временных дорог, схем движения транспорта и механизмов; мест установки строительных машин, путей их перемещения и зон действия; размещения постоянных, строящихся и временных зданий и сооружений; мест расположения знаков геодезической разбивочной основы; опасных зон, проходов в здания и сооружения, средств подъема работающих на ярусы (этажи); размещение источников и средств энергоснабжения и освещения строительной площадки; расположения мест для складирования материалов и конструкций, площадок для укрупнительной сборки, устройств для удаления строительного мусора; расположения помещений для санитарно-бытового обслуживания строителей, питьевых установок, мест отдыха;
в) графики движения рабочих кадров и основных строительных машин;
г) графики поступления на объект строительных конструкций, изделий, материалов и оборудования;
д) технологические карты на отдельные виды работ с включением схем операционного контроля качества, описанием методов производства работ с указанием затрат труда, потребности в материалах, машинах, оснастке, приспособлениях и средствах защиты работающих;
е) решения по производству геодезических работ со схемами размещения знаков;
ж) решения по технике безопасности;
з) решения по прокладке временных сетей водо-, тепло- и энергоснабжения и освещению строительной площадки;
и) перечень технологического инвентаря и монтажной оснастки;
к) пояснительная записка, содержащая обоснования методов производства работ; мероприятия по охране труда, пожарной безопасности и охране окружающей среды; потребность в энергетических ресурсах; перечень временных зданий и сооружений; технико-экономические показатели: продолжительность возведения здания (сооружения), уровень механизации работ, численность рабочих максимальная и средняя, затраты труда на 1 м2 площади здания.
ППР утверждается руководителем подрядной организации. ППР на расширение, реконструкцию, техническое перевооружение действующих предприятий, зданий и сооружений должны быть согласованы с предприятием (организацией)-заказчиком.
ППР является одним из основных документов, необходимых для получения разрешения на производство строительных работ, им руководствуются при организации производства и труда при строительстве объектов и выполнении комплексов строительно-монтажных работ.
Для определения сметной стоимости проектируемых предприятий, зданий и сооружений составляется сметная документация. Состав ее позволяет определить сметную стоимость различных видов строительной продукции: строительных и монтажных работ, объектов строительства, стройки в целом и при необходимости, входящих в их состав пусковых комплексов и очередей строительства.
Порядок разработки сметной документации установлен Инструкцией о порядке разработки, согласования, утверждения и составе проектной документации на строительство предприятий, зданий и сооружений.
При двустадийном проектировании полный состав сметной документации разрабатывается на первой стадии – ТЭО (проект) в виде сметных расчетов и может быть уточнен на стадии рабочей документации путем составления локальных и объектных смет, если это предусмотрено договором на проектные работы. На стадии рабочего проекта составляются локальные и объектные сметы и сводный сметный расчет стоимости строительства.
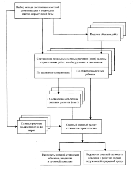
Состав сметной документации и последовательность ее разработки показаны в табл. 2.1 и на рис. 2.2.
Таблица 2.1
Состав и формы сметной документации
|
Наименование сметного документа |
Номер образца |
|
Сводный сметный расчет стоимости строительства (капитального ремонта) |
1 |
|
Сводка затрат |
2 |
|
Объектный сметный расчет (объектная смета) |
3 |
|
Локальный сметный расчет (локальная смета) |
4 |
|
Локальная ресурсная ведомость |
5а |
|
Локальный ресурсный сметный расчет (локальная ресурсная смета) |
5б |
|
Ведомость сметной стоимости строительства объектов, входящих в пусковой комплекс |
6 |
|
Ведомость сметной стоимости объектов и работ по охране окружающей природной среды |
7 |
Локальные сметы (сметные расчеты) являются первичными сметными документами и составляются на отдельные виды работ и затрат по зданиям и сооружениям или по общеплощадочным работам.
Объектные сметы (сметные расчеты) определяют сметную стоимость строительства объекта путем объединения в своем составе данных из локальных смет (сметных расчетов).
Сметные расчеты на отдельные виды затрат составляются, как правило, для определения прочих затрат, сопутствующих строительству и не учтенных сметными нормативами (компенсации в связи с изъятием земель под застройку, премии за ввод в действие объекта в срок и досрочно и др.).

Рис. 2.2 – Порядок разработки сметной документации на строительство
Сводные сметные расчеты стоимости строительства предприятий, зданий и сооружений (или их очередей) составляются на основе объектных смет (сметных расчетов), локальных смет на общеплощадочные работы и сметных расчетов на отдельные виды затрат.
Сводка затрат составляется в том случае, когда в состав стройки входят объекты производственного, жилищно-гражданского и другого назначения, стоимость которых определяется самостоятельными сводными сметными расчетами.
Если проектом предусматривается ввод предприятия (учреждения) пусковыми комплексами, то в составе сметной документации разрабатываются ведомости сметной стоимости строительства объектов, входящих в пусковые комплексы.
В тех случаях, когда при строительстве предприятия, здания и сооружения предусматривается осуществлять природоохранные мероприятия, составляется ведомость сметной стоимости объектов и работ по охране окружающей природной среды.
При составлении сметных расчетов (смет) могут использоваться следующие методы:
ресурсный – калькулирование в текущих (прогнозных) ценах и тарифах статей затрат по видам ресурсов;
ресурсно-индексный – использование системы текущих и прогнозных индексов по отношению к сметной стоимости, определенной в базисном уровне цен по единичным расценкам;
на основе укрупненных сметных нормативов, в т.ч. банка данных по аналогам – использование укрупненных показателей стоимости и стоимостных данных по зданиям и сооружениям, аналогичным проектируемым.
Результаты вычислений и итоговые данные в сметной документации рекомендуется приводить:
в локальных сметных расчетах (сметах) – с округлением до рубля;
в объектных сметных расчетах (сметах) и в сводном сметном расчете стоимости строительства – в тысячах рублей, с округлением до двух знаков после запятой.
3 Проектная разработка мероприятий на введении новой единицы сметного отдела
3.1 Обоснование необходимости введения сметного отдела
Активное развитие новостроя (нового строительства) приводит к тому, что строительные организации вынуждены непрерывно совершенствоваться, увеличение объемов производства обуславливает необходимость модификации старых методик управления производством и применения современных инструментов планирования деятельности.
Строительство, как немногие отрасли экономики, в силу длительного инвестиционного цикла, немыслимо без планирования. Планирование в строительстве - сложная вещь, т.к. необходимо учитывать многие факторы, такие как2:
Данные проектно-сметной документации;
Взаимосвязь между подразделениями;
Использование субподрядных организаций;
Ограниченность материальных и трудовых ресурсов;
Своевременность поставки сырья и материалов.
План должен охватывать все стороны деятельности строительной компании:
Производственную;
Хозяйственную;
Финансовую.
Одним из современных методов финансового планирования является бюджетирование. Под бюджетированием понимается управленческая технология финансового планирования, которая позволяет контролировать и анализировать планируемые и получаемые финансовые показатели3. Основным инструментом здесь является бюджет. Под бюджетом понимается финансовый план, в котором все показатели относятся либо к доходной, либо к расходной части.
Бюджет определяет для предприятия основные стратегические направления деятельности, в нём моделируются сценарии развития. Основное отличие системы бюджетирования от Техпромфинплана, применявшегося в бывшем СССР, это рыночная направленность деятельности (в основу положен современный маркетинговый принцип о направленности продукции на покупателя, оценка деятельности осуществляется не только в натуральных показателях, а обязательность применения натурально-стоимостных оценок), и использование современных компьютерных технологий.
При постановке бюджетирования строительной деятельности необходимо учитывать специфические особенности, присущие данной отрасли экономики.
Можно отметить следующие особенности:
Планирование затрагивает долгий инвестиционный период (большая продолжительность периода планирования);
Жесткая регламентация работ (проектно-сметная документация);
Необходимость применения календарных методов планирования;
Высокая эффективность применения аналогового планирования.
Обычно строительство крупного объекта может длиться довольно долго. Это накладывает свою специфику. Общеизвестно, что чем дольше период планирования, тем выше неопределенность и тем ниже точность плана. Для повышения достоверности планов, сделанных на долгосрочный период, в основном полагаются не на количественные методы, а применяют преимущественно качественные, привлекая авторитетных экспертов.
Решение этих задач возможно только комплексно с участием специалистов сметного отдела.
3.2 Проектные мероприятия по введению сметного отдела
В настоящее время стандарты менеджмента предполагают четкое определение организационной структуры предприятия и его бизнес-процессов. Согласно международному стандарту ИСО 9000, процесс — это «система деятельности, использующая ресурсы для преобразования входа в выход».
Понятие бизнес-процесса очень важно для современного предприятия. Его можно определить как совокупность взаимосвязанных операций, направленных на получение определенного результата с указанием начала и конца операций, точным определением входов, выходов, механизмов исполнения и управления.
Для проектных отделов организаций можно выделить несколько основных бизнес-процессов.
1. Основной производственный процесс, задачей которого является разработка проектной документации. В нем задействованы самые разные специалисты: архитекторы, конструкторы, проектировщики и др.
2. Процесс управления основным производством, который обеспечивают плановый отдел, сметно-договорная группа, ГИПы (главные инженеры проектов), диспетчеры и т. д.
3. Другие вспомогательные бизнес-процессы, протекающие в проектных отделах организаций (управление персоналом, материально-техническое обслуживание, бухгалтерия).
Одной из задач, стоящих перед проектными отделами организаций на пути повышения эффективности работы, является моделирование собственных бизнес-процессов. На это имеется несколько объективных причин. Во-первых, процессный подход является главным требованием внедрения системы менеджмента качества. Это основа, на которой она должна строиться. Во-вторых, результатом процесса описания очень часто бывает нахождение скрытых, известных ограниченному кругу специалистов «болячек». Стоит отметить важное влияние описания бизнес-процессов и на такие направления, как автоматизация рутинных процедур, сокращение потерь и разработка регламента. Таким образом, все эти причины указывают на формализацию бизнес-процессов проектных отделов как одну из актуальных проблем.
На сегодня существует самый широкий спектр различных методик (нотаций), позволяющих адекватно, с требуемой детализацией и точностью описать те или иные бизнес-процессы, например UML, IDEF, BMPL, BPEL и др. Многие из них предназначены для специфических целей, например только для описания организационных структур, описания алгоритма. Другие же, наоборот, являются более универсальным инструментом. Число этих нотаций растет с каждым годом и измеряется десятками, если не сотнями. Основная трудность в применении таких нотаций заключается в том, что понять результат их использования смогут лишь бизнес-аналитики, консалтеры, эксперты в системном анализе. Для большинства же руководителей, не знакомых с системным анализом, моделированием, разобраться в них без существенных как временных, так и материальных затрат будет непросто. Поэтому при выборе нотации стоит руководствоваться двумя соображениями. Во-первых, необходимо, чтобы она была максимально простой, понятной. А во-вторых, позволяя описывать бизнес-процессы, учитывала бы довольно строгие требования по точности, адекватности.
Для таких задач оптимально подходит т. н. ПОСТ-нотация, стоящая обособленно от всех вышеперечисленных. Разработана она российскими учеными из НИИ информационных технологий — д. т. н. Игорем Беляевым и к. т. н. Виктором Капустяном. Ее отличие состоит в том, что она без труда может быть понята как разработчиком, так и заказчиком. Аббревиатура ПОСТ расшифровывается как Процессы + Объекты + Связи = Технология, что значит: если пытаться описывать технологию, учитывать все существенные объекты и процессы, в которых они фигурируют, а также связи процессов между собой, то можно получить описание этой технологии.
Простота использования определяется тем, что в ее основе лежат всего два базовых элемента: объекты и действия, интуитивно понятные любому. Использование данной нотации позволяет сделать коммуникацию руководителя и разработчика более эффективной.
С помощью ПОСТ-нотации можно превратить текстовое описание системы, добавив графические элементы, в ее структурно-текстовое описание — модель (или ПОСТ-модель). Подчеркнем, что это не автоматически действующая модель, а модель умозрительная.
На рис. 3.1 приведен фрагмент схемы процесса управления проектным отделом строительной организации.

Рис. 3.1 – Фрагмент схемы процесса управления проектным отделом
Единственным препятствием на пути активного, плодотворного применения данной технологии являлась слабая проработка технической стороны процесса построения модели. До сих пор не существовало программных средств, которые могли бы помочь разработчику при создании схем и диаграмм. Вся работа осуществлялась либо на бумаге с помощью карандаша и линейки, либо же с помощью программ, прямо не предназначенных для выполнения данной задачи. Понятно, что это было крайне неудобно и, как следствие, требовало дополнительного времени. Поэтому разработчики программного обеспечения в тесном сотрудничестве с авторами данной методики осуществили реализацию ПОСТ-нотации.
В качестве базовой платформы был выбран Microsoft Visio — программное средство, предназначенное для построения диаграмм, моделей и схем как наиболее полно отвечающее требованиям надежности, доступности, популярности. На базе Visio была создана т. н. дополнительная библиотека смарт-шейпов (smart-shapes), которую можно подключить в Visio в виде отдельного трафарета. Библиотека содержит основные элементы ПОСТ-нотации, такие как объект, превращение, переключатель, а также процедуры, автоматизирующие типовые задачи, возникающие при построении модели, такие как сбор всех данных модели для справочников, нумерация объектов и процедур и т. д.
Теперь подходим к самому важному моменту. Понятно, что формализация бизнес-процессов, протекающих в организации, дело само по себе нужное. Но создать модель — это только часть дела. Важно из этого вынести практическую пользу, т. е. уяснить, как эту самую модель можно использовать. На этот счет имеется несколько вариантов.
Во-первых, с помощью моделей бизнес-процессов, протекающих в организации, руководство может идентифицировать проблемные места. Это могут быть операции, в которых используется рутинный ручной труд, как, например, процесс формирования нового договора сотрудником планового отдела. Решение может заключаться в применении специализированных программных средств, автоматизирующих данную операцию.
Во-вторых, модели бизнес-процессов могут значительно помочь в создании регламента организации. К каждой процедуре модели должен быть привязан ответственный или исполнитель (в зависимости от контекста). Затем на основе этой информации можно получить, структурировать и расписать обязанности любого сотрудника.
И наконец, в-третьих, можно оптимизировать бизнес-процессы методом классификации потерь. Этот метод делает количественно соизмеримыми разнокачественные вещи в заданном аспекте. Если по каждой процедуре в схеме выписать действующие и возможные потери, то можно получить своего рода «карту больного», которая поможет руководству организации быстро, легко и без особых усилий определить наиболее уязвимые места системы, определить размер бедствий и выработать конкретные меры по их преодолению. Это могут быть как чисто организационные мероприятия, например увеличение штата сотрудников, так и действия более тонкого характера, решающие проблемы узких специалистов.
В качестве измерителя потерь наиболее рационально выбрать трудозатраты (чел./час), т. к. их довольно несложно можно измерять непосредственно и они легко переводятся в экономические величины через выработку на одного сотрудника. Этот показатель всегда контролируется в проектных организациях.
Подводя итог, следует отметить, что технологии описания бизнес-процессов сейчас активно развиваются. Все больше руководителей не только в ИТ-области обращают на них внимание, присматриваются к ним, поскольку без описания или моделирования бизнес-процессов организации невозможно эффективно провести в ней реструктуризацию, внедрить систему менеджмента качества современных международных стандартов, разработать регламент.
4 Технологическая часть
4.1 Анализ настоящих подходов к сметному делу в организации ЗАО «Чеви Коструциони»
В настоящий момент принятие решений в области ценообразования носит сложный и неоднозначный характер. Строительная организация оказалась перед непростым выбором: какой метод применить; какие использовать при этом нормативы, чтобы обеспечить эффективность своей экономической деятельности? Тем более что для строительных организаций, осуществляющих строительство без привлечения средств бюджета, применение сметно-нормативной базы Госстроя РФ носит согласно документам рекомендательный характер.
Но это далеко не все проблемы, с которыми сталкивается строительная организация при формировании цены на свою продукцию. Поскольку определение стоимости строительной продукции сметно-нормативным методом отражает исключительно затратный подход к ценообразованию, т.е. учитывает только экономические интересы производителя. Интересы же потребителя, которые отражает экономическая категория «ценность» в этом подходе не учитываются.
Следующим этапом является формирование рыночной цены на строительство, которая устанавливается по законам конъюнктуры рынка подрядной деятельности, под влиянием текущего спроса и предложения на строительную продукцию и уровня инвестиционной активности в регионе и стране в целом. Рыночная цена может быть больше или меньше сметной стоимости и определяется экспертными методами или в процессе конкурсов, подрядных торгов и тендеров.
Рыночная цена строительной продукции определяется как средняя, объективно обусловленная стоимость строительства объекта на данном региональном рынке в реальный календарный период времени строительства, является переходным элементом от сметной стоимости к договорной цене строительства и включает расчетную сметную стоимость на момент заключения контракта и затраты, учитывающие рыночные факторы изменения сметной стоимости за период строительства (рыночная составляющая)4.
В практической деятельности рыночные факторы ценообразования строительства используются при рассмотрении и согласовании отдельных элементов сметной стоимости (уровень оплаты рабочих, накладные расходы и прочие затраты подрядчика, сметная прибыль).
Договорная (контрактная) цена формируется в результате договорного процесса между заказчиком и подрядчиком на основе данных о сметной стоимости и рыночной цене строительной продукции. Договорная стоимость устанавливается с учетом детальных сметных расчетов и прогноза изменения уровня предстоящих затрат за расчетное время проведения строительства. Договорная цена может значительно отличаться от сметной и рыночной стоимости в зависимости от формы договора (контракты с твердой или открытой ценой), продолжительности строительства, договорного порядка авансирования и расчетов за выполненные работы.
Стоимость строительства, установленная в договоре строительного подряда между заказчиком и подрядчиком, в рыночных условиях является окончательной ценой, на основе которой осуществляется финансирование строительства, расчеты за выполненные работы и формирование балансовой (инвентарной) стоимости построенных объектов.
Метод тендерного ценообразования, применяемый в строительстве при формировании договорных цен на строительную продукцию в настоящее время, крайне несовершенен и не позволяет учитывать перечисленные свойства.
Кроме того, жилье на первичном рынке является специфическим товаром, поскольку оно недвижимо, обладает индивидуальными потребительскими характеристиками и может поступать на рынок в любой степени готовности. Эти особенности ни один из существующих методов учитывать не позволяет.
Так же необходимо отметить, что порядок определения сметной стоимости строительной продукции, состав и содержание сметной документации достаточно подробно отражены в современных законодательных и методических документах по ценообразованию в строительстве, однако, нет ни одного, специально рассматривающего вопросы формирования договорных цен на строительную продукцию. В основных методических документах по ценообразованию в строительстве сформулированы лишь общие, кратко изложенные принципы определения договорных цен, недостаточно разработанные в концептуальном и методологическом плане, слабо связанные с экономической практикой. В частности, отсутствуют методы определения договорной цены на строительную продукцию, раскрывающие состав затрат подрядчика; порядок формирования договорной цены на строительную продукцию на разных этапах инвестиционного цикла как с позиции инвестора, так и позиции подрядчика; методические рекомендации по грамотному исчислению рыночной составляющей в составе договорной цены. В каждом конкретном случае применяются свои подходы и методы ее установления.
В связи с этим совершенствование механизмов определения максимально реальной стоимости строительства объектов, разработка научно обоснованной методики формирования договорных цен при заключении контрактов между участниками инвестиционного процесса, в условиях рыночных отношений представляется актуальной задачей.
4.2 Автоматизация сметной деятельности
Сметная программа "Smeta.ru" предназначена для составления и проверки строительной сметной документации. Программа обладает простым, интуитивно понятным интерфейсом, который в сочетании с уникальными возможностями превращает "Smeta.ru" в мощнейшее средство автоматизации.
"Smeta.ru" ориентирована на работу как профессионалов с самыми высокими потребностями, так и начинающих специалистов, чьи познания в сфере сметного дела невелики. Самые сложные режимы работы, требующие глубоких знаний предметной области, реализованы просто и доступно.
"Smeta.ru" включает в себя всю необходимую нормативную информацию (ТСН-2001, ФЕР-2001, ТЕР-2001, ГЭСН-2001, МТСН 81-98), инструментарий для внедрения и расчета всей сметной и подрядной документации, а также обладает гибкостью, необходимой для реализации любых корректировок.
Используя "Smeta.ru", инженер-сметчик задает набор работ и проставляет объемы; всю рутинную работу по просчету и выводу документации программный комплекс делает за Вас. "Smeta.ru" позволяет составлять все виды смет (локальные, объектные и сводные), ресурсные расчеты, акты приемки выполненных работ и накопительные ведомости, ведомости потребности в ресурсах и формы списания материалов и многое другое. Может быть использована в строительных организациях любой численности, выполняющих любые виды работ, в проектных организациях, службах заказчиков и инвесторов.
Программный комплекс "Smeta.ru" - самый распространенный в России, поэтому он часто может оказаться у вашего заказчика или подрядчика, что значительно облегчит проверку сметной документации и актов выполненных работ.
Полнофункциональная сметная программа "Smeta.ru" предназначена для составления и проверки строительной сметной документации. Идеальна для крупных фирм и организаций, работающих с большими объёмами сметной информации.
«Smeta.RU» — полнофункциональная клиент-серверная сметная информационно-расчетная система для организаций любого уровня, охватывающая весь спектр потребностей строительных организаций, проектировщиков, Инвесторов и Заказчиков.
Программный комплекс «Smeta.RU» — это универсальное средство предназначено для автоматизации сметно-экономических расчётов и обладает не только широкими функциональными возможностями, но и простым, интуитивно понятным интерфейсом. Комплекс ориентирован на работу как профессионалов с самыми высокими потребностями, так и начинающих специалистов.
Программный комплекс «Smeta.RU» предназначен для составления и проверки строительной сметной документации. Комплекс позволяет составлять локальные, объектные и сводные сметы, ресурсные расчеты, акты приемки выполненных работ и накопительные ведомости, ведомости потребности в ресурсах и формы списания материалов. В частности, Комплекс позволяет:
Формировать строительные сметы различного уровня и характера, хранить, корректировать и распечатывать сметную документацию.
Осуществлять сметные расчеты по принятым и вновь создаваемым формулам и шаблонам, а также производить пересчет сметной стоимости в текущие цены. При расчете смет применяются базисный, базисно-индексный, ресурсный, ресурсно-индексный, компенсационный и смешанный методы.
Наглядно отслеживать процесс выполнения работ, формировать акты приемки работ и накопительные ведомости.
Контролировать плановый и фактический расход строительных материалов, конструкций и изделий, формировать ведомости потребности в ресурсах и формы списания материалов М-29.
Обмениваться информацией по списанию материалов с компьютерными системами бухгалтерского учета.
Составлять сметы в многопользовательском режиме в локальной сети, определять права доступа каждого пользователя
Обмениваться сметными данными между пользователями Комплекса, а также импортировать сметы, составленные в других системах автоматизации. Комплекс полностью поддерживает универсальный сметный формат АРПС 1.10.
Привлекать для составления сметной документации обширный массив нормативных данных: сборники сметных нормативов (расценки на работы, ценники на материалы, изделия и конструкции, ценники на эксплуатацию машин и механизмов), элементные сметные нормы и нормативно-методическую литературу.
Составлять и корректировать собственную нормативную базу фирменных расценок.
Осуществлять гибкий и разноплановый поиск по всему объему справочных данных и сметной документации.
Проводить автоматическую проверку сметной документации на соответствие нормативной базе и другим источникам
Строить связи между объемами сметных строк (устанавливать любые зависимости между объемами выполнения работ, а также вводить независимые переменные).
По сравнению с другими программными средствами, предназначенными для автоматизации сметно-экономических расчетов, программный комплекс «Smeta.RU» обладает многими преимуществами.
В первую очередь, нужно отметить простой, интуитивно понятный интерфейс, который в сочетании с уникальными возможностями превращает Комплекс в мощнейшее средство автоматизации. Комплекс ориентирован на работу как профессионалов с самыми высокими потребностями, так и начинающих специалистов, чьи познания в сфере сметного дела невелики. Самые сложные режимы работы, требующие глубоких знаний предметной области, реализованы просто и доступно.
Комплекс работает в сетевом режиме, что позволяет автоматизировать взаимодействие между подразделениями предприятий с развитой компьютерной сетью. Предусмотрена возможность разграничения полномочий и прав доступа пользователей при реализации общих задач.
Имеется возможность автоматического резервного копирования нормативных баз и сметных данных, что позволяет предотвратить потерю информации при ошибочных действиях пользователей.
Клиент-серверная технология построения Комплекса обеспечивает высокое быстродействие, практически независящее от конфигурации пользовательских компьютеров.
Совершенно уникальной является возможность построения связей между объемами сметных строк. Можно устанавливать любые зависимости между объемами выполнения работ, а также вводить независимые переменные. Этот режим знаком всем пользователям, имеющим опыт работы с электронными таблицами Microsoft Excel.
Комплекс имеет мощную поисковую систему. Все трудности специалистов по поиску нужных нормативов сведены к минимуму. Поисковые маршруты позволяют наглядно определить область поиска сметных нормативов в рамках сложной структуры нормативной базы. Возможность построения сложных логических запросов и задания диапазонов изменения стоимостных показателей решает проблему построения узкой выборки нормативов.
Механизм применения поправок к сметным показателям позволяет контролировать базовые (из нормативной базы, как правило, без изменений) и единичные (с учетом примененных поправок) стоимостные величины.
Прост и удобен режим начисления лимитированных затрат. Пользователю предоставлена возможность задавать любые итоговые начисления ко всем элементам структуры объекта (локальным сметам, их разделам и подразделам), а также к объекту в целом.
Ко всем возможностям ПК «СМЕТА 2000»/«Ресурсная смета» добавлены:
Реальная одномоментная сетевая работа неограниченного числа пользователей с одной информацией;
Улучшенный интерфейс;
Увеличенная скорость работы;
Мощнейшая поисковая система;
Неограниченные возможности по наращиванию системы;
Максимальная адаптация к нормам 1998 г. и 2001 г., в том числе ресурсным расчетам;
Любое количество ресурсных расчетов, актов, М-29 для любого объекта;
Улучшенные функции по экспертизе смет и актов;
Возможность администрирования прав клиентов;
Возможность работы удаленных пользователей с одной сметой (в том числе Internet)
5 Охрана труда
С определенной точки зрения строительство – совершенно особенная отрасль хозяйственной деятельности, требующая специального подхода к решению вопросов охраны труда. Обусловлено это, в первую очередь, двумя ключевыми особенностями, присущими строительству: повышенной опасностью строительно-монтажных работ и особыми требованиями к конечному продукту – возводимым зданиями и сооружениям. Рассмотрим более подробно, как эти особенности влияют на организацию охраны труда в строительстве.
Строительство как трудовая деятельность характеризуется повышенной опасностью выполняемых работ. Это обусловлено многими причинами. Например, в процессе строительства работникам приходится сталкиваться с большим количеством опасных и неблагоприятных факторов. Это может быть работа на высоте, работа на открытом воздухе, в том числе при неблагоприятных погодных условиях, работа с вредными и опасными веществами, в том числе горючими и взрывоопасными материалами, физически напряженная работа, связанная с подъемом тяжестей и большим количеством перемещений, и т.д. Сюда же можно добавить необходимость применения в процессе строительства большого количества разнообразного оборудования, пневмо- и электроинструмента, специализированного автотранспорта и прочих агрегатов, требующих дополнительного обучения использующего их персонала и повышенного внимания при работе. Повышенная опасность строительных работ ведет к тому, что любое, даже незначительное, нарушение норм безопасности может стать причиной тяжелых травм и гибели людей, а также значительного материального ущерба. В связи с этим очень важно практическое обеспечение охраны труда в строительстве: обязательное проведение инструктажа, полное обеспечение работающих средствами индивидуальной и коллективной защиты, недопущение к работе лиц без наряда-допуска либо не прошедших необходимую подготовку и инструктаж, назначение ответственных лиц за безопасное проведение работ, выполнение других необходимых правил безопасности. Во время строительных работ должны строго выполняться общие требования охраны труда, отраженные в Трудовом Кодексе Российской Федерации и других законодательных актах, а также существующие правила и разработанные на их основе инструкции по безопасному выполнению конкретного вида строительных работ для каждой отдельной специальности.
С другой стороны, конечным результатом строительства является объект, предназначенный для дальнейшей эксплуатации другими людьми на протяжении, как правило, длительного периода времени, исчисляемого десятилетиями. Естественно, эксплуатация этого объекта также обязана быть безопасной, в связи с чем к возводимым объектам применяются свои, особые требования охраны труда. В первую очередь, это проверка соответствия объекта строительства, его отдельных частей, используемых материалов и технологии производства работ государственным нормативным требованиям охраны труда. Надо сказать, что такая проверка начинается еще до начала строительства, на стадии проектной документации, которая также проходит обязательную государственную экспертизу. Требования выполнения норм охраны труда применительно к объектам строительства закреплены во многих законодательных актах. Например, о необходимости проведения государственной экспертизы условий труда при строительстве производственных объектов говорится в Законе «Об основах охраны труда в Российской федерации» (ст. 16, п.1-3) и в Трудовом Кодексе Российской Федерации (ст. 215). Согласно названным документам, без согласования и одобрения государственными органами охраны труда не может быть введено в эксплуатацию ни одно производственное сооружение, даже собственно начало строительства не правомерно без предварительного разрешения. С этой точки зрения при выполнении строительных работ, помимо перечисленных ранее требований, должны также неукоснительно соблюдаться необходимые стандарты и предписания других регламентирующих документов, например, «Строительных норм и правил» (СНиП).
Указанные две особенности охраны труда в строительстве тесно взаимосвязаны между собой. Нарушение норм охраны труда в процессе производства работ ведет к несоблюдению нормативных требований для конечного объекта строительства. Поэтому очень важным является обеспечение требуемых стандартов, норм и правил охраны труда на всех этапах работы, начиная с разработки проектной документации и заканчивая сдачей готового объекта строительства в эксплуатацию.
В ст. 140 КЗоТ РФ содержится один из основных принципов охраны труда - производственные здания, сооружения, оборудование, технологические процессы должны отвечать требованиям, обеспечивающим здоровье и безопасные условия труда.
Требования, которые в области охраны труда предъявляются к проектам и строительству указанных объектов, включают рациональное использование территории и производственных помещений, правильную эксплуатацию оборудования и организацию технологических процессов, защиту работающих от воздействия вредных условий труда, содержание производственных помещений и рабочих мест в соответствии с санитарно-гигиеническими нормами и правилами, устройство санитарно-бытовых помещений.
Проекты строительства и реконструкции производственных объектов, а также машин, механизмов и другого производственного оборудования, технологических процессов должны соответствовать требованиям охраны труда.
Запрещаются строительство, реконструкция, техническое переоснащение производственных объектов, производство и внедрение новой техники, внедрение новых технологий без заключений государственной экспертизы условий труда о соответствии проектов требованиям охраны труда, а также без разрешений соответствующих органов государственного надзора и контроля за соблюдением требований охраны труда.
Новые или реконструируемые производственные объекты не могут быть приняты в эксплуатацию без заключений соответствующих органов государственного надзора и контроля за соблюдением требований охраны труда.
Запрещаются применение в производстве вредных или опасных веществ, материалов, продукции, товаров и оказание услуг, для которых не разработаны методики и средства метрологического контроля и не проводилась токсикологическая (санитарно-гигиеническая, медико-биологическая) оценка.
В случае использования новых, не применяемых в организации ранее, вредных или опасных веществ работодатель обязан до использования указанных веществ разработать и согласовать с соответствующими органами государственного надзора и контроля за соблюдением требований охраны труда меры по сохранению жизни и здоровья работников.
Машины, механизмы и другое производственное оборудование, транспортные средства, технологические процессы, материалы и химические вещества, средства индивидуальной и коллективной защиты работников, в том числе иностранного производства, должны соответствовать требованиям охраны труда, установленным в РФ, и иметь сертификаты соответствия.
Все указанные требования по охране труда содержатся в системе стандартов безопасности труда (ССБТ), обязательных как при проектировании, строительстве, так и при эксплуатации производственных зданий, сооружений, оборудования, технологических процессов. Эти требования содержатся в строительных нормах и правилах (СНиП). За соблюдением этих правил соответствующие инспекции труда осуществляют как предупредительный надзор, проверяя и визируя проекты на указанные объекты, так и надзор при вводе данных объектов в эксплуатацию.
Проекты производственных объектов и средств производства подлежат государственной экспертизе, а опытные образцы продукции - государственным испытаниям на соответствие их стандартам, отвечающим требованиям по охране труда.
Новые или реконструируемые производственные объекты и средства производства не могут быть приняты в эксплуатацию, если они не имеют сертификата безопасности, выдаваемого в установленном порядке.
На действующих предприятиях согласно Положению о сертификации оформляется соответствующий сертификат безопасности.
Готовые после строительства предприятия, цехи, участки и другие производственные объекты принимаются специально созданной комиссией, вводящей объект в эксплуатацию.
Она детально проверяет, обеспечены ли на данном объекте здоровые и безопасные условия труда, и только после того как установит, что все условия охраны труда обеспечены, подписывает акт приема и ввода объекта в эксплуатацию.
Ввод в эксплуатацию как новых, так и реконструированных объектов производственного назначения не может допускаться без разрешения на то органов, осуществляющих государственный санитарно-эпидемиологический и технический надзор, технической инспекции профсоюзов, а также соответствующего выборного профсоюзного органа организации, вводящей объект в эксплуатацию. Поэтому все представители указанных инспекций обязательно входят в комиссию по приему и вводу объекта в эксплуатацию и подписывают соответствующий акт.
Положение о Федеральной инспекции труда предусматривает, что государственные инспекции труда осуществляют надзор за строительством новых и реконструкцией действующих объектов производственного назначения с целью предотвращения отступлений от проектов, ухудшающих условия труда, снижающих их безопасность. Ни один образец новой машины, механизма и другого производственного оборудования не может быть передан в серийное производство, если он не отвечает требованиям охраны труда (ст. 142 КЗоТ РФ).
За разработку проектов средств производства и внедрение новых технологий, не отвечающих требованиям по охране труда, научно-исследовательские, технологические и проектно-конструкторские организации обязаны возместить заказчику причиненный ущерб для устранения этих нарушений.
6 Социально-экономическая эффективность проектных решений
ЗАО «Чеви Коструциони» не предоставляет своим сметчикам посещение семинаров, не обеспечивает новой методической и периодической литературой, не выделяет денежных средств на консультационные нужды в области сметного дела. Экономия средств может привести организацию к частичному или полному разорению, так как не квалифицированное осуществление сметной деятельности будет приводить к различным ошибочным ситуациям, которые в последующем приведут компанию к наложению на него больших штрафных санкций, или в худшем случае прекращение его деятельности. Руководителю ЗАО «Чеви Коструциони» необходимо провести собрание и методом опроса выяснить, в чем нуждаются сметчики организации и как можно серьезней подойти к этой проблеме.
Сметный отдел необязателен абсолютно для каждой организации, но можно отметить, что его наличие служит существенным фактором для эффективного бюджетирования и планирования строительной деятельности. В свою очередь работа сметного отдела обеспечивает:
сохранность и эффективность использования имущества организации;
достижение требуемой точности и полноты бюджетирования;
соблюдение сотрудниками законодательных норм, а также требований и предписаний, которые регламентируются внутренними документами компании;
участвовать в достижение и сохранение финансовой устойчивости компании и поддерживать честность по отношению к законам.
Таким образом, для повышения эффективности сметной деятельности в организации было предложено следующее:
- разработка организационной структуры сметного отдела;
- контроль за соблюдением соответствия деятельности организации принятому курсу действий (т.е. целевым установкам и ориентирам) и стратегии;
- автоматизация сметной деятельности с применением программы Смета.ру;
- обеспечение устойчивости организации с финансово-экономической, рыночной и правовой точек зрения;
- проверка должного уровня полноты и точности первичных документов и качества первичной информации для успешного руководства и принятия эффективных управленческих решений;
- контроль за показателями безошибочности составляемых в организации смет — наличие, полнота, арифметическая точность, распределение по элементам затрат, формальная разрешенность, временная определенность;
- обеспечение рационального и экономного использования всех видов ресурсов;
- контроль за соблюдением работниками организации установленных администрацией требований, правил и процедур — должностных инструкций, правил поведения, планов документации и документооборота, планов организации труда, иных приказов и распоряжений;
- контроль за соблюдением требований федеральных законов и подзаконных актов, изданных органами власти и ее субъектов, а также полномочными органами местного самоуправления.
- автоматизация учетного процесса и контроля.
Следует проанализировать экономический эффект от внедрения предложенных мероприятий.
Таблица 6.1
Расчет экономического эффекта от внедрения предложений по созданию сметного отдела в ЗАО «Чеви Коструциони»
|
Показатель |
Обозначение |
Ед. измерения |
Без внедрения решения |
В случае внедрения решения (прогноз) |
|
Выручка от реализации |
Тыс. руб. |
243292 |
290000 |
|
|
Расходы, связанные с торговой деятельностью |
Тыс. руб. |
221338 |
260000 |
|
|
Годовая валовая прибыль |
П. |
Тыс. руб. |
21954 |
30000 |
|
Текущий эффект |
Этек. |
Тыс. руб. |
21954 |
30000 |
|
Коэффициент дисконтирования |
1/(1+Е) |
руб. |
0,909 |
0,909 |
|
Дисконтированный (приведенный) текущий эффект |
Этек.1* (1+Е) |
руб. |
19956,2 |
27270 |
Таким образом, при формировании сметного отдела в ЗАО «Чеви Коструциони» экономический эффект составит 27270 тыс. руб. против убытка 19956,2 тыс. руб. при отсутствии внедренных мероприятий.
Этек. = 27270 – 19956,2= 7313,8 тыс. руб.
Таким образом, текущий эффект от внедрения предложений составит 7313,8 тыс. руб.
В табл. 6.2 представлена структура единовременных затрат на внедрение сметного отдела на предприятии.
Таблица 6.2
Расчет дисконтированных единовременных затрат при внедрении предложений
|
Вид единовременных затрат |
Обозначение |
Единица измерения |
В случае внедрения |
|
1. обследование |
- |
тыс. руб. |
- |
|
2. разработка решения |
- |
тыс. руб. |
- |
|
3. приобретение оборудования |
- |
тыс. руб. |
40 |
|
4. приобретение программного обеспечения |
- |
тыс. руб. |
150 |
|
5. создание информационного обеспечения |
- |
тыс. руб. |
100 |
|
6. подготовка кадров |
- |
тыс. руб. |
60 |
|
7. прочие |
- |
тыс. руб. |
20 |
|
8. всего единовременных затрат |
К1 |
тыс. руб. |
370 |
|
9. коэффициент дисконтирования |
1/(1+Е) |
тыс. руб. |
0,909 |
|
10. дисконтируемые единовременные затраты |
К/(1+Е) |
тыс. руб. |
336,3 |
|
11. всего дисконтированных единовременных затрат |
К2 |
тыс. руб. |
336,3 |
Таким образом, затраты на внедрение предложений составят 370,0 тыс. руб., дисконтируемые затраты - 336,3 тыс. руб.
Эффект, достигаемый на 1 году внедрения проекта, определяется разностью достигнутых результатов и понесенных затрат
Э t = R t - З t = (R t - Зтек t ) - К t = Этек t - К t
где R t - результат, достигаемый на t-м шаге, руб.;
З t - затраты, производимые на t-м шаге, руб.;
Зтек t - текущие затраты, производимые на t-м шаге, руб.;
К t - единовременные затраты, производимые на t-м шаге, руб.;
Этек t - текущий эффект (без учета единовременных затрат), достигаемый на t-м шаге, руб.
Таким образом, интегральный эффект может быть представлен как разность между суммой приведенных текущих эффектов (Этек) и приведенным единовременными затратами (К)
Э инт = (R t - Зтек t ) / (1 + E) t - К t / (1 + E) t = Этек – К
Э = 27270- 336,3= 26933,7 тыс. руб.
Индекс доходности (ИД) представляет отношение суммы приведенных текущих эффектов к величине приведенных единовременных затрат
ИД = Этек / К
ИД= 27270 : 336,3= 81,1
Таким образом, экономический эффект от внедрения проекта составит 26933,7 тыс. руб., индекс доходности составляет 81,1.
По результатам проведенного анализа можно сделать следующие выводы:
При внедрении разработанных мероприятий повысится эффективность сметной деятельности ЗАО «Чеви Коструциони»;
Нормирование издержек и контроль за выполнением плановых показателей обеспечит достижение организацией поставленной цели - получение максимальной прибыли;
Автоматизация процесса разработки смет позволит:
- анализировать содержание формируемой в сметной деятельности организации базы данных, если таковая существует и доступна;
- контролировать показатели, содержащиеся в сметах;
- тестировать алгоритмы, используемые в компьютерной системе сметной деятельности;
- снизить трудоемкость аналитических процедур;
- оценить количественное влияние выявленных в ходе проверки отклонений на конечный результат составляемых смет;
- формировать сметную документацию.
Дисконтируемые затраты при внедрении указанных мероприятий составят 336,3 тыс. руб., экономический эффект составляет 26933,7 тыс. руб., индекс доходности внедрения мероприятий равен 81,1.
Заключение
Рыночная экономика ориентирована на удовлетворение потребностей людей посредством обмена товарами. Рыночные законы устанавливают равновесие между экономическими категориями, регулируя цены, спрос и предложение.
Исходя из общих для всех отраслей принципов, основными категориями ценообразования в строительстве являются «стоимость», «ценность» и «цена». Стоимость и ценность – это категории ценообразования, определяющие цену товара с разных позиций, т.е. с позиций предложения и спроса.
Центральной экономической категорией является цена. Цены определяются в зависимости от затрат (издержек) производства (себестоимости), спроса и предложения, конкуренции и обеспечения прибыли.
В настоящее время в системе ценообразования в строительстве произошли существенные изменения. Это связано с тем, что изменились формы собственности инициаторов и участников инвестиционного процесса, источники финансирования инвестиционных проектов, появились новые формы и методы заключения контрактов между заказчиками и подрядчиками на основе договорных цен, на конкурсной основе.
Результатом этих изменений стал новый подход к ценообразованию в строительстве, сформулированный в «Основных положениях (концепции) ценообразования в строительстве в условиях развития рыночных отношений» (Письмо Минстроя РФ от 22.10.93 г. № БЕ 19-21/12). В данном документе говорится, что основными задачами новой системы ценообразования и сметного нормирования в строительстве являются: формирование свободных (договорных) цен на строительную продукцию, их экономическая оптимизация и государственное регулирование через цены на отдельные виды ресурсов; обеспечение полного набора сметных нормативов и различных условий их применения при самостоятельности субъектов инвестиционной деятельности; определение стоимости строительства на разных этапах инвестиционного цикла.
В соответствии с современной методологией ценообразования создана единая система методических документов, основным из которых является Методика определения стоимости строительной продукции на территории РФ (МДС 81-35.2004), разработана и введена в действие сметно-нормативная база в строительстве 2001 г. Все это дает возможность формировать договорные цены на строительную продукцию, определять ее сметную стоимость на различных стадиях инвестиционного процесса, что обеспечивает вариантный и гибкий подход к определению цены строительной продукции без чрезмерной централизации и жесткой регламентации.
Ценообразование в строительстве исходит из общих для всех отраслей принципов. В условиях рынка оно проходит общие этапы ценообразования: выбор объекта ценообразования, определение спроса и предложения, анализ издержек, анализ цен конкурентов, выбор метода ценообразования и установление окончательной цены.
Но механизм ценообразования в строительстве имеет следующие специфические особенности:
в формировании цены на строительную продукцию одновременно участвуют проектировщик, заказчик и подрядчик;
характер строящихся зданий и сооружений индивидуальный;
стоимость строительной продукции зависит от местных условий строительства;
длительность производственного цикла строительного процесса;
высокая материалоемкость строительной продукции;
специфические особенности учета сметной прибыли и стоимости эксплуатации машин и механизмов;
стоимость строительной продукции определяется сметой, составляемой на основе проекта, сметных норм и других данных.
Эти особенности приводят к необходимости применения нестандартных подходов в области ценообразования на строительную продукцию. Именно в строительстве, в силу определенных особенностей становится очевидным, что категория «стоимости» и «ценности» не совпадает, как не совпадает уровень цен для различных участников строительного процесса на разных стадиях инвестиционно-строительного цикла.
Формирование стоимости строительной продукции происходит не спонтанно, а последовательно: начиная с возникновения идеи строительства объекта и заканчивая сдачей в эксплуатацию и пуском объекта. На различных стадиях инвестиционно-строительного цикла выделяют следующие виды и формы стоимости – сметная, рыночная, договорная цена строительной продукции.
Сметная стоимость является базовой ценой в системе рыночного ценообразования и определяется сметным расчетом, как правило, затратными методами путем калькулирования отдельных элементов текущих затрат, норм и цен, по перечню и объему заданных, запланированных и запроектированных строительных, ремонтно-строительных, монтажных и пусконаладочных работ.
Практика ценообразования в строительстве на территории РФ показывает, что при определении стоимости строительной продукции лежит сметно-нормативный метод, который опирается на методическую и сметно-нормативную базу, разработанную Госстроем России. Главной задачей сметно-нормативной базы является определение стоимости строительства на всех стадиях разработки предпроектной и проектно-сметной документации.
Список использованной литературы
Ардзинов В.Д. Ценообразование и составление смет в строительстве. – СПб.: Питер, 2006.
Барановская Н.И., Котов А.А. Основы сметного дела в строительстве. М., СПб, 2005.
Бард В.С. Инвестиционные проблемы российской экономики. – М.: Экзамен, 2005.
Барышников Н.П. Заработная плата. М: Филин, 1998 г.
Бланк И.А. Инвестиционный менеджмент. МП "Итем" ЛТД (Москва-Лондон), Киев, 1995 г.
Бочаров В.В. Финансово-кредитные методы регулирования рынка инвестиций.- М.: Финансы и статистика, 1993. – 144 с.
Бузырев, В. В. Основы ценообразования и сметного нормирования в строительстве: учеб. пособие для вузов / В.В. Бузырев, А.П. Суворова, Н.М. Аммосова. — Ростов-на-Дону : Феникс, 2006. — 256 с.
Гитман Л. Дж., Джонк М. Д. Основы инвестирования. Пер. с англ. - М.: Дело, 1997г.- 1008 с.
Горемыкин В.А., Бугулов Э.Р. Недвижимость: регистрация прав и сделок, ипотечное кредитование в схемах. М.: ИИД Филин, 1999. – С. 54.
Губанов С. Глубинные проблемы инвестиционных процессов / С. Губанов // Экономист, № 8, 2001
Денисова И.В. Цены и ценообразование. М, 1997 г.
Донцова Л.В. Экономико-математическое моделирование процессов инвестиционно-строительной деятельности // Менеджмент в России и за рубежом, №1 – 1999
Дорожкин В.Р. Ценообразование и управление стоимостью в строительстве. – Воронеж: Издательство им. Е.А.Болховитинова, 2003.
Епифанов В.А. Территориальный заказ и кредитование жилищного строительства // Жилищно-коммунальное хозяйство, 2000, №9. – С. 6.
Заработная плата. М: Инфра.
Ивянский А. Автоматизация разработки проектно-сметной документации с использованием сметно-нормативных баз 2001 года. М., 2003.
Каменецкий М.И. Инвестиционная сфера и строительный комплекс: ситуация, государственное регулирование и рыночное взаимодействие//Проблемы прогнозирования. 1997. – №6. с. 91–100.
Кузьминский А.Г. Проблемы ценообразования в строительстве в условиях рыночных отношений. Новосибирск, НГАС, 1997 г., - 53 с.
Кузьминский А.Г., Щербаков А.Ч. Ценообразование и сметное нормирование в строительстве. Новосибирск, НГАС, 1995 г., -183 с.
Либерман И.А. Цены и себестоимость строительной продукции. М: Финансы и статистика, 1997 г
Маслова И.В. Современное состояние ценообразования в строительстве // Бухгалтерский учет и налогообложение, №10, 2006.
Методические рекомендации по оценке эффективности инвестиционных проектов и их отбору для финансирования. М, 1994 г.
Методические рекомендации по оценке эффективности инвестиционных проектов и их отбору для финансирования. Издание официальное. – М.: 1994. – 80 с
Михайлов С.А. Финансово-экономические аспекты строительства // Жилищное строительство, 2000, №8. – С. 2.
Организация строительного производства / Учеб.для строит. Вузов / Л.Г.Дикман. - М.: Издательство АСВ, 2002. - 512 с.
Подгорная Л. Новая сметно-нормативная база для города Москвы. Опыт применения. Проблемы и решения // Стройка, №36, 2002.
Полынов П. Город нового века // Московская среда, №19, 01.06.2005.
Пошерстник Е.Б. Заработная плата в современных условиях. СПб: Герда, 1998 г.
Практическое пособие по организации и проведению подрядных торгов в Российской Федерации, М: Аскпроект, 1995 г.
Рекомендации по проведению подрядных торгов. Журнал "Экономика строительства", 1994 г., № 3.
Синянский, И. А. Проектно-сметное дело: учеб. для вузов / И.А. Синянский, Н.И. Манешина. — Москва : Академия, 2005. — 448 с.
Слоунский А.И., Авдеев В.Т. Оценка тендерных предложений при проведении подрядных торгов по объектам капитального строительства реинвестиции в России, 1994 г.
Составление смет в строительстве на основе сметно-нормативной базы 2001 года / Под ред. П.В.Горячкина. М., 2003.
Стаценко А.С., Тамкович А.И. Технология и организация строительного производства: Учеб. пособие. - Мн.: Выш.шк., 2000. - 367 с.
Степанов И. С. Повышение эффективности труда рабочих в строительстве, М: Стройиздат, 1991 г.
Фильев В.И. Заработная плата в зарубежных странах. М: Бухгалтерский бюллетень, 1997 г.
Чекмарева Е.О. Экономическая сущность лизинга. Хозяйство и право, 1994 г., № 4.
Щербаков А.И., Кузьминский А.Г. О ценообразовании в строительстве. Журнал "Известия Вузов": Строительство, 1995 г., № 1.
Экономика строительства. Учебник для Вузов. Под ред. М.С. Степанова, М:-Юрайт, 1998 г.,-416 с.
Экономика строительства: учебник / под общ. ред. И.С. Степанова. — 3-е изд., перераб. и доп. — Москва : Юрайт, 2007. — 619 с
Юзефович А.Н. Организация и планирование строительного производства / Учебное пособие. - М.: Издательство Ассоциации строительных вузов, 2004. - 264 с.
1 Хруцкий В.Е., Сизова Т.В., Гамаюнов В.В. Внутрифирменное бюджетирование. Настольная книга по постановке финансового планирования. – М.: Финансы и статистика, 2003.
2 Казаков А., Казанцев К. Автоматизация бюджетирования для строительных холдингов // Управление компанией, №11, 2004.
3 Хруцкий В.Е., Сизова Т.В., Гамаюнов В.В. Внутрефирменное бюджетирование. Настольная книга по постановке финансового планирования. – М.: Финансы и статистика, 2003.
4 Дорожкин В.Р. Ценообразование и управление стоимостью в строительстве. – Воронеж. Издательство им. Е.А.Болховитинова, 2003.