Ефективність застосування комплексних вправ при підготовці зв’язуючого гравця у волейболі
Ефективність застосування комплексних вправ при підготовці зв’язуючого гравця у волейболі
Зміст
Вступ
Огляд літературних джерел
1.1 Різновиди підготовки зв’язуючого гравця у волейболі
1.2. Критерії визначення фізичної підготовки зв’язуючого гравця
1.3. Критерії визначення технічної підготовки зв’язуючого гравця
1.4. Критерії визначення тактичної підготовки зв’язуючого гравця
1.5. Основні способи передачі м’яча
1.6. Застосування комплексних вправ
Висновок
Список використаних літературних джерел
Вступ
Сучасний волейбол ставить високі вимоги до організації тактичних дій команди, об'єктивно виготовляти засоби для успішного завершення атакуючих дій. Специфіка гри дає змогу вирішувати головні задачі зв'язуючому гравцю, виконуючому роль диспетчера гри.
Тактика показує, що підготовка зв'язуючого гравця, які складають цілий комплекс якостей, необхідних йому для диспетчерської функції, - важка проблема [3, 53].
Дії цього гравця визначені ігровою функцією - підтримувати і виконувати зв'язок між захистом та нападом. Ми досить звикли до ролі зв'язуючого, що й представити команду без нього не можемо. Деякі команди не досить високого рівня грають як по нотах. Дивимось і дивуємось: все відомо на багато кроків вперед, все вирахувано до сантиметра.
Основним прийомом техніки гри зв'язуючого гравця є передача м'яча, за допомогою її волейболіст забезпечує процес організації атакуючих і захисних дій. Залежно від положення рук розрізняють передачі двома руками зверху і знизу. Для забезпечення нападаючих дій застосовуються в основному тільки передачі двома руками зверху. Успішне завершення нападаючих дій залежить від правильної і точної передачі м'яча, яка виконується після переміщення на зустріч м'ячу [10, 13].
Передачу двома руками зверху можна виконувати з різних вихідних положень гравця, висота яких змінюється залежно від кута траєкторії польоту м'яча, відносно майданчика. У кожному окремому випадку волейболіст приймає різні за висотою положення. Другу передачу м'яча зв'язуючий повинен виконати без помилок різних вихідних положень: в стрибку, в падінні, в присіді, в русі, з місця [11, 108].
Розділ І
1.1. Різновиди підготовки зв'язуючого гравця у волейболі
Під контролем розуміють певну систему одержання інформації про стан спортсмена. Головним засобом здобуття інформації є контроль і облік. Вони охоплюють всі розділи підготовки зв'язуючого.
Основним методом одержання інформації про стан підготовленості зв'язуючого є педагогічне спостереження і метод об'єктивної оцінки. Перший використовується тренером в процесі тренувальних занять і змагань, і захвачує практично всі сторони життя і діяльності спортсмена (Хапко В.Є., 1990). Другий використовується для об'єктивної оцінки якісних здвигав в підготовленості гравця. Він застосований на використанні різної реєстраційної апаратури, кіно - і відеозапису [3, 27]. Системи контрольних випробувань з основних видів підготовки. Додаткові джерела інформації служать дані лікарняного контролю і самоконтролю гравця.
По відношенню до зв'язуючого гравця контроль набуває особливо важливого значення , але від його стану залежить успіх гри всієї команди. Головна задача контролю заключається не тільки в тому , щоб знати фактичний стан гравця, скільки в необхідності научного обґрунтування управління його підготовки.
Педагогічний контроль здійснюється в процесі тренувальних занять та змагань. Розглянемо ті його розділи , котрі потребують обліку специфічних особливостей функцій зв'язуючого:
а) контроль за тренувальним навантаженням;
б) оцінка ефективності застосованих засобів.
Контроль за тренувальним навантаженням ведеться по трьох основних параметрах: об'єму , інтенсивності та витривалості. Зупинимось на перших двох [3, 37].
Об'єм навантаження включає тривалість кожного заняття і часу, виділені на виповнення окремих вправ з основними направленнями підготовки. Основою для планування навантаження служить її змагальний об'єм. Виповнена робота реєструється тренером і звіряється (порівнюється) з змагальним навантаженням і плановим завданням [8, 13].
Щоб перевірити інтенсивність навантаження, потрібно знати інтенсивність основних вправ, а також план занять в цілому. Прийнято умовне ділення інтенсивності на максимальну, велику, середню, малу. Критерієм оцінки служить відношення вправи певної інтенсивності до загальної їх кількості і відношенню планових норм. Слід замітити, що ігрове навантаження зв'язуючого обумовлена в основі тривалості гри, кваліфікацією команди і принципом її комплектування.
Так, якщо в команді два зв'язуючі гравці (принцип 4+2), то навантаження може розподілятись рівномірно (рівнозначно). Якщо ж один з зв'язуючих є основним , а другий допоміжним , то частина першого складає дві третіх навантаження. При комплектуванні команд по принципу 5+1 об'єм правої діяльності (більшості передач м'яча) приходиться на одного зв'язуючого [15, 12].
В зв'язку з цим важливо, щоб на тренувальному процесі знайшли свій відбиток не тільки об'єм виконаної роботи, а й відношення його характеру змагань. Це пов'язано з необхідністю забезпечення високої надійності дій в найважчі моменти гри, і особливо в кінці партій. Тому і обсяг і інтенсивність тренувального навантаження, модулюючи ці моменти гри, повинні бути більші, ніж змагальні.
Контроль за ефективністю застосованих засобів здійснюється за наступними видами підготовки: фізичній, технічній, тактичній, та теоретичній.
1.2. Критерії визначення фізичної підготовленості зв'язуючого гравця
Контроль відбувається за допомогою контрольних вправ чи тестів і систематичних візуальних спостережень (якість дій). Критерієм оцінювання фізичної підготовленості відношення досягнутих результатів по відношенню до запланованих.
Для отримання необхідної інформації про стан спеціальної фізичної підготовленості зв'язуючого використовують ті ж засоби , що і для оцінки інших гравців. Виключення складає необхідність оцінки стрибучості з одного кроку-розбігу (модельні+умови) і динамічної сили згиначів верхніх кінцівок. Звертають увагу і на результати переміщення на коротких відрізках: „ялинка" - перші три м'яча або човниковий біг -5x6 м. Тут показники у зв'язуючого повинні бути вищі ніж у нападаючих гравців.
Стрибучість з одного кроку - розбігу провіряють слідуючим чином. У зв'язуючого вимірюють зріст з піднятою вверх рукою. На баскетбольному щит знизу відкладають лінійку з позначками від 0 до 50 см. через кожен сантиметр зв'язуючий розміщається в 2 м. від щита , правим боком до нього. По сигналу тренера він повертається лицем до щита і виконує стрибок з одного кроку - розбігу, намагаючись дістати на лінійці максимально високу відмітку рукою. Знаючи відстань до щита (його слідує попередньо провірити) і висоту дотику на щиті, легко виміряти висоту стрибка. Вона рівна різниці висоти дотику і зросту з піднятою рукою [2, 57].
Динамічну силу рук перевіряють при виконанні штовхання вперед-вверх набивного м'яча 2 кг. з місця, вихідне положення — набивний м'яч вверху над лицем (як при передачі). Визначення динамічної сили рук залежить від того, як далеко штовхне м'яч зв'язуючий гравець. Чим далі штовхне м'яч, тим більша динамічна сила.
1.3. Критерії визначення технічної підготовленості зв'язуючого гравця
Основу технічної підготовки зв'язуючого гравця складають вправи (передачі м'яча), виконувані у стінки. Вони не тільки сприяють оволодінню раціональною структурою рухів, але і грають в з'єднані спеціальних фізичних якостей з основою навиків другої передачі (взаємопов'язані якості і навички зв'язуючого).
Передачі на різній відстані від стіни, з різною швидкістю, з різних вихідних положень: обличчям, боком, спиною до направлення передачі, сидячи, в стрибку, переходячи від одного вихідного положення до другого.
Те ж саме, але на точність. З цими намірами необхідно використовувати різні цілі, які знаходяться на різній висоті від підлоги.
В куті залу передача в лицьову стінку, поворот направо (наліво) - передача в бокову стінку.
Оцінюють технічну підготовку володіння м'ячем (по показникам влучності) при передачах двома руками зверху в модельних умовах [7, 47].
Використовують такі вправи:
1) в першій вправі оцінюють влучність передач стоячи обличчям і спиною до цілі на стіні. У вихідному положенні обличчям до цілі (відстань 2,5м.) зв'язуючий виконує 20 передач в такій послідовності: передача над собою (висота їм) - передача в ціль - передача над собою - поворот на 180° - передача спиною вперед - передача над собою і т.д. Враховуючи кількість передач, виконуваних в ціль лицем і спиною. При зупинці із-за втрати м'яча вправа продовжується, а кількість зупинок враховується додатково.
2) в другій вправі зв'язуючий розміщується на відстані Зм. від цілі в колі діаметром Зм. Зліва від нього, на відстані 4м., розміщується помічник (тренер) з м'ячем. Задача зв'язуючого виконати передачу тільки влучно в ціль в без опорному положенні (в стрибку) після першої передачі тренера. Спроба не повинна зараховуватися у двох випадках:
якщо зв'язуючий виходить з кола із-за поганої передачі;
якщо перша передача спрямована по низькій траєкторії, із-за чого стрибок не виходить. Враховується влучність 10 передач;
третя вправа враховує оцінку влучності при передачі в ціль в опорному положенні на відстані 6м. Умови ті ж, самі що й в другій вправі;
четверта вправа враховує оцінку влучності при передачі в ціль (баскетбольне кільце) в опорному положенні на відстані 5м. (штрафного кидка) з 10 спроб. Умови ті ж, що й в другій вправі, але ще виконується передача над собою.
В усіх випадках результати випробувань повинні відповідати кожному зв’язуючому. Загальна оцінка (суми рангів) буде мати порівнюючий характер як по відношенню друг до друга, так і до планового завдання тренера.
Викликає інтерес оцінка влучності передач під дією різних факторів, і особливо втома, запропонована А.В. Івойловим (1981).
Розрахунки цільової влучності в цьому випадку приводять до формули:

де Т - цільова влучність
Pn - вірогідність попадання в передню частину цілі в процентах
т - кількість попадань в ціль. Загальна кількість передач повинна бути не менше 30. Кількість попадань характеризує високий рівень спортивної майстерності зв'язуючого, а стійкість надійність техніки володіння м'ячем [13, 56].
1.4. Критерії визначення тактичної підготовки зв'язуючого
Педагогічний контроль тактичної підготовленості зв'язуючого мас важливе значення. Але його об'єктивна оцінка досить важка. Важливість її пояснюється тим, що діяльність диспетчера являється зв'язуючи ланцюгом між діями захисту (прийом м'яча) та атаки (завершення взаємодії). Тому виділити з більшого числа перемінних один показник, котрий надійно характеризував тактичну майстерність диспетчера, - висока задача.
В залежності від принципу комплектування команди (5+1,4+2) та задач тренера можна виділити два методичних підходи до вирішення задачі. Перший виявляє головним чином оцінку тактичної майстерності при другій передачі м'яча, другий - комплексну оцінку (інтегральний показник) всієї ігрової діяльності зв'язуючого. В першому випадку вияснюють три показники (або один з них по бажанню тренера) всебічна характеристика не тільки тактичної майстерності зв'язуючого, але і закономірності його проявлення в плані розвитку атакуючої діяльності:
Кількісні показники ефективних передач. Це показник відношення кількості передач без блоку та проти одного блокую чого до загального їх числа в площині атаки.
Ефективність передач м'яча визначається по даним ефективності нападаючих ударів (відношення виграних дій, за різницею програних, до загального їх числа).
3. Цінна вартість
передач. В практиці волейболу досить
зручною є
загальноприйнята бальна
оцінка. її можна виконувати і для оцінки
змагальних дій зв'язуючого. Для цього
необхідно вияснити ефективність
атакуючих дій з різних передач (критерій
оцінки) і встановити коефіцієнти. Так,
по даним севокупної ефективності
атакуючих дій чемпіонату України були
визначені наступні коефіцієнти
ефективності (закруглено):
атака без блока - 1 бал (86%)
проти одного блока - 0,5 бала (46%)
проти групового блока - 0,2бала (18%)
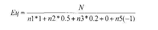
Якщо прийняти за - 0 неякісну передачу, а помилкову за - 1, то розрахунок показника цінності вартості передач можна виготовлять за такою формулою:

ціннісна ефективність;
N - загальна кількість всіх передач, виконаних в площині атаки; пі - передача без блока; п2 - передача проти одного блоку; пЗ - передача проти групового блоку; п4 - неякісна передача; п5 - передачі, виконані з помилкою; Таким чином, щоб показник перевести в бальну оцінку його необхідно помножити на 2 (1 бал =0,2)
Для порівняння знайдених результатів за виміряними параметрами приводимо таблицю оцінки ефективності технічно - тактичної майстерності зв'язуючих (таблиця №2). Контрольні нормативи виведені по даних ефективності відмічених вище змагань використаних під час атаки (після прийому передачі).
Контрольні нормативи оцінки тактичної майстерності зв'язуючого при передачі м'яча.
Другий метод оцінки використовується при грі команди з двома зв'язуючими. Він представляє собою інтегральний показник, включаючий різність ефективності дій з ефективних і не ефективних передач (вклад зв'язуючого) і середнє арифметичне ефективності других ігрових дій. Для оцінки досягнутого зв'язуючим результату необхідно його зрівняти з аналогічним показником ведучих гравців.
Любий з розглянутих методів оцінки або їх варіантів можна використовувати як у тренувальному процесі, так і в змаганнях [14, 47].
1.5. Основні способи передачі м’яча
Верхня передача. Залежно від рухливості суглобів верхня передача може бити виконана на різній висоті, аж до безпосередньої близькості від підлоги. На самому початку вивчення верхньої передачі волейболісти зустрічаються з «проблемою» великого пальця. Річ у тому, що, підкоряючись природному захисному рефлексу, гравець, що починає, підсвідомо зустрічає м'яч подалі від себе. Витягнувши назустріч руки, він і ставить великі пальці в положення, де їх травма майже неминуча. Існує два найраціональніших способу положення рук для передачі. Перший спосіб полягає в наступному: гравець, прибираючи великий палець, розводить лікті в сторони, залишаючи руки на значній відстані від себе. В цьому способі виключається травма великого пальця, але і зменшується активність роботи рук. Вся динаміка передачі здійснюється за рахунок ніг. Треба віддати належне цьому способу, тому що його перевага не тільки в безпеці великого пальця, але і у відносній безпомилковості виконання прийому. Націлене на м'яч, стабільне положення рук зводить до мінімуму можливість технічних помилок [7, 50].
Другий спосіб верхньої передачі набув поширення в основному в перші післявоєнні роки. Він привабливий тим, що дозволяє вести гостру, комбінаційну гру, оскільки поєднує в собі і прийом м'яча і його передачу. При цьому способі руки розташовуються так, що волейболіст, нехтуючи захисним рефлексом, зустрічає м'яч активним рухом не тільки ніг і тіла, але і рук.
Залежно від індивідуальних особливостей між двома описаними способами існували і існують різні проміжні положення.
В даний час важко припустити, що у волейболі повернуться до верхньої передачі як основному способу, хоча в цьому напрямі і робляться деякі кроки. Тому, аналізуючи техніку верхньої передачі, будемо її розглядати як другу передачу, тобто передачу для нападаючого удару після того, коли м'яч вже був прийнятий [1, 13].
У виконанні верхньої передачі беруть участь ноги, тулуб і руки. Вся сума рухів повинна бути направлена суворо прямолінійно з тим, щоб супровід м'яча після дотику підтримував прийнятий напрям, і не міняв його. Руки, тулуб і ноги діють послідовно. Починають рух ноги, продовжує його тулуб, а потім руки. Кожний подальший рух відбувається з наростанням швидкості. В заключній частині передачі, ступні ніг відриваються від підлоги, а руки повністю випрямляються.
Розглянемо техніку передачі докладніше. З положення стійки гравець переходить в специфічне для верхньої передачі положення. З цією метою він підтягає одну ногу до іншої. Робиться це для того, щоб подальше розгинання ніг виконати в одному напрямі. При розставлених ногах щонайменша не синхронність їх рухів приведе до зсуву тулуба убік, а це порушить точність всього руху. Розгинанням ніг в колінному і тазостегновому суглобах, гравець посилає тулуб в потрібному напрямі назустріч м'ячу.
Робота ніг з наростанням швидкості закінчується розгинанням гомілковостопних суглобів, а частіше відривом від підлоги однієї або обох ніг. Важливо, щоб рухи ніг як би підкорялися, залежали від роботи рук. Від рухів ніг залежить головним чином швидкість передачі, а руки забезпечують точність напряму передачі. Як тільки розгинанням в колінному і тазостегновому суглобах ніг тулубу додано рух, руки переносять на рівень голови, а кисті розташовують для зустрічі з м'ячем. Для цього лікті виносять вперед і в сторони, великі пальці направляють до носа. При русі рук до м'яча кисті якомога довше повинні зберігати це початкове положення. У міру віддалення від обличчя кисті повертають внаслідок чого великі пальці виходитимуть вперед (приблизно в середині всього руху рук, але у жодному випадку не спочатку). Передчасне виведення великих пальців вперед неприпустимо, оскільки при цьому виключається участь в передачі мізинців, та відхилення м'яча убік [3, 13].
Нижня передача виконується з початкового положення, коли руки зігнуті в ліктях, долоні вкладені одна в іншу або зведені разом. При цьому положення долонь повинне бути вільним з тим, щоб не утрудняти рухливості рук. З наближенням м'яча передпліччя піднімають і одночасно розвертають, зближуючи лікті. В результаті руху в плечовому суглобі і розгинання в ліктьовому передпліччя щоб один одного залишаються в постійному положенні. Поступово, з підняттям рук все ближче зводяться лікті, чому не перешкоджає вільний рух кистей.
В техніці нижньої передачі руху ніг і тулуба мають таке ж першорядне значення, як і у верхній передачі. Для прямолінійного руху передпліччя (якими здійснюється передача) рук в ліктьових суглобах згинають у міру їх руху вгору назустріч м'ячу і розгинають з таким розрахунком, щоб кожне подальше положення передпліччя – паралель попередньому. Якщо м'яч до моменту виконання передачі виявиться дуже високо, гравцю треба прискоритися від нього убік і виконати всі рухи знизу-збоку. Тривалість прямолінійного положення передпліччя забезпечують не тільки рухом в плечовому і ліктьовим суглобах рук, але і енергійним розгинанням ніг, причому це розгинання повинне бути злагоджено з роботою рук. Злагоджена робота ніг і рук є другою по значущості (після точності положення рук) обставиною, що забезпечує успіх передачі [10, 103].
При сильних нападаючих ударах і подачах целесообразнее приймати м'яч способом нижньої передачі. Це безпечніше і зменшує ризик вчинити технічну помилку. Прийом м'ячів, що летять з великою швидкістю, має свою особливість. Річ у тому, що зустрічний рух пепедпліччя дає такий відскок, після якого м'яч може вилетіти за межі майданчика. Тому замість стрічного руху гравець або залишає руки на місці (підставляючи їх під м'яч), або при дуже сильно пробитих м'ячах пом'якшує удар, відводячи передпліччя назад. Як це не покажеться дивним, але ноги працюють, як завжди, тобто розгинаються і в цьому випадку. Така, на перший погляд, дивність взаємодії рук і ніг пояснюється наступним. Для правильного підставляння передпліччя під м'яч, і особливо відведення їх назад, потрібна велика рухливість тулуба, а ця рухливість найбільш ефективна тільки при роботі ніг. Тут поєднується рух вгору з рухом назад. Не розгинають ноги тільки при прийомі м'ячів, що летять близько до поверхні майданчика. У всіх же інших положеннях, у тому числі і при винесенні рук в сторони, рухливість ніг повинна бути активною.
При винесенні рук убік для прийому м'яча гравець повертає руки так, щоб уявна площина, створена передпліччям, була перпендикулярна напряму польоту м'яча, з деяким відхиленням для відскоку його вверх-вперед. Для цього сам гравець повертається в напівоберта у бік рук. У всіх прийомах м'яча активно діє плечовий суглоб, піднімаючи і опускаючи плечі для можливо більш точного положення передпліччя під м'ячем.
При вивченні техніки нижньої передачі і її вдосконаленні треба в однаковій мірі серйозно відноситися як до точності нижньої передач і до відмінного пасу для нападаючого удару, так і до безпомилкового прийому цим способом м'ячів, що летять з великою швидкістю [11, 23].
Як і в будь-якому іншому ігровому прийомі, в нижній, передачі потрібно прагнути автоматизації рухів. Напруга і положення рук при взаємодії з м'ячем повинна строго відповідати швидкості польоту м'яча. Із збільшенням цієї швидкості зменшується вимога до точності передачі, чим спрощується задача приймаючого м'яча. Тут гравець може не повертати передпліччя внутрішньою стороною назустріч м'ячу і не зводити з цією метою лікті, а залишити руки так, щоб удар м'яча припав на передню частину предпліччя. Це положення рук обумовлюється анатомічними особливостями будови ліктьової і променевої кістки передпліччя, які нестійкі до ударів по внутрішній і особливо зовнішній їх стороні. Різкий удар по зовнішній стороні передпліччя може викликати навіть перелом обох кісток. Дуже міцне і надійне положення рук, повернених бічною поверхнею передпліччя вперед (великий палець вперед).
Якщо, приймаючи м'яч, не ставити перед собою задачу точної його передачі, а обмежуватися тільки прийомом його, то тут теж немає необхідності повертати передпліччя для збільшення площі зіткнення з м’ячем. Достатньо зберегти положення зведених долонь і підставляти під м'яч передпліччя: м'яч як би підбивають вгору.
Нижня передача, як і верхня, вимагає тривалих вправ і постійного стану тренованості. Особливе значення при цьому потрібне додавати умінню якомога довше спостерігати за польотом м'яча, бачити його до моменту торкання предпліччями [9, 47].
1.6. Застосування комплексних вправ у волейболі
З перших кроків навчання волейболу цей компонент техніки повинен знаходитися в центрі уваги тренера і волейболістів. На основі передач м'яча зверху двома руками і прийому знизу будується ознайомлення з характером гри у волейбол через ігрові дії, учбову двосторонню гру (без подачі). На подальших етапах і в командах вищих розрядів це — основа діяльності тренувального заняття зв'язуючих гравців. Гравці інших амплуа повинні уміти якісно виконувати другу передачу в техніко-тактичному аспекті, не знижуючи загрози нападу для суперника [3, 69].
Комплексні вправи:
Передачі назад за голову в трійках. Гравці розташовуються на одній лінії на відстані 2 —3 м. Крайній передає м'яч середньому, який, у свою чергу, передає його за голову, після чого повертається обличчям для отримання м'яча і знову передає його крайньому за голову. По сигналу тренера гравці що стоять в середині міняється.
Передачі назад за голову в парах. Після передачі над собою на висоту 1 — 1,5 м гравець повертається на 180° і виконує передачу стоячи спиною до партнера зони 4. Передачі із зони 1 в зону 4, із зони 5 в зону 2.
Волейболісти стоять по кругу, що в середині один (два-три) ходить з м'ячем: приставними кроками гравці пересуваються по кругу, той, що водить, передає їм м'яч, вони негайно повертають його тому, що водить.
Передачі перед собою і спиною на точність по напряму в обручі (кільця) на сітці, на стійці, мішені на тренувальній стінці, на майданчику — з власного підкидання і з передачі партнерів. Відстань між партнером і передаючим, передаючим і мішенню поступово збільшують.
Передачі на точність в мішень на стіні виконують стоячи на місці, перед собою і спиною по напряму руху м'яча (змінюються відстань і висота); під час переміщення; після зупинки і повороту; комбінують перераховані завдання. Передачі виконують в опорному положенні і в стрибку.
Учень посилає м'яч верхньою
передачею. Партнер виконує
нижню
передачу над собою, а потім верхньою
передачею повертає
м'яч.
Вправа біля стіни. Верхньою передачею спортсмен посилає м'яч в стіну, а після відскоку виконує нижню передачу двома руками над собою.
Спортсмен верхньою передачею посилає м'яч вліво, вправо від партнера, а той нижньою передачею двома руками повертає його.
Спортсмени в парах передають один одному м'яч нижньою передачею та переміщаючись по довжині залу.
Вправа в парах. Один виконує легкий на падаючий удар, інший повертає м'яч нижньою передачею (зміна ролей по команді вчителя).
Висновок
Отже, основним прийомом техніки гри зв'язуючого гравця є передача м'яча, за допомогою її волейболіст забезпечує процес організації атакуючих і захисних дій. Залежно від положення рук розрізняють передачі двома руками зверху і знизу. Для забезпечення нападаючих дій застосовуються в основному тільки передачі двома руками зверху. Успішне завершення нападаючих дій залежить від правильної і точної передачі м'яча, яка виконується після переміщення на зустріч м'ячу.
Передачу двома руками зверху можна виконувати з різних вихідних положень гравця, висота яких змінюється залежно від кута траєкторії польоту м'яча, відносно майданчика. У кожному окремому випадку волейболіст приймає різні за висотою положення. Другу передачу м'яча зв'язуючий повинен виконати без помилок різних вихідних положень: в стрибку, в падінні, в присіді, в русі, з місця.
Список використаних літературних джерел
А.Г. Айриянц. Волейбол/ Айриянц А.Г. М. Ф. и С, 1976
И.В. Блауберг. Становление и сущность системного подхода/ Блауберг И.В., Юдин Е.Г. - М.: „Мысль", 1983.
А.П. Демчишин. Підготовка юних волейболістів /Демчишин А.П., Мозола Р.С, Панишко Ю.М.. - Київ: „Радянська школа", 1982.
Ю.Д. Железняк. Юный волейболист /Железняк Ю.Д. - М.: ФиС, 1979.
Ю.Д. Железняк. К мастерству в волейболе /Железняк Ю.Д. - М.: ФиС, 1978.
А.В. Ивойлов. Волейбол/ Ивойлов А.В.. - М.: ФиС.,1980.
А.В. Ивойлов. Волейбол: очерки по биомеханике и методике тренировки /Ивойлов А.В. - М.: ФиС.,1980
Ю.Н. Клещов. Юный волейболист /Клещов Ю.Н., Фурманов А.Г.. - М.: ФиС, 1979.
Л.П.Матвеев. Теория и методика физического воспитания /Матвеев Л.П., Новикова А.Д. , 4.2. - М., 1976
Л.П. Матвеев. Основы спортивной тренировки /Матвеев Л.П. . - М.: ФиС, 1977.
С. Оинума Уроки волейбола/ Оинума С. - М.: ФиС, 1985.
Л.Н. Слупский. Игра связующего/ Слупский Л.Н., М.: ФиС, 1984.
В.Е.Хапко.Совершенствование мастерства волейболистов /Хапко В.Е., Маслов В.Н.. -Киев: «Здоровье», 1990.
О.С. Чехов Основы волейбола/ Чехов О.С. - М.: ФиС, 1979.