Инновационный проект в области безопасности дорожного движения
МИНИСТЕРСТВО ОБРАЗОВАНИЯ И НАУКИ
РОССИЙСКОЙ ФЕДЕРАЦИИ
ИННОВАЦИОННЫЙ ПРОЕКТ
в сфере безопасности дорожного движения
Брянск 2010 г.
СОДЕРЖАНИЕ
1. Краткая характеристика конъюнктуры рынка
2. Описание предлагаемого инновационного решения
3. Маркетинговые аспекты эффективности инновационного проекта
4. Сетевой план-график реализации инновационного проекта
5. Финансирование инновационного проекта
6. Расчет WACC
7. Предварительная оценка экономической эффективности проекта
1. КРАТКАЯ ХАРАКТЕРИСТИКА КОНЪЮНКТУРЫ РЫНКА
Безопасность дорожного движения
По подсчетам Всемирного банка, аварии на автодорогах во всем мире становятся причиной гибели 700 000 человек и более 10 миллионов случаев травматизма ежегодно.
Только в странах Европейского союза каждый год насчитывается около 40 000 жертв дорожных аварий. Российская Федерация, к сожалению, не намного отстает в этих печальных ежегодных данных.
Улучшение состояния безопасности дорожного движения крайне важно в деле обеспечения устойчивого развития. Международный союз автомобильного транспорта (МСАТ) разработал стратегию "Три i" (innovation, infrastructure, incentives - инновации, инфраструктура, стимулирование), которая открывает путь к обеспечению устойчивого развития и к повышению уровня безопасности на дорогах.
А именно: инновации – путем разработки и применения новых технологий и методов управления; инфраструктура как важнейшее средство обеспечения движения; стимулы для поощрения стремления к устойчивому развитию.
МСАТ поддерживает комплексный подход, основанный на взаимосвязи между человеческим фактором, транспортным средством и инфраструктурой, при котором в двух последних элементах необходимо учитывать тот факт, что в конечном итоге человеческая ошибка неизбежна в процессе управления автомобилем.
Человеческий фактор
В мире, который все больше становится интернационально мобильным, все более важно обеспечить гармонизацию правил дорожного движения и практику их применения повсеместно в Европейском союзе.
В отношении первоначального обучения и переподготовки водителей, работающих по найму, как средства повышения безопасности на дорогах Академия МСАТ в ближайшем будущем запустит свою стандартную программу водительских курсов по перевозке опасных грузов, а также общую программу обучения и связанные с ней курсы ускоренной подготовки. Эти программы будут предоставлены в распоряжение официально утвержденных школ водителей, размещенных по всему миру.
Что касается периодов работы за рулем и отдыха, учитывая, что несоблюдение социального законодательства является основной причиной утомляемости и связанного с ней риска на дорогах, транспортная индустрия выступает за внедрение цифрового тахографа, который может стать средством решения этой проблемы, обеспечивая более частое и быстрое проведение тестов в рамках гармонизированной правоприменительной системы.
Кроме того, МСАТ в качестве дополнительной меры недавно опубликовал в двух версиях "Памятку по безопасности для водителя" (Driver Safety Cards), представляющую собой памятку – соответственно для водителей автобусов и грузовиков – с перечнем важнейших правил, которые необходимо соблюдать для обеспечения максимальной безопасности на дорогах. Версии этих памяток в применении к национальным особенностям распространяются национальными ассоциациями МСАТ среди профессиональных водителей по всему миру.
Во всех материалах МСАТ по безопасности дорожного движения звучит призыв ко всем, сидящим как за рулем коммерческих автотранспортных средств, так и частных автомашин: воздерживайтесь от употребления алкоголя!
Транспортное средство
В отношении улучшения характеристик транспортных средств с точки зрения безопасности на дорогах необходимо усовершенствовать процесс утверждения типов транспортных средств, который должен охватывать как грузовые транспортные средства, так и автобусы обычные и туристические. Нужно провести исследовательские работы с тем, чтобы повысить безопасность пользователя дороги путем совершенствования конструкции транспортного средства. На всех тяжелых грузовиках следует устанавливать защитные устройства сзади, спереди и по бокам.
Периодические испытания на надежность всех коммерческих транспортных средств, с заполнением соответствующей документации, призваны обеспечить постоянный высокий уровень технического состояния автомобильного парка.
Важным элементом в предотвращении ДТП с другими пользователями дороги являются устройства заднего вида. Наилучшим решением здесь станет обязательное оснащение новых транспортных средств унифицированными устройствами заднего вида.
Транспортная индустрия положительно относится к введению устройств ограничения скорости для коммерческих транспортных средств, а также к использованию ремней безопасности водителями и пассажирами во всех транспортных средствах, где сиденья этими ремнями оснащены. Ответственность за использование ремня безопасности должна возлагаться на каждого конкретного пассажира, или, когда дело касается детей, на сопровождающих их взрослых. В то же время, оператору транспортного средства, используемого для пассажирских перевозок, должно быть вменено в обязанность извещать пассажиров о необходимости пользоваться ремнями безопасности, что делается обычно посредством соответствующих объявлений, помещенных на видном месте.
Инфраструктура
В целях повышения безопасности на дорогах следует развивать дорожную инфраструктуру в соответствии с текущими и будущими потребностями. Простое расширение инфраструктуры уже само по себе обеспечивает дополнительную безопасность, поскольку оно сокращает скопления транспорта и возникающие из-за них заторы на дорогах.
Автотранспортная индустрия с нетерпением ожидает появления улучшений в области безопасности дорожного движения в результате применения спутниковых систем контроля и управления дорожным движением (а также контроля надежности транспортных перевозок!). Ожидаются также определенные улучшения в области безопасности дорожного движения в результате гармонизации систем платы за дороги.
Одним из важнейших условий оптимизации расходов федерального бюджета является внедрение эффективных научных разработок в дорожном хозяйстве. Использование новых качественных материалов, применение передовых технологий позволяют существенно увеличивать сроки службы дорожных сооружений, повышать безопасность дорожного движения. Сегодня инновации находят применение во всех сферах дорожного хозяйства - создаются новые уникальные строительные материалы, в том числе с применением нанотехнологий, используются самые современные дорожные машины и оборудование, внедряются уникальные технологии строительства искусственных сооружений.
Инновационные тенденции в области безопасности дорожного движения
Визуализация дорожных знаков в салоне транспортного средства
Изобретение относится к способам и устройствам для отображения дорожной информации. Кроме этого изобретение относится к области информационного обеспечения водителей транспортных средств, а также к приборам для непосредственной индикации и для осуществления записи или формирования сигнала, а точнее к способам визуального представления информации о показаниях устройств транспортного средства.
Из-за несовершенства транспортных систем безопасности на дорогах сейчас гибнет людей больше чем в локальных военных конфликтах.
Известны способы, когда с целью предупреждения опасных ситуаций на дорогах, на транспортное средство устанавливают приемное устройство, отображающее состояние дорожного знака.
Целью изобретения является повышения безопасности дорожного движения путем надежной визуализации дорожных знаков в салоне транспортного средства.
Заявляемый способ повышения безопасности дорожного движения отличается тем, что стандартные дорожные знаки и сигналы светофора обнаруживают с помощью видеокамер, снабженных системой автоматического распознавания знаков и сигналов светофора.
Существующие видеокамеры имеют высокую разрешающую способность и могут работать в оптическом или инфракрасном диапазоне, а их чувствительность в условиях плохой видимости может многократно превосходить человеческое зрение. Применение видеокамер, снабженных автоматической системой распознавания дорожных знаков позволяет значительно надежнее, чем водитель, занятый управлением транспортного средства, обнаружить знак и распознать его значение. Они могут эффективно работать в любую погоду и в условиях ограниченной видимости. Они не устают и практически не ошибаются. Стилизованные изображения знаков облегчают построение систем их распознавания по видеоизображениям. Стремительное снижение цен на видеокамеры и уменьшение их габаритов позволяют создавать дешевые и надежные системы безопасности с их использованием.
Для информирования водителя значение знака отображают с помощью видеоустройств и (или) на дисплее и (или) проецируют их на лобовое стекло автомобиля, так чтобы он был виден водителю в удобном для него положении, например в поле его зрения. Водителю не надо поворачивать голову и отводить взгляд от дороги, не требуется напрягать память и отвлекаться, чтобы прочитать знак и правильно понять его значение. Это позволяет снизить напряжение зрительной системы, интеллектуальную и эмоциональную нагрузку водителя.
Другое отличие способа состоит в том, что для удобства водителя предусмотрено несколько режимов отображения информации о знаке. Ее отображают или однократно, или с момента обнаружения до момента выхода знака из зоны видимости, или с момента обнаружения до момента подтверждения водителем полученной информации о знаке. Режимы поступления сообщений по разным знакам устанавливают исходя из требований безопасности движения, или выбираются водителем.
Тахограф
Тахограф – это контрольно-измерительное устройство, которое совмещено со спидометром в некоторых грузовиках и автобусах. Служит он для непрерывного фиксирования скорости движения, пробега, времени труда и отдыха водителя.. Использование тахографов позволило контролировать работу водителей, которые согласно вышеуказанному соглашению должны находиться за рулем не более 45 часов в неделю, не более 9 часов в день, притом с перерывом на отдых не менее 45 мин. Как показывает практика, использование таких контролеров способствует не только снижению усталости, соответственно и повышению безопасности, но даже позволяет сделать процесс вождения более экономичным.
Тахограф – это электронный прибор, который получает информацию в виде электрических сигналов от датчика пути-скорости, установленного в коробке переключения передач. А фиксирует пробег и скорость автомобиля, время отдыха водителя самописец в виде линий на отдельных шкалах диаграммных дисков. Чтобы определить по таким линиям необходимые параметры, существует несложная форма пересчета их длины в пробег, скорость, время отдыха и т.д. Режимы работы тахографов переключают сами водители, а чтобы не было путаницы, диаграммный диск имеет каждый член экипажа.
Диск изготовлен не из обычного картона – это специальная многослойная композиция, включающая основу, на которую наложены слои черной краски, прозрачного пластика и оксида цинка белого цвета. На «рабочей» поверхности диска нанесены шкалы, необходимые рисунки и графы. В процессе работы тахографа игла самописца удаляет верхний слой цинка, оставляя черный след. Перед установкой диска в самописец необходимо заполнить центральное поле. Туда вносится следующая информация: фамилия водителя, пункты отправления и прибытия, дата установки (снятия) диска, регистрационный номер автомобиля, показания одометра (в начале и конце поездки), суточный пробег. Чтобы исключить «махинации» водителей путем переустановки дисков, центральное отверстие имеет специальную форму. Обработка данных позволяет диспетчерам автотранспортных предприятий оптимизировать процесс перевозок и снизить эксплуатационные расходы.
Система предотвращения засыпания за рулём уставшего водителя
Компания Mercedes-Benz разработала систему предотвращения засыпания за рулём уставшего водителя.
Представители немецкого автогиганта рассказали, что разработка представляет собой совершенно независимого «эксперта», который бы следил за уровнем усталости водителя, и постоянно бы проводил мониторинг изменений его поведения. Если система получает подтверждение того, что бдительность водителя снижается, то она издает громкие звуковые сигналы, а на шкале приборов начинает светиться предупреждающий значок, в виде кофейной чашки.

Рис.1 Шкала приборов, подключенная к системе предотвращения засыпания
Произведённые Mercedes-Benz исследования показали, что лишь четыре часа управления автомобилем увеличивают риск аварии практически вдвое, а после шести часов непрерывного нахождения за рулем, эта цифра возрастает сразу в восемь раз. После десяти лет испытаний и работы с шестью сотнями добровольцев компания создала совершенно новую систему безопасности. Выяснилось, что самым действенным способом защиты от сна водителя, стал метод контроля движения рулевой колонки.
В итоге опция «Attention Assist» для E-class будет дополнительно оснащаться еще одной очень важной составляющей. В частотности система безопасности обзавелась высокочувствительным датчиком рулевого управления. Кроме того данная система контролирует положение педалей газа и тормоза, а также следит за внешними условиями, такими как дальность пути и время проведенное в дороге.
2. ОПИСАНИЕ ПРЕДЛАГАЕМОГО ИННОВАЦИОННОГО РЕШЕНИЯ
Недосып - ключевая проблема для профессиональных водителей, зарабатывающих за рулем. Каждый десятый водитель признал, что в прошлом году хотя бы один раз засыпал за рулем. И половина таких работников регулярно садится за руль всего лишь после 5-часового сна.
Проблема серьезная - усталость снижает внимание, а результатом может стать аварийная ситуация. Сонливость замедляет реакцию, снижает способность рассуждать здраво и пробуждает агрессию. Знакомые слова? Конечно, то же самое вы уже слышали об управлении автомобилем в состоянии алкогольного или наркотического опьянения. Сонливость заставляет водителя делать те же ошибки, что и алкоголь и наркотики - ошибки, которые могут искалечить или убить водителя и пассажиров, а также других людей.
Для решения выше обозначенной проблемы нами был предложен прибор, предотвращающий засыпание за рулём.
Данный прибор заблаговременно предупреждает пользователя о возможном засыпании. Он представляет собой браслет и перстень, которые надеваются на руку водителя. Индикаторы запоминают состояние водителя на основе физических показаний кожи. При отклонении от нормы в сторону релаксации прибор подает сигналы, похожие на звуки будильника. Если водитель не отреагировал на сигналы нажатием кнопки, прибор автоматически включает аварийную сигнализацию и ближний свет фар. Конструкция устройства представлена на рис.2.

Рис.2. Конструкция инновационного прибора
Преимущества предлагаемого инновационного решения:
Удобность в использовании;
Мобильность и компактность;
Относительно невысокие затраты на изготовление;
Существенное повышение безопасности на дорогах;
Возможность применения водителями любых категорий.
3. МАРКЕТИНГОВЫЕ АСПЕКТЫ ЭФФЕКТИВНОСТИ ИННОВАЦИОННОГО ПРОЕКТА
К маркетинговым аспектам эффективности инновационного проекта относят:
1) выявление потребностей;
2) потенциальный объем продаж;
3) временной аспект;
4) воздействие на существующие продукты;
5) ценообразование;
6) уровень конкуренции;
7) каналы распределения;
8) стартовые затраты.
1. На сегодняшний день в мире существует потребность повышения безопасности дорожного движения. Одним из способов предотвращения аварийности может стать применение приборов, предотвращающих засыпание за рулем.
Как основные потребители рассматриваются, прежде всего, водители транспортных средств, владельцы автопарков, а также службы эксплуатации объектов повышенной опасности, где работа оператора является рутинной, но ответственной. Если говорить о водителях, то в первую очередь потребителями являются те, кто часто совершает дальние поездки и/или часто стоит в пробках, потому что прибор дешевле возможных потерь времени, имущества, здоровья и жизни.
2. Прогнозируемый объем продаж на 2011 г. – 1 500 приборов.
3. Выход на рынок планируется в январе 2011 г., сроки не будут нарушены. Сезонность не повлияет на продажи инновационных приборов.
4. Разработанный инновационный прибор послужит дополнением к уже имеющимся на транспортном средстве устройствам и системам, обеспечивающим и повышающим безопасность дорожного движения.
5. Предполагаемая цена с учетом затрат на научно-исследовательские и опытно-конструкторские разработки – 1 600 руб.
6. Действующими конкурентами сегодня являются: тахометры, дополнительные системы безопасности, внедряемые различными автопроизводителями, спутниковые системы связи и другие устройства. Существует также опасность появления на рынке новых конкурентов данного прибора.
7. Каналами распределения будут выступать: автосалоны, центры технического обслуживания, авторынки.
8. Стартовые затраты по выводу товара на рынок составляют 3 300 000 руб.
4. СЕТЕВОЙ ПЛАН-ГРАФИК РЕАЛИЗАЦИИ ИННОВАЦИОННОГО ПРОЕКТА
Предложенный инновационный проект проходит следующие этапы:
разработка проектного замысла;
анализ инновационных альтернатив проекта;
бизнес-планирование и оценка проекта;
принятие решения об инвестировании,
приобретение и передача технологий, детальное проектирование;
оценка предложений, отбор поставщиков, переговоры, заключение контрактов;
аренда помещений, строительно-монтажные работы, установка оборудования;
маркетинг, формирование администрации, набор и обучение персонала;
пусконаладочные работы, закупка сырья и материалов.
выведение на проектную мощность.
Таблица 1
Описание этапов инновационного проекта
|
ID |
Наименование этапа |
Предыдущ. операция |
Следующ. операция |
Трудоемкость, чел*дн. |
Численность, чел. |
Время, дн. |
|
A |
разработка проектного замысла |
- |
B |
10 |
2 |
5 |
|
B |
анализ инновационных альтернатив проекта |
A |
C |
6 |
3 |
2 |
|
C |
бизнес-планирование и оценка проекта |
B |
D, F, E |
16 |
4 |
4 |
|
D |
принятие решения об инвестировании |
C |
G ,E |
6 |
2 |
3 |
|
E |
приобретение и передача технологий, детальное проектирование |
C, D |
H |
42 |
7 |
6 |
|
F |
оценка предложений, отбор поставщиков, переговоры, заключение контрактов |
C |
G |
50 |
5 |
10 |
|
G |
аренда помещений, строительно-монтажн. работы, установка оборудования |
F, D |
I |
315 |
9 |
35 |
|
H |
маркетинг, формирование администрации, набор и обучение персонала |
E |
I |
60 |
4 |
15 |
|
I |
пусконаладочные работы, закупка сырья и материалов |
G, H |
J |
64 |
8 |
8 |
|
J |
выведение на проектную мощность |
I |
- |
45 |
9 |
5 |
0100090000031602000002009601000000009601000026060f002203574d46430100000000000100ff4d0000000001000000000300000000000000030000010000006c0000009803000000000000cd0300006f0000000000000000000000095200008231000020454d460000010000030000100000000200000000000000000000000000000061130000681b0000d2000000290100000000000000000000000000005034030028880400160000000c000000180000000a0000001000000068fcffff000000000900000010000000901a0000b50b0000520000007001000001000000a4ffffff00000000000000000000000090010000000000cc04400022430061006c006900620072006900000000000000000000000000000000000000000000000000000000000000000000000000000000000000000000000000000000001100309b110010000000949e1100149c1100e4506032949e11008c9b110010000000fc9c1100789e11008a4f6032949e11008c9b11002000000080e02d318c9b1100949e110020000000fffffffffc02dc00fbe02d31ffffffffffff0180ffff01802fff0180ffffffff0000000000080000000800004300000001000000000000005802000025000000372e9001cc00020f0502020204030204ef0200a07b20004000000000000000009f00000000000000430061006c006900620072000000000000000000549c1100334e2f31282e0c32b49f1100c09b1100d53227310600000001000000fc9b1100fc9b11000076253106000000249c1100fc02dc006476000800000000250000000c00000001000000250000000c00000001000000250000000c00000001000000120000000c00000001000000180000000c0000000000000254000000540000009803000000000000cd0300006f00000001000000e1748740397687400000000057000000010000004c00000004000000000000000000000061130000b20b000050000000200000003600000046000000280000001c000000474449430200000067fcfffffffffffff9160000b60b0000000000004600000014000000080000004744494303000000250000000c0000000e000080250000000c0000000e0000800e000000140000000000000010000000140000000400000003010800050000000b0200000000050000000c021d024803040000002e0118001c000000fb02efff0000000000009001000000cc0440002243616c6962726900000000000000000000000000000000000000000000000000040000002d010000040000002d010000040000002d0100000400000002010100050000000902000000020d000000320a10009c00010004009c000000e4031d02201009001c000000fb020300010000000000bc02000000cc0102022253797374656d0000000000000000000000000000000000000000000000000000040000002d010100040000002d010100030000000000
Рис. 3 . Сетевой график реализации инновационного проекта
Расчёт раннего срока начала работы (Es), раннего срока завершения работы (Ef), позднего срока начала (Ls) и позднего срока завершения работы (Lf), резервов времени работы производился в MS Excel с использованием функций MAX и MIN.
Таблица
2 Расчёт показателей сетевого графика
в MS
Excel
Далее нами была проведена оптимизация сетевого графика с использованием надстройки «Поиск решения», где в качестве целевой ячейки выступала общая продолжительность всех работ, а ограничительными условиями являлись:
численность работников, задействованных на каждом этапе, должна быть больше/равна единицы,
численность работников, задействованных на каждом этапе, должна быть целым числом,
общая численность работников не должна превышать 53 человека.
В результате получились следующие данные (Табл. 3).
Таблица 3
Оптимизация сетевого графика в MS Excel

5. ФИНАНСИРОВАНИЕ ИННОВАЦИОННОГО ПРОЕКТА
Анализ предложений на рынке (круг потенциальных инвесторов и условий, на которых они обычно предоставляют финансирование).
Для выбора источников финансирования инновационного проекта нами были проанализированы условия, на которых могут предоставить кредиты банки и частные инвесторы.
А) Сбербанк РФ может предоставить денежные средства в размере 1 000 000 руб. под 24% годовых на срок 5 лет
Б) Газпромбанк может предоставить денежные средства в размере 500 000 руб под 19,9% годовых на срок 3 года
В) Банк ВТБ24 может предоставить денежные средства в размере 600 000 руб под 21%годовых на срок 5 лет
Г) Банк Уралсиб может предоставить денежные средства в размере 300 000 руб под 23% годовых на срок 2,5 года.
Д) Частный инвестор Иванов И.П. готов обеспечить финансирование проекта в размере 1 000 000 руб при условии возврата денежных средств через 2 года, с комиссией 30%.
Е) Иностранный инвестор Патерсон Дж. готов обеспечить финансирование проекта в размере 1 500 000 руб. при условии возврата денежных средств через 1 год, с комиссией 25%.
Ж) Частный инвестор Петров В.С. готов обеспечить финансирование проекта в размере 800 000 руб при условии возврата денежных средств через 1 год, с комиссией 25%.
Оценка реальных возможностей компании привлечь финансирование от того или иного инвестора.
Собственный капитал компании составляет 500 000 руб.
Стоимость собственного капитала составляет 10% (Ki)
Так как годовая прибыль компании за год составит 1 650 000 в год, то условия иностранного инвестора не подходят, компания не сможет вернуть 1 500 000 руб. через 1 год, с комиссией 25%.
Остальные варианты кредитования удовлетворяют возможностям фирмы.
Расчет стоимости инвестиционных ресурсов для каждого источника.
Таблица 4
Расчет стоимости инвестиционных ресурсов для каждого источника
|
Сумма кредита, руб. |
Процент,% |
Срок,л |
Стоимость кредита |
Итого |
Сумма к уплате за 1 год, руб |
|
|
Сбербанк РФ |
1 000 000 |
24 |
5 |
1 200 000 |
2 200 000 |
440 000 |
|
Газпромбанк |
500 000 |
19,9 |
3 |
298 500 |
798 500 |
266 167 |
|
Банк ВТБ 24 |
600 000 |
21 |
5 |
630 000 |
1 230 000 |
246 000 |
|
Банк Уралсиб |
300 000 |
23 |
2,5 |
172 500 |
472 500 |
189 000 |
|
Инвестор Иванов И.П. |
1 000 000 |
30 |
2 |
600 000 |
1 600 000 |
800 000 |
|
Инвестор Петров В.С. |
700 000 |
25 |
1 |
175 000 |
875 000 |
875 000 |
4. Выбор оптимального способа финансирования
Общая сумма необходимых денежных средств составляет 2 800 000 руб. (так как стартовые затраты составляют 3 300 000 руб, имеющаяся сумма собственных средств 500 000 руб., прогнозная величина прибыли за год 2 400 000 руб). Исходя из этого, а также учитывая ставку кредитования и срок кредитования, оптимальными источниками финансирования инновационного проекта являются:
Сбербанк РФ,
Газпромбанк,
Банк ВТБ 24,
Инвестор Петров В.С.
Таким образом, структура капитальных вложений примет вид:
Источник Сумма, руб. Доля, % Стоимость
привлечения, %
Собственный капитал 500 000 15,15 10
Заёмный капитал 2 800 000 84,85
Сбербанк РФ 1 000 000 30,31 24
Газпромбанк 500 000 15,15 19,9
Банк ВТБ 24 600 000 8,18 21
Инвестор Петров В.С 700 000 21,21 25
6. РАСЧЕТ WACC
Средняя стоимость финансирования (WACC) означает, какую процентную ставку должна заплатить компания по всему объему финансирования в целом. Чтобы рассчитать WACC, сначала надо определить цену каждого вида капитала компании.
WACC можно рассчитать по формуле:
WACC = W1x C1x (1 – T) + W2x C2 + Wnx Cn, где:
● W – доля части капитала (заемных средств, привилегированных акций, обыкновенных акций, нераспределенной прибыли и т. д.);
● C – стоимость соответствующих частей капитала;
● Т – ставка налога на прибыль; для такого источника финансирования, как прибыль, необходимо иметь в виду, что компания сможет его использовать только после налогообложения.
Величина WACC зависит от общего объема капитала. Обычно чем больше компания привлекает финансирования, тем выше средняя стоимость капитала. Это понятно, поскольку в первую очередь привлекается по возможности дешевый капитал, затем более дорогой. Поэтому средняя стоимость капитала растет ступенчато.
Рассчитаем среднюю стоимость финансирования для текущего инновационного проекта:
WACC = 0,1515 *10 +0,3031 * 24 +0,1515 *19,9 +0,1818 * 21 + 0,2121 * 25 = 20,92%
7. ПРЕДВАРИТЕЛЬНАЯ ОЦЕНКА ЭКОНОМИЧЕСКОЙ ЭФФЕКТИВНОСТИ ПРОЕКТА
Рассчитав приведенные будущие денежные потоки по проекту, необходимо понять, насколько эффективен предлагаемый проект и стоит ли инвестировать в него средства.
Показатели эффективности инновационных проектов позволяют определить эффективность вложения средств в тот или иной проект. При анализе проектов используются следующие показатели эффективности инноваций:
● период (срок) окупаемости, PP (payback period);
● дисконтированный период окупаемости, DPP (discounted payback period);
● чистый доход, NV (net value);
● чистый дисконтированный (приведенный) доход (денежный поток), чистая приведенная стоимость, NPV (net present value);
● внутренняя норма доходности (рентабельности), норма возврата инвестиций, IRR (internal rate of return);
● индекс прибыльности, индекс рентабельности, индекс доходности, PI (profitability index);
● средняя норма рентабельности, ARR (average rate of return);
● модифицированная внутренняя норма рентабельности, MIRR (modified internal rate of return);
● точка безубыточности проекта, BEP (break even point);
Ниже подробно рассчитаем основные показатели инновационного проекта. Некоторые показатели рассчитываются с учетом дисконтирования.
Обоснование ставки дисконтирования.
Расчёты произведём по формуле:
DR = DR>f> + >0100090000039806000000005204000000005204000026060f009a08574d46430100000000000100f3e20000000001000000780800000000000078080000010000006c00000000000000000000002d0000001100000000000000000000007d040000a501000020454d4600000100780800000c00000001000000000000000000000000000000000500000004000040010000f000000000000000000000000000000000e2040080a90300460000002c00000020000000454d462b014001001c000000100000000210c0db01000000600000006000000046000000bc020000b0020000454d462b224004000c000000000000001e4009000c00000000000000244001000c000000000000003040020010000000040000000000803f214007000c000000000000000840000508020000fc0100000210c0db01000000000000000000000000000000000000000100000089504e470d0a1a0a0000000d494844520000002e000000120802000000ab637bb6000000017352474200aece1ce9000000097048597300000ec400000ec401952b0e1b0000018349444154484bcd953b6ec3300c40659f24412f92a08b83aebd417304193944b276b36f90358097423e4697c2ba89434ad187b214d9010a98934553e2a32892c5388e6c1d52ae0303294ad91e8a94d43d9a280bf8ec6bb4d3baff9072f375e2783017902a2743536977b2fd66a7a6baec8bdbc768b58b50a6d1c6e341efda430023b8d5d84fc10323829f5e280766ab5a54cd109a33ad88c2185bf8a98f4192a1e1d3537244108b172901735b1f28cf602c492a9c1c088440ae21589aed16c5c0446e2eeb2a638021d863d3f7efa164d2f43250f0d693b14efa0a17e7dda2fac81acbdfce5c0aa62690be3eb452eb5cb0609724167c4ee2a22790979178260ac2a0907caa3fcfc8a6c9d24f1a242c2fea9c160f5d6914d4457a9c56f91b623dce7987bf14c59993a6e2eac9bf6d4489c54f80e7a54741cfc9a3bb53d2a44a982cfb0beb8e5b3a88b6c7cebe2ff9c73edf37d9e7b9dc40fe5cd99b3db8dc9dd355aa6bc9df101b9eb60296b33006b3cd4ed87cbb78243c337dfc3a7d6d50155845eb903bdfb0f1658b0110fa0000000049454e44ae42608200000840010824000000180000000210c0db01000000030000000000000000000000000000001b40000040000000340000000100000002000000000000bf000000bf000038420000904103000000000000b3000000b3ffff3742000000b3000000b3ffff8f412100000008000000620000000c00000001000000150000000c00000004000000150000000c00000004000000510000005804000000000000000000002d00000011000000000000000000000000000000000000002e0000001200000050000000a8000000f800000060030000000000002000cc002e00000012000000280000002e000000120000000100080000000000000000000000000000000000200000000000000000000000ffffff00489cdf00bf7400009cdfff0000004800ffbf74000074bf00bfffff000000740074000000ffffbf00dfffff0000489c009c749c00489cbf0074bfff007474bf0048000000ffdf9c0074489c00bf747400749cdf00bf744800df9c48009c480000ffffdf009c48740048004800484800009c4848004874bf0001010101010101010101010101010101010101010101010101010101010101010101010101010101010101010101a541010101010101010101010104050a0b01010101010101010107000000060101010101010101010101010101010101a54101010101010101010101010417010104050000000000180101041e1a0101010101010101010101010104050a0b01c95b07000000000000000003010c0e1a0101010101010101010101041e1a010101010101010101010101010417010101c95b010718010101010c0d0301011f130101010101010101010101041e1a010101010101010101010101010c0e1a0101c95b010c0d06010101010203010405060104050000000000180101041e1a0101010200000301010200191a011f130101c95b0101041c1301010110191a0101010101010101010101010c0d1d1e1a0101010107191a010c0d0301010405060101c95b01010110191a010101010101081b1a0101010101010101010110191a010101011012130108091801010101010101c95b010101010203010101010101010101010101010101010101010101010101010108091801101213010101081b1a01c95b01010101020006010101010101010101010101010101010101010101010101010c0d000000121301010101010101c95b0101010405191a010101010101010101010101010101010101010101010101010102191a01040503010101010101c95b01010c0d0a0b01010101010417010405180101010101010101010101010101010110121301011012130101010101000001010200060101010101010c140b08151613010101010101010101010101010101080906010104050601010101010000010405030101010110030101070601110b010101010101010101010101010101010c0d0301010212130101010101000008090a0b0101010c0d030c0e0f00060206010101010101010101010101010101010200000000000601010101010100000200000000000000000301040506070006010101010101010101010101010101010101010101010101010101010100000101010101010101010101010101010101010101010101010101010101010101010101010101010101010101010100000101010101010101010101010101010101010101010101010101010101010101010101010101010101010101010100004c0000006400000000000000000000002d0000001100000000000000000000002e000000120000002900aa0000000000000000000000803f00000000000000000000803f0000000000000000000000000000000000000000000000000000000000000000220000000c000000ffffffff460000001c00000010000000454d462b024000000c000000000000000e000000140000000000000010000000140000000400000003010800050000000b0200000000050000000c0212002e00030000001e000400000007010400040000000701040011020000410b2000cc0012002e000000000012002e0000000000280000002e000000120000000100080000000000000000000000000000000000200000000000000000000000ffffff00489cdf00bf7400009cdfff0000004800ffbf74000074bf00bfffff000000740074000000ffffbf00dfffff0000489c009c749c00489cbf0074bfff007474bf0048000000ffdf9c0074489c00bf747400749cdf00bf744800df9c48009c480000ffffdf009c48740048004800484800009c4848004874bf0001010101010101010101010101010101010101010101010101010101010101010101010101010101010101010101a541010101010101010101010104050a0b01010101010101010107000000060101010101010101010101010101010101a54101010101010101010101010417010104050000000000180101041e1a0101010101010101010101010104050a0b01c95b07000000000000000003010c0e1a0101010101010101010101041e1a010101010101010101010101010417010101c95b010718010101010c0d0301011f130101010101010101010101041e1a010101010101010101010101010c0e1a0101c95b010c0d06010101010203010405060104050000000000180101041e1a0101010200000301010200191a011f130101c95b0101041c1301010110191a0101010101010101010101010c0d1d1e1a0101010107191a010c0d0301010405060101c95b01010110191a010101010101081b1a0101010101010101010110191a010101011012130108091801010101010101c95b010101010203010101010101010101010101010101010101010101010101010108091801101213010101081b1a01c95b01010101020006010101010101010101010101010101010101010101010101010c0d000000121301010101010101c95b0101010405191a010101010101010101010101010101010101010101010101010102191a01040503010101010101c95b01010c0d0a0b01010101010417010405180101010101010101010101010101010110121301011012130101010101000001010200060101010101010c140b08151613010101010101010101010101010101080906010104050601010101010000010405030101010110030101070601110b010101010101010101010101010101010c0d0301010212130101010101000008090a0b0101010c0d030c0e0f00060206010101010101010101010101010101010200000000000601010101010100000200000000000000000301040506070006010101010101010101010101010101010101010101010101010101010100000101010101010101010101010101010101010101010101010101010101010101010101010101010101010101010100000101010101010101010101010101010101010101010101010101010101010101010101010101010101010101010100000c00000040092900aa0000000000000012002e0000000000040000002701ffff030000000000> , где
DR>f> - безрисковая ставка дохода,
R>i>> >– премия за i-ый вид риска
n – количество премий за риск.
Примем безрисковую ставку доходности равной 3%.
R>1> – страновой риск,
R>2> – отраслевой риск,
R>3> – риск вложения в конкретное предприятие.
R>1 >=7%
R>2 >=4%
R>3> = 5%
DR = 3% +7% +4% + 5% = 19%.
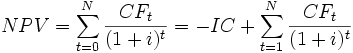
Чистая приведенная стоимость, NPV.
, где
CFt — платёж через t лет (t = 1,...,N),
IC - начальной инвестиции,
i — ставка дисконтирования.
Определим чистую приведенную стоимость проекта, который рассчитан на 5 лет.
Цена единицы выпускаемой продукции – 1600 руб.
Себестоимость единицы – 900 руб.
Годовой объём выпуска – 1500 шт.
Проект предусматривает первоначальные капитальные вложения 3 300 000 руб.
Ежегодное увеличение объёмов производства на 50%, начиная со 2-го года.
Ставка дисконтирования для данного проекта 19%.
Таблица 5
Определение чистой приведенной стоимости проекта
|
Показатель |
0 |
1 год |
2 год |
3 год |
4 год |
5 год |
∑ |
|
Прибыль факт. |
- |
(1600-900)*1500 = 1 050 000 |
1 050 000 |
1 050 000 |
1 050 000 |
1 050 000 |
|
|
ЧП факт. |
- |
840 000 |
840 000 |
840 000 |
840 000 |
840 000 |
|
|
Прибыль плановая |
- |
1 050 000 |
1 575 000 |
2 362 500 |
3 543 750 |
5 315 625 |
|
|
ЧП план. |
- |
840 000 |
1 260 000 |
1 890 000 |
2 835 000 |
4 252 500 |
|
|
Приток (CF) |
- |
0 |
420 000 |
1 050 000 |
1 995 000 |
3 412 500 |
|
|
Отток |
3300000 |
- |
- |
- |
- |
- |
|
|
Приток (CF) диск. |
- |
- |
296 589 |
623 086 |
994 844 |
1 430 005 |
3 344 524 |
|
Отток диск. |
3300000 |
- |
- |
- |
- |
- |
3 300 000 |
NPV = 3 344 524 – 3 300 000 = 44524 руб.
Индекс прибыльности проекта, PI
PI = >0100090000032c0a000000003a06000000003a06000026060f006a0c574d46430100000000000100f4660000000001000000480c000000000000480c0000010000006c000000000000000000000032000000200000000000000000000000fa0400000403000020454d4600000100480c00000c00000001000000000000000000000000000000000500000004000040010000f000000000000000000000000000000000e2040080a90300460000002c00000020000000454d462b014001001c000000100000000210c0db010000006000000060000000460000003403000028030000454d462b224004000c000000000000001e4009000c00000000000000244001000c000000000000003040020010000000040000000000803f214007000c000000000000000840000580020000740200000210c0db01000000000000000000000000000000000000000100000089504e470d0a1a0a0000000d4948445200000033000000210802000000fbdd04ed000000017352474200aece1ce9000000097048597300000ec400000ec401952b0e1b000001fd494441545847ed573b8ec230107538098886228760bba03dc6d2d007718615b474e406b468695072080a1a846f921d7f628fe3b16453a01471033c669e67de38f891b56dcb06b92683ac4a143556963e9a51b3b7346bb659b75615b714211c2278b5ca9c5802d144048b811c8a3ea79c66717ac18f475b97d7f30d9516c279757ce40556c147d0b7652dc861fdfd4c6553bf8b6ebbf5b1d1810483ce8297d7a9302416f5f0ba84462056b7233bea2328bd2e4952773f8a413d0152dfd99a2da029bc7cbcd95ebe65ef32ad82e9fb48ef4c1dbed461e98f7ff3d8ed976af73ea76470da638c6ab02e3b1ca472b62d4eb587c849110b588ccc58729f53313031449d21626c65215ca639d30c20129673d2ef746536d79d748f5368263451cb552c847719f6a4518892cd7268725722b4a18ab49c99d06d906bbc03d2c7325ccdd27bf954c6f804a42b3ddc733656f6d634139da37078726d1bbd9d8fe03a62e2490674e96237802f63d22598ebdf5cc4ae21d06ec3ff360611c970ce967b65b8f8f35eee3aeb059f299cdfced77c2ea2a7f39cdd9f9cf9882358447c8021d539821bd0f672ba28ae0f2efd8187e0e262e2290655d9722f1d4bbe9e99c313c47539a8241fc195c5c4530c13f19741fb6050015192b898e1e1228e7e37031fc165c5c48718929da3f182c6f5f90836db31f114c3786fbef54b9b9ef4918c7f1f3d949f8676ae710000000049454e44ae4260820840010824000000180000000210c0db01000000030000000000000000000000000000001b40000040000000340000000100000002000000000000bf000000bf00004c420000044203000000000000b3000000b3ffff4b42000000b3000000b3ffff03422100000008000000620000000c00000001000000150000000c00000004000000150000000c0000000400000051000000b00700000000000000000000320000002000000000000000000000000000000000000000330000002100000050000000ac000000fc000000b4060000000000002000cc0033000000210000002800000033000000210000000100080000000000000000000000000000000000210000000000000000000000ffffff00bfffff00000074009c480000ffffdf00dfffff0000489c00df9c48000074bf0048000000ffdf9c0074bfff009c48740048007400749cdf00487474007474bf00ffffbf009cdfff009c484800ffbf7400bf744800489cdf0074489c00bf7474009c9cbf00bfffdf00489cbf00bf7400000000480048489c0074004800010101010101010101010101010101010101010101010101010101010101010101010101010101010101010101010101010101ff010101010101010101010101010101010101010101010101010101010101010101010101010101010101010101010101010101ff010101010101010101010101010101010101010101010101010101010101010101010101010101010101010101010101010101ff010900001d010101010900001d0101010c00001d01010c00001d0101010101010c00001d01010c00001d01010c00001d010101ff131405060715010113140506071501020315060715020315060715010101010203150607150203150607150203150607150101ff010101020315010101010102031501132012011708132012011708010101011320120117081320120117081320120117080101ff01020300080101010102030008010113140501171d13140501171d0101010113140501171d13140501171d13140501171d0101df010101131601010101010113160101132012010908132012010908010101011320120109081320120109081320120109080101ff020d05020e0b0101020d05020e0b01061f0b060715061f0b06071501010101061f0b060715061f0b060715061f0b0607150101ff02030000040501010203000004050101131e001d0101131e001d010101010101131e001d0101131e001d0101131e001d010101ff010101010101010101010101010101010101010101010101010101010101010101010101010101010101010101010101010101ff010101010101010101010101010101010101010101010101010101010101010101010101010101010101010101010101010101ff010101010101010101010101010101010101010101010101010101010101010101010101010101010101010101010101010101ff010101010101010101010101010101010101010101010101010101010101010101010101010101010101010101010101010101bf010101010101010101010101010101010101010101010101010101010101010101010101010101010101010101010101010101480000000000000000000000000000000000000000000000000000000000000000000000000000000000000000000000000000009c010101010101010101010101010101010101010101010101010101010101010101010101010101010101010101010101010101ff010101010101010101010101010101010101010101010101010101010101010101010101010101010101010101010101010101ff010101010101010101010101010101010101010101010101010101010101010101010101010101010101010101010101010101ff010101010101010101010101010101010101010101010101010101010101010101010101010101010101010101010101010101ff010900001d010101010900001d0101010102030a0b010102030a0b01010101020300001d01131e00000015010102030a0b01010013140506071501011314050607150101010117080101010117080101010101020d05010908011708010c150101011708010101ff0101010203150101010101020315011700000000041c0000000004050101010101010109080101170801011700000000040501ff01020300080101010102030008010102190117081a1b190117081a0501010101090000040501010117150102190117081a0501ff010101131601010101010113160101010c08170801010c0817080101010101011112010101010101061812010c081708010101ff020d05020e0b0101020d05020e0b0101010f10080101010f1008010101010101111201010113140502031501010f1008010101ff02030000040501010203000004050101010607080101010607080101010101010900000a0b010c000004050101060708010101ff010101010101010101010101010101010101010101010101010101010101010101010101010101010101010101010101010101ff010101010101010101010101010101010101010101010101010101010101010101010101010101010101010101010101010101df010101010101010101010101010101010101010101010101010101010101010101010101010101010101010101010101010101ff010101010101010101010101010101010101010101010101010101010101010101010101010101010101010101010101010101ff010101010101010101010101010101010101010101010101010101010101010101010101010101010101010101010101010101ff010101010101010101010101010101010101010101010101010101010101010101010101010101010101010101010101010101ff4c0000006400000000000000000000003200000020000000000000000000000033000000210000002900aa0000000000000000000000803f00000000000000000000803f0000000000000000000000000000000000000000000000000000000000000000220000000c000000ffffffff460000001c00000010000000454d462b024000000c000000000000000e000000140000000000000010000000140000000400000003010800050000000b0200000000050000000c0221003300030000001e0004000000070104000400000007010400bd030000410b2000cc00210033000000000021003300000000002800000033000000210000000100080000000000000000000000000000000000210000000000000000000000ffffff00bfffff00000074009c480000ffffdf00dfffff0000489c00df9c48000074bf0048000000ffdf9c0074bfff009c48740048007400749cdf00487474007474bf00ffffbf009cdfff009c484800ffbf7400bf744800489cdf0074489c00bf7474009c9cbf00bfffdf00489cbf00bf7400000000480048489c0074004800010101010101010101010101010101010101010101010101010101010101010101010101010101010101010101010101010101ff010101010101010101010101010101010101010101010101010101010101010101010101010101010101010101010101010101ff010101010101010101010101010101010101010101010101010101010101010101010101010101010101010101010101010101ff010900001d010101010900001d0101010c00001d01010c00001d0101010101010c00001d01010c00001d01010c00001d010101ff131405060715010113140506071501020315060715020315060715010101010203150607150203150607150203150607150101ff010101020315010101010102031501132012011708132012011708010101011320120117081320120117081320120117080101ff01020300080101010102030008010113140501171d13140501171d0101010113140501171d13140501171d13140501171d0101df010101131601010101010113160101132012010908132012010908010101011320120109081320120109081320120109080101ff020d05020e0b0101020d05020e0b01061f0b060715061f0b06071501010101061f0b060715061f0b060715061f0b0607150101ff02030000040501010203000004050101131e001d0101131e001d010101010101131e001d0101131e001d0101131e001d010101ff010101010101010101010101010101010101010101010101010101010101010101010101010101010101010101010101010101ff010101010101010101010101010101010101010101010101010101010101010101010101010101010101010101010101010101ff010101010101010101010101010101010101010101010101010101010101010101010101010101010101010101010101010101ff010101010101010101010101010101010101010101010101010101010101010101010101010101010101010101010101010101bf010101010101010101010101010101010101010101010101010101010101010101010101010101010101010101010101010101480000000000000000000000000000000000000000000000000000000000000000000000000000000000000000000000000000009c010101010101010101010101010101010101010101010101010101010101010101010101010101010101010101010101010101ff010101010101010101010101010101010101010101010101010101010101010101010101010101010101010101010101010101ff010101010101010101010101010101010101010101010101010101010101010101010101010101010101010101010101010101ff010101010101010101010101010101010101010101010101010101010101010101010101010101010101010101010101010101ff010900001d010101010900001d0101010102030a0b010102030a0b01010101020300001d01131e00000015010102030a0b01010013140506071501011314050607150101010117080101010117080101010101020d05010908011708010c150101011708010101ff0101010203150101010101020315011700000000041c0000000004050101010101010109080101170801011700000000040501ff01020300080101010102030008010102190117081a1b190117081a0501010101090000040501010117150102190117081a0501ff010101131601010101010113160101010c08170801010c0817080101010101011112010101010101061812010c081708010101ff020d05020e0b0101020d05020e0b0101010f10080101010f1008010101010101111201010113140502031501010f1008010101ff02030000040501010203000004050101010607080101010607080101010101010900000a0b010c000004050101060708010101ff010101010101010101010101010101010101010101010101010101010101010101010101010101010101010101010101010101ff010101010101010101010101010101010101010101010101010101010101010101010101010101010101010101010101010101df010101010101010101010101010101010101010101010101010101010101010101010101010101010101010101010101010101ff010101010101010101010101010101010101010101010101010101010101010101010101010101010101010101010101010101ff010101010101010101010101010101010101010101010101010101010101010101010101010101010101010101010101010101ff010101010101010101010101010101010101010101010101010101010101010101010101010101010101010101010101010101ff0c00000040092900aa000000000000002100330000000000040000002701ffff030000000000> = 1,013
Внутренняя норма доходности, IRR
NPV = 0, при ставке дисконтирования равной 20%.
IRR – 20%.
Период окупаемости, PP
Для расчёта периода окупаемости определим чистый денежный поток нарастающим итогом.
Таблица 6
Чистый денежный поток нарастающим итогом
|
0 |
1 год |
2 год |
3 год |
4 год |
5 год |
|
|
PP |
- 3 300 000 |
- 3 300 000 |
-2 880 000 |
- 1 830 000 |
165 000 |
3 577 500 |
|
DPP |
-3 300 000 |
- 3 300 000 |
-3 003 411 |
- 2 380 325 |
-1 385 481 |
1 959 043 |
Таким образом, срок окупаемости проекта 5 лет (рис.4).

Рис. 5 . Определение срока окупаемости проекта
Вывод: т.к. NPV > 0, PI > 1, DPP = 5 лет, что меньше нормативного срока окупаемости (6,67 лет), то предлагаемый инновационный проект является экономически эффективным и целесообразным.